Artículos
Dinámica migratoria en Risaralda, Colombia: modelo basado en agentes
Migration dynamics in Risaralda, Colombia: Agent-based model
Dinámica migratoria en Risaralda, Colombia: modelo basado en agentes
Estudios demográficos y urbanos, vol. 38, núm. 2, pp. 415-460, 2023
El Colegio de México A.C.
Recepción: 24 Octubre 2019
Aprobación: 01 Junio 2022
Resumen: Se presenta un modelo basado en agentes para estudiar el comportamiento migratorio del departamento de Risaralda, Colombia. Para su construcción se consideraron tres elementos fundamentales en la dinámica poblacional: la toma de decisión de migrar, con el desarrollo de un modelo bayesiano; el componente de atracción, a través de un modelo gravitacional; y la aplicación del enfoque minimalista usando modelos basados en agentes en estudios de la migración por decisión. Los resultados evidencian que la dinámica migratoria del departamento tiene rutas con alta concentración de capital social, que condicionan el arribo y la expulsión poblacional, modificando su estructura.
Palabras clave: Modelo basado en agentes, decisiones migratorias, modelo gravitacional.
Abstract: An agent-based model is presented to study the migratory behavior of the department of Risaralda, Colombia. For its construction, three fundamental elements for the population dynamics were considered: the decision-making to migrate, with the development of a Bayesian model; the attraction component, through a gravitational model; and the application of the minimalist approach using models based on agents in studies of migration by decision. The results show that the migratory dynamics of the department have routes with a high concentration of social capital, which condition the arrival and expulsion of the population, modifying its structure.
Keywords: Model based on agents, migratory decisions, gravitational model.
Introducción
Una de las dinámicas de población que propicia la transformación acelerada de la estructura social y económica en los diferentes contextos geográficos es la migración. Existen diferentes tipos de movimientos migratorios, y los efectos generados por cada uno de ellos difieren trascendentalmente en el lugar donde éstos tienen presencia como consecuencia de dos factores: el primero se debe a la duración del desplazamiento y bajo las condiciones en que éste se da; el segundo está relacionado con el volumen de población que lo realiza en el tiempo, en algunos territorios.
En cuanto al comportamiento de estos dos factores en Colombia, el departamento de Risaralda posee una participación importante de cada uno de ellos. Risaralda es uno de los treinta y dos departamentos que forman la República de Colombia; está organizado en 14 municipios,1 y su capital es Pereira. Con un área de 4 140 km2, es el cuarto departamento menos extenso del país (lo que representa el 0.36% del territorio nacional) y según el Departamento Administrativo Nacional de Estadística (DANE), cuenta con una población de 957 254 habitantes, siendo Pereira y Dosquebradas los municipios más poblados con el 49.3 y el 21.0% de la población total, respectivamente (DANE, 2018). Risaralda se ubica en la segunda posición -de cuatro agrupaciones o clústeres definidos por Lotero, Posada y Valderrama (2009) para la construcción de un ranking de competitividad de los departamentos colombianos-, clasificada como una economía tradicional. Posee altos niveles de infraestructura, capital humano y aglomeración después de los del primer grupo. Resalta que, en términos de aglomeración, la diferencia respecto a los restantes es cuatro veces superior, brecha que define la disparidad de los procesos de causación acumulativa entre las demás agrupaciones.
Esta migración del departamento a la migración a nivel nacional, a su vez se potencializa ampliamente por su posición geográfica, ya que está ubicado en el centro-oeste del país, formando parte de la región Andina y de la subregión del Eje Cafetero. Limita por el norte con los departamentos de Antioquia y Caldas; por el este, con los departamentos de Caldas y Tolima; por el sur, con los departamentos del Quindío y Valle del Cauca; y al oeste, con el departamento del Chocó, convergiendo así con las principales vías y corredores de transporte que conectan entre sí a importantes centros económicos del país (Mapa 1), lo que propicia el arribo y salida de población a diferentes zonas de Colombia.
Además de los factores ya mencionados, en Risaralda se presentan componentes explicativos importantes para el estudio del flujo migratorio nacional e internacional, como son la presión demográfica, el deterioro de las condiciones de vida, la inestabilidad política, la escasez y disminución del empleo, los conflictos armados, los desastres ecológicos, la situación laboral, entre otros. Todo ello provocado por factores económicos y estructurales, políticos, culturales e históricos, así como por el influjo de las redes sociales de comunicación. Estos condicionantes, como otros que son emergentes de la estructura demográfica de la población departamental, generan la necesidad de estudiar y analizar todos los efectos que tiene la migración en las diferentes esferas de actuación de la población. Por dichas razones, en esta investigación se presenta la conceptualización, fundamentación y complementación de un modelo detallado en cada una de sus fases, hasta llegar al proceso de simulación en tres instantes del periodo temporal 2010-2030 (2011, 2020 y 2030), que permite identificar cómo la variación de los condicionantes migratorios empleo y educación inciden en la atracción particular de los municipios de Risaralda.
Conceptualización y fundamentación de las decisiones y flujos migratorios
Los factores relacionados con la toma de decisión de migrar condicionan en gran medida la selección del lugar de recepción, generando con ello una configuración especial de cada uno de los recorridos que emergen de los flujos migratorios. Estos elementos fueron definidos por Massey, Arango, Hugo, Kouaouci, Pellegrino y Taylor (1993) para las migraciones internacionales, pero pueden ser considerados en la migración interna, los cuales son:
Fuerzas estructurales que se promueven en el lugar de origen que incentivan el éxodo de la población.
Fuerzas estructurales en el lugar receptor que dinamizan el arribo de la población.
Respuestas a las necesidades de los actores que se satisfacen con la migración.
Estructuras sociales y económicas que emergen de la interacción de los actores entre el origen y el destino.
Estos elementos han sido de gran utilidad para estudiar la migración, especialmente en el contexto latinoamericano, como se presenta en los trabajos de Massey et al. (1993), Massey, Durand y Riosmena (2006), Palloni, Massey, Ceballos, Espinosa y Spittel (2001), Aguilera y Massey (2003) y Massey y Aysa (2005), cuyos resultados se han convertido en los principales pilares en el reconocimiento de las conductas migratorias de algunos actores provenientes de lugares específicos y de la influencia que tienen las relaciones interpersonales para su decisión. Estos vínculos generados por las fuerzas estructurales de origen-destino catalizan la aparición de redes personales, las cuales, según Massey y Aysa (2005), reducen los costos de la migración minimizando considerablemente los riesgos que puedan estar ligados a ella. Estos enlaces sociales, de acuerdo con Massey y Aysa (2005), son el principal insumo para la circulación de información, que puede transformarse en una serie de beneficios que están sujetos en gran medida a la posición social del individuo en el destino. En este sentido, las primeras migraciones no son determinadas por la cohesión social generada por las redes sociales entre expulsor y receptor, pero con el paso del tiempo se convierten en un instrumento indispensable que, según Massey et al. (1993), es uno de los moduladores que explica con mayor amplitud los flujos migratorios y sus focos de atracción-repulsión, tanto en las migraciones por decisión como en las forzadas (Rentería y Vitale, 2015). Para lograr dimensionar lo anterior, Massey y Aysa (2005) y Massey et al. (2006) explican que este efecto surge de la teoría del capital social y la causación acumulada, que, a su vez, son teorías explicativas de la migración.
1.1. Teoría del capital social
En el caso del capital social, su suscripción está fundamentada en el impacto de las relaciones sociales que están inmersas en los flujos migratorios entre dos puntos geográficos específicos. Respecto a estas definiciones resaltan varios autores como Coleman (1994), quien definió al capital social como una función de la estructura de la sociedad que tiene un individuo para producir un beneficio. Bourdieu y Wacquant (1992) lo establecen como la suma de los recursos actuales o virtuales que acumula un individuo o un grupo en virtud de su posicionamiento en una red social. Y Putnam (1993) manifiesta que dicho capital se refiere a las características de la organización social, como confianza, normas y redes, que pueden mejorar eficientemente la colectividad por acciones facultadas y coordinadas entre los individuos.
En cuanto a la utilidad que tiene este capital en los procesos de migración, Massey et al. (1993) mencionan que su nivel influye considerablemente en el momento de la toma de decisión porque de manera rápida el individuo evalúa las diferentes posibilidades de convertirlo en otro tipo de capital, con lo cual puede reducir cualquier efecto que genere el desplazamiento. Así, este tipo de valoración se convierte en un instrumento teórico que permite explicar la importancia de las redes sociales visibles desde el expulsor, incluso cuando éstas no son físicas (relaciones sociales que se dan por medio de comunicación virtual). Aunque desde el expulsor este capital presenta elementos importantes para condicionar la atracción de los migrantes, la cantidad de capital social que circula dentro de estos grupos puede ser menor que entre los residentes, lo que en el tiempo podría modificar los focos atractores en los lugares de recepción.
1.2. Teoría de la causación acumulada
Esta teoría fue desarrollada inicialmente por Fujita (2004). En el caso de las migraciones, Massey et al. (1993) establecen que las decisiones migratorias actuales son afectadas por migraciones pasadas; además, explican las modificaciones sociales que trae consigo la migración a los lugares receptores. Pero Massey et al. (1993), además de definir los efectos de las migraciones pasadas en la toma de decisiones de los migrantes, mencionan que esta acumulación se relaciona con la concentración del capital social. Por tanto, el efecto de la acumulación dinamiza la emergencia de rutas que convierten la selección del receptor de forma inmediata; además, facilita la emergencia de factores culturales que incluso configuran algunos lugares receptores con patrones sociales específicos que son propios del expulsor, logrando así incrementar la probabilidad de arraigo del migrante en el sitio receptor.
2. Caracterización migratoria del departamento de Risaralda
En el departamento de Risaralda se tiene un comportamiento particular de la migración porque existen algunos municipios protagonistas en diferentes aspectos de los flujos migratorios que tienen presencia dentro del departamento. Por esta razón, es necesario clasificar la migración en dos grupos: el primero, denominado como migración por decisión; y el segundo, relacionado con acciones involuntarias o forzadas por diferentes factores externos. En este trabajo se presenta una descripción de la migración por decisión y las condiciones que dan lugar a estos flujos y saldos migratorios.
2.1. Migraciones por decisión
Se considera migración por decisión cuando el individuo o grupos de individuos se desplazan de forma parcial o definitiva a un lugar diferente de su lugar de residencia. Para el caso de este modelo, se considera sólo la migración definitiva (aquella mayor o igual a un año). Dentro de este tipo de migración se consideran las motivaciones de empleo y educación.
2.1.1. Migración por empleo
Esta variable fue mencionada en los trabajos de Silva y González (2009) y Mejía (2006), quienes resaltan que una de las condicionantes importantes de la migración tanto nacional como internacional es la falta de empleo que padece el departamento de Risaralda. Dichos trabajos coinciden en que el nivel de desempleo es el principal elemento catalizador de la migración por las situaciones laborales que han sido casi permanentes. Según cifras de 2010, la tasa de desempleo en la capital del departamento era del 21.3%, cuando el promedio nacional se ubicaba en el 12.3% (DANE, 2018). En su momento se adjudicó este comportamiento a tres causas:
La disminución de las remesas internacionales. En la ciudad de Pereira, como en otros municipios del departamento, el principal recurso económico eran las remesas; con éstas, muchos habitantes no tenían necesidad de laborar o les bastaba con un solo empleo. Las remesas representan una fuente de ingreso para nuevos proyectos, o menguan los desniveles en la renta que impiden la continuidad de la educación o de un tratamiento médico, entre otros, para los cuales se carece de seguros o subsidios. Por tanto, su baja obligó a muchos habitantes a la búsqueda prioritaria de empleo.
La crisis cafetalera, que es uno de los recursos económicos más importantes de los campesinos del departamento.
Las migraciones, en especial de aquellas personas que provienen de la ladera del Pacífico colombiano, como también de algunos departamentos del sur del país.
Aunque la tasa de desempleo nacional en 2010 (12.3%) fue un hito histórico (hubo uno similar en 2003), este valor no ha sido permanente; además, es importante destacar que el departamento de Risaralda siempre se ubica en las primeras posiciones en el país en materia de desempleo. En este sentido, como lo plantea Mejía (2006), la falta de empleo genera intercambios poblacionales con algunos lugares cercanos, incluyendo a Bogotá, causando con ello una migración de tipo pendular en muchos casos. A nivel internacional, según la base de datos del Proyecto Latinoamericano de Migraciones (LAMP, según sus siglas en inglés) (Office of Population Research, 2017), las redes migratorias por empleo que tienen los residentes de Risaralda tienen como principales destinos a Estados Unidos y España; incluso se puede encontrar que algunos lugares son polos de atracción de comunidades de municipios específicos, elemento que se convierte en un condicionante determinante para futuros arribos. Para el caso de esta simulación, sólo se tomarán las migraciones a largo plazo, es decir, con duración superior a un año, por dos razones: la primera, porque son movimientos migratorios que se pueden detectar con mayor facilidad y son visualizados como puntos de equilibro (o valores constantes) en el flujo migratorio; y la segunda, por la carencia de fuentes de información que permitan caracterizar los flujos que forman los saldos migratorios a nivel municipal, y con ello poder determinar los atributos de las personas que se movilizan por esta decisión. Esta última razón es uno de los componentes más críticos en la construcción del simulador.
2.1.2. Migración por educación
En el aspecto educativo, el departamento de Risaralda tiene un comportamiento migratorio un poco diferente al presentado en el de empleo. En esta diferencia resalta su ubicación geográfica y la concentración de su oferta educativa, especialmente en los municipios de Pereira y Dosquebradas, principalmente en educación superior. En cuanto a su ubicación geográfica, Risaralda es un gran foco atractor de población del norte del Valle del Cauca, Quindío, Caldas y del Chocó. Aunque en una primera instancia las migraciones de esta población a Risaralda no surgieron por aspectos relacionados con la formación académica, estos nexos en el tiempo han facilitado su arribo a algunos municipios del departamento con buena tasa de cobertura educativa. El otro aspecto que resalta es la cercanía de sus municipios principales a nivel interdepartamental, propiciando una relación costo-beneficio más favorable que con las ciudades capitales de donde migran. En cuanto a la oferta académica en educación superior, la mayor parte de ésta se ubica en los municipios Pereira, Dosquebradas y Santa Rosa del Cabal, incluso algunos presentan valores de cobertura muy bajos, como lo expresa el Observatorio Laboral para la Educación (2014), que considera que es la razón por la cual se intensifica la decisión de migrar. Dicha institución y el Ministerio de Educación (2019) también mencionan que, a pesar de existir estrategias para reducir esta situación, como con los Centros Regionales de Educación Superior (CERES), no se llega a cumplir a cabalidad con las necesidades de infraestructura requeridas por cada una de las diferentes especializaciones de los programas académicos.
3. Construcción del modelo migratorio para el departamento de Risaralda
Para la construcción del modelo migratorio en esta investigación se consideraron tres etapas: 1) modelado de toma de decisión; 2) factores de atracción y flujo migratorio; y 3) enfoque minimalista de la migración para los modelos basados en agentes.
3.1. Modelado de toma de decisión
Para la construcción de la toma de decisiones de los individuos se desarrolló un modelo de microsimulación cuyas funciones de probabilidad se establecerán a partir de la estadística bayesiana para cada una de las causas de migración definidas en esta investigación (empleo y educación). El primer elemento que se define para la construcción de la función de probabilidad a priori para las causales migratorias previamente mencionadas, parte de la consideración de las siguientes variables aleatorias: (x) migración por cuestión de estudios, y (y) migración por cuestión de trabajo.
Por tanto, la decisión de desplazarse por estudio p, trabajo θ o ambos. Se generan entonces los siguientes eventos:
A = se desplaza por estudio
Ac = no se desplaza por estudio
B = se desplaza por trabajo
Bc = no se desplaza por trabajo
Sea la variable aleatoria:
donde xi y yi son funciones a priori, sujeto a: 0 ≤ pi ≤ 1 y 0 ≤ θi ≤ 1, siendo i = 1,2,3, ..., r donde r es la cantidad de individuos. Entonces:
Una vez obtenidas estas funciones de cada causa migratoria, se procede a calcular la función de probabilidad a priori con la aplicación del método de Jeffreys (Rouder, Speckman, Sun, Morey e Iverson, 2009) porque se están tratando funciones no informativas; por consiguiente, se considera como función de verosimilitud:2
Con la información obtenida en [1] se procede a calcular la función informativa de Fisher (Akaike, 1998) a partir de los siguientes pasos:
Calculando la segunda derivada de [3] se llega a la función normativa de Fisher presentada en [4]:
Como E(xi ) = p se reemplaza en [4] y se obtiene [5]:
Teniendo como resultado: (método de Jeffreys). Luego:
Conociendo que el kernel de la función de probabilidad beta está dado por:
Entonces, Por tanto, la función a priori es:
Con la ecuación [6] se calcula la función a posteriori a partir de [7], y su resultado final es [8]:
De forma general, la función de probabilidad que se utiliza para la decisión de migrar por la causa x es:
Dado que los eventos A y B son mutuamente excluyentes, P(A ∩ B) = P(A) · P(B). Por tanto, sea la variable aleatoria wj para j = 1,2,3,4. Luego, se presentan:
De aquí que wj~ Bernoulli (λj ), siendo:
Para el resultado de la parametrización es la siguiente:
Lo cual se generaliza por:
A partir de la ecuación [9], cada agente toma la decisión de migrar por una o más causas (eventos A y B) en la simulación, de forma tal que su valor, además de decir por cuál causa se desea desplazar (cuando aplique), proporciona también el valor de probabilidad asociado al movimiento. Estos valores serán comparados durante la simulación por los valores umbrales de cada una de las causales migratorias ω y φ. El primero (ω) está asociado con el evento A, y su valor se determina a partir de la tasa de cobertura educativa que, según el Ministerio de Educación (2019) y el Observatorio Laboral para la Educación (2014), es uno de los elementos que dinamizan con mayor amplitud la migración por aspectos relacionados con la educación superior. En el caso de φ, su asociación está relacionada con el evento B, y su valor puede ser seleccionado mediante indicadores como el desempleo, que es, según el DANE (2018), la razón más frecuente para la migración por cuestiones laborales. En el caso de esta investigación, el valor de φ es la tasa de desempleo; no obstante, en este modelo pueden ser acoplados ambos para ampliar el espectro de la decisión por esta causa migratoria. Estos elementos son determinantes en las primeras interacciones de la simulación porque, a medida que se incrementen los flujos migratorios en cada uno de los municipios, se dinamiza la emergencia de algunos polos de atracción cuya fuerza para atraer funciona de manera similar al modelo gravitacional.
3.2. Modelo de atracción de población migrante
Para la elaboración del modelo de atracción, en esta investigación se seleccionaron los modelos de migración basados en la gravitación, fundamentados en el propuesto por Newton y cuya principal aplicación radica en el estudio de los flujos migratorios entre dos puntos geográficos específicos. Los criterios de selección por parte de los migrantes están basados en la fuerza de atracción que existe entre los dos lugares, que resulta de la interacción de masas o personas y el cuadrado de la distancia que los separa. Para este modelo la distancia no está definida explícitamente por factores geográficos. Por ejemplo, Romero (2011)) utiliza diferentes tipos de distancias estadísticas para estructurar varios modelos gravitacionales y estudiar la migración interna del capital humano en Colombia y, a través de ellos, inferir algunos factores de éxito que están ligados a distintas regiones del Caribe colombiano, razón por la cual convirtió a Bogotá en su principal foco atractor. La ecuación que representa este modelo es:
donde:
Fij : flujo de población entre los lugares i y j.
Pij : población de los lugares i y j.
dij : distancia entre los lugares i y j.
K: constante de proporcionalidad que toma valores
El concepto de migración por factores económicos fue utilizado por primera vez en el texto de Young (1928), y posteriormente fue ampliamente trabajado por Tinbergen (1962) para analizar el flujo de recursos en el comercio internacional. En el caso particular de este modelo, la fuerza de atracción dinamiza la aparición de polos o hubs migratorios, que son determinantes para el comportamiento de los saldos poblacionales en el interior del departamento. Otro aspecto significativo que se debe considerar en el análisis migratorio de Risaralda es el de la importancia que tienen algunos arribos particulares por las causas migratorias mencionadas anteriormente (educación y empleo), lo cual se traduce en un valor particular de Fij .
En el aspecto educativo, algunos municipios tienen un valor de atracción importante a consecuencia del gran tamaño de la cobertura educativa municipal y departamental (medido con el nivel educativo promedio de cada individuo del municipio j). En el caso de la migración por empleo, los factores de atracción están determinados, en gran medida, por las diferencias de capacidades productivas y económicas de cada municipio (como se presentó en el primer apartado). Además de los elementos que se mencionaron con anterioridad, el modelo gravitacional tiene la potencialidad de incorporar los factores más importantes de la teoría del capital social y la causación acumulada, tales como las fuerzas estructurales que surgen de las relaciones sociales entre el origen y el destino que, según Massey et al. (1993), son aspectos con alta relevancia cuando se trata la migración por las causas seleccionadas en esta investigación.
3.3. Enfoque minimalista de la migración para modelos basados en agentes
Para articular alguno de los elementos teóricos en los componentes computacionales del modelado basado en agentes para simular la migración por decisión (educación y empleo), es necesario considerar los criterios establecidos por Klabunde y Willekens (2016), donde los desarrollos computacionales deben articular los elementos propios de los migrantes, los cuales se presentan a continuación:
Las reglas de decisión establecidas en la teoría deben basarse en la teoría de la evidencia empírica.
La teoría debe tener en cuenta la influencia social. A menudo se ha demostrado que los migrantes están influenciados por las elecciones de los demás y que dependen de la ayuda de otros.
El modelo debe ser capaz de situar la decisión migratoria en el curso de la vida para poder relacionarlo con otros eventos demográficos y cambios en los objetivos.
En consideración a lo anterior, y por las condiciones que tienen los movimientos migratorios por decisión (educación y empleo), se seleccionó el enfoque denominado modelo minimalista para el desarrollo del espacio, agentes y elementos computacionales.
Este enfoque fue desarrollado por Schweitzer (1998) para estudiar la migración por empleo, obteniendo como hallazgo importante la aglomeración espacial económica. Los agentes en este modelo sólo poseen dos estados: empleado o desempleado. Para la elección de cada uno de ellos se utilizó el movimiento browniano de partículas. Además de estas particularidades en la selección, los agentes que estaban en condición de empleados generan un campo a su alrededor cuya fuerza depende de su salario. Este campo, a su vez, crea una atracción por los agentes en estado de desempleados, generando su desplazamiento hacia ese lugar.
Estos resultados fueron comparados con información empírica formulada en el trabajo de Krugman (1992), y permiten explicar de manera novedosa los patrones de migración a nivel macro por decisión de empleo (Schweitzer, 1998). Por ello, no se requirió incorporar teorías de comportamientos sociales o psicosociales para describir los factores de expulsión y recepción de los migrantes. A pesar de que esta primera aproximación no contiene componentes de tipo social, Jiang, Nishida, Yang, Yamada y Terano (2010) lograron añadir un elemento de influencia cultural a partir de algunas variables sociodemográficas, con lo cual se logró profundizar en los factores micro de los patrones emergentes macro.
Silveira, Espíndola y Penna (2006) utilizaron este mismo principio para explicar la migración rural-urbana por decisión laboral; la única diferencia fue que usaron como criterio de movilidad modelos de mecánica estadística, lo que resultó ser muy útil para estudiar los efectos de atracción a nivel global en algunas ciudades principales. Este tipo de modelado permite definir la arquitectura para la simulación porque articula la movilidad a partir de funciones aleatorias (en este caso, a través de la función de probabilidad obtenida a partir de la estadística bayesiana), pero también con factores de atracción generados como resultado de migraciones pasadas, importancia económica o, como lo llama Schweitzer (1998), aglomeración espacial económica que, para la propuesta del modelo de migración por decisión, será implementado como el modelo gravitacional. Para la materialización de esta arquitectura computacional de modelos basados en agentes, se definen algunos componentes y su integralidad en el siguiente apartado.
4. Arquitectura computacional del modelo
Para la construcción de los elementos computacionales que representan a los agentes, en esta investigación se han definido dos componentes. El primero representa al individuo, que es quien toma las decisiones de migrar del departamento de Risaralda, relacionadas con las causas seleccionadas en esta investigación. Además de tomar la decisión, estos agentes poseen las características demográficas de quienes, según los perfiles definidos al inicio de la investigación, tienen la mayor probabilidad de migrar. Estas características demográficas y de ubicación geográfica fueron priorizadas a partir de los trabajos de Massey et al. (1993) y Massey et al. (2006) porque son atributos que con el tiempo dinamizan la emergencia de factores que aumentan la atracción especial (migraciones directas sin paradas temporales) de algunos flujos migratorios (véase el Esquema 1).

4.1. Individuo
Esta entidad computacional representa al sujeto que se encarga de tomar la decisión de migrar a los diferentes municipios del departamento de Risaralda, como también fuera de él. En cuanto a las características sociodemográficas seleccionadas para esta entidad, se tomaron los elementos mencionados en los trabajos de Massey et al. (1993) y Massey et al. (2006), aunados a variables como edad, sexo y etnia, que también fueron resaltados en los trabajos de migración en Risaralda, elaborados por Mejía y Toro (2003)) y Mejía (2006).
4.2. Municipio
Para el modelado computacional de este componente se siguieron los principios del diseño de clases (a partir del paradigma de programación orientado a objeto). Para este caso se diseñó una clase llamada “municipios”, y a través de ella se pueden representar las características de cada uno de éstos en el departamento. En el caso particular de esta investigación, esta clase sólo tiene atributos porque los métodos y acciones son desarrollados por los individuos. Por tanto, el rol de estos atributos es incorporar aspectos geográficos que influencian la decisión migratoria como, por ejemplo, el indicador de la importancia económica definido por el DANE (2018), y con ello cuantificar el aporte municipal en el producto interno bruto (PIB) departamental. El atributo “id” es el código de identificación generado por la Dirección Nacional de Planeación (DNP) a cada uno de los municipios del departamento. De esta manera se puede generar agregación de las simulaciones de los individuos, y a partir de ésta, a los atributos de la clase municipio.
4.3. Base de datos
Para el diseño de la base de datos de esta investigación se consideró la información demográfica obtenida del SimuDat RS (Fundación Salutia, 2017), la cual posee los datos de proyección de población hasta el año 2050. No obstante, para esta investigación se toman las proyecciones entre 2010 y 2030. En este modelo de información también se han seleccionado otras bases de información que permiten ampliar la configuración de la simulación, tales como la Base de Datos Única de Afiliados (BDUA) de Risaralda; la Gran Encuesta Integrada de Hogares (GEIH) de dicho departamento; y el Sistema de Información Geográfica de Risaralda (en formato shape, TIF).
Además de generar los resultados de la proyección de población hasta 2030 y ampliar la configuración de la simulación, el componente de base de datos es el encargado de administrar los reportes de los individuos en términos de las decisiones presentadas en la sección 4, y con ello realizar los análisis demográficos en cada municipio de Risaralda.
5. Análisis y discusión de los resultados
Para la simulación de este modelo se ha propuesto la construcción de dos escenarios con algunas características particulares que permitan identificar cómo la variación de los condicionantes migratorios mencionados con anterioridad incide en la atracción particular de cada municipio.
5.1. Primer escenario
Para este escenario se ha definido como objetivo principal el estudiar la migración a partir de las condiciones actuales del departamento. Por tanto, los valores que se han considerado para la configuración de esta simulación son:

En el caso de este escenario, se observa que estos valores son iguales para todos los municipios de Risaralda; por tanto, se considera que ωi = ω y φi = φ. Los valores ω, φ representan la cobertura educativa del departamento y la tasa de desempleo, respectivamente, reportada por el Departamento Nacional de Estadísticas (DANE, 2018) y el Observatorio Laboral para la Educación del departamento en el año inicial de la simulación.
5.2. Segundo escenario
En este escenario se consideró un cambio en la cobertura educativa y en los municipios del departamento, de forma secuencial y simultánea. Este proceso se realizó en dos etapas: en la primera se propuso como variable el valor ωi . Así, los parámetros de simulación utilizados para este escenario son:

Estos cambios son realizados de manera anual en la simulación (incremento y decremento de ωi ) a razón constante a partir del valor de ς, con el objeto de poder simular el efecto del deterioro o mejoramiento de la infraestructura municipal en conformidad con la demanda educativa del mismo, y las consecuencias en flujo migratorio dentro y fuera del departamento.
En cuanto a la segunda etapa, se manejaron los cambios en la tasa de desempleo de forma similar al proceso anterior, pero con algunas modificaciones presentadas a continuación, a razón constante q para cuantificar la variación demográfica de los municipios de Risaralda:

Un condicionante importante para la incorporación de la migración masiva (de todo el grupo familiar) en esta simulación, es el conocido como φ. Por tanto, esta migración sólo podrá ejecutarse cuando
Para ambos escenarios el valor de φ es el mismo (φ = 7).
5.3. Resultados del primer escenario
El análisis de resultados del primer escenario se concentra en los municipios que tienen mayor dinámica migratoria en el departamento según Mejía y Toro (2003), los cuales son Pereira, Dosquebradas y La Virginia en las áreas urbanas, y en las zonas rurales Pueblo Rico y Mistrató. La discusión de estos resultados se aborda a la luz del sexo y grupo etario (0-4, 5-9, 10-14, 15-19, 20-24, 25-29, 30-34, 35-39, 40-44, 45-49, 50-54, 55-59, 60-64, 65-69, 70-74, 75-80 años) de los migrantes. El orden en que se realiza esta descripción de los flujos migratorios se inicia con la emigración y posteriormente con la inmigración porque los trabajos de Mejía y Toro (2003) y Mejía (2006) mencionan que el departamento tiene un saldo migratorio negativo, aspecto que justifica la importancia del primero (emigración) con respecto al segundo (inmigración) en este apartado.
5.3.1. Resultados de Pereira
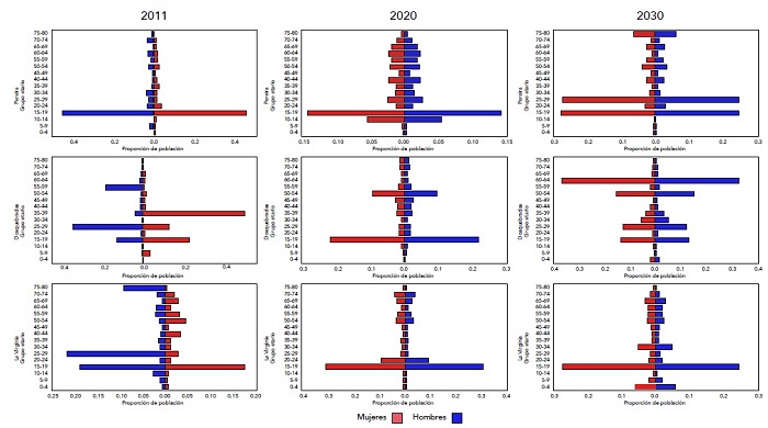
El primer análisis que se realiza de este escenario es la emigración en el municipio de Pereira en tres instantes, los cuales son 2011, 2020, 2030, presentados en la Gráfica 1.

La primera característica importante que aportan los resultados de la simulación para Pereira es que existen diferencias en la concentración de migrantes por sexo, aspecto donde resalta el femenino en los primeros instantes temporales de la simulación, pero posteriormente se empieza a reducir la brecha con el sexo masculino hasta llegar a ser equitativo. En cuanto el grupo etario, el comportamiento entre ambos sexos sigue esta misma tendencia, aunque con diferencias importantes en el grupo 20-24 años, que incluso se extiende al de 30-34 años, donde significativamente el sexo femenino supera al masculino, resultado que también coincide con los obtenidos por Office of Population Research (2017). Desde el grupo entre 35-39 años se invierte la relación (mayor masculino) hasta el comprendido entre 55-59 años, donde ambos se nivelan, y consecutivamente se genera otra intermitencia de la relación entre 55-59 hasta 75-80 años de edad. Este patrón comportamental exhibe una tendencia estacional en la medida en que se incrementan las edades en la pirámide poblacional del municipio.
Para 2020 el comportamiento es más equitativo para ambos sexos, pero se generan algunos cambios significativos en los grupos etarios que tienen mayor probabilidad de migrar, entre los que destacan: 0-4, 10-14, 25-29 y 35-39 años de edad. El caso de las migraciones del grupo de 0-4 años tiene gran significado para esta simulación porque, aunque la distribución de su probabilidad migratoria es muy baja y no pueden tomar su decisión de manera autónoma, la fuerza de atracción generada por el receptor externo dinamiza la migración de todo el grupo familiar; es en este aspecto donde se puede visualizar la razón de la migración por parte del grupo etario. En 2030 la proporción por sexo aún mantiene la mayor probabilidad de migrar en el grupo etario entre 35-39, y por debajo de éste se encuentra una participación del intervalo de edad comprendido entre 10-19 (con mayor porcentaje entre los 15-19 años), pero para los grupos etarios superiores a éste, la probabilidad migratoria se reduce considerablemente. El resultado de la simulación del municipio de Pereira, en efecto, asemeja la causación acumulada definida por Massey et al. (1993).
5.3.2. Resultados de Dosquebradas
A diferencia de Pereira, en el municipio de Dosquebradas el comportamiento migratorio por sexo tiene leves disparidades desde el inicio de la simulación en 2011, como se observa en la Gráfica 2, pero posee una particularidad especial en el grupo etario de 5-9, donde ampliamente el sexo masculino supera el femenino. Pero poco a poco estas diferencias se van reduciendo para los grupos etarios superiores a éste, hasta llegar a encabezar la migración de todo el municipio. En cuanto al comportamiento para el año 2020, presenta el mayor volumen de migraciones en los grupos 0-4 y 5-9 años (situación similar a la ocurrida en 2011). La gran proporción de estos dos grupos etarios se debe a que la fuerza de atracción externa tiene mayor impacto para este municipio que para Pereira porque sus condiciones internas presentan diferencias importantes con Dosquebradas. Por tanto, este movimiento migratorio involucra a todos los integrantes del hogar, que es más grande en Dosquebradas que en Pereira porque su cantidad de integrantes es mayor en promedio. En lo que respecta a 2030, la participación migratoria de los grupos 0-4 y 5-9 años se reducen porque cada vez es mayor la migración de la población en edad fértil por fuera del departamento, situación que se puede reflejar en el comportamiento migratorio de los grupos 25-29 y 35-39 años (con desempeño similar en 2020 para el último grupo etario).

5.3.3. Resultados de La Virginia
El comportamiento emigratorio de La Virginia en 2011 (véase la Gráfica 3) posee diferencias importantes con Pereira y Dosquebradas porque en la mayor parte de los grupos etarios es el sexo masculino quien supera al femenino, pero se asemeja a Dosquebradas en el comportamiento de los grupos de 0-4 y 5-9 años de edad porque la fuerza de atracción interna es menor que la externa. Así, la mayor parte de las migraciones que se dan en este municipio involucran a más de un individuo por movimiento migratorio, aspecto que explica el gran volumen de migración en los grupos etarios con baja probabilidad de migrar de manera autónoma. En las otras dos simulaciones, 2020 y 2030, se igualan las proporciones poblacionales por grupo etario en ambos sexos, pero cuando se analizan los mayores niveles de probabilidad, en el año 2020 es la población entre 35-39 años de edad, y en 2030 para los grupos entre 30-34 y 15-19 años.

5.3.4. Movimientos migratorios internos en Risaralda en el primer escenario
La inmigración en este caso se analiza en el interior del departamento porque, al tratarse de un modelo semicerrado, no se tiene un alto nivel de caracterización demográfica con el cual se puedan articular los componentes de decisión presentados en la sección 3 de este documento. Los resultados para este escenario se muestran en la Gráfica 4, y para su lectura se debe considerar la clasificación presentada en el Cuadro 1. Además de estos aspectos previamente mencionados, es importante resaltar que los flujos migratorios internos que fueron considerados para este análisis son los generados por los grupos etarios con la mayor probabilidad en las simulaciones presentadas en las Gráficas 1, 2 y 3. En cuanto a su representación gráfica (véase la Gráfica 4), en el eje “x” se consideraron los municipios de salida y en el “y” los de llegada, tomando en cuenta la coordenadas geográficas donde se ubicó el agente en el instante de la simulación que se está evaluando, a través de un proceso de interpolación. En este esquema, el tono azul intenso significa que la migración es mayor, y mientras se degrada el color disminuye la migración. Conforme a lo anterior, este hallazgo muestra una preferencialidad migratoria hacia los cinco primeros municipios de Risaralda (con base en la codificación presentada en el Cuadro 1), que se incrementa de manera importante al paso del tiempo.


En este escenario, las principales decisiones que dinamizaron este movimiento (tanto en el interior del departamento como por fuera) se presentan en la Gráfica 5.

Para 2011 las principales salidas se originaron en los municipios 5, 6 y 7, que corresponden a Pueblo Rico, La Celia y Mistrató, respectivamente, con arribos importantes a los municipios de Pereira y Dosquebradas, principalmente. Luego de esta gran concentración de los expulsores en estos municipios receptores, la densidad poblacional se va diluyendo para los municipios de Santuario (8), Quinchía (9) y Apía (10).
Los resultados de 2020 presentan un patrón de densidad con un centroide (punto donde se concentra la mayor densidad poblacional) ubicado más a la izquierda en relación con el anterior. De esta manera, se observa que las inmigraciones dentro de los municipios cobran mayor importancia al paso del tiempo, especialmente por la búsqueda de mejores oportunidades cuando se poseen limitaciones que impiden realizar movimientos a larga distancia. Esta situación presenta un efecto similar al capital social de las redes, definido por Massey y Aysa (2005) y Putnam (1993), que condiciona ampliamente el movimiento migratorio porque en ocasiones la escasez de redes migratorias con beneficios no posee grandes extensiones.
Para 2030 el centroide continúa desplazándose hacia la parte inferior entre los municipios de Pereira y Dosquebradas, especialmente, por la configuración de repositorios de capital social (Massey y Aysa, 2005; Putnam, 1993); incluso se acentúa más la migración interna rural-urbana de la población residente (incluyendo algunos que en el pasado fueron migrantes de otros municipios del departamento).
5.4. Resultados del segundo escenario
Los resultados de la primera etapa de este escenario (cobertura educativa variable en el tiempo) se presentan en la Gráfica 6. En Pereira se concentra la mayor probabilidad de migrar en los grupos 10-14, 15-19 y 60-64 años de edad, siendo más fuerte en 2011 para el género masculino. En el mismo periodo, Dosquebradas se ubicó en los grupos 35-39, 45-49 y 15-19 años, siendo más fuerte en los últimos dos grupos para el sexo femenino; y en La Virginia la mayor probabilidad de migración se ubicó en los grupos etarios 10-14, 50-54 y 75-80, en proporción bastante similar para ambos sexos. De manera conjunta, los municipios de Dosquebradas y La Virginia difieren considerablemente en la proporción de migrantes del grupo de 20-24 años de edad, cuya causa es principalmente por empleo y empleo-educación, con lo cual se puede inferir que las modificaciones en la cobertura educativa afectan más a estos dos municipios que al de Pereira.

Para 2020 aparecen cambios importantes en algunos grupos etarios, como los comprendidos entre 25-29 y 15-19 años en Pereira, 25-29, 15-19 y 10-14 años en Dosquebradas, 15-19, 25-29, y 65-69 años para La Virginia, observándose una proporción similar para ambos sexos en los tres municipios. Esta particularidad surge porque al paso del tiempo los grupos que migraron anteriormente se encuentran en condiciones socioeconómicas adecuadas para facilitar el éxodo de varios familiares a través de las redes sociales que se generaron entre el expulsor y el receptor, que incluso superan el umbral de desplazamiento masivo generado por la fuerza de atracción Fij .
Para 2030 se observó la dinámica migratoria en relación al sexo en los diferentes grupos etarios en cada uno de los municipios. En el caso de Pereira, la migración se hace más fuerte para el género femenino en los grupos etarios superiores al intervalo entre 15-19; para Dosquebradas, su migración se concentra en el grupo de 25-29 años de edad y aumenta en los grupos 70-74 y 75-80 y, al contrastar con los periodos anteriores, las brechas entre ambos sexos se reducen hasta que se igualan. En cuanto a la participación del grupo entre 75-80 años, sus factores de atracción están ligados al comportamiento del grupo entre 35-39, puesto que, para los individuos de este último grupo etario, la percepción de atracción externa, principalmente por aspectos laborales, es mayor que la interna (determinado por la re- lación de Fij y sus condiciones en lugar i), lo que incentiva la migración de todo el grupo familiar. Esta situación es similar en La Virginia para los individuos que pertenecen al grupo etario entre 45-49, que se dinamiza ampliamente por el desplazamiento de población con edad laboral y su percepción de mejores condiciones de vida, en conformidad al umbral establecido en la simulación.
5.4.1. Resultados de la inmigración en la primera etapa del escenario dos
A diferencia del escenario anterior, la inmigración interna se concentra con mayor prominencia en los municipios de Pereira y Dosquebradas, mientras que en La Virginia se reduce considerablemente su condición de receptor, efecto que tiene lugar por la poca cobertura educativa del municipio. Según el Ministerio de Educación (2019), la mayor oferta educativa se concentra en Pereira y Dosquebradas, con casi 80%.
Para los periodos de 2020 y 2030, la atracción de los municipios de Pereira y Dosquebradas tiene un patrón migratorio más acelerado que en 2011, aunque con más intensidad hacia Pereira, el cual, según el horizonte de la simulación, es el que absorbe la mayor parte de población del departamento, incluyendo muchos habitantes de Dosquebradas, con un alto factor de rapidez según la información presentada en la Gráfica 7.

5.4.2. Segunda etapa del escenario dos (tasa de desempleo variable)
Los resultados para este escenario son presentados en la Gráfica 8. Para 2011, en los municipios de Pereira, Dosquebradas y La Virginia el grupo etario que tiene mayor probabilidad de migrar está entre los 15-19 años de edad, de manera tal que se puede inferir que los individuos pertenecientes a dicho grupo tienen mayor susceptibilidad de migrar cuando el desempleo varía en el tiempo. Para el periodo de 2020 estos movimientos sufren el efecto de la causación acumulada mencionado por Massey et al. (1993), en el sentido de que se aumenta la probabilidad de migración de los grupos de mayor edad a consecuencia de las migraciones pasadas, que aumentan la percepción de la atracción externa por parte de los individuos con probabilidad de migrar de manera autónoma, propiciado por los grupos entre 25-29 y 30-34 años.

En 2030 se reduce considerablemente la proporción de migrantes de los grupos etarios en todos los municipios, exceptuando a Pereira, donde se presenta un comportamiento similar al de 2011 y 2030 para el grupo etario de 15-19 y 20-24, respectivamente (donde el sexo femenino se impone al masculino, pero las diferencias se van reduciendo hasta que se igualan).
5.4.3. Resultados de la inmigración en la primera etapa del escenario dos
La simulación muestra, desde un inicio, una fuerte tendencia a seleccionar como un receptor interno el municipio de Pereira (véase la Gráfica 9), con una velocidad mayor al escenario anterior. Un elemento a resaltar de estos resultados es la pérdida de atracción de Dosquebradas: en esta simulación su comportamiento se va convirtiendo en un expulsor neto hacia el municipio de Pereira entre 2011 y 2020. Para 2030, y como consecuencia de los movimientos migratorios anteriores, se genera un movimiento dentro del municipio de Pereira (denominado “1” en el Cuadro 1) entre la zona rural-urbana, porque tiene mayor impacto la modificación de las variables seleccionadas para la zona rural, especialmente por factores como la carencia de capacidad e infraestructura que poseen estos lugares, situación que explica la expulsión. En cuanto a la recepción, las redes sociales que emergen facilitan estos arribos, y más cuando se poseen limitados recursos que permitan generar grandes movimientos a lugares distantes. Además de estos aspectos, las migraciones pasadas que se dieron en este escenario facilitan la creación de estructuras sociales que aumentan la probabilidad de éxito de la inmigración en el receptor, aspecto que fue estudiado ampliamente por Massey et al. (1993), Massey et al. (2006) y Massey y Aysa (2005).

6. Relevancia del estudio realizado para el desarrollo de nuevas políticas y programas orientados a mejorar el bienestar de la población de Risaralda
Los resultados de las simulaciones realizadas en estudios de migraciones por decisión en el departamento de Risaralda, a partir de modelos basados en agentes, son de gran relevancia para la gestión de programas y políticas de atención basadas en enfoques diferenciales para favorecer el bienestar de la población. Entre ellos se pueden mencionar la formación del capital humano desde la educación, la capacitación laboral y la innovación; para lograrlo, se debe garantizar la calidad educativa en todos los niveles y en todos los municipios del departamento sobre la base de respaldar la labor de docentes, instituciones educativas, planes de estudio y procesos pedagógicos, mediante desarrollos científicos y tecnológicos adecuados. Estos espacios de aprendizaje deben coadyuvar también a la formación de la ética y la moral pública, en aras de mejorar las condiciones de vida y facilitar la creación de capital social; además de propiciar la potencialidad y el desarrollo de la educación para que las personas puedan desempeñarse adecuada y productivamente llevando una vida con dignidad.
Asimismo, es menester consolidar una economía local en cada municipio del departamento que garantice un mayor nivel de bienestar; ello puede impulsarse mediante la inclusión laboral; las condiciones de trabajo decente; la eliminación de las barreras para el acceso al trabajo de las mujeres; y el apoyo a las empresas generadoras de empleo con el propósito de mantener los empleos existentes y crear nuevos. Con lo planteado se contribuye al mejoramiento de las condiciones de vida de los habitantes del departamento, la generación de ingresos de los individuos, y se puede suavizar un poco la migración.
Conclusiones
La utilización de modelos basados en agentes en estudios de migraciones voluntarias o por decisión en el departamento de Risaralda permitió obtener los perfiles demográficos de la población con la mayor propensión a migrar dentro y fuera de éste, además de facilitar la incorporación de los aspectos teóricos que regulan los desplazamientos de la población por motivaciones laborales y educativas.
Los resultados obtenidos con las simulaciones presentadas en esta investigación son importantes para estudiar los patrones de selección de los individuos que facilitan la emergencia y preferencialidad de algunas rutas; a pesar de que las decisiones están basadas en criterios de aleatoriedad, éstas, con el tiempo, aceleran la autoorganización del sistema.
Como elemento coadyuvante en la gestión de programas y políticas al respecto, los resultados de estas simulaciones son de gran relevancia para el establecimiento de modelos de atención basados en enfoques diferenciales a partir de aspectos demográficos con mayor grado de determinación y vulnerabilidad ante situaciones socioeconómicas específicas.
Bibliografía
Aguilera, M. B. y Massey, D. S. (2003). Social capital and the wages of Mexican migrants: New hypotheses and tests. Social Forces, 82(2), 671-701. https://www.jstor.org/stable/3598206
Akaike, H. (1998). Information theory and an extension of the maximum likelihood principle. En E. Parzen, K. Tanabe y G. Kitagawa (eds.), Selected Papers of Hirotugu Akaike. Springer Series in Statistics (Perspectives in Statistics) (pp. 199-213). Nueva York: Springer. https://link.springer.com/chapter/10.1007/978-1-4612-1694-0_15
Bourdieu, P. y Wacquant, L. J. D. (1992). An invitation to reflexive sociology. Chicago: University of Chicago Press. https://press.uchicago.edu/ucp/books/book/chicago/I/bo3649674.html
Coleman, J. S. (1994). Foundations of social theory. Cambridge: Harvard University Press.
Departamento Nacional de Estadística (DANE). (2018). Indicador de importancia económica municipal. Bogotá: DANE. https://www.dane.gov.co/index.php/estadisticas-por-tema/cuentas-nacionales/cuentas-nacionales-anuales
Fundación Salutia . (2017). Simulador SimuDatSalud Risaralda. Bogotá: Fundación Salutia / Gobernación de Risaralda. https://si mudatsalud-risaralda.co/
Fujita, N. (2004). Gunnar Myrdal’s theory of cumulative causation revisited. (Discussion Paper, 147). Nagoya: Nagoya University, Economic Research Center.
Jiang, B., Nishida, R., Yang, C., Yamada, T. y Terano, T. (2010). Agent-based modeling for analyzing labor migration in economic activities. En Proceedings of SICE Annual Conference 2010 (pp. 567-572). Taipei: The Society of Instrument and Control Engineers. https://www.researchgate.net/publication/251958030 _Agent-based_modeling_for_analyzing_labor_migration_in_economic_activities
Klabunde, A. y Willekens, F. (2016). Decision-making in agent-based models of migration: State of the art and challenges. European Journal of Population, 32(1), 73-97. https://doi.org/10.1007/s10680-015-9362-0
Krugman, P. (1992). A dynamic spatial model. (NBER Working Paper Series, 4219). Cambridge: National Bureau of Economic Research. https://www.nber.org/papers/w4219.pdf
Lotero, J., Posada, M. y Valderrama, D. (2009). La competitividad de los departamentos colombianos desde la perspectiva de la geografía económica. Lecturas de Economía, 71, 107-140. https://revistas.udea.edu.co/index.php/lecturasdeeconomia/article/view/4816
Massey, D. S., Arango, J., Hugo, G., Kouaouci, A., Pellegrino, A. y Taylor, J. E. (1993). Theories of international migration: A review and appraisal. Population and Development Review, 19(3), 431-466. https://doi.org/10.2307/2938462
Massey, D. S. y Aysa, M. (2005). Social capital and international migration from Latin America. International Journal Population Research, 2011. https://doi.org/10.1155/2011/834145
Massey, D. S., Durand, J. y Riosmena, F. (2006). Capital social, política social y migración desde comunidades tradicionales y nuevas comunidades de origen en México. Reis Revista Española de Investigaciones Sociológicas, 116(1), 97-121. https://dialnet.unirioja.es/servlet/articulo?codigo=2238622
Mejía, W. y Toro, G. (2003). Migraciones y microtráfico: el caso del Eje Cafetero colombiano. Cultura y Droga, 8(10), 183-209. http://vip.ucaldas.edu.co/culturaydroga/downloads/Culturay droga10_12.pdf
Mejía, W. (2006). Las migraciones como posible tema para un informe de desarrollo humano en el Eje Cafetero. Pereira, Colombia: Programa de las Naciones Unidas para el Desarrollo Pereira.
Ministerio de Educación. (2019). Perfil de educación superior del departamento de Risaralda (2019). Bogotá: Ministerio de Educación https://www.mineducacion.gov.co/sistemasdeinformacion/1735/articles-212352_galeria_26.xlsx
Observatorio Laboral para la Educación. (2014). Perfil académico y condiciones de empleabilidad: graduados de educación superior (2001-2013) y certificados de educación para el trabajo y el desarrollo humano (2010-2013). Bogotá: Ministerio de Educación. http://redes.colombiaaprende.edu.co/ntg/men/Observatorio1/Documentos/Perfil%20academico%20y%20condiciones%20de%20empleabilidad%20graduados%202014.pdf
Office of Population Research. (2017). Colombia. Latin American Migration Project (LAMP). http://lamp.opr.princeton.edu/colombia/col-home-es.htm
Palloni, A., Massey, D., Ceballos, M., Espinosa, K. y Spittel, M. (2001). Social capital and international migration: A test using information on family networks 1. American Journal of Sociology, 106(5), 1262-1298. https://doi.org/10.1086/320817
Putnam, R. D. (1993). The prosperous community: Social capital and public life. The American Prospect, 4(13), 35-42. https://www.scirp.org/(S(351jmbntvnsjt1aadkposzje))/reference/ReferencesPapers.aspx?ReferenceID=1361891
Rentería, R. R. y Vitale, A. M. (2015). Construcción de una red compleja para el estudio de la selectividad de Santiago de Cali por parte de las víctimas desplazadas del conflicto armado en Colombia. Investigación Operacional, 36(1), 60-70. http://archives-web.univ-paris1.fr/rev-inv-ope/fileadmin/rev-inv-ope/files/36115/pdf_36115-05.pdf
Romero, J. (2011). El éxito económico de los costeños en Bogotá: migración interna y capital humano. En L. Bonilla-Mejía (ed.), Dimensión regional de las desigualdades en Colombia (pp. 255-283). Banco de la República de Colombia.
Rouder, J. N., Speckman, P. L., Sun, D., Morey, R. D. y Iverson, G. (2009). Bayesian t tests for accepting and rejecting the null hypothesis. Psychonomic Bulletin & Review, 16(2), 225-237. https://doi.org/10.3758/PBR.16.2.225
Schweitzer, F. (1998). Modelling migration and economic agglomeration with active Brownian particles. Advances in Complex Systems, 1(01), 11-37. https://doi.org/10.1142/S021952599800003X
Silva, A. C. y González, P. (2009). Un análisis espacial de las migraciones internas en Colombia (2000-2005). Revista Facultad de Ciencias Económicas, 17(1), 123-144. https://revistas.unimilitar.edu.co/index.php/rfce/article/view/4457
Silveira, J. J., Espíndola, A. L. y Penna, T. J. P. (2006). Agent-based model to rural-urban migration analysis. Physica A, 364, 445-456. https://doi.org/10.1016/j.physa.2005.08.055
Tinbergen, J. (1962). Shaping the world economy: Suggestions for an international economic policy. Nueva York: The Twentieth Century Fund.
Young, A. A. (1928). Increasing returns and economic progress. The Economic Journal, 38(152), 527-542. https://doi.org/10.2307/2224097
Notas
Notas de autor
Rafael Ricardo Rentería Ramos es ingeniero industrial por la Universidad Libertadores, Colombia; doctor en Ciencias Económicas con especialidad en Dinámicas de Población; y posdoctor en Métodos Estadísticos y Análisis de Redes Aplicados en la Salud. Ha formado parte de las líneas de investigación: modelado matemático y estadístico aplicado a la demografía y epidemiología, redes de coexpresión génica, y aprendizaje de máquina. ORCID: https://orcid.org/ 0000-0002-5857-9153
Entre sus publicaciones se encuentran:
Ramírez-del Rio, D., Soto-Mejía, J. A. y Rentería-Ramos, R. R. (2018). Diseño de un modelo bajo el enfoque de dinámica de sistemas para estudiar el comportamiento de la dinámica socioeconómica basada en la atención de primera infancia, infancia y adolescencia. Investigación Operacional, 39(2), 220-233. https://revistas.uh.cu/invoperacional/article/view/4036
Rentería-Ramos, R., Hurtado-Heredia, R. y Urdinola, B. P. (2019). Morbi-mortality of the victims of internal conflict and poor population in the Risaralda Province, Colombia. International Journal of Environmental Research and Public Health, 16(9), 1644. https://pubmed.ncbi.nlm.nih.gov/31083523/
Jiménez-García, W. G. y Rentería-Ramos, R. R. (2020). Aportes de la complejidad para la comprensión de las dinámicas de la violencia en las ciudades. Caso de estudio: las ciudades de Bello y Palmira, Colombia (años 2010-2016). Revista Criminalidad, 62(1): 9-4. https://docs.bvsa lud.org/biblioref/2021/01/1138838/v62n1a02-1.pdf
Entre sus publicaciones se encuentran:
Rentería, R. y Vitale, A. (2015). Construcción de una red compleja para el estudio de la selectividad de Santiago de Cali por parte de las víctimas desplazadas del conflicto armado en Colombia. Revista Investigación Operacional, 36(1), 60-69. https://www.researchgate.net/publication/267750407_Construccion_de_una_red_compleja_para_el_estudio_de_la_selectividad_de_santiago_de_cali_por_parte_de_las_victimas_desplazadas_del_conflicto_armado_en_colombia
Rentería, R. y Vitale, A. (2014). La agudización de las trampas de pobreza por el arribo de víctimas desplazadas del conflicto armado interno colombiano. En S. Allende, C. Bouza, J. García y J. Sautto (eds.), Aproximación a la pobreza, desigualdad y violencia en América Latina. Una mirada abarcadora, Capítulo 6. Bogotá: Red Iberoamericana de Estudios Cuantitativos Aplicados. https://www.researchgate.net/publication/280069226_LA_AGUDIZACION_DE_LAS_TRAMPAS_DE_POBREZA_POR_EL_ARRIBO_DE_VICTIMAS_DESPLAZADAS_DEL_CONFLICTO_ARMADO_INTERNO_COLOMBIANO
Rentería, R. y Vitale, A. (2016). Relación entre el conflicto armado, el desplazamiento forzado y la pobreza en Santiago de Cali. En Universidad Externado de Colombia (ed.), La migración: una reflexión pendiente (pp. 215-234). Bogotá: Universidad Externado de Colombia.