Aplicada y analítica
Desarrollo de un material de referencia certificado para análisis elemental de agua potable
Development of a certified reference material for elemental analysis of drinking water
Desenvolvimento de um material de referência certificado para análise elementar de água potável
Desarrollo de un material de referencia certificado para análisis elemental de agua potable
Revista Colombiana de Química, vol. 48, núm. 3, pp. 36-44, 2019
Universidad Nacional de Colombia
Recepción: 25 Marzo 2019
Aprobación: 30 Septiembre 2019
Resumen: La producción de un material de referencia (MR) es un proceso en el que se realizan estudios relacionados con la preparación, envasado y caracterización (incluye homogeneidad y estabilidad). En este trabajo se presentan los resultados del desarrollo de un MR de agua potable. El envasado se realiza aplicando dos procedimientos (envasado convencional e inmersión). La caracterización se realizó por Absorción Atómica, ICPMS y Cromatografía iónica. La evaluación de homogeneidad del material se realizó para Na, Mg, Ca, Fe, K, Co, Pb, Mo, As, Ni, Se, Cu, Al, Cr Zn y aniones como NO3- y Cl-. La estabilidad se evaluó a corto (condiciones aceleradas) y largo plazo por ICPMS y CI, además se realizó seguimiento gravimétrico. La homogeneidad y estabilidad se evaluaron con base en su incertidumbre. La incertidumbre asociada a la homogeneidad y estabilidad MR evidenció resultados aceptables para la mayoría de los analitos. Los resultados del seguimiento gravimétrico permitieron detectar pérdidas de masa del material por lo que se planteó un nuevo esquema para evaluar la estabilidad a través de métodos gravimétricos. Finalmente, se encontró que el MR presenta incertidumbres expandidas entre el 0,93% y el 4,38%, siendo apto para el uso previsto.
Palabras clave: incertidumbre de medición, materiales de referencia, trazabilidad metrológica.
Abstract: The production of reference materials (RM) is a process that involves carrying out different studies related to the preparation, packaging and chemical stability of the analytes. This paper presents the results of the development of a drinking water RM. Packaging is done by applying two procedures (conventional packaging and immersion). The characterization of this material was carried out through atomic absorption, ICPMS and ion chromatography. The assessment of the homogeneity of the material was carried out for Na, Mg, Ca, Fe, K, Co, Pb, Mo, As, Ni, Se, Cu, Al, Cr Zn and anions as NO3- and Cl-. The stability studies were evaluated in the short term (accelerated conditions) and long term by ICPMS and IC, and gravimetric monitoring was also performed. Homogeneity and stability were evaluated based on their uncertainty. The uncertainty associated with homogeneity and MR stability evidenced acceptable results for most analytes. The results of the gravimetric monitoring allowed to detect losses of mass of the material reason why a new scheme was proposed to evaluate the stability through gravimetric methods. Finally, it was found that the RM presents expanded uncertainties between 0,93% and 4,38%, which makes it suitable for the intended use.
Keywords: measurement uncertainty, reference materials, metrological traceability.
Resumo: Este artigo apresenta os resultados do desenvolvimento de um MR de água potável. A embalagem é feita aplicando dois procedimentos (embalagem convencional e imersão). A caracterização foi realizada por Absorção Atômica, ICPMS e Cromatografia Iônica. A avaliação da homogeneidade do material foi realizada para Na, Mg, Ca, Fe, K, Co, Pb, Mo, As, Ni, Se, Cu, Al, Cr Zn e ânions como NO3- y Cl-. A estabilidade foi avaliada em curto prazo (condições aceleradas) e em longo prazo pelo ICPMS e IC, e também foi realizada monitoração gravimétrica. A homogeneidade e estabilidade foram avaliadas com base na incerteza. A incerteza associada à homogeneidade e estabilidade da RM evidenciou resultados aceitáveis para a maioria dos analitos. Os resultados do monitoramento gravimétrico permitiram detectar perdas de massa do material, pelo que foi proposto um novo esquema para avaliar a estabilidade por métodos gravimétricos. Por fim, verificou-se que o RM apresenta incertezas expandidas entre 0,93% e 4,38%, sendo adequado para o uso pretendido.
Palavras-chave: incerteza de medição, materiais de referência, rastreabilidade metrológica.
Introducción
A nivel mundial se ha reconocido que el acceso al agua potable permite satisfacer las necesidades fundamentales de la población y que la calidad de esta no sólo garantiza la seguridad de la población sino también el desarrollo de la economía de los países [1]. En ese sentido, la comunidad científica ha desarrollado durante el último siglo un amplio número de métodos de medición que permiten evaluar diferentes parámetros de calidad del agua potable, los cuales se pueden asociar a problemas nutricionales, ambientales, toxicológicos, entre otros [2]. Sin embargo, a pesar del gran número de métodos existentes, la comunidad científica sigue investigando todo lo relacionado con la medición de parámetros de calidad en agua potable, por lo cual, se encuentran recientes publicaciones sobre plaguicidas [3], b-agonistas [4], antiobióticos [5], elementos tóxicos [6], microorganismos [7], entre otros.
Todos estos métodos tienen en común que se desarrollan mediante instrumentación de última generación, como por ejemplo, el uso de sistemas de ultrafiltración acoplados a técnicas de biología molécular o técnicas cromatográficas acopladas a espectrometría de masas. No obstante, la aplicación de este tipo de metodologías no conlleva necesariamente a resultados satisfactorios [8, 9], razón por la cual, en las últimas décadas se ha prestado especial atención a todo lo que concierne a la armonización de métodos y al desarrollo de referencias que permitan establecer cadenas de trazabilidad metrológica u obtener comparabilidad y validez de los resultados. En este proceso se ha identificado que el uso de materiales de referencia certificados (MRC) juega un papel de gran importancia en el desarrollo de mediciones y en la obtención de resultados de calidad [10].
Dado lo anterior, y teniendo en cuenta la importancia que tienen los MR para demostrar la competencia técnica de los laboratorios, diversos institutos nacionales de metrología han desarrollado diferentes MRC de agua, tales como: AQUA-1, producido por National Research Council Canada (NRC); SRM 1640a y SRM 1643f, producidos por National Institute of Standard of Technology (NIST); CRM 7203-a, producido por National Metrology Institute of Japon (NMIJ); entre otros. Estos son materiales de referencia acorde con las necesidades nacionales de cada país [11, 12].
La producción de un MR es un proceso de varias etapas: i) planeación de la producción, ii) preparación, iii) estudio de homogeneidad, iv) estudio de estabilidad, v) caracterización y vi) asignación del valor [13]. La primera etapa resulta esencial, pues a través de esta se evalúa la factibilidad técnica de la producción de un material de referencia [13]. La preparación del material se realiza considerando la cantidad a producir, la presentación del material original y el uso previsto del mismo [13]. El estudio de homogeneidad tiene como objetivo evaluar el proceso de preparación y envasado del material. El estudio de estabilidad pretende determinar el tiempo de vida útil y los efectos asociados a la posible exposición del material en condiciones extremas, lo cual puede ocurrir en un proceso de transporte [14]. La caracterización del material de referencia es el proceso de medición de las propiedades a certificar y, finalmente, la asignación del valor es la etapa que permite obtener el valor de la propiedad [15, 16].
En este contexto se desarrolló un material de referencia certificado de agua potable, preparado de manera sintética, simulando la composición del agua a niveles cercanos a los establecidos en la resolución 2115 de 2007 [17]. Así pues, en este artículo se presentan los resultados obtenidos en algunas de las etapas de producción de este material de referencia certificado, en la cuales se incluye la preparación, la evaluación de homogeneidad, el estudio de estabilidad y los valores asignados a las propiedades a certificar.
Materiales y métodos
Instrumentos y reactivos
Se empleó un plasma acoplado inductivamente con detector de espectrometría de masas (ICP-MS) NexION 300D ICP-MS (Perkin Elmer). El instrumento cuenta con un automuestreador AS 10 (Perkin Elmer, EU). El plasma se generó empleando una potencia de 1600 W, un flujo de Argón de 15 L/min, un flujo de gas auxiliar de 1,2 L/min y un flujo de gas de nebulización de 0,52 L/min. Se utilizó una cámara ciclónica de cuarzo, un nebulizador tipo Meinhard y sistema de conos de níquel. La posición de la antorcha, el flujo de gases, la potencia del plasma y los voltajes de deflexión fueron optimizados diariamente a través de una solución de sintonización (1 µg/kg de Be, In, U y Ce).
Se usó un espectrómetro de absorción atómica PinAAcle 900T (Perkin Elmer). La medición de Na, K, Mg, Fe y Zn se realizó mediante el modo llama (AA), empleando la mezcla de combustión aire / acetileno. La medición de Ca en modo llama se realizó con la mezcla óxido nitroso / acetileno. El paso óptico para la medición correspondió a 10 y 5 cm para el caso de Ca. La medición de Pb, Cd, Ni, Cr, Al, Mo y As se hizo mediante el modo horno de grafito (GFAA), para lo cual se empleó un Auto-muestreador AS900. El GFAA cuenta con atomizador transversal con plataforma. Se empleó Mg(NO3)2 como modificador de matriz. El equipo se operó a través del software Syngistix AA.
Para la medición de los aniones por cromatografía iónica se utilizó un cromatógrafo iónico capilar Thermo Scientific-Dionex ICS 5000+ equipado con una bomba isocrática Dionex ICS 5000+ DP-5, un supresor en modo de recirculación externo y un detector de conductividad a 35 °C. Se introdujeron 0,4 uL de la muestra. La columna capilar empleada fue una IonPacTM Dionex AS19 (250 mm × 0,4 mm). El flujo de fase móvil fue de 0,01 mL/min. Se realizó una rampa de concentración del eluente (KOH) en un intervalo de 7 mM a 30 mM. El software usado para la operación del sistema y el análisis de datos fue Chromeleon V 7.2 SR4.
Lavado de contenedores
Se utilizaron botellas de polietileno de alta densidad marca Nalgene (Thermo Scientific, EU). Las botellas fueron sumergidas en jabón libre de fosfatos durante dos días y luego enjuagadas con agua tipo dos, posteriormente, se sumergieron en ácido clorhídrico 5% (p/p) durante cinco días, se enjuagaron con agua tipo uno y se repitió el mismo procedimiento con ácido nítrico 10% (p/p). Finalmente, las botellas fueron enjuagadas con agua tipo uno (18MΩ) y se dispusieron en una cabina de flujo laminar hasta el momento del envasado.
Obtención del candidato a material de referencia
Se partió de agua potable comercial, la cual fue fortificada con algunos de los elementos de interés, pues en algunos casos (sodio y nitratos) se encontraban de manera natural. Esta fortificación se realizó empleando materiales de referencia certificados y sales inorgánicas de alta pureza. La fortificación se llevó a cabo de manera gravimétrica mediante el empleo de una balanza Mettler Toledo XPE-204 (resolución 0,1 mg) y una báscula Mettler Toledo KCC-150 (resolución 0,001 kg). La Tabla 1 muestra las concentraciones esperadas.
| Analito | Concentración de fortificación (µg/kg) | Analito | Concentración de fortificación (µg/kg) |
| Ca | 1993,50 | Cr | 9,75 |
| Mg | 1001,88 | Ni | 9,76 |
| Zn | 512,76 | Pb | 9,78 |
| Al | 90,32 | Se | 9,23 |
| PO4 | 205,67 | Mo | 10,13 |
| As | 9,20 | Fe | 89,02 |
| Cd | 9,77 | NO3- | 50,80 |
| Cu | 9,79 | F- | 239,13 |
Concentraciones gravimétricas estimadas de los analitos.
La preparación del material candidato se realizó en un recipiente de polietileno de alta densidad previamente lavado. El agua fortificada se acidificó con H2SO4 de alta pureza hasta alcanzar pH 1,6 y, mediante un agitador orbital, se mantuvo en constante movimiento durante una semana; finalmente, se pasó por un sistema de filtración que contaba con una membrana de PTFE de 0,45 µm. Una vez filtrado el material, se dejó un día adicional en agitación.
Envasado del material candidato
Se emplearon dos diferentes procedimientos para el envasado del material, a continuación, se describe cada uno.
Envasado convencional
Para este tipo de envasado, se vinculó un dispensador mecánico al recipiente en el cual se encontraba el material candidato. Posteriormente, se llenó cada una de las botellas que se encontraban previamente lavadas y se realizó un control gravimétrico para garantizar que la cantidad en todas las botellas fuera la adecuada.
Envasado por inmersión
Para este tipo de envasado, se sumergieron cada una de las botellas dentro del candidato de material de referencia, garantizando que todo el líquido desplazara el aire de las botellas y las cubriera completamente. Posteriormente, se tapó el recipiente contenedor y se dispuso en un agitador orbital durante 3 días. Transcurrido ese tiempo, en una cabina de flujo laminar, se destapó el recipiente y se retiraron las botellas, las cuales fueron tapadas inmediatamente.
Para los dos casos de envasado, cada unidad de material fue sellada con una cinta alrededor de la tapa y cuerpo de la botella, se empacó al vacío en bolsas de polietileno de baja densidad y, finalmente, se colocó en una bolsa aluminizada con cierre hermético.
Estudio de homogeneidad
Doce botellas fueron seleccionas mediante un muestreo aleatorio estratificado [18]. El análisis de homogeneidad se hizo mediante ICP-MS (cationes) y CI (aniones) a través de la obtención de las respuestas instrumentales relativas al estándar interno. La incertidumbre asociada a la heterogeneidad del material (uhom) se puede expresar mediante la Ec. (1) [15].

Donde ubb corresponde a la incertidumbre debida a la variación entre unidades y uwb corresponde a la incertidumbre asociada a la variación dentro de la unidad. Los aportes a la incertidumbre por ubb y uwb se estimaron a través de un análisis de varianza (ANOVA). Se hicieron quince mediciones aleatorizadas por cada botella.
Estudio de estabilidad (corto y largo plazo)
Se realizó el estudio de estabilidad a corto y largo plazo, a través de diseños isócronos, en el cual se empleó una temperatura de referencia de -20 °C (ver ISO 35). Las muestras fueron seleccionadas de manera aleatoria. El estudio a corto plazo consistió en llevar las botellas a una cámara climática (Daihan Scientific, referencia STH-E800), la cual operó a 40 ºC y 80% de humedad relativa. La duración del estudio correspondió a un mes, en el cual se tomaron dos botellas cada cinco días. El estudio a largo plazo consistió en sacar las muestras mensualmente durante 18 meses y almacenarlas a la temperatura de referencia. Cuando se tuvieron todas las muestras de cada uno de los estudios, se dejó que estas alcanzaran una temperatura ambiente, para luego medirse en condiciones de repetibilidad mediante ICP-MS y CI.
Estudio de transpiración
Para los estudios de transpiración se emplearon las botellas Nalgene™ de polietileno de alta densidad, se llenaron con agua potable y se sellaron con cinta adhesiva. El monitoreo fue realizado por pérdida de masa mes a mes, durante 16 meses en una balanza Mettler Toledo XPE-204 (resolución 0,1 mg). Las condiciones en las cuales se hizo el estudio estuvieron dadas por el ambiente: entre los 17,4 a 31,4 ºC y 25,3 a 70,4 % de humedad relativa.
Caracterización y asignación de valor
Para la caracterización de la propiedad a certificar se empleó la aproximación de diferentes técnicas analíticas [1]. Para esto, se realizaron como mínimo siete mediciones con cada una de las técnicas en condiciones de repetibilidad (se usó una botella diferente para cada técnica). Lo anterior se repitió 4 veces más en diferentes días y con diferentes calibraciones analíticas. La Tabla 2 muestra las diferentes técnicas empleadas para la caracterización del material.
| Analito | Absorción atómica- llama | Absorción atómica- horno de grafito | Cromatografía iónica | ICPMS |
| Mg | X | X | ||
| Na | X | X | X | |
| K | X | X | X | |
| Ca | X | X | X | |
| Zn | X | X | ||
| Fe | X | X | ||
| Pb | X | X | ||
| Cd | X | X | ||
| Cu | X | X | ||
| Cr | X | X | ||
| Co | X | X | ||
| Mo | X | X | ||
| As | X | X | ||
| Ni | X | X | ||
| Se | X | |||
| Al | X | |||
| Cl- | X | |||
| NO3- | X |
Técnicas empleadas para la caracterización del material.
Una vez se obtuvieron los resultados de cuantificación mediante cada una de las técnicas, se realizó la combinación del valor y estimación de incertidumbre acorde a las recomendaciones de Levenson [19].
Análisis de datos
El análisis estadístico y las estimaciones de incertidumbre se obtuvieron a través del programa estadístico R (v 3.2.5). La combinación de la incertidumbre se realizó mediante el método de Montecarlo, empleando 100 000 iteraciones a través del paquete “Propagate” [20].
Resultados y discusión
Cuantificación preliminar
Una vez envasados cada uno de los lotes (preparación convencional y preparación por inmersión), se realizó una cuantificación preliminar, la cual tenía como objetivo determinar la concentración aproximada de cada uno de los analitos que se deseaba certificar. Esta cuantificación se hizo a través de ICPMS, empleando calibración externa (gravimétrica). En la Tabla 3 se presentan algunos de los resultados de esta cuantificación.

Resultados de la cuantificación preliminar.
Al comparar los resultados de la Tabla 1 y la Tabla 3 se encuentra que existen diferencias, las cuales se atribuyen a la cantidad de cada analito que se encuentra de manera natural en el agua, por ejemplo, Mg, Al y Ca. De igual manera, la Tabla 3 muestra que analitos como Cd, As, Co y Pb no presentan mayor diferencia respecto a la preparación gravimétrica (Tabla 1). A partir de esta concentración aproximada, se procedió a determinar la mejor dilución de la muestra para realizar los estudios de homogeneidad y estabilidad y la cuantificación mediante las diferentes técnicas (CI, AA e ICPMS).
Análisis de tendencias y evaluación de la homogeneidad
Con el propósito de detectar posibles problemas en el envasado y/o medición, y dado que el material se produjo como un lote de varias unidades, es necesario realizar un análisis de tendencias. Las Figuras 1 y 2 muestran los gráficos de análisis de tendencia de envasado y de medición para algunos analitos, los cuales representan los siguientes grupos: i) elementos mayores (Na, Mg, Ca, K), ii) elementos menores (Pb, Cd, As, Co, Cu, entre otros) y iii) aniones (NO3- y Cl-).

Análisis de tendencia de envasado para Na, Mg, As, Cd, NO3- y Cl-.

Análisis de tendencia de medición para Na, Mg, As, Cd, NO3- y Cl-.
Los resultados de la Figura 1 muestran que aparentemente no se presenta ningún comportamiento sistemático que indique la existencia de contaminación o deriva en el proceso de envasado. De igual manera, la Figura 2 muestra que no se tiene ninguna tendencia en la medición. Lo anterior se atribuye a que en la medición se emplearon diferentes estándares internos, los cuales permiten reducir una posible deriva en las mediciones.
Con el propósito de realizar un análisis objetivo de los resultados, se empleó un modelo de regresión lineal (y= ax+b), el cual fue evaluado mediante ANOVA, encontrándose que en ninguno de los casos es significativo (α=0,05). La Figura 3 muestra el promedio de los coeficientes de determinación obtenidos para los tres grupos de analitos.

Coeficientes de determinación (R2)- Análisis de tendencias envasado y medición.
La Figura 3 muestra que el promedio de los coeficientes de determinación (R2) son muy bajos para los tres grupos de analitos. Los bajos coeficientes de determinación y los resultados del ANOVA indican que, para el envasado mediante este procedimiento, no se genera ningún tipo de contaminación o problema asociado. Por su parte, aunque el promedio de los R2 de medición es un poco mayor respecto al de envasado, se tiene que en ningún caso el modelo de regresión es significativo. Así, se puede concluir que este efecto es despreciable.
Las Figuras 1 y 2 evidencian que, para el caso específico de NO3-, se presenta un problema de dispersión de los resultados. En ninguna de estas figuras se observa una tendencia en función de la medición o al envasado de las botellas, sin embargo, se encuentra que hay valores de porcentaje de respuesta superiores al 200%, lo cual indica que para esas botellas se tuvieron concentraciones de NO3- muy por encima del promedio. Como se observa en las figuras, las incertidumbres de medición (barras de error) son relativamente bajas, por consiguiente, no se trata de un error de medición. Cabe resaltar que las mediciones de NO3- se realizaron por segunda vez y el resultado fue exactamente el mismo. Posteriormente, se discutirá acerca de la posible causa de estos resultados.
Ahora bien, como se mencionó en la sección experimental, se estimó la incertidumbre ubb mediante un ANOVA. La Figura 4 muestra las incertidumbres por homogeneidad para cada uno de los lotes preparados (preparación convencional y preparación por inmersión).

Incertidumbres estándar (%) obtenidas para los dos métodos de envasado.
De acuerdo con la experiencia de otros institutos [21, 22], la incertidumbre objetiva o máxima esperada de los elementos mayores es cercana al 1%, la de los elementos menores es cercana al 2%. Para el caso de los aniones, en la actualidad, no existen materiales de referencia certificados en agua. Por lo tanto, se encuentra que para la mayoría de los analitos se tiene una incertidumbre aceptable, concluyéndose así que el proceso de envasado es adecuado (excepción del caso de los NO3-). La anterior situación se atribuye a posibles residuos del anión nitrato, los cuales pudieron quedar después del proceso de lavado, pues de acuerdo a las gráficas de tendencias, se descarta que la variación tan alta del ion nitrato obedezca al procedimiento de envasado y/o al procedimiento de medición.
La Figura 4 muestra que el lote preparado mediante inmersión de las botellas dentro del material candidato tiene incertidumbres similares o menores a las obtenidas mediante el envase convencional. Es de resaltar que elementos como Se, Cr, Cu y Ni presentan incertidumbres mucho más bajas a las obtenidas mediante el lote convencional.
Evaluación de estabilidad
De acuerdo con la guía ISO 35 [18], la incertidumbre por inestabilidad del material se encuentra compuesta por dos componentes: i) estabilidad a corto plazo y ii) estabilidad a largo plazo. Esta guía establece que se debe evaluar si el modelo de cinética de orden 0 se ajusta a los resultados del estudio de estabilidad, posterior a esto, a través de una prueba t student, se debe evaluar si la pendiente, la cual representa la constante cinética, es significativa. En el presente estudio se evaluaron las cinéticas orden 0, 1, 2 y 3 y se encontró que para todos los casos el modelo y la pendiente no son significativos (α=0,05), lo cual indica que el material candidato presenta una estabilidad adecuada. La Figura 5 muestra los resultados obtenidos para los estudios de estabilidad a corto plazo de algunos analitos.

Estudio de estabilidad a largo plazo para Na, Cu, Sn y Pb.
Conforme a la guía ISO 35 [18], el aporte de incertidumbre por estabilidad a largo plazo se estima a través de la siguiente expresión:

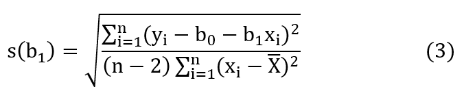
Donde tm1 corresponde al tiempo entre la asignación del valor y la fecha del primer monitoreo (3 meses), tm2 corresponde al tiempo de certificación (18 meses) y sb1 corresponde a la desviación estándar de la pendiente (b1) del correspondiente estudio y se estima mediante la siguiente expresión:

Donde b0 corresponde al intercepto.
Por su parte, la estimación de incertidumbre a corto plazo se estima con la siguiente expresión:

Dónde tm3 corresponde al tiempo que el material, posiblemente, se sometería a condiciones de transporte (2 semanas).
Las Tablas 4 y 5 muestran los coeficientes de determinación (R2) para el estudio de estabilidad a corto y largo plazo, respectivamente, para diferentes modelos cinéticos. Por otro lado, estas tablas presentan las incertidumbres estimadas mediante las ecuaciones (3) y (4).
| Elemento | u (%) | R2 cinética de orden 0 | R2 cinética de orden 1 | R2 cinética de orden 2 | R2 cinética de orden 3 |
| Na | 0,31% | 0,036 | 0,036 | 0,035 | 0,034 |
| Mg | 0,33% | 0,293 | 0,293 | 0,293 | 0,293 |
| Al | 0,32% | 0,013 | 0,014 | 0,014 | 0,015 |
| Ca | 0,84% | 0,070 | 0,068 | 0,066 | 0,064 |
| Fe | 1,48% | 0,049 | 0,050 | 0,051 | 0,053 |
| As | 2,04% | 0,046 | 0,043 | 0,041 | 0,039 |
| Zn | 0,43% | 0,140 | 0,138 | 0,136 | 0,135 |
| Ni | 0,52% | 0,017 | 0,018 | 0,018 | 0,019 |
| Cu | 1,30% | 0,023 | 0,023 | 0,024 | 0,025 |
| Se | 0,50% | 0,076 | 0,076 | 0,077 | 0,077 |
| Mo | 0,21% | 0,008 | 0,008 | 0,008 | 0,008 |
| Ag | 0,71% | 0,148 | 0,150 | 0,152 | 0,154 |
| Cd | 1,28% | 0,010 | 0,009 | 0,008 | 0,007 |
| Pb | 0,97% | 0,001 | 0,000 | 0,000 | 0,000 |
| Cr | 1,81% | 0,018 | 0,018 | 0,019 | 0,020 |
| Co | 0,93% | 0,055 | 0,055 | 0,055 | 0,055 |
| Sn | 0,92% | 0,006 | 0,006 | 0,006 | 0,006 |
| K | 0,30% | 0,004 | 0,004 | 0,005 | 0,005 |
Aporte de incertidumbre por estabilidad a corto plazo y ajuste (como R2) de cada uno de los modelos de cinética evaluados.
| Elemento | u (%) | R2 cinética de orden 0 | R2 cinética de orden 1 | R2 cinética de orden 2 | R2 cinética de orden 3 |
| Na | 2,07% | 0,002 | 0,002 | 0,002 | 0,002 |
| Mg | 1,21% | 0,022 | 0,022 | 0,022 | 0,022 |
| Al | 1,14% | 0,121 | 0,121 | 0,121 | 0,120 |
| Ca | 2,25% | 0,010 | 0,009 | 0,009 | 0,008 |
| Fe | 0,91% | 0,029 | 0,030 | 0,031 | 0,031 |
| As | 1,32% | 0,006 | 0,006 | 0,007 | 0,007 |
| Zn | 0,72% | 0,191 | 0,190 | 0,189 | 0,188 |
| Ni | 0,89% | 0,235 | 0,233 | 0,231 | 0,229 |
| Cu | 0,71% | 0,231 | 0,230 | 0,229 | 0,228 |
| Se | 2,61% | 0,007 | 0,006 | 0,005 | 0,005 |
| Mo | 1,21% | 0,002 | 0,002 | 0,002 | 0,002 |
| Ag | 1,10% | 0,002 | 0,002 | 0,002 | 0,002 |
| Cd | 1,10% | 0,002 | 0,002 | 0,002 | 0,002 |
| Pb | 1,37% | 0,009 | 0,009 | 0,010 | 0,010 |
| Cr | 0,95% | 0,207 | 0,206 | 0,205 | 0,203 |
| Co | 0,87% | 0,004 | 0,004 | 0,004 | 0,004 |
| Sn | 7,37% | 0,099 | 0,100 | 0,099 | 0,099 |
| K | 1,68% | 0,002 | 0,002 | 0,002 | 0,002 |
Aporte de incertidumbre por estabilidad largo plazo y ajuste como (R2) para cada uno de los modelos de cinética evaluados.
En las Tablas 4 y 5 se evidencia que los coeficientes de determinación tienen valores extremadamente bajos, lo cual indica que ninguno de los modelos cinéticos se ajusta a los resultados. De hecho, al evaluar a través de un ANOVA la significancia del modelo, se encuentra que en ninguno de los casos es significativo, hecho que concuerda con la Figura 5, en la cual no se observa ningún tipo de tendencia.
Por su parte, al observar los valores de incertidumbre obtenidos para los estudios de estabilidad a corto y largo plazo, se encuentra que existen casos en los cuales el valor es extremadamente alto, por ejemplo, Sn. Esto, desde el punto de vista químico, implicaría que el elemento (Sn) no es estable y, por consiguiente, su aporte es alto. Sin embargo, al observar la Figura 5, se encuentra que pasados los 18 meses del estudio el valor es prácticamente el mismo, lo cual no es coherente con las incertidumbres estimadas.
Como se mencionó, la incertidumbre por estabilidad (uestab) depende del ajuste del modelo de regresión, por lo cual, al no existir un ajuste significativo, se tiene que la estimación de los parámetros de regresión (pendiente e intercepto) presentan un error estándar (sb1 o sb0) muy alto. Lo anterior conlleva a que, al aplicar la Ec. (2), se obtengan incertidumbres altas. Esto se puede constatar comparando los coeficientes de determinación para Sn (0,099) y Cu (0,23), los cuales indican que la tendencia es menos significativa para el Sn, pero su incertidumbre por estabilidad es más alta.
La recomendación de la guía ISO 35 Ec. (2) indica que si la pendiente del modelo de regresión no es significativa, se debe incluir en el presupuesto de incertidumbre la estimación por esta constante, la cual correspondería a Sb1. Sin embargo, al observar la Ec. (3), se encuentra que uestab depende de la pendiente y el intercepto, los cuales en un modelo no significativo no brindan información veraz acerca de la estabilidad de los analitos en el MR. Por consiguiente, y de acuerdo con la misma guía ISO 35 (numeral 8.7.3) se podría establecer que la incertidumbre por estabilidad a corto y largo plazo es igual a cero debido a:
i) En ninguno de los casos la regresión es significativa, por tanto, ninguno de los modelos cinéticos se ajusta a los datos.
ii) Las mediciones con su incertidumbre siempre se sobrelapan con las mediciones realizadas en otros tiempos.
iii) Los tiempos de certificación de otros productores de materiales de referencia, para materiales similares almacenados en las condiciones similares, son en algunos casos de 10 años [11].
iv) La naturaleza estable de los analitos de interés.
No obstante, diferentes estudios [23] han reportado la influencia de la transpiración de los envases sobre estabilidad de los materiales de referencia. Esta transpiración hace referencia a las pérdidas que se pueden dar por la evaporación y subsecuente salida del solvente del envase. En este sentido, se realizó el estudio de transpiración del material bajo a posibles condiciones de almacenamiento o transporte del material. Las Figuras 6, 7 y 8 muestran los gráficos resultantes de estos estudios.

Pérdidas por transpiración para PEAD-Nalgene ®. Almacenamiento a 3,5 ± 2°C.

Pérdidas por transpiración para PEAD-Nalgene® a 20 ± 4°C.

Pérdidas por transpiración para PEAD-Nalgene ®. Almacenamiento a 45 ± 3°C.
En las Figuras 6, 7 y 8 se encuentra que el modelo de regresión lineal tiene un excelente ajuste respecto a los estudios realizados previamente. Estas curvas indican que los materiales de referencia se ven afectados por un proceso de concentración, pues las pérdidas por evaporación no pueden corresponder a los analitos debido a su naturaleza. En este sentido, a partir de los estimadores de regresión, se puede realizar la corrección del valor asignado al material de referencia (considerando el tiempo de vida media del material) y/o incluir dentro de la incertidumbre el efecto de la transpiración por completo.
En el caso de realizar la corrección del valor asignado por la transpiración del material de referencia, la expresión para la estimación de la incertidumbre debido a la transpiración (utranspiración) corresponde a:

Donde tm1 corresponde al tiempo entre la asignación del valor y la fecha del primer monitoreo (3 meses), tm2 corresponde al tiempo de certificación (18 meses), %P corresponde al porcentaje de pérdida del material, el cual es estimado a partir de las ecuaciones presentadas en las Figuras 6, 7 y 8, dependiendo del caso. VA corresponde al valor asignado o cetificado para el material de referencia. Sin embargo, si se considera que el %P proviene de la pendiente del estudio, la cual tiene una incertidumbre (u%P) asociada a su estimación, una expresión más adecuada para estimar la utranspiración es:

En el caso de no realizar la corrección del valor asignado por la transpiración del material de referencia, la expresión para la estimación de la incertidumbre debido a la transpiración (utranspiración) no se dividiría por 200 sino por 100.
Al observar las Figuras 6 y 7, se encuentra que el efecto de la transpiración no se ve en la medición (Figura 4), lo cual obedece a que el efecto de la transpiración es relativamente bajo y el método de medición no es capaz de detectar las diferencias de tiempo. Es decir, si se tiene en cuenta que el cambio que ocasiona el proceso de transpiración sobre el valor asignado es de cerca de 0,11% en un año de almacenamiento a 20 °C, se debería tener una técnica analítica con una incertidumbre mucho mejor.
Finalmente, se puede observar que, a medida que aumenta la temperatura de almacenamiento, la pendiente de las curvas aumenta, lo cual indica una mayor pérdida debido a la transpiración, hecho que correlaciona con otros estudios realizados [23].
Asignación del valor
La incertidumbre del material viene dada por la siguiente expresión:

Donde las expresiones asociadas a umed y usesgo corresponden a las incertidumbres por la medición y el sesgo entre los métodos empleados. Estas se estiman de acuerdo con la recomendación de Levenson [19]. La uhom corresponde a las presentada en la Figura 4, dependiendo del tipo de envasado. Por su parte, uestabilidad viene compuesta por la incertidumbre a largo plazo y la incertidumbre a corto plazo, las cuales se estiman a partir de la ecuación Ec. (6) y las pendientes de las Figuras 7 y 8.
La Figura 9 presenta los aportes en incertidumbre para algunos analitos. En esta figura se puede observar que, en general, las dos fuentes de incertidumbre dominantes corresponden a umed y uhom. Para el caso puntual de Pb se encuentra que el aporte de umed es más del 90%. Esto se atribuye a la incertidumbre obtenida en la medición mediante absorción atómica, la cual tiene un valor alto debido a la baja precisión del método a este nivel de concentración. De igual manera, se encuentra que los aportes por estabilidad son los más bajos, lo cual concuerda con la magnitud de las pendientes encontradas en las Figuras 6, 7 y 8.

Aporte de las diferentes fuentes de incertidumbre a la incertidumbre combinada.
Como se mencionó, la caracterización del material se realizó a través de diferentes técnicas analíticas. La norma ISO 17034 [24] establece que la caracterización mediante esta aproximación necesita por lo menos dos métodos de medición independientes. En ese sentido, como se puede apreciar en la Tabla 2, para Se, Cr, Al, NO3- y Cl- se realizó la medición empleando una sola técnica, por lo cual, para estos valores no se puede dar un valor certificado. La Tabla 6 presenta algunos de los valores obtenidos mediante estas técnicas con su incertidumbre asociada.
| Elemento | Absorción atómica | ICPMS | CI | Valor combinado ± U ( k=2) |
| Na ( mg/kg) | 18,81 | 18,78 | 18,84 | 18,80 ± 0,48 |
| Ca (mg/kg) | 23,27 | 23,35 | 23,18 | 23,31 ± 0,84 |
| Mg (mg/kg) | 4,60 | 4,57 | 4,58 | 4,58 ± 0,15 |
| Ni (mg/kg) | 12,62 | 12,94 | NA | 12,78 ± 0,71 |
| Cd (mg/kg) | 9,90 | 9,99 | NA | 9,94 ± 0,19 |
| Pb (mg/kg) | 9,69 | 9,78 | NA | 9,74 ± 0,85 |
Resultados de caracterización mediante las diferentes técnicas analíticas.
NA: no aplica.Las incertidumbres expandidas presentadas en la Tabla 6 se encuentran entre el 0,93 y el 4,38%, lo cual indica que son incertidumbres adecuadas para un material de referencia, considerando que la precisión aceptada en condiciones de repetibilidad para la medición de estos analitos es de hasta el 20% [25].
Conclusiones
Se evaluaron dos procedimientos para el envasado del material, los cuales correspondieron a envasado convencional y envasado por inmersión. De estos, el modo basado en la inmersión de las botellas presentó mejores incertidumbres asociadas a la homogeneidad del lote (entre las botellas), especialmente, en analitos como nitrato, selenio, cobre, entre otros. Los estudios de tendencias para los dos modos de envasado indicaron que tanto el proceso de envasado como el proceso de medición fueron adecuados, pues nunca se obtuvieron regresiones significativas (p>0,05) que indicarán algún tipo de error sistemático asociado a estos procesos.
Se propuso una aproximación basada en las recomendaciones de la guía ISO 35 para la estimación de incertidumbre asociada a la inestabilidad del material; teniendo en cuenta que se observó la perdida en la masa de los materiales producidos lo que genera un cambio en el valor certificado. Esta aproximación permite estimar el aporte por la inestabilidad de este tipo de materiales.
A través de la caracterización del material, mediante el uso de diferentes métodos de medición, se logró obtener un material de referencia certificado para algunos de los analitos, los cuales se evaluaron en el presente estudio. La estimación de la incertidumbre indicó que las principales fuentes son las asociadas a la medición, la homogeneidad del lote y el sesgo entre los métodos, mientras que las incertidumbres asociadas a la inestabilidad del material son las menos significativas. Finalmente, se encontró que las incertidumbres expandidas obtenidas en el proceso de certificación son adecuadas para el uso previsto, pues se encuentran entre el 0,93 y el 4,38%.
Referencias
[1] B. L. Guzmán, G. Nava, P. Díaz Bevilacqua, «La calidad del agua para consumo humano y su asociación con la morbimortalidad en Colombia, 2008-2012» Biomédica, vol. 35, 2015. DOI: https://doi.org/10.7705/biomedica.v35i0.2511.
[2] A.V. Dean, Water and wastewater examination manual, Nueva York: Routledge, 2017.
[3] A. Rubirola, et al, «Analysis of 32 priority substances from EU water framework directive in wastewaters, surface and drinking waters with a fast sample treatment methodology» Int. J. of Environ. Anal. Chem., pp. 1-17, 2019 DOI: http://dx.doi.org/10.1080/03067319.2019.1571195 .
[4] A. Jakubus, et al., «Dispersive solid-phase extraction using multi-walled carbon nanotubes combined with liquid chromatography–mass spectrometry for the analysis of β-blockers: Experimental and theoretical studies» Microchem. J., vol. 146, pp. 258-269, 2019. DOI: https://doi.org/10.1016/j.microc.2018.12.063.
[5] M. A. Monteiro, et al., «Development and Validation of Liquid Chromatography-Tandem Mass Spectrometry Methods for Determination of Beta-Lactams, Macrolides, Fluoroquinolones, Sulfonamides and Tetracyclines in Surface and Drinking Water from Rio de Janeiro, Brazil» J. Braz. Chem. Soc, vol. 29, no 4, pp. 801-813, 2018. DOI: http://dx.doi.org/10.21577/0103-5053.20170203.
[6] F. Hernandez, et al., «Development and application of a method for Cr (III) determination in dairy products by HPLC–ICP-MS» Food Chem., vol. 240, pp. 183-188, 2018. DOI: https://doi.org/10.1016/j.talanta.2018.06.083.
[7] C.A.O, Yifang, et al., « Molecular monitoring of disinfection efficacy of E. coli O157: H7 in bottled purified drinking water by quantitative PCR with a novel dye». J. of Food Proce and Preserv., vol. 43, n° 2, pp. e13875, 2019. DOI: https://doi.org/10.1111/jfpp.13875.
[8] T. Yarita, et al., «Interlaboratory comparison of liquid chromatography-tandem mass spectrometry quantification of diarrhetic shellfish toxins in scallop midgut glands» Food Chem., vol. 252, pp. 366-372, 2018. DOI: https://doi.org/10.1016/j.foodchem.2018.01.105.
[9] J. Chung , J Hee, «Inter-Laboratory Validation of Method to Determine Residual Enrofloxacin in Chicken Meat» Int. journal of anal. Chem., vol. 2018, Article ID 6019549, 7 pages, 2018. DOI: https://doi.org/10.1155/2018/6019549.
[10] F. Ulberth, «Certified reference materials for inorganic and organic contaminants in environmental matrices» Anal. Bioanal. Chem., vol. 386, n°. 4, pp. 1121–1136, 2006. DOI: https://doi.org/10.1007/s00216-006-0660-6.
[11] National Institute of Standards & Technology (NIST), «Certificate of Analysis Standard Reference Material 1640a- Trace elements in natural water» 2010. [En línea] Disponible en: https://www-s.nist.gov/srmors/view_detail.cfm?srm=1640A. [Último acceso: 2019-03-23].
[12] Y. Zhu,Yanbei, et al., « Development of a certified reference material (NMIJ CRM 7505-a) for the determination of trace elements in drinking water» Anal. Sci, vol. 27, n° 11, p. 1149-1149, 2011. DOI: https://doi.org/10.2116/analsci.27.1149.
[13] P. Konieczka, J. Namieśnik, «Prospects for the Production, Research and Utilization of Reference Materials AU - Kupiec, Katarzyna» Crit. Rev. Anal. Chem., vol. 39, n°. 4, pp. 311–322, 2009. DOI: https://doi.org/10.1080/10408340903253182.
[14] T. P. J. Linsinger, H. Emons, «Characterization of reference materials: proposal for a simplification of the options listed in ISO Guide 34» Accredit. Qual. Assur., vol. 18, n°. 2, pp. 149–152, 2013. DOI: https://doi.org/10.1007/s00769-013-0971-1.
[15] A. Kiełbasa, R. Gadzała-Kopciuch, B. Buszewski, «Reference Materials: Significance, General Requirements, and Demand» Crit. Rev. Anal. Chem., vol. 46, n° 3, pp. 224–235, 2016. DOI: https://doi.org/10.1080/10408347.2015.1045120.
[16] C. Uribe, E. Carrasco, S. Acco, «Use of ETAAS, FAAS and ICP-OES for production and post-certification monitoring of a multielemental certified reference material according to national regulation limits for elements in drinking water» Accredit. Qual. Assur., vol. 22, n° 3, pp. 141–151, 2017. DOI: https://doi.org/10.1007/s00769-017-1258-8.
[17] Ministerio de la protección social Ministerio de ambiente vivienda y desarrollo territorial, «Resolucíon 2115 de 2007, por medio de la cual se señalan características, instrumentos básicos y frecuencias del sistema de control y vigilancia para la calidad del agua para consumo humano». 2007. [En línea] Disponible en:
http://www.minambiente.gov.co/images/GestionIntegraldelRecursoHidrico/pdf/normativa/Res_2115_de_2007.pdf. [Último acceso: 2019-03-23].
[18] International Organisation for Standardisation (ISO), ISO Guide 35 Reference materials — Guidance for characterization and assessment of homogeneity and stability» Geneva, 2017.
[19] M. S. Levenson et al., «An Approach to Combining Results From Multiple Methods Motivated by the ISO GUM » J. Res. Natl. Inst. Stand. Technol., vol. 105, n° 4, pp. 571–579, 2000. DOI: https://doi.org/10.6028/jres.105.047.
[20] R. Index and T. R. C. Team, «R : A Language and Environment for Statistical Computing» vol. 2, 2018.
[21] L. Yang et al., «Final report of the SIM.QM-S8 supplementary comparison, trace metals in drinking water » Metrologia, vol. 55, n° 1A, p. 8003, 2017. DOI: https://doi.org/10.1088/0026-1394/55/1A/08003
[22] L. Yang et al. , «Final report of the SIM.QM-S7 supplementary comparison, trace metals in drinking water» Metrologia, vol. 55, n° 1A, p. 8002, 2017. DOI: https://doi.org/10.1088/0026-1394/55/1A/08002
[23] R. Arvizu, E. V. Moya, A. Reyes, “Memorias de Congreso Nacional de Metrología ” Marqués, Querétaro, México. 2004 [En línea]. Disponible en: https://www.cenam.mx/simposio2004/memorias/TA-035.pdf. [Último acceso: 2019-03-23].
[24] International organisation for Standardisation (ISO), « ISO 17034, Reference materials-General requirements for the competence of reference material producers» Geneva, 2016.
[25] W. Horwitz, R. Albert, «The Horwitz ratio (HorRat): a useful index of method performance with respect to precision» J. of AOAC International, 89(4), p. 1095-1109, 2006.
Notas de autor
dahumada@inm.gov.co