Fisicoquímica e Inorgánica
Síntesis y caracterización de las propiedades ópticas de puntos cuánticos de CdSe y CdSe/ZnS
Synthesis and characterization of optic properties of CdSe and CdSe/ZnS quantum dots
Síntese e caracterização das propriedades ópticas do pontos quânticos de CdSe e CdSe/ZnS
Síntesis y caracterización de las propiedades ópticas de puntos cuánticos de CdSe y CdSe/ZnS
Revista Colombiana de Química, vol. 47, núm. 1, 2018
Universidad Nacional de Colombia

Recepción: 17 Noviembre 2016
Aprobación: 31 Mayo 2017
Resumen: Se prepararon puntos cuánticos de CdSe y CdSe/ZnS (núcleo/capa) con ácido oleico como agente estabilizante en medio orgánico y se examinan las propiedades ópticas de los nanocristales obtenidos. En la obtención de CdSe, se estudió la influencia del O2 en la cinética de crecimiento de los puntos cuánticos. Durante los primeros 90 s, el crecimiento de los nanocristales en presencia de O2 fue 1,6 veces mayor que en atmósfera inerte. A pesar de este rápido crecimiento, el O2 afectó las propiedades ópticas de los nanocristales, formando bandas de absorción anchas y espectros de fluorescencia de baja intensidad. En contraste, los puntos cuánticos de CdSe sintetizados en atmósfera inerte presentaron picos de absorción bien definidos y fluorescencia aguda e intensa. Estas propiedades se intensificaron con la formación de un 10% de la monocapa de ZnS: para un núcleo de 2.50 nm, el rendimiento cuántico de fluorescencia (ΦFl) en la región del verde se incrementó de 5,5 % a 42,3%. El procedimiento de síntesis de nanocristales de CdSe/ZnS desarrollado con baja concentración de Zn2+ y con un exceso de S2- puede emplearse en la obtención de materiales con excelentes propiedades fotoluminiscentes para aplicaciones como biomarcadores, sensores, catálisis y celdas solares.
Palabras clave: Excitón, rendimiento cuántico, absorción, fluorescencia y puntos cuánticos.
Abstract: CdSe and CdSe/ZnS (core/shell) quantum dots with oleic acid as stabilizing agent in organic medium were prepared and their optical properties were examined. For CdSe synthesis, the influence of O2 in the growth kinetics of quantum dots was determined. In the first 90 s, the nanocrystals growth was 1.6 higher in presence of O2 than when reaction was carried out in N2 atmosphere. However, the growth rate with O2 is not favorable because the nanocrystal optical properties were affected: wider absorption band and lower fluorescence that those obtained in inert atmosphere. Properties of CdSe nanocrystals synthesized in inert atmosphere were intensified with 10% of monolayer. For a core with 2.5 nm diameter, the fluorescence quantum yield (ΦFl) in the green region increased from 5.5% to 42.3%. In this work, a low Zn2+ (diethylzinc) precursor concentration was used to produce a. The synthesis process of CdSe / ZnS nanocrystals developed with low concentration of Zn2+ and an excess of S2- can be used to obtain materials with excellent photoluminescent properties for applications such as biomarkers, sensors, catalysis, and solar cells.
Keywords: Exciton, quantum yield, absorption, fluorescence and quantum dots.
Resumo: Pontos quânticos CdSe e CdSe/ZnS (núcleo/couraça) com ácido oleico como um agente de estabilização em um meio orgânico foi preparado e as propriedades ópticas dos nanocristais obtidos são examinados. Na obtenção de CdSe, a influência da O2 foi estudada em cinética de crescimento de pontos quânticos. Durante o primeiro crescimento de 90 s dos nanocristais na presença de O2 foi de 1,6 vezes mais elevado do que em atmosfera inerte. Apesar deste crescimento rápido, O2 afecta as propriedades ópticas dos nanocristais, formando bandas de absorção ampla e espectros de fluorescência de baixa intensidade. Em contraste, CdSe sintetizados em atmosfera inerte mostrou picos bem definidos de absorção e fluorescência nítida e intensa. Estas propriedades são intensificadas pela formação de 10% da monocamada de ZnS: para um núcleo de 2,50 nm, o rendimento quântico de fluorescência (ΦFl) na região do verde aumentou de 5,5% para 42,3%. O procedimento de síntese de nanocristais de CdSe/ZnS desenvolvidos com baixa concentração de Zn2+ e o excesso de S2- pode ser utilizada na obtenção de materiais fotoluminescentes, com excelentes propriedades para aplicações como biomarcadores, sensores, catálise e células solares.
Palavras-chave: Exciton, rendimento quântico, absorção, fluorescencia e pontos quânticos.
Introducción
En las últimas décadas se han realizado importantes avances para la obtención de nuevos materiales con alto aprovechamiento de la energía solar para diversas aplicaciones, por ejemplo, catálisis, celdas solares, desarrollo de fotodetectores, entre otras (1, 2, 3, 4, 5). En el campo de los nuevos materiales con propiedades fotoluminiscentes se encuentran los puntos cuánticos. Estos son nanocristales de entre 2 y 10 nm de diámetro que comprenden entre cientos a miles de átomos (6) y están compuestos por elementos de los grupos IV, II–VI, III–V, o IV–VI de la tabla periódica. Entre ellos, los que se componen de semiconductores (grupos II-VI ej.: ZnO, ZnS, ZnSe, CdSe, CdS) son interesantes debido a que se caracterizan por presentar un amplio espectro de absorción en la región visible, alto coeficiente de extinción e intensa emisión multicolor (7, 8, 9), del mismo modo, son los materiales que poseen mejores características luminiscentes. Entre los puntos cuánticos de semiconductores se destacan CdSe y ZnS por sus importantes propiedades eléctricas y ópticas (10, 11, 12).
El estudio de los puntos cuánticos permite ampliar el conocimiento sobre semiconductores en escalas de longitud pequeña, donde las propiedades físicas, químicas y electrónicas cambian debido al efecto de confinamiento cuántico. En un semiconductor en bulto, un fotón con energía mayor a la banda prohibida (Eg) promueve un electrón a la banda de conducción, creando un par electrón-hueco. Sin embargo, si el semiconductor tiene un tamaño finito, acercándose a la escala de longitud natural de su par electrón-hueco (esta longitud se conoce también como el radio de excitón de Bohr), se observará la cuantización de los estados de energía.
La transición de una serie continua de estados a estados discretos da como resultado que las propiedades ópticas de un material semiconductor finito difieran significativamente de un semiconductor en bulto. Como resultado, el tamaño de la banda prohibida, y, por consiguiente, la frecuencia de emisión de los puntos cuánticos se ajusta con el diámetro. Así, los nanocristales de menor diámetro emiten luz de longitud de onda corta, mientras que los de mayor tamaño emiten luz de longitud de onda más larga (13, 14).
La ruta sintética de los puntos cuánticos es crucial para la obtención de nanocristales de menor tamaño y alto rendimiento cuántico de fluorescencia (QYFl). Estas propiedades son definidas por la naturaleza de los precursores, el disolvente y el agente estabilizante de la superficie (15, 16). Uno de los métodos de síntesis más empleados para la obtención de nanocristales de CdSe es la pirólisis de los precursores organometálicos en disolventes coordinantes, a temperaturas muy altas. Murray et al. (17) fueron los pioneros en la obtención de nanocristales de CdSe empleando este método. Ellos realizaron la inyección de los precursores de Cd y Se a una solución de óxido de tri-n-octilfosfina (TOP) a 300 °C, formando nanocristales con un tamaño comprendido entre 1,2 y 11,5 nm y un rendimiento cuántico de fluorescencia de 5 a 15% (17). Debido a su toxicidad, el TOP se ha reemplazado por ácidos grasos que son más económicos y menos contaminantes. Así, con ácido esteárico y a temperaturas entre 200 y 320 °C, se han obtenido puntos cuánticos de CdSe con un tamaño mayor a 4 nm y QYFl entre 20 y 30% (18, 19). Una modificación a este método, ha sido el uso de octadeceno (ODE) como disolvente no-coordinante, junto al ácido oleico y a 265 °C, se han obtenido nanocristales de CdSe con un tamaño entre 1 y 6 nm (20, 21). Sin embargo, el valor de QYFl reportado por este método ha sido bajo (aprox. 1,5%) (22).
De otro lado, el tiempo de crecimiento del nanocristal, la temperatura y el ambiente de reacción son otros factores que deben controlarse en el proceso de obtención de los puntos cuánticos. Usualmente, la síntesis de los nanocristales de CdSe por el método de inyección en caliente se realiza en atmósfera N2 debido a la tendencia oxidativa de la superficie de los nanocristales a formar SeO2 y diferentes defectos superficiales que disminuyen la luminiscencia (23, 24, 25). Estas trampas superficiales pueden originarse por los enlaces libres de la superficie, defectos de red o por el exceso de cadmio y azufre remanente en la superficie de los nanocristales (26, 27), siendo una vía para el decaimiento no-radiativo del estado excitado del punto cuántico.
Cuando se desea una alta eficiencia cuántica, es común rodear al nanocristal (núcleo) con un segundo semiconductor de mayor Eg, con el fin de reducir la fuerza de interacción entre el excitón y la superficie de la nanopartícula y, de ese modo, aumentar la eficiencia cuántica.
Por lo anterior, en este trabajo se buscó sintetizar y caracterizar las propiedades ópticas de puntos cuánticos de CdSe. Se empleó ZnS para encapsular y proteger al núcleo del ambiente que lo rodea e incrementar QYFl. De este modo se obtuvo mayor estabilidad y mejor luminiscencia (28, 29). Se determinó la influencia del ambiente oxidante en las propiedades ópticas de los puntos cuánticos y en la cinética de formación y crecimiento de los nanocristales.
Materiales y métodos
Reactivos
Se adquirieron de Sigma Aldrich (EE.UU.) 1-octadeceno (ODE), Se elemental, tri-n-octilfosfina (TOP), CdO, ácido oleico, Rodamina 3G, hexametildisiltiano (HDS) y la solución 1 M de dietil Zinc (ZnEt2) en hexano; se utilizaron sin previa purificación. Se adquirieron de Panreac (Colombia) tolueno, dimetilformamida, etanol y metanol al 99,8%, todos de grado analítico.
Síntesis de los puntos cuánticos de CdSe Y CdSe/ZnS
Las reacciones en atmósfera inerte se realizaron empleando un sistema cerrado acoplado a un flujo de N2 (11, 30). Las reacciones en presencia de O2, se realizaron en un sistema abierto al aire del medio. A continuación, se describe los procedimientos empleados:
Solución stock de selenio (SeTOP)
A un balón de tres bocas acoplado a un flujo constante de N2, se añadieron 30,5 mg (0,38 mmoles) de Se en polvo; luego, se agregaron 5 mL de ODE y 0,45 mL (0,9 mmol) de TOP. La mezcla se llevó a 80 °C por 3 h hasta que solubilizó el Se, manteniendo la atmósfera inerte. Esta solución se utilizó posteriormente para formar los nanocristales de CdSe.
Complejo de Cd
Se pesaron 34,2 mg (0,25 mmol) de CdO y se añadieron 0,6 mL (1,9 mmol) de ácido oleico en atmósfera de N2. Posteriormente, se añadieron 10 mL de ODE y se dejó la reacción a 225 °C, con agitación moderada, durante 90 minutos y manteniendo constante el flujo de N2, obteniendo una solución incolora del complejo de Cd.
Puntos cuánticos de CdSe
La solución del complejo de Cd se calentó hasta 225 °C y en atmósfera de N2, se adicionó 1 mL de la solución de SeTOP. La reacción se monitoreó durante los primeros 15 min mediante la extracción de alícuotas de 200 µL a diferentes intervalos de tiempo. A las alícuotas se les añadieron 2 mL de tolueno a 10 °C con el fin de detener el crecimiento de los nanocristales. Estos nanocristales disueltos en tolueno se purificaron realizando lavados con metanol (se hicieron hasta cuatro lavados); por cada 2 mL de punto cuántico disuelto en tolueno se añadieron 4 mL de metanol. El material de partida y las impurezas se aislaron por centrifugación (10000 rpm durante 15 min), descartando el sobrenadante. Posteriormente, los nanocristales purificados se analizaron por medidas de UV-Vis y fluorescencia.
Los puntos cuánticos de CdSe también se obtuvieron sin flujo de N2, con el fin de determinar la influencia del O2 del medio en las propiedades ópticas. En un sistema abierto al O2 del medio y equipado con un balón fondo redondo, se añadió la solución del complejo de Cd. Esta solución se calentó a 225 °C y se adicionó 1 mL de la solución de SeTOP. Se realizó el mismo proceso de monitoreo y purificación anteriormente descrito.
Los nanocristales de CdSe purificados, obtenidos en presencia y ausencia de O2, se almacenaron en un frasco ámbar a 4 °C y en atmósfera de N2 para las medidas de UV-Vis y fluorescencia.
Puntos cuánticos de CdSe/ZnS
Después de sintetizar los puntos cuánticos de CdSe mediante el procedimiento descrito, se continuó con la formación de la capa de ZnS. Esto se hizo a partir de los cristales sintetizados en atmósfera de N2, después de 48 s de crecimiento a 225 °C.
Para realizar la cobertura se disminuyó la temperatura de la solución de CdSe a 110 °C; luego se añadió gota a gota una solución compuesta por 1 mL de TOP (2,0 mmol), 32 μL de ZnEt2 (0,032 mmol) y 64 μL de hexametildisitiano (0,28 mmol). La mezcla se dejó reaccionar a 80 °C durante 4 h, bajo agitación magnética y manteniendo la atmósfera inerte, con el fin de lograr la formación de la capa de ZnS alrededor del núcleo de CdSe. Los puntos cuánticos de CdSe/ZnS se purificaron dispersándolos en metanol. Se realizó el mismo proceso de monitoreo y purificación anteriormente descrito. Estos nanocristales también fueron almacenados para las medidas de UV-Vis y fluorescencia.
Caracterización de los nanocristales
Propiedades ópticas
Los espectros de absorción UV-Vis se midieron en un espectrofotómetro Thermo Scientific Evolution 300. Los espectros de absorción de los puntos cuánticos purificados y disueltos en tolueno se tomaron en un intervalo de 300 nm a 800 nm usando una celda de cuarzo de 1 cm de paso óptico.
Propiedades fluorescentes
Los espectros de florescencia se midieron en un fluorómetro Vernier, SpectroVIS Plus de haz sencillo. Los espectros de emisión de los nanocristales disueltos en tolueno se midieron en un intervalo de 300 nm a 800 nm con una celda de cuarzo, de 1 cm de paso óptico, luego de la excitación (lexc) a 405 nm y 500 nm.
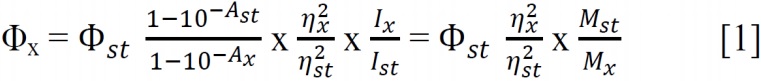
El rendimiento cuántico de fluorescencia (FFl) de los nanocristales de CdSe y CdSe/ZnS disueltos en tolueno se determinó excitando a 500 nm y empleando como estándar rodamina 3G disuelta en etanol, con un rendimiento cuántico conocido a 500 nm de 0,94 (31). Se prepararon soluciones de rodamina 3G en un intervalo de concentración de 0,1 a 0,5 µM. Con respecto a los nanocristales se prepararon soluciones con absorbancias menores a 0,1 (l = 500 nm) con el fin de disminuir los fenómenos de auto-absorción fotónica y de dispersión Rayleigh. Se empleó la ecuación [1] para determinar FFl de los nanocristales (31).

Donde x son los puntos cuánticos en tolueno, st es rodamina 3G en etanol, F es el rendimiento cuántico de fluorescencia, η es el índice de refracción de los disolventes usados y M es la pendiente de la recta ajustada a los datos experimentales de intensidad de fluorescencia integrada vs absortancia (1-10-A), medida a 500 nm.
Resultados y discusión
Preparación de los puntos cuánticos de CdSe
Efecto del O2
La preparación de los puntos cuánticos de CdSe se realizó en presencia de O2 y en atmósfera de N2, con el fin de determinar su influencia en la cinética de formación y crecimiento de los nanocristales y en sus propiedades ópticas. La Figura 1 muestra los espectros de absorción (línea solida) y de fluorescencia (línea punteada) de los puntos cuánticos de CdSe obtenidos en presencia de O2, en función del tiempo de reacción. Los espectros muestran un desplazamiento del primer pico de absorción excitónico y del máximo pico de fluorescencia hacia la región del rojo con el tiempo de reacción. Este efecto caracteriza a los puntos cuánticos y está relacionado con el confinamiento cuántico, es decir, conforme avanza la reacción crecen los cristales generando corrimientos hacia longitudes de onda larga en los espectros de absorción y fluorescencia (6).

A partir de los espectros de absorción, puede calcularse el tamaño de los puntos cuánticos y el coeficiente de extinción de los cristales. El tamaño se calcula empleando la ecuación [2] (32):

donde D es el diámetro del nanocristal (nm) y l es la longitud de onda del primer pico excitónico del espectro de absorción.
El coeficiente de extinción molar ɛ depende del diámetro (D) de los nanocristales y se puede calcular empleando la ecuación [3], una fórmula semi-empírica (32):

La Tabla 1 muestra las distintas características de los nanocristales de CdSe obtenidos en presencia de O2, en función del tiempo de reacción. De acuerdo con los resultados, a medida que avanza la reacción, crecen los nanocristales, de modo que se observa corrimiento hacia el rojo de las bandas de absorción y fluorescencia, además del aumento del coeficiente de extinción molar.
Por otro lado, analizando la forma de los espectros obtenidos, se observa que la reacción en presencia de O2 genera bandas de absorción anchas y poco definidas. Igualmente, la fluorescencia de las muestras es ancha y de baja intensidad. Estos resultados indican la formación de trampas electrónicas producidas por la presencia de O2 en el medio de reacción (23). Las trampas electrónicas inducen la recombinación no-radiativa responsable del detrimento en la fluorescencia y del rendimiento cuántico (14).

La Figura 2 muestra los espectros de absorción (línea solida) y fluorescencia (línea punteada) de los puntos cuánticos de CdSe sintetizados en atmósfera inerte en función del tiempo de reacción. De nuevo, se observa el corrimiento de las bandas de absorción y fluorescencia de los nanocristales conforme avanza la reacción. Sin embargo, los espectros de absorción son más definidos. Igualmente, la fluorescencia de los nanocristales es más simétrica y aguda.

En la Tabla 2 se registran las distintas propiedades de los nanocristales de CdSe obtenidos en atmósfera inerte; los resultados muestran la importancia de realizar la reacción en este medio. Los reactivos de partida (ácido oleico, TOP) o los monómeros se oxidan fácilmente en presencia de O2, dada la temperatura de reacción (225 °C), lo que significa que las propiedades del estabilizante y las características de superficie de los nanocristales están siendo afectadas, favoreciendo la formación de las trampas que reducen la fotoluminiscencia. Algunos estudios han reportado la oxidación de CdSe en presencia de aire formando óxidos, especialmente, CdSeO3 (ecuación [4]) o SeO2 (ecuación [5]) (33, 34).



La Figura 3 muestra la cinética de crecimiento de los nanocristales de CdSe sintetizados en presencia y ausencia de O2. Las gráficas se construyeron con el máximo de longitud de onda del espectro de absorción (Figura 3A) y con el diámetro de partícula (Figura 3B) obteniendo en ambos casos una curva creciente conforme avanza la reacción. Se observan dos regímenes cinéticos (20, 35, 36, 37, 38): i) durante los primeros 90 segundos, el diámetro incrementa rápidamente de 2,31 a 2,70 nm en atmosfera inerte y de 2,45 a 2,80 nm en presencia de O2; ii) En los siguientes 400 segundos, los nanocristales crecen más lentamente, de 2,95 a 3,4 nm en atmosfera inerte y de 3,10 a 3,40 nm en presencia de O2. Durante los primeros 90 segundos (región de rápido crecimiento), las curvas de crecimiento de los nanocristales presentan un comportamiento aproximadamente lineal (Figura 3C). Con la pendiente de estas curvas se obtuvo la constante cinética de crecimiento (k) de los nanocristales (39). En presencia de O2, k es de 0,0080 nm·s-1 y en atmósfera inerte es 0,0050 nm·s-1. El rápido crecimiento de los nanocristales observado en presencia de O2 no es favorable, debido a que se aceleran los procesos de oxidación de los precursores y de los estabilizantes en la superficie, afectando las propiedades ópticas de estos materiales, como se discutió anteriormente.

Propiedades de CdSe/ZnS
A partir de los nanocristales de CdSe obtenidos en atmósfera de N2, se realizó la síntesis de los nanocristales del tipo núcleo/capa de CdSe/ZnS, preparados en atmósfera inerte. Los nanocristales de CdSe crecieron por 48 s y se procedió con la formación de la capa. En la Figura 4 se comparan los espectros de absorción y fluorescencia de los puntos cuánticos de CdSe (preparados en presencia y ausencia de O2) y CdSe/ZnS. Los máximos de las bandas de absorción y fluorescencia de los puntos cuánticos de CdSe/ZnS muestran un corrimiento de la región del rojo, respecto a los puntos cuánticos sin capa. Además, desaparece la pequeña emisión a longitudes de onda largas (alrededor de 700 nm), característica de las emisiones radiativas de las trampas de estados cuánticos superficiales de los puntos cuánticos sin capa.

La Figura 5 compara los espectros de absorción y fluorescencia (lexc = 500 nm) de diferentes concentraciones de los puntos cuánticos y del estándar, rodamina 3G. Para una misma absorbancia, se observa el incremento en la intensidad de fluorescencia de CdSe/ZnS respecto a los puntos cuánticos de CdSe. El FFl de las muestras, disueltas en tolueno, se determinó a partir de la ecuación [1]. De acuerdo con los resultados, FFl para CdSe es 5,5% mientras que para CdSe/ZnS es 42,3%.

Se conoce que la formación de una o dos capas alrededor del núcleo de CdSe pasiva la superficie disminuyendo los defectos superficiales, lo cual mejora sus propiedades ópticas y fluorescentes (40, 41). Se ha reportado que el ancho para una monocapa formada de ZnS alrededor de un nanocristal de CdSe es 0,31 nm (42). A partir de la ecuación [6] se puede calcular la cantidad de Zn2+ necesaria para la formación de la primera monocapa (42):

Donde NZn/NP y NCd/NP son las moles de Zn2+ y de Cd2+ por nanopartícula, VC es el volumen de la capa y VN es el volumen del núcleo.
En el presente caso, el diámetro del núcleo de CdSe es 2,50 nm (determinado con la ecuación [2]) y la relación molar de Zn2+/Cd2+ empleada es de 0,128 con lo cual llega a formarse un 10% de la primera monocapa. Para la formación del núcleo, se recomienda emplear una relación estequiométrica de Cd/Se de 1:1, debido a que un exceso de Se produce trampas de huecos y un exceso de Cd produce trampas de electrones (43).
Recientemente, se ha reportado que las trampas originadas por el exceso de Cd2+ pueden eliminarse realizando un tratamiento con H2S (44). De acuerdo con las cantidades de los precursores del núcleo y de la capa empleadas en este trabajo, el exceso de Cd pudo originar trampas superficiales que posteriormente se removieron con el exceso de azufre empleado. Como resultado, con solo el 10% de monocapa de ZnS formada alrededor del núcleo, y con un exceso de azufre, se logró incrementar el valor de FFl en 7,7 veces respecto al núcleo de CdSe. Este resultado sugiere que un exceso de precursor puede remover las trampas superficiales que posteriormente son eliminadas en el proceso de purificación.
Conclusiones
Se encontró que el O2 incrementa 1,6 veces la velocidad de crecimiento de los puntos cuánticos, en comparación con la reacción en atmósfera inerte. Sin embargo, la presencia de O2 en el crecimiento no es favorable debido a los procesos de oxidación que se originan en la superficie como trampas y defectos que reducen la fotoluminiscencia. Este resultado es importante debido a que es necesario obtener puntos cuánticos más estables al oxígeno atmosférico para ampliar sus aplicaciones comerciales.
Con el fin de obtener nanocristales con alta fluorescencia, se sintetizaron nanocristales de CdSe/ZnS. Para ello, se utilizaron como núcleo los puntos cuánticos de CdSe obtenidos en atmósfera inerte, de tamaño de 2,5 nm y FFl de 5,5%. En la síntesis, se empleó una pequeña cantidad de Zn y un exceso de S, formando solo un 10% de la monocapa de ZnS alrededor del núcleo. Así, FFl para los nanocristales de CdSe/ZnS fue 7,7 veces más alto que el obtenido con el núcleo, lo cual indica que con un pequeño porcentaje de monocapa recubriendo el núcleo es posible lograr alta fluorescencia en la región del verde. Con el presente procedimiento de síntesis se pueden obtener nanomateriales con excelentes propiedades fotoluminiscentes para aplicaciones como biomarcadores, sensores, entre otras.
Agradecimientos
Los autores agradecen a la Universidad Nacional de Colombia por la financiación recibida (proyectos 201010023380 y 201010025976).
Referencias
1. Kuno, M.; Lee, J. K.; Dabbousi, B. O.; Mikulec, F. V.; Bawendi, M. G. The band edge luminescence of surface modified CdSe nanocrystallites: Probing the luminescing state. J. Chem. Phys. 1997, 106, 9869-9882. DOI: https://doi.org/10.1063/1.473875.
2. Pandey, A.; Guyot-Sionnest, P. Slow electron cooling in colloidal quantum dots. Science. 2008, 322, 929-932. DOI: https://doi.org/10.1126/science.1159832.
3. Murray, C. B.; Sun, S., Doyle, H.; Betley, T. Monodisperse 3d transition-metal (Co, Ni, Fe) nanoparticles and their assembly into nanoparticle superlattices. Mrs Bull. 2001, 26, 985-991. DOI: https://doi.org/10.1557/mrs2001.254.
4. Morgan, N. Y.; Leatherdale, C. A.; Drndić, M.; Jarosz, M. V.; Kastner, M. A.; Bawendi, M. Electronic transport in films of colloidal CdSe nanocrystals. Phys. Rev. B. 2002, 66, 075339. DOI: https://doi.org/10.1103/physrevb.66.075339.
5. Lee, H.; Habas, S. E.; Kweskin, S.; Butcher, D.; Somorjai, G. A.; Yang, P. Morphological control of catalytically active platinum nanocrystals. Angew. Chemie. 2006, 118, 7988-7992. DOI: https://doi.org/10.1002/ange.200603068 .
6. Reed, M. A.; Randall, J. N.; Aggarwal, R. J.; Matyi, R. J.; Moore, T. M.; Wetsel A. E.; Observation of Discrete Electronic States in a Zero-dimensional Semiconductor Nanostructures. Phys. Rev. Lett. 1998. 60, 535-537. DOI: https://doi.org/10.1103/physrevlett.60.535.
7. Resch-Genger, U.; Grabolle, M.; Cavaliere-Jaricot, S.; Nitschke, R.; Nann, T. Quantum Dots versus Organic Dyes as Fluorescent Labels. Nat. Methods. 2008, 5, 763−775. DOI: https://doi.org/10.1038/nmeth.1248.
8. Kamat, P. V. Quantum Dot Solar Cells. Semiconductor Nanocrystals as Light Harvesters. J. Phys. Chem. C. 2008, 112, 18737−18753. DOI: https://doi.org/10.1021/jp806791s.
9. Ekimov, A. I.; Onushchenko, A. Quantum size effect in three-dimensional microscopic semiconductor crystals. ZhETF P. Redaktsiiu. 1981, 34, 363. DOI: https://doi.org/10.1016/s0038-1098(85)80025-9.
10. Norris, D. J. Measurement and assignment of the size-dependent optical spectrum in cadmium selenide (CdSe) quantum dots (Doctoral dissertation, Massachusetts Institute of Technology), 1995. DOI: https://doi.org/10.1103/physrevb.53.16338.
11. Nordell, K. J.; Boatman, E. M.; Lisensky, G. C. A safer, easier, faster synthesis for CdSe quantum dot nanocrystals. J. Chem. Educ. 2005, 82, 1697. DOI: https://doi.org/10.1021/ed082p1697.
12. Landry, M. L.; Morrell, T. E.; Karagounis, T. K.; Hsia, C. H.; Wang, C. Y. Simple syntheses of CdSe quantum dots. J. Chem Edu. 2013, 91, 274-279. DOI: https://doi.org/10.1021/ed300568e.
13. Alivisatos A.P. Semiconductor Clusters, Nanocrystals, and Quantum Dots. Science. 1996; 271, 933–937. DOI: https://doi.org/10.1126/science.271.5251.933.
14. Gaponenko, S. V. Optical Properties of Semiconductor Nanocrystals. Cambridge University Press: 2005. DOI: https://doi.org/10.1017/cbo9780511524141.
15. Yin, Y.; Alivisatos, A. P. Colloidal nanocrystal synthesis and the organic–inorganic interface. Nature, 2005, 437, 664. DOI: https://doi.org/10.1038/nature04165.
16. Boles, M. A.; Ling, D.; Hyeon, T.; Talapin, D. The surface science of nanocrystals. Nat. Mater. 2016, 15, 141-153. DOI: https://doi.org/10.1038/nmat4526.
17. Murray, C. B.; Norris, D. J.; & Bawendi, M. G. Type-II quantum dots: CdTe/CdSe (core/shell) and CdSe/ZnTe (core/shell) heterostructures. J. Am. Chem. Soc. 1993, 115, 8706. DOI: https://doi.org/10.1021/ja0361749.
18. Peng, X. G.; Wickham, J.; Alivsatos, A. P. Kinetics of II-VI and III-V Colloidal Semiconductor Nanocrystal Growth: “Focusing” of Size Distributions. J. Am. Chem. Soc. 1998, 120, 5343-5344. DOI: https://doi.org/10.1021/ja9805425.
19. Dickerson, B. D. Organometallic Synthesis Kinetics of CdSe Quantum Dots, Virginia Polytechnic Institute and State University, 2005. DOI: https://doi.org/10.5772/34977.
20. Yu, W. W.; Peng, X. Formation of high‐quality CdS and other II–VI semiconductor nanocrystals in noncoordinating solvents: tunable reactivity of monomers. Angew. Chem Int. Ed. 2002, 41, 2368-2371. DOI: https://doi.org/10.1002/ange.200790059.
21. Bullen, C. R.; Mulvaney, P. Nucleation and growth kinetics of CdSe nanocrystals in octadecene. Nanolett. 2004, 4, 2303-2307. DOI: https://doi.org/10.1021/nl0496724.
22. Williams, J. V.; Adams, C. N.; Kotov, N. A.; Savage, P. E. Hydrothermal Synthesis of CdSe Nanoparticles Ind. Eng. Chem. Res., 2007, 46 (13), pp 4358–4362 DOI: https://doi.org/10.1021/ie061413x.
23. Doll, J. D.; Hu, B.; Papadimitrakopoulos, F. Precursor and Oxygen Dependence of the Unidirectional, Seeded Growth of CdSe Nanorods. Chem. Mater. 2012, 24, 4043–4050. DOI: https://doi.org/10.1021/cm3012809.
24. Katari, J. E.; Colvin, V. L.; Alivisatos, A. P. J. Phys. Chem. 1994, 98, 4109-4117. DOI: https://doi.org/10.1021/j100066a034.
25. Alivisatos, A. P. Perspectives on the physical chemistry of semiconductor nanocrystals. J. Phys Chem. 1996, 100, 13226-13239. DOI: https://doi.org/10.1021/jp9535506.
26. Owen, J. S.; Park, J.; Trudeau, P. E.; Alivisatos, A. P. Reaction chemistry and ligand exchange at cadmium− selenide nanocrystal surfaces. J. Am. Chem. Soc. 2008, 130, 12279-12281. DOI: https://doi.org/10.1021/ja804414f.
27. Veamatahau, A.; Jiang, B.; Seifert, T.; Makuta, S.; Latham, K.; Kanehara, M.; & Tachibana, Y. Origin of surface trap states in CdS quantum dots: relationship between size dependent photoluminescence and sulfur vacancy trap states. Phys. Chem. Chem. Phys. 2015, 17, 2850-2858. DOI: https://doi.org/10.1039/c4cp04761c.
28. Dabbousi, B. O.; Rodriguez-Viejo, J.; Mikulec, F. V.; Heine, J. R.; Mattoussi, H.; Ober, R.; Bawendi, M. G. (CdSe) ZnS core-shell quantum dots: synthesis and characterization of a size series of highly luminescent nanocrystallites. J. Phys. Chem. B. 1997, 101, 9463-9475. DOI: https://doi.org/10.1021/jp971091y.
29. Murray, C. B.; Kagan, C. R.; Bawendi, M. G. Synthesis and characterization of monodisperse nanocrystals and close-packed nanocrystal assemblies. Annu. Rev Mat. Sci. 2000, 30, 545-610. DOI : https://doi.org/10.1146/annurev.matsci.30.1.545.
30. Tomasulo, M.; Yildiz, I.; Kaanumalle, S. L.; Raymo, F. M. pH-sensitive ligand for luminescent quantum dots. Langmuir. 2006, 22, 10284-10290. DOI: https://doi.org/10.1021/la0618014.
31. Grabolle, M.; Spieles, M.; Lesnyak, V.; Gaponik, N.; Eychmüller, A.; Resch-Genger, U. Determination of the fluorescence quantum yield of quantum dots: suitable procedures and achievable uncertainties. Anal Chem. 2009, 81, 6285-6294. DOI: https://doi.org/10.1021/ac900308v.
32. Yu, W.; Qu, L.; Guo, W.; Peng, X. Experimental determination of the extinction coefficient of CdTe, CdSe, and CdS nanocrystals. Chem. Mat. 2003, 15, 2854-2860. DOI: https://doi.org/10.1021/cm034081k.
33. Bowen, J. E.; Colvin, V. L.; Alivisatos, A. P. X-ray Photoelectron Spectroscopy of CdSe Nanocrystals with Applications to Studies of the Nanocrystal Surface, J. Phys. Chem. 1994, 98, 4109-4117. DOI: https://doi.org/10.1021/j100066a034.
34. Doll, J. D.; Pilania, G.; Ramprasad, R.; Papadimitrakopoulos, F. Oxygen-assisted unidirectional growth of CdSe nanorods using a low-temperature redox process. Nano Lett. 2010, 10, 680-685. DOI: https://doi.org/10.1021/nl903843g.
35. Peng, Z. A.; Peng, X. Mechanisms of the shape evolution of CdSe nanocrystals. J. Am. Chem. Soc. 2001, 123, 1389-1395. DOI: https://doi.org/10.1021/ja0027766.
36. Dickerson, B. D.; Irving, D. M.; Herz, E.; Claus, R. O.; Spillman Jr, W. B.; Meissner, K. E. Synthesis kinetics of CdSe quantum dots in trioctylphosphine oxide and in stearic acid. Appl. Phys. Lett. 2005, 86,171915-3. DOI: https://doi.org/10.1063/1.1921347.
37. Triana, M. A.; López, A. F.; Camargo, R. J. Síntesis, caracterización y evaluación fotocatalítica de puntos cuánticos de CdSe cubiertos con 2 tipos de tioles. Información Tecnológica, 2015, 26, 121-134. DOI: https://doi.org/10.4067/s0718-07642015000500016.
38. Liu, H.; Owen, J. S.; Alivisatos, A. P. Mechanistic study of precursor evolution in colloidal group II-VI semiconductor nanocrystal synthesis. J. Am. Chem. Soc. 2007, 129, 305-312. DOI: https://doi.org/10.1021/ja0656696.
39. Jiang, F.; Muscat, A. J. Ligand-controlled growth of ZnSe quantum dots in water during Ostwald ripening. Langmuir. 2012, 28, 12931-12940. DOI: https://doi.org/10.1021/la301186n.
40. Bera, D.; Qian, L.; Tseng, T. K.; Holloway, P. H. Quantum dots and their multimodal applications: a review. Materials. 2010, 3, 2260-2345. DOI: https://doi.org/10.3390/ma3042260.
41. Chen, Y. B.; Samia, A. C.; Burda, C. Coherency strain effects on the optical response of core/shell heteronanostructures. Nano lett. 2003, 3, 799-803. DOI: https://doi.org/10.1021/nl034243b.
42. Hühn, J.; Carrillo-Carrion, C.; Soliman, M. G.; Pfeiffer, C.; Valdeperez, D.; Masood, A.; Chakraborty, I.; Zhu, L.; Gallego, M.; Yue, Z.; Carril, M.; Feliu, N.; Escudero, A.; Alkilany, A. M.; Pelaz, B.; Del Pino, P.; Parak, W. J. Selected Standard Protocols for the Synthesis, Phase Transfer, and Characterization of Inorganic Colloidal Nanoparticles. Chem. Mater. 2017, 29, 399–461. DOI: https://doi.org/10.1021/acs.chemmater.6b04738.
43. Pu, C.; Quin, H.; Gao, Y.; Zhou, J.; Wang, P.; Peng, X. Synthetic Control of Exciton Behavior in Colloidal Quantum Dots. J. Am. Chem. Soc. 2017, 139, 3302–3311. DOI: https://doi.org/10.1021/jacs.6b11431.
44. Pu, C.; Peng, X.; G. To Battle Surface Traps on CdSe/CdS Core/Shell Nanocrystals: Shell Isolation versus Surface Treatment. J. Am. Chem. Soc. 2016, 138, 8134-8142. DOI: https://doi.org/10.1021/jacs.6b02909.