Trabajo Original. Otros
Received: 01 June 2017
Accepted: 28 August 2017
DOI: https://doi.org/10.20960/nh.1319
Abstract
Introduction: Oxidative stress markers such as nitric oxide (NO) have been investigated in hemodialysis (HD).
Objective: Evaluate the association of NO variation with adiposity indicators, metabolic, inflammatory and oxidative stress markers in individuals to HD.
Methods: Cross-sectional study with 85 subjects on HD treatment (≥ 18 years). The clinical-nutritional status was evaluated through subjective global assessment modified (SGAm), anthropometric measurements and body composition. Dietary intake was evaluated using a food frequency questionnaire. Metabolic markers were obtained from medical records. Inflammatory markers (IL-6 and IL-10) and oxidative stress, (TACs), (SOD), (GST), (MDA) and NO were determined using standardized protocols.
Results: Those individuals with a high concentration of NO (> 4.32 μmol/L) had lower values for SGAm score (p = 0.012) and higher iron values (p = 0.050), Fe saturation (p = 0.037) and triacylglycerol (p = 0.003). The same subjects still had lower consumption of copper (p = 0.026), manganese (p = 0.035), vitamin E (p = 0.050), ω3 (p = 0.021) and ω6 (p = 0.020). In a multiple regression model, concentrations of ferritin, triacylglycerol, IL6 and SOD contributed to a 54.8% increase in NO concentrations, whereas triacylglycerol and SOD concentrations were independent factors for NO variation (p < 0.001).
Conclusions: The clinical and nutritional status as well as intake of nutrients with antioxidant properties (Cu, Zn, Mn, vitamin C and ω3) appears to modulate the variation of NO in this population.
Key words: Reactive nitrogen species, Inflammation, Superoxide dismutase, Food intake, End-stage renal disease.
Resumen
Introducción: se han investigado marcadores de estrés oxidativo como el óxido nítrico (NO) en hemodiálisis (HD).
Objetivo: evaluar la asociación de la variación del NO con los indicadores de adiposidad, los marcadores metabólicos, inflamatorios y de estrés oxidativo en individuos a HD.
Métodos: estudio transversal con 85 sujetos en tratamiento HD (≥ 18 años). El estado clínico-nutricional se evaluó a través de la evaluación global subjetiva modificada (SGAm), medidas antropométricas y composición corporal. La ingesta dietética se evaluó mediante un cuestionario de frecuencia alimentaria. Marcadores metabólicos se obtuvieron de los registros médicos. Se determinaron marcadores inflamatorios (IL-6 e IL-10) y estrés oxidativo (TAC), (SOD), (GST), (MDA) y NO mediante protocolos estandarizados.
Resultados: los individuos con una alta concentración de NO (> 4,32 μmol/L) tuvieron valores más bajos de puntuación de SGAm (p = 0,012) y mayores valores de hierro (p = 0,050), saturación de Fe (p = 0,037) y triacilglicerol (p = 0,003). Los mismos sujetos tuvieron un menor consumo de cobre (p = 0.026), manganeso (p = 0,035), vitamina E (p = 0,050), ω3 (p = 0,021) y ω6 (p = 0,020). En un modelo de regresión múltiple, las concentraciones de ferritina, triacilglicerol, IL6 y SOD contribuyeron a un aumento de 54,8% en las concentraciones de NO, mientras que las concentraciones de triacilglicerol y SOD fueron factores independientes para la variación del NO (p < 0,001).
Conclusiones: el estado clínico y nutricional así como la ingesta de nutrientes con propiedades antioxidantes (Cu, Zn, Mn, vitamina C y ω3) parecen modular la variación del NO en esta población.
Palabras clave: Especies nitrogenadas reactivas, Inflamación, Superóxido dismutasa, Ingesta de alimentos, Enfermedad renal terminal..
INTRODUCTION
Chronic kidney disease (CKD) is a worldwide health problem due to its high incidence 1. High morbidity and mortality in CKD is associated with its own progression to end-stage renal disease (ESRD) and the development of other metabolic disorders that increase the risk for cardiovascular diseases 2.
In turn, hemodialysis (HD), an essential treatment in ESRD, contributes to the increase of oxidative stress due to a diminished antioxidant system, and subsequently to the manifestation of inflammation and endothelial dysfunction, all risk factors for atherosclerosis in this population 3. Thus, oxidative stress markers have gained interest as non-traditional cardiometabolic risk factors in ESRD 4.
Among the markers of oxidative stress, nitric oxide (NO), a recognized vasodilator and cardioprotector, is prominent 5. Many cells are able to synthesize NO by the activity of the enzyme nitric oxide synthase (NOS), which converts the amino acid L-arginine to NO and L-citrulline 6. NO has important functions in renal physiology such as maintenance of homeostasis in blood flow, renal excretion and renin secretion; and tubule glomerular return 7. However, NO may be toxic under conditions of oxidative stress, from the generation of reactive oxygen species (ROS) and deficiency of the antioxidant system 8.
In this context, NO concentrations could be associated with other markers of oxidative stress and inflammation in the ESRD, although there were little studies regarding this topic 9.
Overall, the present cross-sectional study aimed to evaluate the potential association of NO variation with adiposity indicators, as well as metabolic, inflammatory and oxidative stress markers in individuals submitted to HD.
MATERIAL AND METHODS
STUDIED POPULATION
This is a cross-sectional study with 85 subjects on HD treatment (≥ 18 years old), the majority of participants were men (65.9%; n = 56) and the average age was 62 ± 13.7 years old attended in a single dialysis center. Patients underwent three weekly sessions of HD with an average duration of 4 hours, blood flow greater than 250 mL/min and dialysate flow of 500 mL/min. Individuals who did not show interest in participating in the study, with a treatment time of less than one month in HD and those with hearing impairment, newly implanted catheters, hemodynamic instability, evaluated by the doctor of the sector, and those unable to stand for anthropometric evaluation were not included in the study.
CLINICAL-NUTRITIONAL STATUS ASSESSMENT
The clinical-nutritional status was assessed using nutritional risk score subjective global assessment modified (SGAm), and anthropometric and body composition measurements. The SGAm used was based on the model proposed by Kalantar- Zadeh et al. 10 for renal patients on dialysis.
Anthropometry and tetrapolar electrical bioimpedance (BIA) were performed approximately 30 minutes after the end of HD. The anthropometric measures included dried weight (kg), height (cm), and waist circumference (WC), which were performed according to previously standardized procedures 11) (12) (13.
Body mass index (BMI) was calculated and individuals were classified according to the cut-off points of the World Health Organization 14 for adults and Lipschitz 15 for the elderly. The individuals were classified according to the cardiometabolic risk, according to the CP values, using the WHO cut-off points, 1995 14.
DIETARY INTAKE ASSESSMENT
A semi-quantitative food frequency questionnaire was constructed, based on an Australian questionnaire validated for renal patients 16) (17. Thus, the food portions of each group were analyzed according to the Food Guide for the Brazilian Population (2006) 18: cereals, tubers and roots, fruits, vegetables and legumes, and other vegetable foods rich in proteins, milk and dairy products, meat and eggs, fats, sugars and salt, water. The oilseeds group was also inserted, according to the Food Guide for Brazilian Population (2014) 19. The reference portion was based on the Family Budget Survey (POF) 2008 table 19. The fruit and vegetable group was divided into high, medium and low potassium.
Nutrient intake was calculated as frequency x nutrient composition of each portion size for each consumed food item, in spreadsheet in Microsoft Excel 2010, according to the nutritional composition of foods of Brazilian tables 20. Therefore, we evaluated the daily caloric intake (kcal), carbohydrates, protein, lipids and fatty acid profile (in percentage of caloric intake), fiber (g), calcium (g), phosphorus (mg), potassium (mg) and sodium (mg), magnesium (mg), manganese (mg), iron (mg) , selenium (μg), thiamine (mg), niacin (mg), cyanocobalamin (μg), vitamin E (IU), vitamin C (mg) and folate (mg).
METABOLIC MARKERS
The metabolic markers analyzed in the present study were those obtained from medical records: albumin, urea, urea removal rate (URR), creatinine, potassium, phosphorus, calcium, calcium-phosphorus (Ca-P) product, parathyroid hormone (PTH), hemoglobin (Hb), hematocrit (Ht), ferritin, iron (Fe), transferrin saturation (SatFe), C-reactive protein (CRP), triacylglycerol and total cholesterol. The Kt/V was calculated using the equation proposed by Daugirdas II 21. Values of urea Kt/V > 1.2 were considered indicative of efficiency in HD.
INFLAMMATORY AND OXIDATIVE STRESS MARKERS
Blood samples were collected before the beginning of HD. Blood was collected in (Vacutainer(r)) tubes containing EDTA as anticoagulant. Serum was separated in a refrigerated centrifuge (15 min, 3000 rpm, 4 °C) and both stored at -80 °C for posterior analysis. Serum IL-2, IL-4, IL-6, IL-10 concentrations were measured by flow cytometry technique with the BD FACverse Cytometer, using the Human Th1/Th2/Th17 CBA Kit (BD Biosciences, USA) at the Laboratory of General Biology, Department of General Biology, Universidade Federal de Viçosa. The results were obtained using the software Facsuite (BD(r)). Serum total antioxidant capacity (TAC), enzymes activity superoxide dismutase (SOD), and glutathione S-transferase (GST), the lipid peroxidation product malondialdehyde (MDA) and NO were considered as biomarkers of oxidative stress. TAC was measured by colorimetric assay using the Antioxidant Assay Kit (CS0790, Sigma Aldrich), according to the protocol provided by the manufacturer, and other markers were assessed standardized protocols of the Laboratory of Echophysiology of Chiroptera - Department of Animal Biology, Universidade Federal de Viçosa, as follows.
Activity of antioxidant enzymes
SOD activity was measured in serum in a microplate reader ( = 570 nm) 22, based on the ability of this enzyme to catalyze the reaction of superoxide radical (O2-) thus decrease the auto-oxidation ratio of pyrogallol. The results were expressed as U SOD/ mg protein.
GST was measured through the formation of GSH conjugate, 2.4- dinitrobenzene (CDNB), and estimated by the change in absorbance at 340 nm for 60s. The molar extinction coefficient of CDNB at 340 nm is 9.6 mM-1cm-1, which was used for the calculations 23. GST activity was expressed as µmol/min-/g.
Malondialdehyde
The concentration of MDA was estimated as described by Wallin et al. 24. 200 μl aliquots of each serum sample were separated and added to a 400 μl of heated, vortex homogenized solution TBARS whit trichloroacetic acid (15%) / thiobarbituric acid (0.375%) / hydrochloric acid (0.25 M) for 40 minutes in boiling water (90 °C) and then cooled in an ice bath for 5 minutes. 600 μL of butyl alcohol were added and again homogenized in vortex for ~ 2 minutes. The solutions were centrifuged at 3,000 rpm at room temperature (10 minutes at 900g). 200 uL of the supernatant were separated for quantifying the MDA concentration in microplate reader ( = 535 mm). The concentration of MDA was determined by standard curve from known concentrations of 1,1,3,3-tetramethoxypropane (TMPO). The results were expressed as μM/mg protein.
Nitric oxide
The serum for the NO tests was prepared as described above. The production of nitric oxide was indirectly quantified through nitrite content in the serum sample by the Griess reaction25, composed of 1% sulfanilamide and 0.1% naphthyl-ethylene-diamine in 2.5% in 2,5% H3PO4. Thus, 50 μL of the supernatant from the samples were added to microplates with equal volume of the Griess Reactant and incubated at room temperature for 15 minutes, then determined on a microplate reader ( = 570 nm). The nitrite concentration of the samples was determined using standard curve with known concentrations of sodium nitrite (NaNO2) and expressed in m/mg protein.
The protein concentration used in the calculations of the activity of antioxidant enzymes, MDA, and NO was measured by the method of Lowry et al. (1951), using bovine serum albumin as previously standardized 26.
STATISTICAL METHOD
Normal distribution of the data was determined using the Kolmogorov-Smirnov test. Data were expressed as mean ± standard deviation, median (interquartile range). The study population was divided by the median NO concentrations (4.32 μmol/L) in low and high NO concentration. The median cutoff criteria have been previously applied based 27 on a valid and reliable method to assign two groups of risk in epidemiological studies 28.
Comparisons between groups were performed using Student's t-test for parametric variables, or Mann-Whitney, for non-parametric variables. The correlation analysis between variables of interest was performed using Pearson or Spearman correlation coefficient, as appropriate. Multiple regression analysis was used to determine indicators of the variation of NO concentration of the sample studied. For the construction of multiple linear models, the value of p ≤ 0.20 obtained in the bivariate analysis was used as criterion for inclusion of the variables. In the final model, the backward method was used, for which the variables with less significance (greater p value) were removed one by one from the model.
Statistical analysis was performed using the SPSS 20.0 program (SPSS, Inc., Chicago, IL, USA) and a significance level of less than 5% was applied.
RESULTS
STUDY SAMPLE
The majority of the participants were men (65.9%; n = 56) and elderly (61.2%, n = 52). The main causes of CKD in the study population were hypertensive nephrosclerosis (41.2%; n = 35) and diabetes mellitus (32.9%; n = 28). The HD time ranged from 1 to 245 months, with a median of 41.5 months, presenting a statistical tendency when associated with NO (p = 0.062). In addition, the sample presented mean of Kt/V (1.52 ± 0.39) and serum albumin (4.08 ± 0.24 g/dL) as excepted to HD efficiency and nutritional adequacy. Regarding dietary intake, these individuals have an energy balance for macronutrients, with a high consumption of food sources of potassium 2,548.50 mg/d (935.4-8, 276, 0).
NO AND CLINICAL-NUTRITIONAL STATUS
In relation to weight status evaluated by BMI, 9.1% (n = 3) of adults were classified as underweight, 72.7% (n = 24) as normal weight, 15.2% (n = 5) pre-obese and 3% (n = 1) obesity class I. Among the elderly, 34.6% (n = 18) were classified as underweight, 44.2% (n = 23) normal weight and 21.2% (n = 11) were overweight. There was no statistical difference in relation to NO concentration (p = 0,395), according to weight status.
According to mSGA, nutritional status was adequate in 10.6% (n = 9) of the individuals, while 89.4% (n = 76) were at nutritional risk / mild malnutrition. Interestingly, the mSGA score was statistically lower in subjects with high NO (p = 0.012). By the WC, central adiposity indicator according to WHO (1997) (18), 22.4% of the patients had a high risk and a very high risk of obesity-related metabolic complications, with a very high risk being greater among women. By total body fat, 20.0% had fat shortage and 23.5%, excess fat. There was no statistical difference with these adiposity indicators in relation to NO concentration (Table I).

NO AND DIETARY INTAKE
Daily intake of total calories, alpha-linolenic fatty acid (ω3) and linoleic acid (ω6) were different according to median of NO concentration (Table II). In relation to micronutrients, a higher consumption of manganese, copper, zinc, selenium, vitamin B12 and Vitamin C was observed as well as a statistical tendency for lower consumption of vitamin E and niacin in those individuals with high NO.

NO AND METABOLIC MARKERS
Regarding metabolic markers, mean values of iron and satFe are in the normal range and are statistically higher in subjects with a high NO concentration (Table I). PTH presented lower values for median in subjects with high NO concentrations (p = 0.044), whereas an inverse behavior was observed with serum triglyceride levels (p = 0.003) at high NO concentrations. On the other hand, ferritin presented a significant trend (p = 0.084) with a mean higher than that recommended for high NO concentrations.
NO, INFLAMMATORY MARKERS AND OXIDATIVE STRESS
Interestingly, there was a positive correlation of NO with the SOD enzyme (r = 0.616 p < 0.001), and negative correlation with total protein (r = -0.214 p = 0.049), as shown in Fig 1. No significant correlations were found among others markers such as MDA and GST, or TAC when related to NO. Furthermore, NO concentrations were negatively correlated with IL-6 and IL-10 concentrations, pro- and anti-inflammatory markers, respectively (Fig. 2).


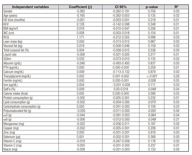
In addition, the possible contribution of clinical and anthropometric variables, as well as metabolic, inflammatory and oxidative stress markers, and dietary intake to the NO variation in HD individuals were evaluated through bivariate regression analysis. Thus, IL-6, SOD, triacylglycerols, iron, transferrin saturation, ferritin and ingestion of ω6 were significantly association with NO concentration (Table III). In relation to inflammatory and oxidative stress markers, MDA, SOD, GST and IL-10 were positively associated, whereas IL-2, IL-4 and IL-6 formed negative predictors of NO (Table IV).


Finally, in the multiple regression model, the concentrations of ferritin, triacylglycerols, IL-6 and SOD contributed with a 54.8% of variation in NO concentrations, whereas triacylglycerols and SOD concentrations were independent predictors (Table V).

DISCUSSION
The present study evaluated the potential association of NO variation with metabolic, inflammatory and oxidative stress markers in individuals submitted to HD. Our most relevant result was the concentration of SOD, also recognized marker of oxidative stress, as an independent predictor of NO variation.
In this context, NO produced by eNOS under favorable conditions may induce the production of SOD in the muscular layer of the vessel and extracellularly reducing available superoxide radicals (O2-) and, consequently, peroxynitrite production (ONOO-) and oxygen reactive species (ROS) expression. In fact, increased production of ROS, such as superoxide, hydrogen peroxide and lipoperoxides, in addition to decreased NO synthesis and concentrations of antioxidants such as vitamin E and SOD, has been observed in hypertension patients when compared to normal individuals. These individuals with hypertension still have decreased concentrations of antioxidants such as vitamin E and SOD 29. It is worth mentioning that vitamin E could also have a pro-oxidant action under special conditions that can be found in HD patients 30. In fact, oral administration of α-tocopherol (500 mg/day) for 1 year for HD patients caused a reduction in SOD activity and total antioxidant status 31. This may be due to the low level of other antioxidants needed to restore the reduced form of vitamin E (e.g., vitamin C) 31. Although vitamin E therapy has been extensively studied in patients with CKD, there is no consensus on the benefit obtained from its administration 32. The same was found in study by Hambali et al. 33 also found reduced plasma NO in all subjects after HD when compared to controls and consequently reduced SOD, demonstrating a direct relationship between SOD and NO.
Moreover, the cytosolic SOD enzyme is copper and zinc dependent. The decrease of these ions in patients receiving HD may contribute to a decrease in SOD activity and a consequent increase in inflammatory expression 34. In this context, some studies have described interactions between zinc/ copper deficiency and nitrosamine stress with iNOS induction and inflammation, which may contribute to the pathogenesis of diarrheal and cardiovascular diseases 35. Zinc, in turn, has anti-inflammatory properties in vivo because of its ability to suppress the induction of cytokines by iNOS, since it is an antioxidant enzyme. Zn supplementation can improve taste and smell and gastrointestinal function, increase food intake, and reduce protein-energy waste 36. Thus, patients with Zn deficiency receiving Zn supplementation have improvements in their antioxidant-antioxidant balance and nutritional status 37, which probably contributes to the increase in plasma SE status. In this sense, consumption above recommendations was observed both in individuals with high and low NO concentrations of minerals (Mn, Cu and Zn), vitamin C and α-linolenic fatty acids (ω3), all nutrients with antioxidant properties. Thus, we hypothesized that our sample presents a favorable antioxidant system, since these nutrients act as enzymatic cofactors. Studies highlight them by inhibiting lipoprotein oxidation as an anti-peroxidation agent, and indirectly promote iNOS activation antagonistic action, improving NO vasodilator vascular action, decreasing the available (O2-) 38. Evidence also shows that polyunsaturated fatty acids, especially ω3, promote an increase in the regulation of the NO system by iNOS 39. Thus, the results of dietary intake in relation to NO concentrations reinforce our hypothesis that there is a suitable system for NO activity. However, these benefits were not confirmed by Kooshki et al. 40 who did not observe improvements in F2-isoprostane levels nor in carbonylic proteins after supplementation with 2.08 g/day EPA 1 DHA and 800 mg/day DHA 1 vitamin E, respectively. These findings corroborate the results of the study by Mattos et al. 2017 41 in which supplementation at physiological doses of n-3 PUFA was not able to alter oxidative stress profiles. However, linear regression analysis showed that n-3 PUFA is associated with improved rates of isoprostane and advanced oxidation protein products (AOPP) in HD patients.
The second relevant result of this study was a negative association between inflammatory markers and NO concentrations. In fact, the increase of NO, through the regulation of iNOS by inflammatory cytokines, such as IL-1, IL-6, and TNF in patients submitted to HD has been demonstrated in the literature 42. In addition, Amore et al. 43 demonstrated that abnormal stimulation of iNOS by cytokines was closely associated with the development of vasculopathy in long-term dialysis patients, consistent with the inverse assumption in our study.
Another interesting result of our study was the higher concentrations of triacylglycerols in those individuals with high NO concentration. The same was observed in the study by Volpe et al. 44. Free fatty acids are stored in the body in the form of triacylglycerols and are released into the tissues by lipolysis. This triacylglycerol increases NO production in the skeletal muscle, through the iNOS, contributing to the initiation of the inflammatory cascade, by activation of transcription factor NF-κB 45. Taken together, our and previous outcomes suggest that high triacylglycerol may contribute to increase NO production in situations of inadequate antioxidant defense.
In addition, our results showed a positive association between serum iron values and transferrin saturation and a significant trend for ferritin and NO concentration in the individuals studied. Iron supplementation is a common recommendation for patients with renal disease; however, excess iron can act as a pro-oxidant factor, thus contributing to the oxidation of molecules, such as NO. This, produced by eNOS, induces the synthesis of ferritin, which binds to free iron ions and prevents the generation of O2-. However, under conditions of vascular endothelium impairment, activated macrophages produce O2-, express iNOS and produce NO. In this way, ONOO- and hydroxyl radical (OH-) are produced, compromising tissue integrity, which favors the activation of coagulation and contributes to vascular lumen obstruction, increasing the response of vasoconstrictors such as Angiotensin II (AII) 46. Thus, it appears that iron being free can aggravate oxidative stress in individuals in HD and, consequently, contribute to atherosclerosis and oxidative stress.
Another important finding is that anemia is a common complication observed in renal patients and the administration of recombinant human erythropoietin (RHE) and intravenous iron are recommended by the Kidney Disease Outcomes Quality Initiative (KDOQI) Clinical Practice Guidelines 47. Previous studies have indicated that anemia acts as a contributing factor associated with CKD and oxidative stress, while adjuvant therapies, mainly intravenous (i.v.) iron, seem to further increase this process 48. However, in our study, mean values of ferritin higher than 500 ng/mL were observed in those individuals with high NO concentrations and adequate Fe and SatFe values in the majority of participants, remembering that Fe supplementation in this population is common. Since ferritin with higher values in the group of individuals with high NO concentration and eNOS stimulating the synthesis of ferritin to sequester the free Fe 49 we could suggest that there is an adequate production of NO with vasodilator function in this population.
Finally, in the present study, mGSA presented significantly higher scores, corresponding to malnutrition status, being statistically significant at low NO concentrations (p = 0.012). In this sense, the pro-inflammatory state, oxidative stress, endothelial dysfunction and malnutrition resulting from these pathological processes are common to CKD. mGSA is a reliable tool for assessing early malnutrition 50. The presence of malnutrition may contribute to the reduction of NO synthesis, release and activity by eNOS, activating several components of the atherogenic process, such as vasoconstriction 51. The study by Silva et al. corroborates with these findings, since they observed a blockade in the transport of L-arginine and synthesis of nitric oxide, being this one associated with the increase of the platelet aggregation in individuals with malnourished DRT 52. In our study, there was no association between the markers of body composition and NO. One explanation for this result is that the majority of study participants presented normal albumin values. In this sense, Danielski et al. 53 demonstrated that inflammatory and oxidative stress markers were increased in patients with hypoalbuminemia when compared to normoalbuminemic patients. In addition, our samples presented in majority normal weight and adequate body fat mass. Thus, the lack of association between oxidative stress and body fat composition markers may be influenced by the low prevalence of malnutrition or by the antioxidant effect of albumin.
In conclusion, the present cross-sectional study showed a significant association of NO with markers of lipid and iron metabolism, as well as with inflammatory markers (IL6 and IL10) and oxidative stress (SOD) in HD patients, indicating its important risk mediator of this population. In addition, the clinical-nutritional status and nutrient consumption with antioxidant properties (Cu, Zn, Mn, vitamin C and ω3) seem to modulate this relationship.
ACKNOWLEDGEMENTS
The authors declare that they have no conflicts of interest. We thank the volunteers and the master's and doctoral scholarships from CAPES and CNPq. We also thank the FAPEMIG (Minas Gerais/Brazil) and CNPq by financial support. H.H.M. Hermsdorff is CNPq fellow.
REFERENCES
1. Balasubramanian S. Progression of chronic kidney disease: mechanisms and intervention in retardation. J Ap Med 2010;10:19-28.
2. Shah S, Baliga R, Rajapurkar M, et al. Oxidants in chronic kidney disease. J Am Soc Nephrol 2007;18:16-28.
3. Cachofeiro V, Goicochea M, Vinuesa S. Oxidative stress and inflammation a link between chronic kidney disease and cardiovascular disease. Kidney Int 2008;74:4-9.
4. Kuo K, Tarng D. Oxidative stress in chronic kidney disease. Adaptive Medicine; 2010;2:87-94.
5. Snyder SH, Bredt DS. Biological role of nitric oxide. Science Am 1992;266:68-77.
6. Förstermann U, Sessa W. Nitric oxide synthases: regulation and function. European Heart Journal, Oxford 2011;31:829-37.
7. Baylis C. Nitric oxide deficiency in chronic kidney disease. American Journal of Physiology - Renal Physiology, Bethesda 2008;294:F1-F9.
8. Modlinger PS, Wilcox CS, Aslam S. Nitric oxide, oxidative stress, and progression of chronic renal failure. Seminars in Nephrology 2004;24:354-65.
9. Harrison DG. The mosaic theory revisited: common molecular mechanisms coordinating diverse organ and cellular events in hypertension. Journal of the American Society of Hypertension 2013;7:68-74.
10. Kalantar-Zadeh K, Kleiner M, Dunne E, et al. A modified quantitative subjective global assessment of nutrition for dialysis patients. Nephrol Dial Transplant 1999;14:1732-8.
11. Jeliffe DB. Evaluation del estado de nutrición de la comunidad com especial referencia a lãs encuestas em lãs regions in desarrollo. Genebra: Organización Mundial de la Salud; 1968.
12. World Health Organization - WHO Physical status: the use and interpretation of anthropometry. Geneva: Technical Report Series, 854; 1995.
13. Coelho MASC, Amorim RB. Avaliação nutricional em geriatria. In: Duarte ACG. Avaliação nutricional: Aspectos clínicos e laboratoriais. São Paulo: Atheneu; 2007. pp. 155-76.
14. World Health Organization Obesity: preventing and managing the global epidemic. Genebra; 1997.
15. Lipschitz DA. Screening for nutritional status in the elderly. Prim Care 1994;21:55-67.
16. Kalantar-Zadeh K, Kopple JD, Deepak S et al. Features food consumption G. Block hemodialysis patients as obtained by food frequency questionnaire. J Nutr Ren 2002;12:17-31.
17. Molina MDB, Bensenor I, Cardoso LO, et al. Reprodutibilidade e validade relativa do Questionário de Frequência Alimentar do ELSA-Brasil. Cad. Saúde Pública 2013;29:79-389.
18. Brasil, Ministério da Saúde: Guia Alimentar para População Brasileira promovendo a alimentação saudável. Normas e manuais técnicos: Brasília; 2006.
19. Brasil, Ministério da Saúde (2014): Guia Alimentar para População Brasileira promovendo a alimentação saudável. 2ªed. Normas e manuais técnicos: Brasília. IBGE - Instituto Brasileiro de Geografia e Estatística. Pesquisa de Orçamentos Familiares 2002-2003 - POF. Rio de Janeiro, 2004. Pesquisa de Orçamentos Familiares 2008-2009 - POF. Rio de Janeiro; 2010.
20. NEPA - Núcleo de estudos e Pesquisas em Alimentação. Tabela Brasileira de Composição de Alimentos (TACO). 1ª ed. Campinas: NEPA - UNICAMP 2004;42.
21. Hemodialysis Adequacy 2006 Work Group. Clinical practice guidelines for hemodialysis adequacy, update 2006. Am J Kidney Dis 2006;48(1): S2-S90.
22. Dieterich S, Bieligk U, Beulich K. Gene expression of antioxidative enzymes in the human heart: increased expression of catalase in the end-stage failing heart. Circulation 2000;101:33-9.
23. Habig W, Jakoby WB. Assays for determination of glutathione S-transferase. Methods Enzymol 1981;77:398-405.
24. Wallin B, Rosengren B, Shertzer HG, et al. Lipoprotein oxidation and measurements of thiobarbituric acid reacting substances formation in single micrititer plate: its use of evaluation of antioxidants. Analytical Biochemistry 1993; 208:10-5.
25. Green LC, Wagner DA, Glogowski J. Analysis of nitrate, nitrite and ['5N] nitrate inbiological fluids. Anal Biochem 1982;126:131-8.
26. Lowry OH, Rosebrough NJ, Farr AL, et al. Protein measurement with the folin phenol reagent. J Biol Chem 1951;193:265-75.
27. Hermsdorff HHM, Puchau B, Bressan J, et al. Association of body Fat distribution with proinflammatory gene expression in peripheral blood mononuclear cells from young adult subjects. OMICS: J Integr Biol 2010;14:297-307.
28. Willett WC. Nutritional epidemiology. 2nd ed. New York: Oxford University Press; 1998.
29. Kumar KV, Das UN. Are free radicals involved in the pathobiology of human essential hypertension? Free Rad Res Comms 1993;19:59-66.
30. Antoniadi G, Eleftheriadis T, Liakopoulos V, et al. Effect of one-year oral a-tocopherol administration on the antioxidant defense system in hemodialysis patients. Ther Apher Dial 2008;12:237-42.
31. Sesso HD, Buring JE, Christen WG, et al. Vitamins E and C in the prevention of cardiovascular disease in men: The Physicians' Health Study II randomized controlled trial. JAMA 2008;300:2123-33.
32. Chen SC, Lee MY, Huang JC, et al. Association of diabetes mellitus with decline in ankle-brachial index among patients on hemodialysis: A 6-year follow-up study. Cheng X, editor. PLoS ONE 2017;12(4).
33. Hambali Z. Oxidative Stress and Its Association with Cardiovascular Disease in Chronic Renal Failure Patients. Indian Journal of Nephrology 2011;21(1):21-5.
34. Gheddouchi S, Mokhtari-Soulimane N, Merzouk H, et al. Low SOD activity is associated with overproduction of peroxynitrite and nitric oxide in patients with acute coronary syndrome. Nitric Oxide 2015;49:40-6.
35. Torregrossa A, Berkson, Moncrief J. Nitric Oxide 2011;24:S21-S22.
36. Guo CH, Wang CL, Chen PC. Micronutrient Metabolism in Hemodialysis Patients. In: Maria GP, editor. Hemodialysis - Different Aspects. Croatia, Rijeka: InTech; 2011. pp. 173-204.
37. Mazani M, Argani H, Rashtchizadeh N, et al. Effects of zinc supplementation on antioxidant status and lipid peroxidation in hemodialysis patients. J Ren Nutr J Ren Nutr 2013;23(3):180-4.
38. Thomas SR, Stocker R. Molecular action of vitamin E in lipoprotein oxidation: implications for atherosclerosis. Free Radic Biol Med 2000;28:1795.
39. Kooshki A, Taleban FA, Tabibi H, et al. Effects of omega-3 fatty acids on serum lipids, lipoprotein (a), and hematologic factors in hemodialysis patients. Ren Fail 2011;33:892-8.
40. Kooshki A, Taleban FA, Tabibi H, et al. Effects of Marine Omega-3 Fatty Acids on Serum Systemic and Vascular Inflammation Markers and Oxidative Stress in Hemodialysis Patients. Ann Nutr Metab 2011;58(3):197-202.
41. de Mattos AM, da Costa JAC, Jordão Júnior AA, et al. Omega-3 fatty acid supplementation is associated with oxidative stress and dyslipidemia, but does not contribute to better lipid and oxidative status on hemodialysis patients. J Ren Nutr 2017;17:S1051-2276.
42. Madore F, Prud'homme L, Austin JS, et al. Impact of nitric oxide on blood pressure in hemodialysis patients. Am J Kidney Dis 1997;30:665-671.
43. Amore A, Bonaudo R, Ghigo D, et al. Enhanced production of nitric oxide by blood-dialysis membrane interaction. J Am Soc Nephrol 1995;6:1278-83.
44. Volpe, CMO et al. The Production of Nitric Oxide, IL-6, and TNF-Alpha in Palmitate-Stimulated PBMNCs Is Enhanced through Hyperglycemia in Diabetes. Oxidative Medicine and Cellular Longevity 2014. 479587. PMC. Web. 30 Sept. 2016.
45. Suganami T, Tanimoto-Koyama K, Nishida J, et al. Role of the Toll-like receptor 4/NFkappaBthwayIn saturated fatty acidinduced inflammatory changes in the interaction between adipocytes and macrophages. Arterioscler Thromb Vasc Biol 2007;27:84-91.
46. Dusse LMS, Vieira LM, Carvalho MG. Revisão sobre óxido nítrico. Jornal Brasileiro de Patologia e Medicina Laboratorial, Rio de Janeiro 2003;39:343-50.
47. National Kidney Foundation (KDOQI). Clinical Practice Guidelines and Clinical Practice Recommendations for Anemia in Chronic Kidney Disease. Am J Kidney Dis 2006;47:S11-145.
48. Capusa C, Mircescu G. Oxidative stress, renal anemia, and its therapies: Is there a link? J Ren Nutr 2010;20:S71-S76.
49. Davis DW, Lewis ML, Hart DA. Age dependent expression and distribution of nitric oxide (NO) synthase isoforms in the ovine kidney. Open Journal of Molecular and Integrative Physiology 2013;3:61-70.
50. Jones CH, Newstead CG, Will EJ, et al. Assessment of nutritional status in CAPD patients: serum albumin is not a useful measure. Nephrol Dial Transplant 1997;12:1406-13.
51. Noris M, Benigni A, Boccardo P, et al. Enhanced nitric oxide synthesis in uremia: Implications for platelet dysfunction and dialysis hypotension Kidney Int 1993;44:445-50.
52. Silva CDD , Brunini MCT, Reis MB, et al. Effects of nutritional status on the L-arginine-nitric oxide pathway in platelets from hemodialysis patients. Kidney International 2005;68:2173-9.
53. Danielski M, Ikizler TA, McMonagle E, et al. Linkage of hypoalbuminemia, inflammation, and oxidative stress in patients receiving maintenance hemodialysis therapy. Am J Kidney Dis 2003;42:286-94.
Author notes
Correspondence: Helen Hermana M. Hermsdorff. Department of Nutrition and Health. Universidade Federal de Viçosa. Avenue PH Rolfs, s/n. Viçosa, Minas Gerais, 36570-900 Brazil e-mail: helenhermana@ufv.br