ORIGINAL PAPER
Implementation Analysis of a Washout Filter on a Robotic Flight Simulator - a Case Study
Implementation Analysis of a Washout Filter on a Robotic Flight Simulator - a Case Study
Journal of Aerospace Technology and Management, vol. 11, e0919, 2019
Departamento de Ciência e Tecnologia Aeroespacial
Received: 17 July 2017
Accepted: 22 February 2018
ABSTRACT: This paper presents a detailed analysis about the implementation of a washout filter on the SIVOR (Simulador de Voo Robótico - Robotic Flight Simulator) project. The main objective of this project is to develop, on an anthropomorphic robot, a flight simulator which can be used as an Engineering Development System (EDS) and a pilot training platform, capable of providing feelings the pilot would only have in more intensive maneuvers, such as losses/gains of G in aircraft flight tests. The SIVOR project also has the objective of providing a cost-efficient and flexible tool that can be used during the design phases of aircrafts. One of the demanded features of such simulator is a representative behavior of its motion system, which is achieved by an adequate implementation of the washout filter. To the best knowledge of the authors, there are no works in the literature that present a detailed discussion about the implementation of a classical washout filter in such flight simulator, especially when the translational channel is used to its limits. Experimental results to support the proposed solutions are presented herein.
KEYWORDS: Flight simulation, Washout filter, Robotics.
INTRODUCTION
In order to minimize aircraft development risks and costs (Brain et al. 1996; Allerton 2010), flight simulation environments have been created with the aim of improving flying quality while maintaining a consistent level of operational safety. Allerton (2010) presents a summary of the flight simulation history, as well as a list of applications and benefits of flight simulators.
In the preliminary stages of aircraft design, flight simulation environments are made up essentially of desktops with basic visual and simple inceptors, such as pedals and levers. As the aircraft design stages succeed, more sophisticated and representative simulation environments are created (Mendonça et al. 2013), notably the so-called Engineering Development Systems (EDS).
EDS are cockpit representations made in wood and composite material with inceptors, visualization capabilities and a fixed base (no movement). In the final development phase, the Iron Bird (IB) is built. The IB is a systems integration test bench that includes a real representation of the cockpit with all control components installed in the fixed base. Although the IB has adequate resources and configuration for the certification, as well as the support of the Verification and Validation process (V&V) of new software applications (Jenny 2011), it is not considered a high-fidelity environment due to the absence of a motion system (a device that generates motion at the simulator).
On the one hand, incorrect specifications based on qualitative opinions of the pilots gathered in low-fidelity development environments, such as IBs, can generate significant delays in the aircraft development process. On the other hand, flight test campaigns for certification expose the prototypes and crew to high-risk test runs. The prototype loss during this phase can cause serious delays in obtaining the type certificate, mandatory milestone to allow the aircraft to be delivered and to enter into service. Delays in this milestone cause financial losses to the company due to the fact that a high volume of specialized engineering labor remains bound to the aircraft development. One must also consider intangible losses associated with the product image.
High-risk tests are inevitable since they are part of the certification base (Garrett and Best 2010) and must be performed to demonstrate that the aircraft is safe to be operated commercially. Thus, one possible way to mitigate the risk is associated with flight test pilot training in this kind of maneuvers in an adequate simulation environment, in which fidelity is a key parameter (Teufel et al. 2007).
The previous arguments characterize the need to transform the current product development process and tools used by aircraft industry, as illustrated in Fig. 1: the aim is to anticipate the detection (as well as to decrease the amount) of defects to early design phases, instead of having them discovered at late stages, such as during flight test campaigns, which would cause not only safety issues to the test flight crew, but also generate important losses of money and time. This transformation could be achieved with an enhanced EDS that provides an environment with the necessary fidelity for: development and integration of flight control laws; pilot training to perform high risk maneuvers; and utilization of this platform in human factor analysis.

The main features that such an enhanced EDS should have are: flexibility, allowing sustainable simulation of different aircrafts; low cost; and trade-off between fidelity and optimization of its primary goals.
The SIVOR - Robotic Flight Simulator - project proposes an innovative solution that balances the enhanced EDS requirements. Its current version consists of an EDS coupled to a motion system based on a 6 degree-of-freedom industrial robot. Among its many challenges, the focus of this work is on the implementation of the washout filter on the SIVOR simulator, which converts the aircraft dynamics into the robot movements. Based on a set of experiments, it analyzes the limitations of the classical architecture of the washout filter using a simplified prototype of the flight simulator. It then proposes a new architecture for the filter and discusses its experimental implementation.
It is important to emphasize that the main objective of this work is not to present theoretical contributions, but an experimental case study which consists on the implementation of the washout filter able to represent a large range of maneuvers and simulate extreme flight conditions on an anthropomorphic robot, while maintaining the simplicity of the classical washout filter, henceforward, SIVOR washout filter. It paves the way for an enhanced EDS that shall be used not only for the validation of control laws during development phases but also for training pilots in risky situations, such as the ones in flight tests.
This paper is organized as follows. Section Related Work presents a literature review and positions the contribution of this work. The SIVOR Simulator Prototype presents the SIVOR flight simulator prototype. The classical washout filter and its most relevant desired features on the SIVOR flight simulator are presented in The Classical Washout Filter and Its Desired Features on the SIVOR Flight Simulator. Section Proposed Solution: the SIVOR Implementation of the Classical Washout Filter introduces the SIVOR washout filter. Results and Discussion displays the obtained results, as well as the opinion of four professional pilots about the current version of the SIVOR simulator/washout implementation. Finally, the Conclusions are presented.
RELATED WORK
The washout filter is an algorithm that has the objective of transmitting to the pilot the feelings of acceleration that she/he would have in a real airplane on a motion platform that has a considerably restricted workspace. It receives as input the linear accelerations and angular velocities of the simulated airplane and provides as output the Cartesian trajectory that must be tracked by the end-effector of the moving platform. This algorithm consists in the combination of channels that are each composed of low-pass or high-pass filters, accordingly to the behavior the flight simulator is expected to represent.
In the literature, there are several relevant applications of the washout filter, initially proposed by Schmidt and Conrad (1970). Reid and Nahon (1986a; 1986b) and Nahon and Reid (1990) deepened this algorithm studies. The main features of the classical washout filter are (Nahon and Reid 1990):
It is mathematically and computationally simple and hence computationally cheap;
It is relatively transparent to the designer, but not for non-experts to rectify pilot complaints.
Amongst its disadvantages, one can mention:
It mostly uses linear elements, so it does not fully exploit the simulator capabilities or consider the nonlinear characteristics of human motion perception (the human body is sensitive to both linear specific force, i.e. the non-gravitational resultant linear acceleration experienced by a body and angular velocity (Asadi et al. 2016) through the use of a vestibular system model - more information about the vestibular system/model can be found in Janfaza et al. (2001);
It must be designed for the worst-case maneuvers, as it has fixed parameters that may yield minimal motion under gentler maneuvering, which can be solved by more elaborated implementations of the washout filter.
Adaptive washout filters were proposed by Parrish et al. (1973) and Reid et al. (1992). They have adaptive filter gains that vary to minimize a cost function that penalizes motion error (difference between the platform and the simulated vehicle Cartesian accelerations and angular velocities), motion magnitude and the change in the adaptive parameters from their initial values (FAA 2012). It is important to emphasize that only the high-pass filter gains are adapted, while the low-pass filter gain remains fixed. The tuning of such washout filter is made through the choice of the cost weights and adaptive filter gains. The main advantages of this tuning method are (Garrett and Best 2010):
It generates a reduced false cue with respect to the classical washout filter;
It has the same difficulties to choose the cut-off frequencies, damping and initial gain values as the classical washout; however, the choice of the cost weights is more intuitive for a non-expert to tune because they are directly related to Cartesian acceleration and angular velocity errors (instead of being related to cut-off frequencies that do not explicitly relate to any motion error);
It yields more realistic motion cues due to the adaptive characteristics when the simulator is near its neutral position (more motion is yielded under gentle maneuvering without necessarily increasing the magnitude of the motions related to the worst-case maneuvers) and only reduces motion fidelity when the simulator approaches its physical limits (better usage of the motion platform capabilities);
It can or cannot use vestibular models, as well as non-quadratic functions that can be introduced to vary its penalties in more imaginative ways (Nahon and Reid 1990), i.e., the cost function to be minimized is flexible.
As main disadvantages, the following can be considered:
It is computationally heavier than the classical washout filter;
Its cut-off frequencies, damping and initial values of the filter gains are tuned based on the worst-case accelerations, similarly to the classical washout filter;
It minimizes the motion (Cartesian accelerations and angular velocities) error between the airplane and the platform, not the perception error (which tries to compare the perceived motion on the real airplane with the perceived motion in the simulator), using a vestibular system model.
In order to consider the perception error as a variable to be minimized, an optimal control-based washout filter was proposed by Sivan et al. (1982). This method was implemented by Reid and Nahon (1990). The resulting washout filter was obtained from a Linear Quadratic Regulator (LQR) that minimizes a cost function that considers the perception error, the linear displacement from the home position and velocity/angular displacements, as well as the platform motion commands. This filter has the following advantages:
It minimizes the pilot’s sensation error instead of the motion error itself by the inclusion of a vestibular model;
It is easier to be tuned by a non-expert as it is tuned by adjusting cost function weights related to more intuitive variables.
The following disadvantages of this filter are:
The optimal control scheme yields fixed-parameter filters, similarly to the classical scheme, which do not fully exploit the motion capabilities of the motion platform and must be adjusted for worst-case maneuvers;
Tilt-rate limiting is not included in this algorithm because it had negative effects on its behavior (Reid and Nahon 1990);
There is no explicit consideration of the system constraints (Asadi et al. 2016), which may lead to hardware failure or damage and, in the worst case, human injuries;
The correlation coefficient, described by Asadi et al. (2016) as a “shape-following criterion” that helps generate appropriate signals that can follow the reference signals more accurately, is not considered.
A robust optimal motion cueing scheme based on the LQR method and a genetic algorithm, with the objective of better adjusting the parameters of the LQR-based washout filter, was proposed by Asadi et al. (2016) to overcome the deficiencies of previous implementations. As all these factors - tilt-rate limiting, system constraints, shape-following criterion - are considered in the fitness function, the genetic algorithm is adopted because it is a technique that can solve nonlinear optimization problems. The results presented in this work show that this proposed algorithm can handle all these aspects in a satisfactory manner, while also reducing the displacements necessary for the motion simulator to achieve these improvements.
Model Predictive Control (MPC) has been proposed by Dagdelen et al. (2009). This algorithm minimizes the perception error whilst remaining within the platform limits, eliminating the need to tune the algorithm for the worst-case motion. An additional constraint and, consequently, an advantage, is that after two prediction steps, the platform washes out towards the platform center below the motion perception threshold over the remainder of the prediction horizon. Another advantage of the MPC is that it has only one parameter to be tuned: the time horizon N, which represents the number of steps considered in the cost function computation. The main disadvantage of this algorithm is that it tends to cease all motion reproduction once it identifies that a physical limit - in terms of displacement, velocity or acceleration of the platform - has been reached or when it starts returning to the platform center, which would seem unusual to the pilot.
Another relevant optimization method was proposed by Bellmann et al. (2011), which consisted of a classical washout filter using quaternions as orientation description to obtain the desired Cartesian trajectory to be tracked by a KUKA Robocoaster robot mounted on a linear rail. Thus, the robot system has 7 degrees-of-freedom (DOF) and 6 desired Cartesian trajectories as input, what configures a redundantly actuated system. The inverse kinematics solution of such a system is obtained through a damped least square optimization procedure that uses the robot’s forward Jacobian to compute a feasible joint trajectory. The focus of that work was on the optimization algorithm to handle the kinematic redundancy of a platform that would perform as a generic (airplane/car) motion simulator.
Table 1 shows a summary of the characteristics of the existing washout filter schemes.
| WF Schemes | Low Computation Time | Ease of Tuning by Non-Experts | Consideration of Human Perception Errors | Uniform Quality over all Workspace |
|---|---|---|---|---|
| Classical | V | X | X | X |
| Adaptive | X | V | X | V |
| Optimal Control | X | V | V | V |
| Robust Optimal Control | X | V | V | V |
| Model Predictive Control | X | V | V | V |
| Classical WF/Quaternions + Optimization for Generation of Joint Trajectories | V | X | X | X |
It is worth mentioning that, in the present work, only experts worked with the washout filter implementation, and that no extreme scenarios were considered during the tuning procedures. These facts, added to the low computation time needed for the real-time experiments, justify our choice for the Classical Washout Filter with the proposition of a few alterations.
The present work focuses on an implementation of the washout filter on a flight simulator that has the objective of being used both as an advanced EDS as well as for flight tests and pilot training. Compared to the previous works, the SIVOR washout proposal maintains the simplicity of the classical washout filter while adding features through a different approach to its implementation. One of the main new features is a realistic representation of the feelings of transient G (g-force) losses/gains through an adequate implementation of the translational channel of the classical washout filter. This implementation takes advantage of the bigger workspace of an anthropomorphic robot (Telban et al. 1999) when compared to the Stewart platform based flight simulators. The constraints on the robotic platform movement can be easily adjusted to increase the simulator workspace. The SIVOR Simulator Prototype is detailed in the following section.
THE SIVOR SIMULATOR PROTOTYPE
The simulator used in this work was developed as part of the SIVOR project. It consists of a preliminary prototype built to support the development and validation of both the washout filter and the robot controlling strategy.
The SIVOR prototype is illustrated in Fig. 2a. It is composed of an industrial 6-DOF anthropomorphic robot and a single seat attached to it as its end-effector. On-board, the pilot has available the essential aircraft commands, such as sidestick, pedals, power lever, flaps selector, among others. The visual system consists of a single monitor. A blackout cover reduces external disturbances, as illustrated in Fig. 2b.

From a control perspective, the architecture of the SIVOR simulator is presented in Fig. 3. In the cockpit, the inceptor inputs are captured and transmitted to an external computer, which, in turn, provides as output the visual feedback displayed in the cockpit monitor.

In the external computer, the commercial tool X-Plane provides the simulated aircraft aerodynamics, which will become the input of the washout filter, to generate flight realistic movements to the simulator. It generates both the aircraft velocities and accelerations to the SIVOR controller and the image output to the cockpit monitor. The SIVOR controller was developed in LabView™ and contains the washout filter algorithm, a set of safety routines and the protocol for exchanging data with the robot controller. The communication between the external computer and the robot controller uses the RSI (Robot Sensor Interface) protocol from KUKA ROBOTER®, which imposes real-time cycles with fixed latency of 12 ms. This latency, as well as other parameters of the robot dynamic response to commands transmitted via RSI, has been experimentally validated in Brain et al. (1996) and Nahon and Reid (1990).
THE CLASSICAL WASHOUT FILTER AND ITS DESIRED FEATURES ON THE SIVOR FLIGHT SIMULATOR
STRUCTURE AND PARAMETERIZATION
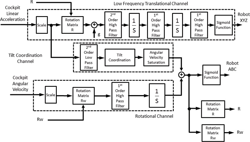
Based on the proposal of Schmidt and Conrad (1970), Fig. 4 illustrates the classical washout filter. It is organized in three channels that generate the desired position (XYZ) and orientation (ABC - Euler angles) of the robotic end-effector.

The first channel defines the translational movement of the end-effector. It receives as input the linear accelerations of the aircraft, measured at the estimated position of the pilot’s head using a coordinate system attached to the aircraft CG. Then, a rotational matrix R converts these values to a coordinate system fixed on Earth (this rotational matrix also relates the orientation of the coordinate system of the robot basis to the orientation of the coordinate system of the robot end-effector). Finally, the filter passes the high frequency components of its input signals and integrates them to estimate the robot position.
The second channel, known as tilt coordination, passes the low frequency components of the linear accelerations and converts them to angular positions. The concept behind this channel is to tilt the cockpit so that the projection of the gravity acceleration (g) emulates a sustained linear acceleration, according to Eqs. 1 and 2:
which are valid for small angles (Vargas 2009). θtilt and ϕtilt are illustrated in Fig. 5. Fx and Fy are the specific forces in X and Y directions, respectively.

Finally, the third channel processes the cockpit angular velocities. Firstly, it converts the airplane angular velocities to end-effector angular velocities through a rotation matrix Rw. Then, it passes the high frequency components of the obtained angular velocities and integrates them to find the angular positions. The final desired orientation of the end-effector is obtained by the addition of these angular positions to the ones found through the tilt coordination channel.
It is worth mentioning that there is no error accumulation due to the generation of the trajectories through the washout filter. In the translational and the rotational channels, high-pass filters are used, which means that when Cartesian accelerations and angular velocities stop varying, the cockpit smoothly returns to its home position/orientation. In the tilt-coordination channel, the cockpit remains tilted only while the airplane’s Cartesian accelerations remain different than zero.
In this work, the classical washout filter is implemented in LabView™ and runs in the SIVOR controller. The parameterization campaign of the classical filter started offline. A series of tests were made only considering the (XYZ-ABC) output plots of the washout filter to several maneuvers executed by professional pilots. When the plots showed an overall coherent behavior of the simulator, the experimental tests started with the collaboration of professional pilots, and the fine-tuning of the washout filter was made. Finally, a set of four pilots tested multiple maneuvers while flying the Phenom 300 aircraft with the following values (adopted as a result of the parameterization campaign):
Rotational channel:
Scale factor: 1
Channel gains: 0.35 (Roll), 0.1 (Pitch), 0.2 (Yaw)
Cut-off frequency of the first-order high-pass filter: 0.05 Hz
Translational channel:
Scale factor: 1
Channel gains: 0.001 (X), 0.001 (Y), 0.01 (Z)
Cut-off frequency of the second-order high-pass filter: 0.2Hz
Tilt coordination channel:
Cut-off frequency of the second-order low-pass filter: 0.15Hz
Angular velocity saturation: 3o/s, as mentioned in (Vargas 2009)
Software workspace limits:
± 25o from home orientation
± 1.25 m from home position
EVALUATION APPROACH
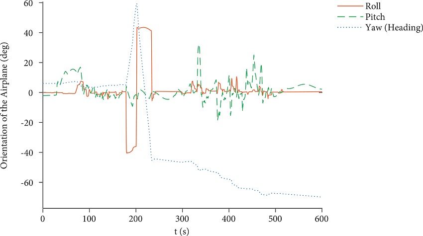
To evaluate the SIVOR implementation of the classical washout filter, the following sequence of simulated airplane maneuvers was performed:
Departure (starting at around 15 s);
Take off (starting at around 30 s);
After reaching cruise conditions, an intense roll command was executed to one direction, being the airplane kept tilted at around -40°. In the sequence, an equivalent roll command was executed to the opposite direction, being the airplane kept at around +40°. Finally, the airplane was taken back to horizon orientation and cruise conditions smoothly;
A series of intense pitch commands was executed in order to evaluate the feelings of transient losses and gains of G. The airplane was then taken back to horizon orientation and cruise conditions smoothly.
These maneuvers were chosen because they would address the most relevant possible false cues and the novel implementation of transient G losses/gains. An overview of the flight test used in the evaluation of the classical washout filter is displayed in Fig. 6.

DESIRED FEATURES OF THE SIVOR FLIGHT SIMULATOR
As already mentioned in previous sections, the SIVOR Flight Simulator has the objective of being used both as an advanced EDS as well as for flight tests and pilot training. In order to simulate such range of maneuvers, an adequate implementation of the washout filter is necessary. The most relevant requirements for the present implementation are: the translational channel must represent both high frequency turbulences and low frequency translational movements that transmit the sensation of loss or gain of G to the pilot. This is important especially for intensive maneuvers/scenarios (such as G-break for stall maneuvers, meteorological phenomena such as wind shear, microburst, downburst etc.); and no false cues should be generated.
A detailed discussion about these requirements and their respective proposed solutions is presented in the following section.
THE SIVOR IMPLEMENTATION OF THE CLASSICAL WASHOUT FILTER
In order to achieve the requirements described in the previous section, a new approach to the implementation of the classical washout filter has been proposed and experimentally tested.
Considering the objective of representing both high frequency turbulences and lower frequency translational movements, which belong to different frequency ranges, the translational channel was split in two: a high frequency and a low frequency translational channel. The high frequency translational channel sends its output directly to a shaker to generate the high frequency turbulences (to be considered as future work). The low frequency translational channel, to the end-effector of the robot. Therefore, the classical translational channel is referred to as low frequency translational channel from now on.
The two most relevant false cues considered in the present work were: (a) abrupt return to neutral orientation after roll/pitch commands and (b) the tendency of the translational channel to generate desired trajectories that may cause the SIVOR simulator to reach its workspace limits. The former was solved by tuning the rotational channel with low enough cutoff frequencies. The latter, by the addition of first order high-pass filters in the output each integrator of the channel (Schmidt and Conrad 1970) and a sigmoid function in the output of the channel, to guarantee a smooth approach of the end-effector to its workspace limits without reaching it. It must be emphasized that the cutoff frequencies of the added first order high-pass filters were chosen with the lowest possible values, so that these filters do not have an undesired impact on the dynamics generated by the second order high-pass filter of the channel.
Figure 7 depicts the block diagram structure of the SIVOR implementation of the classical washout filter.

RESULTS AND DISCUSSION
The evaluation of the SIVOR implementation of the washout filter is focused on the representability of transient G losses/gains and on the absence of false cues during the execution of the maneuvers proposed in the previous section. Then, an experimental evaluation of the SIVOR filter has been carried out by a set of professional pilots.
SENSATIONS OF TRANSIENT G LOSSES/GAINS
An overview of the Z-axis output of the washout filter is displayed in Fig. 8, which shows that 2.5 m of vertical displacements are fully used by the SIVOR flight simulator. The momentaneous feeling of free fall was reported by all four test pilots as clearly noticeable, which, to the best knowledge of the authors, has not yet been represented by any other simulator and/or implementation of the washout filter. Such sensation does add realism to the simulation of intense maneuvers/scenarios, such as the ones of flight tests.

ABSENCE OF FALSE CUES
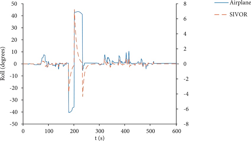
Abrupt Return to Home Position/Orientation
In order to maximize the usability of the simulator workspace, it must always return to home position and orientation after the airplane transients vanish. If not tuned adequately, the rotational channel may cause an abrupt return of the cockpit to home orientation after the pilot commands cease. This would cause an immediate loss of immersion to the pilot because the visuals show a sustained inclination of the airplane, while the simulator cockpit is turning in the opposite direction with respect to that inclination. By choosing a low enough cutoff frequency of the high-pass filter of the rotational channel, the response to the pilot’s command causes the simulator cockpit to turn with more intensity during the transient, and return smoothly to home orientation after the transient, such that the pilot does not notice it. This behavior is displayed in Fig. 9 and zoomed in Fig. 10. An abrupt return to home position, however, was not reported by any pilot.


Tendency of the Translational Channel to Reach Workspace Limits
In order to adequately represent the sensations of transient losses and gains of G, the translational channel must approach the simulator workspace limits frequently. By using a standard saturation function to keep the simulator within its limits, there is a risk of abrupt movement interruptions that causes an immediate loss of immersion to the pilot. To solve this issue, a sigmoid function was implemented in the output of the channel. This function guarantees not only a smooth approach of the simulator to its vertical limits (±125 cm) but also that the simulator never actually reaches it, which can be seen in Fig. 11. In addition, first order high-pass filters were added to the output of each integrator to constantly bring the robot back to its home position when the acceleration transients cease. In all tests performed by the four professional pilots, no false cues were reported. All pilots confirmed that they had a coherent impression of momentaneous free fall and G gains during intensive pitch maneuvers, and that they did not notice if at any moment the simulator approached its workspace limits or not.

EXPERIMENTAL EVALUATION BY PROFESSIONAL PILOTS
Four professional pilots with thousands of hours of average flight experience with several different airplanes (commercial, executive, and flight test prototypes) performed a series of simulated flights in order to evaluate the quality of the proposed approach/simulator. These tests consisted of take-off, cruise, different intensities of roll left/right, pitch up/down commands, and landing.
As feedback on the SIVOR simulator, the pilots reported that the dynamic rotational behavior of the airplane during the transients was adequately simulated for both roll and pitch maneuvers. The simulation of the sustained linear accelerations of the airplane through the tilt coordination channel was also considered satisfactory by all pilots. In addition, all pilots confirmed that they could clearly notice the losses and gains of G during intensive pitch maneuvers, which to the best knowledge of the authors, has not yet been represented in any other flight simulator/implementation of the washout filter. Another point to be mentioned is that none of the pilots reported any kind of false cue during the performed experiments.
CONCLUSION
In this study, a detailed discussion about the SIVOR implementation of the classical washout filter on an industrial anthropomorphic robot was made. This implementation had the objective of adding a coherent representation of transient feelings of G losses/gains, while also avoiding false cues. Compared to the washout implementations reported in the literature, the SIVOR implementation differs from them in two main aspects, namely (1) the translational channel was split in two: a high frequency and a low frequency translational channel; and (2) high-pass filters were added to the output of each integrator of the translational channel and sigmoid functions were added to the output of the washout filter. The former adds transient losses and gains of G to the simulation environment - never reported elsewhere. As a future work, the high frequency translational channel will be implemented. Its output will be directly sent to a shaker attached to the pilot’s seat to improve the realism of the simulator. The latter avoids false cues, especially from the low frequency translational channel, which is expected to cause the simulator to approach its workspace limits more frequently. The SIVOR washout filter was experimentally implemented on a KUKA KR-500 anthropomorphic industrial robot and tested extensively by four professional flight test pilots. All four pilots unanimously approved the proposed implementation. They reported momentaneous losses and gains of G in intensive pitch maneuvers and did not report any false cues. In the sequel, it is planned the use of a robot with a higher payload (to carry a replica of an actual airplane cockpit and a screen able to provide 180° of field of view to the pilot) attached to a 10 meters linear axis (to increase its workspace). In order to exploit the added degree-of-freedom, optimization techniques shall be investigated to guarantee an adequate trajectory generation for such kinematically redundant motion simulator.
REFERENCES
Allerton DJ (2010) The impact of flight simulation in aerospace. The Aeron Journal 114(1162):747-756. https://doi.org/10.1017/S0001924000004231
Asadi H, Mohamed S, Lim CP, Navahandi S (2016) Robust optimal motion cueing algorithm based on the linear quadratic regulator method and a genetic algorithm. IEEE Trans on Systems, Man and Cybernetics 74(2):238-254. https://doi.org/10.1109/TSMC.2016.2523906
Bellmann T, Otter M, Hirzinger G (2011) The DLR robot motion simulator part II: Optimization based path-planning. Presented at: IEEE International Conference on Robotics and Automation; Shanghai, China. https://doi.org/10.1109/ICRA.2011.5979914
Brain CJ, Clayton TD, Ward NJ (1996) Organizing safety-related aircraft simulation. Presented at: 2nd Test and Evaluation International Aerospace Forum; London, UK. https://doi.org/10.2514/6.1996-3331
Dagdelen M, Reymond G, Kemeny A, Bordier M, Maïzi N (2009) Model-Based predictive motion cueing strategy for vehicle driving simulators. Control Engineering Practice 17(9):995-1003. https://doi.org/10.1016/j.conengprac.2009.03.002
[FAA] Federal Aviation Administration (2012) Flight test guide for certification of transport category airplanes, AC 25-7C. Federal Aviation Administration; [accessed 2018 March 12]. http://www.faa.gov/documentLibrary/media/Advisory_Circular/AC_25-7C.pdf
Garrett NJI, Best MC (2010) Driving simulator motion cueing algorithms - a survey of the state of the art. Presented at: 10th International Symposium on Advanced Vehicle Control (AVEC); Loughborough, United Kingdom.
Janfaza P, Nadol JB, Galla R, Fabian RL, Montgomery WW (2001) Surgical anatomy of the head and neck. Philadelphia: Lippincott Williams & Wilkins.
Mendonça CB, Silva ET, Curvo M, Trabasso LG (2013) Model-based flight testing. Journal of Aircraft 50(1):176-186. https://doi.org/10.2514/1.C031778
Nahon MA, Reid LD (1990) Simulator motion-drive algorithms: a designer’s perspective. Journal of Guidance, Control and Dynamics 13(2):356-362. https://doi.org/10.2514/3.20557
Parrish RV, Dieudonne JE, Bowels RE, Martin Jr. DJ (1973) Coordinated adaptive washout for motion simulators. Presented at: AIAA Visual and Motion Simulation Conference; Palo Alto, USA.
[RCTA] Radio Technical Commission for Aeronautics (2011) Software considerations in airborne systems and equipment certification. DO-178C. Washington: RCTA
Reid LD, Nahon MA (1986a) Flight simulation motion-base drive algorithms part II: selecting the system parameters. (N307) UTIAS Report.
Reid LD, Nahon MA (1986b) Flight simulation motion-base drive algorithms part III: pilot evaluations. (N319). UTIAS Report.
Reid LD, Nahon MA, Kirdeikis J (1992) Adaptive simulator motion software with supervisory control. Journal of Guidance, Control and Dynamics 15(2):376-383. https://doi.org/10.2514/3.20846
Schmidt SF, Conrad B (1970) Motion drive signals for piloted flight simulators. (CR-1601) NASA Contractor Report.
Sivan R, Ish-Shalom J, Huang JK (1982) An optimal control approach to the design of moving flight simulators. IEEE Transactions on Systems, Man, and Cybernetics 12(6):818-827. https://doi.org/10.1109/TSMC.1982.4308915
Telban R, Cardullo F, Houck A (1999) Developments in human centered cueing algorithms for control of flight simulator motion systems. Presented at: AIAA Modelling and Simulation Technologies Conference; Portland, USA. https://doi.org/10.2514/6.1999-4328
Teufel HJ, Nusseck HG, Beykirch KA, Butler JS, Kerger M, Bülhoff HH (2007) MPI motion simulator: development and analysis of a novel motion simulator. Presented at: AIAA Modeling and Simulation Technologies Conference and Exhibit; Hilton Head, USA. https://doi.org/10.2514/6.2007-6476
Vargas M (2009) Controle de uma plataforma de movimento de um simulador de voo (PhD Thesis). São Paulo: Universidade de São Paulo. In Portuguese.
Author notes
Conceptualization, Trabasso LG, Silva ET and Villani E; Methodology, Trabasso LG, Natal GS, Villani E, Silva ET and Silveira L; Investigation, Natal GS, Arjoni DH, Oliveira WR, Rodamilans GB and Silveira L; Writing - Original Draft, Natal GS, Trabasso LG, Silva ET and Villani E; Writing - Review and Editing, Natal GS, Trabasso LG, Silva ET, Villani E and Oliveira WR; Funding Acquisition, Trabasso LG, Villani E and Silva ET; Resources, Trabasso LG, Villani E and Silva ET; Supervision, Trabasso LG, Villani E and Silva ET.
*Correspondence author:guilesn@gmail.com