Fisicoquímica e Inorgánica
Magnetita (Fe3O4): Una estructura inorgánica con múltiples aplicaciones en catálisis heterogénea
Magnetite (Fe3O4): An inorganic structure with many applications for heterogeneous catalysis
Magnetita (Fe3O4): Uma estrutura inorgânica com múltiplas aplicações em catálise heterogénea
Magnetita (Fe3O4): Una estructura inorgánica con múltiples aplicaciones en catálisis heterogénea
Revista Colombiana de Química, vol. 46, núm. 1, pp. 42-59, 2017
Universidad Nacional de Colombia

Recepción: 20 Junio 2016
Aprobación: 27 Septiembre 2016
Resumen: Se describió la intervención del mineral magnetita como catalizador o como soporte catalítico, un material inorgánico con una estructura de espinela inversa (FeFe2O4), en el desarrollo de un número importante de reacciones químicas de interés científico, tecnológico y ambiental. Debido a la necesidad actual de generar procesos químicos eficientes y favorables ambientalmente, la magnetita se ha convertido en un material promisorio en los contextos de la química verde, la química fina y la catálisis heterogénea. Este óxido de hierro se ha estudiado en diversas reacciones: catalizador másico, soporte catalítico de metales y de óxidos metálicos, núcleo de catalizadores tipo core-shell, o modificado mediante el anclaje de organocatalizadores y complejos metálicos. Se discute el desempeño catalítico de estos sistemas basados en magnetita, en reacciones de catálisis asimétrica, ambiental, ácido-base, de óxido-reducción, de síntesis multicomponente y de acoplamiento C-C. Particularmente, dichos catalizadores han mostrado enorme importancia en ciertas reacciones de tipo Sonogashira, Sonogashira–Hagihara, Mannich, Ullman, Knoevenagel, Suzuki-Miyaura y Fenton heterogénea, entre otras. Finalmente, se detallaron algunos usos tecnológicos de la magnetita en el contexto nacional (Colombia) y se intentó localizar geográficamente los depósitos importantes.
Palabras clave: magnetita, Fe3O4, catálisis, química verde, síntesis orgánica.
Abstract: This manuscript contains a review on the mediation of magnetite, an inorganic material with an inverse spinel structure (FeFe2O4), being used as either catalyst or catalytic support in many chemical reactions of scientific, technological and environmental interest. Because of current awareness on the efficient and environmentally friendly chemical processes, magnetite has become as a promising material in contexts such as green chemistry, fine chemistry, and heterogeneous catalysis. This iron oxide has been used in several reactions as bulk catalyst, catalytic support of either metals or metal oxides, core in catalysts type core-shell, or as solid modified by grafting with organocatalysts and metal complexes. The catalytic performance of these systems has been described in some chemical processes such as: asymmetric catalysis, environmental catalysis, acid-base catalysis, redox reactions, multicomponent synthesis reactions, and those of C-C coupling. Particularly, these catalysts have shown large importance in a variety of reactions: Sonogashira, Sonogashira–Hagihara, Mannich, Ullman, Knoevenagel, Suzuki-Miyaura, and the Fenton heterogeneous reaction, among others. Finally, some technological uses of magnetite in the national context (Colombia) are detailed, and localizing geographically the most important deposits of this mineral in the Colombian region was intended.
Keywords: magnetite, Fe3O4, catalysis, green chemistry, organic synthesis.
Resumo: Foi descrita uma intervenção do mineral magnetita, um material inorgânico com estrutura de espinela inversa (FeFe2O4), como catalisador ou como suporte catalítico no desenvolvimento de um número importante de reações químicas de interesse científico, tecnológico e ambiental. Devido à necessidade atual de gerar processos químicos eficientes e favoráveis ambientalmente, a magnetita surge como um material promissório nos contextos da química verde, da química fina e da catálise heterogénea. Este óxido de ferro é objeto de estudo em diversas reações: catalizador mássico, suporte catalítico de metais e de óxidos metálicos, núcleo de catalizadores tipo core-shell, ou modificado mediante o ancoragem de organocatalizadores e complexos metálicos. É descrito o desempenho catalítico deste tipo de sistemas em algumas reações de catálise assimétrica, ambiental, ácido-base, de óxido-redução, de síntese multicomponente y de acoplamento C-C. Particularmente, ditos catalisadores tem mostrado enorme importância em certas reações do tipo Sonogashira, Sonogashira–Hagihara, Mannich, Ullman, Knoevenagel, Suzuki-Miyaura e a reação Fenton heterogênea, entre outras. Finalmente, são detalhados alguns usos tecnológicos da magnetita no contexto nacional (Colômbia) e realiza-se um esforço por localizar geograficamente os depósitos mais importantes do mineral no território colombiano.
Palavras-chave: magnetita, Fe3O4, catálise, química verde, síntese orgânica.
Introducción
Recientemente la catálisis heterogénea se ha convertido en una herramienta estratégica tecnológica debido a sus ventajas relacionadas con los procesos de producción, competitividad y economía. Esta catálisis se aplica en diversas transformaciones químicas a nivel industrial, por ejemplo en la refinería de petróleo, en la síntesis de productos de química fina y farmacéuticos y en diversas síntesis orgánicas. En dichos procesos se minimiza el impacto ambiental, pues frecuentemente el uso de disolventes orgánicos inflamables y de reactivos tóxicos es menor. Así mismo, se reducen las condiciones drásticas de reacción y se simplifican las separaciones complejas mediante la generación de productos con mayor selectividad; además permite la fácil separación de los catalizadores de los sistemas de reacción y posibilita su reutilización (1).
Muchos de estos procesos de catálisis heterogénea han integrado el uso de catalizadores con partículas de tamaño nanométrico, por lo que en los últimos años un gran número de investigaciones se ha enfocado en la síntesis de nanopartículas férricas o ferrosas. Así, diversas formas de óxidos de hierro como FeO (wustita), a-Fe2O3 (hematita) y g-Fe2O3 (maghemita) se han empleado exitosamente en catálisis (2, 3, 4). Sin embargo, las nanopartículas de Fe3O4 (magnetita) han tomado mayor importancia en sus posibles aplicaciones gracias a que exhiben buena actividad catalítica, además de la posibilidad de ser modificadas mediante anclaje de ciertas especies químicas y a sus propiedades ferrimagnéticas que facilitan su separación de los medios de reacción mediante la aplicación de campos magnéticos de intensidad apropiada.
La magnetita se puede prepar fácilmente, sin embargo, también existen yacimientos a nivel mundial de los cuales puede ser obtenida y posteriormente purificada. Este óxido de hierro tiene una superficie suficientemente reactiva para inmovilizar metales, ligantes orgánicos, enzimas y otros tipos de moléculas que le confieren funcionalidades específicas. Generalmente se considera inerte en medios biológicos, lo que hace apropiado su uso en métodos de imagen y de separación en tejidos vivos (5). En este sentido, en el campo de la medicina y de la biotecnología, las nanopartículas de magnetita son útiles en la detección de hipertermia y en el transporte selectivo y liberación de fármacos, fenómenos con futuras aplicaciones en terapias contra el cáncer (6), en el mejoramiento y contraste de las imágenes por resonancia magnética para efectos de diagnóstico médico (7, 8), en la caracterización de fluidos magnéticos inteligentes (9), en la reparación de tejidos y en la separación celular (10).
La magnetita también se utiliza como soporte versátil de un gran número de catalizadores funcionalizados, empleados en la catálisis de una gran variedad de reacciones orgánicas e inorgánicas. En general, diversos óxidos nanoestructurados basados en magnetita son buenos dispositivos para la manufactura de materiales magnéticos, películas de protección sensibles y pigmentos, así como para el tratamiento y eliminación de residuos y agentes contaminantes del agua (11).
De esta manera, se considera de gran importancia destacar los trabajos científicos actuales más relevantes que involucran el uso de este mineral en el diseño de catalizadores heterogéneos. En el presente trabajo se realizó una revisión actualizada de las aplicaciones potenciales de la magnetita en la preparación de diversos sistemas catalíticos en estado sólido, utilizados en síntesis orgánica. Con ello se pretende consolidar cierta información fundamental que contribuya a avanzar en el diseño de nuevos materiales magnéticos, basados en Fe3O4, con propiedades catalíticas y de fácil separación. De igual manera, se describen otras aplicaciones de la magnetita como soporte funcional involucrado en procesos biotecnológicos e industriales. La caracterización de las micropartículas o nanopartículas sintetizadas en los estudios mencionados no se discute en esta revisión. Finalmente, se hace una descripción de los yacimientos de este mineral en Colombia y la importancia de su explotación para usos potenciales en procesos de catálisis heterogénea.
Estructura y propiedades de la magnetita (Fe3O4)
Mineralógicamente la magnetita es una mena corriente de hierro, se halla diseminada como mineral accesorio en muchas rocas igneas, en ocasiones formando grandes masas de mineral que generalmente son muy titaníferas y aparece asociada a rocas metamórficas cristalinas. También se encuentra en las arenas negras de las playas de mar, como hojas finas y como dendritas entre hojas de mica; es constituyente común de las formaciones férricas del precámbrico con origen químico sedimentario, principalmente en la región del Lago Superior. Estas formaciones contienen un 25% de hierro en forma de magnetita y constituyen hoy la fuente principal de hierro en los Estados Unidos de América (12). Los mayores depósitos del mundo se encuentran al norte de Suecia y otros depósitos importantes en Noruega, Rumania, Rusia, Siberia y África del sur (12).
Químicamente la magnetita, Fe3O4 (o también FeFe2O4), es un óxido mixto de hierro; su composición corresponde a 27,6% de oxígeno y 72,4% de hierro. Cristaliza en un sistema cúbico centrado en las caras (FCC de oxígenos, a = 8,40 Å) con estructura de espinela inversa, como se ilustra en la Figura 1. Su relación estequiométrica de cationes puede expresarse en la forma Fe3+(Fe2+.Fe3+)O4, con un grupo espacial Fd3m (1, 6). En su celda unitaria de 56 átomos, 32 son de oxígeno y 24 son cationes de hierro, de los cuales 16 están en forma férrica (Fe3+) y 8 en forma ferrosa (Fe2+). Los átomos de oxígeno forman una celda unitaria cúbica centrada en las caras y los cationes de hierro están alojados en los espacios intersticiales; las posiciones tetraédricas corresponden específicamente a cationes Fe3+ y en las posiciones octaédricas se alojan cationes Fe3+ y Fe2+ por igual (6, 13).

Estructura de espinela inversa de Fe3O4.
La mezcla de ambas posiciones (capas octaédricas y octaédricas/tetraédricas) a lo largo de la dirección [111] genera superposición de planos (111), los cuales se consideran más estables (con menor energía de superficie) en las estructuras FCC (14, 15). Una velocidad de crecimiento mayor en la dirección [100] con respecto a la velocidad de crecimiento del cristal en la dirección [111] ocasiona cristales de magnetita preferiblemente octaédricos (6). Los octaedros regulares presentan estructuras energéticamente favorables desde el punto de vista cristalográfico (energías de red cristalina más bajas), razón por la cual los cristales de magnetita se encuentran con mayor frecuencia en esta forma (16, 17). Sin embargo, de manera sintética es posible ejercer control sobre el crecimiento del cristal en direcciones preferenciales y con ello la obtención de partículas con diferentes morfologías (6, 14). En la Tabla 1 se describen algunas características generales para la magnetita natural.

En la estructura de Fe3O4, las dos posiciones cristalinas (tetraédricas y octaédricas) forman la base para dos subredes cúbicas intercaladas con contribuciones de momentos magnéticos desiguales y antiparalelos (18). Esto da lugar al comportamiento ferrimagnético a temperaturas menores que la temperatura Curie (T = 585 °C): los momentos magnéticos de los espines de todos los cationes Fe3+ se anulan entre sí y no contribuyen a la magnetización del sólido, en comparación con los cationes Fe2+ que sí tienen sus momentos magnéticos alineados en la misma dirección y su momento total es responsable de la magnetización neta de este tipo de material. Por encima de la temperatura Curie el óxido muestra un comportamiento paramagnético (19).
A temperaturas superiores a TV » 120 K (temperatura de Verwey) los electrones en los sitios octaédricos de la magnetita se encuentran térmicamente deslocalizados entre los cationes Fe3+ y Fe2+ (fenómeno conocido como electron hopping) (18, 20). Lo anterior ocasiona la mayor conductividad eléctrica y térmica en comparación con otros óxidos de características similares. Debido a este hecho la magnetita es la única ferrita que presenta comportamiento semimetálico (18).
Por otro lado, las propiedades magnéticas de este tipo de ferrita dependen fuertemente del tamaño de partícula. Cuando las partículas de Fe3O4 se reducen a escala nanométrica, sus propiedades magnéticas decaen: la magnetización de saturación (Ms), la remanencia magnética (Br) y la fuerza coercitiva (Hc) disminuyen drásticamente y, en consecuencia, las nanopartículas exhiben un comportamiento denominado superparamagnético (21). Dicho comportamiento se produce cuando la energía térmica de estas partículas puede superar ciertas fuerzas de unión, ocasionando que los momentos magnéticos atómicos fluctúen al azar. Así, las partículas superparamagnéticas adquieren cierta magnetización cuando se aplica un campo magnético externo pero, debido a su energía térmica, dicha magnetización se pierde cuando éste último es retirado (22, 23).
Finalmente, a nivel de la superficie, los sitios activos de la magnetita son tanto los cationes Fe3+ y Fe2+ como los átomos de oxígeno (aniones O2-) y su nivel de exposición depende de los planos mostrados preferencialmente por el cristal. Por ejemplo, para los planos (111), frecuentemente muy estables para esta estructura (Figura 2), los cationes Fe3+ que se comportan como ácidos de Lewis (24) se exponen en una monocapa formando celdas 2x2 de 5,94 Å (25). De igual manera, los átomos de oxígeno que no están totalmente coordinados actúan como bases de Brönsted (24). Por tanto, ambos sitios activos (átomos de hierro y de oxígeno) se encuentran en la superficie accesible a los sustratos, lo que confiere a la magnetita características potenciales como catalizador y como soporte catalítico magnético (24, 25).

Importancia de la magnetita (Fe3O4) en catálisis heterogénea
A pesar de sus ventajas, muchos sistemas catalíticos homogéneos no se comercializan debido a la dificultad para separar el catalizador del producto final de reacción (26). El uso de sistemas catalíticos heterogéneos es una estrategia adecuada que supera los problemas de separación, debido al empleo de materiales en fase diferente (típicamente sólidos) a la correspondiente de los reactivos y productos de la reacción. Sin embargo, muchas veces la separación del catalizador sólido se dificulta como consecuencia del tamaño de partícula, generalmente de escala nanométrica, haciendo ineficiente los procesos de filtración e incluso de centrifugación. En dicha situación es deseable contar con sólidos cuyas propiedades magnéticas faciliten su separación. En este sentido, la magnetita es usada con frecuencia en catálisis heterogénea por sus características: comportamiento ferrimagnético o superparamagnético (cuando las partículas son nanométricas) (27), fácil preparación, posibilidad de funcionalización de su superficie, estabilidad durante las reacciones y baja toxicidad, entre otras.
El efecto del tamaño de partícula es un factor determinante en los procesos catalíticos. Las nanopartículas (1-100 nm) exhiben propiedades substancialmente diferentes de las que presenta el material en forma másica con macropartículas (1). Generalmente, la actividad catalítica de la magnetita se incrementa con el empleo de nanopartículas, ya que éstas presentan mayor cantidad de sitios activos accesibles en comparación con las partículas más grandes, debido a la cantidad de átomos expuestos en la superficie del material. En una nanopartícula de 13 átomos se calcula que el 92% de éstos son átomos en la superficie, mientras que en una nanopartícula de 55 átomos sólo el 76% son átomos de la superficie, en una de 147 el 63%, en una de 309 el 52% y en una de 1415 el 35% (27). Esto favorece la funcionalización de la superficie de la magnetita con metales o ligantes apropiados con actividad catalítica específica.
Algunas generalidades sobre la caracterización de las partículas de magnetita
La caracterización de estas partículas magnéticas implica el análisis de un número amplio de parámetros químicos y físicos, como la morfología, la estructura, el tamaño, las características químicas de la superficie y la presencia de impurezas (1, 27). Dentro de las técnicas empleadas para dicha caracterización se contemplan la microscopía electrónica de transmisión (TEM) y la microscopía electrónica de barrido (SEM) para la determinación de morfología y tamaño; la dispersión dinámica de la luz (DLS) para la determinación de tamaño y distribución; microscopía de fuerza atómica (AFM) para el análisis de las características de la superficie a escala molecular; difracción de rayos X (DRX) para la identificación de estructuras cristalinas; fluorescencia de rayos X (FRX) para la determinación de la composición elemental; espectroscopía de fotoelectrones de rayos X (XPS) para determinar la naturaleza y estado de oxidación de los átomos de la superficie del material.
Adicionalmente, las isotermas de adsorción-desorción, donde se especifica la cantidad de gas adsorbido por unidad de masa del sólido a diferentes presiones, permiten determinar el área superficial y el tamaño de poros de estos materiales. Para la identificación de grupos funcionales presentes en la superficie del sólido y para la valoración de su acidez (Brönsted y Lewis) se emplea la espectroscopía infrarroja con transformada de Fourier (FT-IR). El cambio en los ambientes estructurales de los cationes de hierro de la magnetita, debido a modificaciones en el material, se evalúa frecuentemente por espectroscopía Mössbauer. El análisis de las propiedades magnéticas de las partículas de magnetita se desarrolla mediante curvas de magnetización-desmagnetización, a partir de las cuales se logra la determinación de parámetros como coercitividad, magnetización de saturación y magnetización remanente cuando se le somete a campos magnéticos.
En este sentido, el interés de muchas investigaciones a lo largo de los últimos años se ha centrado en la síntesis (y caracterización) de nanopartículas de magnetita y su acción directa como catalizadores, o como soporte magnético en la preparación de éstos, sobre lo cual se han encontrado múltiples aplicaciones en síntesis y transformaciones orgánicas (28, 29).
Aplicaciones de la magnetita en catálisis
La catálisis heterogénea está ganando, cada vez, más importancia en los procesos de producción de química fina y química farmacéutica debido a sus ventajas técnicas (30) deseables en química verde, entre las que se destacan: fácil separación de los catalizadores de los medios de reacción (favorecida cuando los materiales poseen comportamiento magnético) (27, 31, 32); reutilización de los mismos en varios ensayos sin pérdida considerable de la actividad catalítica; condiciones de reacción frecuentemente suaves o moderadas; alta selectividad y buenos rendimientos de reacción en tiempos cortos.
El uso de catalizadores heterogéneos en muchas reacciones de síntesis orgánica conlleva frecuentemente a obtener mejores rendimientos en tiempos muy cortos, a aumentar la selectividad (por ejemplo, enantioselectividad, diasteroselectividad, quimioselectividad y regioselectividad) hacia subproductos deseados, permitiendo que los posibles procesos industriales tengan menor impacto ambiental.
A continuación, se aborda la descripción de algunos estudios de síntesis orgánica en los cuales se ha utilizado magnetita, Fe3O4, como catalizador o como soporte catalítico para la inmovilización de metales o ligantes de diferente naturaleza.
Magnetita como catalizador en síntesis orgánica
La magnetita puede aportar sitios activos directamente, sin modificaciones ni funcionalización de su superficie, siendo catalizador de ciertas reacciones orgánicas gracias a sus propiedades óxido-reductivas. Por ejemplo, la Figura 3 ilustra la n-alquilación de aminas aromáticas usando alcoholes como electrófilos mediante un proceso de autotransferencia de hidrógeno (1, 33), pudiéndose reutilizar el catalizador hasta en 10 ensayos (34).

De igual forma, las nanopartículas de magnetita se usan predominantemente en reacciones multicomponentes debido a su carácter como ácido de Lewis. La síntesis de heterociclos tipo 2,3-dihidroquinazolin-4(1H)-onas (35) es un ejemplo de dichas reacciones catalizadas por Fe3O4 (Figura 4). Los ensayos de reacción se llevan a cabo con diferentes sustituyentes de aminas y aldehídos, variando la cantidad de Fe3O4 (se encontró que la mínima cantidad requerida corresponde a 15% molar). En todos los casos se obtuvieron elevados rendimientos de reacción (51 a 88%).

También se han sintetizado derivados de xanteno (36), compuestos de importancia biológica y terapéutica usados como sensibilizadores en terapia fotodinámica para destruir células tumorales. La síntesis se lleva a cabo mediante la condensación de compuestos con grupos carbonilo, como aldehídos aromáticos, con 1,3 ciclohexanodionas (Figura 5). En este caso la magnetita mantuvo la misma actividad catalítica en 5 ensayos de reacción.
Otra aplicación de interés es la reacción de Sonogashira–Hagihara (Figura 6), que puede ser catalizada con Fe3O4, lo que posibilita el acoplamiento entre alquinos y yoduros arílicos para producir alquinos arílicos en etilenglicol (33, 37). Esta reacción es útil en la síntesis de moléculas complejas; sus aplicaciones incluyen productos farmacéuticos y nanomateriales orgánicos de interés. El catalizador se reutilizó hasta en 5 ciclos de reacción.

Por otro lado, se han usado nanopartículas de magnetita para catalizar reacciones de apertura de epóxidos en forma selectiva a través de tioles (38), pirroles e indoles (39), como se muestra en las Figuras 7 y 8, respectivamente. En esta última reacción (Figura 8), se utilizaron epóxidos quirales para garantizar el proceso estereoselectivo con inversión total del estereocentro del epóxido. En ambos procesos se pudo reutilizar el catalizador 6 y 3 ciclos, respectivamente.


De igual manera, se ha estudiado el uso de magnetita como catalizador en la síntesis estereoselectiva de β-amino cetonas (Figura 9) vía reacción de Mannich, asistida por ultrasonido (40). Las imágenes SEM mostraron partículas de Fe3O4 con tamaño promedio de 40 nm y morfología esférica. Se analizaron diversos parámetros de reacción, como el tipo de disolvente, temperatura y la cantidad de catalizador, con el fin de obtener los mayores rendimientos de reacción (90%).

El estudio de esta reacción demuestra que el catalizador Fe3O4 permite la síntesis estereoselectiva de compuestos amino-carbonílicos en un paso, a partir de aldehídos, cetonas y aminas.
Magnetita como soporte de catalizadores de metales de transición u óxidos metálicos (M/Fe3O4 o OM/Fe3O4; M = metal, OM = óxido metálico)
La magnetita se ha utilizado como soporte catalítico haciendo uso de la capacidad de modificación de su superficie, la cual resulta apropiada para la inmovilización de metales y de óxidos metálicos.
Dentro de los estudios de inmovilización de metales y de óxidos sobre la superficie de Fe3O4, Gawande et al. (41) diseñaron un catalizador mixto de (Ni, NiO)/Fe3O4 mediante impregnación de cloruro de níquel sobre magnetita y posterior reducción con NaBH4 en solución acuosa. El catalizador en polvo (nanopartículas entre 8 y 30 nm, según análisis por TEM) fue aplicado en reacciones regio y quimioselectivas de reducción de compuestos carbonílicos y nitroaromáticos en presencia de glicerol como agente reductor. De acuerdo a estos resultados, el sistema (Ni, NiO)/Fe3O4, abreviado como Fe3O4-Ni, mostró excelente actividad y selectividad en las reacciones de transferencia de hidrógeno en las que fue utilizado (Figura 10).

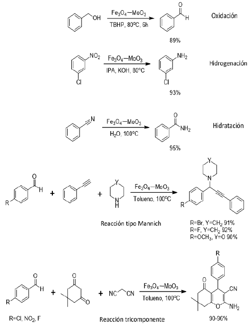
De igual manera, Gawande et al. (42) sintetizaron nanopartículas catalíticamente activas de MoO3/Fe3O4 (óxido de molibdeno soportado sobre magnetita), mediante impregnación húmeda. Las imágenes obtenidas por TEM mostraron nanopartículas de morfología esférica con tamaño predominante entre 15 y 30 nm. Este catalizador evidenció elevada actividad y selectividad en varias reacciones de oxidación-reducción controladas (oxidaciones, transferencias de hidrógeno, hidrataciones y otras reacciones tricomponentes), como se muestra en la Figura 11. En todos los procesos se obtuvo excelente rendimiento de la reacción, comparados con el uso de nanopartículas de Fe3O4 solamente; además, el catalizador se utilizó en posteriores ensayos sin pérdida significativa de la actividad catalítica inicial.

Lin y Doong (43) prepararon catalizadores de Au soportado sobre Fe3O4 mediante descomposición térmica de oleatos de hierro en presencia de nanopartículas de oro (4 a 5 nm). Las imágenes SEM y TEM de la heteroestructura cristalina Au/Fe3O4 sintetizada mostraron morfología característica con un tamaño de 5 a 28 nm. Las partículas de Au/Fe3O4 se utilizaron como catalizadores bifuncionales eficientes en la reducción controlada de p–nitrofenol (Figura 12). Otros autores como Huang et al. (44) y Goergen et al. (45) utilizaron exitosamente catalizadores de Au/Fe3O4 en reacciones de deshidrogenación de 1,4-butanodiol a g-butirolactona y de ciclohexano a ciclohexeno y benceno, respectivamente. Huang et al. (44) encontraron mayor actividad en los catalizadores de Au/Fe3O4 que en los catalizadores de oro soportado en otros óxidos de hierro.

Estos catalizadores de Au/Fe3O4 fueron separados eficientemente del medio de reacción mediante la aplicación de campos magnéticos y algunos de ellos fueron reutilizados hasta 6 veces en ensayos sucesivos sin pérdida importante de la actividad catalítica.
Dependiendo del interés particular de ciertas reacciones, otros investigadores han preparado eficientemente catalizadores basados en platino, paladio, iridio, rodio, rutenio, o los óxidos de estos metales, soportados en magnetita. La hidrosililación de alquinos catalizada por PtO-PtO2/Fe3O4 (46); las reacciones de acoplamiento carbonilativo tipo Sonogashira, catalizadas por Pd/Fe3O4 para obtener a,b-alquinilcetonas (47); la síntesis de aminas arílicas mediante la reacción de Buchwald–Hartwig catalizada por Pd-PdO/Fe3O4 (48) y la alquilación cruzada de alcoholes primarios catalizada por IrO2/Fe3O4 (49) son ejemplos del empleo exitoso de estos metales en el diseño de catalizadores soportados basados en magnetita.
Adicionalmente, se ha publicado la catálisis eficiente de algunas reacciones de oxidación-reducción (oxidación de alcoholes, oxidación de aminas y reducción de compuestos carbonílicos a alcoholes) con catalizadores de Ru(OH)x/Fe3O4 (50), como también el empleo exitoso de catalizadores de Rh/Fe3O4 en procesos de metanación de carbono usando H2 gaseoso como agente reductor (51). En todos estos casos, los catalizadores mostraron actividad elevada, fueron empleados en varios ciclos de reacción y las especies metálicas (u óxidos metálicos) fueron debidamente caracterizadas por técnicas apropiadas, como XPS.
La utilización de catalizadores de osmio sobre magnetita (OsO2/Fe3O4) también es frecuente en literatura. Cano et al. (52) sintetizaron este tipo de catalizadores, empleándolos con éxito en reacciones de dihidroxilación de alquenos para producir dioles en conformación syn (Figura 13). El catalizador se preparó a partir de magnetita (Fe3O4) comercial de tamaño micrométrico (< 5 µm) y una solución acuosa de OsCl3, por el método de impregnación húmeda. Las imágenes obtenidas por SEM y TEM mostraron una distribución homogénea de las partículas de osmio (de aproximadamente 2 nm) que corresponden a dos especies características OsO2 y OsO2(OH)2 sobre la superficie de la magnetita (Fe3O4).

Recientemente se publicó la síntesis de nanopartículas de CuO, con tamaño entre 20 y 30 nm, soportadas sobre Fe3O4 (53). La preparación de este catalizador se llevó a cabo mediante precipitación-depositación (aunque los autores lo describen como una impregnación) de las especies de cobre formadas a partir del precursor CuCl2.2H2O en medio acuoso básico. El análisis por EDX (energía dispersiva de rayos X) mostró señales correspondientes a los elementos Fe y Cu como componentes mayoritarios, como consecuencia de la impregnación de las nanopartículas de CuO en la superficie de Fe3O4. El catalizador CuO/Fe3O4 mostró actividad en la condensación de Knoevenagel de aldehídos pirazólicos con malononitrilo o con dimedona para la obtención de derivados pirazólicos. También catalizó eficientemente reacciones tipo condensación de Ullmann y reacciones para la síntesis de 4-metoxianilina como se muestra en la Figura 14.

Los derivados pirazólicos son compuestos de gran importancia por su actividad farmacológica, así como los productos de las reacciones de condensación de Ullmann que exhiben excelente actividad biológica (54). El catalizador CuO/Fe3O4 fue magnéticamente separado del medio de reacción y reutilizado hasta en 6 ensayos consecutivos sin pérdida de eficiencia (53). Se observaron rendimientos elevados en los 3 tipos de reacciones, llevadas a cabo desde el primer ensayo hasta el sexto, lo que lo hace un catalizador estable y promisorio a nivel industrial.
Otros autores han sintetizado CuO/Fe3O4 para diferentes aplicaciones catalíticas, como la preparación de propargilaminas mediante síntesis multicomponente (reacción tipo Mannich) usando alquinos terminales, aminas secundarias y aldehídos o cetonas (55). Adicionalmente, en Pérez et al. (56) se sintetizó el sistema mixto CuO-NiO/Fe3O4 y se usó exitosamente en reacciones de cicloadición multicomponente a partir de alquinos terminales, azida de sodio y derivados de bromuro de bencilo. Se encontró un posible efecto sinérgico en el óxido mixto cuya actividad catalítica se conservó hasta en 10 ensayos sucesivos. Por otra parte, en Cano et al. (57) se demostró la síntesis eficiente y selectiva de benzofuranos e indoles catalizada por CuO/Fe3O4 y Pd-CuO/Fe3O4, respectivamente, vía reacción de acoplamiento tipo Sonogashira.
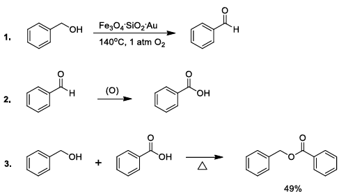
Kokate et al. (58) abordaron la síntesis del nanomaterial Au-SiO2-Fe3O4, otro tipo de catalizador de magnetita que incluye Au en su estructura, mediante reacciones simultáneas (coprecipitación de sales de hierro, reducción de cloruro de oro y formación de sílice) en un solo paso. El tamaño promedio de las partículas del catalizador osciló entre 30 y 40 nm, las imágenes obtenidas por TEM y HRTEM (TEM de alta resolución) revelaron la distribución de partículas de Fe3O4 y Au (menor tamaño) en los poros de la sílice. El material sintetizado mostró actividad catalítica con rendimiento promedio para la oxidación-esterificación de alcohol bencílico, libre de solventes en el proceso, que fue magnéticamente separable y reutilizable.
La oxidación total del alcohol en presencia de oxígeno como agente oxidante se lleva a cabo en 3 pasos como se muestra en la Figura 15. Inicialmente se da la conversión de alcohol bencílico a benzaldehído en presencia de Au-SiO2-Fe3O4; el benzaldehído continúa la oxidación hasta ácido benzoico; finalmente, el alcohol bencílico, no oxidado hasta el momento, reacciona con el ácido para formar benzoato de bencilo como producto final (58).

Recientemente, en Shah et al. (59) se inmovilizó SiO2 en la superficie de nanopartículas de Fe3O4 utilizando TEOS (tetraetóxido de silicio) como precursor, por el método de coprecipitación. Los análisis de FTIR y TEM confirmaron la formación de nanopartículas de SiO2/Fe3O4 con estructura core–shell. Este sólido catalizó la hidrogenación de acetona a isopropanol (Figura 16), con rendimientos de reacción apropiados y una cinética de reacción de segundo orden, mediada por un mecanismo de Langmiur–Hinshenwood. La máxima eficiencia catalítica en términos de rendimiento se presentó bajo condiciones de reacción modificables, que involucran irradiación con microondas, efecto de NaBH4, tiempo y dosificación del catalizador. El catalizador fue magnéticamente reciclado y reutilizado hasta en 4 ensayos de reacción.

Magnetita como soporte para el anclaje de ligantes orgánicos en el diseño de catalizadores heterogéneos
Es necesario mencionar algunos estudios en los que este tipo de óxido (Fe3O4) actúa como soporte de catalizadores heterogéneos separables magnéticamente, en los cuales los metales o iones metálicos no se anclan directamente sobre la superficie de la magnetita sino a través de ligantes y/o conectores específicos funcionales. En general, para el anclaje de las especies metálicas, las partículas de magnetita previamente modificadas se hacen reaccionar con los metales o iones metálicos requeridos, a menudo usando grupos funcionales que actúen como una base (1). Los grupos funcionales de interés, actuando frecuentemente como una base Lewis, coordinan sobre el metal o ion metálico para fijar la especie metálica generando un ambiente químico que opera como sitio activo. Este tipo de catalizadores es comúnmente utilizado en catálisis asimétrica, donde se aprovecha el entorno estereoquímico generado por los grupos funcionales.
La catálisis asimétrica constituye una forma altamente valiosa de obtener moléculas ópticamente activas, que son utilizadas como precursores de compuestos de importancia farmacéutica (60). Uno de los métodos favorables para sintetizar compuestos enantioméricamente puros (síntesis enantioselectiva) es el empleo de catálisis asimétrica por complejos de metales de transición, para lo cual se requieren complejos metálicos quirales que actúen como catalizador. Para lograr altas eficiencias es necesario seleccionar el metal y los ligantes quirales apropiados que generen el ambiente estereoquímico deseado. De nuevo, la recuperación del catalizador es esencial debido a los costos de los metales preciosos y a la necesidad de eliminar posibles contaminaciones en el producto final. BINAP (2,2'-bis(difenilfosfino)-1,1'-binaftaleno) es un ligante quiral organofosforado usado frecuentemente en síntesis asimétrica.
En Hu et al. (61) se sintetizó un catalizador soportando el complejo de rutenio BINAP(4,4'-sustituido)-Ru-DPEN (DPEN: 1,2-difeniletilenodiamina) sobre nanopartículas de magnetita. Este material con propiedades magnéticas catalizó eficientemente la hidrogenación asimétrica de cetonas aromáticas (Figura 17), mostrando elevada enantioselectividad (98%) y conversiones mayores al 99%.

Una investigación anterior (60) permitió establecer claramente las características superparamagnéticas de las nanopartículas de magnetita funcionalizadas, Fe3O4-BINAP-Ru-DPEN, garantizando también la alta eficiencia de los procesos de separación del catalizador mediante campos magnéticos.
En otro estudio, Zeng et al. (32) diseñaron un catalizador de cobre (I) soportando un ligante tipo pibox [bis(oxazolinil)piridina] sobre nanopartículas de Fe3O4, recubiertas con SiO2 (tipo core-shell), con posterior coordinación de dicho ligante al ion Cu(I). El catalizador se diseñó para la síntesis de propargilaminas, obteniendo excelentes rendimientos y enantioselectividad. Las reacciones se llevaron a cabo tras la adición directa de alquinos terminales a iminas, como se muestra en la Figura 18. La síntesis de propargilaminas es de gran interés en la actualidad debido a sus propiedades neuroprotectoras, antioxidantes y antiapoptóticas (62).

Movassagh et al. (63) anclaron el complejo C22-Pd(II), formado a partir del éter tipo corona 1,4,10,13-tetraoxo-7,16-diazaciclooctadecano (conocido como criptando 22), sobre nanopartículas tipo core-shell de Fe3O4–SiO2. La estructura del catalizador se corroboró mediante análisis IR, XPS y TEM. La actividad catalítica se midió en reacciones de acoplamiento Suzuky-Miyaura de haluros de arilo con ácidos aril borónicos (Figura 19) y de haluros de arilo con tioles. Las reacciones se llevaron a cabo bajo diferentes condiciones de temperatura, solventes y tiempos de reacción. Las características superparamagnéticas del catalizador fueron evidentes mediante las curvas de magnetización y su separación magnética eficiente.

Organocatalizadores soportados en nanopartículas de magnetita
Los organocatalizadores son moléculas o especies químicas puramente orgánicas (compuestas principalmente de carbono, hidrógeno, nitrógeno, oxígeno, azufre y fósforo), de peso molecular relativamente bajo, capaces de catalizar reacciones químicas (64, 65). Contrario a los catalizadores típicos de complejos con ligantes orgánicos unidos a metales de transición, en los organocatalizadores la actividad catalítica no reside en un metal o ion metálico, sino en la molécula orgánica (64).
La prolina (un aminoácido) es una molécula prototípica empleada exitosamente como organocatalizador en ciertas reacciones de catálisis asimétrica, como reacciones aldólicas, reacciones de Mannich y reacciones de Michael, entre otras. Típicamente, las reacciones organocatalizadas requieren entre 10 y 30% molar de catalizador y su separación y reciclaje del medio de reacción es un trabajo dispendioso (1). Con el fin de utilizar cantidades menores de catalizador y realizar procesos económicamente favorables, actualmente los estudios se centran en inmovilizar los organocatalizadores sobre superficies sólidas apropiadas, como es el caso de la magnetita.
La inmovilización o anclaje covalente de prolina sobre la superficie de nanopartículas de Fe3O4, mediada por el anclaje primario de un derivado de ácido fosfónico, permitió la síntesis del catalizador Fe3O4-(derivado)-prolina y su evaluación catalítica en reacciones de acoplamiento tipo Ullmann a 110 °C, para la arilación de varios heterociclos a partir de bromuros de arilo (66). Los rendimientos de reacción fueron excelentes, en su mayoría mayores al 80%. Después de cada proceso, el catalizador fue separado magnéticamente, conservando su actividad hasta en 4 ciclos de reacción.
Generalmente se han fijado diversos grupos amino a las nanopartículas de magnetita para obtener organocatalizadores soportados de carácter básico con propiedades magnéticas (67). En particular, el ácido 4-piperidincarboxílico (4-ppc) fue anclado sobre partículas nanométricas de Fe3O4 mediante el grupo carboxílico, exponiendo los grupos amino de las moléculas inmovilizadas como sitios activos para la síntesis catalizada de nitroalquenos mediante la reacción de Knoevenagel (68). Los rendimientos de la reacción elevados (Figura 20) y la separación magnética exitosa del catalizador, además de las caracterizaciones realizadas y su reutilización en 4 ciclos de reacción sin pérdida considerable de actividad, indican la potencialidad y las ventajas de este sistema soportado.

Una de las estrategias más comunes para anclar covalentemente los organocatalizadores a núcleos de magnetita es el empleo de recubrimientos de SiO2 o materiales similares sobre las partículas de Fe3O4. La sílice, además de proteger la partícula de magnetita del medio de reacción, provee grupos -Si-O-Si- y -Si-OH que facilitan la reactividad y formación de enlaces covalentes con ciertas especies orgánicas. Recientemente, en Akceylan et al. (69) se inmovilizó el complejo calixareno-prolina sobre un sistema core-shell de Fe3O4-SiO2 con tamaño aproximado de 15 nm, obteniendo un organocatalizador quiral reciclable. La actividad catalítica del organocatalizador nanoestructurado Fe3O4-SiO2-calixareno-prolina (M-S-Calix-Pro) se midió en reacciones aldólicas asimétricas entre ciclohexanona y aldehídos aromáticos (Figura 21). Los productos obtenidos mostraron buena diasteroselectividad (anti/syn, 97:3) y enatioselectividad (93%) usando agua como solvente y reutilizando el catalizador en 5 oportunidades.

Actualmente existe un creciente interés por la síntesis de organocatalizadores elaborados mediante el anclaje de diversas estructuras (desde aminoácidos hasta polímeros, vitaminas y líquidos iónicos) con actividad catalítica en diferentes reacciones orgánicas. Son ejemplos ilustrativos de la variedad de estructuras orgánicas catalíticamente activas con las que puede funcionalizarse la magnetita para este tipo de aplicaciones los trabajos de Kalhafi-Nezhad et al. (70) y Gawande et al. (71), relacionados al anclaje de cisteína sobre magnetita; el estudio de Arundhathi et al. (72) sobre polianilina soportada en Fe3O4; el trabajo publicado por Saberi et al. (73), quienes inmovilizaron vitamina C en la superficie de magnetita y el diseño de un organocatalizador soportado mediante anclaje de un líquido iónico sobre nanopartículas tipo core-shell de Fe3O4-SiO2, desarrollado por Isaad (74).
Empleo de magnetita en catálisis ambiental
El uso de magnetita ha potencializado los estudios actuales sobre tratamientos de remediación ambiental que buscan eliminar materia orgánica y otros tipos de contaminantes del agua y del aire, como alternativa de control ante las emisiones provenientes de muchos procesos industriales. En este contexto, los procesos avanzados de oxidación (PAOs), en los cuales se producen radicales hidroxilo y perhidroxilo (·OH y HO2·) altamente oxidantes en medio acuoso, se han desarrollado vía catálisis heterogénea con peróxido de hidrógeno o mediante fotocatálisis empleando magnetita o magnetita modificada como catalizador eficiente. Algunos estudios comprenden la mineralización (oxidación total hasta CO2, agua y otros subproductos) de pentaclorofenol (75); la degradación total de p-nitrofenol logrando conversiones mayores al 90% en 10 horas de reacción y lixiviaciones de hierro menores a 0,25 ppm (76) y la oxidación total de nitrobenceno (77). Todos los estudios anteriores emplearon procesos tipo Fenton bajo condiciones ambientales de temperatura y presión, usando peróxido de hidrógeno en medio acuoso diluido y Fe3O4 como catalizador. El proceso Fenton (la reacción entre H2O2 y Fe(II)/Fe(III) en medio acuoso) es uno de los PAOs más usados para la producción de radicales hidroxilo y perhidroxilo.
De acuerdo con Muñoz et al. (78), las investigaciones sobre el desempeño catalítico de la magnetita en procesos tipo Fenton son relativamente recientes. Es probable que el trabajo de Zhang et al. (79) sobre la degradación de fenol como contaminante, haya sido el primero en ser publicado. Desde entonces, el empleo de magnetita y magnetita modificada tanto natural (80) como sintética (81) en procesos tipo Fenton, destinados a la eliminación de contaminantes orgánicos ha aumentado (78, 82).
También vale la pena resaltar el empleo de radiación ultravioleta (UV) para evaluar el desempeño de la magnetita en procesos de fotocatálisis. Por ejemplo, se realizó la degradación de azul de metileno en solución acuosa mediante un proceso tipo Fenton foto asistido con radiación UV, en el que se empleó Fe3O4 como fotocatalizador. Se alcanzaron niveles de conversión cercanos al 80% a 25 °C (83). También se realizó la oxidación total de fenol en medio acuoso mediante procesos tipo foto-Fenton heterogéneos, utilizando 4 tipos de magnetita sintética (81).
Adicionalmente, el acoplamiento de ultrasonido al sistema tipo Fenton heterogéneo, basado en Fe3O4 y H2O2 diluido, incrementó la eficiencia en la degradación de tetraciclina (considerada un contaminante emergente en aguas residuales de ciertas industrias farmacéuticas) en medio acuoso, a temperatura ambiente y presión atmosférica, permitiendo elevada remoción de esta molécula durante 60 min de reacción (84).
Por otra parte, Costa et al. (11) diseñó un fotocatalizador magnético con estructura core-shell (Fe3O4-SiO2-TiO2) compuesto por una capa exterior de TiO2 sobre núcleos de Fe3O4, separados por una capa de SiO2; se utilizó un proceso de heterocoagulación coloidal y secado por secado por atomización. Los resultados mostraron la preparación eficiente del sistema core-shell con actividad catalítica elevada en la degradación del colorante rojo de metilo en solución acuosa, bajo irradiación con luz UV: se alcanzó 90% de conversión en 60 min de reacción. Este tipo de sistemas jerárquicamente nanoestructurados (magnetita-SiO2-TiO2) también han sido sintetizados por otro método (sol-gel), consiguiendo el anclaje de nanopartículas de TiO2 sobre la superficie del core-shell de Fe3O4-SiO2 y buena actividad en la degradación fotocatalítica del colorante rodamina B en medio acuoso (85).
Finalmente, la eliminación de compuestos orgánicos volátiles (COVs) en fase gaseosa mediante combustión catalítica también es un tema ambiental que se ha abordado empleando magnetita o magnetita modificada como catalizador. Aunque en este tema ambiental se encuentran muy pocos trabajos con aplicación de magnetita, vale la pena mencionar como ejemplos de la utilización de magnetita en el diseño de catalizadores para la eliminación de COVs: por un lado, la remoción (oxidación total) de isopropanol, empleando Fe3O4 como catalizador en procesos asistidos por microondas (86) y, por otro lado, la combustión catalítica de 1,2-diclorobenceno sobre partículas de Fe3O4 recubiertas con TiO2 (87).
Magnetita en las reacciones de desplazamiento de vapor de agua y en la síntesis de amoníaco
El uso de hidrógeno de alta pureza para procesos como el funcionamiento de celdas combustibles y la síntesis de amoníaco ha mantenido en la actualidad el interés por reacciones catalíticas que conduzcan a la formación predominante de hidrógeno, con la menor cantidad posible de productos gaseosos diferentes y de gases de reacción remanentes. La reacción de desplazamiento de vapor de agua (en inglés water gas shift reaction) (88) es de gran interés industrial. En ella el agua (gaseosa) desplaza el equilibrio hacia la formación de hidrógeno (ecuación [1]).
[1]Dicha reacción, una de las más antiguas en catálisis heterogénea industrial (89), favorece la producción de hidrógeno a partir de la mezcla de gases conocida como gas de síntesis (CO + H2), la cual se obtiene preliminarmente mediante reacciones como el reformado de hidrocarburos o el reformado de alcoholes (por ejemplo el reformado de metano o el reformado de etanol). Los catalizadores clásicos para esta reacción contienen magnetita (Fe3O4) como fase activa, promovida por óxidos de cromo o de cobre. El sólido mixto conformado por Fe3O4-Cr2O3 fue patentado en 1911 por la empresa BASF, como catalizador de la reacción de desplazamiento de vapor de agua (90). Posteriormente, variadas modificaciones de este catalizador con diferentes promotores han permitido mejorar su actividad catalítica en dicha reacción y su estabilidad frente a la desactivación (90, 91).
La reacción de desplazamiento de vapor de agua es un proceso reversible y moderadamente exotérmico, por lo que se ve favorecida a temperaturas relativamente bajas (91, 92). Debido a que la reacción se favorece termodinámicamente a temperaturas relativamente bajas, pero la elevación de la temperatura aumenta la velocidad de reacción, es necesario desarrollarla en dos etapas (89, 91, 93): en la primera etapa (300 a 500 °C) se emplea Fe3O4-Cr2O3-CuO como catalizador para reducir rápidamente los contenidos de CO a concentraciones cercanas al 3% molar (91). En la segunda etapa (200 a 250 °C) se emplean catalizadores de CuO–ZnO–Al2O3 alcanzando la reducción de CO a valores de 0,3% molar (91).
Así, en la primera etapa de reacción la fase activa es la magnetita (Fe3O4), el óxido de cromo (Cr2O3) se utiliza para aumentar la estabilidad térmica de la ferrita ya que ésta puede sinterizar rápidamente. Trabajos anteriores (94, 95) indican que la estabilidad puede ser explicada mediante la sustitución de cantidades iguales de los cationes Fe2+ y Fe3+ (de los sitios octaédricos de la magnetita) por cationes Cr3+. De igual manera, el catalizador, contiene pequeñas cantidades de Cu2+ como promotor para una mejor selectividad y actividad catalítica (91).
Estudios recientes muestran diferentes estrategias relacionadas con la optimización de catalizadores basados en magnetita para ser utilizados en la reacción de desplazamiento de vapor de agua. Subramanian et al. (93) publicaron la síntesis de catalizadores de Fe3O4 con cationes Al3+ y Cu2+ incorporados, mediante el método sol-gel y el uso de ácido cítrico como agente quelante, para la producción de H2 a partir de gas de síntesis derivado de residuos. La reacción mostró 80% de conversión de CO, sin reducción previa del catalizador. La elevada actividad que presentó el catalizador es asociada a la formación de complejos citrato-metal que finalmente condujo a elevar la dispersión y el área superficial.
En otras investigaciones, se sintetizaron catalizadores con Cr3+ y Cu2+ incorporados en nanocristales de Fe3O4 mediante el método de pirolisis y se emplearon para la obtención (89) y purificación (92) de H2 mediante la reacción de desplazamiento de vapor de agua, mostrando mayor actividad catalítica en comparación con los catalizadores comerciales utilizados para el mismo proceso. Sin embargo, el uso de catalizadores de cromo incorporado causa elevado impacto ambiental, por lo que la sustitución de cromo por molibdeno ha resultado apropiada. Martos et al. (91) sintetizaron catalizadores de Fe3O4-Mo-Cu y encontraron que la actividad catalítica de estos sólidos, en la reacción de desplazamiento de vapor de agua, es similar a la de catalizadores con cromo incorporado, por lo que resultan potencialmente aplicables en este proceso.
Por otra parte, la síntesis de amoníaco es una reacción de elevado interés industrial a nivel mundial en la cual se emplea típicamente la magnetita como precursor catalítico (96, 97). El empleo de amoníaco como fuente de nitrógeno en la síntesis de muchos compuestos químicos y la demanda de enormes cantidades de fertilizantes, en cuya preparación es fundamental el amoníaco como materia prima, motivó el desarrollo del proceso Haber-Bosch hace ya cien años (98). Dicho proceso permite la conversión de nitrógeno e hidrógeno gaseosos en amoníaco, a temperaturas y presiones elevadas (alrededor de 450 °C y presiones superiores a 100 atmósferas, ecuación [2]) (99, 100).
[2]Aunque esta reacción es moderadamente exotérmica y favorecida a bajas temperaturas, la elevación de la temperatura aumenta la velocidad de reacción y las limitaciones termodinámicas se reducen mediante el aumento de presión. Esto permite el desplazamiento del equilibrio de reacción hacia la formación del amoníaco con la consecuente formación del producto en cantidades importantes. El catalizador clásico para el proceso Haber-Bosch se prepara fundiendo Fe3O4 junto con diversos promotores catalíticos, como óxidos o carbonatos de Ca2+, K+, Al3+, entre otros (96, 97, 101) y reduciendo parcialmente el óxido de hierro.
La magnetita se ha empleado como precursor del catalizador fundido para el proceso Haber-Bosch durante más de cien años (98) y diversos estudios han confirmado su valiosa utilidad en la preparación de este catalizador (97, 98, 102). Sin embargo, en la actualidad se han desarrollado optimizaciones de este catalizador, entre las cuales vale la pena mencionar el empleo de óxidos de tierras raras (óxidos de cerio, lantano, praseodimio y de neodimio) como promotores catalíticos (97). También se conocen estudios sobre el diseño de catalizadores de Ru y Os soportados en alúmina y nitruros de cobalto y molibdeno como catalizadores potenciales para el proceso Haber-Bosch (97, 98). Recientemente se ha encontrado que la wüstita (FeO) como precursor permite la preparación de catalizadores fundidos con mejor desempeño en la síntesis de amoníaco (101, 102).
Aplicaciones de la magnetita (Fe3O4) en otros campos
Aunque la presente revisión se centra en las aplicaciones de la magnetita en catálisis heterogénea, debido a la versatilidad de este material, es pertinente mencionar brevemente algunos enfoques promisorios en otros campos de la ciencia, como la biología, la paleontología, la medicina, la astronomía y la física.
En este sentido, algunas aplicaciones biomédicas y biotecnológicas se centran en el análisis de células y especies animales que pueden sintetizar sus propios cristales de magnetita, los cuales hacen parte de mecanismos especiales de magneto-recepción. Los estudios sobre la biomineralización de magnetita bacteriana (103) se han centrado en analizar la formación de magnetosomas en el interior de bacterias (Candidatus Desulfamplus magnetomotoris strain BW-1), lo que permite contar con nuevas posibilidades para el diseño y producción sostenible de partículas magnéticas con propiedades relevantes a nivel celular. El uso de la magnetita en el campo de la medicina ha cobrado interés en los últimos años, no sólo por sus propiedades magnéticas sino por su alto grado de biocompatibilidad. De esta manera, muchos tratamientos terapéuticos se centran en el uso de este óxido de hierro capaz de introducirse en el metabolismo regular de los sistemas biológicos. Por otro lado, en Long et al. (104) se presentó un método simple para desarrollar nanopartículas de quitosano/carragenina/Fe3O4 por síntesis in situ en condiciones suaves. Estos autores evaluaron el potencial de este nanomaterial en la liberación controlada de macromoléculas (albúmina de suero de bovinos), mostrando ventajas potenciales en la administración de fármacos dirigidos y otras aplicaciones biomédicas. Dentro de este tipo de aplicaciones se incluyen otros materiales nanocompuestos magnéticos biocompatibles (CMC/Fe3O4; CMC: carboximetilcelulosa), capaces de fijar y luego liberar el medicamento 5-fluorouracil (5-FU), utilizado en quimioterapias contra el cáncer (105). Las nanopartículas transportan el compuesto 5-FU y son dirigidas hacia los tejidos afectados mediante un campo magnético externo. Igualmente, en Ivashchenko et al. (106) se prepararon nanocompuestos a partir de la adsorción de diferentes moléculas (clorhidrato de doxorubicina, rifampicina, clorhidrato de doxiciclina, cefazolina sódica, ceftriaxona disódica, cefotaxima sódica, clorhidrato de ciprofloxacina) sobre la estructura de Ag/Fe3O4 y se evaluó su capacidad como antibióticos para la terapia microbiana dirigida.
Otras aplicaciones importantes comprenden: la síntesis de liposomas magnéticos, usados como medios de contraste para la obtención de imágenes por resonancia magnética (107); la preparación de polímeros mediante la incorporación de magnetita para obtener copolímeros con capacidad de magnetización (108, 109, 110); el mejoramiento en la producción de biogás (111) y la preparación de sistemas core-shell Fe3O4-SiO2, funcionalizados con propiedades adsorbentes para la eliminación de iones cromato y dicromato de aguas residuales industriales (112).
Panorama general de la magnetita en Colombia
Como parte final de esta revisión es pertinente mencionar algunas características mineralógicas referentes a la presencia de la magnetita en el territorio colombiano, resaltando la importancia de encontrar este mineral naturalmente y, a su vez, describir algunos estudios colombianos relacionados con este mineral y los alcances científicos que se han logrado en la materia.
A lo largo del territorio colombiano existe una diversidad de minerales cuya formación se atribuye a procesos mineralógicos llevados a cabo durante el precámbrico, ya que más de la mitad de la producción mundial de minerales de origen no orgánico provienen de mineralizaciones depositadas en este período de tiempo (113). Se considera que la magnetita es proveniente de este tipo de mineralizaciones en el territorio colombiano (114). En la Figura 22 se muestra la localización de los yacimientos de este mineral, que son atribuidos a procesos de formación mediante el contacto entre rocas ígneas y sedimentarias. Debe tenerse en cuenta que en la actualidad algunos depósitos ya han sido objeto de explotación y en otros la magnetita no es el componente mayoritario.
Los yacimientos de magnetita están comúnmente asociados con otros minerales como hematita, piritas, silicatos y cuarzo (114, 115).
Los minerales inorgánicos hematita, ilmenita, limonita y magnetita (Fe3O4) aparecen localizados principalmente en regiones específicas y sólo hasta la década de los 60 fueron estudiados durante el Inventario Minero Nacional. A partir de este inventario se puede establecer que las mineralizaciones llevadas a cabo en lugares específicos (como la Sierra Nevada de Santa Marta, por ejemplo) pueden generar interés no sólo en lo que se refiere a los óxidos de hierro, sino también a la existencia de vanadio, que se presenta en más de 1% en magnetitas de este origen (113).

Ahora bien, dentro de esta revisión cabe mencionar brevemente los alcances de algunos estudios desarrollados en Colombia. Durante la última década, la magnetita de origen natural ha sido objeto de análisis de algunas investigaciones orientadas a la caracterización y usos específicos de este mineral. Forero y Díaz (117) utilizaron magnetita como fuente de hierro metálico, procedente de la región de Payandé (Tolima) para la producción de pellets destinados a procesos de reducción directa antes de la hematización para obtener un pre-reducido de hierro con un grado de metalización óptimo. Vargas et al. (118) emplearon arenas de playas del departamento del Atlántico (desembocadura del río Magdalena) ricas en magnetita para la obtención de hierro metálico mediante procesos de reducción.
Trabajos importantes sobre el diseño de fluidos magneto-reológicos destinados a procesos de separación industrial de minerales (119, 120) muestran el empleo de magnetita de origen natural; por ejemplo, muestras de magnetita provenientes del Hobo (Huila) y de arenas negras del Río Magdalena (Puerto Colombia, Atlántico).
Otros estudios a nivel de física computacional han sido abordados por Mazo-Zuluaga y Restrepo (20), quienes utilizando un modelo de Ising-Monte Carlo 3D estudiaron la evolución térmica de la magnetización y el comportamiento histerético de la magnetita con el fin de elucidar algunas propiedades magnéticas de este sólido. Estudios teóricos adicionales de estos autores colombianos se encuentran referenciados en una revisión publicada sobre aplicaciones tecnológicas y biomédicas de la magnetita (18).
Finalmente, aunque a nivel científico se prefiere la síntesis de magnetita debido a las posibilidades de control en el tamaño de las partículas (algo muy importante para obtener las propiedades deseadas del material), a nivel tecnológico e industrial es preferible el uso de magnetita natural ya que implica reducción de costos. Por ello, en la actualidad también es pertinente profundizar la investigación referente a la caracterización completa de yacimientos minerales y las diferentes rutas de modificación del material natural para los usos deseados.
Algunos estudios, como el abordado por Kumar et al. (21), demostraron la obtención de nanopartículas de magnetita con tamaño promedio de 14 nm (determinado por la ecuación de Scherrer) a partir de residuos de minerales de hierro recogidos de plantas de procesamiento. El tratamiento llevado a cabo consistió inicialmente en una fase de molienda mecánica seguida de una ruta química relativamente sencilla (lixiviación ácida y posterior hidrólisis con urea).
En este sentido, la industria colombiana Green Magnetita S.A.S. está dedicada a la producción de grandes volúmenes de magnetita sintética a partir de residuos minerales de siderúrgicas, con el fin de proveer de este óxido a otras industrias para diferentes usos. De otro lado, en el grupo de investigación Estado Sólido y Catálisis Ambiental (ESCA), de la Universidad Nacional de Colombia, se adelantan estudios sobre la caracterización completa de esta magnetita sintetizada industrialmente y su empleo en el diseño de estructuras sólidas inorgánicas tipo core-shell con posible actividad catalítica. Esto abre las puertas hacia aplicaciones potenciales de este mineral sintético industrial en el campo de la catálisis heterogénea y también en otros campos científicos y tecnológicos.
Conclusiones
Evidentemente, las propiedades superficiales y estructurales de la magnetita (FeFe2O4 o Fe3O4) proveen ciertas habilidades ácido-base y de óxido-reducción que potencializan el desempeño catalítico de esta estructura sólida en diversas reacciones de interés científico y tecnológico, debido a la presencia de especies Fe3+, Fe2+ y O2-, accesibles en la superficie y al contenido coexistente de los cationes de hierro (Fe3+/Fe2+). Adicionalmente, su estabilidad química y sus propiedades magnéticas han permitido dirigir la atención hacia este material como pieza clave en el diseño de nuevos catalizadores con tamaños nanométricos, fácilmente separables mediante la aplicación de campos magnéticos moderados, reutilizables en múltiples ciclos de reacción y con ventajas sobresalientes en la aplicación de catálisis heterogénea con énfasis en procesos ambientalmente favorables.
En la última década, este mineral de hierro (Fe3O4) se ha utilizado ampliamente en catálisis heterogénea: como catalizador másico particulado (en polvo); como soporte de nanopartículas metálicas y de óxidos de metales (por ejemplo, Pt, Pd, Au, Ir, Ru, Rh, Cu, Ni, Mo) activas para ciertas reacciones; en el diseño de sistemas core-shell con actividad catalítica y en el anclaje de complejos de iones metálicos, de organocatalizadores y de variados grupos funcionales capaces de catalizar reacciones orgánicas. La magnetita como catalizador másico y los diversos catalizadores sólidos preparados mediante modificaciones de este óxido se han empleado con éxito en el desarrollo de reacciones orgánicas de oxidación-reducción, de síntesis multicomponente, de acoplamiento C-C, de alquilación y síntesis asimétricas, entre otras. Muchas de dichas reacciones se enmarcan en el contexto de la química fina, de la química verde, de la catálisis ambiental (fotocatálisis, procesos avanzados de oxidación y eliminación de compuestos orgánicos volátiles, COVs) y en general en el marco de la síntesis orgánica para la obtención de moléculas con actividad biológica y de productos e intermediarios de interés farmacéutico.
Finalmente, es necesario destacar los elevados niveles de conversión y de selectividad alcanzados en la gran mayoría de los sistemas catalíticos diseñados a partir de la magnetita y evaluados en las reacciones mencionadas, lo que genera gran expectativa sobre la versatilidad y la potencialidad de este mineral en el desarrollo de nuevos materiales sólidos con actividad catalítica en reacciones deseadas.
Agradecimientos
Los autores ofrecen sus agradecimientos al Departamento de Química de la Universidad Nacional de Colombia, sede Bogotá, por el apoyo logístico para el desarrollo completo de este trabajo.
Referencias
1. Gawande, M. B.; Branco, P. S.; Varma, R. S. Nano-magnetite (Fe3O4) as a support for recyclable catalysts in the development of sustainable methodologies. Chem. Soc. Rev. 2013, 42, 3371-3393. DOI: https://doi.org/10.1039/c3cs35480f.
2. Xu, L.; Ma, Y.; Zhang, Y.; Jiang, Z.; Huang, W. Direct evidence for the interfacial oxidation of CO with hydroxyls catalyzed by Pt/oxide nanocatalysts. J. Am. Chem. Soc. 2009, 131, 16366–16367. DOI: https://doi.org/10.1021/ja908081s.
3. Anand, N.; Reddy, K.; Satyanarayana, T.; Rao, K.; Burri, D. A magnetically recoverable g-Fe2O3 nanocatalyst for the synthesis of 2-phenylquinazolines under solvent-free conditions. Catal. Sci. & Technol. 2012, 2, 570–574. DOI: https://doi.org/10.1039/c1cy00341k.
4. Rostamizadeh, S.; Shadjou, N.; Azad, M.; Jalali, N. (a-Fe2O3)-MCM-41 as a magnetically recoverable nanocatalyst for the synthesis of pyrazolo[4,3-c]pyridines at room temperature. Catal. Commun. 2012, 26, 218–224. DOI: https://doi.org/10.1016/j.catcom.2012.05.022.
5. Reddy, L. H.; Arias, J. L.; Nicolas, J.; Couvreur, P. Magnetic nanoparticles: Design and characterization, toxicity and biocompatibility, pharmaceutical and biomedical applications. Chem. Rev. 2012, 112, 5818–5878. DOI: https://doi.org/10.1021/cr300068p.
6. Yang, C.; Wub, J.; Hou, Y. Fe3O4 nanostructures: synthesis, growth mechanism, properties and applications. Chem. Commun. 2011, 47, 5130–5141. DOI: https://doi.org/10.1039/c0cc05862a.
7. Hu, F.; Mac Renaris, K. W.; Waters, E. A.; Liang, T.; Schultz-Sikma, E. A.; Eckermann, A. L. et al. Ultrasmall water-soluble magnetite nanoparticles with high relaxivity for magnetic resonance imaging. J. Phys. Chem. C. 2009, 113, 20855–20860. DOI: https://doi.org/10.1021/jp907216g.
8. Xiao, L.; Li, J.; Brougham, D. F.; Fox, E. K.; Feliu, N.; Bushmelev, A. et al. Water-soluble superparamagnetic magnetite nanoparticles with biocompatible coating for enhanced magnetic resonance imaging. ACS Nano. 2011, 5, 6315–6324. DOI: https://doi.org/10.1021/nn201348s.
9. Pletneva, V. A.; Molchanov, V. S.; Philippova, O. E. Viscoelasticity of smart fluids based on wormlike surfactant micelles and oppositely charged magnetic particles. Langmuir. 2015, 31, 110–119. DOI: https://doi.org/10.1021/la504399e.
10. Marková, Z.; Šišková, K.; Filip, J.; Šafářová, K.; Prucek, R.; Panáček, A. et al. Chitosan-based synthesis of magnetically-driven nanocomposites with biogenic magnetite core, controlled silver size, and high antimicrobial activity. Green Chem. 2012, 14, 2550-2558. DOI: https://doi.org/10.1039/c2gc35545k.
11. Costa, A.; Ballarin, B.; Spegni, A.; Casoli, F.; Gardini, D. Synthesis of nanostructured magnetic photocatalyst by colloidal approach and spray–drying technique. J. Colloid Interface Sci. 2012, 388, 31–39. DOI: https://doi.org/10.1016/j.jcis.2012.07.077
12. Klein, C.; Hurlbut, C. S. Manual de mineralogía, vol. 2, ed. 21. Reverté: Barcelona, España, 1997; pp. 429-430.
13. Rivas, J.; Iñiguez, J.; Moreno, E. A simple model for magnetic after-effects in magnetite at room temperature. Appl. Phys. A. 1987, 42, 133-137. DOI: https://doi.org/10.1007/bf00616723.
14. Li, C.; Wei, R.; Xu, Y.; Sun, A.; Wei, L. Synthesis of hexagonal- and triangular Fe3O4 nanosheets via seed-mediated solvothermal growth. Nano Res. 2014, 7, 536-543. DOI: https://doi.org/10.1007/s12274-014-0421-3.
15. Wang, Z. L. Transmission Electron Microscopy of shape-controlled nanocrystals and their assemblies. J. Phys. Chem. B. 2000, 104, 1153-1175. DOI: https://doi.org/10.1021/jp993593c.
16. Cornell, R. M.; Schwertmann, U. The Iron Oxides: Structure, Properties, Reactions, Occurences and Uses, 2th ed. Wiley-VCH Verlag GmbH & Co. KGaA: Weinheim, Germany, 2003; pp. 32, 87-92.
17. Schwertmann, U.; Cornell, R. M. The Iron Oxides in the Laboratory: preparation and characterization, 2th ed. Wiley-VCH Verlag GmbH: Weinheim, Germany, 2000; pp. 135 – 140.
18. Mazo-Zuluaga, J. Una mirada al estudio y las aplicaciones tecnológicas y biomédicas de la magnetita. Revista EIA. 2011, 16, 207-223.
19. Callister, W. Introducción a la ciencia e ingeniería de los materiales, Vol. 2, ed. 3, Reverte: Barcelona, España, 2007; pp. 695-697.
20. Mazo-Zuluaga, J.; Restrepo, J. Estudio Monte Carlo del comportamiento magnético e histerético de la magnetita. Rev. Colomb. Fís. 2006, 38, 1539-1542.
21. Kumar, R.; Sakthivel, R.; Behura, R.; Mishra, B. K.; Das, D. Synthesis of magnetite nanoparticles from mineral waste. J. Alloys Compd. 2015, 645, 398–404. DOI: https://doi.org/10.1016/j.jallcom.2015.05.089.
22. Hou, Y.; Yua, J.; Gao, S. Solvothermal reduction synthesis and characterization of superparamagnetic magnetite nanoparticles. J. Mater. Chem. 2003, 13, 1983–1987. DOI: 10.1039/B305526D.
23. Bean, C.; Livingston, J. Superparamagnetism. J. Appl. Phys. 1959, 30, 120S-129S. DOI: ttps://doi.org/10.1063/1.2185850.
24. Yang, T.; Wen, X.; Cao, D.; Li, Y.; Wang, J.; Huo, C. Structures and energetics of H2O adsorption on the Fe3O4 (111) surface. J. Fuel Chem. Technol. 2009, 37, 506-512. DOI: https://doi.org/10.1016/s1872-5813(10)60006-0.
25. Rim, K. T.; Eom, D.; Chan, S. W.; Flytzani-Stephanopoulos, M.; Flynn, G. W.; Wen, X. D. et al. Scanning Tunneling Microscopy and theoretical study of water adsorption on Fe3O4: Implications for catalysis. J. Am. Chem. Soc. 2012, 134, 18979−18985. DOI: https://doi.org/10.1021/ja305294x.
26. Polshettiwar ,V.; Varma, R. S. Green chemistry by nano-catalysis. Green Chem. 2010, 12, 743–754. DOI: https://doi.org/10.1039/b921171c.
27. Ranganath, K.; Glorius, F. Superparamagnetic nanoparticles for asymmetric catalysis—a perfect match. Catal. Sci. Technol. 2011, 1, 13–22. DOI: https://doi.org/10.1039/c0cy00069h.
28. Rajabi, F.; Karimi, N.; Saidi, M. R.; Primo, A.; Varma, R. S.; Luque, R. Unprecedented selective oxidation of styrene derivatives using a supported iron oxide nanocatalyst in aqueous medium. Adv. Synth. Catal. 2012, 354, 1707–1711. DOI: https://doi.org/10.1002/adsc.201100630.
29. Vaddula, B. R.; Saha, A.; Leazer, J.; Varma, R. S. A simple and facile Heck-type arylation of alkenes with diaryliodonium salts using magnetically recoverable Pd-catalyst. Green Chem. 2012, 14, 2133–2136. DOI: https://doi.org/10.1039/c2gc35673b.
30. Barbaro, P.; Liguori, F.; Linares, N.; Marrodan, C. M. Heterogeneous bifunctional metal/acid catalysts for selective chemical processes. Eur. J. Inorg. Chem. 2012, 24, 3807–3823. DOI: https://doi.org/10.1002/ejic.201200529.
31. Polshettiwar, V.; Luque, R., Fihri, A.; Zhu, H. B.; Bouhrara, M.; Bassett, J. M. Magnetically Recoverable Nanocatalysts. Chem. Rev. 2011, 111, 3036–3075. DOI: https://doi.org/10.1021/cr100230z.
32. Zeng, T.; Yang, L.; Hudson, R.; Song, G.; Moores, A. R.; Li, C. J. Fe3O4 nanoparticle-supported Cu(I) pybox catalyst: Magnetically recoverable catalyst for enantioselective direct-addition of terminal alkynes to imines. Org. Lett. 2011, 13, 442-445. DOI: https://doi.org/10.1021/ol102759w.
33. Baeza, A.; Guillena, G.; Ramón, D. J. Magnetite and metal-impregnated magnetite catalysts in organic synthesis: A very old concept with new promising perspectives. ChemCatChem. 2016, 8, 49-67. DOI: https://doi.org/10.1002/cctc.201500854.
34. Martínez, R.; Ramón, D.; Yus, M. Selective N-monoalkylation of aromatic amines with benzylic alcohols by a hydrogen autotransfer process catalyzed by unmodified magnetite. Org. Biomol. Chem. 2009, 7, 2176-2181. DOI: https://doi.org/10.1039/b901929d.
35. Zhang, Z.; Lu, H.; Yang, S.; Gao, J. Synthesis of 2,3-dihydroquinazolin-4(1H)-ones by three-component coupling of isatoic anhydride, amines, and aldehydes catalyzed by magnetic Fe3O4 nanoparticles in water. J. Comb. Chem. 2010, 12, 643–646. DOI: https://doi.org/10.1021/cc100047j.
36. Karami, B.; Hoseini, S. J.; Eskandari, K.; Ghasemi, A.; Nasrabadi, H. Synthesis of xanthene derivatives by employing Fe3O4 nanoparticles as an effective and magnetically recoverable catalyst in water. Catal. Sci. Technol. 2012, 2, 331–338. DOI: https://doi.org/10.1039/c1cy00289a.
37. Firouzabadi, H.; Iranpoor, N.; Gholinejad, M.; Hoseini, J. Magnetite (Fe3O4) nanoparticles-catalyzed Sonogashira–Hagihara reactions in ethylene glycol under ligand-free conditions. Adv. Synth. Catal. 2011, 353: 125 – 132. DOI: https://doi.org/10.1002/adsc.201000390.
38. Mojtahedi, M.M.; Saeed-Abaee, M.; Rajabi, A.; Mahmoodi, P.; Bagherpoor, S. Recyclable superparamagnetic Fe3O4 nanoparticles for efficient catalysis of thiolysis of epoxides. J. Mol. Catal. A. 2012, 361– 362, 68– 71. DOI: https://doi.org/10.1016/j.molcata.2012.05.004.
39. Parella, R.; Naveen; Babu, S. A. Magnetic nano Fe3O4 and CuFe2O4 as heterogeneous catalysts: A green method for the stereo- and regioselective reactions of epoxides with indoles/pyrroles. Catal. Commun. 2012, 29, 118–121. DOI: https://doi.org/10.1016/j.catcom.2012.09.030.
40. Saadatjoo, N.; Golshekan, M.; Shariati, S.; Azizi, P.; Nemati, F. Ultrasound-assisted synthesis of b-amino ketones via a Mannich reaction catalyzed by Fe3O4 magnetite nanoparticles as an efficient, recyclable and heterogeneous catalyst. Arabian J. Chem. 2012. In press. DOI: https://doi.org/10.1016/j.arabjc.2012.11.018.
41. Gawande, M.; Rathi, A.; Branco, P.; Nogueira, I.; Velhinho, A.; Shrikhande, J. et al. Regio- and chemoselective reduction of nitroarenes and carbonyl compounds over recyclable magnetic ferrite_nickel nanoparticles (Fe3O4-Ni) by using glycerol as a hydrogen source. Chem.- Eur. J. 2012, 18, 12628–12632. DOI: https://doi.org/10.1002/chem.201202380.
42. Gawande, M.; Branco, P.; Nogueira, I.; Ghumman, C.; Bundaleski, N.; Santos, A. et al. Catalytic applications of a versatile magnetically separable Fe-Mo (Nanocat-Fe-Mo) nanocatalyst. Green Chem. 2013, 15, 682-689. DOI: https://doi.org/10.1039/c3gc36844k.
43. Lin, F.; Doong, R. Bifunctional Au−Fe3O4 heterostructures for magnetically recyclable catalysis of nitrophenol reduction. J. Phys. Chem. 2011, 115, 6591–6598. DOI: https://doi.org/10.1021/jp110956k.
44. Huang, J.; Dai, W. L.; Fan, K. Remarkable support crystal phase effect in Au/FeOx catalyzed oxidation of 1,4-butanediol to g-butyrolactone. J. Catal. 2009, 266, 228–235. DOI: https://doi.org/10.1016/j.jcat.2009.06.011.
45. Goergen, S.; Yin, C.; Yang, M.; Lee, B.; Lee, S.; Wang, C. et al. Structure sensitivity of oxidative dehydrogenation of cyclohexane over FeOx and Au/Fe3O4 nanocrystals. ACS Catal. 2013, 3, 529–539. DOI: https://doi.org/10.1021/cs3007582.
46. Cano, R.; Yus, M.; Ramón, D. J. Impregnated platinum on magnetite as an efficient, fast, and recyclable catalyst for the hydrosilylation of alkynes. ACS Catal.2012, 2, 1070-1078. DOI: https://doi.org/10.1021/cs300056e.
47. Liu, J.; Pen, X.; Sun, W.; Zhao, Y.; Xia, C. Magnetically separable Pd catalyst for carbonylative Sonogashira coupling reactions for the synthesis of a,b-alkynyl ketones. Org. Lett. 2008, 10, 3933-3936. DOI: https://doi.org/10.1021/ol801478y.
48. Sá, S.; Gawande, M. B.; Velhinho, A.; Veiga, J. P.; Bundaleski, N.; Trigueiro, J. et al. Magnetically recyclable magnetite– palladium (Nanocat-Fe–Pd) nanocatalyst for the Buchwald–Hartwig reaction. Green Chem. 2014, 16, 3494-3500. DOI: https://doi.org/10.1039/c4gc00558a.
49. Cano, R.; Yus, M.; Ramón, D. J. First practical cross-alkylation of primary alcohols with a new and recyclable impregnated iridium on magnetite catalyst. Chem. Commun. 2012, 48, 7628–7630. DOI: https://doi.org/10.1039/c2cc33101b.
50. Kotani, M.; Koike, T.; Yamaguchi, K.; Mizuno, N. Ruthenium hydroxide on magnetite as a magnetically separable heterogeneous catalyst for liquid-phase oxidation and reduction. Green Chem. 2006, 8, 735-741. DOI: https://doi.org/10.1039/b603204d.
51. Nishizawa, K.; Kato, H.; Mimori, K.; Yoshida, T.; Hasegawa, N.; Tsuji, M. et al. Methanation of carbon deposited directly from CO2 on rhodium-bearing activated magnetite. J. Mater. Sci. 1994, 29, 768-772. DOI: https://doi.org/10.1007/bf00445992.
52. Cano, R.; Pérez, J.; Ramón, D. Osmium impregnated on magnetite as a heterogeneous catalyst for the syn-dihydroxylation of alkenes. Appl. Catal. A. 2014, 470, 177– 182. DOI: https://doi.org/10.1016/j.apcata.2013.10.050.
53. Shelke, S.; Bankar, S.; Mhaske, G.; Kadam, S.; Murade, D.; Bhorkade, S. et al. Iron oxide-supported copper oxide nanoparticles (Nanocat-Fe-CuO): Magnetically recyclable catalysts for the synthesis of pyrazole derivatives, 4‑methoxyaniline, and Ullmann-type condensation reactions. ACS Sustainable Chem. Eng. 2014, 2, 1699–1706. DOI: https://doi.org/10.1021/sc500160f.
54. Rojas, F.; Merchan, D.; Pellón, R.; Kouznetsov, V. Síntesis de ácidos n-fenil y n-bencilantranílicos mediante reacción de Ullmann y evaluación de su actividad antioxidante e inhibidora de acetilcolinesterasa. Revista CENIC Ciencias Químicas. 2010, 41, 123-129.
55. Aliaga, M. J.; Ramón, D. J.; Yus, M. Impregnated copper on magnetite: an efficient and green catalyst for the multicomponent preparation of propargylamines under solvent free conditions. Org. Biomol. Chem. 2010, 8, 43-46. DOI: https://doi.org/10.1039/b917923b.
56. Pérez, J. M.; Cano, R.; Ramón, D. Multicomponent azide–alkyne cycloaddition catalyzed by impregnated bimetallic nickel and copper on magnetite. RSC Adv. 2014, 4, 23943-23951. DOI: https://doi.org/10.1039/c4ra03149k.
57. Cano, R.; Yus, M.; Ramón, D. J. Impregnated copper or palladium-copper on magnetite as catalysts for the domino and stepwise Sonogashira-cyclization processes: a straightforward synthesis of benzo[b]furans and indoles. Tetrahedron. 2012, 68 1393-1400. DOI: https://doi.org/10.1016/j.tet.2011.12.042.
58. Kokate, M.; Dapurkar, S.; Garadkar, K.; Gole, A. Magnetite−silica−gold nanocomposite: One-pot single-step synthesis and its application for solvent-free oxidation of benzyl alcohol. J. Phys. Chem. C. 2015, 119, 14214−14223. DOI: https://doi.org/10.1021/acs.jpcc.5b03077.
59. Shah, M. T.; Balouch, A.; Rajar, K.; Sirajuddin; Brohi I. A.; Umar A. A. Selective heterogeneous catalytic hydrogenation of ketone (C=O) to alcohol (OH) by magnetite nanoparticles following Langmuir−Hinshelwood kinetic approach. ACS Appl. Mater. Interfaces. 2015, 7, 6480−6489. DOI: https://doi.org/10.1021/am507778a.
60. Hu, A.; Yee, G. T.; Lin, W. Magnetically recoverable chiral catalysts immobilized on magnetite nanoparticles for asymmetric hydrogenation of aromatic ketones. J. Am. Chem. Soc. 2005, 127, 12486-12487. DOI: https://doi.org/10.1021/ja053881o.
61. Hu, A.; Liu, S.; Lin, W. Immobilization of chiral catalysts on magnetite nanoparticles for highly enantioselective asymmetric hydrogenation of aromatic ketones. RSC Adv. 2012, 2, 2576–2580. DOI: https://doi.org/10.1039/c2ra01073a.
62. Kupershmidt, L.; Weinreb, O.; Amit, T.; Mandel, S.; Bar-Am, O.; Youdim, M. Novel molecular targets of the neuroprotective/neurorescue multimodal iron chelating drug M30 in the mouse brain. Neuroscience. 2011, 189, 345–358. DOI: https://doi.org/10.1016/j.neuroscience.2011.03.040.
63. Movassagh, B.; Takallou, A.; Mobaraki, A. Magnetic nanoparticle-supported Pd(II)-cryptand 22 complex: An efficient and reusable heterogeneous precatalyst in the Suzuki–Miyaura coupling and the formation of aryl–sulfur bonds. J. Mol. Catalysis A. 2015, 401, 55–65. DOI: https://doi.org/10.1016/j.molcata.2015.03.002.
64. Berkessel, A.; Groger, H. Asymmetric organocatalysis–From biomimetic concepts to applications in asymmetric synthesis. WILEY-VCH Verlag GmbH & Co.: Weinheim, Germany, 2005; pp. 1-2.
65. Gruttadauria, M.; Giacalone, F.; Noto, R. Supported proline and proline-derivatives as recyclable organocatalysts. Chem. Soc. Rev. 2008, 37, 1666–1688. DOI: https://doi.org/10.1039/b800704g.
66. Chouhan, G.; Wang, D.; Alper, H. Magnetic nanoparticle-supported proline as a recyclable and recoverable ligand for the CuI catalyzed arylation of nitrogen nucleophiles. Chem. Commun. 2007, 45, 4809–4811. DOI: https://doi.org/10.1039/b711298j.
67. Mrówczynski, R.; Nan, A.; Liebscher, J. Magnetic nanoparticle-supported organocatalysts-an efficient way of recycling and reuse. RSC Adv. 2014, 4, 5927–5952. DOI: https://doi.org/10.1039/c3ra46984k.
68. Karaoglu, E.; Baykal, A.; Senel, M.; Sözery, H.; Toprak, M. S. Synthesis and characterization of piperidine-4-carboxylic acid functionalized Fe3O4 nanoparticles as a magnetic catalyst for Knoevenagel reaction. Mater. Res. Bull. 2012, 47, 2480–2486. DOI: https://doi.org/10.1016/j.materresbull.2012.05.015.
69. Akceylan, E.; Uyanik, A.; Eymur, S.; Sahin, O.; Yilmaz, M. Calixarene-proline functionalized iron oxide magnetite nanoparticles (Calix-Pro-MN): An efficient recyclable organocatalysts for asymmetric aldol reaction in water. Appl. Catal. A. 2015, 499, 205-212. DOI: https://doi.org/10.1016/j.apcata.2015.04.018.
70. Kalhafi-Nezhad, A.; Nourisefat, M.; Panahi, F. L-Cysteine functionalized magnetic nanoparticles (LCMNP): a novel magnetically separable organocatalyst for one-pot synthesis of 2-amino-4H-chromene-3-carbonitriles in water. Org. Biomol. Chem. 2015, 13, 7772-7779. DOI: https://doi.org/10.1039/c5ob01030f.
71. Gawande, M.; Belhindo, A.; Nogueira, I.; Ghumman, C.; Teodoro, O.; Branco, P. A facile synthesis of cysteine–ferrite magnetic nanoparticles for application in multicomponent reactions—a sustainable protocol. RSC Adv. 2012, 2, 6144–6149. DOI: https://doi.org/10.1039/c2ra20955a.
72. Arundhathi, R.; Damodara, D.; Likhar, P.; Kantam, M.; Saravanan, P.; Magdaleno, T. et al. Fe3O4@mesoporouspolyaniline: A highly efficient and magnetically separable catalyst for cross-coupling of aryl chlorides and phenols. Adv. Synth. Catal. 2011, 353, 1591-1600. DOI: https://doi.org/10.1002/adsc.201000977.
73. Saberi, D.; Cheraghi, S.; Mahdudi, S.; Akbari, F.; Heydari, A. Dehydroascorbic acid (DHAA) capped magnetite nanoparticles as an efficient magnetic organocatalyst for the one-pot synthesis of a-aminonitriles and a-aminophosphonates. Tetrahedron Lett. 2013, 54, 6403–6406. DOI: https://doi.org/10.1016/j.tetlet.2013.09.032.
74. Isaad, J. Acidic ionic liquid supported on silica-coated magnetite nanoparticles as a green catalyst for one-pot diazotization–halogenation of the aromatic amines. RSC Adv. 2014, 4, 49333–49341. DOI: https://doi.org/10.1039/c4ra05705h.
75. Xue, X.; Hanna, K.; Abdelmoula, M.; Deng, N. Adsorption and oxidation of PCP on the surface of magnetite: Kinetic experiments and spectroscopic investigations. Appl. Catal. B. 2009, 89, 432–440. DOI: https://doi.org/10.1016/j.apcatb.2008.12.024.
76. Sun, S. P.; Lemley, A. T. p-nitrophenol degradation by a heterogeneous Fenton-like reaction on nano-magnetite: Process optimization, kinetics, and degradation pathways. J. Mol. Catal. A. 2011, 349, 71– 79. DOI: https://doi.org/10.1016/j.molcata.2011.08.022.
77. Lee, H. K.; Do, S. H.; Kong, S. H. The role of magnetite nano particle (MNP) to oxidize nitrobenzene using heterogeneous Fenton reaction. Proceedings of the World Congress on Engineering and Computer Science. International Association of Engineers: San Francisco, USA, 2010; p.p. 717-720.
78. Muñoz, M.; de Pedro, Z. M.; Casas, J. A.; Rodríguez, J. J. Preparation of magnetite-based catalysts and their application in heterogeneous Fenton oxidation – A review. Appl. Catal. B. 2015, 176-177, 249-265. DOI: https://doi.org/10.1016/j.apcatb.2015.04.003.
79. Zhang, J.; Zhuang, J.; Gao, L.; Zhang, Y.; Gu, N.; Feng, J. et al. Decomposing phenol by the hidden talent of ferromagnetic nanoparticles. Chemosphere. 2008, 73, 1524-1528. DOI: https://doi.org/10.1016/j.chemosphere.2008.05.050.
80. He, H.; Zhong, Y.; Liang, X.; Tan, W.; Zhu, J.; Wang, C. Y. Natural Magnetite: an efficient catalyst for the degradation of organic contaminant. Sci. Rep. 2015, 5 (10139), 1-10. DOI: https://doi.org/10.1038/srep10139.
81. Minella, M.; Marchetti, G.; de Laurentiis, E.; Malandrino, M.; Maurino, V.; Minero C. et al. Photo-Fenton oxidation of phenol with magnetite as iron source. Appl. Catal B. 2014, 154-155, 102-109. DOI: https://doi.org/10.1016/j.apcatb.2014.02.006.
82. Pouran, S. R.; Raman, A. A.; Daud, W. M. Review on the application of modified iron oxides as heterogeneous catalysts in Fenton reactions. J. Cleaner Prod. 2014, 64, 24-35. DOI: https://doi.org/10.1016/j.jclepro.2013.09.013.
83. Reza, K. M.; Kurny, A.; Gulshan, F. Photocatalytic degradation of methylene blue by magnetite + H2O2 + UV Process. Int. J. Environ. Sci. Dev. 2016, 7, 325-329. DOI: https://doi.org/10.7763/ijesd.2016.v7.793.
84. Hou, L.; Wang, L.; Royer, S.; Zhang, H. Ultrasound-assisted heterogeneous Fenton-like degradation of tetracycline over a magnetite catalyst. J. Hazard. Mater. 2016, 302, 458–467. DOI: https://doi.org/10.1016/j.jhazmat.2015.09.033.
85. Cheng, J. P.; Ma, R.; Li, M.; Wu, J. S.; Liu, F.; Zhang, X. B. Anatase nanocrystals coating on silica-coated magnetite: Role of polyacrylic acid treatment and its photocatalytic properties. Chem. Eng. J. 2012, 210, 80–86. DOI: https://doi.org/10.1016/j.cej.2012.08.059.
86. Chang, Y. J.; Lin, C. H.; Hwa, M. Y.; Hsieh, Y. H.; Cheng, T. C.; Chang, C. Y. Study on the decomposition of isopropyl alcohol by using microwave/Fe3O4 catalytic system. J. Environ. Eng. Manage. 2010, 20, 63-68.
87. Choi, J. S.; Youn, H. K.; Kwak, B. H.; Wang, Q.; Yang, K. S.; Chung, J. S. Preparation and characterization of TiO2-masked Fe3O4 nanoparticles for enhancing catalytic combustion of 1,2-dichlorobenzene and incineration of polymer wastes. Appl. Catal. B. 2009, 91, 210-216. DOI: https://doi.org/10.1016/j.apcatb.2009.05.026.
88. Meshkani, F; Rezaei, M. Preparation of mesoporous nanocrystalline iron based catalysts for high temperature water gas shift reaction: Effect of preparation factors. Chem. Eng. J. 2015, 260,107-116. DOI: https://doi.org/10.1016/j.cej.2014.08.080.
89. Meshkani, F; Rezaei, M. A facile method for preparation of iron based catalysts for high temperature water gas shift reaction. J. Ind. Eng. Chem. 2014, 20, 3297-3302. DOI: https://doi.org/10.1016/j.jiec.2013.12.011.
90. Lei, Y.; Cant, N. W.; Trimm, D. L. Kinetics of the water–gas shift reaction over a rhodium-promoted iron–chromium oxide catalyst. Chem. Eng. J. 2005, 114, 81-85. DOI: https://doi.org/10.1016/j.cej.2005.09.012.
91. Martos, C.; Dufour, J.; Ruiz, A. Synthesis of Fe3O4-based catalysts for the high-temperature water gas shift reaction. Int. J. Hydrogen Energy. 2009, 34, 4475- 4481. DOI: https://doi.org/10.1016/j.ijhydene.2008.08.042.
92. Meshkani, F; Rezaei, M. Simplified direct pyrolysis method for preparation of nanocrystalline iron based catalysts for H2 purification via high temperature water gas shift reaction. Chem. Eng. Res. Des. 2015, 95-288-297. DOI: https://doi.org/10.1016/j.cherd.2014.11.006.
93. Subramanian, V.; Jeong, D. W.; Han, W. B.; Jang, W. J.; Shim, J. O.; Roh, H. S. H2 production from high temperature shift of the simulated waste derived synthesis gas over magnetite catalysts prepared by citric acid assisted direct synthesis method. Int. J. Hydrogen Energy. 2013, 38, 8699-8703. DOI: https://doi.org/10.1016/j.ijhydene.2013.05.022.
94. Topsoe, H.; Boudart, M. Mössbauer spectroscopy of CO shift catalysts promoted with lead. J. Catal. 1973, 31, 346-359. DOI: https://doi.org/10.1016/0021-9517(73)90304-7.
95. Rangel, M. C.; Sassaki, R. M.; Galembeck, F. Effect of chromium on magnetite formation. Catal. Lett. 1995, 33, 237-254. DOI: https://doi.org/10.1007/bf00814228.
96. Lendzion-Bielun, Z.; Jedrzejewski, R.; Ekiert, E.; Arabczyk, W. Heterogeneity of ingot of the fused iron catalyst for ammonia synthesis. Appl. Catal. A. 2011, 400, 48-53. DOI: https://doi.org/10.1016/j.apcata.2011.04.010.
97. Yu, X.; Lin, B.; Lin, J.; Wang, R.; Wei, K. A novel fused iron catalyst for ammonia synthesis promoted with rare earth gangue. J. Rare Earths. 2008, 26, 711-716. DOI: https://doi.org/10.1016/s1002-0721(08)60168-4.
98. Liu, H. Ammonia synthesis catalyst 100 years: Practice, enlightenment and challenge. Chin. J. Catal. 2014, 35, 1619-1640. DOI: https://doi.org/10.1016/s1872-2067(14)60118-2.
99. Cinti, G.; Frattini, D.; Jannelli, E.; Desideri, U.; Bidini, G. Coupling solid oxide electrolyser (SOE) and ammonia production plant. Appl. Energy. 2016. In press. DOI: http://doi.org/10.1016/j.apenergy.2016.09.026.
100. Giddey, S.; Badwal, S.P.S.; Kulkarni, A. Review of electrochemical ammonia production technologies and materials. Int. J. Hydrogen Energy. 2013, 38, 14576-14594. DOI: https://doi.org/10.1016/j.ijhydene.2013.09.054.
101. Liu, H.; Li, X. Precursor of iron catalyst for ammonia synthesis: Fe3O4, Fel-xO, Fe2O3 or their mixture? Stud. Surf. Sci. Catal. 2000, 130, 2207-2212. DOI: https://doi.org/10.1016/s0167-2991(00)80796-x.
102. Zheng, Y. F.; Liu, H. Z.; Liu, Z. J.; Li, X. N. In situ X-ray diffraction study of reduction processes of Fe3O4- and Fe1-xO based ammonia-synthesis catalysts. J. Solid State Chem. 2009, 182, 2385-2391. DOI: https://doi.org/10.1016/j.jssc.2009.06.030.
103. Prozorov, T. Magnetic microbes: Bacterial magnetite biomineralization. Semin. Cell Dev. Biol. 2015, 46, 36-43. DOI: https://doi.org/10.1016/j.semcdb.2015.09.003.
104. Long, J.; Yu, X.; Xu, E.; Wu, Z.; Xu, X.; Jin, Z. et al. In situ synthesis of new magnetite chitosan/carrageenan nanocomposites by electrostatic interactions for protein delivery applications. Carbohydr. Polym. 2015, 131, 98-107. DOI: https://doi.org/10.1016/j.carbpol.2015.05.058.
105. Sivakumar, B.; Aswathy, R.; Nagaoka, Y.; Suzuki, M.; Fukuda, T.; Yoshida, Y. et al. Multifunctional carboxymethyl cellulose-based magnetic nanovector as a theragnostic system for folate receptor targeted chemotherapy, imaging, and hyperthermia against cancer. Langmiur. 2013, 29, 3453−3466. DOI: https://doi.org/10.1021/la305048m.
106. Ivashchenko, O.; Lewandowski, M.; Peplińska, B.; Jarek, M.; Nowaczyk, G.; Wiesner, M. et al. Synthesis and characterization of magnetite/silver/antibiotic nanocomposites for targeted antimicrobial therapy. Mater. Sci. Eng. C. 2015, 55, 343-359. DOI: https://doi.org/10.1016/j.msec.2015.05.023.
107. German, S.; Navolokin, N.; Kuznetsova, N.; Zuev, V.; Inozemtseva, O.; Anis, A. et al. Liposomes loaded with hydrophilic magnetite nanoparticles: Preparation and application as contrast agents for magnetic resonance imaging. Colloids and Surf. B. 2015, 135: 109-115. DOI: https://doi.org/10.1016/j.colsurfb.2015.07.042.
108. Petcharoen, K.; Sirivat, A. Magneto-electro-responsive material based on magnetite nanoparticles/polyurethane composites. Mater. Sci. Eng. C. 2016, 61: 312-323. DOI: https://doi.org/10.1016/j.msec.2015.12.014.
109. Jiang, F.; Zhang, Y.; Wang, Z. Combination of magnetic and enhanced mechanical properties for copolymer-grafted magnetite Composite thermoplastic elastomers. ACS Appl. Mater. Interfaces. 2015, 7, 10563-10575. DOI: https://doi.org/10.1021/acsami.5b02208.
110. Jiang, F.; Wang, Z.; Qiao, Y.; Wang, Z.; Tang, C. A novel architecture toward third-generation thermoplastic elastomers by a grafting strategy. Macromolecules. 2013, 46, 4772-4780. DOI: https://doi.org/10.1021/ma4007472.
111. Suanon, F.; Sun, Q.; Mama, D.; Li, J.; Dimon, B.; Yu, C. Effect of nanoscale zero-valent iron and magnetite (Fe3O4) on the fate of metals during anaerobic digestion of sludge. Water Res. 2016, 88, 897-903. DOI: https://doi.org/10.1016/j.watres.2015.11.014.
112. Hozhabr, S.; Entezari, M.; Chamsaz, M. Modification of mesoporous silica magnetite nanoparticles by 3-aminopropyltriethoxysilane for the removal of Cr (VI) from aqueous solution. Microporous Mesoporous Mater. 2015, 218, 101-111. DOI: https://doi.org/10.1016/j.micromeso.2015.07.008.
113. Galvis, J. Análisis de la génesis mineral en Colombia. Rev. Acad. Colomb. Cienc. Exactas, Fís. Nat. 1990, 17, 753-777.
114. Ulloa-Melo, C. Minerales de Hierro. Recursos Minerales de Colombia, Tomo I, 2ª ed. Villegas-Betancourt A., Ed.; Ingeominas: Bogotá, Colombia, 1987; pp. 220-249.
115. Manosalva, S. R.; Naranjo, W. E. Caracterización metalográfica de las manifestaciones de mineral de hierro, Paipa (Boyacá, Colombia). Boletín de Ciencias de la Tierra. 2007, 20, 89-99.
116. Mutis, V. Catálogo de los yacimientos, prospectos y manifestaciones minerales de Colombia. Ingeominas: Bogotá, Colombia, 1983; pp. 186-196.
117. Forero, A.; Díaz, S. Beneficio de una magnetita para producción de pelets utilizados en procesos de reducción directa. Scientia et Technica. 2007, 36, 793-796.
118. Vargas, J.; Castañeda, E.; Forero, A.; Díaz, S. Obtención de hierro a partir de arenas negras del Atlántico colombiano desembocadura Río Magdalena. Revista de la Facultad de Ingeniería. 2011, 26, 19-26.
119. Ardila, M.; Triviño, P.; Torres, E.; Molina, C. Desarrollo de materiales, procesos y equipos magnetorreológicos para beneficio de minerales. Segundo Congreso Internacional sobre Tecnologías Avanzadas de Mecatrónica, Diseño y Manufactura - AMDM. Ediciones Universidad Central: Bogotá, Colombia, 2014; p.p. 1-6.
120. Triviño, M.; Ardila, M.; Torres, E. A. Implementación de fluidos magnetorreológicos para beneficio de minerales. Prospectiva. 2010, 8, 77-86.