Trabajo Original
Recepción: 10 Marzo 2018
Aprobación: 26 Mayo 2018
DOI: https://doi.org/10.20960/nh.1895
Resumen
Objetivo: la anemia ferropénica se asocia con resultados adversos para la salud y es altamente prevalente a nivel mundial. El presente estudio evaluó prevalencia y factores sociodemográficos asociados con anemia ferropénica en una muestra de mujeres embarazadas colombianas.
Materiales y métodos: análisis secundario de la información obtenida en la Encuesta Nacional de la Situación Nutricional (ENSIN) 2010 de Colombia, en una muestra probabilística de 1.385 mujeres gestantes entre 13 y 49 años. Se determinaron concentración de hemoglobina, niveles plasmáticos de ferritina, niveles y factores sociodemográficos (edad, escolaridad, nivel socioeconómico, área geográfica, región, grupo étnico, hábito tabáquico) e índice de masa corporal según semanas de gestación. Se realizaron pruebas de normalidad, comparación de medias y asociaciones mediante modelos de regresión logística.
Resultados: la prevalencia global de anemia ferropénica (hemoglobina < 11 g/dL y ferritina < 12 µg/L) fue de 11,0% (IC95% = 9,7-12,6). Las prevalencias más altas se encontraron en mujeres sin ningún grado de escolaridad (19,4%; IC95% = 8,0-33,3), mujeres del nivel I socioeconómico (12,7%; IC95% = 10,3-14,9) que habitan en la región atlántica o pacífica (16,0%; IC95% = 12,0-20,4 y 12,7%; IC95% = 8,3-17,1, respectivamente) y mujeres afrocolombianas (18,6%; IC95% = 12,1-23,9).
Se asoció anemia ferropénica con vivir en la región atlántica OR 7,21 (IC95% 1,71-30,33), oriental OR 4,50 (IC95% 1,01-20,04), pacífica OR 5,51 (IC95% 1,27-23,88), territorios nacionales OR 4,37 (IC95% 1,03-18,57) y pertenecer a etnia afrocolombiana OR 2,19 (IC95% 1,40-3,42).
Conclusiones: la población estudiada presenta una alta prevalencia de anemia ferropénica y está asociada con la región de residencia y grupo étnico.
Palabras clave: Gestación, Anemia ferropénica, Prevalencia, Colombia.
Abstract
Objective: iron deficiency anemia is associated with adverse results for health and it is highly prevalent worldwide. The current study evaluated the prevalence and the sociodemographic factors associated with iron deficiency anemia in a sample of Colombian pregnant women.
Materials and methods: the secondary analysis for the obtained information at the National Nutrition Survey (ENSIN) 2010 of Colombia in a probabilistic sample of 1,385 pregnant women between 13 and 49 years old. Hemoglobin concentration, ferritin plasmatic levels, sociodemographic levels and factors (age, escolarity, socioeconomic level, geographic area, region, ethnic group, tobacco habits), and body mass index according on the weeks of gestation were determined. There were made normality tests, measure comparisons, and association between logistic regression models.
Results: the prevalence of Iron deficiency anemia (hemoglobin < 11 g/dL and ferritin < 12 µg/L) was 11.0% (CI95% = 9.7-12.6). The highest prevalence was found in pregnant women without any escolarity (19.4%; CI95% = 8.0-33.3), women in a socioeconomic level I (12.7%; CI95% = 10.3-14.9), that live in the Atlantic or Pacific regions (16.0%; CI95% = 12.0-20.4 and 12.7%; CI95% = 8,3-17,1 respectively), and Afro-Colombian women (18.6%; IC95% = 12.1-23.9).
Iron deficiency anemia was associated with living in the Atlantic region OR 7.21 (CI95% 1.71-30.33), Oriental OR 4.50 (CI95% 1.01-20.04), Pacific OR 5.51 (CI95% 1.27-23.88), national territory OR 4.37 (CI95% 1.03-18.57) and belonging to an Afro-Colombian ethnic group OR 2.19 (CI95% 1.40-3.42).
Conclusions: the studied population presents a high prevalence of iron deficiency anemia and it is associated with the residency region and ethnic group.
Key words: Pregnancy, Iron deficiency anemia, Prevalence, Colombia.
INTRODUCCIÓN
La deficiencia de hierro y la anemia son problemas de salud pública universal y afectan en distinto grado a todos los países. Su prevalencia es máxima en niños pequeños y mujeres en edad fértil 1. La causa más frecuente de anemia en el mundo es la deficiencia de hierro 2 y su incidencia en países con economías en vías de desarrollo es 2,5 veces mayor que en países desarrollados 3. Para el año 2001, la anemia por deficiencia de hierro o anemia ferropénica (AF) en mujeres en edad reproductiva como problema de salud pública, afectaba globalmente al 17% de ellas, incluido el 15% (248 millones) de mujeres no embarazadas y 19% (16,2 millones) de mujeres embarazadas 4, para dicho año, se estimaba que Colombia tenía una prevalencia entre el 20% y 39,9% de la población. Actualmente, y según los datos de la Encuesta Nacional de la Situación Nutricional 2010 (ENSIN), en Colombia, presentan anemia el 44,7% de la población gestante, esta prevalencia varía en las distintas regiones y alcanza valores considerablemente mayores en niveles socioeconómicos más bajos 5.
El hierro es necesario para la producción de hemoglobina. Durante el embarazo se necesitan mayores niveles de concentración de este micronutriente esencial, ya que es indispensable para el desarrollo del feto y la placenta, y para expandir la masa eritrocitaria materna. La deficiencia de hierro ocurre cuando las reservas corporales del mismo, se agotan ante una mayor necesidad de absorción, ingesta o pérdida de hierro, posteriormente, esta deficiencia puede llevar a niveles muy bajos de hierro y la síntesis de hemoglobina se deteriora, causando así la AF 6.
En el cuerpo humano, la ferritina es la principal proteína almacenadora de hierro y se puede evaluar a través de varias pruebas de laboratorio, ya sean pruebas hematológicas basadas en las características de los glóbulos rojos o pruebas bioquímicas, aunque el diagnóstico de deficiencias subclínicas de hierro en pacientes afrodescendientes puede ser difícil, debido a que algunos parámetros hematológicos están por debajo de los valores de referencia 7.
Varios estudios han documentado que las deficiencias de hierro acarrean graves consecuencias feto-placentarias y en la salud de las madres 8,9,10,11,12. Además, se ha asociado la AF con disfunciones cognitivas y bajo rendimiento escolar en los niños 13,14. Estos efectos pueden ser irreversibles; por lo tanto, la prevención primaria mediante la detección de la deficiencia de hierro en mujeres gestantes no anémicas es primordial y justifica la necesidad de este estudio.
Los valores de hemoglobina no deben ser utilizados como herramienta diagnóstica en el síndrome anémico, ni de los estados subclínicos, puesto que valores altos pueden estar enmascarando la deficiencia 7. Por tanto, se recomienda realizar pruebas de niveles plasmáticos de ferritina y concentración de hemoglobina para determinar los casos de AF. Con base en esto, actualmente, existen pocos informes mundiales sobre la prevalencia de AF en mujeres gestantes y la asociación de AF con factores sociodemográficos, es por ello, que el presente estudio tiene como objetivo determinar la prevalencia y los factores sociodemográficos asociados con la anemia ferropénica en una muestra representativa de mujeres embarazadas de Colombia.
MATERIALES Y MÉTODOS
POBLACIÓN
Se trata de un análisis descriptivo y transversal secundario de la información obtenida en la Encuesta Nacional de la Situación Nutricional 2010, la cual fue financiada por el Instituto Colombiano de Bienestar Familiar (ICBF) y realizada durante los años 2008 al 2010 en 1.385 mujeres gestantes de edades comprendidas entre 13 y 49 años. Esta encuesta es una medición transversal, llevada a cabo para determinar la prevalencia de problemas nutricionales y algunas condiciones de salud en la población colombiana 5.
MUESTREO
La muestra para la ENSIN (2010) fue probabilística, de conglomerados, estratificada y polietápica. El estudio, comprendió la población colombiana de entre 0 y 64 años de edad, y los indicadores se presentan desagregados por grupos de edad, sexo, etnia y nivel socioeconómico. El grupo de estudio estuvo constituido por el 99% de la población residente en hogares particulares del área urbana y rural. Fueron estudiados un total de 50.670 hogares, incluyendo población de 258 municipios o unidades primarias de muestreo (UPM) de los 32 departamentos del País y Bogotá D.C. Los segmentos fueron proporcionales en las cabeceras municipales y en el área rural, y estuvieron concentrados en 1920 agregados 5.
La recolección de muestras la realizó un profesional en bacteriología, capacitado y estandarizado en el laboratorio de nutrición del Instituto Nacional de Salud para la recolección de información, el procesamiento y la toma de muestras de sangre 5.
DETERMINACIONES ANALÍTICAS
Las muestras se recolectaron entre 7 y 9 ml de sangre venosa extraída con jeringas desechables de poliestireno con agujas de acero inoxidable que se distribuyeron en un tubo de vidrio con heparina protegido de la luz. Se centrifugaron entre 2.500 y 3.000 rpm durante 10 minutos y las muestras de plasma se congelaron en nitrógeno líquido hasta su procesamiento 5.
Para la determinación de las concentraciones de ferritina plasmática, se utilizó el método de referencia por quimioluminiscencia natural, el cual se llevó a cabo en un analizador automático (ADVIA Centauro de Siemens(r)). La reacción consistió en la formación de éster de acridimio al producirse un cambio en el pH ácido-base de la solución al agregar peróxido ácido e hidróxido de sodio. Esta técnica tiene una sensibilidad de 10-14 ng/mL 5.
La determinación cuantitativa de Proteína C Reactiva (PCR) en suero se realizó por turbidimetría en el equipo (DimensionRlx de Siemens(r)). Cuando la PCR reacciona con un anticuerpo específico, en presencia de polietilenglicol, se forman inmunocomplejos precipitantes, que se determinan por turbidez de forma directamente proporcional a la muestra a una longitud de onda de 340 nm, utilizando una curva de calibración. Se realizaron mediciones de PRC para descartar falsos negativos en la determinación de ferropenia. Por lo tanto, individuos con valores > 1,2 mg/dL de PCR se excluyeron de los análisis en el presente estudio 5).
Adicionalmente, se procesó una muestra de sangre sin anticoagulante para determinación de hemoglobina en el fotómetro portátil (Hemo-Cue AB y 201(r)), el cual permite evaluar la concentración de hemoglobina por el método de azidametahemoglobina. Se realizaron correcciones en la concentración de hemoglobina por la altura a nivel del mar, calculada por el sistema de geoposicionamiento satelital GPS 5.
Los datos antropométricos se obtuvieron directamente; el peso se midió con una balanza digital (SECA Modelo 872(r)) con una capacidad de 200 kilos y una precisión de 50 gramos. Cada balanza fue ajustada para compensar la atracción gravitacional que corresponde a la latitud geográfica de Colombia (entre 0 y 15 grados de latitud norte), los sujetos usaron ropa muy liviana y sin zapatos; la estatura se midió con un tallímetro de madera portátil, que constó de una pieza principal y dos extensiones con capacidad para medir hasta 2 metros, con sensibilidad de 1 milímetro. También, tiene una pieza movible que sirve de tope para la cabeza y se mide de pie. Las personas se midieron sin zapatos, trenzas, peinados, adornos u otros objetos en la cabeza que pudieran interferir con la medida. Los tallímetros cumplieron con las especificaciones técnicas, modificada por UNICEF-CENAN, y contaron con un certificado de control de calidad y número de código firmado por un consultor de antropometría de UNICEF 5.
Todas las preguntas que se aplicaron en el cuestionario fueron realizadas de manera textual a cada persona encuestada sin que mediaran interpretaciones o aclaraciones de ningún tipo por parte de la encuestadora. Cuando la persona encuestada no entendió alguna de las preguntas, a pesar de que la encuestadora se la repitió textualmente, no se dieron aclaraciones y se pasó a las preguntas del siguiente dominio 5.
El estudio fue aprobado por el comité de ética de la Encuesta Nacional de la Situación Nutricional 5.
VARIABLES DEPENDIENTES
Se definió como variable resultado la anemia ferropénica; el nivel bajo de ferritina sérica se utilizó como indicador de la deficiencia de hierro; el punto de corte para -déficit de ferritina- o -deficientes depósitos de hierro- se definió como valores < 12 µg/L. Nuestro análisis excluye mujeres gestantes con niveles de proteína C reactiva por encima de 1,2 mg/dL 15,16. El nivel bajo de concentración de hemoglobina se utilizó como indicador de anemia, el punto de corte fue valores < 11 g/dL 16,17.
VARIABLES INDEPENDIENTES
Igualmente, se definieron las siguientes variables sociodemográficas: edad: entre 13 y 17 años, entre 18 y 29 años y entre 30 y 49 años; escolaridad: ninguna, básica primaria, básica secundaria y media, y técnico o universitario; área o procedencia: urbana o rural; la etnicidad se estableció en base a la pertenencia a un grupo étnico por autorreconocimiento (indígena, y raizal del archipiélago, palenquero, negro o afrocolombiano); la posición socioeconómica fue determinada de acuerdo al Sistema de identificación de posibles beneficiarios de programas sociales en Colombia-SISBEN III (1 al 4), siendo el nivel 1 el de mayor pobreza y el nivel 4 el de menor o no pobreza. Dicha clasificación es una medida desarrollada por el Departamento de Planeación Nacional de Colombia, en la que se tienen en cuenta características sociodemográficas, condiciones de vida y acceso a servicios públicos; región del país donde se reside: atlántica, oriental, central, pacífica, territorios nacionales, Bogotá; hábito tabáquico e índice de masa corporal gestacional IMC-G; en cuanto a las medidas de peso de las primeras 6 semanas de embarazo son muy similares a las de una mujer no-embarazada, por lo cual no se usaron los criterios de IMC-G sino los de IMC para adultos en general 18,19,20.
ANÁLISIS ESTADÍSTICO
En primer lugar se realizó un análisis exploratorio para determinar la distribución de las variables cuantitativas (pruebas de normalidad), luego se realizaron pruebas de comparación de medias (prueba de t de student), se ejecutaron pruebas de distribución de frecuencias (medidas de tendencia central y de dispersión para variables cuantitativas), frecuencias relativas (para variables cualitativas), prueba de la χ2 de Pearson, con o sin corrección de Yates. Para estimar la relación entre la anemia ferropénica y las variables sociodemográficas se utilizó un modelo de regresión logística crudo y multivariable. El primer modelo de regresión logística binaria se ajustó por edad; el segundo modelo por edad, escolaridad, nivel socioeconómico, área geográfica, región, grupo étnico, fumador e índice de masa corporal de la gestante según las semanas de gestación; y el tercer modelo por escolaridad, nivel socioeconómico, área geográfica, región, grupo étnico, fumador e índice de masa corporal de la gestante según las semanas de gestación. Se consideró factor de confusión si después de la adición al modelo, las razones de posibilidades se desplazan en una dirección constante y el cambio proporcional es por lo menos de un nivel de exposición superior al 10%. Los análisis estadísticos fueron realizados con el programa SPSS versión 19 y se consideró como significativo un valor p < 0,05.
RESULTADOS
El estudio estuvo constituido por 201 mujeres gestantes de 13 a 17 años, 887 de 18 a 29 años y 297 de 30 a 49 años, para un total de 1.385 mujeres gestantes (media 24,3 años, IC95% = 24,0-24,6 años). El nivel de ferritina fue de 1,5 a 387,4 µg/L (media 25,9 µg/L, IC95% = 24,4-27,7 µg/L). El nivel de hemoglobina fue de 7,3 a 19,0 g/dL (media 12,7 g/dL, IC95% = 12,5-12,8 g/dL). Tener entre 13 y 17 años, no tener escolaridad, pertenecer al nivel socioeconómico III y tener un índice de masa corporal gestacional bajo mostraron las concentraciones de ferritina promedio más bajas (23,0 μg/L, 16,5 μg/L, 23,9 μg/L y 23,0 μg/L, respectivamente). En cuanto a los valores promedio más bajo en las concentraciones de hemoglobina estos se encontraron en mujeres sin escolaridad, de la región atlántica o territorios nacionales y que sean indígenas y afrocolombianas (12,2 g/dL, 12,2 g/dL, 12,3 g/dL, 12,4 g/dL y 12,0 g/dL, respectivamente) (Tabla 1).

Se observó una prevalencia global de anemia ferropénica de 11,0% (IC 95% = 9,7-12,6). Se encontró una alta prevalencia de anemia ferropénica en el grupo 18 a 29 años (12,3%, IC 95% = 10,1-14,7); las mujeres sin escolaridad presentaron una alta prevalencia de anemia ferropénica (19,4%, IC95% = 8,0-33,3). En cuanto a nivel socioeconómico, se observó que las gestantes de menores ingresos económicos o de nivel I presentaron una alta prevalencia de anemia ferropénica (12,7%, IC95% = 10,3-14,9). Igualmente, se observó que las gestantes que residen en áreas rurales, en la región atlántica y pacífica, con pertenencia a la etnia afrocolombiana presentan una alta prevalencia de anemia ferropénica (12,1%, IC95% = 9,0-14,2; 16,0%, IC95% = 12,0-20,4; 12,7%, IC95% = 8,3-17,1 y 18,6%, IC95% = 12,1-23,9, respectivamente). El fumar, el IMC-G bajo y el IMC-G sobrepeso mostraron una alta prevalencia de anemia ferropénica (22,2%, IC95% = 0,0-46,9; 11,8%, IC95% = 8,5-16,2; 11,9%, IC95% = 9,1-15,3, respectivamente) (Tabla 2).

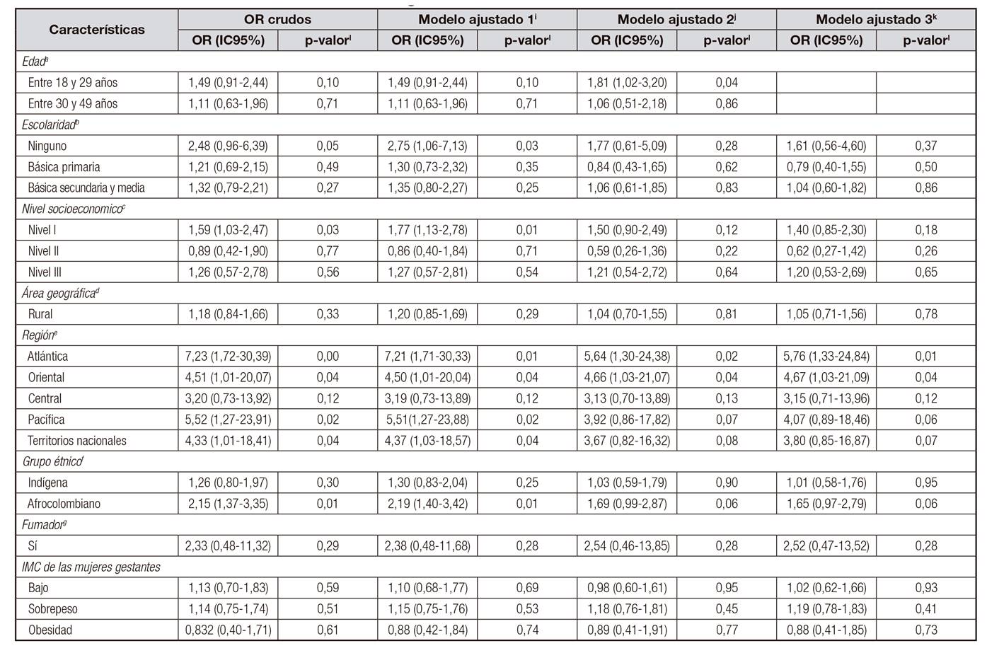
En el modelo no ajustado, el análisis de regresión logística binaria se encontró que la anemia ferropénica en mujeres gestantes colombianas se asoció significativamente con pertenecer al nivel I socioeconómico (OR crudo = 1,59 IC95% 1,03-2,47), vivir en la región atlántica, oriental, pacífica y territorios nacionales (OR crudo = 7,23 IC95% 1,72-30,39; OR crudo = 4,51 IC95% 1,01-20,07; OR crudo = 5,52 IC95% 1,27-23,91 y OR crudo = 4,33 IC95% 1,01-18,41; respectivamente) y pertenecer al grupo étnico afrocolombiano (OR crudo = 2,15 IC95% 1,37-3,35). En el modelo 1 ajustado por edad permanecieron significativamente asociadas las mismas variables del modelo no ajustado a presentar anemia ferropénica más el no tener ninguna escolaridad (OR crudo = 2,75 IC95% 1,06-7,13). En los otros dos modelos (2 y 3), el no tener ninguna escolaridad y pertenecer al nivel I socioeconómico no estaban significativamente asociados con anemia ferropénica (Tabla 3).

DISCUSIÓN
De acuerdo a los datos de la OMS, existe una prevalencia mundial de anemia en las mujeres embarazadas de hasta el 42% y alrededor de la mitad de los casos se deben a la deficiencia de ferritina 21. Según los hallazgos de este estudio un 11% de las mujeres embarazadas de Colombia presentaron anemia por deficiencia de ferritina. Esta prevalencia que es similar a la reportada por Bangladés 22, pero significativamente mayor a la reportada en un análisis secundario de la Encuesta Nacional de Salud y Nutrición de Estados Unidos 17. Según la clasificación de la OMS, la anemia ferropénica en la población colombiana estudiada, constituye un problema de salud pública moderado 21. En los resultados de la Encuesta Nacional de Nutrición y Salud de México 23, la prevalencia de anemia según concentración de hemoglobina, fue mayor en las mujeres embarazadas de 12 a 19 años y de 30 a 39 años, al compararlo con los datos nacionales, la mayor prevalencia de déficit de anemia según la misma variable, se halló en las gestantes de 13 a 17 años de edad (52,4%), seguidas por el grupo de 30 y 49 años (48,2%) 5, resultados que no son similares al del presente estudio, ya que nuestros datos evidencian que según niveles plasmáticos de ferritina y concentración de hemoglobina, las gestantes entre 18 a 29 años son las que presentan la prevalencia más alta de AF. Estas diferencias en la prevalencia de la anemia pueden deberse a la diferencia en las variables de diagnóstico, las variaciones socioeconómicas y patrones culturales y dietéticos en todas las regiones dentro del mismo país.
En el presente estudio, las mujeres gestantes de clase socioeconómica más baja muestran una mayor prevalencia de anemia que las de un nivel socioeconómico más alto. Este hallazgo es consistente con un estudio de Etiopía en el que informaron una mayor prevalencia de anemia en la clase socioeconómica más baja 24. Es posible que esto suceda como causa de un acceso limitado a alimentos de calidad y cantidad requerida. El nivel educativo, el hábito tabáquico y el IMC con bajo peso y sobrepeso, son variables que también mostraron altos porcentajes de AF y, aunque no se asociaron a AF, deben tenerse en cuenta a la hora de implementar programas de intervención, ya que, por ejemplo, se ha demostrado que el nivel de educación está moderadamente ligado a los resultados negativos de la salud 25; por otra parte, desde hace más de un siglo se considera que el consumo de tabaco 26 y los desbalances alimentarios 27 causan un grave daño biológico y su impacto, medido por la carga de morbilidad, es mayor en los países con bajos y medianos ingresos 28.
Entre los determinantes sociodemográficos asociados con AF, en el presente estudio, se encontraron asociaciones con la afrodescendencia y el residir en la región oriental, atlántica, pacífica y los territorios nacionales. Aunque la encuesta aclara que con esta distinción no se buscaba alcanzar una representatividad nacional para los grupos étnicos, se obtuvo un número significativo de individuos entre afrodescendientes e indígenas. Por esta razón, las clasificaciones étnicas presentadas a lo largo de este trabajo se restringieron a tres grupos. Los resultados en cuanto a la etnia, son similares con los datos de un estudio realizado en Estados Unidos 29.
Se resaltan los resultados de prevalencia observada en este estudio, pues varios referentes de investigación han mostrado que la AF durante la gestación, incluye riesgos específicos para la madre y el feto, tales como, depresión durante el embarazo, retraso del crecimiento intrauterino, prematuridad 8, proporción de fallas feto-placentarias, mayor riesgo de transfusión sanguínea periparto 10, bajo peso al nacer, mayor duración de la estancia en el hospital, disminución de la calidad de vida y mayor riesgo de morbilidad y mortalidad 11,12. Estas consecuencias se pueden prevenir mediante la profilaxis de la deficiencia de hierro y preparaciones orales e intravenosas de hierro 10.
Una de las principales fortalezas de este estudio es el uso de datos de la ENSIN. La ENSIN es una fuente de datos representativa a nivel nacional; por tanto, se lograron estimaciones confiables del estado de las mujeres embarazadas en Colombia 5. La muestra analítica utilizada en el estudio actual corresponde al total de mujeres embarazadas encuestadas en la ENSIN 2010, lo cual permite un análisis detallado.
Además, los niveles plasmáticos de ferritina 7) y concentración de hemoglobina corporal total, son dos indicadores que se complementan y permiten mayor precisión en cuanto al estado del hierro, ya que los valores de hemoglobina no deben ser utilizados como única herramienta diagnóstica en el síndrome anémico. Por tanto, estas dos pruebas diagnósticas, también influyen potencialmente en los resultados positivos de la AF en mujeres gestantes del presente estudio.
Sin embargo, este estudio también tiene limitaciones. En primer lugar no se realizó una clasificación de las mujeres embarazadas según las semanas gestacionales, y se ha comprobado que a causa de la anemia fisiológica y la hemodilución 30, los niveles de ferritina sérica disminuyen al finalizar el embarazo a pesar de las reservas de hierro en la médula ósea 6. Además, la anemia alcanza su pico al inicio del tercer trimestre y puede llegar a ser clínicamente significativa en pacientes que ya están anémicos al ingresar al embarazo, por lo que otro posible limitante de este estudio, es no contar con antecedentes de anemia en la población de estudio 30. A pesar de ello, cabe destacar, que dado que la ferritina sérica es un reactante de fase aguda para las citoquinas inflamatorias 31, en este estudio se realizaron mediciones de PRC para descartar falsos negativos en la determinación de ferropenia, ya que esta proteína C reactiva permite identificar la presencia de infección o inflamación inespecífica aguda y así descartar que por esta causa la ferritina estuviera enmascarando una posible carencia en los depósitos de hierro 7,32.
Una tercera limitación del presente estudio fue que no se evaluó la ingesta dietética de hierro. Colombia es un país geográfico, climático, étnico y culturalmente diverso 33, estas diferencias podrían afectar el suministro y practicas alimentarias y en consecuencia, las ingestas de hierro. Como muestra de ello, la ENSIN reportó que una de cada siete gestantes no come carnes o huevos diariamente (13,4%) 5. Aunque las proporciones pueden variar según los rangos de edad y nivel socioeconómico, es claro que estos alimentos hacen parte de las fuentes principales de consumo de hierro.
CONCLUSIÓN
En conclusión, existe una prevalencia significativa de anemia ferropénica en las mujeres gestantes de Colombia y, factores sociodemográficos como la etnia y la región de residencia están asociados con esta condición. Según estudios previos, estos son los primeros resultados sobre los niveles plasmáticos de ferritina, concentración de hemoglobina, prevalencia y determinantes sociodemográficos de anemia ferropénica en una muestra representativa de mujeres embarazadas en Colombia. Estos datos cubren una importante necesidad de controlar el estado de hierro de las mujeres embarazadas, en especial, a las afrocolombianas y residentes de la región oriental, atlántico, pacífico y territorios nacionales. Esta problemática de preocupación moderada de salud pública 21 podría abordarse mediante la implementación de programas como: suplementos de hierro, administración de alimentos fortificados 34 y encapsulación de hierro 34. Otras estrategias de complementación de salud pública más amplias pueden basarse en los tratamientos propuestos en Brasil 35, Estados Unidos 36, Egipto 37, Noruega 38 y China 39. Por otra parte, la coordinación con estrategias educativas puede producir intervenciones viables y sostenibles, en particular entre los grupos de alto riesgo identificados en este estudio. Las instituciones de salud y programas dirigidos a las mujeres gestantes 40, pueden ayudar a prevenir, controlar, tratar y seguir la deficiencia de hierro, asesorándolas e informándolas sobre la nutrición sana del hierro durante la gestación y evaluando a las mujeres sobre la base de su riesgo o diagnóstico de anemia ferropénica, para así, contribuir a la reducción de las graves consecuencias de la malnutrición de micronutrientes, la mortalidad materna 34 y las inequidades sociodemográficas reportadas en este estudio.
AGRADECIMIENTOS
Los autores desean agradecer al Instituto Colombiano de Bienestar Familiar y PROFAMILIA por el permiso recibido para realizar el análisis del presente trabajo.
BIBLIOGRAFÍA
1. Donato H. Deficiencia de hierro y anemia ferropénica. Guía para su prevención, diagnóstico y tratamiento. Arch Argent Pediatr 2017;115(4):68-82.
2. Ministerio de salud public. Art (20).Pdf. J Trop Pediatr 2014;13(4):1-8.
3. Sociedad Argentina de Hematología. Guías de Diagnostico y Tratamiento 2017 - Sociedad Argentina de Hematología - Google Libros (Internet). 2017th ed. Buenos Aires; 2017 pp. 2-23.
4. Habib MA, Raynes-Greenow C, Soofi SB, Ali N, Nausheen S, Ahmed I, et al. Prevalence and determinants of iron deficiency anemia among non-pregnant women of reproductive age in Pakistan. Asia Pac J Clin Nutr [Internet] 2018;27(1):195-203.
5. Profamilia, Instituto Nacional de Salud, Bienestar Familiar, Ministerio de la Protección Social. Encuesta Nacional de la Situación nutricional en Colombia 2010 - ENSIN. 2011. p. 513.
6. Siu AL. Screening for Iron Deficiency Anemia and Iron Supplementation in Pregnant Women to Improve Maternal Health and Birth Outcomes: U.S. Preventive Services Task Force Recommendation Statement. Ann Intern Med [Internet] 2015;163(7):529.
7. Indias C De, Bohórquez MC, Isabel A, Bautista M, Donato KL, Llanos FP, et al. Identificación de sujetos a riesgo de deficiencia de hierromediante el Indicé Receptor Soluble de Transferrina-Log Ferritina sérica en hombres afrodescendientes residentes en San Basilio de Palenque. instnameUniversidad Nac Abierta y a Distancia 2010;8(13):54-62.
8. Dama M, Van Lieshout RJ, Mattina G, Steiner M. Iron Deficiency and Risk of Maternal Depression in Pregnancy: An Observational Study. J Obstet Gynaecol Can 2018;0(0). Available from: http://www.ncbi.nlm.nih.gov/pubmed/29307706
9. Urquizu i Brichs X, Rodriguez Carballeira M, García Fernández A, Perez Picañol E. Anemia en el embarazo y el posparto inmediato. Prevalencia y factores de riesgo. Med Clin (Barc) 2016;146(10):429-35.
10. Breymann C. Iron Deficiency Anemia in Pregnancy. Semin Hematol 2015; 52(4):339-47.
11. Shander A, Goodnough LT, Javidroozi M, Auerbach M, Carson J, Ershler WB, et al. Iron Deficiency Anemia-Bridging the Knowledge and Practice Gap. Transfus Med Rev 2014;28(3):156-66.
12. Erez Azulay C, Pariente G, Shoham-Vardi I, Kessous R, Sergienko R, Sheiner E. Maternal anemia during pregnancy and subsequent risk for cardiovascular disease. J Matern Neonatal Med 2015;28(15):1762-5.
13. Mujica-Coopman MF, Brito A, López de Romaña D, Ríos-Castillo I, Cori H, Olivares M. Prevalence of Anemia in Latin America and the Caribbean. Food Nutr Bull 2015;36(2_suppl):S119-28.
14. Grantham-McGregor S, Ani C. A review of studies on the effect of iron deficiency on cognitive development in children. J Nutr 2001;131(2S-2):649S-666S; discussion 666S-668S.
15. Ramírez-Vélez R, González-Ruíz K, Correa-Bautista J, Martínez-Torres J, Meneses-Echávez JF, Rincon-Pabon D. Ferritin levels in pregnant Colombian women. 2015. Available from: http://europepmc.org/abstract/med/25617565
16. VMNIS. Vitamin and Mineral Nutrition Information System. Haemoglobin concentrations for the diagnosis of anaemia and assessment of severity. Available from: http://www.who.int/vmnis/indicators/haemoglobin.pdf [cited 2018 Jan 29].
17. Gupta PM, Hamner HC, Suchdev PS, Flores-Ayala R, Mei Z. Iron status of toddlers, nonpregnant females, and pregnant females in the United States. Am J Clin Nutr 2017;106(Id):1640S-1646S.
18. Cornelius S, Pita A, Bove IGM. Analisis de factores nutricionales y no nutricionales relacionados con el bajo peso al nacer. 2014;3(4):12-20.
19. Cheney K, Berkemeier S, Sim KA, Gordon A, Black K. Prevalence and predictors of early gestational weight gain associated with obesity risk in a diverse Australian antenatal population: a cross-sectional study. BMC Pregnancy Childbirth 2017;17(1):296.
20. Deputy NP, Sharma AJ, Kim SY, Hinkle SN. Prevalence and Characteristics Associated With Gestational Weight Gain Adequacy. Obstet Gynecol2015;125(4):773-81.
21. McLean E, Cogswell M, Egli I, Wojdyla D, de Benoist B. Worldwide prevalence of anaemia, WHO Vitamin and Mineral Nutrition Information System, 1993-2005. Public Health Nutr 2009;12(4):444.
22. Ahmed F, Khan MR, Shaheen N, Ahmed KMU, Hasan A, Chowdhury IA, et al. Anaemia and iron deficiency in rural bangladeshi pregnant women living in areas of high and low iron in groundwater. Nutrition 2018. Available from: http://linkinghub.elsevier.com/retrieve/pii/S0899900718300388 [cited 2018 Mar 4].
23. Ensanut. Ensanut 2012 [Internet]. Instituto Nacional de Salud Pública. 2012. Available from: http://ensanut.insp.mx/informes/ENSANUT2012ResultadosNacionales.pdf
24. Lebso M, Anato A, Loha E. Prevalence of anemia and associated factors among pregnant women in Southern Ethiopia: A community based cross-sectional study. PLoS One 2017;12(12):e0188783.
25. Lebso M, Anato A, Loha E. Prevalence of anemia and associated factors among pregnant women in Southern Ethiopia: A community based cross-sectional study. PLoS One 2017;12(12):e0188783.
26. Mackay J, Samet JM. Tobacco, Smoking, and Nicotine. In: Reference Module in Biomedical Sciences [Internet]. Elsevier; 2014. Available from: http://linkinghub.elsevier.com/retrieve/pii/B9780128012383001690 [cited 2018 Mar 4]
27. Hu PJ, Ley SH, Bhupathiraju SN, Li Y, Wang DD. Associations of dietary, lifestyle, and sociodemographic factors with iron status in Chinese adults: a cross-sectional study in the China Health and Nutrition Survey. Am J Clin Nutr 2017;105(2):503-12.
28. Ezzati M, Lopez AD. Smoking, The Burden of Mortality. In: International Encyclopedia of Public Health [Internet]. Elsevier; 2017 pp. 545-50.
29. Mei Z, Cogswell ME, Looker AC, Pfeiffer CM, Cusick SE, Lacher DA, et al. Assessment of iron status in US pregnant women from the National Health and Nutrition Examination Survey (NHANES), 1999-2006. Am J Clin Nutr 2011;93(6):1312-20.
30. Costantine MM. Physiologic and pharmacokinetic changes in pregnancy. Front Pharmacol 2014;5:65.
31. Clardy SL, Connor JR, Beard J. The Iron Metabolic System. In: Restless Legs Syndrome [Internet]. Elsevier; 2009 pp. 50-60.
32. María E, Guzmán Q, Salas P. Receptores solubles de transferrina como mejor indicador bioquímico para definir deficiencia de hierro. Acta Bioquímica Clínica Latinoam 2010;44(3):311-6.
33. Sakiko Fukuda-Parr. Human Development Report 2004 - Cultural liberty in today's diverse world. 2004. pp. 1-299.
34. Peña J, Garcia M, Pachón H, Mclean M, Arabi M. Anemia ferropénica: Investigación para soluciones eficientes y viables. Ann N Y Acad Sci 2014;1312(1):1-7.
35. Friedrisch JR, Cançado RD. Intravenous ferric carboxymaltose for the treatment of iron deficiency anemia. Rev Bras Hematol Hemoter 2015;37(6):400-5.
36. Losso JN, Karki N, Muyonga J, Wu Y, Fusilier K, Jacob G, et al. Iron retention in iron-fortified rice and use of iron-fortified rice to treat women with iron deficiency: A pilot study. BBA Clin 2017;8:78-83.
37. Abdel Moety GAF, Ali AM, Fouad R, Ramadan W, Belal DS, Haggag HM. Amino acid chelated iron versus an iron salt in the treatment of iron deficiency anemia with pregnancy: A randomized controlled study. Eur J Obstet Gynecol Reprod Biol 2017;210:242-6.
38. Bjørklund G, Aaseth J, Skalny A V., Suliburska J, Skalnaya MG, Nikonorov AA, et al. Interactions of iron with manganese, zinc, chromium, and selenium as related to prophylaxis and treatment of iron deficiency. J Trace Elem Med Biol 2017;41:41-53.
39. Zhu Q, Qian Y, Yang Y, Wu W, Xie J, Wei D. Effects of carbonyl iron powder on iron deficiency anemia and its subchronic toxicity. J Food Drug Anal 2016;24(4):746-53.
40. Instituto de Programas Interdisciplinarios en Atencion Primaria en Salud dela Universidad Industrial De Santander, Ministerio De La Protección, UNICEF Social. Instituciones Amigas de la Mujer y la Infancia en el Marco de Derechos. Manual para su aplicación. 2005;66. Available from: https://www.unicef.org/colombia/pdf/IAMI-1.pdf
Notas de autor
Correspondencia: David Rincón-Pabón. ZIPA - Zona de Investigaciones de Posgrados de la Andina. Fundación Universitaria del Área Andina. CI.24 3##8-55. Pereira, Colombia e-mail: nicheunal@hotmail.com