Fisicoquímica e Inorgánica
Syntheses and magnetic properties of substituted bis-indacenyl bi-metallic complexes & application
Síntesis y propiedades magnéticas de complejos bimetálicos de bis-indacenilo sustituido y su aplicación
Sínteses e propriedades magnéticas de complexos bimetálicos bis-indacenílicossubstituídos e aplicação
Syntheses and magnetic properties of substituted bis-indacenyl bi-metallic complexes & application
Revista Colombiana de Química, vol. 51, núm. 1, pp. 58-64, 2022
Universidad Nacional de Colombia
Recepción: 29 Marzo 2022
Revisado: 01 Junio 2022
Aprobación: 15 Junio 2022
Abstract: Organometallic compounds, Bis (2,4,6,8 teramethyl-indacenyl) di Iron (1), Bis (2,4,6,8 teramethyl s-indacenyl) mono iron, mono cobalt (2), and Bis (2,6 diethyl-4,8-dimethyl-s-indacenyl) di cobalt (3) were synthesised by means of salt elimination strategy, using Fe(II) and Co(II) salts. The compounds were characterised through spectroscopic and electrochemical methods. Magnetic measurements were carried out by Physical Property Measurement System (PPMS). Mossbauer spectroscopic data reveals that in all compounds, surprisingly, Iron is in +3 oxidation state. DFT calculations have been carried out to understand the change in the oxidation state of a metal. DFT study confirms the electron transfer nature of ligand to metal. Cyclic voltametric study on these compounds shows a large separation (ΔE>800mV) between two oxidation peaks confirming the strong interaction between the metal centres. Magnetic measurements on these organometallic compounds reveals that they exhibit a ferrimagnetic behaviour at temperatures below 40 K.
Keywords: Indacenyl complexes, organometallic magnets, PPMS, Mössbauer spectroscopy.
Resumen: En este trabajo se sintetizaron los compuestos organometálicos Bis (2,4,6,8 terametil-indacenil) férrico (1), Bis (2,4,6,8 terametil s-indacenil) ferroso, cobaltoso (2) y Bis (2,6 dietil-4,8-dimetil-s-indacenil) di cobalto (3) mediante la estrategia de eliminación de sales, utilizando sales de Fe(II) y Co(II).Los compuestos se caracterizan por métodos espectroscópicos y electroquímicos. Las mediciones magnéticas se llevaron a cabo mediante el sistema de medición de propiedades físicas (PPMS). Los datos espectroscópicos Mossbauer revelan que, en todos los compuestos, sorprendentemente, el hierro se encuentra en el estado de oxidación +3. También se realizaron cálculos DFT para comprender el cambio en el estado de oxidación de los metales. El estudio DFT confirmó la naturaleza de transferencia de electrones del ligando al metal. El estudio voltamperométrico cíclico de estos compuestos muestra una gran separación (ΔE>800mV) entre los dos picos de oxidación que confirman la fuerte interacción entre los centros metálicos.Las mediciones magnéticas de estos compuestos organometálicos revelan que presentan un comportamiento ferrimagnético a temperaturas inferiores a 40 K.
Palabras clave: complejos de indacenilo, organometálicos, PPMS, espectroscopía Mössbauer.
Resumo: Compostos organometálicos, Bis (2,4,6,8 terametil-indacenil) di ferro (1), Bis (2,4,6,8 terametil s-indacenil) mono ferro, mono cobalto (2) e Bis (2,6 dietil-4,8-dimetil-s-indacenil) di cobalto (3) foram sintetizados por estratégia de eliminação de sal, utilizando sais de Fe(II) e Co(II). Os compostossão caracterizados por métodos espectroscópicos e eletroquímicos. As medições magnéticas foram realizadas pelo Sistema de Medição de Propriedades Físicas (PPMS). Os dados espectroscópicos Mossbauerrevelam que em todos os compostos, surpreendentemente, o ferro está em +3 estado de oxidação.Os cálculos do DFT foram realizados para entender a mudança no estado de oxidação de um metal. O estudo DFT confirma a natureza da transferência de elétrons do ligante para o metal. O estudovoltamétrico cíclico dessescompostosmostrauma grande separação (ΔE>800mV) entre dois picos de oxidação confirmando a forteinteração entre os centros metálicos. As medições magnéticas nestescompostos organometálicos revelam que eles apresentamumcomportamentoferrimagnético a uma temperatura abaixo de 40 K.
Palavras-chave: complexos indocenílico, ímãs organometálicos, PPMS, espectroscopia Mössbauer.
Introduction
There is a growing interest in the study of organometallic complexes derived from fused ring ligands such as pentalene, indacene and dicyclopenta dienyl naphthalene. These fused ring ligands are anti- aromatic in nature and belong to the 4npi electron system. Much of the interest is in the study of the electron delocalisation between the metal centres comprising of these ligands [1-7]. It was found that there is much greater electronic interaction in these systems due to the overlapping of the d-orbital of the metal and the p orbital of the ligand, evidenced by the spectroscopic and electrochemical characterisation [8]. Due to this interaction, a number of applications of these materials may be expected by appropriate design of the bridging groups for appropriate super exchange, combined with the use of two different metals with different spin and may lead to a ferrimagnet [9-10]. Several studies have centred on the use of bi nuclear metallocenes for third-order nonlinear optical properties. We can also imagine the second-order properties by using other species where the interaction between a metallocene donor and a metallocenium acceptor is important. Various research groups continued their effort in synthesising said organometallic compounds with novel electrical and magnetic properties [11-13]. For example, the Manriquez group have prepared the number of organometallic compounds with s-indacene as a spacer ligand and reported some interesting delocalisation properties [14-16]. Notwithstanding, to our knowledge there is no work reported on bi nuclear metal complexes with two s- indacene spacers.
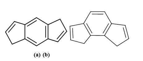
A mono benzo analogue of pentalene has two isomers, s-indacene and as-indacene (Figure 1).It was found that the complexes derived from s-indacene exhibit a much higher degree of metal-metal interaction than the complexes derived from as- indacene. It was concluded that the geometry of the ligand plays an important role in the intermetallic interactions in these systems. Subsequently it was proved by virtue of Huckel’s extended theoretical calculations [16].
In this paper we investigate the homo and hetero bimetallic complexes of substituted s-indacene in which two metal centres are sandwiched between the indacene spacer. We also report its electrochemical, Mossbauer and magnetic measurement results along with the DFT calculations.

Figure1. A mono benzo analogue of pentalene with two isomers (a) s-indacene and
(b) as-indacene.
Materials and methods
General
All reactions were carried out under inert nitrogen and in dry solvents. Iron(II) Chloride wasprepared in situ with standard procedure. The following materials were used as supplied commercially without further purification: anhydrous CoCl2, diethyl methyl malonate, KOH, HCl, n-butyl lithium (1.6 mol L-1), poly phosphoric acid and ethyl alcohol.
Instrumental
Bruker-400 (400 MHz and 100 MHz for proton and Carbon NMR respectively) was used to record the NMR spectra and chemical shift reported in ppm relative to TMS. Bruker Vector-22 FTIR spectrometer was used to record the FT-IR spectra using Nujal Mull sample between NaCl discs. Fisions instruments EA-1108 CHNS elemental analyser was used for the elemental analyses. Bio analytical Systems Voltammetric analyser (model CV-50w, version 2.3) was used for cyclic voltammetry measurements. Platinum or a glassy carbon disc were used as a working electrode and platinum wire as an auxiliary electrode. The auxiliary electrode was isolated from the bulk solution by a glass tube with a small-porosity glass frit at the end. Neutral aluminium oxide was placed on the frit and the tube was filled with a 0.1 mol L-1 solution of supporting electrolyte[N(Bu)4]BF. (Bu=butyl); the reference electrode was an Ag/AgCl wire placed in a tube with a cracked glass bead at the end and containing aqueous tetra methyl ammonium chloride. The concentration of this solution was varied until the potential value was 0.0 Vvs the saturated calomel electrode (SCE). This electrode was located inside a Luggin capillary in the electrochemical cell. The solvent used was dichloromethane. All the measurements were carried out under nitrogen atmosphere at room temperature (25.C).
A constant acceleration Mossbauer spectrometer with 57Co/Rh source was used for the Mössbauer analyses of the samples. The c counts were collected in a 512 multi-channel analyser while the source was moving via triangular velocity waveform and, computer procedures were adopted for plotting and analysing the data. Velocity calibration was performed using 25 mm thick metallic Fe foil. The Mossbauer spectral parameters are given relative to this standard at room temperature. Mossbauer analyses were carried out at the UGC-DAE facilities at Indore, India.
Magnetic measurements were carried out with Quantum design (USA) Physical Property Measurement System (PPMS) with vibrating sample magnetometer (VSM) that has a temperature range from 1.9 to 400 K with a field range of 0 to 9 Tesla with sensitivity 1X10 -6 emu and oscillation frequency 40 Hz. All magnetic measurements were carried out at the UGC-DAE facilities at BARC, Mumbai, India.
The density functional calculations of the complex were performed using the Gaussian programme G09 and the Gauss view 6 with the 3-21G*(6d, 7f) basis sets. The frontier molecular orbital profile and the energy gap between the highest occupied molecular orbital (HOMO) and the lowest unoccupied molecular orbital (LUMO) were optimised. The natural bonding orbitals derived from the same fundamental sets.
Syntheses of ligands
The substituted s-indacene ligands, namely 2,4,6,8 teramethyl-1,5-dihydro-s-Indacene(L1) and 2,6 diethyl-4,8-dimethyl-1,5-dihydro-s-indacene(L2) were prepared in a good yield by reported methods [17].
Syntheses of Organometallic compounds
Synthesis of Bis (2,4,6,8 teramethyl-indacenyl) di Iron (1)
In a100 mL Schlenk flask, 0.5 g (0.0023 mol) of L1 was dissolved in tetra-hydrofuron (30 mL) and cooled to -78 .C. Under nitrogen atmosphere, n-butyl lithium in hexane (2 mol L-1, 2.37 mL) was added drop wise to L1, after complete addition it was allowed to warm to room temperature and allowed to stir for 1 h. Successively, anhydrous Iron(II) chloride (0.3 g, 0.0023 mol) dissolved in THF was charged (transferring via cannula) at -78 .C. After the complete transfer of FeCl2 the reaction mixture was allowed to warm to room temperature and stirred for 3 h. Solvent was evaporated under vacuum and the dark brown colour product was extracted with toluene until the extraction became colourless. The combined extracts were put together and evaporated to dryness. To this crude product, THF was added (20 mL) to dissolve and cooled to -78 .C. The precipitate was filtered and dried yielding 0.5 g. (67%) dark red microcrystalline product, sensitive to air.
1H NMR (C6D6, ppm) 1.36(s, 12H,-CH3) 2.44 (s, 12H, CH3, benzylic) 4.92 (s, 4H, CH) 5.22 (s, 4H, CH).
Elemental analysis, Calcd for C32H32Fe2: C 72.86, H 6.07; found: C 72.72, H 6.01.
Synthesis of Fe(2,4,6,8 teramethyl s-indacenyl). Co (2)
In a 100 mL Schlenk flask, 0.5 g (0.0023 mol) of L1 was dissolved in tetrahydrofuron (30 mL) and cooled to -78 .C. Under nitrogen atmosphere n-butyl lithium in hexane (2 mol L-1, 1.19 mL) was added drop wise to L1; after complete addition it was allowed to warm to room temperature and stirred for 1 h. Successively, anhydrous Iron(II) chloride (0.15 g, 0.0012 mol) dissolved in THF was charged (transferring via cannula) at -18 .C. After the complete transfer of FeCl2 the reaction mixture was allowed to warm to room temperature and stirred for 2 h. This reaction mixture was again cooled to -78 .C and n-butyl lithium in hexane (2 mol L-1, 1.19 mL) was added drop wise. Then, we allowed to warm to room temperature and stirred for 1h. Anhydrous cobalt chloride (0.15 g, 0.0012 mol) in tetrahydrofuron (30 mL) was added and stirred for 4 h. Solvent was evaporated under vacuum and the dark brown colour product was extracted with toluene until the extraction became colourless. The combined extracts were put together and evaporated to dryness. To this crude product, THF was added (20 mL) to dissolve and cooled to -78 .C. The precipitate was filtered, dried yielding a dark brown product 0.4 g (61%).
1H NMR(C6D6, ppm) 0.29 (s, 6H, CH3) 1.31 (s, 6H,-CH3) 2.44 (s, 12H, CH3, benzylic) 4.92 (s, 4H, CH ) 5.25 (s, 4H, CH).
Elemental analysis, Calcd for C32H32FeCo: C 72.26, H 6.02; found: C 71.16, H 5.97.
Synthesis of Bis (2,6 diethyl-4,8-dimethyl-s-indacenyl) di cobalt (3)
In a100 mL Schlenk flask, 0.5 g (0.0029 mol) of L2 was dissolved in tetrahydrofuron (30 mL) andcooled to -78 .C. Under nitrogen atmosphere, n-butyl lithium in hexane (2 mol L-1, 2.37 mL) was added drop wise to L2. After complete addition it was allowed to warm to room temperature and allowed to stir for 2 h. Successively, anhydrous cobalt(II) chloride (0.26 g, 0.0029 mol) dissolved in THF was charged (transferring via cannula) at -78 .C. After the complete transfer of CoCl2 the reaction mixture was allowed to warm to room temperature and stirred for 3 h. Solvent was evaporated under vacuum and the dark green colour product was extracted with toluene until the extraction became colourless. The combined extracts were consolidated and evaporated to dryness. To this crude product, THF was added (20 mL) to dissolve and cooled to -78 .C. The precipitate was filtered and dried having a yield of 0.5 g (67%) of green microcrystalline product.
Elemental analysis, Calcd for C36H32Co.: C 73.22, H 6.77; found: C 73.16, H 6.57.
FTIR: (Nujol, NaCl disk) 560 cm-1 (corresponding to metal –carbon bonding).
Results and Discussion
Synthesis and characterisation of [(Ƞ5-L1)2Fe2](1)
We have adopted the salt elimination method for the synthesis of bis-indacenyl complex. Making the dianion of the ligand L1 (Li+2L12-) with two moles of anhydrous FeCl2, that was prepared in situ, as shown in Figure 2 the reaction affords a red solution and after purification red micro crystalline product was obtained that was highly sensitive to air. The NMR spectrum shows that it has two isomers, depending on the position of the hydrogen of the indacenyl ring. No attempts were made to separate the isomers. Elemental analysis was in good agreement with the calculated value. FTIR show the formation of the characteristic metal-carbon bond frequency at 611 cm-1.
Synthesis and characterisation of [(Ƞ5-L1)Fe(Ƞ5-L1)Co] (2)
This compound was prepared by stepwise salt elimination by treating ligand L1 with one equivalent of n-butyl lithium to produce monoanion of the ligand (Li+1L1-1) and this was first treated with one mole of anhydrous FeCl2 producing the ferrocene type complex with L1 (Figure 3). The compound so produced was reported earlier by the Manriquez group. The characterisation of this compound matches well with the reported findings [18-19]. This mono iron organometallic complex was further treated with two mole equivalent of n-butyl lithium and with one equivalent of anhydrous CoCl. affording the brown colour solution. After purification and drying, itoffered the brown coloured compound. The NMR shows the two shifts for the C-H of Cp rings in indacene at 4.92 and 5.25 ppm respectively for cobalt and iron next tothe bis indacenyl ring. However, due to residual paramagnetism, the peaks are broad. The IR frequency characteristic of the metal-carbon bond appeared at 585 cm-1.
Synthesis and characterisation of [(Ƞ5-L2)2Co2] (3)
We have synthesised 3 in like manner as the synthesis of 1 by taking anhydrous CoCl2 and the reaction offered the dark green solution. After purification and drying it offered the off green coloured powder. Elemental analysis and FTIR confirm the formation of the compound. The IR absorptions corresponding to metal-carbon bonding appeared from 567 to 580 cm-1.

Figure 2. Synthesis of compound 1.

Figure 3. Synthesis of compound ..
The salt elimination method for preparing these compounds gave a good yield. Attempts were made to partially oxidise these complexes with ferrocenium tetra fluor borate. Even after several hours of reflux, the isolated product shows similar spectral characteristics to that of complexes 1, 2, and 3 suggesting that oxidation if any is only due to the ligand.
Electrochemical characterisation
Cyclic voltammetry studies of complexes 1, 2,and 3 were carried out in dichloromethane solvent with tetrabutyl ammonium tetra fluoroborate as a supporting electrolyte. Cyclic voltammogram of 1 presents a first reversible redox couple and a second irreversible couple. The potential values change with the scan rate. At 50 mVs-1. The oxidations (Epa) occur at Epa1 = -1150 and Epa2 = 0.789 vs the saturated calomel electrode. Controlled potential electrolysis at 0.789 V allowed us to determine that 1 equivalent of charge per mole of the complex has been transferred in this first redox process. Separation between two oxidation potentials ΔE is 1939 mV reveals the high degree of electronic delocalisation in the system. Complex 2 also shows a much stronger interaction than complex 1 (Figure 4). At 50 mVs-1 scan rate in the dichloromethane as solvent, the first oxidation occurs at -1352 mV attributed to the oxidation of Co+2 to Co+3 and the second oxidation at 759 mV corresponds to the oxidation of Fe+2 to Fe+3. ΔE between two oxidation potentials is 2111 mV. This suggests the strong coupling between the metal and the ligand.

Figure 4. Cyclic Voltammogram of Complex ..
The complexes do not show any electrochemical reversibility. The results are summarised on Table 1. This value of ΔE indicates the strong interactions between the metal centres, indicative of Class III complexes according to the modern method of classification and the Robin and Day Classification [20-21].
| Complex | First oxidation(mV) | Second oxidation(mV) | ΔE (mV) |
| 1 | -1150 | 789 | 1939 |
| 2 | -1352 | 759 | 2111 |
| 3 | -1345 | -296 | 1049 |
Mossbauer spectroscopic characterisation of complex 1 and 3
Mossbauer spectroscopy is a local probe technique that is very sensitive to the oxidation state and the crystallographic environment of the iron. Quadruple splitting and hyperfine interaction parameters are summarised on Table 2. On Table 2, it is evident that the Iron is in +3 oxidation state for complexes 1 and 3 by observing that the FWHM value reveals the high spin Fe(III) of the complexes. At room temperature, thermal activation promotes the electrons to a close enough excited molecular orbital state and hence we observe the change in the oxidation state from Fe+2 to Fe+3. Similar behaviour was also observed in other reported complexes [22].
| Complex | FWHM | δFe | ΔEq |
| 1 | 0.61 0.05 | 0.33 0.01 | 0.71 |
| 2 | 0.55 0.08 | 0.32 0.03 | 0.76 |
The possible change in the oxidation state is further evidenced by the DFT calculations. The calculations were carried out on the similar compound L2Fe2 where L = 2,6 di phenyl 4,8 di methyl s-indacene. This indicates there exists a charge transfer from one metal centre to the other. In Figure 5, the colour red shows the depletion in the electron density and the colour blue shows the increase in electron density. The molecular orbital diagram in Figure 6 shows the ground state isa triplet.

Figure5. Optimised structure of the complex.

Figure 6. Molecular orbital diagram shows the ground state is a triplet.
Magnetic measurements of complexes 1, 2 and 3
Field cooled magnetisation and zero field cooled magnetisation data were taken for all the complexes. Tc was estimated from the extrapolation of the linear portion of the M(T) curve. The M(T) plots decrease rapidly as the sample warmed from 4K. The sharp transition at Tc suggests some degree of structural and magnetic uniformity throughout the complexes. The Tc’s of the different complexes range from 25 to 40 K with high reproducibility. The overlap of FC and ZFC suggests that there is no magnetic anisotropy in complexes 1 and 3, whereas for complex 2 there is a bifurcation of the FC and ZFC plots at 32K suggesting the possible phase transition in this complex as shown in Figure 7.

Figure 7. Magnetic susceptibility χ vs temperature curve of 2.
Measurements of magnetisation versus applied field, M(H) were carried out on each material at 3 and 300 K. The results are summarised on Table 3 and the representative sample is plotted in Figure 8. It is interesting to observe that there is a large difference in the coercivity values from 3 to 300 K. The decrease in the coercivity value at higher temperature suggests that the complexes tend to reach a super paramagnetic at higher temperature

Figure 8. Represents the Mr and Hc values of the hysteresis curves at 3 and 300 K of 2.
The reciprocal of magnetic susceptibility obeys the Curie-Weiss law in the temperature range from 20 to 300 K. The Weiss constant was obtained by way of the Curie-Weiss law. The θ value was -4.566, indicating that there exists a non-negligible antiferromagnetic coupling in this complex.
| Complex | Temperature(K) | Hc (Oe) | Mr emu/g | Ms emu/g |
| 1 | 3 | 548.72 | 5.56 | 17.696 |
| 300 | 72.88 | 1.51 | 15.596 | |
| 2 | 3 | 961.77 | 0.0239 | 0.15 |
| 300 | 61.64 | 2.306 x10-5 | 0.021 | |
| 3 | 3 | 881 | 6.95 x10-3 | 0.06 |
| 300 | 268 | 4.29 x10-4 | 0.03 |
Conclusions
We have successfully synthesised metal complexes with substituted s-indacene ligand by means of salt elimination. Mossbauer study shows the oxidised metal centres. Furthermore, the attempts of partial oxidisation of metal centres in the complexes either chemically or electrochemically failed suggesting the ligand centred oxidation. The magnetic measurements suggest that the complexes synthesised are magnetic at lower temperatures suggesting the spin cross over phenomenon. Electrochemical characterisation suggests the strong electronic delocalisation in these complexes. A future research goal in this area is to discern the suitability of these complexes for magnetic applications in memory storage devices. We are trying to encapsulate the complexes to avoid air sensitivity for said applications.
Acknowledgements
Author (K.M.S & M.P) acknowledge to the department of minority government of Karnataka for their financial support (Grant letter No: DOM/ FELLOWSHIP/CR-27/2017-18) to carry out this research. Authors also acknowledges the financial support from DST-FIST (Grant No: SR/FST/CSI-274/2016). And the seed money grant of Vijayanagara Sri Krishnadevaraya University. Mössbauer data Predicted with the collaboration of Raghavendra Reddy.
References
[1] T. J. Katz, N. Acton, and J. McGinnis, “Sandwiches of iron and cobalt with pentalene,” J. Am. Chem. Soc., vol. 94, no. 17, pp. 6205-6206, 1972, doi:10.1021/ja00772a053
[2] T. J. Katz and J. Schulman, “The as-indacenyl dianion and bis(as-indacenyliron),” J. Am. Chem. Soc., vol. 86, no. 15, pp. 3169-3170, 1964, doi:10.1021/ja01069a053
[3] P. Roussel, D. R. Cary, S. Barlow, J. C. Green, F. Varret, and D. O’Hare, “Ligand-centered oxidation in a diiron s-indacene complex,” Organometallics, vol. 19, no. 6, pp. 1071-1076, 2000, doi:10.1021/om990937c
[4] D. Mac-Leod Carey et al., “[Cp*Ru(s-indacene)RuCp*] and [Cp*Ru(s-indacene)RuCp*]+: Experimental and theoretical findings concerning the electronic structure of neutral and mixed valence organometallic systems,” Polyhedron, vol. 29, no. 3, pp. 1137-1143, 2010.doi:10.1016/j.poly.2009.12.002
[5] C. Bonifaci et al., “Heterobimetallic indenyl complexes. Synthesis and structure of cis-[Cr(CO)3(indenyl)RhL2 (L2 = norbornadiene, (CO)2),” Organometallics, vol. 12, no. 10, pp. 4211-4214, 1993, doi:10.1021/om00034a069
[6] J. M. Manriquez et al., “Structural and physical properties of delocalized mixed-Valent [cp*M(pentalene)M’Cp*]n+ and [cp*M(indacene)M’Cp*]n+ (M, M’ = Fe, co, Ni; N = 0, 1, 2) complexes,” J. Am. Chem. Soc., vol. 117, no. 23, pp. 6182-6193, 1995, doi:10.1021/ja00128a004
[7] W. M. Reiff, J. M. Manriquez, and J. S. Miller, “Mössbauer spectroscopy study of new examples of highly delocalized, fully averaged mixed valence di-iron and iron-ruthenium compounds, [trans-μ-(pentalenyl)bis(pentamethylcyclopentadienyl iron]+BF−4 and the related μ-symmetric-indacene system,” Hyperfine Interact., vol. 53, no. 1-4, pp. 397-402, 1990, doi:10.1007/BF02101073
[8] W. M. Reiff, J. M. Manriquez, M. D. Ward, and J. S. Miller, “57Fe mossbauer spectroscopy studies of new examples of fully averaged mixed valence diiron and iron/ruthenium compounds,” Mol. cryst. liq. cryst. inc. nonlinear opt., vol. 176, no. 1, pp. 423-428, 1989, doi:10.1080/00268948908037499
[9] B. Oelckers, I. Chavez, J. M. Manriquez, and E. Roman, “On the way to delocalized organometallic polymers: triple- and quadruple-decker pentalene complexes of iron and cobalt,” Organometallics, vol. 12, no. 9, pp. 3396-3397, 1993, doi:10.1021/om00033a007
[10] S. Barlow and D. O’Hare, “Metal−Metal interactions in linked metallocenes,” Chem. Rev., vol. 97, no. 3, pp. 637-670, 1997, doi:10.1021/cr960083v
[11] A. E. Ashley, R. T. Cooper, G. G. Wildgoose, J. C. Green, and D. O’Hare, “Homoleptic permethylpentalene complexes: ‘double metallocenes’ of the first-row transition metals,” J. Am. Chem. Soc., vol. 130, no. 46, pp. 15662-15677, 2008, doi:10.1021/ja8057138.
[12] A. E. Ashley, A. R. Cowley, and D. O’Hare, “The hexamethylpentalene dianion and other reagents for organometallic pentalene chemistry,” Chem. Commun. (Camb.), no. 15, pp. 1512-1514, 2007, doi:10.1039/b702150j
[13] O. Kahn, J. Kröber, and C. Jay, “Spin Transition Molecular Materials for displays and data recording,” Adv. Mater., vol. 4, no. 11, pp. 718-728, 1992, doi:10.1002/adma.19920041103
[14] C. Morales-Verdejo et al., “New mono and bimetallic iron complexes derived from partially methylated s-indacene. Evidence of a trinuclear iron s-indacene complex,” Polyhedron, vol. 69, pp. 15-24, 2014. Polyhedron, vol. 69, pp. 15-24, 2014, doi: 10.1016/j.poly.2013.11.023
[15] C. Morales-Verdejo, E. Schott, X. Zarate, and J. M. Manriquez, “Novel mono- and heterobimetallic chromium−nickel s-indacene complexes: synthesis, characterization, and DFT studies,” Can. J. Chem., vol. 92, no. 7, pp. 677-683, 2014, doi: 10.1139/cjc-2014-0126
[16] E. E. Bunel et al., “Bis[(pentamethylcyclopentadienyl)metal]pentalenes. A new class of highly delocalized, fused metallocenes,” J. Am. Chem. Soc., vol. 110, no. 19, pp. 6596-6598, 1988, doi:10.1021/ja00227a068
[17] M. R. Dahrouch et al., “An effective and selective route to 1,5-dihydropolyalkylated s-indacenes: Characterization of their mono- and dianions by silylation. Structure of trans-1,5-bis(trimethylsilyl)-2,6-diethyl-4,8-dimethyl-s-indacene,” Organometallics, vol. 20, no. 26, pp. 5591-5597, 2001.doi: 10.1021/om010119w
[18] J. F. Araneda et al., “A new series of zirconium metallocenes derived from partially alkylated s-indacene with potential applications in the polymerization of ethylene,” InorganicaChim. Acta, vol. 434, pp. 121-126, 2015, doi: 10.1016/j.ica.2015.05.011
[19] E. E. Bunel, L. Valle, and J. M. Manriquez, “Pentamethylcyclopentadienyl acetylacetonate complexes of iron(II), cobalt(II), and nickel(II). Convenient synthetic entries to mono-.eta.5-C5Me5 derivatives,” Organometallics, vol. 4, no. 9, pp. 1680-1682, 1985, doi:10.1021/om00128a034
[20] K. D. Demadis, C. M. Hartshorn, and T. J. Meyer, “The localized-to-delocalized transition in mixed-valence chemistry,” Chem. Rev., vol. 101, no. 9, pp. 2655-2686, 2001, doi:10.1021/cr990413m
[21] M. B. Robin and P. Day, “Mixed valence chemistry-A survey and classification,” in Advances in Inorganic Chemistry and Radiochemistry, Elsevier, 1968, pp. 247-422, doi:10.1016/S0065-2792(08)60179-X
[22] M. K. Amshumali et al., “Synthesis, characterization and structure of diiron organometallic derivatives of 2,9-dimethyl-1,10-dihydro-dicyclopenta[a,h]naphthalene,” J. Organomet. Chem., vol. 690, no. 5, pp. 1340-1349, 2005, doi: 10.1016/j.jorganchem.2004.12.009.
Notas de autor
amshumali@vskub.ac.in