Trabajo Original. Pediatría
Nutritional outcomes in children with epidermolysis bullosa: long-term follow-up
Resultados nutricionales en niños con epidermólisis bullosa: seguimiento a largo plazo
Nutritional outcomes in children with epidermolysis bullosa: long-term follow-up
Nutrición Hospitalaria, vol. 35, no. 2, pp. 265-270, 2018
Grupo Arán
Received: 06 May 2017
Accepted: 25 October 2017
Abstract
Background: some types of epidermolysis bullosa (EB) have extracutaneous manifestations. Manifestations that limit food intake and absorption may compromise nutritional status and increasing nutritional requirements.
Objectives: to investigate the following nutritional status indicators: exclusive breastfeeding duration, problems caused by the introduction of complementary foods, birth weight and length, and growth curves of children with EB.
Methods: assessment was based on the World Health Organization (WHO) growth charts. The anthropometric data were stored in the WHO's programs Anthro and Anthro Plus.
Results: three and seven of the ten study children had EB simplex (EBS) and recessive dystrophic EB (RDEB), respectively. Four of the children with RDEB had problems when complementary foods were introduced. The difference between the chronological age and age-for-height at the 25th (A/H 25th) percentile (p) varied from four months to four years and two months. Most children with RDEB (85%) had weight-for-age (W/A) curve below p3 and low height-for-age (H/A), starting before age four years. One child with EBS had excess weight.
Conclusions: anthropometric birth data, exclusive breastfeeding duration, and problems caused by the introduction of complementary foods are useful information for establishing the nutritional profile of children with EB. Supposedly, breastfeeding and no complementary feeding problems were not enough to prevent inadequate nutritional status, observed in the majority of the study children. The original presentation of the growth curves of children with EB may help to determine nutritional involvement and to establish how these children grow. The evaluation of growth curves with WHO as a standard suggests the need to establish growth curves adapted to the most serious type of EB and the need for permanent nutritional monitoring.
Key words: Epidermolysis bullosa+ Nutritional outcomes+ Child+ Growth chart.
Resumen
Introducción: algunos tipos de epidermólisis ampollosa (EB) presentan manifestaciones extracutáneas. Las manifestaciones que limitan la ingesta y absorción de alimentos pueden comprometer el estado nutricional y aumentar las necesidades nutricionales.
Objetivos: investigar los siguientes indicadores de estado nutricional: duración exclusiva de la lactancia, problemas causados por la introducción de alimentos complementarios, peso y longitud al nacer y curvas de crecimiento de los niños con EB.
Métodos: la evaluación se basó en los gráficos de crecimiento de la Organización Mundial de la Salud (OMS). Los datos antropométricos se almacenaron en los programas de la OMS Anthro y Anthro Plus.
Resultados: tres y siete de los diez niños del estudio tenían EB simplex (EBS) y EB distrófica recesiva (RDEB), respectivamente. Cuatro de los niños con RDEB tuvieron problemas cuando se introdujeron alimentos complementarios. La diferencia entre la edad cronológica y la edad para la talla en el percentil 25 (A/H 25) (p) varió de cuatro meses a cuatro años y dos meses. La mayoría de los niños con RDEB (85%) tenían una curva de peso por edad (W/A) por debajo de p3 y baja altura por edad (H/A), comenzando antes de los cuatro años de edad. Un niño con EBS tenía exceso de peso.
Conclusiones: los datos antropométricos de nacimiento, la duración de la lactancia exclusiva y los problemas causados por la introducción de alimentos complementarios son información útil para establecer el perfil nutricional de los niños con EB. La presentación original de las curvas de crecimiento de los niños con EB puede ayudar a determinar la implicación nutricional y establecer cómo estos niños crecen. La evaluación de las curvas de crecimiento con la OMS como patrón sugiere la necesidad de establecer curvas de crecimiento adaptadas al tipo más grave de EB y la necesidad de un seguimiento nutricional permanente.
Palabras clave: Epidermólisis ampollosa, Estado nutricional, Niño, Gráficos de crecimiento.
INTRODUCTION
The term epidermolysis bullosa (EB), introduced in 1886, refers to a group of hereditary blistering diseases characterized by blistering on the skin and mucosa caused by minimum mechanical trauma 1,2. EB is associated with protein changes that cause defective adherence between skin structures, leading to blistering 3. Traditionally, four main types of EB have been identified based on distinct differences at the ultrastructural level where the blisters develop: EB simplex (EBS), junctional EB (JEB), dystrophic EB (DEB), and a mixed type EB called Kindler syndrome (KS) 1,2.
EB severity varies from mild to severe, and skin involvement may be localized or generalized. Skin findings may include blisters, scars, changes in pigmentation, alopecia, absent or dystrophic nails, and hand or foot deformities 4,5. Some types of EB may also cause extracutaneous manifestations. Nutritional status may be compromised by clinical oral, pharyngeal, esophageal, and gastrointestinal manifestations that limit food intake and absorption. Hypermetabolism resulting from skin lesion inflammation may also occur (6). Nutritional involvement in EB is directly related to the severity of the associated clinical complications 6.
Since complications vary in number and intensity over time, it is very difficult to assess whether EB individuals have adequate growth and nutritional status. Weight and growth rate monitoring is a recognized way to verify the growth adequacy of healthy children, but comparison of healthy children's growth rates with those of children with EB has limited value 7. Despite knowledge of the nutritional risk of EB individuals, no assessment parameters exist, and growth charts for healthy children continue to be used 8.
This study investigated the following nutritional status indicators in children with EB: exclusive breastfeeding duration, problems caused by introduction of complementary foods, birth weight and length, and growth curves of children with EB.
MATERIALS AND METHODS
The present descriptive, retrospective clinical cohort study was approved by the Research Ethics Committee of the School of Health Sciences of the University of Brasilia under protocol number 120/12. All subjects provided informed consent. The study included all confirmed cases of EB aged less than 19 years, treated at the Pediatric Nutrition outpatient clinic of the University Hospital of Brasilia, a reference public service opened in 1998. The clinic employs a multidisciplinary team who has assisted roughly 20 patients and currently follows ten patients. Some patient data were collected from the medical records, such as the information registered between August 1998 and May 2013, which included sociodemographic characteristics, age at diagnosis, birth conditions, and anthropometric measurements collected during the entire follow-up period. Given the skin fragility of these patients, anthropometric assessment consisted only of weight and height measurement. Skinfold thicknesses and perimeters were not measured because the instruments needed for these measurements would press or pinch the skin.
Weight and height as a function of age and gender were presented in growth curves by percentile (p). The WHO growth curves height-for-age (H/A), weight-for-age (W/A), and body mass index (BMI)-for-age (BMI/A) were used 9. Since the W/A growth curve only assesses W/A until age ten years, the children's curves were limited to this age or to the nearest age with recorded weight.
The WHO programs Anthro and Anthro Plus 10 produced graphs of individual anthropometric measurements over time. The following variables were assessed during the interview, when the informed consent form was signed: exclusive breastfeeding duration, problems caused by the introduction of complementary foods, age at diagnosis, and birth length and weight. Chronological age on the last assessment was compared with the age that corresponded to height at p25 (A/H25th). This comparison was done because the equation that estimates the energy requirement of EB patients 6 uses p25 as reference of adequacy. The data were presented as years of difference between the chronological age and A/H25th.
RESULTS
Ten cases of EB were studied, seven of the recessive dystrophic EB (RDEB) type and three of the EB simplex (EBS) type. The mean age was ten years, ranging from one to 18 years. Age at diagnosis varied from the first day of life until after the first year of life. All patients were born at term, and nine cases had birth weight of 2,500 grams or more. The child with low birth weight had RDEB.
Nine children were breastfed. One child with RDEB was not breastfed because of the clinical manifestations of the disease. Three of the breastfed children were exclusively breastfed for six months. One child was exclusively breastfed for 18 months, also because of the clinical manifestations of the disease, which prevented the child from accepting complementary foods. Problems related to the clinical manifestations of the disease caused by the introduction of complementary foods (Table I) did not occur in children with EBS, but they occurred in four children with RDEB. No patterns were found regarding the type of problem the children experienced.

Nine patients had birth H/A higher than height at p3. This comparison could not be done for one patient because his birth length had not been recorded in the medical record.
The percent adequacy of the chronological age with respect to A/H25th was ≥ 100% for all children with EBS, but children with RDEB had percent adequacy < 90%, confirming growth impairment. The difference between chronological age and A/H25th varied from four months in the youngest patients to five years and ten months for the oldest patient. When sex was considered, the biggest difference was found in a female patient. The last anthropometric assessment included in this study found that all RDEB patients were underweight and stunted. One EBS patient presented excess weight (Table II).

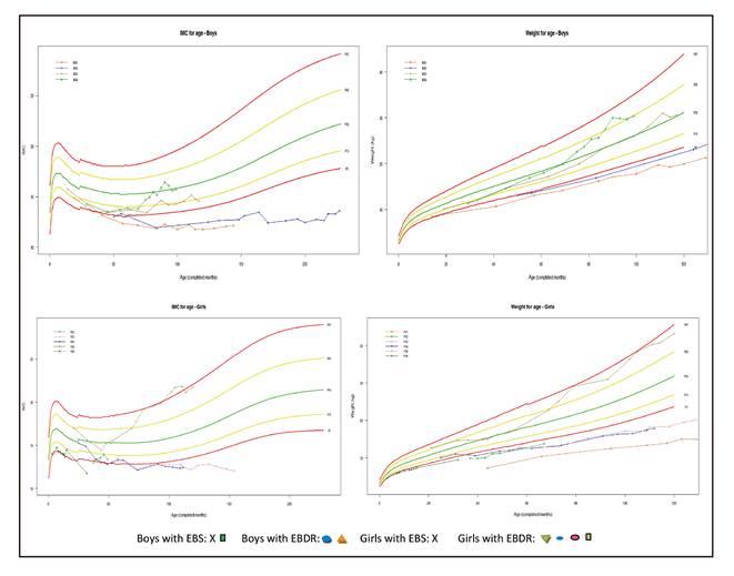
The growth curves based on data from the first to the last assessment show that all EBS patients had ascending W/A curves, and their results were equal to or above those at p3 (Fig. 1).

One patient had W/A equal to or above p85, and after age six years, it increased to p97. Six of the seven patients with RDEB had W/A growth curves below that for p3 in the first visit, during the entire follow-up period, and in the last assessment conducted by this study. One patient had W/A growth curve equal to or above that for p3 between the second and third year of life, but after the third year of life until the last assessment, his curve remained in the same pattern as those of other children with RDEB, that is, below the curve for p3. The H/A and BMI/A growth curves could not be constructed for one patient because of severe lower limb contractures, difficulty to maintain the back and neck straight, and fused feet and ankles.
Three of the seven patients with RDEB had H/A growth curves below that for p3 from the first assessment, which occurred between ages 24 and 48 months. EBS patients did not have impaired growth.
The BMI/A curve of the RDEB children confirmed the underweight of four patients, but the curves of two patients were equal to or above that for p3.
Regarding the difference in years between the chronological age and the age corrected according to current height for the p25 growth curve, RDEB patients differed from EBS patients. Although age at EB diagnosis varied, all RDEB children had W/A curves below that for p3, from the first to the last assessment, or during most of the outpatient follow-up period.
DISCUSSION
To the best of our knowledge, this is the first study to investigate nutritional involvement, exclusive breastfeeding duration, and problems caused by the introduction of complementary foods in EB children conducted in University Hospital of Brasília. We hope this information will contribute to the establishment of the nutritional profile of EB individuals, especially in the first year of life.
EB children may be born with normal weight, but in some cases low weight may begin in the uterus. Fox, Alderdice, and Atherton 11 found that English RDEB children had significantly lower birth weights than their healthy counterparts. On the other hand, the present and other studies 12,13 found that term children generally born with normal weight- and length-for-age stopped growing and gaining weight properly after the clinical manifestations of the disease appeared, as they compromised food intake and increased nutritional requirements. These divergent results indicate the need of more studies that thoroughly investigate birth conditions and short-, medium-, and long-term nutritional involvement.
This study was not able to assess whether nutritional deficits were associated with late disease diagnosis. Nevertheless, in the same way that prognosis is related to EB type 14, it is plausible that worse nutritional status is present in the severe EB types. Other studies may be able to clarify whether early EB diagnosis, especially in the more severe cases, results in better growth.
The WHO recommends exclusive breastfeeding for six months and complemented breastfeeding for two years or more. This practice efficiently promotes proper growth, avoids infant death, diarrhea, and respiratory infections, and reduces the risk of allergies and obesity, among many other benefits 15,16. Literature data on the breastfeeding duration of EB children were not found, but the onset of manifestations may significantly affect the exclusive breastfeeding duration.
According to the WHO, the foods introduced after age six months should complement the numerous qualities and functions of breastmilk. In addition to meeting nutritional requirements, the introduction of complementary foods helps the child to progressively acquire the caregiver's food habits. Moreover, entering a new life stage, where children are exposed to new tastes, colors, aromas, textures, and knowledge, requires an adaptive effort 15. Similar to the present study, Birge 12 found that EB manifestations compromise food intake. Haynes 17 states that the critical interference on food intake begins during dentition and diseases that occur in the first year of life.
The study findings regarding the weight and height of EB children are similar to those in the literature. Birge 12 used growth curves from the National Center for Health Statistics to assess 60 patients with EBS, JEB, and RDEB aged two weeks to 18 years and found that 77% of the 35 RDEB patients had weight-for-age below p5, and 60% had height-for-age below p5. Barbosa et al. 18 assessed gastrointestinal signs and symptoms and nutritional aspects of children with different types of EB and found that the weight and height of 63.1% of their sample were below p2.5. Colomb et al. 19 found that RDEB children start to show delayed growth at a mean age of 4.9 years. The present study could not find length data before age 24 months, so it was not possible to determine when delayed growth began, but it may have been between the first year of life and the age at the first visit since all patients had normal birth length.
Regarding BMI, other studies have also found low BMI in a high percentage of individuals with the more severe types of EB. Barbosa 18 determined nutritional risk by assessing the growth parameters of children with EBS, JEB, and RDEB, and found that 22%, 57%, and 77%, respectively, were at risk of malnutrition. Stunting, which is normally attributed to chronic energy-protein malnutrition, was found in 11% of EBS children, 29% of JEB children, and 60% of RDEB children 18. The high percentage of malnourished RDEB children is also evidenced by the nutritional status diagnosis of the study sample. Generally, although RDEB is a severe disease subtype, the study RDEB patients did not have the same growth pattern, and some were more malnourished than others. Yet, they were all malnourished and grew less than EBS patients, whose growths were within the WHO curve. Martínez 20 suggests that most RDEB patients have delayed growth, which worsens over time, a finding confirmed by the present study: as age increases, the differences between the patient's weight and height and the reference weight and height increase.
EB children and adolescents have higher energy and nutrient requirements because of the constant blister healing process, skin losses, skin heat loss, and inflammatory and infectious processes that may affect the lesions 7. The association between low food intake and higher nutrient requirements compromises nutritional status and consequently, leads to malnutrition 21.
Therefore, weight and height should be measured in short intervals to allow an appropriate and timely intervention.
The study limitations include its retrospective character, the lack of complete weight and height information in the patients' medical records, and the possible measurement errors. Although measuring weight and height is a simple procedure, doing so in children with pain, infected blisters, difficulty to extend the lower or upper limbs, and restricted ability to maintain the back and neck straight constrains the use of standard measuring procedures.
The great advantage of the present study is that it brought to light information about the nutritional aspects of EB children as it is in this age group that it is possible to minimize nutritional sequelae, promote growth, development, and better quality of life, and optimize the appropriate interventions. Supposedly, breastfeeding and no complementary feeding problems were not enough to prevent inadequate nutritional status, observed in the majority of the study children. The original presentation of the growth curves of children with EB may help to determine nutritional involvement and to establish how these children grow. Nonetheless, more studies, especially prospective cohort studies about growth and feeding in the first year of life, with well-defined methodologies, are needed to better understand and contextualize these data for later use by services that treat this population. Future studies should also assess the need of creating specific growth curves for children with the more severe types of EB.
REFERENCES
1. Intong LR, Murrell DF. Inherited epidermolysis bullosa: New diagnostic criteria and classification. Clin Dermatol 2012;30:70-7.
2. Fine JD, Mellerio JE. Extracutaneous manifestations and complications of inherited epidermolysis bullosa. J Am Acad Dermatol 2009;61:367-84.
3. Oliveira ZNP, Périgo AM, Fukumori LMI, Aoki V. Imunomapeamento nas epidermólises bolhosas hereditárias. An Bras Dermatol 2010;85(6): 856-61.
4. Sprecher E. Epidermolysis bullosa simplex. Dermatol Clin 2010;28:23-32.
5. Bello MY, Falabella AF, Schachner LA. Management of pediatric epidermolysis bullosa. Clin Dermatol 2003;21:278-82.
6. Haynes L. Clinical practice guidelines for nutrition support: In infants and children with epidermolysis bullosa (EB). London: Great Ormond Street Hospital; 2007. Accessed 13 August 2012. Available from: http://www.debra.org.uk/uploads/resources/EB_Guidelines_Final_for_web.pdf
7. Haynes L. Nutrition for children with epidermolysis bullosa. Dermatol Clin 2010;28:289-301.
8. Pope E, Lara-Corrales I, Mellerio J, Martínez A, Schultz G, Burrel R, et al. A consensus approach to wound care in epidermolysis bullosa. J Am Acad Dermatol 2012;67(5):904-17. Accessed 5 November 2012. Available from: http://www.sobende.org.br/JAAD%202012%20%20Consenso%20Epidermolise%20Bolhosa.pdf.pdf
9. World Health Organization. WHO Child Growth Standards: Methods and development: length/height-for-age, weight-for-age, weight-for-length, weight-for-height and body mass index-for-age. Geneva: World Health Organization; 2006. Accessed 29 September 2013. Available from: http://www.who.int/childgrowth/en/.
10. WHO. WHO AnthroPlus for Personal Computers Manual: Software for assessing growth of the world's children and adolescents. Geneva: World Health Organization; 2009. Accessed 25 August 2013. Available from: http://www.who.int/growthref/tools/en/
11. Fox AT, Alderdice F, Atherton DJ. Are children with recessive dystrophic epidermolysis bullosa of low birthweight? Pediatr Dermatol 2003;20:303-6.
12. Birge K. Nutrition management of patients with epidermolysis bullosa. J Am Diet Assoc 1995;95:575-9.
13. Kim KY, Namgung R, Lee SM, Kim SC, Eun SH, Park MS, et al. Nutritional outcomes in children with epidermolysis bullosa: The experiences of two centers in Korea. Yonsei Med J 2014;55(1):264-9.
14. Fine JD. Review inherited epidermolysis bullosa. Fine Orphanet J Rare Dis 2010; 5:12. Accessed 12 March 2013. Available from: http://www.ojrd.com/content/5/1/12
15. World Health Organization. Global Strategy for Infant and Young Child Feeding. Geneva: World Health Organization; 2003. Accessed 23 April 2013. Available from: http://www.who.int/nutrition/publications/gs_infant_feeding_text_eng.pdf
16. Barbieri AF, Mello RA. Causas da obesidade: uma análise sob a perspectiva materialista histórica. Rev Faculdade Educação Física UNICAMP 2012;10(1):133-53.
17. Haynes L. Nutritional support for children with epidermolysis bullosa. J Hum Nutr Dietet 1998;11:163-73.
18. Barbosa GCT, Junior Alberti J, Oliveira ZNP, Machado CR, Assumpção IGR. Epidermólise bolhosa distrófica e juncional: aspectos gastrointestinais. Pediatria 2005;27(2):87-94.
19. Colomb V, Bourdon-Lannoy E, Lambe C, Sauvat F, Hadj Rabia S, Teillac D, et al. Nutritional outcome in children with severe generalized recessive dystrophic epidermolysis bullosa: A short- and long-term evaluation of gastrostomy and enteral feeding. Br J Dermatol 2012;166:354-61.
20. Martínez AE, Allgrove J, Brain C. Growth and pubertal delay in patients with epidermolysis bullosa. Dermatol Clin 2010;28:357-9.
21. Zidorio APC, Dutra ES, Leão DOD, Costa IMC. Nutritional aspects of children and adolescents with epidermolysis bullosa: literature review. Anais Brasileiros de Dermatologia 2015;90(2):217-23.
Author notes
Correspondence: Ana Paula Caio Zidorio. School of Health Sciences. Graduate Program in Human Nutrition. University of Brasília. University Campus Darcy Ribeiro. 70910-900 Brasília/DF, Brazil e-mail: anacaio@unb.br