Fisicoquímica e Inorgánica
Efecto de la estructura molecular sobre el espectro electrónico vertical de la oxoglaucina
Effects of the molecular structure on the electronic vertical spectrum of oxoglaucine
Efeito da estrutura molecular no espectro eletrônico vertical da oxoglaucina
Efecto de la estructura molecular sobre el espectro electrónico vertical de la oxoglaucina
Revista Colombiana de Química, vol. 47, núm. 1, pp. 64-76, 2018
Universidad Nacional de Colombia

Recepción: 08 Mayo 2017
Aprobación: 29 Septiembre 2017
Resumen: Se investigó el espectro electrónico vertical de la oxoglaucina utilizando el método de interacción de configuraciones multireferencial (DFT/MRCI). Se analizó el efecto de los grupos metilo y metoxilo sobre la geometría y la distribución energética de los estados excitados de baja energía utilizando la base TZVP. Se encontró que, en los mínimos del estado fundamental de oxoglaucina, oxoglaucina sin grupos metilo y sin grupos metoxilo, los estados excitados singulete de más baja energía son de tipo nπ* (S1) y ππ* (S2) y que los estados triplete ππ* (T1) y nπ* (T2) son energéticamente accesibles desde S1. Desde el punto de vista energético, se encontró que el canal más eficiente para el entrecruzamiento de sistemas singulete-triplete es 1(nπ*)⇝3(ππ*). Aunque la presencia de los grupos metilo y metoxilo distorsionan la planaridad del sistema de anillos, su efecto en la distribución (vertical) de los estados singulete y triplete de más baja energía es mínimo.
Palabras clave: oxoglaucina, fitoalexinas, espectro vertical, DFT, MRCI, TDDFT.
Abstract: The vertical electronic spectrum of oxoglaucine by means of a multireference configuration interaction method (DFT/MRCI) was studied. The effect of both methyl and methoxy groups on the geometries and energetic distribution of the low-lying excited states was analyzed. The results show that, by means of the TZVP basis set, at the ground state minima of oxoglaucine, oxoglaucine without methyl and methoxy groups, the lowest excited singlet states are of nπ* (S1) and ππ* (S2) type. Triplet states of ππ* (T1) and nπ* (T2) type are energetically accessible from S1. From the energetic point of view, it can be proposed that the channel for an efficient intersystem crossing 1(nπ*)⇝3(ππ*) is plausible. Although the presence of the methyl and methoxyl groups distort the planarity of the rings system, the effect in the vertical distribution of the lowest lying singlet and triplet states can be considered as negligible.
Keywords: Oxoglaucine, phytoalexines, vertical spectrum, DFT, MRCI, TDDFT.
Resumo: O espectro eletrônico vertical da oxoglaucina foi investigado por meio do método de interação de configurações multi referência (DFT/MRCI). Foi estudado o efeito dos grupos metilo e metoxi nas geometrias e na distribuição energética dos estados excitados de baixa energia utilizando a base TZVP. Os resultados mostram que nos mínimos do estado fundamental da oxoglaucina, a oxoglaucina sem grupos metilo e metoxi os estados excitados singletos de mais baixa energia são de tipo nπ* (S1) y ππ* (S2) e que os estados tripletos do tipo ππ* (T1) e nπ* (T2) são energeticamente acessíveis a partir de S1. Do ponto de vista energético, pode-se propor que o canal para um cruzamento intersistema eficiente 1(nπ*)⇝3(ππ*) seja plausível. Embora a presença dos grupos metilo e metoxilo distorçam a planaridade do sistema de anéis, o efeito na distribuição vertical dos estados de singleto e de tripleto de mais baixa energía pode ser considerado negligenciável.
Palavras-chave: oxoglaucina, fitoalexinas, espectro vertical, DFT, MRCI, TDDFT.
Introducción
El oxígeno molecular en su estado excitado singulete (O2 (1Δg)) es una especie reactiva que puede mediar la degradación oxidativa de moléculas biológicas importantes en los mecanismos de señalamiento y muerte celular. El 1O2 es una especie reactiva importante en procesos químicos y biológicos como fotodegradación y fotocarcinogénesis. También, se utiliza en una variedad de campos, incluyendo la síntesis orgánica, la terapia fotodinámica contra el cáncer y terapias de otras enfermedades no cancerígenas (1, 2).
Para muchas aplicaciones prácticas (e.g. terapia fotodinámica), el 1O2 es generado en un proceso de fotosensibilización. Este proceso consiste en la transferencia de energía desde el estado triplete excitado del fotosensibilizador (e.g. T1) al estado fundamental triplete de la molécula de oxígeno (O2 (X3Σg )). Su eficiencia depende del rendimiento cuántico de producción del estado triplete del fotosensibilizador y de su tiempo de vida, entre otros factores.
Usualmente, después de la fotoexcitación del estado fundamental (S0) del fotosensibilizador, se puebla el conjunto de los estados excitados singulete (Sn), seguido por una rápida conversión interna al primer estado excitado singulete (Sn⇝S1). Al poblarse este estado electrónico (S1), varios tipos de procesos fotofísicos pueden competir para su desactivación como la fluorescencia (S1→S0), la conversión interna al estado electrónico fundamental (S1⇝S0) y el entrecruzamiento de sistemas a un estado triplete (S1⇝Tn). Análogamente a lo que ocurre con los estados singulete (Sn, con n > 1), los estados excitados Tn decaen inmediatamente por conversión interna al primer estado triplete T1 (Tn⇝T1).
Una vez el fotosensibilizador está en el estado triplete puede reaccionar químicamente (por ejemplo, abstracción de un hidrógeno del solvente), transferir su energía al O2, o regresar al estado fundamental vía fosforescencia (T1→S0) o por entrecruzamiento de sistemas (T1⇝ S0). La eficiencia de producción de 1O2, por tanto, depende de las velocidades relativas de todos estos procesos, que a su vez dependen de las características energéticas y electrónicas de los estados excitados involucrados (3).
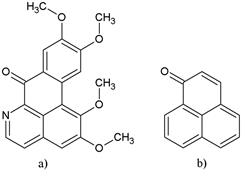
La oxoglaucina (OG, Figura 1a) es un alcaloide de la clase oxoaporfina, relacionado estructuralmente con la fenalenona (Figura 1b). Ha sido aislada de plantas de diferentes familias (2): La OG aislada de la familia Magnoliaceae ha sido positivamente identificada como una fitoalexina producida después de daño mecánico, pero ausente en la planta sana (4). La forma reducida de la OG es el principal alcaloide presente en plantas sanas. Después de que la planta sufre daño mecánico, la glaucina se oxida rápidamente a OG (el principal producto) por procesos químicos y fotoquímicos (5, 6). Esto sugiere que la OG se forma en la planta por procesos (foto) químicos u oxidación enzimática de la glaucina. Flors y Nonell sugieren que quizá el principal rol de la OG sea prevenir que los patógenos invadan la planta a través de las heridas ocasionadas por daño mecánico (2).

Plantas de las familias Haemodoraceae, Musaceae, Pontederiaceae y Strelitziaceae producen metabolitos secundarios que contienen el anillo aromático fenalenona (Figura 1b). Los metabolitos secundarios de Musaceae son exclusivamente fitoalexinas, es decir, están ausentes en plantas sanas (7, 8, 9). Esto respalda la hipótesis de Flors y Nonell de que este metabolito puede desempeñar un rol como mecanismo de defensa en estas plantas (2).
Como fotosensibilizador, la OG tiene una eficiencia de fotosensibilización de 1O2 cercana al 100% en ambientes apolares, similar a 3-fenilfenalenonas. Esta eficiencia es la mejor obtenida para un alcaloide de origen natural (2).
La OG es, también, un componente bioactivo presente en la medicina tradicional china usada para el tratamiento de forúnculos necróticos, pustulosis y otras infecciones (10). Zhen-Feng Chen et al. (5, 11) sintetizaron OG y la usaron como ligando para formar complejos de OG con Zn (II), Co (II), Mn (II) y sales de lantanidos. Encontraron que estos complejos se intercalan en el ADN y pueden inhibir la topoisomerasa I y presentan una actividad anticancerígena mayor que la de la OG. También ha sido reportado que la OG aislada de Liriodendrom tulipifera L. tiene actividad citotóxica y antiplasmodial, de ahí que se haya utilizado, también, como antimalárico (12).
Daza et al. (3) usando métodos mecanocuánticos encontraron que el primer estado excitado singulete (S1) de la fenalenona es oscuro de tipo nπ*, seguido por un estado luminoso ππ* (S2). Encontraron, además, que energéticamente accesible desde el estado S1, están el primer estado triplete (T1) de tipo ππ* y el segundo (T2) de tipo nπ*. El valor calculado para el entrecruzamiento de sistemas entre S1 y T1 es de ≈ 2 x 1010 s-1, lo cual está en excelente acuerdo con el valor experimental de 3,45 x 1010 s-1. Estos resultados concuerdan con el comportamiento de la fenalenona observado experimentalmente, incluyendo la alta eficiencia de producción de 125 1O2.
Flors et al. (2) encontraron que las energías de los estados singulete, calculadas a partir de los espectros de absorción y de fluorescencia de OG en benceno, acetonitrilo y agua son de 259 kJ·mol-1, 252 kJ·mol-1 y 242 kJ·mol-1, respectivamente. Ellos proponen un valor de energía del triplete de 168 ± 4 kJ·mol-1 en benceno, lo que implica un gap energético singulete-triplete de aproximadamente 90 kJ·mol-1, típico para estados ππ* de compuestos aromáticos (13). En solventes no polares, el entrecruzamiento de sistemas ocurre desde el estado S1 (ππ*) al T2 (nπ*), con la subsecuente relajación al T1 (ππ*)2. El incremento de la polaridad del solvente desestabiliza el T2 (nπ*), llevando a este estado por encima del S1 (ππ*). El entrecruzamiento de sistemas en benceno es ≈ 1,3 x 1011 s-1, típico para transiciones singulete 1(ππ*) → 3(nπ*), indicando que un triplete nπ* se encuentra por debajo del singulete más bajo ππ*. El entrecruzamiento de sistemas en acetonitrilo es ≈ 1,0 x 108 s-1, típico para transiciones 1(ππ*) → 3(nπ*), indicando que el triplete nπ* en este solvente polar se encuentra por encima del singulete más bajo ππ*. Los corrimientos batocrómicos observados al aumentar la polaridad del disolvente, calculados a partir de los espectros de absorción y de fluorescencia de OG en benceno, acetonitrilo y agua son de 259 kJ·mol-1, 252 kJ·mol-1 y 242 kJ·mol-1, respectivamente.
En este estudio se ha explorado la estructura electrónica de la OG en su estado fundamental como punto de partida para conocer con detalle los mecanismos que involucran su fotofísica. Además, debido a que los procesos fotofísicos dependen de factores estructurales y energéticos, se evaluó el efecto de los grupos metilo y de los grupos metoxilo sobre el espectro electrónico vertical de OG. Se usó un modelo de OG sin grupos metilo y otro sin grupos metoxilo.
Este análisis pretende revelar la influencia de estos grupos sobre la estructura electrónica, además de ser útil para la elección de modelos estructurales para estudios detallados de su fotofísica. Con este fin, se calcularon los espectros verticales de los mínimos sobre las superficies de energía potencial de estas tres moléculas usando el método combinado de la teoría del funcional de la densidad y el método de interacción de configuraciones multireferencial (DFT/MRCI) (14) y la teoría del funcional de la densidad dependiente del tiempo (TDDFT) (15).
Detalles computacionales
Se localizaron mínimos sobre las superficies de energía potencial del estado fundamental de OG, OG sin grupos metilo y sin grupos metoxilo empleando las bases TZVP, def-SVP y def-SV(P) (16) y el funcional B3LYP (17, 18) implementado en el paquete de programas TURBOMOLE (19). Los resultados obtenidos con la base TZVP brindaron una mejor representación energética y electrónica (energías de excitación y geometrías), por lo que el análisis de resultados se realizó con esta base. Los puntos estacionarios sobre las superficies de energía potencial de las tres moléculas se obtuvieron utilizando diferentes valores para los ángulos diedros que incluían a los grupos metoxilo e hidroxilo de OG y OG sin grupos metilo con la base def-SVP. Los mínimos sobre las superficies de energía potencial se definieron con base en la ausencia de frecuencias imaginarias.
Las energías de excitación vertical y las fuerzas de los osciladores de los mínimos de OG, OG sin grupos metilo y sin grupos metoxilo se calcularon usando el método combinado de la teoría del funcional de la densidad y el método de interacción de configuraciones multireferencial (DFT/MRCI) y la teoría del funcional de la densidad dependiente del tiempo (TDDFT). La idea básica de la aproximación DFT/MRCI es incluir la mayor parte de la correlación electrónica dinámica mediante DFT, mientras que los efectos de la correlación electrónica estática se incluyen teniendo en cuenta expansiones MRCI cortas. Las funciones de configuración de estado en la expansión MRCI son construidas a partir de orbitales de Kohn-Sham de un estado de referencia de capa cerrada. Los elementos del Hamiltoniano efectivo DFT/MRCI se construyen a partir de las expresiones Hartree Fock correspondientes y un término específico de corrección DFT. Este enfoque evita el conteo doble de la correlación electrónica mediante un escalamiento dependiente de la energía de algunos elementos de acople (14).
El Hamiltoniano efectivo DFT/MRCI contiene cinco parámetros empíricos que dependen sólo de la multiplicidad del estado excitado, el número de capas abiertas de una configuración y el funcional de la densidad empleado. Actualmente, los parámetros de optimización para el Hamiltoniano DFT/MRCI combinado con el funcional BHLYP están disponibles (20, 21). En los cálculos DFT/MRCI, el espacio CI se seleccionó considerando las funciones de estado de las configuraciones cuyas energías estimadas estaban por encima de 1,0 Hartree del espacio de referencia de mayor energía (umbral de selección de δEsel = 1,0). El espacio de referencia CI fue determinado iterativamente, en donde se realizó un primer cálculo seleccionando un umbral δEsel = 0,8 y un espacio de referencia que incluía todas las configuraciones generadas debido a la doble excitación de diez electrones en diez orbitales moleculares de frontera de más baja energía (como límite).
En la siguiente iteración, en donde δEsel = 1,0, se incluyeron en el espacio de referencia todas las configuraciones con un coeficiente cuadrático de al menos 0,003 tomando como punto de partida la iteración anterior. Todos los electrones de valencia (identificados por sus energías de orbital molecular) fueron correlacionados. Se calcularon 30 estados singulete y diez estados triplete en los espectros verticales. Este análisis permitió la exploración de transiciones singulete y triplete que pudieran estar participando en la fotofísica de OG. La aproximación DFT/MRCI ha mostrado ser lo suficientemente precisa en la descripción de la fotofísica de numerosos cromóforos orgánicos incluyendo fenalenona (3), fenotiazinios (22), xantonas (23) y psolarenos (24), entre otros.
Una evaluación estadística en numerosos sistemas de capa cerrada mostró energías de excitación y momentos de transición que concuerdan razonablemente con datos experimentales con una diferencia menor que 0,2 eV para las energías de excitación (25). Esta precisión es comparable y algunas veces menor a aquellas obtenidas con otros métodos de alto nivel como por ejemplo CASPT2.
Resultados y discusión
Análisis geométrico y energético
En esta sección se presentan un análisis geométrico y uno de la estabilidad de los mínimos localizados sobre las superficies de energía potencial del estado fundamental de OG, OG sin grupos metilo y sin grupos metoxilo empleando el nivel de teoría B3LYP/TZVP. En las Figuras 2 y 3 se presentan los parámetros geométricos principales y las energías relativas de los mínimos.




Oxoglaucina
La OG es una molécula que tiene cuatro grupos metoxilo (-OCH3) unidos a un sistema de cuatro anillos que contienen un nitrógeno intracíclico y un grupo carbonilo (ver Figura 1a). Las disposiciones espaciales de los grupos metoxilo producen diferentes conformaciones de OG con enlaces de hidrógeno intramoleculares de tipo C-H···O. Las conformaciones más estables presentan menos repulsiones estéricas entre los grupos metoxilo.
Se localizaron siete mínimos sobre la superficie de energía potencial del estado fundamental de OG. La geometría de los diferentes mínimos de OG (denominados M1 a M7), sus parámetros geométricos y la numeración de los átomos utilizada se muestran en la Figura 2. Los mínimos de OG encontrados no presentan simetría y la planaridad de sus anillos se encuentra distorsionada debido a las orientaciones espaciales de los grupos metoxilo unidos a los carbonos C1, C2, C9 y C10. Las posiciones de estos grupos establecen las diferencias principales entre un mínimo y otro. Los ángulos diedros (φ1 a φ7, ver Figura 2) describen la orientación espacial de cada grupo metoxilo y la distorsión de la planaridad de los anillos (ver Figura 3).
Todos los mínimos de OG presentan enlaces de hidrógeno. El mínimo con menor energía (denotado como mínimo global) corresponde al confórmero M1. En este mínimo, los ángulos diedros φ1 (106,4°), φ2 (182,0°), φ3 (179,7°) y φ4 (181,2°) describen una posición anti entre los grupos metoxilo –O15C19H3 y –O16C20H3. Sin embargo, para las posiciones de los grupos metoxilo descritos con los dos primeros ángulos diedros (φ1 y φ2), uno de los dos grupos metilo (–C17H3) se encuentra orientado fuera del plano y casi perpendicular al sistema de anillos. Esta posición balancea las repulsiones estéricas con el átomo de hidrógeno unido al carbono C11. Adicionalmente, los diedros φ5 y φ7 que describen al sistema de anillos tienen valores de 191,8° y 171,4° mostrando una ligera desviación de la planaridad.
El mínimo M1 presenta cinco enlaces de hidrógeno intramoleculares: C17-H···O14, C11-H···O13, C11-H···O16, C8-H···O15 y C8-H···O12. El primero (C17-H···O14) corresponde a la interacción entre el átomo de oxígeno del grupo metoxilo –O14C18H3 y un hidrógeno del grupo metoxilo –O13C17H3. La longitud de enlace de este enlace de hidrógeno es de 2,437 Å. Los enlaces de hidrógeno C11-H···O13, C11-H···O16 y C8-H···O15 corresponden a las interacciones entre los átomos de oxígeno de los respectivos grupos metoxilo con el C-H adyacente del anillo. Los enlaces de hidrógeno C11-H···O16 y C8-H···O15 tienen longitudes de enlace cercanas a los 2,7 Å mientras que la del enlace de hidrógeno C11-H···O13 es de 2,078 Å. El enlace de hidrógeno C8-H···O12 (2,380 Å) corresponde a la interacción entre el átomo de oxígeno del grupo carbonilo –C7O12 y el H-C adyacente. Estos enlaces de hidrógeno están presentes, también, en los demás mínimos de OG.
Los mínimos M2 y M3 difieren del mínimo M1 en la posición del grupo metoxilo –O16C20H3. El ángulo diedro que describe la posición de este grupo metoxilo es el φ4, el cual describe una posición contraria para los grupos metoxilos (–O16C20H3) de los mínimos M2 y M3. Además, la posición de los grupos metoxilos de estos mínimos es casi perpendicular al de este grupo metoxilo en el mínimo M1. En los mínimos M2 y M3 el grupo metilo (–C20H3) está orientado fuera del plano. Esta orientación del grupo metilo permite que los mínimos M2 y M3 formen el enlace de hidrógeno intramolecular C20-H···O15. Este enlace de hidrógeno corresponde a la interacción entre el átomo de oxígeno del grupo metoxilo –O15C19H3 y un hidrógeno del grupo metilo –C20H3. La longitud de este enlace de hidrógeno es de aproximadamente 2,3 Å en ambos mínimos.
Los mínimos M5 y M6 difieren del mínimo M1 en la orientación espacial de los grupos metoxilo –O13C17H3 y –O15C19H3, y en la distorsión de la planaridad del sistema de anillos. Los grupos metilo –C17H3 y –C19H3 están orientados fuera del plano. En el mínimo M5, los diedros φ1 y φ3 describen una posición contraria entre el grupo metoxilo –O13C17H3 del mínimo M5 y del mínimo M1 y una posición casi perpendicular entre el grupo metoxilo –O15C19H3 de ambos mínimos.
En el mínimo M5, los ángulos diedros φ5 y φ7 describen la distorsión de la planaridad del sistema de anillos. En el mínimo M6, el diedro φ1 describe una posición contraria del grupo metoxilo –O13C17H3 con respecto del mínimo M1. Además, el diedro φ3 muestra una posición casi perpendicular entre el grupo metoxilo –O15C19H3 del mínimo M6 con respecto del mínimo M1.
En los mínimos M4, M5, M6 y M7, la orientación del grupo metilo –C19H3 permite la formación del enlace de hidrógeno intramolecular C19-H…O16. Este enlace de hidrógeno corresponde a la interacción entre el átomo de oxígeno del grupo metoxilo –16C20H3 y un hidrógeno del grupo metilo –C19H3. La longitud de este enlace de hidrógeno es de aproximadamente 2,4 Å. En estos mínimos, el ángulo O15-C9-C8 es aproximadamente 6° menor que el del mínimo M1. La longitud de enlace del enlace de hidrógeno intramolecular C8-H···O12 es más corta para los mínimos M1, M2 y M3.
El aumento de la longitud del enlace de hidrógeno C8-H···O12 para los demás mínimos se debe a la atracción que ejerce el O15 sobre el H para formar el enlace de hidrógeno intramolecular C8-H···O15. La longitud del enlace de hidrógeno intramolecular C20-H···O15 que forman los mínimos M2 y M3 es más corta que el enlace de hidrógeno intramolecular C19-H···O16 de los mínimos M4, M5, M6 y M7.
Oxoglaucina sin grupos metilo
Se localizaron tres mínimos sobre la superficie de energía potencial del estado fundamental de OG sin grupos metilo empleando el funcional B3LYP y la base TZVP. La geometría de los mínimos de OG sin grupos metilo, sus parámetros geométricos y la numeración de los átomos utilizada se muestran en la Figura 4.
Los mínimos de OG sin grupos metilo son casi planos y no presentan simetría. Las disposiciones espaciales de los grupos hidroxilo permiten la formación de enlaces de hidrógeno intramoleculares de tipo O-H···O y C-H···O. El mínimo global de OG sin grupos metilo corresponde al confórmero W1 y presenta una ligera desviación de la planaridad. Sus diedros φ1, φ2, φ3 y φ4 (en la Figura 4) describen la posición espacial de los grupos hidroxilo los que se desvían de la planaridad por menos de 0,7°.
Los ángulos diedros φ6 y φ7 que describen el sistema de anillos se desvían de la planaridad por 0,1° y 1°, respectivamente. El mínimo W1 presenta seis enlaces de hidrógeno intramoleculares: O13-H···O14, C11-H···O13, C11-H···O16, C8-H···O15, C8-H···O12 y O16-H···O15. El enlace de hidrógeno O13-H···O14 corresponde a la interacción entre el átomo de oxígeno del grupo hidroxilo –O14H y el hidrógeno del grupo hidroxilo –O13H. La longitud de enlace de este enlace de hidrógeno es de 1,979 Å. Los enlaces de hidrógeno C11-H···O13, C11-H···O16 y C8-H···O15 corresponden a las interacciones entre los átomos de oxígeno de los grupos hidroxilo con el C-H adyacente del anillo.
Los enlaces de hidrógeno C11-H···O13, C11-H···O16 y C8-H···O15 tienen longitudes de 2.055 Å, 2,551 Å y 2,741 Å, respectivamente. El enlace de hidrógeno C8-H···O12 corresponde a la interacción entre el átomo de oxígeno del grupo carbonilo –C7O12 y el C-H adyacente y tiene una longitud de 2,377 Å. El enlace de hidrógeno O16-H···O15 (2,147 Å) corresponde a la interacción entre el átomo de oxígeno del grupo hidroxilo –O15H y el hidrógeno del grupo hidroxilo –O16H. Los enlaces de hidrógeno O13-H···O14, C11-H···O13, C11-H···O16, C8-H···O15 y C8-H···O12 también están presentes en los demás mínimos de OG sin grupos metilo.

El mínimo W2 difiere del mínimo global en la posición de los grupos hidroxilo –O15H y –O16H. En el mínimo W2, los diedros φ3 y φ4 que describen la posición de estos grupos hidroxilo tienen valores de 0,3° y 180,2°. La disposición espacial de los grupos hidroxilo –O15H y –O16H permite que el mínimo W2 forme un enlace de hidrógeno intramolecular O15-H···O16. Este enlace de hidrógeno corresponde a la interacción entre el átomo de oxígeno del grupo hidroxilo -O16H y el hidrógeno del grupo hidroxilo –O15H y tiene una longitud de 2,162 Å. Los mínimos W3 y W1 se diferencian en la posición del grupo hidroxilo –O16H. En el mínimo W3, los diedros φ3 y φ4 describen una posición anti, entre los grupos hidroxilo -O15H y –O16H. A diferencia de los mínimos W1 y W2, el mínimo W3 presenta sólo cinco enlaces de hidrógeno intramoleculares. Los grupos hidroxilo –O15H y –O16H no forman enlaces de hidrógeno intramoleculares entre sí.
Oxoglaucina sin grupos metoxilo
La OG sin grupos metoxilo no presenta simetría (ver Figura 4) y es casi plana. La longitud de enlace, los valores de los ángulos diedros y de enlace calculados empleando el funcional B3LYP y las bases TZVP, def-SVP y def-SV(P) presentan diferencias mínimas. La longitud de los enlaces C6a-N6 y H-C2 y el valor del ángulo C6a-N6-C5 calculado con la base TZVP son menores que los obtenidos con las otras dos bases.
Espectros verticales: análisis de la estructura electrónica
La energía de excitación de los mínimos de OG, OG sin grupos metilo y sin grupos metoxilo calculadas con el método DFT/MRCI y la base TZVP se presentan en las Tablas 1, 2 y 3. Se presenta en esta sección el análisis de los espectros electrónicos verticales para las tres moléculas.



Espectro vertical de la oxoglaucina
Las propiedades de los estados excitados de los siete mínimos de OG y sus principales configuraciones electrónicas calculados con DFT/MRCI/TZVP se presentan en la Tabla 1. Los orbitales moleculares de frontera BHLYP/TZVP de los diferentes mínimos de OG son similares por lo que solo se muestran los orbitales moleculares de frontera del mínimo global de OG en la Figura 5.

El mínimo C1 presenta doce intensidades de absorción significativas (f(r) > 0,1), el mínimo C2 ocho, y los demás mínimos nueve. Los estados excitados singulete S2, S5, S8, S10 y S25 son luminosos en todos los mínimos. El primer estado excitado singulete S1 tiene una energía de excitación de 2,65 eV en los mínimos M1, M2 y M3, 2,62 eV en el mínimo M4 y 2,63 eV en el resto de mínimos. La configuración dominante para este estado corresponde a una transición nH-4→πL*, en los mínimos M2 y M3 la transición nH-5→πL* contribuye en menor proporción.
El orbital n HOMO-4 (denotado nH-4) está localizado sobre el grupo carbonilo y el nitrógeno intracíclico. Lo mismo sucede con el orbital nHOMO-5 (nH-5) donde la proporción de carga es mayor sobre el nitrógeno intracíclico comparada con la del grupo carbonilo. El orbital LUMO (πL*) está deslocalizado sobre el sistema de anillos de la molécula. De esta manera, el estado S1 puede considerarse de tipo transferencia de carga, en donde la carga se mueve desde el grupo carbonilo hacia todo el sistema de anillos, teniendo en cuenta la distribución de los orbitales moleculares nH-4→πL*.
El segundo estado excitado singulete S2 es luminoso y tiene una energía de excitación entre 3,05 eV y 3,25 eV en las diferentes conformaciones de OG, presentando el valor más alto en los mínimos M4, M5, M6 y M7. La configuración dominante para este estado corresponde a la transición πH→πL*. El orbital HOMO (πH) está localizado sobre los O13, O15 (en mayor proporción con respecto a los otros oxígenos) y O16, y sobre el sistema de anillos a excepción del anillo que contiene el nitrógeno intracíclico. Por lo tanto, la energía del estado S2 está influenciada por la disposición espacial de los grupos metoxilo, siendo la diferencia energética más grande entre el mínimo M1 (S2 = 3,05 eV) y los mínimos M4, M5, M6 y M7 (S2 ~3,25 eV).
La Figura 2 muestra que una de las diferencias entre estos mínimos locales y el mínimo global es la disposición espacial del grupo metoxilo del cual hace parte el O15. En consecuencia, la separación energética del estado S2 con respecto al estado S1 también se ve afectada por la posición de los grupos metilo. Se encontró que el gap energético entre estos estados puede variar desde 0,4 eV (para mínimo C1) hasta 0,63 eV (para mínimo C4).
El estado excitado singulete S3 tiene una energía de excitación de 3,42 eV en el mínimo M1. La variación energética de este estado es despreciable (~0,01eV) para los demás mínimos. Está dominado por la transición nH-5→πL*. Sin embargo, para los mínimos M1, M2 y M3 existen además otras transiciones contribuyentes (ver Tabla 1).
Los estados excitados singulete de más baja energía y los estados luminosos más energéticos están dominados por excitaciones sencillas; en los mínimos de OG estas excitaciones superan el 81%, 88%, 83%, 84% para los estados S1 a S4. Las contribuciones de doble excitación en los mínimos de OG no superan el 13% y 9%; 11% y 11% para los cuatro primeros estados excitados singulete. La fuerza del oscilador calculada para el estado S8 es la mayor de todo el espectro en todos los mínimos, con valores entre 0,360 y 0,426. Las transiciones dominantes en este estado son πH→πL+1* y πH-3→πL*. En el mínimo M1, el estado S8 se caracteriza por una excitación πH→πL+1*, en donde la fuerza del oscilador presenta su máximo valor entre todos los mínimos.
El espectro de absorción de OG en benceno, acetonitrilo y agua muestra un rango de absorción entre 320 nm y 480 nm aproximadamente (26). La OG presenta su máximo de absorción en benceno y acetonitrilo a ~350 nm y en agua a ~360 nm. El espectro vertical de los mínimos de OG calculado en este estudio muestra que las absorciones de los estados luminosos S2 (~389,9 nm) y S5 (~331,5 nm) están en el rango de 320 nm y 480 nm. El estado singulete S5 tiene una energía de excitación entre 3,70 eV y 3,75 eV en las diferentes conformaciones de OG. Las configuraciones dominantes para este estado corresponden a las transiciones πH-2→πL* y πH-1→πL*. La polaridad del solvente afecta al espectro de absorción de OG, debido al efecto de las interacciones electrostáticas y a los enlaces de hidrógeno sobre la fuerza del oscilador de los estados electrónicos.
El primer estado excitado triplete T1 está dominado por la transición πH→πL*, tiene una energía de excitación de 2,22 eV para C1; 2,27 eV para M2 y M3, y 2,32 eV para los demás mínimos. El estado excitado T2 tiene una energía de excitación de 2,50 eV para M1, M2 y M3, y 2,47 eV para los demás mínimos. El estado T2 está dominado por la transición nH-4→πL*, para el mínimo M3 la transición nH-5→πL* tiene una contribución significativa. Los estados excitados triplete T1 y T2 están localizados por debajo de S1 en energía, el estado T2 es energéticamente cercano a S1 (0,15 eV a 0,16 eV) en todos los mínimos. En los mínimos C1, C2 y C3 los estados excitados tripletes T4 (~3,18 eV) y T5 (~3,20 eV) son mayores en energía que el estado singulete S2 (~3,10 eV) mientras que en los mínimos M4, M5, M6 y M7 estos estados tripletes son menos energéticos (T4 ~3,18 eV y T5 ~3,23 eV) que S2 (~3,25 eV). Análogo a los estados excitados singulete, los estados tripletes están dominados por excitaciones sencillas. En todos los mínimos de OG estas excitaciones superan el 86% en los siete primeros estados tripletes.
La forma en que una molécula disipa la energía después de la absorción de luz depende del carácter y energía de los estados excitados de menor energía. La estructura molecular afecta ligeramente la energía de excitación de los estados electrónicos S1, T1 y T2. El cambio en la energía de excitación del estado electrónico S2, caracterizado por la transición πH→πL*, es inferior a 0,2 eV en los diferentes mínimos. Es decir, que el efecto de los cambios geométricos sobre los estados excitados de más baja energía del espectro vertical de OG es bajo.
Espectro vertical de oxoglaucina sin grupos metilo
Los mínimos de OG sin grupos metilo no presentan simetría. El espectro electrónico vertical DFT/MRCI obtenido usando la base TZVP se presenta en la Tabla 2. Los orbitales moleculares de frontera BHLYP/TZVP son similares para los tres mínimos de OG sin grupos metilo, por tal motivo solo se muestran los orbitales de frontera del mínimo global (W1) en la Figura 6. Los mínimos W1 y W2 presentan nueve intensidades de absorción significativas (f(r) > 0,1) mientras que el W3 solo ocho. Los estados excitados singulete S2, S6, S8 y S18 son luminosos para los tres mínimos. A partir del estado excitado singulete S8, los estados más energéticos luminosos son diferentes en cada uno de los mínimos de OG sin grupos metilo. En el mínimo W1 la fuerza del oscilador es mayor para el estado S29 con un valor de 0,369 mientras que en los otros dos mínimos la fuerza del oscilador es mayor para el estado S8 con valores superiores a 0,350.

Para los mínimos W1, W2 y W3 el primer estado excitado singulete S1 tiene una energía de excitación de 2,70 eV; 2,63 eV y 2,66 eV, respectivamente. Para este estado la configuración dominante corresponde a una transición nH-4→πL*. El orbital n HOMO-4 (denotado nH-4) está localizado sobre el grupo carbonilo y en menor proporción sobre el nitrógeno intracíclico. El orbital LUMO (πL) está deslocalizado principalmente sobre el sistema de anillos de la molécula. En el estado S1 la carga se mueve desde el grupo carbonilo y el nitrógeno intracíclico hacia todo el sistema de anillos. El estado luminoso S2 tiene una energía de excitación de 3,14 eV en W1; 3,10 eV en W2 y 3,08 eV en W3. La configuración dominante para este estado corresponde a una transición πH→πL*. Ambos orbitales HOMO (πH) y LUMO (πL) están deslocalizados sobre toda la molécula. Los estados oscuros S3 y S4 son cercanos energéticamente, en los mínimos W2 y W3 el gap energético es de 0,11 eV y 0,04 eV, respectivamente.
La transición que más contribuye al estado S3 es nH-5→πL*, mientras que para el estado S4 es πH-1→πL*. El orbital nHOMO-5 (nH-5) está localizado sobre el nitrógeno intracíclico y en menor medida sobre el grupo carbonilo. Por lo tanto, el movimiento de carga en el estado S3 es similar al del estado S1.
El orbital HOMO-1 (πH-1) está deslocalizado principalmente sobre el sistema de anillos de la molécula y el O16. En el estado S4 el movimiento de carga pasa a localizarse especialmente sobre el sistema de anillos y el grupo carbonilo. El mínimo W1 presenta inversión en el orden de los estados S3 y S4 comparado con los otros dos mínimos. En W1 la energía de excitación es casi igual para S3 y S4. El estado S3 está dominado por la transición πH-1→πL* y el estado S4 por la nH-5→πL*. A diferencia de los otros dos mínimos, W1 no presenta enlace de hidrógeno intramolecular entre los grupos hidroxilo unidos a los C9 y C10. Parte del orbital HOMO-1 se localiza sobre el O16, por lo tanto, los cambios energéticos del estado que involucra este orbital dependen de la orientación del grupo hidroxilo del cual forma parte el O16.
En general, las principales transiciones electrónicas que contribuyen a los ocho primeros estados excitados singulete son casi las mismas que en los mínimos de OG. El mínimo W2 presenta inversión en el orden de los estados S10 y S11 comparado con los otros dos mínimos. Los estados excitados singulete de más baja energía y los estados luminosos más energéticos están dominados por excitaciones sencillas, en los mínimos de OG sin grupos metilo. Estas excitaciones superan el 81%, 87%, 83%, 83% para los estados S1 a S4, mientras que las contribuciones de doble excitación no superan el 14%; 9%; 12% y 12% para los cuatro primeros estados excitados singulete.
En los mínimos W1, W2 y W3, el primer estado excitado triplete T1 está dominado por la transición πH→πL* y tiene una energía de excitación de 2,24 eV; 2,22 eV y 2,21 eV, respectivamente. El estado excitado T2 está dominado por la transición nH-4→πL* y tiene una energía de excitación de 2,57 eV en W1; 2,49 eV en W2 y 2,53 eV en W3. Los estados excitados triplete T1 y T2 están localizados energéticamente por debajo de S1. En los mínimos W1, W2 y W3 el estado S1 es mayor que T2 solo por 0,13 eV; 0,14 eV y 0,13 eV, respectivamente.
El tercer estado excitado T3 caracterizado por la transición πH-1→πL* está 0,27 eV en W1; 0,45 eV en W2 y 0,32 eV en W3 por encima de S1. El gap energético entre los estados T3 y S2 es de 0,17 eV en W1; 0,02 eV en W2 y 0,10 eV en W3. En el mínimo W1 los tres primeros estados excitados singulete tienen mayor energía que en los otros mínimos, lo mismo sucede para los dos primeros tripletes. Los estados tripletes están dominados por excitaciones sencillas que superan el 86% en los siete primeros estados tripletes.
Espectro vertical de oxoglaucina sin grupos metoxilo
La molécula de OG sin grupos metoxilo presenta ocho intensidades de absorción significativas (f(r) > 0,1) (ver Tabla 3). Los estados excitados singulete S3, S6, S8, S15, S17, S19, S21 y S29 calculados con la base TZVP son luminosos. La energía de excitación de los estados electrónicos y las transiciones dominantes de dichos estados calculados con las bases def-SVP y def-SV(P) son similares. La fuerza del oscilador calculada con las tres bases es mayor para el estado S17 con valores superiores a 0,310. La transición que más contribuye a este estado es πH-6→πL*. Los orbitales moleculares de frontera de OG sin grupos metoxilo obtenidos con las tres bases son similares. En la Figura 7 se muestran los orbitales moleculares de frontera

El primer estado excitado singulete S1 tiene una energía de excitación de 2,58 eV usando la base TZVP y 2,52 eV con las bases def-SVP y def-SV(P). Para este estado las configuraciones dominantes corresponden a las transiciones nH-3→πL* y nH-5→πL* (con la base TZVP solo la primera transición es predominante en el carácter del estado). El orbital n HOMO-3 (denotado nH-3) está localizado sobre el grupo carbonilo y en menor proporción sobre el nitrógeno intracíclico. El orbital LUMO (πL) presenta amplitudes sobre toda la molécula. Debido a las amplitudes características de los orbitales moleculares implicados en la transición dominante nH-3→πL*, se puede inferir que en el estado S1 la carga electrónica se mueve desde el grupo carbonilo y el nitrógeno intracíclico hacia toda la molécula.
El segundo estado singulete excitado S2 y el estado luminoso S3 tienen una energía de excitación de 3,29 eV y 3,31 eV con un gap de solo 0,02 eV, para las bases def-SVP y def-SV(P). Las transiciones que más contribuyen al estado S2 son nH-5→πL* y nH-3→πL*, mientras que para el estado S3 es πH→πL*. Utilizando la base TZVP se presenta una inversión en el orden de los estados S2 y S3 comparado con las otras dos bases. La energía de excitación del estado S2 es 3,26 eV mientras que el estado S3 es 0,1 eV mayor.
El estado luminoso S2 está dominado por la transición πH→πL* y el estado S3 por la nH→πL* y nH-3→πL*. Los orbitales HOMO (πH) y LUMO (πL) están deslocalizados sobre toda la molécula, mientras que el orbital n HOMO-5 (nH-5) está localizado principalmente sobre el nitrógeno intracíclico y en menor proporción sobre el grupo carbonilo. El gap energético entre los estados S13 y S15 calculado con las bases def-SVP y ef-SV(P) es de 0,08 eV. El estado S15 es luminoso y sus transiciones dominantes son πH→πL+2*, πH-4→πL* y πH-2→πL+1*.
Con la base TZVP, el estado S13 es 0,09 eV menor que el estado S15 y es un estado luminoso con una fuerza de oscilador de 0,297. Las transiciones dominantes del estado S13 son πH→πL+2*, πH-4→πL* y πH-2→πL+1*. Con las tres bases empleadas, los estados excitados singulete de más baja energía y los estados luminosos más energéticos están dominados por excitaciones sencillas, estas excitaciones superan el 79%, 83%, 84%, 85% para los estados S1 a S4. Las contribuciones de doble excitación no superan el 15%; 12%; 11% y 10% para los cuatro primeros estados excitados singulete.
En general, los estados electrónicos singulete muy cercanos energéticamente tienen energías de excitación y contribuciones dominantes similares usando las bases def-SVP y def-SV(P), en comparación con estas bases el orden de estos estados se invierte usando la base TZVP.
El primer estado excitado triplete T1 está dominado por la transición πH→πL* y tiene una energía de excitación de 2,25 eV usando las tres bases. El estado excitado T2 está dominado por la transición nH-3→πL* y tiene una energía de excitación de 2,45 eV con la base TZVP y 2,39 eV con las otras bases. Los estados excitados triplete T1 y T2 están localizados energéticamente por debajo de S1; el estado S1 es 0,13 eV mayor que T2. El tercer estado excitado T3 caracterizado por la transición nH-5→πL* con la base TZVP y nH-5→πL*, nH-3→πL* con las otras bases está aproximadamente 0,52 eV por encima de S1. Con las tres bases usadas, los estados tripletes están dominados por excitaciones sencillas que superan el 86% en los siete primeros estados tripletes.
Comparación de las tres moléculas
La OG es una molécula que contiene una fenalenona como cromóforo. Los resultados obtenidos con DFT/MRCI y las bases TZVP, def-SVP y def-SV(P) muestran que tanto fenalenona (resultados obtenidos con el nivel de teoría DFT/MRCI/TZVP) como OG y OG sin grupos metilo presentan un primer estado excitado singulete, oscuro de tipo nπ*, seguido por un estado luminoso ππ*. Energéticamente accesible desde el estado S1 están el estado T1 de tipo ππ* y el estado T2 de tipo nπ*. Estos mismos resultados se obtienen para OG sin grupos metoxilo empleando el nivel de teoría DFT/MRCI/TZVP.
Sin embargo, usando los niveles de teoría DFT/MRCI/def-SVP y DFT/MRCI/def-SV(P) los estados S1 y S2 son ambos oscuros de tipo nπ*, lo que refleja la importancia de emplear una base triple-zeta. En la transición de tipo nπ* que domina el estado S1 en las moléculas de OG, OG sin grupos metilo y OG sin grupos metoxilo, el orbital n está localizado sobre el grupo carbonilo y sobre el nitrógeno intracíclico. El orbital LUMO (πL*) está deslocalizado principalmente sobre el sistema de anillos de las moléculas. En el estado S1 la carga se mueve desde el grupo carbonilo y el nitrógeno intracíclico hacia todo el sistema de anillos de las moléculas.
El segundo estado singulete S2 de OG, OG sin grupos metilo y OG sin grupos metoxilo (calculado con la base TZVP) es luminoso de tipo ππ*. El orbital HOMO (πH) está deslocalizado sobre el sistema de anillos y en los mínimos de OG y OG sin grupos metilo parte de la carga se encuentra sobre los O13, O15 y O16. El orbital LUMO (πL*) está deslocalizado sobre el sistema de anillos de las moléculas.
En las moléculas de OG, OG sin grupos metilo y OG sin grupos metoxilo el estado S1 está localizado energéticamente por encima del estado T1 y del estado T2. El primer estado excitado triplete T1 está dominado por la transición πH→πL*. En el estado excitado T2 de tipo nπ* la carga se mueve desde el grupo carbonilo y el nitrógeno intracíclico hacia el sistema de anillos de las moléculas. El siguiente análisis energético se realizó con los resultados obtenidos empleando la base TZVP.
Para los estados T1 en los mínimos de OG se presenta una energía de excitación vertical entre 2,22 eV y 2,32 eV. Para OG sin grupos metilo, este estado presenta una energía de excitación entre 2,21 eV y 2,24 eV. Mientras que para OG sin grupos metoxilo la energía de excitación de este estado es de 2,25 eV. En los mínimos de OG, el estado T2 tiene una energía de excitación entre 2,47 eV y 2,50 eV, localizándose entre 0,15 eV y 0,28 eV por encima del estado T1. En los mínimos de OG sin grupos metilo la energía de excitación del estado T2 está entre 2,49 eV y 2,57 eV, ubicándose entre 0,27 eV y 0,33 eV por encima de T1. En la OG sin grupos metoxilo la energía de excitación de T2 es de 2,45 eV y se encuentra 0,20 eV por encima de T1. En los mínimos de OG el estado T2 es energéticamente cercano a S1, el gap entre estos dos estados está entre 0,15 eV y 0,16 eV.
En los mínimos de OG sin grupos metilo el gap energético entre el estado S1 y el estado T2 oscila entre 0,13 eV y 0,14 eV. En la OG sin grupos metoxilo el estado S1 es 0,13 eV mayor que T2.
Estas diferencias energéticas son importantes en la descripción de la fotofísica de la OG ya que determina los mecanismos de entrecruzamiento de sistemas energéticamente posibles. Los grupos metoxilo e hidroxilo de las moléculas de OG y OG sin grupos metilo pueden formar enlaces de hidrógeno intramolecular y enlaces de hidrógeno con solventes. En estas moléculas las amplitudes de los orbitales moleculares involucrados en las transiciones dominantes que contribuyen a los estados electrónicos se localizan sobre sus oxígenos. Los estados electrónicos de menor energía de ambas moléculas se parecen en sus energías de excitación y en sus transiciones dominantes. Es decir, la estructura electrónica de los estados electrónicos singulete y triplete de más baja energía es semejante. Por lo tanto, se considera que la OG sin grupos metilo es un buen modelo que describe la fotofísica de OG mientras que la OG sin grupos metoxilo es un modelo insuficiente.
Conclusiones
Se analizó la estructura molecular de la OG en su estado fundamental y la naturaleza de los estados electrónicos singulete y triplete de baja energía utilizando métodos mecano-cuánticos. Además, se analizó el rol de los grupos metilo y metoxilo en la estabilidad energética de los estados excitados, así como también en la estructura molecular del estado fundamental de OG. En este estudio se empleó un método que combina la teoría del funcional de la densidad (DFT) para la determinación de mínimos sobre las superficies de energía potencial y un método híbrido para la determinación de la estructura electrónica y energías de excitación, DFT/MRCI.
Se localizaron siete mínimos sobre la superficie de energía potencial del estado fundamental de OG, empleando el nivel de teoría B3LYP/TZVP. Las disposiciones espaciales de los grupos metoxilo permiten la formación de enlaces de hidrógeno intramoleculares de tipo C-H···O y la disminución de las repulsiones estéricas entre estos grupos. La presencia de estos enlaces de hidrógeno juega un papel en la estabilidad energética de los diferentes mínimos. Sin embargo, la diferencia energética entre estos mínimos es pequeña y los cambios geométricos tampoco afectan la distribución de los estados excitados de baja energía.
Se localizaron tres mínimos sobre la superficie de energía potencial de OG sin grupos metilo y uno sobre la de OG sin grupos metoxilo. En OG sin grupos metilo, las disposiciones espaciales de los grupos hidroxilo permiten la formación de enlaces de hidrógeno intramoleculares de tipo O-H···O y C-H···O. No obstante, el mínimo encontrado para OG sin grupos metoxilo forma un solo enlace de hidrógeno intramolecular de tipo C-H···O. El efecto de las bases TZVP, def-SVP y def-SV(P) sobre la geometría de los mínimos de OG, OG sin grupos metilo y OG sin grupos metoxilo es mínimo.
Los mínimos de OG y OG sin grupos metoxilo no presentan simetría. Los mínimos de OG sin grupos metilo obtenidos con la base TZVP no presentan simetría; mientras que con las otras dos bases presentan simetría Cs. Las longitudes de enlace, los ángulos de enlace y los ángulos diedros obtenidos con las tres bases son similares.
Los resultados de los espectros verticales calculados con el método DFT/MRCI y la base TZVP indican que en los mínimos de OG y de OG sin grupos metilo el primer estado excitado singulete (S1) es oscuro de tipo nπ*, seguido por un estado luminoso ππ*. Energéticamente accesibles desde el estado S1 están el estado T1 de tipo ππ* y el estado T2 de tipo nπ*; estos mismos resultados se obtienen para OG sin grupos metoxilo. Sin embargo, con las bases def-SVP y def-SV(P) los estados S1 y S2 son ambos oscuros de tipo nπ*.
Los cambios geométricos afectan los estados luminosos más energéticos de los mínimos de OG y OG sin grupos metilo sin afectar su fotofísica. Esta depende de los estados electrónicos de menor energía, que presentan un espaciamiento energético apreciable. Por otro lado, se observa que la presencia de los grupos metoxilo afecta la distribución de estados excitados en el espectro vertical. Al remover completamente estos sustituyentes se aprecian cambios sustanciales en la estructura electrónica del cromóforo. El análisis de los espectros verticales de las tres moléculas indica que el carácter de los estados S1, T1, y T2 es nπ* ππ* y nπ*, respectivamente. De esta manera es posible inferir que el canal de desactivación por entrecruzamiento de sistemas más eficiente y responsable de la población del conjunto de los estados tripletes en OG podría ser S1(nπ*)⇝T1(ππ*) siguiendo la regla de El-Sayed (27).
Aun cuando el gap energético entre los estados S1 y T1 sea mayor que entre los estados S1 y T2, se podría esperar que debido a un acoplamiento espín orbita mayor, el canal S1(nπ*)⇝T1(ππ*) sea más eficiente. Eventualmente, debido a la cercanía del estado S1(nπ*) con otros estados singulete de naturaleza ππ*, el canal S1(nπ*)⇝T2(nπ*) pueda ganar fuerza debido a un acoplamiento de tipo vibrónico (Herzberg-Teller) (28).
Referencias
1. Segado, M.; Reguero, M. Mechanism of the photochemical process of singlet oxygen production by phenalenone. Phys. Chem. Chem. Phys. 2011, 13, 4138-4148. DOI: http://dx.doi.org/10.1039/C0CP01827A.
2. Flors, C.; Nonell, S. Light and singlet oxygen in plant defense against pathogens: phototoxic phenalenone phytoalexins. Acc. Chem. Res. 2006, 39, 293-300. DOI: http://dx.doi.org/10.1021/ar0402863.
3. Daza, M. C.; Doerr, M.; Salzmann, S.; Marian, C. M.; Thiel, W. Photophysics of phenalenone: quantum-mechanical investigation of singlet-triplet intersystem crossing Phys. Chem. Chem. Phys. 2009, 11, 1688-1696. DOI: http://dx.doi.org/10.1039/b815724c.
4. Chen, C.-L.; Chang, H.-M.; Cowling, E. B.; Huang Hsu, C.-Y.; Gates, R. P. Aporphine alkaloids and lignans formed in response to injury of sapwood in Liriodendron tulipifera. Phytochemistry 1976, 15, 1161-1167. DOI: http://dx.doi.org/10.1016/0031-9422(76)85122-9.
5. Chen, Z.-F.; Shi, Y.-F.; Liu, Y.-C.; Hong, X.; Geng, B.; Peng, Y. et al. TCM Active ingredient oxoglaucine metal complexes: crystal structure, cytotoxicity, and interaction with DNA. Inorg. Chem. 2012, 51, 1998–2009. DOI: http://dx.doi.org/10.1021/ic200443p.
6. Castedo, L.; Suau, R.; Mouriño, A. Oxidación Fotosensibilizada de Alcaloides Aporfínicos. An. Quim. 1977, 73, 290-292.
7. Hölscher, D.; Schneider, B. Phenalenones from Strelitzia reginae. J. Nat. Prod. 2000, 63, 1027-1028. DOI: http://dx.doi.org/10.1021/np000035c.
8. Xiao, J.-Z.; Kumazawa, S.; Tomita, H.; Yoshikawa, N.; Kimura, C.; Mikawa, T. Rousselianone A, novel antibiotic related to phenalenone produced by Phaeosphaeria rousseliana. J. Antibiot. 1993, 46, 1570-1574. DOI: http://dx.doi.org/10.7164/antibiotics.46.1570.
9. Luis, J. G.; Fletcher, W. Q.; Echeverri, F.; Abad, T.; Kishi, M. P.; Perales, A. New Phenalenone-type Phytoalexins from Musa acuminata (Colla AAA) Grand Nain. Nat. Prod. Lett. 1995, 6, 23-30. DOI: http://dx.doi.org/ 10.1080/10575639508044083.
10. Wu, Z. Y.; Zhou, T. Y.; Xiao, P. G. Xin Hua. Compendium of Materia Medica (I). Shanghai Science & Technology Press: Sahnghai, 1998.
11. Liu, Y.-C.; Chen, Z.-F.; Shi, Y.-F.; Huang, K.-B.; Geng, B.; Liang, H.; Oxoglaucine-lanthanide complexes: synthesis, crystal structure and cytotoxicity. Anticancer. Res. 2014, 34, 531-536.
12. Graziose, R.; Rathinasabapathy, T.; Lategan, C.; Poulev, A.; Smith, P. J.; Grace, M. et al. Antiplasmodial activity of aporphine alkaloids and sesquiterpene lactones from Liriodendron tulipifera L. J. Ethnopharmacol. 2011, 133, 26-30. DOI: http://dx.doi.org/ doi: 10.1016/j.jep.2010.08.059.
13. Murov, S. L.; Handbook of photochemistry. M. Dekker, 6th ed. New York, 1993.
14. Grimme S.; Waletzke, M. A combination of Kohn–Sham density functional theory and multi-reference configuration interaction methods J. Chem. Phys. 1999, 111, 5645-5655. DOI:http://dx.doi.org/10.1063/1.479866.
15. Furche, F.; Ahlrichs, R. Adiabatic time-dependent density functional methods for excited state properties. J. Chem. Phys. 2002, 117, 7433-7447. DOI: http://dx.doi.org10.1063/1.1508368.
16. Schäfer, A.; Huber C.; Ahlrichs, R. Fully optimized contracted Gaussian basis sets of triple zeta valence quality for atoms Li to Kr. J. Chem. Phys. 1994, 100, 5829-5835. DOI: http://dx.doi.org/ 10.1063/1.467146.
17. Becke, A. D. Density-functional thermochemistry. III. The role of exact exchange J. Chem. Phys. 1993, 98, 5648-5652. DOI: http://dx.doi.org/ 10.1063/1.464913.
18. Dirac, P. A. M. Quantum mechanics of many-electron systems Proc. R. Soc. London, Ser. A. 1929, 123, 714-733.
19. TURBOMOLE V6.3 2011, a development of University of Karlsruhe and Forschungszentrum Karlsruhe GmbH, 1989-2007, TURBOMOLE GmbH, since 2007; available from http://www.turbomole.com. (Fecha de consulta 13 de Septiembre de 2017).
20. Lee, C.; Yang, W.; Parr, R. G. Development of the Colle-Salvetti correlation-energy formula into a functional of the electron density. Phys. Rev. B 1988, 37, 785-789. DOI: http://dx.doi.org/10.1103/PhysRevB.37.785.
21. Becke, A. D. A new mixing of Hartree-Fock and local density-functional theories J. Chem. Phys. 1993, 98, 1372-1377. DOI: http://dx.doi.org/10.1063/1.464304.
22. Rodriguez-Serrano, A.; Daza, M. C.; Doerr, M.; Marian, C. M. A quantum chemical investigation of the electronic structure of thionine. Photochem. Photobiol. Sci. 2012, 11, 397-408. DOI: http://dx.doi.org/10.1039/C1PP05267E.
23. Mundt, R.; Villnow, T.; Torres Ziegenbein, C.; Gilch, P.; Marian, C. M.; Rai-Constapel, V. Thioxanthone in apolar solvents: Ultrafast internal conversion precedes fast intersystem crossing. Phys. Chem. Chem. Phys. 2016, 18, 6637-6647. DOI: http://dx.doi.org/10.1039/C5CP06849E.
24. Tatchen, J.; Marian, C. M. Vibronic absorption, fluorescence and phosphorescence spectra of psoralen: A quantum chemical investigation. Phys. Chem. Chem. Phys. 2006, 8, 2133-2144. DOI: http://dx.doi.org/10.1039/b518436c.
25. Silva-Junior, M. R.; Schreiber, M.; Sauer, S. P. A.; Thiel, W. Benchmarks for electronically excited states: Time-dependent density functional theory and density functional theory based multireference configuration interaction. J. Chem. Phys. 2008, 129, 104103. DOI: http://dx.doi.org/10.1063/1.2973541.
26. Flors, C.; Prat, C.; Suau, R.; Nájera, F.; Nonell, S. Photochemistry of phytoalexins containing phenalenone-like chromophores: photophysics and singlet oxygen photosensitizing properties of the plant oxoaporphine alkaloid oxoglaucine Photochem. Photobiol. 2005, 81, 120-124. DOI: http://dx.doi.org/10.1562/2004-07-23-RA-243.
27. Lower, S. K.; El-Sayed, M. A. The triplet state and molecular electronic processes in organic molecules. Chem. Rev. 1966, 66, 199-241. DOI: http://dx.doi.org/10.1021/cr60240a004.
28. Tatchen, J.; N. Gilka, N.; Marian, C. M. Intersystem crossing driven by vibronic spin–orbit coupling: a case study on psoralen. Phys. Chem. Chem. Phys. 2007, 9, 5209-5221. DOI: http://dx.doi.org/10.1039/B706410A.
Enlace alternativo
https://revistas.unal.edu.co/index.php/rcolquim/article/view/62419 (html)