Química Aplicada y Analítica
Adsorción-desorción de diurón y ametrina en suelos de Colombia y España
Adsorption-desorption of diuron and ametryn in Colombian and Spanish soils
Adsorção-desorção de diuron e ametrina nos solos da Colômbia e da Espanha
Adsorción-desorción de diurón y ametrina en suelos de Colombia y España
Revista Colombiana de Química, vol. 47, núm. 3, pp. 31-40, 2018
Universidad Nacional de Colombia
Resumen: Aunque en la actualidad existe una gran preocupación por la contaminación y los posibles efectos sobre la salud que genera el uso frecuente de herbicidas, los estudios ambientales en los países tropicales son escasos, especialmente en Colombia. Por tanto, en el presente trabajo se evaluó la adsorción-desorción de diurón y ametrina en un suelo de Colombia (SC) y de España (SE). Los ensayos de adsorción-desorción se realizaron con moléculas de los herbicidas marcados con 14C, empleando la técnica batch equilibrium. En ambos suelos y para ambos herbicidas hubo un buen ajuste a las isotermas de Freundlich con R2 mayores a 0,99. Para diurón, en SE (Kfa = 12,82 ± 1,23) hubo mayor poder de adsorción frente a SC (4,56 ± 0,26). Por el contrario, para la ametrina se encontró un valor de Kfa = 6,47 ± 0,25 en SC y de 3,05 ± 0,08 en SE, mostrando mayor interacción con SC en comparación con SE. Para diurón se observó un grado de histéresis mayor en SC y para ametrina en SE, mostrando que la interacción de los dos herbicidas con los componentes de cada suelo es diferente dependiendo de su constitución mineralógica y su valor de pH.
Palabras clave: herbicidas, retención, zonas tropicales, zonas templadas, batch equilibrium.
Abstract: Although there is currently a great concern about pollution and the possible effects on health generated by the frequent use of herbicides, environmental studies in tropical countries are scarce, especially in Colombia. Therefore, in the present study, the adsorption-desorption of diuron and ametryn was evaluated in Colombian (SC) and Spanish soils (SE). The adsorption-desorption tests were carried out with molecules of 14C radiolabeled herbicides, using the batch equilibrium technique. In both soils and for both herbicides there was a good fit to the Freundlich isotherms with R2 greater than 0.99. For diuron, in SE (Kfa = 12.82 ± 1.23) showed greater adsorption affinity than SC soil (4.56 ± 0.26). In contrast, for ametryn we found Kfa values of = 6.47 ± 0.25 in SC and 3.05 ± 0.08 in SE, showing greater interaction with SC compared to SE. For diuron, a higher degree of hysteresis was observed in SC and for ametryn in SE, showing that the interaction of the two herbicides with the soil components is different depending on their mineralogical constitution and their pH value.
Keywords: herbicides, retention, tropical zones, temperate zones, batch equilibrium.
Resumo: Na atualidade, existe uma grande preocupação acerca da poluição e dos possíveis efeitos sobre a saúde gerados pelo uso freqüente de herbicidas. Além disso, os estudos ambientais em países tropicais são escassos, especialmente na Colômbia. No presente estudo, a adsorção-dessorção de diuron e ametrina foi avaliada em solo colombiano (SC) e solo espanhol (SE). Os testes de adsorção-dessorção foram realizados com moléculas de herbicidas marcados com 14C, utilizando a técnica batch equilibrium. Em ambos os solos e para os dois herbicidas houve um bom ajuste para as isotermas de Freundlich com R2 maior do que 0,99. Para o diuron, em SE (Kfa = 12,82 ± 1,23) houve maior poder de adsorção contra SC (4,56 ± 0,26). Em contraste, para a ametrina encontraram-se valores de Kfa de = 6,47 ± 0,25 em SC e 3,05 ± 0,08 em SE, mostrando a maior interação com SC quando se compara com SE. Para diuron, observou-se maior grau de histerese em SC e ametrina em SE, o que mostra que as interações destes dois herbicidas com os componentes de cada solo são diferentes dependendo da sua constituição mineralógica e seu valor de pH.
Palavras-chave: herbicidas, retenção, zonas tropicais, zonas temperadas, batch equilibrium.
Introducción
El uso de los herbicidas ha aumentado de manera importante durante las últimas décadas y, a pesar de los beneficios que proporcionan para la agricultura, estas sustancias tienen la capacidad inherente de provocar efectos adversos en los seres vivos, debido a la toxicidad de estos compuestos al igual que con su persistencia en el ambiente [1, 2]. Son muchas las investigaciones que se han centrado en el destino ambiental de plaguicidas, pero pocas de ellas en suelos tropicales. Aunque existen bases de datos para el análisis del riesgo del uso de plaguicidas, una de las más usadas (PPDB) [3] contiene datos de destino ambiental realizados en países europeos y USA [4] principalmente. Algunos autores muestran que los datos de este tipo de suelos no son directamente extrapolables a las zonas tropicales y que es necesario alimentar estas bases de datos con investigaciones en este tipo de suelos [5].
La retención es uno de los procesos clave que afectan el destino de los plaguicidas en el medio suelo-agua y puede producirse tanto en la matriz del suelo por adsorción, como en los organismos por absorción (plantas y microorganismos) [6]. La adsorción depende de las características físico-químicas propias del xenobiótico y de las propiedades del suelo (contenido de arcilla y materia orgánica, composición mineral y pH fundamentalmente). Los constituyentes del suelo que presentan mayor capacidad de adsorción son los compuestos minerales y la materia orgánica. Es difícil separar claramente su participación debido a que a menudo están muy asociados [7-9]. La importancia de identificar los procesos de adsorción de los herbicidas radica en la posibilidad de predecir la manera en la que se dispersarán en el ambiente ya que afectan a otros fenómenos como la lixiviación, volatilización y degradación. Las diferencias climáticas de las regiones tropicales y las zonas templadas inciden en la composición bilógica, mineral y orgánica de los suelos, por lo que es de esperar que la interacción de los herbicidas sea diferente en ambas latitudes y que, como consecuencia, los fenómenos de destino ambiental en países tropicales sean poco conocidos [10].
Ahora bien, el diurón (3-(3,4-diclorofenil)-1,1-dimetilurea) es un herbicida derivado de la urea que se usa frecuentemente en pre y postemergencia para controlar una amplia variedad de malezas anuales y perennes de hoja ancha en cultivos de caña de azúcar, algodón, café, palma aceitera, piña, cítricos y plátano. Este herbicida tiene la capacidad de inhibir la reacción de Hill, bloqueando el transporte de electrones e inhibiendo con ello la fotosíntesis (fotosistema II) [11]. La Agencia de Protección Ambiental de los Estados Unidos (EPA) lo ha clasificado como probable carcinógeno con base en estudios toxicológicos en ratas [12]. La adsorción de diurón esta positivamente correlacionada con el contenido en materia orgánica y arcillas [13,14]. Esta molécula que puede entrar en los ecosistemas de agua dulce por escurrimiento y lixiviación ha evidenciado riesgos potenciales para varios organismos acuáticos [15]. El diurón es relativamente estable en agua, no fotosensible y persistente en suelo [16-18], por lo cual la contaminación de aguas subterráneas y superficiales se considera un grave problema [19-22].
Por su parte, la ametrina (2-etilamino-4-isopropilamino-6-metiltio-1,3,5-triazina) es un herbicida de la familia de las s-triazinas que se absorbe por las raíces y las hojas de las plantas y se caracteriza por ser un inhibidor de la fotosíntesis, bloqueando el transporte de electrones [23, 24]. Se emplea en cultivos de piña, soja, maíz, algodón, caña de azúcar o plátano, olivar, vid, entre otros. Dentro del grupo de la triazinas, es la que se adsorbe más fuertemente a los componentes del suelo. Aunque se ha prohibido el uso de estos plaguicidas en la Unión Europea [25], debido a los efectos adversos estudiados en los herbicidas de la familia de las s-triazinas en organismos vivos, sigue siendo usado en Colombia. En suelos puertorriqueños, la adsorción de ametrina mostró una correlación positiva con el contenido de materia orgánica y negativa con el valor de pH [26, 27].
Teniendo en cuenta lo anterior, el propósito principal de este estudio es comparar los procesos de adsorción-desorción de diurón y ametrina en un suelo de Colombia (SC, zona tropical) y un suelo de España (SE, zona templada), de manera que se puedan evaluar las posibles diferencias y, con esto, contribuir a la información sobre el riesgo de su uso asociado a las condiciones propias del país y de las zonas tropicales en general.
Materiales y métodos
Herbicidas
Los ensayos se realizaron con moléculas marcadas y no marcadas. Diurón y ametrina técnica (99% pureza) fueron adquiridas en Dr. Ehrenstorfer GmbH (Augsburg, Alemania). diurón [ring-U-14C] (99% pureza radioquímica; actividad específica 10 mCi mmol-1) fue adquirido en Institute of Isotopes CO. LTD. Budapest, Hungría y ametrina, [Ametryne ring-14C] (99% pureza radioquímica; actividad específica 10 mCi mmol-1) fue adquirida en la empresa Moravek Inc., Brea, USA. En la Tabla 1 se presentan algunas de sus propiedades más relevantes frente al destino ambiental.
Suelos
Se emplearon dos diferentes suelos en el estudio: uno de zona Tropical, SC, colectado por el Centro de Investigación La Libertad (coordenadas 4° 03' 57,2" N y 73° 27' 41,7" W) de la Corporación Colombiana de Investigación Agropecuaria (Corpoica), situada en Kilómetro 17, Vía Puerto López, Meta, Colombia, donde se cultiva piña.
El otro suelo, SE, pertenece a un cultivo de olivar situado en la Finca El Espino (coordenadas 37° 46' 50,6" N y 3° 44' 54,1" W), carril nº 1, Puente Nuevo, Jaén, (España). Ambos suelos se muestrearon a 20 cm de profundidad empleando un barreno. Se tomaron 20 submuestras de suelo que se mezclaron para obtener una muestra compuesta de aproximadamente 2 kg. Una vez los suelos se llevaron al laboratorio de Química Agrícola de la Universidad Nacional de Colombia, Sede Bogotá, se dejaron secar al aire por 24 h y se pasaron por un tamiz de 2 mm. Posteriormente, fueron almacenados a temperatura ambiente hasta el momento de los análisis.

| Suelo Colombia (SC) | Suelo España (SE) | ||||
| pH CIC (cmol+ Kg -1) CO (%) ρb (g cm-3) | 4,5 6 0,9 1,36 | 8 17,7 1,1 1,01 | |||
| Textura | Arcilla (%) Limo (%) Arena (%) Clase | 14,4 44,1 41,5 Franco | 40,5 42,2 15,5 Arcilloso Limoso | ||
| Constitución mineralógica de las Arcillas | Cloritas (%) Micas (%) Pirofilita (%) Caolinita (%) Lepidocrocita (%) Cuarzo (%) Feldespatos (%) Calcita (%) Dolomita (%) Interestratificados (%) Montmorillonita (%) Hematita (%) | 3,9 40,2 2,6 19,5 <1% 23,7 | - 14,6 - 9,1 - 17,5 | ||
| 4,5 2,4 1,4 - - - | 2,2 50,3 <1% <1% 4,7 <1% | ||||
| Textura: método de Bouyoucos; pH: relación suelo: agua 1: 2; CIC. (Capacidad de intercambio catiónico) por el método de acetato de amonio 1M a pH = 7; CO (Carbono Orgánico) por el método Walkley-Black; ρb (densidad aparente) por el método del terrón parafinado. | |||||
Para la determinación de pH, textura, Capacidad de Intercambio Catiónico (CIC), Carbono Orgánico (CO) y densidad aparente se siguieron las metodologías propuestas por el Instituto Geográfico Agustín Codazzi (IGAC) [28]. La evaluación mineralógica de los suelos (semicuantitativa) se realizó por Difracción de rayos X en el Laboratorio de Suelos del IGAC (Tabla 2).
Cinéticas de adsorción
Para evaluar las cinéticas de adsorción de diurón se preparó una solución de diurón técnico 0,590 mg L-1 y diurón [Ring-U-14C] (132,035 Bq mL-1). En el caso de ametrina, se preparó una solución de ametrina técnica 0,739 mg L-1 (calculada a partir de la dosis normal de campo de ametrina y ametrina radiomarcada [Ametryne ring-14C] (126,594 Bq mL-1). Se tomaron muestras por triplicado (2,5 g de suelo seco) y se pusieron en contacto con 5 mL de la solución en tubos de centrifuga de 30 mL de capacidad. Las muestras se agitaron durante diferentes tiempos (6, 12, 24, 30 y 52 h), para poder evaluar el tiempo en el que se alcanza el equilibrio de reparto entre la solución y el suelo a 20 ± 1 ºC. Para cada tiempo de medida y después de centrifugar a 3000 rpm, se tomaron sobrenadantes de 20 µL a los que se les añadieron 5 mL de coctel de centelleo Ultima Gold™ en viales pico glass. Las muestras fueron llevadas al contador de Centelleo Líquido Perkin Elmer Tri-Carb 2100TR. Las cantidades de cada herbicida adsorbido en suelo se calcularon a partir de la diferencia entre la concentración inicial del herbicida en la solución y las concentraciones del sobrenadante para cada tiempo de análisis. Los cálculos de las soluciones se realizaron a partir de las dosis normales de campo de ambos herbicidas (diurón: 3 L ha-1, 80% i.a.; ametrina: 5 L ha-1, 50% i.a.) y teniendo en cuenta una profundidad de 20 cm y la densidad aparente promedio de los suelos.
Isotermas de adsorción-desorción
Para la obtención de las isotermas se empleó la técnica “batch equilibrium”. Para ello prepararon soluciones de ambos herbicidas a 5 concentraciones diferentes: Para diurón D/3=0,196, D/2=0,295, D=0,590, 2D=1,180 y 3D=1,770 mg L-1; para ametrina D/3=0,246, D/2=0,369, D=0,739, 2D=1,447 y 3D=2,220 mg L-1, siendo D el equivalente a la dosis normal de campo de cada herbicida. A cada concentración se le añadió además el herbicida radiomarcado: para diurón [Ring-U-14C] 122,616 Bq mL-1 y para ametrina [Ametryne ring-14C] 229,25 Bq mL-1. Todas las soluciones se prepararon con CaCl2 0,01 M. Se incluyeron muestras blanco (sin suelos) para evaluar la posible adsorción de los herbicidas sobre la superficie de las paredes de los tubos de centrifuga para ser tenidas en cuenta en los cálculos. Debido a los altos tiempos de vida media de ambas moléculas (Tabla 1), se considera que no hay degradación durante la duración de los experimentos.
Por cada suelo y concentración de las soluciones preparadas, se pesaron 5 g de suelo (peso seco) a los que se les añadieron 10 mL de solución en tubos de centrífuga de 30 mL de capacidad (ensayos por triplicado). Posteriormente, se agitaron los tubos por un periodo de 24 h a 20 ± 2 ºC y oscuridad. Por último, se centrifugaron por 15 min a 3000 rpm a 20 ± 2 ºC. Se tomaron alícuotas de 0,5 mL del sobrenadante y se midieron en contador de centelleo después de la adición de 5 mL de cóctel de centelleo. La cantidad de la molécula marcada radiactivamente adsorbida por el suelo se calculó a partir la diferencia entre la concentración inicial del herbicida en solución y la concentración en equilibrio.
Las isotermas de adsorción vienen descritas por la ecuación de Freundlich (1):

En donde, Qads es la cantidad adsorbida en la fase sólida (mg kg-1); Ceq es la concentración en equilibrio en la solución (mg L-1); Kfa y na son coeficientes empíricos de la adsorción.
Se define el coeficiente de partición, Kd como la relación entre la cantidad adsorbida en la fase sólida y la concentración de la solución en el equilibrio (2):

Este valor coincide con Kfa de las isotermas de Freundlich cuando na=1, y puede considerarse el modelo lineal.
El coeficiente Koc se calcula como la relación entre Kd y el porcentaje de CO del suelo (3):

De manera análoga se puede plantear el Karcillacomo la relación entre Kd y el porcentaje de arcillas del suelo (4):

La desorción de cada uno de los herbicidas se midió inmediatamente después de realizar los ensayos de adsorción. Una vez alcanzó el equilibrio de adsorción (24 h), el sobrenadante de cada tubo fue retirado y medido. Se añadieron 5 mL de solución CaCl2 0,01 M libre de herbicida. Se llevó a fuerte agitación mecánica para disgregar el pellet formado por el suelo con la ayuda de un vórtex. Los tubos se llevaron de nuevo a agitación durante 24 h a una temperatura de 20 ± 2 ºC y oscuridad en agitador. Después, la solución se centrifugó durante 15 min a 3000 rpm a 20 ± 2 ºC. Se realizaron cuatro desorciones consecutivas para cada muestra de suelo y concentración para cada herbicida. La radiactividad en cada desorción se midió tomando una alícuota de 0,5 mL de sobrenadante y midiendo en el contador de centelleo (previa adición de 5 mL de cóctel de centelleo). La cantidad de herbicida marcado que permanece en el suelo en cada desorción se calcula a partir de la diferencia entre la cantidad inicial de herbicida adsorbido y la cantidad desorbida en cada ciclo.
Las isotermas de desorción se ajustaron también a la ecuación de Freundlich (5):

En donde, Qadses la cantidad adsorbida en la fase sólida (mg kg-1); Ceq es la concentración en equilibrio en la solución (mg L-1); Kfdy nd son coeficientes empíricos de la desorción.
La histéresis puede ser definida como la no coincidencia de las isotermas de adsorción y desorción y es un factor clave para la dispersión de herbicidas en el ambiente y la eficacia en la agricultura. Este parámetro normalmente está relacionado con diferentes mecanismos de unión de los herbicidas a las partículas de suelo durante los procesos de adsorción y desorción. El grado de histéresis puede ser evaluado a partir del índice de histéresis (6):

Cuando H=1, no hay histéresis, aunque en la práctica se considera que valores de H comprendidos entre 0,7 y 1 muestran procesos reversibles [29].
Análisis de datos
Las gráficas y los ajustes a las isotermas de adsorción de Freundlich se realizaron empleando el programa Sigmaplot versión 12.5. Para el análisis estadístico de empleo el mismo programa y dicho análisis consistió en comparación de medias de los valores Qads mediante un test ANOVA.
Resultados y discusión
De acuerdo a las propiedades de los suelos (Tabla 2), se pueden observar algunas diferencias que son características de acuerdo al origen de cada uno. Las más notables se refieren a la textura, el pH y CIC, parámetros que son muy importantes para comprender el comportamiento de xenobióticos como diurón y ametrina ya que, como muestran algunos estudios, el comportamiento de estos herbicidas en el suelo se encuentra altamente influenciado por el pH [26, 30]. Este parámetro también se encuentra relacionado y determina por completo la CIC porque el suelo tiene sitios de intercambio que se activan a medida que aumenta el pH. Por esto en el SE que presenta un valor de pH alto; también se observa un valor de CIC elevado a diferencia SC. La CIC, a su vez, se correlaciona con el porcentaje de arcillas ya que, cuando el contenido de arcilla aumenta en el suelo, aumenta también el valor CIC [31].
Cinéticas de adsorción
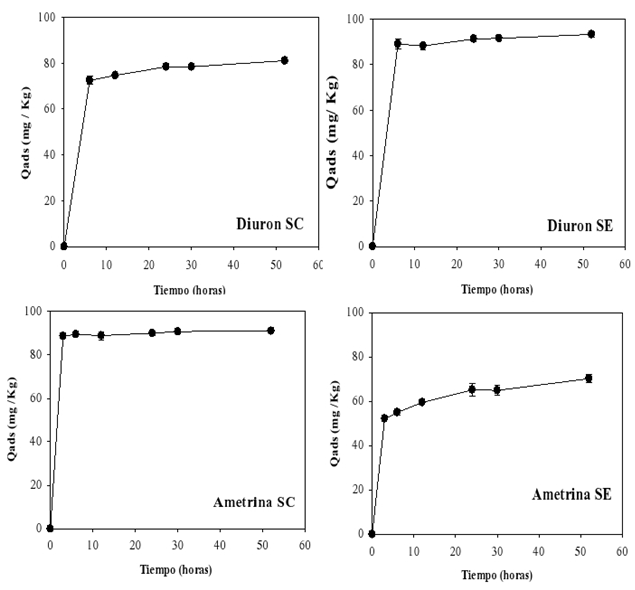
En la Figura 1 se muestran las curvas experimentales de las cinéticas de adsorción para diurón y ametrina en los suelos SC y SE. En primer lugar, la adsorción es rápida en las superficies de los minerales y componentes orgánicos del suelo y, en una etapa posterior, la velocidad de adsorción disminuye a medida que se van saturando los sitios activos más externos de los suelos y las moléculas experimentan lenta difusión-inmovilización en microporos y/o materia orgánica [32, 33].
Para diurón las diferencias entre los porcentajes de adsorción a las 6 h y 24 h fueron inferiores al 2,5% en SE. Los porcentajes de adsorción para SC fueron de 72,5% (6 h) y 78,5% (24 h), evidenciándose una mayor diferencia. Sin embargo, el incremento en el porcentaje de adsorción en el siguiente tiempo solo fue inferior al 0,5%. Para el caso ametrina en SC, entre los tiempos 24 y 30 h ya se había adsorbido aproximadamente el 90% del herbicida, mientras que, en estos mismos tiempos, en SE se había adsorbido solo el 65%. La adsorción de la triazina aumenta ligeramente de las 24 h a las 30 h y de las 30 h a las 52 h, sin embargo, las pequeñas variaciones en los porcentajes de adsorción para intervalos de tiempo tan largos (< 3%) nos permiten aproximar igualmente y por cuestiones prácticas los tiempos de equilibrio a las 24 h. Esto se puede explicar si se tiene en cuenta que estudios han demostrado que ametrina presenta una adsorción más rápida y es más frecuente en suelos ácidos frente a los que tienen alto valor de pH [8,29]. Adicionalmente, se ha señalado que el fenómeno de adsorción para triazinas como ametrina está relacionado con las propiedades hidrofóbicas de esta molécula [29]. Para tiempos superiores a 30 h no se observaron cambios apreciables en el porcentaje de adsorción en cada uno de los suelos. Estos resultados nos permiten establecer el tiempo aparente de equilibrio de 24 h para los sucesivos ensayos. Este tiempo es además el establecido en otras investigaciones para ambos herbicidas [29, 34].
Isotermas de adsorción-desorción
Los resultados muestran que la adsorción de los herbicidas es marcadamente diferente en los dos suelos (Tabla 3). Para ambos herbicidas y suelos, al aumentar la concentración, disminuyen los porcentajes de adsorción. El suelo de España muestra los valores más altos de Kd para diurón, exhibiendo una mayor adsorción. Diurón es un herbicida no ionizable, por lo que el pH de los diferentes suelos (Tabla 2) en principio no afecta directamente a su adsorción [5, 26]. Estos resultados están de acuerdo con lo encontrado por otros autores que muestran la relación entre CIC y la adsorción de diurón. SE presenta un mayor valor de CIC y un contenido de MO ligeramente mayor que SC, lo que explica su mayor valor de Kd [26, 35-38].

| Tabla 3: Resultados de las isotermas de adsorción y valores de Kd y Koc para diurón y ametrina. | ||||||||
| Suelo de Colombia (SC) | Suelo de España (SE) | |||||||
| Diurón | ||||||||
| Dosis | adsorción % | Desorción % | kd (L kg-1) | Koc (L kg-1) | adsorción % | Desorción % | kd (L kg-1) | Koc (L kg-1) |
| D/3 | 88,1±0,5 | 25,1±0,8 | 13,8±0,7 | 1504 ±79 | 93,7±0,4 | 9,3±0,6 | 30,4±2,1 | 2797±188 |
| D/2 | 86,4±0,8 | 28,2±1,4 | 11,9±0,5 | 1298 ±58 | 92,7±0,2 | 10,8±0,4 | 25,1±0,8 | 2308±70 |
| D | 84,3±1,6 | 33,6±1,9 | 10,3±0,9 | 1118 ±96 | 91,3±0,1 | 12,5±0,4 | 20,7±0,6 | 1903±51 |
| 2D | 78,8±1,2 | 38,6±1,4 | 6,6±0,8 | 713 ±82 | 89,8±0,4 | 17,2±1,1 | 16,9±0,7 | 1559±60 |
| 3D | 76,9±1,2 | 40,9±1,7 | 6,10±0,6 | 665 ± 68 | 89,7±0,3 | 15,3±0,5 | 17,1±0,5 | 1577±46 |
| Ametrina | ||||||||
| D/ | 86,3±0,8 | 25,3±0,6 | 12,5±0,7 | 1363±82 | 67,1±0,7 | 58,5±2,6 | 4.00±0,1 | 368±8 |
| D/2 | 84,5±0,5 | 28,1±0,6 | 10,7±0,5 | 1169±52 | 66,1±1,4 | 68,3±3,3 | 3,8±0,1 | 346±11 |
| D | 81,2±0,7 | 31,2±0,7 | 8,5±0,3 | 929±36 | 64,6±0,3 | 69,9±2,9 | 3,6±0,1 | 327±3 |
| 2D | 79,8±1,7 | 41,6±1,3 | 7,5±0,5 | 821±53 | 60,1±10,1 | 62,4±2,2 | 3,0±1,4 | 280±130 |
| 3D | 79,3±1,1 | 46,0±1,4 | 7,2±0,1 | 788±7 | 62,3±1,0 | 65,4±2,6 | 3,2±0,1 | 291±7 |
El coeficiente Koc se utiliza para normalizar el fenómeno de adsorción, independientemente del contenido de materia orgánica. Se supone que, si los compuestos orgánicos son los únicos responsables de la adsorción, este coeficiente debe ser igual para todos los suelos. En un estudio realizado en 43 suelos (tropicales y suelos templados) se encontró que solo el 58% de los datos de adsorción de diurón pueden ser explicados con base en el contenido de MO [5]. Sin embargo, cuando se encuentran valores diferentes de Koc en suelos con porcentajes de CO inferiores al 2%, significa que hay otros materiales en el suelo, como el componente mineral, que están igualmente adsorbiendo el herbicida [23,40]. En el caso de SE encontramos un alto porcentaje de arcillas y la presencia de montmorillonitas, arcillas con mayor capacidad adsorbente frente a otros tipos de minerales arcillosos [41] con respecto al SC, lo que puede también explicar sus mayores valores de Koc[5]. Cuando se calculan los Karcilla (datos no mostrados) los valores calculados para diurón son 31,66 L kg-1 y 31,65 L kg-1 para SC y SE respectivamente, mostrando la afinidad de estas en la adsorción del herbicida y que esta propiedad puede usarse para comparar la adsorción en suelos con bajos contenidos de materia orgánica.

Así mismo, en la Tabla 3 se muestra para diurón que, a medida que disminuye el porcentaje adsorbido, aumenta el porcentaje desorbido (suma de las cuatro desorciones consecutivas), de acuerdo a las concentraciones de las dosis analizadas de ambos herbicidas. Sin embargo, en SC los porcentajes de desorción son mayores para diurón, mostrando interacciones más débiles para este suelo, lo que implica mayor disponibilidad de este herbicida en la fase acuosa y aumento del riesgo de contaminación hacia otros compartimentos ambientales en el suelo tropical [42].
En el caso de ametrina, se observa un comportamiento inverso respecto a la adsorción en ambos suelos ya que, como se puede observar en la Tabla 3, su adsorción es mayor en el SC (Kd: 12,51-7,23 L kg-1) frente al SE (Kd: 3,99-3,16 L kg-1). A pesar de que SE contiene mayor cantidad de arcillas y mayor CIC, en este caso no parece haber una influencia del componente mineral sobre la adsorción de ametrina. El cálculo de Karcillade ametrina es muy diferente para los dos suelos (44,9 L kg-1 para SC y 7,5 L kg-1 para SE) indicando que no puede utilizarse este componente para normalizar los valores de adsorción en diferentes suelos y que otras propiedades del suelo influyen en su afinidad por el adsorbente. Estos resultados pueden estar relacionados con parámetros como el pH, ya que en algunos estudios se ha reportado que la adsorción de compuestos derivados de las s-triazinas, como ametrina, es mayor en suelos de pH ácidos frente a suelos con altos valores de pH [8, 26, 27, 29, 43]. La ametrina es una base débil y un descenso del valor de pH genera protonación de la molécula, aumentando así sus posibilidades de interacción iónica con los componentes de SC. Además, las triazinas, incluida la ametrina, muestran poca afinidad por minerales como la calcita, que es abundante en SE, y el cuarzo [29, 44, 45], mientras que sí presentan afinidad de adsorción por la caolinita, presente en mayor proporción en SC (Tabla 2) ya que este mineral presenta cargas negativas en todo el rango de pH [46].
Estudios previos con atrazina indican que la unión del herbicida no ionizado a minerales como la caolinita es dependiente del valor de pH [44]. Además, esta tendencia ha sido igualmente encontrada por otros autores para ametrina en un estudio sobre 25 suelos de Pakistan y Australia [8] y otras triazinas con los mismos grupos básicos [47]. Los porcentajes de desorción son mayores en SE debido a su menor afinidad en este suelo, un fenómeno que podría estar asociado no sólo al efecto del pH sobre la molécula, sino también sobre el componente mineral del suelo.
| Tabla 4: Parámetros de Freundlich para diurón y ametrina en los suelos de SE y SC | ||||||||
| Suelo Colombia (SC) | Suelo España (SE) | |||||||
| Kfa / Kfd | na / nd | R2 | Kfa / Kfd | na / nd | 2 | |||
| Diurón | Adsorción | 4,56 ± 0,26a | 0,69 ± 0,04 | 0,9970 | 12,82 ± 1,23b | 0,84 ± 0,04 | 0,9978 | |
| Desorción D/3 | 0,74 ± 0,03 | 0,22 ± 0,01 | 0,9966 | 0,50 ± 0,01 | 0,07 ± 0,00 | 0,9858 | ||
| Desorción D/2 | 1,02 ± 0,01 | 0,23 ± 0,01 | 1,0000 | 0,75 ± 0,06 | 0,08 ± 0,01 | 0,9342 | ||
| Desorción D | 1,78 ± 0,08 | 0,26 ± 0,01 | 0,9942 | 1,40 ± 0,05 | 0,09 ± 0,01 | 0,9775 | ||
| Desorción 2D | 2,35 ± 0,04 | 0,25 ± 0,00 | 0,9980 | 2,71 ± 0,10 | 0,13 ± 0,01 | 0,9836 | ||
| Desorción 3D | 3,16 ± 0,07 | 0,26 ± 0,01 | 0,9958 | 3,79 ± 0,14 | 0,11 ± 0,01 | 0,9730 | ||
| Ametrina | Adsorción | a | 0,85 ± 0,03 | 0,9989 | 3,05 ± 0,08b | 0,91 ± 0,04 | 0,9983 | |
| Desorción D/3 | 0,71 ± 0,17 | 0,14 ± 0,06 | 0,8095 | 0,77 ± 0,04 | 0,34 ± 0,01 | 0,9964 | ||
| Desorción D/2 | 0,97 ± 0,18 | 0,15 ± 0,05 | 0,8492 | 1,15 ± 0,08 | 0,43 ± 0,02 | 0,9943 | ||
| Desorción D | 1,60 ± 0,27 | 0,13 ± 0,06 | 0,7899 | 1,64 ± 0,02 | 0,42 ± 0,00 | 0,9995 | ||
| Desorción 2D | 2,96 ± 0,32 | 0,21 ± 0,05 | 0,9076 | 2,14 ± 0,09 | 0,33 ± 0,03 | 0,9876 | ||
| Desorción 3D | 4,25 ± 0,28 | 0,26 ± 0,04 | 0,9593 | 2,83 ± 0,03 | 0,36 ± 0,01 | 0,9990 | ||
| Valores con diferente letra (a-b) indican que las constantes de cada suelo son estadísticamente diferentes | ||||||||
Las isotermas de adsorción-desorción fueron empleadas para evaluar cuantitativamente las interacciones de los herbicidas con ambos suelos. Las isotermas se encuentran representadas en la Figura 2 y los parámetros del ajuste a la ecuación de Freundlich se encuentran en la Tabla 4. El ajuste a la ecuación para describir la adsorción fue bueno para ambos suelos y herbicidas con valores de R2 superiores a 0,99 en todos los casos. Los valores de na inferiores a 1 muestran que no son fenómenos lineales, sino que la capacidad de adsorción disminuye a medida que aumenta la concentración (isotermas tipo L). Este resultado está de acuerdo con mayores valores de Kd (Tabla 3) para las concentraciones más pequeñas de los herbicidas.
Para diurón, el valor de na fue de 0,69 ± 0,04 mostrando la menor tendencia lineal en SC. Los valores de Kfaencontrados, muestran que la adsorción en el suelo SE es cuatro veces mayor que en SC, relacionado como hemos visto con su mayor contenido de arcillas, MO y la presencia de montmorillonitas. Cuando se examinan las isotermas de desorción, se obtiene igualmente un buen ajuste a la ecuación de Freundlich. Los valores de nd varían entre 0,26-0,23, con un valor promedio de 0,25 para SC y entre 0,07-0,13 para SE con un valor promedio de 0,10. A partir de los valores promedio de los nd obtenidos, se puede calcular el índice de histéresis H= 0,35 para SC y H= 0,11 para SE mostrando una gran irreversibilidad del proceso de adsorción de diurón en ambos suelos, especialmente en el suelo de España. Esto podría explicarse no solo por un mayor número de interacciones (tipo Van der Waals y puentes de hidrógeno) entre el herbicida y SE, sino por otros mecanismos de adsorción menos reversibles como la lenta difusión de la molécula entre los componentes minerales, especialmente montmorillonita presente en este suelo [32, 33] o los microporos de la materia orgánica [34].
Los valores de Kfapara ametrina fueron 6,47 ± 0,25 y 3,05 ± 0,08 para SC y SE respectivamente, acorde con un mayor valor de pH en SC. Cuando se evalúa la desorción, se observan valores de nd más pequeños (promedio nd = 0,18) en SC mostrando menor reversibilidad de la adsorción con H = 0,21 frente a un valor de H = 0,45 para SE. Probablemente una menor irreversibilidad puede explicarse en SE a partir de su valor de pH = 8 (Tabla 2). A este valor de pH los minerales del suelo están cargados negativamente y existirá repulsión con las moléculas de ametrina cuyo principal mecanismo de unión al suelo son las interacciones electrostáticas (pka = 4,1) lo que genera una repulsión entre cargas que hace más eficiente el proceso de desorción en este suelo que en SC [43]. También puede ser explicado por su alto porcentaje de calcita que tiene baja afinidad por ametrina [29, 27].
Conclusiones
Los resultados muestran que diurón se adsorbe con mayor fortaleza en el suelo de España y el suelo de Colombia es más fácilmente saturable con la molécula en el rango de concentraciones estudiadas. Al evaluar la desorción, se logró evidenciar que las interacciones en SC son más débiles y son más fácilmente removibles por las aguas de lluvia en SC. Acorde con estos resultados, el ajuste de las isotermas de Freundlich y la evaluación del fenómeno de histéresis indican un mayor riesgo de contaminación en el suelo tropical evaluado. Para ametrina, se encontró un comportamiento inverso ya que la adsorción-desorción de este herbicida está altamente influenciada por el pH del suelo, siendo más adsorbida y presentando mayor histéresis a pH ácido, lo que reduce el riesgo de lixiviación en el suelo tropical. Sin embargo, para poder concluir sobre el riesgo de contaminación es necesario evaluar también la degradación de estos compuestos, ya que esto determina también su movilidad en suelos.
Agradecimientos
Los autores agradecen a la Fundación para la Promoción de la Investigación y la Tecnología del Banco de la Republica por la financiación de este proyecto con código HERMES 36916 de la Universidad Nacional de Colombia.
Referencias
[1] S. Foster, "The Ninth Ineson Lecture: Assessing and Controlling the Impacts of Agriculture on Groundwater--from Barley Barons to Beef Bans", Quarterly Journal of Engineering Geology and Hydrogeology, vol. 33, no. 4, pp. 263-280, 2000. DOI: https://doi.org/10.1144/qjegh.33.4.263.
[2] M. Severino and P. Silva, "Taxa de degradação de ametrina em quatro solos brasileiros: indicativo do comportamento ambiental", Revista Brasileira de Ciência do Solo, vol. 36, no. 3, pp. 1023-1030, 2012. DOI: https://doi.org/10.1590/s0100-06832012000300032.
[3] PPDB, "Footprint agricultural substances databases: background and support information. University of Hertfordshire", Sitem.herts.ac.uk, 2018. [Online]. Available: https://sitem.herts.ac.uk/aeru/iupac/docs/5_1.pdf. [Accessed: 30- Jan- 2018].
[4] ARS Pesticide Properties – U.S. Department of Agruculture, [Online]. Disponible en: https://www.ars.usda.gov/ARSUserFiles/00000000/DatabaseFiles/PesticidePropertiesDatabase/IndividualPesticideFiles/DIURON.TXT,https://www.ars.usda.gov/ARSUserFiles/00000000/DatabaseFiles/PesticidePropertiesDatabase/IndividualPesticideFiles/AMETRYN.TXT. 2018 (Consultado el 01 de febrero de 2018)
[5] J. Liyanage, R. Watawala, A. Aravinna, L. Smith and R. Kookana, "Sorption of Carbofuran and Diuron Pesticides in 43 Tropical Soils of Sri Lanka", Journal of Agricultural and Food Chemistry, vol. 54, no. 5, pp. 1784-1791, 2006. DOI: https://doi.org/10.1021/jf052021o.
[6] J. Beltrán, F. Hernández, I. Morell, “Estudios de Adsorción de plaguicidas en suelos mediante experiencias en Batch. Avances en la Investigación en Zona no Saturada”. Avances en la Investigacion de la Zona No Saturada. Gonzalo JM and Antiguedad I (eds), pp: 257-268. 1995.
[7] R. Ahmad, R. Kookana and A. Alston, “Sorption of ametryn and imazethapyr in twenty-five soils from Pakistan and Australia” Journal of Environmental Science and Health, Part B, vol. 36, no. 2, pp. 143-160, 2001. DOI: http://www.tandfonline.com/doi/abs/10.1081/PFC-100103740.
[8] F. Sanchez-Bayo and R.V Hyne, “Comparison of environmental risks of pesticides between tropical and nontropical regions”. Integrated Environmental Assessment and Management. vol. 7, no. 4, pp. 577-586, 2011. DOI: https://doi.org/10.1002/ieam.189.
[9] D. Werner, J. Garratt and G. Pigott, "Sorption of 2,4-D and other phenoxy herbicides to soil, organic matter, and minerals", Journal of Soils and Sediments, vol. 13, no. 1, pp. 129-139, 2012. DOI: https://doi.org/10.1007/s11368-012-0589-7.
[10] S. Lewis, D. Silburn, R. Kookana and M. Shaw, "Pesticide Behavior, Fate, and Effects in the Tropics: An Overview of the Current State of Knowledge", Journal of Agricultural and Food Chemistry, vol. 64, no. 20, pp. 3917-3924, 2016. DOI: https://doi.org/10.1021/acs.jafc.6b01320.
[11] W. Ahrens and M. Edwards, Herbicide handbook. Champaign, Ill.: Weed Science Society of America, 1994; pp. 136.
[12] US-EPA, US EPA Office of Pesticide Programs, Health Effects Division, Tox Oneliners, EPA chem code 035505 - Diuron. 1999 [Consultado en Marzo de 2018]
[13] J. J. Hasset, , W L..Banwart, , R. A. Griffin, “Correlation of compound properties with sorption characterisics of non-polar compounds by soils and sediments: concepts and limitations” Environment and soil wastes, pp.:161-178. 1983
[14] R. Calvet, "Adsorption of Organic Chemicals in Soils", Environmental Health Perspectives, vol. 83, p. 145, 1989. DOI: https://doi.org/10.2307/3430653.
[15] D. Oliver, R. Kookana and B. Quintana, "Sorption of Pesticides in Tropical and Temperate Soils from Australia and the Philippines", Journal of Agricultural and Food Chemistry, vol. 53, no. 16, pp. 6420-6425, 2005. DOI: https://doi.org/10.1021/jf050293l
[16] K. Djebbar, A. Zertal, N. Debbache and T. Sehili, "Comparison of Diuron degradation by direct UV photolysis and advanced oxidation processes", Journal of Environmental Management, vol. 88, no. 4, pp. 1505-1512, 2008. DOI: https://doi.org/10.1016/j.jenvman.2007.07.034.
[17] M.H. Inoue, R. S. De Oliveira, J. Constantin, D.G. Alonso, D.C. De Santana, “Leaching potential and degradation of diuron in two soils of contrasting texture” Acta Scientiarum-Agronomy., vol. 30, pp. 631–638, 2008.
[18] Feng, Z. Zheng, J. Luan, J. Zhang and L. Wang, "Degradation of diuron in aqueous solution by ozonation", Journal of Environmental Science and Health, Part B, vol. 43, no. 7, pp. 576-587, 2008. DOI: https://doi.org/10.1080/03601230802234450.
[19] A. Imache, A. Dahchour, B. Elamrani, S. Dousset, F. Pozzonni and L. Guzzella, "Leaching of Diuron, Linuron and their main metabolites in undisturbed field lysimeters", Journal of Environmental Science and Health, Part B, vol. 44, no. 1, pp. 31-37, 2008. DOI: https://doi.org/10.1080/03601230802519579.
[20] Lamoree, C. Swart, A. van der Horst and B. van Hattum, "Determination of diuron and the antifouling paint biocide Irgarol 1051 in Dutch marinas and coastal waters", Journal of Chromatography A, vol. 970, no. 1-2, pp. 183-190, 2002. DOI: https://doi.org/10.1016/s0021-9673(02)00878-6.
[21] IFEN The French Institute of the Environment, “Les pesticides dans les eaux”, 6ème annuel, 2002.
[22] UK-EPA, “Pesticides 2002: A summary of monitoring of the aquatic environment in England and Wales”, Environment Agency. [online]. Available on: http://webarchive.nationalarchives.gov.uk/20070114093545/http://www.environment-agency.gov.uk/ [consultado el 20 de abril de 2018]
[23] Y. El-Nahhal and N. Hamdona, "Adsorption, leaching and phytotoxicity of some herbicides as single and mixtures to some crops", Journal of the Association of Arab Universities for Basic and Applied Sciences, vol. 22, no. 1, pp. 17-25, 2017. DOI: https://doi.org/10.1016/j.jaubas.2016.01.001.
[24] Y. Liu, L. Ma, Y. Lu, S. Jiang, H. Wu and H. Yang, "Comprehensive analysis of degradation and accumulation of ametryn in soils and in wheat, maize, ryegrass and alfalfa plants", Ecotoxicology and Environmental Safety, vol. 140, pp. 264-270, 2017. DOI: https://doi.org/10.1016/j.ecoenv.2017.02.053.
[25] C. Sandoval-Carrasco, D. Ahuatzi-Chacón, J. Galíndez-Mayer, N. Ruiz-Ordaz, C. Juárez-Ramírez and F. Martínez-Jerónimo, "Biodegradation of a mixture of the herbicides ametryn, and 2,4-dichlorophenoxyacetic acid (2,4-D) in a compartmentalized biofilm reactor", Bioresource Technology, vol. 145, pp. 33-36, 2013. DOI: https://doi.org/10.1016/j.biortech.2013.02.068.
[26] L. Liu, H. Cibes-Viadé, F. Koo, “Adsorption of Ametryne and Diuron by Soils”, Weed Science, vol. 18(4), pp. 470-474. 1970. DOI: https://doi.org/10.1017/S0043174500078474.
[27] Szewczyk, A. Kuśmierska and P. Bernat, "Ametryn removal by Metarhizium brunneum: Biodegradation pathway proposal and metabolic background revealed", Chemosphere, vol. 190, pp. 174-183, 2018. DOI: https://doi.org/10.1016/j.chemosphere.2017.10.011.
[28] Departamento Nacional de Estadística & Instituto Geográfico Agustín Codazzi (IGAC), Métodos analíticos del Laboratorio de Suelos. Bogotá: Imprenta Nacional de Colombia. 2006.
[29] S. Stipičević, L. Sekovanić and V. Drevenkar, "Ability of natural, acid-activated, and surfactant-modified Terra Rossa soils to sorb triazine herbicides and their degradation products", Applied Clay Science, vol. 88-89, pp. 56-62, 2014. DOI: https://doi.org/10.1016/j.clay.2013.12.017.
[30] P. Rocha, A. Faria, G. Silva, M. Queiroz, F. Guimarães, S. Tironi, L. Galon and A. Silva, "Meia-vida do diuron em solos com diferentes atributos físicos e químicos", Ciência Rural, vol. 43, no. 11, pp. 1961-1966, 2013. DOI: https://doi.org/10.1590/s0103-84782013001100007.
[31] Jaramillo, D, Introducción a la Ciencia del suelo. Medellín, Colombia: Universidad Nacional de Colombia, Facultad de Ciencias,. pp. 322; 2002.
[32] Pignatello and B. Xing, "Mechanisms of Slow Sorption of Organic Chemicals to Natural Particles", Environmental Science & Technology, vol. 30, no. 1, pp. 1-11, 1996. DOI: https://doi.org/10.1021/es940683g.
[33] L. de Jonge, H. de Jonge, P. Moldrup, O. Jacobsen and B. Christensen, "Sorption of Prochloraz on Primary Soil Organomineral Size Separates", Journal of Environment Quality, vol. 29, no. 1, p. 206, 2000. DOI: https://doi.org/10.2134/jeq2000.00472425002900010026x.
[34] X. Yu, G. Ying and R. Kookana, "Sorption and Desorption Behaviors of Diuron in Soils Amended with Charcoal", Journal of Agricultural and Food Chemistry, vol. 54, no. 22, pp. 8545-8550, 2006. DOI: https://doi.org/10.1021/jf061354y.
[35] . Smernik and R. Kookana, "The effects of organic matter–mineral interactions and organic matter chemistry on diuron sorption across a diverse range of soils", Chemosphere, vol. 119, pp. 99-104, 2015. DOI: https://doi.org/10.1016/j.chemosphere.2014.05.066.
[36] [11]A. Ahangar, R. Smernik, R. Kookana and D. Chittleborough, "Clear effects of soil organic matter chemistry, as determined by NMR spectroscopy, on the sorption of diuron", Chemosphere, vol. 70, no. 7, pp. 1153-1160, 2008. DOI: https://doi.org/10.2495/etox080341.
[37] R. Schwarzenbach, P. Gschwend and D. Imboden, Environmental organic chemistry. New York: Wiley-In-terscience, pp. 1401-1409, 1993.
[38] Y. Gao, W. Xiong, W. Ling, X. Wang and Q. Li, "Impact of exotic and inherent dissolved organic matter on sorption of phenanthrene by soils", Journal of Hazardous Materials, vol. 140, no. 1-2, pp. 138-144, 2007. DOI: https://doi.org/10.1016/j.jhazmat.2006.06.053.
[39] J. Regitano, F. Prata, N. Dias, A. Lavorenti and V. Tornisielo, "Sorção-dessorção do fungicida clorotalonil em solos com diferentes teores de matéria orgânica", Revista Brasileira de Ciência do Solo, vol. 26, no. 1, pp. 267-274, 2002. DOI: https://doi.org/10.1590/s0100-06832002000100028.
[40] M. Rubio-Bellido, E. Morillo and J. Villaverde, "Effect of addition of HPBCD on diuron adsorption–desorption, transport and mineralization in soils with different properties", Geoderma, vol. 265, pp. 196-203, 2016. DOI: https://doi.org/10.1016/j.geoderma.2015.11.022.
[41] N. P. Qafoku, E. Van Ranst, A. Noble, G. Baert, “Variable charge soils: their mineralogy, chemistry and management”, Advances in Agronomy. vol. 84, pp. 159-215, 2004. DOI: https://doi.org/10.1016/S0065-2113(04)84004-5.
[42] A. Cabrera, L. Cox, P.Velarde, W. Koskinen and J. Cornejo, “Fate of diuron and terbuthylazine in soils amended with two-phase olive oil mill waste”, Journal of Agricultural and Food Chemistry, vol. 55, no. 12, pp. 4828-4834, 2007. DOI: https://doi.org/10.1021/jf070525b.
[43] S. Shattar, N. Zakaria and K. Foo, "Utilization of montmorillonite as a refining solution for the treatment of ametryn, a second generation of pesticide", Journal of Environmental Chemical Engineering, vol. 5, no. 4, pp. 3235-3242, 2017. DOI: https://doi.org/10.1016/j.jece.2017.06.031.
[44] L. Clausen, I. Fabricius and L. Madsen, "Adsorption of Pesticides onto Quartz, Calcite, Kaolinite, and α-Alumina", Journal of Environment Quality, vol. 30, no. 3, p. 846, 2001. DOI: https://doi.org/10.2134/jeq2001.303846x.
[45] G. Kasozi, P. Nkedi-Kizza, Y. Li and A. Zimmerman, "Sorption of atrazine and ametryn by carbonatic and non-carbonatic soils of varied origin", Environmental Pollution, vol. 169, pp. 12-19, 2012. DOI: https://doi.org/10.1016/j.envpol.2012.05.002.
[46] L. Cáceres-Jensen, J. Rodríguez-Becerra, J. Parra-Rivero, M. Escudey, L. Barrientos and V. Castro-Castillo, "Sorption kinetics of diuron on volcanic ash derived soils", Journal of Hazardous Materials, vol. 261, pp. 602-613, 2013. DOI: https://doi.org/10.1016/j.jhazmat.2013.07.073.
[47] C. Seybold, K. McSweeney and B. Lowery, "Atrazine Adsorption in Sandy Soils of Wisconsin", Journal of Environment Quality, vol. 23, no. 6, p. 1291, 1994. DOI: https://doi.org/10.2134/jeq1994.00472425002300060024x.
Notas de autor
mjmartinezc@unal.edu.co