Aplicada y Analítica
Caracterización química de material particulado PM10 en la atmósfera de La Guajira, Colombia
Chemical characterization of particulated atmospheric matter PM10 in Guajira, Colombia
Caracterização química do material particulado PM10 na atmosfera da Guajira, Colombia
Caracterización química de material particulado PM10 en la atmósfera de La Guajira, Colombia
Revista Colombiana de Química, vol. 45, núm. 2, pp. 19-29, 2016
Universidad Nacional de Colombia

Recepción: 13 Abril 2016
Aprobación: 11 Junio 2016
Resumen: Durante el año 2013, se realizó un estudio en La Guajira, Colombia, con el fin de determinar la fracción respirable y la fracción acuosa del material particulado PM10, producto de las actividades mineras de carbón a cielo abierto que ocupan casi 30% del territorio; también se evaluó su asociación a fuentes naturales y antropogénicas. La recolección de filtros se realizó por medio de un sistema de monitoreo conformado por catorce estaciones mediante equipos muestreadores de alto volumen PM10 (Thermo Scientific VFC-PM10 High Volume Air Sampler). Para el análisis, los filtros de cuarzo fueron sometidos a extracción acuosa en caliente y se determinaron los iones por espectrofotometría UV-VIS. Las concentraciones más altas corresponden a la especies SO42- (0,25 μg/m3), Cl- (0,19 μg/m3), NH4+ (0,032 μg/m3), Na+ (1,98 μg/m3), Ca2+ (0,40 μg/m3) y Mg2+ (0,31 μg/m3). Los resultados indican que las principales fuentes responsables del material particulado corresponden al aerosol marino impulsado por las corrientes (Cl- y Na+) de origen natural, y las actividades agrícolas, pecuarias (NH4+) y mineras (SO42-, Ca2+ y Mg2+) de origen antropogénico.
Palabras clave: Material particulado PM10, composición química, iones solubles, actividades mineras, La Guajira.
Abstract: During 2013, a study in La Guajira, Colombia, was conducted to characterize both aqueous and respirable fractions of particulate matter PM10, result of coal mining activities that occupy nearly 30% of the territory, and to evaluate its association with natural and anthropogenic sources. Filters collection was carried out through a monitoring system that consists in fourteen stations, using a high volume sampling equipment PM10 (Thermo Scientific VFC-PM10 High Volume Air Sampler). The extraction was done with hot water and the analysis by UV-VIS spectrophotometry. The highest concentrations correspond to SO42- (0.25 μg/m3), Cl- (0.19 μg/m3), NH4+ (0.032 μg/m3), Na+ (1.98 μg/m3), Ca2+ (0.40 μg/m3) and Mg2+ (0.31 μg/m3). Results indicate that the main responsible sources of the chemical content in particulate matter correspond to marine aerosol, impulsed by sea currents (Cl- and Na+) from natural origin, and agricultural activities, livestock (NH4+) and mining (SO42-, Ca2+ and Mg2+) from anthropogenic origin.
Keywords: Particulate material PM10, chemical composition, soluble ions, mining activities, La Guajira.
Resumo: Foi realizado um estudo no ano 2013 na Guajira, Colômbia, com fim de determinar a fração respirável e a fração aquosa do material particulado PM10 produto da mineração de carvão a céu aberto que ocupa quase 30% do território; também foi avaliada sua associação com fontes naturais e antropogénicas. A coleta de filtros foi realizada por um sistema de monitorização composta por quatorze estações utilizando equipamento de amostragem de alto volume de PM10 (Thermo Scientific VFC-PM10 High Volume Air Sampler). Para a análise, os filtros de quartzo foram submetidas à extração aquosa a quente e foram determinados os íons por espectrofotometria UV-VIS. As concentrações mais elevadas correspondem às espécies SO42- (0,25 μg/m3), Cl- (0,19 μg/m3), NH4+, (0,032 μg/m3), Na+ (1,98 μg/m3), Ca2+; (0,40 μg/m3) e Mg2+; (0,31 μg/m3). Os resultados indicam que as principais fontes responsáveis do material particulado de origem natural correspondem ao aerossol marin o conduzido pelas correntes oceânicas (Cl- e Na+), as atividades agrícolas, pecuárias (NH4+) e mineiras (SO42-, Ca2+ e Mg2+) de origem antropogénica.
Palavras-chave: Material particulado PM10, composição química, iões solúveis, actividades mineração, La Guajira.
Introducción
La región de La Guajira, al norte de Colombia, atraviesa un importante desarrollo económico, industrial y minero, que trae como consecuencia el aumento de la contaminación, deteriorando la calidad del aire. Esta zona del país cuenta con un clima desértico y condiciones meteorológicas que contribuyen a la acumulación de material particulado (MP) (1). En estas condiciones, las partículas atmosféricas constituyen uno de los problemas de contaminación más frecuente, al no existir mecanismos naturales para mantener la humedad en los suelos y para lavar la atmósfera. Las partículas atmosféricas son componentes importantes de la atmósfera, pues intervienen activamente en la química y en la física de la atmósfera, especialmente en los procesos de formación de nubes y en el balance radioactivo (2).
En cuanto a su tamaño, las partículas menores a 10 μm o PM10 son partículas sólidas o líquidas dispersas en la atmósfera. La mayoría de los estudios de especiación química del material particulado muestran una dependencia entre composición química y tamaño de las partículas. Así, sulfato, amonio, ión hidrógeno, carbón elemental, componentes orgánicos secundarios, especies orgánicas primarias de quemas y combustión y ciertos metales de transición son predominantes en la fracción fina del material particulado (3).
En relación a su composición, los principales componentes del material particulado son: sulfato, nitrato, amonio, ión hidrógeno, agua adherida a las partículas, carbono elemental, una gran variedad de compuestos orgánicos y elementos de la corteza terrestre (3). Del mismo modo, incluye elementos livianos como el aluminio, silicio, potasio, calcio, y otros pesados como hierro, zinc, vanadio, titanio, cadmio, plomo, mercurio y antimonio; además compuestos orgánicos de elevada toxicidad y potencial efecto cancerígeno y mutagénico (4).
El conocimiento de la composición química de las partículas que se encuentran en el aire es importante desde el punto de vista epidemiológico y técnico, ya que permite por un lado, determinar el potencial efecto en la salud humana por la presencia de sustancias tóxicas y cancerígenas adheridas a este material y por otro, valorar el aporte de las fuentes de emisión a la contaminación del aire (5).
Sin embargo, los estudios que se han realizado sobre la calidad del aire de La Guajira han considerado solo la concentración en masa del material particulado, pero no se ha tenido en cuenta la composición química. El presente estudio se centró en la caracterización del contenido químico de las partículas PM10 de La Guajira, considerando que la deposición seca de importantes especies (NO3-, NH4+, K+ y PO43- entre otros) es función de las concentraciones atmosféricas. Estas determinaciones permiten evaluar la entrada de estas sustancias al sistema suelo-vegetación, donde se consideran también los nutrientes (6). De igual modo, el estudio buscó evaluar la relación entre la composición química de las partículas con las actividades naturales y antropogénicas que caracterizan a esta región del país.
Ahora bien, en La Guajira la dispersión de las partículas suspendidas y su disolución en la atmósfera está condicionada por los factores climáticos característicos de una zona insular que presenta temperatura promedio de 29,3 °C (con intervalo 22,5-34,7 °C), humedad relativa de 70,5% (con intervalo 34-90%), velocidad del viento de 6,8 km/h (con intervalo de 0,4-10,9 km/h) en las direcciones principalmente oeste-noroeste y noroeste y promedio de lluvia de 2,4 mm (con intervalo de 0,25-38,10 mm) (7).
La humedad en la atmósfera origina un problema de dispersión de la luz, reduciendo la visibilidad. Asimismo, cuando la humedad relativa excede el 70%, muchos tipos de partículas presentan un cambio de fase y se convierten en gotas de niebla, lo cual también disminuye la visibilidad (8) y favorece la aparición de contaminantes secundarios peligrosos, tales como las sustancias responsables de la lluvia ácida.
La fracción de compuestos solubles en agua de las partículas suspendidas en la atmósfera contiene la mayoría de las especies biogeoquímicamente activas, cuya evaluación constituye un aporte importante al estudio de los ciclos de los nutrientes en una región determinada (9).
Como anteriormente se dijo, el estudio se realizó debido a la necesidad de una evaluación de la calidad del aire de esta zona costera de Colombia, lo que permite tener información básica sobre el contenido químico de las partículas atmosféricas. De esta forma, se buscó sensibilizar a las comunidades en pro de minimizar la emisión de los contaminantes atmosféricos que son liberados al ambiente, para disminuir los riesgos a la salud y favorecer la preservación de los recursos naturales.
Materiales y métodos
Muestreos
Para determinar la composición química de las partículas naturales y antrópicas, se colectaron muestras de PM10 en seis municipios del Departamento de La Guajira, localizado entre los 10°23'-12°28' N y 71°06'-73°39' W, durante un periodo de diez meses (de marzo a diciembre de 2013), teniendo en cuenta lo establecido en el protocolo y seguimiento de la calidad del aire (10). Para la ubicación de las estaciones de muestreo se consideraron catorce puntos ubicados estratégicamente, teniendo en cuenta el área de influencia directa de la explotación minera por parte de las empresas Carbones del Cerrejón Limited y Carbones Colombianos de Cerrejón (Figura 1).

Se recolectaron 140 muestras del polvo atmosférico por medio de filtros de cuarzo de 23,3 x 25,4 cm mediante muestreadores de alto volumen PM10 (Thermo Scientific VFC-PM10 High Volume Air Sampler). Estos filtros cuentan con un pH ligeramente mayor a 7,5 y una eficiencia de colección del 99% de partículas > 0,3 μm de diámetro (10). Los filtros fueron acondicionados 24 h antes de pesarlos a una temperatura de 25 °C y una humedad relativa del 45%. El tiempo de muestreo fue 24 h continuas con flujo entre 1,10 y 1,34 m3/min.
Extracción y análisis
Para la extracción acuosa de los iones solubles, cada filtro fue divido en dos partes. A la mitad del filtro se le realizó una extracción acuosa en caliente (80 °C) para el análisis de sales solubles, con agitación magnética durante 30 min. Posterior a la extracción, se realizó filtración al vacío (filtro Whatman® de fibra de vidrio 0,45 μm) para obtener un extracto final de aproximadamente 200 mL. Este extracto fue llevado a volumen con agua desionizada en un balón aforado de 250 mL.
La solución aforada se dividió en dos fracciones, una para el análisis de cationes (Na+, K+, Ca2+, Mg2+, B3+), adicionada con HNO3, y la otra fracción para el análisis de aniones (Cl-, NO2-, NO3-, PO43-, SO42-) y amonio (NH4+), preservada con CH3Cl. Después del acondicionamiento, estas dos fracciones fueron preservadas por refrigeración a 4 °C hasta su posterior análisis (11). Los aniones y el amonio fueron analizados por espectrofotometria UV-VIS con un equipo HACH DR 5000™ UV-Vis con lámpara de tungsteno en atmósfera gaseosa (visible) y lámpara de deuterio (UV), una precisión de longitud de onda de +/- 1 nm (en el rango de longitud de onda de 200-900 nm: Cl- 455 nm, NH4+ 640 nm, NO2- 543 nm, NO3- 543 nm, PO43- 885 nm, SO42- 420 nm), reproducibilidad de longitud de onda de < 0,5 nm, resolución de 0,1 nm y velocidad de escaneo de 900 nm/min; operado en condiciones de 10 a 40 °C y humedad relativa máxima del 80% (sin condensación).
Se emplearon los siguientes estándares para la calibración: NO3-, NH4+, NO2-, PO43-, Cl- MERCK de 1000 mg/L. Los cationes fueron analizados por medio de ICP-MS (Espectrometría de Masas con fuente de Plasma de Acoplamiento Inductivo) con un equipo Agilent 7700 Series ICP-MS, utilizando Argón 5,0 como gas de arrastre a 0,9 L/min, bomba de nebulización a 0,4 rps, tiempo de retención de 0,3 s y la utilización de solución patrón multielemental ICP: Solutions Plus Inc. (5% HNO3) de Na, K, B, Ca, Mg (50 ppm c/u) MERCK.
Análisis estadístico
Para el análisis estadístico se aplicaron varios criterios como la prueba de rechazo de Chauvenet, pruebas de medias normales, con varianza y medias desconocidas t-Student, coeficiente de correlación lineal, series de tiempo (para el caso de las concentraciones en los diferentes períodos de monitoreo), análisis de correlación (entre concentración de iones) y análisis de componentes principales (PCA por sus siglas en inglés) para las concentraciones en los diferentes sitios de monitoreo, con el objeto de determinar posibles asociaciones (procedimiento de rotación Varimax); mediante la utilización del software IBM SPSS Statistics versión 21. Teniendo en cuenta que durante los procesos de extracción y análisis de las muestras se pierde cantidad de masa de cada ión, se procedió a determinar los respectivos porcentajes de recuperación en muestra preparada de concentración conocida y el respectivo análisis de un filtro de cuarzo en blanco.
Estandarización del método analítico
Para la validación del método y el tratamiento de las muestras se tuvo en cuenta la evaluación de los parámetros de linealidad, precisión, exactitud, límite de detección y de cuantificación; para la cuantificación por medio de espectrofotometría UV-VIS se tomaron como base soluciones 0,1 mg/L de cada ión, partiendo de la respectiva solución stock (1000 mg/L MERCK) y la cuantificación por medio ICP-MS tuvo en cuenta la solución patrón multielemental (50 mg/L MERCK).
Para la linealidad, se tomaron alícuotas correspondientes a seis concentraciones diferentes (0,0005 ± 11 x 10-5; 0,001 ± 17 x 10-4; 0,005 ± 18 x 10-4; 0,01± 0,0025; 0,1 ± 0,008 y 0,5 ± 0,006 mg/L) de las disoluciones patrón en el rango de aplicación del método (UV-VIS 0,002-0,25 mg/L, ICP-MS 0,001-0,30 mg/L). La precisión fue realizada por determinación de la desviación estándar y coeficiente de variación (CV) de los resultados del análisis, para n = 10, de muestras reales en condiciones de repetibilidad. La exactitud fue definida en términos de porcentaje de error relativo; para los estándares analizados este porcentaje de error relativo fue menor a lo esperado (< 5%) para dos analistas diferentes. La evaluación de los parámetros mencionados fue realizada para la concentración de 0,1 mg/L. Para la determinación de límite de detección y de cuantificación, se realizaron determinaciones en muestras de blancos o concentración baja del analito para n = 10.
Resultados y discusión
Control de calidad
En la Tabla 1 se muestran los resultados de los criterios tenidos en cuenta para la validación del método analítico. En general los valores registrados para este estudio, indicaron condiciones aceptables garantizando la confiabilidad de los resultados.

Concentraciones de partículas y de iones solubles sobre La Guajira
La influencia de los vientos y el clima semidesértico de La Guajira favorecen la resuspensión de partículas en el aire. En la zona minera del carbón, la resuspensión también se ve favorecida por las actividades de excavación y el tránsito vehicular que presenta, lo que explica una concentración media anual de 35,6 μg/m3 (12) (Tablas 2A y 2B). Como se observa, este valor no supera el límite máximo permitido de 50 μg/m3 de acuerdo con la Norma Oficial Colombiana (13), pero es superior al propuesto por la OMS de 20 μg/m3.


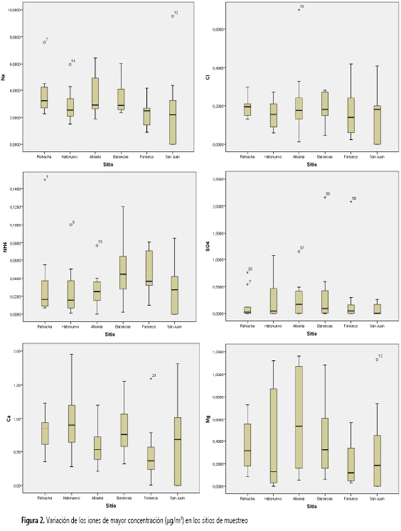
En cuanto a su contenido químico, los iones solubles de mayor concentración corresponden a SO42- (X = 0,25 μg/m3, σ = 0,43), Cl- (X = 0,19 μg/m3, σ = 0,11), Na+ (X = 1,98 μg/m3, σ = 1,70), Ca2+ (X = 0,40 μg/m3, σ = 0,44) y Mg2+ (X = 0,31 μg/m3, σ = 0,35) (Tablas 2A y 2B). La zona con las mayores concentraciones de Na+ (p = 0,402, X = 3,71 μg/m3, σ = 1,57) y Cl- (p = 0,772, X = 0,216 μg/m3 σ = 0 05) es Riohacha localidad que se encuentra ubicada rente a la costa lo que indica la derivación de estas especies del aerosol marino que son arrastrados por los vientos hacia las demás zonas de La Guajira (Figura 2).

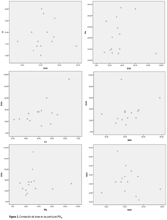
Las más altas concentraciones de SO42- se registran en las zonas de Barrancas (X = 0,370 μg/m3, σ= 0,66), Fonseca (X = 0,272 μg/m3, σ = 0,64) y Albania (X = 0,274 μg/m3, σ = 0,36), que corresponden a los sitios donde opera la mina de explotación de carbón mineral a cielo abierto (Figura 2). La correlación significativa entre Na+ y SO42- (p = 0,05 r = 0,578) (Tabla 3) indica que, de manera natural, el sulfato se deriva del aerosol marino (Figura 3) (14). Como se puede observar en la Tabla 4, el sulfato es excesivo con respecto al agua de mar, el cual fue calculado usando Na+ como referencia y la composición del agua de mar (15) (ecuación 1).



Esta información puede indicar que el sulfato en exceso, está asociado a la oxidación atmosférica del agua y otros gases o compuestos de azufre, producidos por el proceso de combustión de los vehículos automotores, como principales constituyentes del sulfato en esta zona (16). También este exceso puede atribuirse a los compuestos sulfurados producidos en el suelo y por las plantas (17).
Las emisiones de SO2 y NO2 provenientes de las áreas industriales se oxidan en la atmósfera a SO42- y NO3-, respectivamente, por reacciones homogéneas y heterogéneas durante su transporte (18).
Estos iones inorgánicos pueden ser neutralizados por NH4+, formado por el NH3 gaseoso que se emite en las áreas agrícolas. Ellos usualmente existen en la forma de (NH4)2SO4, NH4HSO4 y NH4NO3 (19). La correlación que existe entre el SO42- y el NH4+ (0,654) indica la presencia de estos iones en la forma de (NH4)2SO4 (Figura 3).

De manera general, las concentraciones de NO3- son muy bajas en todos los sitios (X = 0,0048 μg/m3, σ = 0,01) (Tabla 2A). El SO42- y NO3- son los iones ácidos en la atmósfera, sin embargo en los ambientes marinos costeros, el SO42- es considerado la mayor especie ácida. Esto se debe a que el NH4+ y NO3- contenidos en el aerosol son utilizados por el fitoplancton marino (16). Al igual que el NO3-, el NH4+ también se encuentra en baja concentración (X = 0,032 μg/m3, o = 0,03) (Tabla 2A), lo que indica que es poco probable la formación de NH4NO3 (Figura 3).
Del mismo modo, la formación de nitrato de amonio en la atmósfera está regida por el siguiente equilibrio (20) (ecuación 2).

Se observa que las concentraciones más altas de NH4+ se registran en las zonas de Barrancas (X = 0,494 μg/m3, σ = 0,03) y Fonseca (X = 0,471 μg/m3, σ = 0,02) (Figura 2), lo que indica que probablemente sea producto de la actividad pecuaria que se desarrolla en estos municipios. Las actividades pecuarias producen altas emisiones atmosféricas de NH3 proveniente de los desechos o excretas del ganado (15) que conducen finalmente a la formación de amonio por conversión química. Estos municipios también se caracterizan por su actividad agrícola. Estas zonas tienen una participación agrícola del 56,3% en la economía de la región (21).
Así mismo, la mayoría de los fertilizantes que se aplican en las prácticas agrícolas son derivados amoniacales y de la urea. Estos compuestos son hidrolizados en el suelo, gracias a la intervención de la enzima ureasa, dando lugar a la formación de carbonato de amonio (22).
En ambientes con concentraciones bajas de NH4+ y elevadas de Na+ y/o Ca2+ es posible obtener también la neutralización del sulfato según las reacciones descritas en las ecuaciones 3 y 4 y la consecuente formación de sulfato sódico y cálcico particulado en suspensión (23).


El fosfato se encuentra en concentraciones relativamente bajas, sugiriendo al menos dos fuentes diferentes. El origen del PO43- en las partículas podría ser a través de la oxidación del PH3 gaseoso producido en los ambientes reductores (carente de oxígeno libre y rico en gases como el metano y el amoniaco) y las heces (24, 25); la otra fuente podría corresponder a procesos biológicos que ocurren en la vegetación o en los suelos (26).
El cloruro no presenta una concentración excesiva con respecto al aerosol marino, sino que existe un déficit de este ión en las partículas, algo similar fue observado en los Llanos Centrales de Venezuela (27). Esto muestra que no existen fuentes significativas de Cl- en la región. El déficit de Cl- puede ser explicado por la liberación de HCl de las partículas, debido a su reacción con ácidos fuertes, según la reacción descrita en la ecuación 5 (28).

La Tabla 4 nos muestra que los excesos del Ca+ y Mg2+, con respecto al aerosol marino, son muy altos, mayores al 50%, lo que indica que la resuspensión del suelo se presenta como una fuente principal de estos iones. Lo anterior quiere decir que las concentraciones de Ca2+ y Mg2+ deben estar relacionadas con la contribución del suelo, sumada a la influencia del aerosol marino y el material particulado proveniente de la zona desértica, principalmente en la época de sequía. El calcio presente en el polvo atmosférico se encuentra en la forma de carbonatos e interviene en forma significativa en la neutralización de los ácidos atmosférico (ecuación 6).

Si el ambiente acuoso es suficientemente ácido, el ión bicarbonato establece un equilibrio con el ácido carbónico (ecuación 7).

el cual, a su vez, está en equilibrio con el CO2 disuelto (ecuación 8).

que finalmente está en equilibrio con el CO2 atmosférico (ecuación 9).

Es decir que, en última instancia, la acidez libre sale del sistema por emisión de CO2 a la atmósfera (29).
En un estudio efectuado en regiones de la sabana de Venezuela (30) se observó que entre 50 y 80% del contenido total de Ca y Mg en las partículas suspendidas, se encuentran en la forma insoluble (probablemente como carbonatos y compuestos orgánicos), indicando que los aerosoles de esta región tendrían un buen potencial para neutralizar ácidos gaseosos.
Distribución espacial y temporal de iones solubles en PM10 sobre La Guajira
En términos generales, a excepción del Na+, no se observa una variación significativa de las concentraciones de los iones contenida en las partículas en los distintos sitios de estudio (Tabla 5). Esto indica, en principio, que estas especies son producidas por las mismas fuentes: el aerosol marino y la formación de aerosoles calcáreos de Mg2+ y Ca2+ provenientes del suelo por turbulencia del viento.

Para el caso del Na+, se puede observar que los niveles de este ión dependen de la distancia del mar a que se encuentra el lugar de mediciones, se observa alta concentración en Riohacha, que es un sitio costero; a diferencia de Fonseca y San Juan, en donde las concentraciones son relativamente bajas, en concordancia con su distancia del océano.
Con relación a la asociación de los iones en la Figura 4, que corresponde a los análisis de rotación, se indica que en el factor 1 las variables Na+, NH4+ y SO42- corresponden estadísticamente a iones asociados; similarmente ocurre para las variables B3+ y Ca2+ en el factor 2. Esto podría corresponder a que estas especies provienen de las mismas fuentes naturales como el aerosol marino y el suelo. Para el caso de Mg2+, NO2- y PO43- resultan ser variables estadísticamente independientes, pudiéndose considerar entonces, como variables libres o también con muy poca posibilidad de tener asociaciones con las variables anteriores. La variable correspondiente a NO3- resulta independiente al no presentar asociaciones.

Así mismo, el análisis de conglomerado jerárquico, realizado para agrupar los iones teniendo en cuenta los sitios de estudio (Figura 5), indica que las partículas atmosféricas en las zonas de las poblaciones de Chancleta, Remedios, Tablazo, Papayal, Sitio Nuevo, Cañaveral, Roche y Conejo presentan similitud en cuanto al contenido químico de los iones, con variabilidad según la época del año. Teniendo en cuenta que estas poblaciones, al igual que Barrancas, Fonseca y San Juan, hacen parte de los municipios con la mayor actividad operaria de la zona minera del carbón, se puede indicar la responsabilidad de esta actividad antropogénica en la composición química del material particulado, pues durante las operaciones mineras a cielo abierto se emiten materiales alcalinos sólidos (principalmente carbonatos de calcio y magnesio) provenientes de suelo (31).

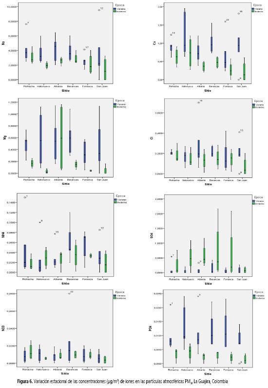
La Figura 6 ilustra mayores concentraciones de iones durante el período de sequía o verano (alrededor de 50%) que en el periodo de invierno o de lluvias. El aumento en la concentraciones atmosféricas de los iones solubles en agua durante la temporada seca puede deberse a varios factores: 1) durante esta época, los vientos tienen su mayor intensidad, con predominancia en la dirección NNE (Figura 7), lo cual favorece la resuspensión de partículas al suelo y el transporte de aerosoles marinos, además posibilita el transporte de partículas suspendidas de la región desértica del norte del territorio de La Guajira; 2) las quemas o incendios de material vegetal que se suceden en la época de sequía, en las zonas agrícolas, producen emisiones primarias de K+ y Ca2+, y emisiones secundarias de NO3-, SO42- y NH4+ por reacción de NOX, SO2 y NH3, así mismo, se ha señalado que es posible que ocurran emisiones de Cl-, Na+ y Mg2+ (32, 3) durante la época de lluvias, el lavado de las partículas solubles disminuye su concentración atmosférica total (33).


En Colombia, la norma correspondiente a la calidad del aire (13), no incluye límites de concentración de partículas atmosféricas para los iones determinados en este estudio. Al comparar las concentraciones de los iones de las partículas en la atmósfera de La Guajira con otras regiones del mundo, se observa (Tabla 6) que las concentraciones de Cl- son muy bajas (entre 10 y 60 veces menor) al igual que las de Na+ (aproximadamente 2 veces menor), comparadas con las reportadas en zonas de Venezuela muy cercanas de La Guajira colombiana, como Paraguaipoa y Maracaibo, cuyas atmósferas están influenciadas fuertemente por el aerosol marino (34, 35). El SO42- también presenta menor concentración que el reportado para la zona de Valencia (Venezuela) (33), Atenas (36), India y Portugal (37).

Esta diferencia en cuanto a concentraciones de especies químicas en las PM10 en La Guajira, con respecto a otras zonas del mundo, podría estar relacionada con la particularidad de eventos astronómicos y geográficos muy marcados de esta zona, que generan ambientes climáticos contrastantes: el movimiento de las corrientes marinas cálidas en la Costa norte de Colombia, la intensidad de los vientos alisios del noreste, aunado a la presencia de cadenas montañosas en la zona sur que detienen los vientos. Es de considerar además la ubicación de La Guajira en la pequeña región de calma ecuatorial que separa los movimientos de las masas de aire en los dos hemisferios, lo que dificulta el intercambio descontaminantes entre éstos, causando la existencia de cierta asimetría en cuanto a la distribución de los contaminantes en ambos hemisferios.
Esta situación conlleva a que se observen mayores niveles de especies químicas y/o contaminantes en el hemisferio norte que en el sur. Además se debe tener en cuenta que la proporción del océano, que es el principal sumidero de contaminantes atmosféricos, respecto a la superficie continental es significativamente mayor en el hemisferio sur que en el norte (38).
Conclusiones
La atmósfera de La Guajira constituye un sistema muy dinámico que recibe emisiones de contaminantes de partículas y gases provenientes de fuentes naturales y antrópicas, los cuales son removidos de la atmósfera mediante los procesos de depositación húmeda y seca. Las PM10 se encuentran constituidas químicamente en su mayoría por Na+ (1,98 μg/m3), Cl- (0,19 μg/m3), SO42- (0, 25 μg/m3), Ca2+ (0,40 μg/m3) y Mg2+ (0,31 μg/m3). Las concentraciones de los iones analizados presentan un descenso en la época de lluvia, casi en un 50%, siendo las concentraciones de Ca2+ (p = 0,0), Mg2+ (p = 0,0) y PO43- (p = 0,0) las más marcadas.
En general (a excepción del Na+) los iones no presentan variación espacial significativa, ello sugiere una homogeneidad de las fuentes, y ningún impacto significativo directo de otras fuentes puntuales (incendios forestales, quemas en épocas de sequía, circulación de vehículos) sobre la composición química de la atmósfera regional.
Más del 50% del K+, Ca2+, Mg2+ y SO42- presente en el área de estudio es de origen no marino, indicando una fuente adicional que puede ser el suelo, debido a los procesos de resuspensión de partículas influenciado por el viento y las actividades mineras del carbón a cielo abierto. Por su parte, los niveles de amonio son bajos, lo que indica que esta especie se encuentra neutralizando al ácido sulfúrico. Los niveles de fosfato son bajos y se discute su posible formación a partir de la fosfina gaseosa. Las concentraciones de los iones en La Guajira resultaron inferiores a los reportados en la bibliografía para otros estudiosrealizados en zonas muy cercanas como Venezuela y otras del mundo.
Referencias
1. AMBIENTEC. Diseño de una red de monitoreo de recurso aire para los municipios y el corredor del transporte del carbón. La Guajira, Riohacha, 1999.
2. Estévez, A.; Montero, A.; López, S.; González, P.; Hernández, I.; Pérez, A. et al. Biomonitoreo de la contaminación atmosférica en La Habana durante la campaña 2004-2005. Nucleus, 2010, 50, 18-23
3. Quijano, A.; Quijano, M.; Henao, J. Caracterización fisicoquímica del material particulado fracción respirable PM 2.5 en Pamplona Norte de Santander-Colombia. Bistua, 2010, 8 (1), 53-66.
4. Chong, N.; Sivaramakrishnan, K.; Wells, M.; Jones, K. Characterization of inhalable particulate matter in ambient air by scanning Electron microscopy and Energy -dispersive X-ray analysis. EJEAFCh, 2002, 1 (3), 145-164.
5. Sanhueza E.; Crutzen P. Budget of fixed nitrogen in the Orinoco savannah region: The role of pyrodenitrification. Global Biogeochem. Cycles, 1998, 12 (4), 653-666. DOI: https://doi.org/10.1029/98GB02314
6. Piñeiro, M.; López, P.; Muniategui, D.; Prada, X.; Querol, A.; Alastuey, A. A new method for the simultaneous determination of PAH and metals in samples of atmospheric particulate matter. Atmos. Environ. 2003, 37 (29), 4171-4175. DOI:https://doi.org/10.1016/S1352-2310(03)00523-5
7. Corporación Autónoma Regional de La Guajira-Corpoguajira. Condiciones climáticas de La Guajira año 2013 División de Control y Monitoreo Ambiental, Reporte Anual, Riohacha, 2014.
8. ICLAM. Evaluación de la calidad del aire en los municipios Maracaibo, San Francisco y Paéz. Niveles y Tendencias. 1995-2003. Estado Zulia, Venezuela, 2004.
9. Doménech, X. Química Atmosférica: origen y efectos de la contaminación. Miraguano Ediciones; Madrid, España, 1995.
10. Ministerio de Ambiente, Vivienda y Desarrollo Territorial. Protocolo para el monitoreo y seguimiento de la calidad del aire. Bogotá, Colombia, 2010.
11. Doria, C. Estudio sobre la composición química de la lluvia y partículas suspendidas en un sitio del área de influencia de las actividades de explotación del carbón mineral en La Guajira Colombiana. Tesis de maestría, Facultad Experimental de Ciencias, Universidad del Zulia, Maracaibo, 2002.
12. Corpoguajira- Corporación Autónoma Regional de La Guajira. Fortalecimiento y operación del sistema de vigilancia de la calidad del aire (SVCA) de Corpoguajira en todo el departamento de La Guajira. Informe Especial de Avances Técnicos, Riohacha, 2015.
13. Ministerio de Ambiente, Vivienda y Desarrollo Territorial. Resolución 610 "Por la cual se modifica la resolución 610 del 14 de Abril del 2006. Bogotá, 2010.
14. Pacheco, M.; Sanhueza, E.; Romero, J. Química atmosférica en la Gran Sabana II: Distribución de tamaño y composición de los aerosoles solubles en agua. Interciencia, 2005, 30, 602-610.
15. Sanhueza, E.; Rondón, A. Particle-Size Distribution of inorganic water soluble ions in the Venezuelan Savannnah atmosphere during burning and nonburning periods. J. Atmos. Chem.1988, 7, 369-388. DOI: http://dx.doi.org/10.1007/bf00058711.
16. Kai, Z.; Yuesi, W.; Tianxue, W.; Yousef, M.; Frank, M. Properties of nitrate, sulfate and ammonium in typical polluted atmospheric (PM10) in Beijing. Atmos. Res.2007, 84, 67-77. DOI: https://doi.org/10.1016/j.atmosres.2006.05.004.
17. Nakamura, T.; Matsumoto, K.; Uematsu, M. Chemical characteristics of aerosols transported from Asia to the East China Sea. An evaluation of anthropogenic combined nitrogen deposition in autumn. Atmos. Environ.2005, 39, 1749-1758. DOI: https://doi.org/10.1016/j.atmosenv.2004.11.037.
18. Pope, C; Thun, M; Namboodiri, M; Dockery, D; Evans, J; Speizer, F et al Particulate air pollution as a predictor of mortality in a prospective study of U.S. adults. Am. J.Respir. Crit. Care Med.1995, 151 (3), 669-674. DOI: https://doi.org/10.1164/ajrccm/151.3_pt_1.669.
19. Paerl, H Enhancement of marine primary production by nitrogen-enriched acid rain. Nature1985, 315, 747-749. DOI: https://doi org/10 1038/315747a0.
20. Singh, H. Reactive nitrogen in the troposphere. Environ. Sci. Tecnol.1987, 21 (4), 320-327. DOI: https://doi.org/10.1021/es00158a001.
21. Otero, A. Río Ranchería: Entre la Economía, la biodiversidad y la cultura. En Documentos de Trabajo sobre economía regional, Banco de la República, Cartagena, 2013
22. Vallero, D. Environmental contaminants: assessment and control. Elsevier Academic Press. USA, 2004.
23. Hitchcock, D.; Spiller, L.; Wilson, W. Sulfuric acid aerosols y HCl release in coastal atmospheres: evidence de rapid formation on sulfuric acid particulates. Atmos. Environ. (1967). 1980, 14 (2), 165-182. DOI: https://doi.org/10.1016/0004-6981(80)90275-9.
24. Dévai, I.; Felfoldy, L.; Wittner, I.; Plosz, S. Detection of phosphine: new aspects of the phosphorus cycle in the hydrosphere. Nature1988, 333, 343-345. DOI: https://doi.org/10.1038/333343a0.
25. Jeongwon, K.; Byung, Ch.; Chang-Bok, L. Atmospheric transport of water -soluble ions (NO3-, NH46 and nss-SO4-2) to the southern East Sea (Sea of Japan). Sci. Total Environ.2010, 408, 2369-2377. DOI: https://doi.org/10.1016/j.scitotenv.2010.02.022.
26. Han, S.; Zhuang, Y.; Liu, J.; Glindemann, D. Phosphorus cycling through phosphine in paddy fields. Sci. Total Environ.2000, 258, 195-203. DOI: http://dx.doi.org/10.1016/s0048-9697(00)00570-2.
27. Arias, M. Deposiciones atmosféricas de Compuestos solubles en agua en la Sabana Venezolana. Tesis de Maestría. Instituto Venezolano de Investigaciones Científicas, Centro de Estudios Avanzados, Caracas, 1989.
28. Calvert, J.; Lazrus, A.; Kok, G.; Heikes, B.; Walega, J.; Lind, J. et al. Chemical mechanism of acid generation in the tropospheric. Nature1985, 317, 27-35.
29. Wayne, R. Chemistry of atmosphere. Clarendon Press: Oxford, USA, 1985.
30. Morales, J.; Hermoso, M.; Serrano, H.; Sanhueza, E. Trace elements in the Venezuelan savannah atmosphere during dry and wet periods, with and without vegetation burning. Atmos. Environ, Part A.1990, 24 (2), 407-414. DOI: https://doi.org/10.1016/0960-1686(90)90121 3.
31. Angulo, L.; Huertas, J.; Restrepo, G. Caracterización de Partículas Suspendidas (PST) y Partículas Respirables (PM10) producidas en Áreas de Explotación Carbonífera a Cielo Abierto. Inf. Tecnol.2011, 22 (4), 23-34. DOI: http://dx.doi.org/10.4067/s0718-07642011000400004.
32. Park, S.; Ondov, J.; Harrison, D.; Nair, N. Seasonal and shorter-term variations in particulate atmospheric nitrate in Baltmore. Atmos. Environ.2005, 39 (11), 2011-2020. DOI: http://dx.doi.org/10.1016/j.atmosenv.2004.12.032.
33. Martínez, Y Partículas suspendidas totales y contenido de nitrato, cloruro y sulfato en el aire de dos zonas de valencia. Rev. Ing. UC. 1997, 174, 163-172.
34. Morales, J. Estudio sobre la composición química de las deposiciones atmosféricas en la cuenca del Lago de Maracaibo Trabajo de Doctorado. Universidad Central de Caracas, Caracas, 1992.
35. Sánchez, L. Estudio sobre la remoción de contaminantes atmosféricos en el aire de la ciudad de Maracaibo Trabajo de Maestría Universidad del Zulia, Maracaibo, 1998.
36. Varma, G Impact of soil-derived aerosols on precipitation acidity in India Atmos Environ (1967) 1989, 23, 2723-2728 DOI: https://doi org/101016/0004-6981(89)90552-0.
37. Galloway, J; Likans, G; Keene, W; Miller, J The composition in remote areas of the world. J. Geophys. Res.1982, 87, 8771-8786. DOI: https://doi.org/10.1029/jc087ic11p08771.
38. Mehlmann, A.; Warneck, P. Atmospheric gaseous HNO3. Particulate nitrate, and aerosol size distribution of major ionic species at a rural site in Western Germany. Atmos. Environ.1995, 29 (17), 2359-2373. DOI: https://doi.org/10.1016/1352-2310(95)00056-5