Economia

Recepção: 29 Janeiro 2018
Aprovação: 25 Junho 2018
DOI: https://doi.org/10.4025/actascihumansoc.v40i2.41507
Resumo: Este trabalho estuda o comportamento do hiato de rendimentos por sexo no setor público brasileiro entre 2002 e 2015. Emprega-se a metodologia de Blinder-Oaxaca para decompor o diferencial salarial bruto na parcela explicada pelas características da mão de obra ― como as diferenças nas dotações produtivas médias de homens e mulheres e em seus padrões de inserção ocupacional ― e em um componente residual, derivado dos retornos a essas características. A análise é feita para todas as PNAD no período 2002-2015, porém, é apresentada de forma mais detalhada para 2015. Para esse ano também é empregada a metodologia não paramétrica de Ñopo (2008) para decompor o diferencial salarial. Os resultados mostram que, de acordo com o método de Blinder-Oaxaca, a participação do componente residual no hiato salarial aumentou, passando de 45,3% em 2002 para 55,5% em 2015. A técnica de Ñopo mostrou uma participação de 54% da parcela residual no diferencial de rendimento em 2015. Assim, mesmo após o controle pelas características observáveis dos servidores, subsiste um diferencial por sexo, cuja magnitude não sofreu redução no decorrer do período estudado. Os fatores que mais se destacam na explicação desse diferencial são a idade e a jornada semanal de trabalho dos servidores.
Palavras-chave: emprego público, capital humano, mercado de trabalho, decomposição de Blinder-Oaxaca, decomposição de Ñopo, Brasil.
Abstract: This paper studies the gender pay gap in the Brazilian public sector between 2002 and 2015. Blinder-Oaxaca methodology is applied to decompose the wage gap in the part explained by measurable characteristics ― such as differences in workers´ productive endowments or in their occupational distribution ― and a residual component, caused by different returns to these characteristics. The decomposition is applied to all PNAD between 2002 and 2015, but it is discussed in more detail for 2015. For this year a non-parametric alternative proposed by Ñopo (2008) is also applied. The Blinder-Oaxaca decomposition shows that the share of the residual component in the wage gap increased from 45.3% in 2002 to 55.5% in 2015. Ñopo technique indicates that about 54% of the wage gap cannot be attributed to differences in the distributions of individuals’ characteristics, but rather to the unexplained fraction, in 2015. Thus, even controlling for observable characteristics of the labor force, there remains a gender wage gap, whose size suffered no reduction during the analysis period. The most important factors in explaining such difference are age and weekly working hours.
Keywords: public sector employment, human capital, labor market, Blinder-Oaxaca decomposition, Ñopo decomposition, Brazil.
Introdução
De acordo com os dados da Pesquisa Nacional por Amostra de Domicílios [PNAD] referente ao ano de 2015, as mulheres, no Brasil, recebem, em média, 76,1% do rendimento de trabalho dos homens (Instituto Brasileiro de Geografia e Estatística [IBGE], 2016). No setor público, tanto o sentido como a magnitude desse hiato se mantêm. Considerando, por exemplo, os indivíduos que declaram o setor público como o do trabalho único ou principal, a razão entre o rendimento médio feminino e o masculino, nesse trabalho, é de 68,7%.
De acordo com a Teoria do Capital Humano, diferenças salariais entre os indivíduos podem ser atribuídas, em parte, às diferenças em seus atributos produtivos, ou seja, nas características individuais observáveis que influem na capacidade e na habilidade adquiridas para o trabalho, como educação e experiência profissional (Schultz, 1961).
A escolaridade, contudo, não ajuda a explicar a vantagem salarial masculina, pois as mulheres possuem uma média de anos de estudo formal concluídos com sucesso superior à dos homens: 8,0 contra 7,6 anos, considerando pessoas de 10 anos ou mais de idade (IBGE, 2016). As evidências sugerem, inclusive, que se os salários fossem estabelecidos apenas com base nos atributos produtivos observáveis dos trabalhadores, as mulheres, no Brasil, ganhariam, em média, mais que os homens (Leme & Wajnman, 2000; Giuberti & Menezes-Filho, 2005; Scorzafave & Pazello, 2007). Não há, no entanto, estudo que permita estender essas conclusões ao setor público brasileiro.
Além das diferenças nos atributos produtivos dos trabalhadores, contribui para explicar a variabilidade dos rendimentos a alocação dos indivíduos em ramos de atividades e ocupações marcados por níveis salariais distintos. No setor público, as mulheres apresentam um padrão característico de inserção, concentrando-se em postos de trabalho estaduais e municipais e em atividades relacionadas à missão social do governo — notadamente educação, saúde e serviços sociais —, que oferecem, em média, condições menos vantajosas de remuneração (Bernardes, Moura, & Acco, 1998; Pinheiro & Sugahara, 2001; Najberg, Moraes, & Ikeda, 2002; Cerqueira, 2005). Esse modo diferenciado de participação no serviço público pode responder por parte importante do hiato salarial por sexo observado, embora tal contribuição não tenha, ainda, sido quantificada.
O objetivo deste artigo é, assim, estudar o hiato de rendimento entre os sexos no setor público brasileiro, investigando em que medida ele pode ser atribuído às diferenças nas dotações produtivas médias de homens e mulheres e ao padrão diferenciado de inserção ocupacional feminina. Além disso, pretende-se quantificar o peso do componente residual — não associado a esses fatores — no tamanho desse hiato. A análise compreenderá o período 2002-2015.
O tema é substancialmente relevante para o Brasil, tendo em vista que i) as diferenças salariais entre os gêneros permanecem acentuadas; ii) o emprego público, no qual as mulheres são maioria, responde por cerca de 10% do total de ocupados no país (Mattos, 2015); iii) do ponto de vista dos trabalhadores assalariados, o setor público constitui segmento privilegiado do mercado de trabalho, em virtude da prerrogativa de estabilidade que oferece a grande parte de seus funcionários — qualidade que se destaca em uma economia marcada pela instabilidade —, e do hiato salarial que guarda em relação ao setor privado (Marconi, 2003;Belluzzo, Anuatti-Neto, & Pazello, 2005; Bender & Fernandes, 2009; Barbosa, Barbosa Filho, & Lima, 2013).
Este artigo está organizado conforme se segue. Na próxima seção, apresentam-se a base de dados e os métodos de análise empregados. Na seção ‘Características observáveis dos servidores’, são comparados, com base nos dados da Pnad de 2015, os perfis dos servidores dos sexos feminino e masculino, a fim de identificar diferenças em seus atributos pessoais e produtivos e no modo de inserção no setor público. Na seção ‘Equações de rendimento’, são estimadas equações de rendimento para os anos de 2002 a 2015, a fim de se observar ao longo do tempo o que ocorre com o diferencial salarial entre os sexos quando os fatores tratados na seção ‘Características observáveis dos servidores’ passam a ser controlados. Posteriormente, estima-se a mesma equação de rendimento separadamente para homens e mulheres e somente para o ano de 2015, a fim de identificar eventuais diferenças estruturais nos retornos às características observáveis dos indivíduos. Na seção ‘Decomposição do diferencial salarial bruto por sexo’, emprega-se a metodologia de Blinder-Oaxaca para decompor o hiato salarial bruto entre homens e mulheres na parcela explicada pelas características da mão de obra e no componente derivado dos retornos a essas características. A decomposição é feita para todas as Pnad no período 2002-2015, porém, é apresentada de forma mais detalhada para o ano de 2015. A seção ‘Resultado da decomposição de Ñopo’ traz os resultados da técnica de decomposição de Ñopo (2008) para o ano de 2015. Por fim, a última seção apresenta as considerações finais.
Material e métodos
O modelo de equação de rendimento
Para a realização deste trabalho, foram utilizados os dados da Pnad referentes aos anos de 2002 a 2015, com um hiato em 2010, ano em que a pesquisa não foi conduzida. Visando à comparabilidade da série histórica, as informações referentes aos anos de 2004 a 2015 representam a cobertura geográfica da pesquisa existente até 2003, ou seja, sem incluir a área rural de Rondônia, Acre, Amazonas, Roraima, Pará e Amapá.
Como objeto de estudo, foram considerados os indivíduos que declararam o setor público como o do emprego no trabalho principal da semana de referência da pesquisa. Essa definição engloba trabalhadores i) nas forças armadas, policiais e bombeiros militares; ii) não estatutários sem carteira; iii) não estatutários com carteira; e iv) estatutários. Mattos (2015) observa um aumento da participação dos estatutários no conjunto do emprego público nacional no período recente, passando de 51,8% em 2002 para 56,7% em 2009.
As equações de rendimento foram ajustadas separadamente para cada ano com base em uma versão ampliada do modelo proposto por Mincer (1974). Estabeleceu-se, como variável dependente, o logaritmo neperiano do rendimento mensal do trabalho principal, considerando-se apenas os indivíduos com declaração de rendimento não nulo.
O modelo geral de regressão utilizado foi a Equação 1:

em que:
e
são parâmetros, uj são erros aleatórios, o subscrito i = 1, 2, ..., k, denota os regressores do modelo e j = 1, 2, ..., n, as observações da amostra.
Entre as variáveis explanatórias adotadas, estão aquelas tradicionalmente empregadas em equações de rendimento, que visam captar o efeito do treinamento e da experiência das pessoas (escolaridade e idade), as discriminações do mercado de trabalho (cor e sexo) e as diferenças regionais (região do país e localização do domicílio, em termos censitários). Além da idade declarada pela pessoa, medida em dezenas de anos, também foi incluído o quadrado dessa variável, pois a influência da idade sobre o logaritmo do rendimento não é linear, sendo que, a partir de certo valor, é provável que ocorra queda da produtividade do trabalho. Adicionalmente, incluíram-se variáveis que permitem captar as segmentações existentes no setor público (área do emprego público, ramo de atividade econômica e grupamento ocupacional), a condição que o trabalhador assume em sua família, sua jornada semanal de trabalho e se é ou não sindicalizado. Foram eliminados da amostra os indivíduos para os quais faltava alguma dessas informações[1].
Optou-se pela utilização de variáveis binárias para captar o efeito da escolaridade, ao invés de tratar essa variável como cardinal. Tal escolha metodológica se justifica pelo fato de a relação entre salários e educação não ser linear, observando-se retornos econômicos maiores para os anos associados a términos de ciclos escolares. Conhecido como efeito-diploma, esse fenômeno foi empiricamente constatado para o Brasil, pela primeira vez, por Ramos e Vieira (1996), com base em equações de rendimento estimadas para as Pnad de 1976, 1981, 1985 e 1990. O prêmio pela conclusão de ciclos escolares específicos mostra-se maior para os estágios superiores do processo educacional, notadamente para o curso universitário.
Após ajustar uma única equação de rendimento para os funcionários públicos, estimaram-se, separadamente, equações para homens e mulheres com base no mesmo modelo estatístico, exceto pela exclusão da variável binária para sexo. Com isso, admite-se que tanto o nível como a inclinação da relação entre Yj e os Xij são diferentes para cada um desses grupos, hipótese que será testada.
A decomposição do diferencial salarial
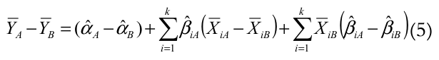
Uma maneira de sintetizar os resultados obtidos por meio das equações de rendimento consiste em decompor a diferença salarial média entre homens e mulheres na parcela explicada pelas características observáveis da mão de obra e no componente derivado dos retornos a essas características. Essa decomposição, originalmente proposta por Blinder (1973) e Oaxaca (1973), pode ser derivada conforme se segue.
Considerando a Equação 1 nos pontos médios das variáveis, têm-se as Equações 2 e 3:


Subtrai-se uma equação da outra, a fim de calcular a diferença nas médias do logaritmo do rendimento entre os dois grupos, conforme a Equação 4:

Somando e
subtraindo
do segundo membro dessa
equação e reordenando os termos, obtém-se a Equação 5:

Portanto, a diferença entre a remuneração de homens e de mulheres pode ser decomposta mediante as Equações 6 e 7:

O termo E — denominado efeito de médias — representa a parcela da diferença de rendimento que é explicada pelas diferenças nas médias das características observáveis da mão de obra.
O termo D — o efeito de parâmetros — quantifica o diferencial de rendimento que decorre da diferença nos efeitos que as características observáveis têm sobre a remuneração; esse termo inclui a diferença de nível e , que é a parte da diferença de salários que se deve à valorização desigual de um mesmo atributo para os indivíduos do grupo A e do grupo B.
Caso a equação de rendimento inclua todas as variáveis relevantes para a determinação dos salários dos trabalhadores, o efeito de parâmetros pode ser utilizado como uma estimativa da discriminação por sexo no mercado de trabalho, que faz com que um indivíduo portador dos mesmos atributos e desempenhando a mesma atividade que outro ganhe menos, estritamente pelo fato de ser mulher. Sempre será possível, entretanto, apontar a existência de fatores relevantes na determinação do rendimento negligenciados pelo modelo, em razão das dificuldades para sua observação e mensuração. Como exemplos, podem-se mencionar as diferenças relativas à inteligência, à saúde ou à ambição das pessoas. É necessário, assim, cautela ao identificar o efeito de parâmetros como uma medida de discriminação puramente salarial, sob o risco de superestimá-la.
No caso específico deste trabalho, há a limitação decorrente do fato de a Pnad captar informações a respeito da ocupação do indivíduo, mas não da função por ele exercida ou de seu nível hierárquico na carreira. Essas dimensões da inserção profissional dos servidores mostram-se importantes, pois é verificada uma menor participação feminina em altos postos de comando, o que constitui uma explicação adicional para o diferencial de rendimento entre os sexos no setor público (Abreu & Meirelles, 2012; Vaz, 2013). Assim, o efeito de parâmetros aqui obtido não poderá ser utilizado como uma medida da discriminação puramente salarial, devendo ser identificado como o percentual ‘inexplicado’ do hiato salarial entre os gêneros.
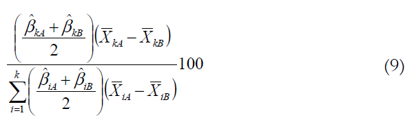
De acordo com a Equação 5, as diferenças entre as médias das características dos trabalhadores são multiplicadas pelos coeficientes estimados para o grupo A, ou seja, elas são ponderadas pelo valor que se dá a essas características para os homens. Já as diferenças nas estimativas dos coeficientes são ponderadas pelas médias das características dos indivíduos do grupo B (mulheres). No presente trabalho, optou-se por utilizar uma fórmula de decomposição que pondera a diferença de médias de características dos trabalhadores pela média dos coeficientes estimados para os grupos A e B, e a diferença nas estimativas dos coeficientes pela média das características médias dos indivíduos dos dois grupos, conforme a Equação 8:

Os dois componentes da decomposição — o efeito de médias e o de parâmetros — podem ainda ser desagregados nas contribuições individuais de cada variável. O efeito de médias associado à variável Xk, por exemplo, é dado por , e seu efeito de parâmetros é . Sua contribuição percentual para o efeito de médias da diferença entre os logaritmos do rendimento de homens e mulheres é dada pela Equação 9:

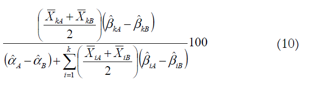
Já a contribuição percentual ao efeito de parâmetros é calculada mediante a Equação 10:

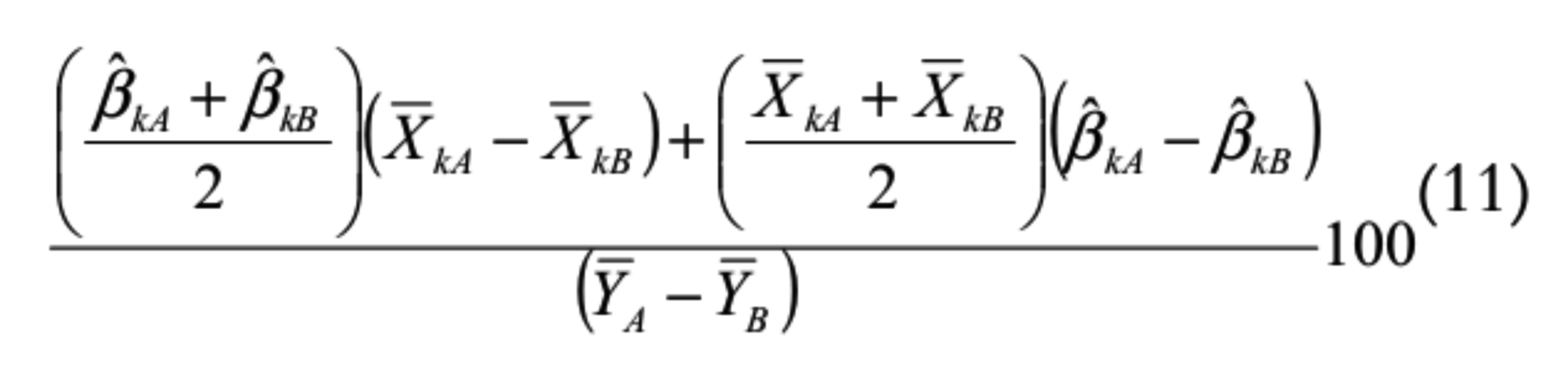
Por fim, a participação de Xk na diferença total dos logaritmos de rendimento entre os dois grupos é dada pela soma do efeito de médias ao de parâmetros, dividida pela diferença total dos logaritmos do rendimento de cada grupo, segundo a Equação 11:

que é o mesmo que a Equação 12:

Oaxaca e Ransom (1999) mostram que, em se tratando de variáveis binárias, a decomposição de Blinder-Oaxaca produz estimativas arbitrárias — que variam, a depender da categoria escolhida como base — das contribuições individuais das variáveis ao efeito de parâmetros do diferencial salarial. Ainda que não afete a decomposição do diferencial salarial no efeito de médias e no efeito de parâmetros, esse problema não permite identificar corretamente a contribuição de cada conjunto de variáveis binárias para a diferença total de logaritmos de rendimento entre dois grupos demográficos. Como solução, Yun (2005) sugere que a decomposição de Blinder-Oaxaca seja realizada com base em equações de rendimento normalizadas, isto é, nas quais se utilizam k variáveis binárias para distinguir k categorias de uma variável nominal, impondo a restrição de que a soma dos coeficientes associados às k variáveis binárias seja igual a zero. Esse procedimento é aqui adotado.
Além da decomposição de Blinder-Oaxaca, emprega-se a técnica não paramétrica de decomposição proposta por Ñopo (2008). Esse método realiza um procedimento de pareamento entre os grupos analisados, de modo que se possa identificar a parcela do diferencial salarial que é observada especificamente entre indivíduos com características observáveis comuns. Assim, nessa abordagem, a diferença salarial entre homens e mulheres é decomposta em quatro componentes (ao invés de apenas dois): d0, que é a fração não explicada do diferencial salarial, equivalente ao componente não explicado da decomposição de Blinder-Oaxaca; dm, que é a parte do hiato salarial que é explicada pelas diferenças nas características entre dois grupos de mulheres, um com características que podem ser pareadas com as características dos homens e outro que não pode; df, que é análogo a dm, porém, para homens, ou seja, é a parte do hiato salarial que pode ser explicado pelas diferenças nas características entre dois grupos de homens, um com características que podem ser pareadas com as características das mulheres e outro que não pode; e dx, que é a parcela do hiato salarial que pode ser explicada por diferenças na distribuição das características observáveis entre homens e mulheres que estão no suporte comum de características, com interpretação equivalente ao termo ‘explicado’ da decomposição de Oaxaca-Blinder.
Britto e Waltenberg (2014) ressaltam que com a técnica de Ñopo (2008) não é recomendável o uso de variáveis contínuas, pois isso aumentaria muito a probabilidade de não pareamento da amostra. Por essa razão, a jornada semanal de trabalho e a idade passaram a ser incorporadas à análise por meio de cinco faixas etárias: 25 anos de idade ou menos; 26 a 35 anos; 36 a 45 anos; 46 a 55 anos; e 56 anos ou mais. Em relação à jornada semanal de trabalho, definiram-se as faixas: 20 horas ou menos; 21 a 39 horas; e 40 horas ou mais. Além disso, dada a reduzida frequência na amostra de indígenas e amarelos, o que comprometeria o pareamento, o atributo cor passou a ser incorporado ao modelo por meio de apenas duas categorias: negros (pretos e pardos) e não negros.
Resultados e discussão
Características observáveis dos servidores
De acordo com os dados da Pnad de 2015, os indivíduos que declaram trabalho único ou principal no setor público são 11,5 milhões, dos quais 58,2% são mulheres. A razão entre o rendimento médio feminino e o masculino nesse trabalho é de, aproximadamente, 0,69. Esse hiato salarial reflete, em certa medida, diferenças nos atributos produtivos médios e no tipo de inserção profissional dos trabalhadores de cada sexo, conforme comentado a seguir.
Os servidores do sexo masculino, por exemplo, declaram trabalhar, em média, 38,3 horas por semana, ao passo que a jornada reportada pelas mulheres é de 34,6 horas, 9,6% menor, portanto. Essa diferença pode estar sendo influenciada, no entanto, pela elevada participação feminina nos serviços de ensino, em que frequentemente se declaram apenas as horas de trabalho em sala de aula. Entre os profissionais do ensino com formação de nível superior, a proporção de mulheres é de 85,0% e o número de horas semanais de trabalho declaradas é 32,0. Os professores leigos e de nível médio, por seu turno, declaram trabalhar, em média, 30,7 horas semanais e 81,1% deles são mulheres. Excluindo essas duas categorias da amostra, a diferença por sexo no tamanho das jornadas laborais diminui, mas continua elevada, com as mulheres trabalhando 7,4% menos que os homens em sua ocupação principal.
A idade média dos funcionários públicos é praticamente a mesma para homens (41,1 anos) e mulheres (41,2 anos). Em relação à escolaridade, as servidoras públicas seguem o padrão do mercado de trabalho brasileiro, apresentando, em média, maior número de anos de estudo que os homens: 12,6 contra 11,6 anos, sendo essa diferença estatisticamente significativa ao nível de 1%. Em termos de ciclos escolares, vê-se, na Tabela 1, que o percentual de indivíduos que completaram ao menos a 4a série de um curso superior é mais de 13 pontos superior para elas.

Observa-se que 63,9% dos servidores homens chefiam suas famílias, ao passo que apenas 37,6% das servidoras assumem essa condição em seus lares. Esse fato se coaduna com a menor jornada semanal de trabalho feminina, evidenciando a persistência da divisão sexual do trabalho, que atribui ao homem o papel de principal responsável pelo sustento da família, cabendo às mulheres a maior parte dos afazeres domésticos e dos cuidados com os filhos (Hirata & Kergoat, 2008; Instituto de Pesquisa Econômica Aplicada [IPEA], 2012).
Quanto à distribuição das servidoras entre as esferas de governo, observa-se que 9,1% delas estão ocupadas no governo federal, 29,5% nos governos estaduais e a maioria (61,5%) em postos de trabalho municipais. Os servidores do sexo masculino, por outro lado, estão distribuídos de forma um pouco mais equilibrada entre os três níveis de governo: aproximadamente, 22,1% deles ocupam funções em nível federal, 34,4% em nível estadual e 43,5% em âmbito municipal.
No tocante aos ramos de atividade econômica que compõem o setor público, se considerado o total de funcionárias públicas, 67,2% delas encontram-se ocupadas em atividades relativas à educação, saúde e serviços sociais e 29,2% na administração pública. A distribuição dos servidores do sexo masculino é completamente distinta, com cerca de 62,2% deles alocados na administração pública, 26,3% no grupamento educação, saúde e serviços sociais e os 11,6% restantes distribuídos entre os demais ramos de atividade (Tabela 1). Por conta disso, 39,6% dos postos de trabalho na administração pública são ocupados por mulheres, em face da proporção feminina de 78,1% em educação, saúde e serviços sociais.
Por fim, considerando os grupamentos ocupacionais definidos pelo IBGE, 95,1% das mulheres encontram-se concentradas em quatro tipos de ocupações: profissionais das ciências e das artes, técnicos de nível médio, trabalhadores de serviços administrativos e trabalhadores dos serviços. Em contrapartida, elas são praticamente inexistentes entre os trabalhadores da produção de bens e serviços e de reparação e manutenção e entre os membros das forças armadas e auxiliares ― ocupações que absorvem, respectivamente, 11,0% e 15,7% dos servidores do sexo masculino. Observa-se, ainda, que aproximadamente 5,6% dos homens e 3,3% das mulheres executam funções de direção, seja no poder público propriamente dito ou em empresas e organizações controladas pelo Estado.
A distribuição bastante desigual de homens e mulheres nas diferentes áreas do emprego público, ramos de atividade econômica e grupamentos ocupacionais sugere que a inserção dos trabalhadores do setor público nesses segmentos possa depender de características não observáveis dos indivíduos de cada sexo. Por exemplo, a amostra de mulheres que desempenham atividades relacionadas à educação, saúde e serviços sociais pode não ser aleatória, e sim resultar da autosseleção feminina para esses postos de trabalho, em razão, por exemplo, da interiorização do papel de cuidado que é historicamente atribuído às mulheres, ou da preferência por ocupações mais estáveis, como a carreira docente, entre outros fatores. Assim, as trabalhadoras que optam por tais carreiras não deteriam o mesmo conjunto de características não observáveis que o restante da amostra. Caso a autosseleção dos indivíduos esteja baseada em características não observáveis que afetam a produtividade e os salários, as estimativas da equação de rendimentos pelo método de mínimos quadrados ordinários (MQO) sofreriam viés de seleção. Para contornar esse problema, a literatura recomenda a adoção do método sugerido por Heckman (1979). Esse procedimento requer, em uma 1a etapa, a estimação de uma equação de seleção que, neste exemplo, seria identificada por fatores relevantes para a escolha do ramo de atividade econômica do indivíduo ―, por exemplo, escolaridade e experiência profissional, caso o nível de capital humano dos indivíduos influencie sua alocação setorial. Na 2a etapa, estima-se a equação de salários, excluindo-se do modelo pelo menos uma das variáveis explanatórias consideradas na 1a etapa. Ou seja, é necessária uma variável que afete a escolha do ramo de atividade econômica pelo indivíduo, mas que não tenha efeito em seu salário. Dada a ausência de uma variável que possa convincentemente identificar a equação de seleção e ser excluída da equação de salários, preferiu-se estimar o modelo por MQO. No entanto, em vista dessa limitação do modelo, é preciso cautela na interpretação da parcela não explicada da decomposição de Blinder-Oaxaca, pois, em parte, ela pode estar associada ao viés de seleção na escolha ocupacional e setorial de homens e mulheres.
Equações de rendimento
Foram
estimadas equações de rendimento ano a ano para o período 2002-2015. Conforme
se observa na Figura 1, a diferença percentual entre os rendimentos feminino e
masculino ― denominada diferencial bruto ― apresentou ligeira redução em
sua magnitude no período considerado, passando de −26,7% em
2002 para −25,0% em 2015. Quando controlados os atributos observáveis dos
trabalhadores ― conforme o modelo apresentado na seção ‘O modelo de equação de
rendimento’ ―, observa-se que subsiste uma diferença salarial por sexo ― indicada
na Figura 1 como o diferencial controlado. Esse efeito é captado por meio do
coeficiente associado à variável binária para mulher nas equações de rendimento
, que foi transformado segundo a expressão [exp
-1].100. Ele indica que, em 2002, as servidoras auferiam rendimentos,
em média, 14,5% menores que seus equivalentes do sexo masculino, ao passo que,
em 2015, esse diferencial era de 16,9%.

A título de comparação, cabe retomar o diferencial salarial encontrado por outros autores, ao adotarem um conjunto semelhante de controles sobre dados da Pnad, porém considerando todo o mercado de trabalho brasileiro. Giuberti e Menezes-Filho (2005) constatam que, se controlados idade, região de residência, jornada de trabalho, escolaridade, ramo de atividade e ocupação, as mulheres recebiam, em média, 15,7% a menos que os homens, no ano de 1996. Madalozzo (2010) adota um maior nível de desagregação das ocupações, encontrando um diferencial de 16,2% em 2007. Em que pesem as diferenças metodológicas entre esses trabalhos e o presente estudo, verifica-se que a magnitude do diferencial salarial por sexo encontrado no setor público não diverge substancialmente do que se observa para todo o mercado de trabalho. Assim, mesmo o Estado adotando maior transparência em seus processos de seleção de pessoal e isonomia de vencimentos para cargos com atribuições iguais ou assemelhadas, essas práticas não impedem que, ao longo da carreira, acumule-se um diferencial salarial importante entre os sexos.
Para a Pnad de 2015, suprimiu-se a variável binária para sexo e estimou-se a equação de rendimento separadamente para homens e mulheres. Os resultados são reportados na Tabela 2. Realizando o teste de Chow, verifica-se que os vetores de coeficientes estimados para cada grupo são, de fato, estatisticamente diferentes (Fcalculado = 20,91, com p-valor < 0,01%), o que indica que parte do hiato salarial observado decorre do fato de se atribuir retornos econômicos diferentes às características analisadas, a depender do sexo do indivíduo. Aplicando testes t a cada par de coeficientes que, nas regressões estimadas em separado para homens e mulheres, associam-se à mesma variável, pôde-se conferir quais deles são, de fato, estatisticamente distintos a um nível de significância de 1% e, portanto, explicam a diferença estrutural observada entre as equações de rendimento de cada sexo. Eles se encontram destacados em cinza na Tabela 2 e serão comentados na sequência.
A elasticidade do rendimento mensal em relação ao tempo semanal de trabalho é estimada em 0,12 para homens e 0,20 para mulheres. O fato de ser menor que um indica que o prolongamento do tempo de trabalho é feito com prejuízo da produtividade. Embora ambos os grupos de servidores sofram reduções no salário horário à medida que ampliam sua jornada de trabalho, vê-se que a perda é proporcionalmente menor para as mulheres.
Admite-se que o rendimento varia em função da idade segundo uma parábola côncava para baixo, porém há diferenças significativas entre os sexos. O retorno a cada ano adicional de vida, quando as curvas são crescentes, é menor para as mulheres. Além disso, o rendimento máximo é atingido mais cedo por elas: aos
anos, contra
anos para os homens. Para melhor compreender o impacto desses resultados no diferencial de rendimentos por sexo, a equação de rendimentos foi re-estimada conjuntamente para homens e mulheres, porém fracionando-se a amostra nas seguintes faixas etárias: (i) indivíduos com menos de 35 anos; (ii) indivíduos com idade entre 35 e 49 anos (inclusive); e iii) indivíduos com 50 anos ou mais. Os resultados mostram que o hiato salarial captado pela dummy para sexo aprofunda-se quanto mais velho é o servidor: entre aqueles com menos de 35 anos, essa diferença é de −11,1%, elevando-se para −17,5% na faixa de 35 a 49 anos e para −20,5% entre os trabalhadores com 50 anos ou mais[2].
De acordo com a Tabela 2, a pessoa de referência na família ganha, em média, [exp(0,1348)−1] 100 = 14,4% a mais, se for homem, e 5,9% a mais, se mulher, em relação às demais pessoas da residência. Ao se compararem os rendimentos segundo a localização do domicílio, observa-se, em média, menor retorno para os trabalhadores domiciliados em área urbana não metropolitana, relativamente àqueles que residem em área metropolitana, tanto para homens (−8,1%) como para mulheres (−15,1%).

Analisando os retornos associados à área do emprego público, verifica-se que, mesmo controlando os atributos produtivos e pessoais observáveis dos indivíduos, bem como o grupamento ocupacional e o ramo de atividade econômica a que pertencem, as diferenças salariais segundo a esfera de governo são muito pronunciadas, com grande distinção por sexo. Verificam-se rendimentos, em média, 41,0% superiores para os servidores estaduais, relativamente aos municipais, em se tratando de homens. Para as mulheres, esse diferencial é, em média, de 20,4%.
Também em relação ao ramo de atividade econômica, observam-se retornos salariais muito distintos entre os sexos. Os trabalhadores na administração pública, por exemplo, recebem, em média, 39,9% a mais que seus congêneres no ramo de educação, saúde e serviços sociais, se forem homens. Para as mulheres, esse diferencial é de 24,0%.
A categoria ocupacional mais bem remunerada no setor público é a dos dirigentes, seguida dos profissionais das ciências e das artes. No segundo caso, no entanto, observam-se diferenças expressivas entre homens e mulheres. A diferença salarial dos profissionais das ciências e das artes, em relação aos técnicos de nível médio, é, em média, de 24,3% para homens e de 9,2% para mulheres, tudo o mais constante.
A Figura 2 apresenta o resultado dos coeficientes associados às variáveis binárias para anos de estudo, em termos da razão entre o salário de indivíduos com x anos de estudo e o salário daqueles que completaram o ensino médio. Percebe-se que a diferença de rendimento entre um indivíduo com até dez anos de estudo e aquele que concluiu o ensino médio é menor quando se consideram servidores do sexo feminino. Esse resultado sugere que, quando consideradas as faixas iniciais de escolaridade, o estímulo à escolarização é superior para os homens, pois, para eles, são maiores os ganhos salariais decorrentes de anos adicionais de estudo. A Figura 2 mostra, ainda, que, a partir do 15o ano de estudo, há um incremento salarial, em relação ao término do ensino médio, de ordem superior a 60%.
Os resultados obtidos nesta seção sugerem, portanto, que as diferenças salariais entre as três esferas do setor público, os ramos de atividade econômica e o tipo de ocupação são, em média, superiores para os homens. Em contrapartida, as servidoras alcançam incrementos salariais proporcionalmente maiores por meio da ampliação da jornada de trabalho.
Decomposição do diferencial salarial bruto por sexo
Nesta seção, o diferencial bruto de rendimentos por sexo é decomposto nos efeitos de médias e de parâmetros, de acordo com a metodologia de Blinder-Oaxaca. A Figura 3 traz os resultados dessa decomposição para o período 2002-2015, revelando a participação, em %, de ambos os efeitos para a diferença salarial observada.
Observa-se uma tendência de elevação da participação do efeito de parâmetros, que contribuía, em 2002, com 45,3% do diferencial de rendimento, passando para 55,5% em 2015. Assim, mais da metade da diferença de rendimentos entre homens e mulheres no setor público permanece inexplicada, podendo derivar de uma gama muito variada de fatores, que incluem desde a discriminação do empregador, até as limitações metodológicas apontadas na seção ‘A decomposição do diferencial salarial’. A omissão de atributos relevantes na determinação do rendimento pode exercer influência nessa parcela residual, caso existam diferenças entre os sexos quanto a fatores não observáveis que influem na produtividade no trabalho.


Cumpre observar, ainda, que a existência de um hiato salarial desfavorável às mulheres e de um grande diferencial no retorno às características observáveis dos trabalhadores de cada sexo não é um traço distintivo do setor público brasileiro, tendo sido igualmente observado em outros países. Jones, Makepeace, e Wass (2018) mostram que, no Reino Unido, o diferencial salarial bruto entre homens e mulheres, no setor público, declinou entre 1997 e 2010, porém na sequência estabilizou-se. Ao estimarem equações de rendimento com dados empilhados para o período 1997-2015, os autores verificam que os homens ganham, em média, 11,9% a mais que as mulheres nesse setor de emprego. Ao conduzirem a decomposição de Blinder-Oaxaca, eles verificam que aproximadamente metade desse hiato de gênero não é explicado pelas características observáveis dos trabalhadores. Caso essa parcela inexplicada do diferencial salarial fosse eliminada, as mulheres veriam seus vencimentos aumentarem cerca de 12%. Barón e Cobb-Clark (2010) encontram evidência de que, na Austrália, o hiato salarial por gênero no setor público é pouco explicado pelas características observáveis dos trabalhadores, se considerada a cauda superior da distribuição de rendimento. Por outro lado, entre os trabalhadores com menores rendimentos, as características individuais observáveis explicam a maior parte do hiato. Esses resultados são confirmados por Castagnetti (2015), ao analisar o setor público italiano. Ao conduzir a decomposição do hiato salarial de gênero, a autora confirma que este permanece em grande medida inexplicado, mesmo após o controle pelas características individuais dos trabalhadores. Além disso, nos dois anos analisados (2005 e 2010), a parcela não explicada do hiato salarial de gênero torna-se mais pronunciada na cauda superior da distribuição de rendimento, o que é sugestivo da ocorrência de teto de vidro. Contudo, ao controlar a heterogeneidade individual não observada por meio de técnicas quantílicas para um painel de dados compreendendo o período 2005-2010, a evidência de teto de vidro no setor público desaparece, pois a parcela não explicada do hiato salarial entre os sexos mantém-se estável ao longo da distribuição de rendimento.
Calcularam-se, para o ano de 2015, as contribuições absolutas e relativas (em %) de cada grupo de variáveis para a diferença salarial total e para os efeitos de médias e de parâmetros (Tabela 3). Quando um fator apresenta participação (%) positiva, ele contribui para aumentar a diferença salarial em favor dos homens, ao passo que um resultado negativo significa uma contribuição para reduzir essa diferença.
Constata-se que o fator que maior contribuição exerce para a existência de um diferencial salarial favorável aos homens, no setor público, é a idade, em razão de seu efeito de parâmetros. De fato, no sub-capítulo ‘Equações de rendimento’, constatou-se que, controlados outros fatores, as mulheres alcançam um rendimento máximo mais cedo e em um patamar inferior ao observado para os homens. Entre as razões que explicam o fato de elas avançarem menos na carreira, ou, ainda, optarem por carreiras com parábolas de idade-rendimento menos interessantes, está não apenas o ‘teto de vidro’ ― uma forma de discriminação que limita a ascensão profissional feminina, resultando em sua sub-representação nas posições de comando das organizações. Marry (2008), por exemplo, enfatiza a menor predisposição feminina a assumir postos de direção. É sabido que as mulheres enfrentam, com muito mais frequência que os homens, uma dupla jornada de trabalho, acumulando a profissão com a maior parte das responsabilidades no cuidado dos filhos e do lar. Ao anteverem conflitos entre as exigências profissionais e as obrigações familiares, os quais são potencializados em cargos de liderança e em carreiras de maior prestígio e remuneração, pois estas normalmente exigem maior dedicação, elas muitas vezes evitam tais funções.
Por outro lado, o fator que mais contribui para reduzir a diferença salarial por sexo é a jornada de trabalho, também em razão de seu efeito de parâmetros. Mulheres com a mesma jornada semanal de trabalho masculina receberiam, em média, [exp(0,26244)−1] 100=30,0% a mais que os homens, caso tanto as médias como os retornos associados aos demais fatores fossem idênticos para ambos os sexos. Esse resultado é coerente com os obtidos por Scorzafave e Pazello (2007). Embora esses autores tenham utilizado uma amostra abrangendo o setor privado, seus resultados também indicam que o atributo relacionado à jornada de trabalho — no caso, uma variável binária empregada para indicar o trabalho em tempo parcial — é o componente do efeito de parâmetros que mais contribui para atenuar a magnitude do hiato salarial favorável aos homens.
Outros fatores que se destacam são área do emprego público e ramo de atividade econômica. A maior concentração feminina nas áreas municipal e estadual de governo e no ramo da educação, saúde e serviços sociais contribui para as mulheres ganharem menos que os homens, pois esses segmentos de emprego pagam, em média, salários menores (Bernardes et al., 1998; Pinheiro & Sugahara, 2001; Najberg et al., 2002; Cerqueira, 2005). Isso é evidenciado, na Tabela 3, pelo efeito de médias de magnitude importante associado a esses fatores.
Já no que se refere ao grupamento ocupacional, a maior relevância está no efeito de parâmetros, que mostra que, no interior de uma mesma ocupação, as mulheres ganham, em média, 5,4% a menos que os homens, controlados os outros fatores.
Com relação à educação, verifica-se que esse fator apresenta uma importante contribuição percentual ao efeito de médias, em razão da maior escolaridade média feminina. De fato, se apenas o nível de escolaridade determinasse os salários no setor público, as mulheres ganhariam, em média, 9,3% a mais que os homens. Contudo, é elevado o efeito de parâmetros associado a esse fator, pelo fato de se observarem, em média, retornos à educação superiores para os homens. Assim, como esses dois efeitos possuem sinais contrários, eles em grande medida se anulam.
Resultado da decomposição de Ñopo
A Tabela 4 traz a decomposição de Ñopo para a diferença entre a média do logaritmo do rendimento do trabalho das mulheres e dos homens, segundo os dados da Pnad 2015. Esse valor, indicado por d na última linha da tabela, é expresso como porcentagem da média do logaritmo do rendimento do trabalho dos homens[3]. Vê-se, ainda, que apenas 19,20% das mulheres da amostra tem a mesma combinação de características observáveis que os homens da amostra, ou seja, encontram-se no suporte comum.
O valor d é decomposto nas parcelas dm, df, dx e d0. Conforme apresentado na seção ‘A decomposição do diferencial salarial’, dm e df são as parcelas do diferencial salarial entre mulheres e homens que se devem a diferenças entre esses grupos que são observadas fora do suporte comum de características, ao passo que dx e d0 se devem, dentro do suporte comum, às características observáveis e à parte não explicada, respectivamente.
Vê-se que a maior parte do diferencial salarial se deve à existência de características diferentes entre os sexos, no caso, combinações de características identificadas entre os homens, que não existem entre as mulheres (dm).
É interessante observar que, a julgar pelas mulheres da amostra que estão fora do suporte comum (df), ou seja, cujas características observáveis, quando combinadas, não podem ser pareadas com características masculinas, o diferencial salarial deveria ser favorável a elas. Assim, há características fora do suporte comum que são favoráveis às mulheres[4].
Dentro do suporte comum, as características observáveis (dx) pouco explicam a vantagem salarial masculina. Assim, a parcela do diferencial salarial que na decomposição de Blinder-Oaxaca era atribuída a diferenças nas características observáveis de homens e mulheres (45%), na realidade, baseava-se em uma comparação entre indivíduos não equivalentes. Quando a comparação passa a considerar apenas os indivíduos da amostra que integram o suporte comum de características observáveis, essa parcela tem sua participação reduzida para 4,38% do diferencial salarial.
Por fim, a proporção do diferencial não explicada pelas características observáveis dos indivíduos (d0) continua sendo um componente importante, pois explica 54% do diferencial bruto observado, acompanhando o resultado obtido com a metodologia de Blinder-Oaxaca (55,5%).


Considerações finais
Este trabalho mostrou que uma das características mais arraigadas do mercado de trabalho brasileiro ― o diferencial salarial por sexo ― é também observada no setor público: as servidoras auferem rendimentos brutos, em média, 25% menores que seus colegas homens.
Ao se introduzir controles para o treinamento e a experiência das pessoas, as discriminações do mercado de trabalho, as diferenças regionais e as segmentações existentes no interior do setor público, observa-se a redução, mas não a eliminação do diferencial salarial por sexo: na comparação de servidores equivalentes, as mulheres auferem rendimentos, em média, 16,9% menores que os homens. A comparação com estudos que abrangem todo o mercado de trabalho brasileiro mostrou não existirem diferenças importantes na magnitude desse diferencial, lançando por terra a crença de que o setor público seria mais igualitário e propício às carreiras das mulheres. A análise intertemporal, por outro lado, mostrou que esse diferencial controlado elevou-se entre 2002 e 2015.
Estimando o mesmo modelo em separado para homens e mulheres, verificou-se uma diferença estrutural entre as duas equações de rendimento, indicando a vigência de critérios distintos de remuneração para cada grupo. Apesar de as mulheres serem, em média, mais escolarizadas que os homens, há uma menor valorização de seus diplomas, o que produz uma discriminação ‘indireta’. Esse retorno diferenciado às características observáveis de homens e mulheres se traduz na existência de um efeito de parâmetros de magnitude importante, ao se aplicar a decomposição de Blinder-Oaxaca ao diferencial total de rendimento. Além disso, tal efeito elevou sua participação de 45,3% para 55,5% entre 2002 e 2015. Se os retornos às características de homens e mulheres fossem idênticos, de tal maneira que os salários dos indivíduos fossem estabelecidos apenas com base em seus atributos observáveis, o diferencial salarial feminino, em 2015, reduzir-se-ia de −25,0% para −12,0%.
Os resultados da decomposição de Ñopo mostram que uma grande parcela das mulheres da amostra não detém uma combinação de características passível de ser observada entre os homens da amostra. Nesse sentido, é preciso cautela na análise dos resultados da decomposição de Blinder-Oaxaca, pois, em grande medida, o que essa técnica atribui a diferenças nas características observáveis de homens e mulheres deriva de uma comparação entre trabalhadores que não detêm um suporte comum de características.
Supondo-se que as variáveis explanatórias incluídas no modelo de regressão captam com precisão os atributos determinantes do rendimento do trabalho, a persistência de um diferencial salarial entre os sexos após o controle pelas características observáveis ou, equivalentemente, a contribuição não nula do efeito de parâmetros à decomposição de Blinder-Oaxaca evidencia e quantifica a discriminação contra a mulher no setor público. É forçoso admitir, no entanto, a existência de atributos relevantes na determinação do rendimento negligenciados pelo modelo. Nesse sentido, uma explicação adicional para o diferencial de rendimento entre os sexos no setor público seria a sub-representação feminina nas instâncias superiores das organizações públicas. Embora algumas especificidades do setor público ― como a seleção por concurso público e a isonomia de vencimentos para cargos com atribuições iguais ou assemelhadas ― possam coibir práticas discriminatórias no momento da contratação, elas não impedem que, nos momentos de progressão na carreira, fenômenos como o ‘teto de vidro’ ocasionem o surgimento de desigualdades salariais entre indivíduos com dotações produtivas semelhantes.
Desse modo, como sugestão para trabalhos futuros, indica-se a incorporação da questão do ‘teto de vidro’ à análise do hiato salarial por sexo no setor público. Análises geracionais e de acompanhamento longitudinal de carreiras, por meio de coortes de indivíduos que tiveram a mesma formação e ingressaram na função pública com a mesma idade, podem permitir avaliar em que fase do ciclo profissional dos indivíduos as diferenças de remuneração entre os sexos tornam-se mais pronunciadas. Estudos complementares podem, ainda, fornecer uma descrição detalhada da desigualdade salarial e da segregação de gênero em carreiras específicas de Estado, de modo a contribuir para a elaboração de estratégias de ação para a superação das diferenças.
Referências
Abreu, M. A. A., & Meirelles, R. L. (2012). Mulheres e homens em ocupação de cargos de direção e assessoramento superior (DAS) na carreira de especialista em políticas públicas e gestão governamental (EPPGG). Texto para Discussão IPEA, 1797. Rio de Janeiro, RJ: Ipea. Recuperado de http://www.ipea.gov.br/portal/images/stories/PDFs/TDs/td_1797.pdf
Barbosa, A. L. N. H., Barbosa Filho, F. H., & Lima, J. R. F. (2013). Diferencial de salários e determinantes na escolha de trabalho entre os setores público e privado no Brasil. Pesquisa e Planejamento Econômico, 43(1), 89-118.
Barón, J. D., & Cobb-Clark, D. (2010). Occupational segregation and the gender wage gap in private- and public-sector employment: a distributional analysis. The Economic Record, 86(273), 227-246. doi: 10.1111/j.1475-4932.2009.00600.x
Belluzzo, W., Anuatti-Neto, F., & Pazello, E. T. (2005). Distribuição de salários e o diferencial público-privado no Brasil. Revista Brasileira de Economia, 59(4), 511-533. doi: 10.1590/S0034-71402005000400001
Bender, S., & Fernandes, R. (2009). Gastos públicos com pessoal: uma análise de emprego e salário no setor público brasileiro nos anos 90. EconomiA, 10(1), 19-47. Recuperado de http://www.anpec.org.br/revista/vol10/vol10n1p19_47.pdf
Bernardes, F. C., Moura, M. G., & Acco, M. A. C. (1998). Diagnóstico da situação da mulher na administração pública federal. Textos para Discussão ENAP, 28. Recuperado de http://repositorio.enap.gov.br/handle/1/813
Blinder, A. (1973). Wage discrimination: reduced form and structural estimates. The Journal of Human Resources, 8(4), 436-455. doi: 10.2307/144855
Britto, A. M., & Waltenberg, F. D. (2014). É atrativo tornar-se professor do Ensino Médio no Brasil? Evidências com base em decomposições paramétricas e não paramétricas. Estudos Econômicos, 44(1), 5-44. doi: 10.1590/S0101-41612014000100001
Castagnetti, C. (2015). The analysis of the gender wage gap in the italian public sector: a quantile approach for panel data. DEM Working Paper Series 109. Pavia, IT: Università di Pavia.
Cerqueira, A. C. (2005). Ocupações e rendimentos no setor público Brasileiro. Campinas, SP: Dieese/Cesit.
Giuberti, A. C., & Menezes-Filho, N. (2005). Discriminação de rendimentos por gênero: uma comparação entre o Brasil e os Estados Unidos. Economia Aplicada, 9(3), 369-384. doi: 10.1590/S1413-80502005000300002
Heckman, J. J. (1979). Sample selection bias as a specification error. Econometrica, 47(1), 153-161. doi: 10.2307/1912352
Hirata, H., & Kergoat, D. (2008). Divisão sexual do trabalho profissional e doméstico: Brasil, França, Japão. In A. O. Costa, B. Sorj, C. Bruschini, & H. Hirata (Eds.), Mercado de trabalho e gênero: comparações internacionais (p. 263-278). Rio de Janeiro, RJ: FGV.
Instituto Brasileiro de Geografia e Estatística [IBGE]. (2016). Pesquisa nacional por amostra de domicílios: síntese de indicadores 2015. Rio de Janeiro, RJ: IBGE.
Instituto de Pesquisa Econômica Aplicada [IPEA]. (2012). Trabalho para o mercado e trabalho para casa: persistentes desigualdades de gênero (Comunicados do IPEA, 149). Recuperado de http://www.ipea.gov.br/portal/images/stories/PDFs/comunicado/120523_comunicadoipea0149.pdf
Jones, M., Makepeace, G., & Wass, V. (2018). The UK gender pay gap 1997-2015: what is the role of the public sector? Industrial Relations, 57(2), 1-27. doi: 10.1111/irel.12208
Leme, M. C. S., & Wajnman, S. (2000). Tendências de coorte nos diferenciais de rendimentos por sexo. In R. Henriques (Ed.), Desigualdade e pobreza no Brasil (p. 251-270). Rio de Janeiro, RJ: Ipea.
Madalozzo, R. (2010). Occupational segregation and the gender wage gap in Brazil: an empirical analysis. Economia Aplicada, 14(2), 147-168. doi: 10.1590/S1413-80502010000200002
Marconi, N. (2003). A evolução do perfil da força de trabalho e das remunerações nos setores público e privado ao longo da década de 1990. Revista do Serviço Público, 54(1), 7-43. doi: 10.21874/rsp.v54i1.260
Marry, C. (2008). As carreiras das mulheres no mundo acadêmico: o exemplo da biologia. In A. O. Costa, B. Sorj, C. Bruschini, & H. Hirata (Eds.), Mercado de trabalho e gênero: comparações internacionais (p. 401-419). Rio de Janeiro, RJ: FGV.
Mattos, F. A. M. (2015). Trajetória do emprego público no Brasil desde o início do século XX. Ensaios FEE, 36(1), 91-122.
Mincer, J. (1974). Schooling, experience, and earnings. New York, NY: National Bureau of Economic Research.
Najberg, S., Moraes, R. M., & Ikeda, M. (2002). Participação dos empregos do setor público no mercado de trabalho. Informe-se, 42. Recuperado de https://www.bndes.gov.br/SiteBNDES/export/sites/default/bndes_pt/Galerias/Arquivos/conhecimento/informesf/Inf_42.pdf
Ñopo, H. (2008). Matching as a tool to decompose wage gaps. The Review of Economics and Statistics, 90(2), 290-299. doi: 10.1162/rest.90.2.290
Oaxaca, R. (1973). Male-female wage differentials in urban labor markets. International Economic Review, 14(3), 693-709. doi: 10.2307/2525981
Oaxaca, R., & Ransom, M. (1999). Identification in detailed wage decompositions. The Review of Economics and Statistics, 81(1), 154-157.
Pinheiro, S. S., & Sugahara, T. (2001). Perfil dos funcionários públicos ativos nas áreas federal, estadual e municipal - comparação de bases disponíveis: RAIS, PNAD e SIAPE. (Texto para Discussão IPEA, 837). Rio de Janeiro, RJ: Ipea. Recuperado de http://www.ipea.gov.br/portal/images/stories/PDFs/TDs/td_0837.pdf
Ramos, L., & Vieira, M. L. (1996). A relação entre educação e salários no Brasil. In IPEA (Org.), A economia brasileira em perspectiva 1996, 2 (p. 493-510). Rio de Janeiro, RJ: Ipea.
Schultz, T. (1961). Investment in human capital. The American Economic Review, 51(1), 1-17.
Scorzafave, L. G., & Pazello, E. T. (2007). Using normalized equations to solve the indetermination problem in the Oaxaca-Blinder decomposition: an application to the gender wage gap in Brazil. Revista Brasileira de Economia, 61(4), 535-548. doi: 10.1590/S0034-71402007000400006
Vaz, D. V. (2013). O teto de vidro nas organizações públicas: evidências para o Brasil. Economia e Sociedade, 22(3), 765-790. doi: 10.1590/S0104-06182013000300007
Yun, M. S. (2005). A simple solution to the identification problem in detailed wage decompositions. Economic Inquiry, 43(4), 766-772. doi: 10.1093/ei/cbi053
Notas
Autor notes
daniela.vaz@unifesp.br