Artículos
Demanda de vivienda de los hogares en México
Demanda de vivienda de los hogares en México
El trimestre económico, vol. LXXXIII(2), núm. 330, pp. 311-337, 2016
Fondo de Cultura Económica
Recepción: 11 Marzo 2015
Aprobación: 06 Mayo 2015
Resumen: Este artículo analiza la demanda de vivienda en México a través del gasto en servicios de vivienda y el costo de uso del capital residencial de cada hogar representativo por percentil de ingreso. La hipótesis de ingreso permanente se considera como función de las características sociodemográficas y el grado de educación del jefe del hogar. Asimismo, se obtienen las elasticidades de ingreso, riqueza, edad del jefe de familia, tamaño del hogar y número de empleados, así como la semielasticidad del costo de uso de capital residencial. El gasto en vivienda es inelástico, aunque es más sensible al ingreso corriente que al permanente. También demostramos que existe una estructura regresiva en este mercado y se realiza un análisis de sensibilidad con el fin de medir el impacto en el gasto de vivienda ante ciertas variaciones del costo de uso residencial de largo plazo.
Palabras clave: gasto de servicios de vivienda, costo de uso del capital residencial, ingreso permanente, elasticidad, hogar representativo, tenencia en propiedad.
Abstract: This article analyzes the demand for housing in Mexico through the approach of spending on housing services and user cost of owner-occupied of each representative household by income percentile. The hypothesis of permanent income as a function of the socio-demographic characteristics and the degree of education of the household head is included in the model. We obtain the elasticity of income, wealth, age of head of household, size of household and number of occupied; as well as the semi-elasticity of the user cost of residential capital. It should be noted that expenditure on housing is inelastic, although it is more sensitive to current income than the permanent income. We show that this market structure is regressive, therefore a sensitivity analysis is performed in order to measure the impact on the housing expenditure related to certain variations of the long-run user cost of owner-occupied.
Key words: expediture of housing services, user cost of residential capital, permanent income, elasticity, representative household homeownership.
Clasificación JEL: C23, D12, R21, R38, H31.
JEL Classification: C23, D12, R21, R38, H31.
Introducción
La vivienda es considerada uno de los principales activos de los hogares y su gasto como uno de los principales componentes de la demanda agregada, según (Díaz y Luengo-Prado, 2008), (Saiz 2014), y (Dusansky, Koc y Onur, 2012). La tenencia de vivienda en propiedad ha sido impulsada históricamente por diversas políticas públicas, situándose actualmente en torno a 85% del parque habitacional en México. También tenemos que en el consumo de servicios de vivienda que genera el stock habitacional presenta un elevado grado de desigualdad entre los hogares que integran este mercado.
La literatura sobre la demanda de vivienda es extensa y la evidencia existente tiende a agruparse por países en desarrollo y desarrollados (véase Malpezzi y Mayo, 1987a, 1987b). Este artículo provee de parámetros relevantes para la aplicación de políticas públicas para este mercado, como es la estimación de las elasticidades de demanda respecto al ingreso corriente, ingreso permanente, acervo bruto de capital residencial, costo de uso y variables demográficas de los hogares representativos por el percentil de ingreso.
En México, la participación de la vivienda en la actividad económica es significativa. Por ejemplo, según el Instituto Nacional de Estadística y Geografía (INEGI), este sector representó en 2012 5.9% del producto interno bruto (PIB) nacional, aunque su participación se incrementa notablemente en 8.2% si se consideran los alquileres atribuidos a los que habitan su vivienda en propiedad, alcanzando 14.1% del total. Este sector institucional representa casi 70% del PIB de vivienda. También estiman que el rezago de vivienda afecta aproximadamente a 31% de los hogares.
En este artículo se incorpora explícitamente el costo de uso de las viviendas en propiedad como la variable que captura el efecto de los precios relativos entre las rentas por servicios y el valor del inmueble residencial. Su estimación permite aproximar la incidencia de la política fiscal, el impacto del entorno macroeconómico y la distribución de las ganancias del capital residencial en el mercado.
Además, se estima un modelo de gasto en servicios de vivienda de los hogares en México con datos de panel. Esta variable de flujo se construye mediante la sumatoria del gasto agregado de los hogares por la estimación de alquiler, los arrendamientos brutos, las cuotas de mantenimiento, el impuesto predial, y los gastos de energía y agua, además de la variable costo de uso del capital residencial mediante las rentas imputadas y el valor de las viviendas para cada percentil de ingreso de los hogares representativos.
Este modelo utiliza la Encuesta Nacional de Ingreso y Gasto de los Hogares (ENIGH) del INEGI, que se realizó bianualmente desde 1984 hasta 2012. Este panel se construyó con base en la agregación de los hogares por percentil de ingreso para las 14 encuestas realizadas hasta la fecha actual para así obtener un hogar representativo para cada percentil de la muestra.
Los principales resultados indican una elevada sensibilidad del flujo de gastos en servicios de vivienda respecto al ingreso corriente, con una elasticidad de 0.98; mientras que es relativamente inelástico respecto al ingreso permanente, con una elasticidad de 0.08. En este caso se demuestra que los servicios de vivienda tienden a comportarse como una variable de gasto corriente, en contraposición a la literatura existente donde la demanda se diferencia por tipo de tenencia o mercado metropolitano o ciudades y se observa una mayor elasticidad respecto al ingreso permanente. Por su parte, los coeficientes asociados a las sociodemográficas de los hogares son significativos; la edad del jefe de familia tiene una elasticidad estimada de 0.4, el tamaño del hogar de -0.3 y los empleados en el hogar de -0.4.
El costo de uso del capital residencial tiene una semielasticidad que está entre 0.08 y 0.12; donde destaca que esta variable es decreciente mientras aumenta el nivel de ingreso, siendo incluso negativo para los percentiles más ricos. Esta evidencia abre espacio para la posibilidad de implementar una política fiscal progresiva que mejore la distribución del consumo de servicios de vivienda mediante el gravamen de las ganancias de capital o medidas que mejoren la incidencia y recaudación del impuesto predial.
Este artículo está estructurado de la siguiente manera: la sección I describe el marco teórico de la demanda de servicios de vivienda. La sección II describe la tendencia del gasto en servicios de vivienda de los hogares y los datos utilizados para el modelo empírico. La sección III presenta la estimación del modelo econométrico. Por último se presentan las conclusiones y se integran los anexos que describen las estimaciones de ingreso permanente e ingreso permanente ajustado por economías de escala.
I. Marco teórico de la demanda de servicios de vivienda
El marco teórico sigue la tradición de Olsen (1966), (Goodman, 1988) y Zabel (2004)), donde se considera el problema de consumo del hogar i (i = 1..., n) en el percentil j( j = 1..., 100) cuya función de utilidad depende de los servicios de vivienda (HS, por sus siglas en inglés) y otros bienes en la economía (Q). Los hogares tienen la misma función de utilidad, pero difieren en sus características sociodemográficas (D). El vector D incluye variables como edad del jefe de familia, tamaño y número de empleados en el hogar.
(1)El problema de cada hogar, asumiendo un marco estático, es maximizar su utilidad sujeto a su nivel de ingreso (Y), el precio de los servicios de vivienda (R) y el resto de bienes (Q).
(2)donde el precio P de los otros bienes es el numerario y se fija igual a uno. Nótese que los precios de servicios de vivienda son diferentes en cada percentil. Este problema de maximización permite derivar la función de demanda de servicios de vivienda de los hogares.
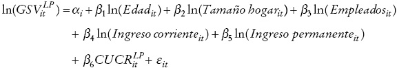
(3)La finalidad principal es estimar el gasto de los hogares en servicios de vivienda RijHSij . Si definimos una forma práctica para la función de utilidad (1) obtenemos una ecuación explícita para la demanda de servicios de vivienda de los hogares. Aunque diversas funciones de utilidad resultan en funciones de demanda no lineales, siguiendo la tradición, especificamos una ecuación logarítmico-lineal, donde εij es el error.
(4)Esta ecuación se puede asumir como una aproximación a la función no lineal de la demanda de vivienda. De esta manera, utilizando (4) se obtienen las elasticidades precio, ingreso y demográficas derivadas de los coeficientes estimados.
El gasto en servicios de vivienda está integrado por un componente de gasto corriente y otro de rentas imputadas, las cuales fueron generadas por el activo residencial; es decir, el stock de capital inmobiliario, que los hogares tienen en propiedad, genera un flujo de servicios de vivienda que se adiciona al gasto de consumo de los hogares.
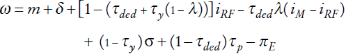
Según el enfoque de costo de uso de capital residencial (ω), como en Poterba (1984), 1992), se utiliza como un modelo estándar para analizar la demanda de vivienda a partir del valor de equilibrio de las rentas de los propietarios de vivienda por los flujos de servicios generados por el capital residencial. Específicamente tenemos que:
(5)Para cada percentil suponemos que existe un hogar representativo, por lo que i = j, donde n = 1,...,100. Por tanto, ahora obtenemos la demanda HSj = HS(Rj ,Yj , Dj ) para cada nivel de ingreso j.
Si el mercado está en equilibrio, entonces ωj explica la relación de precios relativos entre alquiler y tenencia en propiedad, es decir, que captura la variación entre rentas imputadas de los servicios de vivienda respecto al valor del capital residencial para cada percentil del mercado.
Formalmente, el factor de costo de uso del capital residencial se define como una función de las siguientes variables:
(6)
(7)donde:
Rrentas imputadas por los servicios de vivienda.PHvalor de la vivienda habitual.mmantenimiento.δdepreciación.σprima de riesgo.τdedtasa de deducción del impuesto sobre la renta por adquirir vivienda habitual.τ ytasa marginal del impuesto sobre la renta.τ ptasa del impuesto sobre la propiedad o predial.λrelación préstamo-valor.iMtasa de interés hipotecaria.iRFtasa de interés libre de riesgo.π Etasa nominal de apreciación esperada del capital residencial.Dado que no observamos explícitamente la cantidad de servicios de vivienda y tampoco se tiene la información del valor de la vivienda por hogar, tenemos que calcular el costo de uso por percentil, ωj . Este factor de uso sustituye a los precios de servicios de la vivienda, Rj /PHj en la ecuación del gasto en servicios de vivienda, por lo que ahora la demanda es HSj =HS(ωjPHj,Yj,Dj).
Por otra parte, para estimar el ω j se supone que sólo hay variaciones en el valor de las viviendas entre percentiles, PHj. Es decir, el precio que enfrenta cada hogar representativo por percentil es constante, lo que permite estimar el gasto en servicios de vivienda como función del costo de uso ω j . En particular si tenemos que los percentiles de ingreso de los hogares es j = 1, ..., 100; el valor de las viviendas se construye con incrementos graduales constantes de 1%, partiendo de los inmuebles de valor mínimo en el percentil 1 hasta llegar a aquellas de valor máximo en el percentil 100.
Una vez construida esta serie de valor de las viviendas y las rentas imputadas de los hogares tenemos ω j para cada percentil. Este método de cálculo del costo de uso también es útil para poder comparar el comportamiento de los hogares a lo largo del tiempo, pues las muestras de ingreso-gasto no son homogéneas entre diferentes periodos.
Por tanto, la ecuación a estimar es la siguiente:
(8)Finalmente, una vez que se obtienen el gasto en servicios de vivienda (RjHSj), el costo de uso del capital residencial (ωj), con el ingreso permanente (YPj ), el ingreso corriente (Yj ) y las variables demográficas de los hogares (Dj ), entonces es posible estimar la ecuación (8). En este caso β1 es la semielasticidad del gasto en servicios de vivienda respecto al costo de uso del capital residencial, mientras que β2 y β3 corresponde a las elasticidades ingreso y de las variables demográficas de los hogares (edad, tamaño del hogar y número de empleados).
II. Análisis estadístico descriptivo del mercado de vivienda
1. Descripción empírica de la vivienda en México
En el largo plazo el mercado de vivienda en México continuará creciendo a tasas decrecientes. Si partimos de las proyecciones de formación de hogares del Consejo Nacional de Población (Conapo) estimamos que entre 2010 y 2050 el gasto en servicios de vivienda en México pasará de un crecimiento anual de 1.2 a 0.26%.
También resulta de utilidad analizar la evolución del mercado de vivienda y el ciclo económico, por lo que si observamos la brecha del producto (relación entre el crecimiento del PIB real y el potencial), como se muestra en la Gráfica 1, tenemos que cuando la economía crece por debajo de su potencial el acervo bruto de capital residencial (ABCR) crece a un menor ritmo. Esta variable se calcula siguiendo la metodología de Loria y de Jesús (2006) con datos de formación bruta de capital fijo de la construcción residencial del INEGI.

En particular, el efecto de la crisis de 1994 significó un crecimiento negativo de -0.02%. El gasto en servicios de vivienda (GSV) muestra un comportamiento procíclico y tiende a anticiparse a las caídas en la brecha de producto hasta 2008. A partir de entonces ha crecido a pesar de observarse brecha negativa del producto como en 2010 y mostró un incremento en 2012 para alcanzar una tasa de 253%.
Un factor estructural para la dinámica del flujo de servicios de vivienda a los hogares es la distribución de la riqueza en México. Si observamos la Gráfica 2 sobre el gasto en servicios de vivienda por percentil tenemos que casi 70% de los hogares consumen por debajo de un hipotético nivel balanceado (gasto necesario para observar un nivel idéntico en cada percentil) que equivale a 39.9 millones de pesos.

En la Gráfica 3 observamos el coeficiente de Gini de 1984 a 2006 del ingreso corriente, donde el gasto en servicios de vivienda se han comportado de manera similar en torno a 0.60. Mientras que para 2008, 2010 y 2012 se han bifurcado ligeramente, donde el GSV es menos desigual; por ejemplo, para 2012 éste se sitúa en 0.58, mientras que el ingreso corriente es 0.63.

La relación del GSV respecto al ingreso y gasto total de los hogares se sitúa en el rango de 16 a 27%, como se observa en la Gráfica 4. De 1984 a 2006 esta razón es relativamente homogénea, aunque la relación del ingreso es un poco mayor. Para 2008, 2010 y 2012 tenemos que esta relación del GSV respecto al gasto es mayor en casi 6% en relación con ingreso de los hogares. El GSV relativo al ingreso ha mostrado una tendencia decreciente, pasando de 26.7 a 19% en su nivel mínimo.

El stock residencial medido como ABCR ha crecido durante los últimos 30 años a una tasa promedio de 14.7%. En 1996, como consecuencia de la crisis de 1995, registró una tasa de decrecimiento de -2.4%. También vemos que de una tasa de crecimiento de 14.6% en 2008 pasó a una menor de 6.6% en 2010, lo que refleja el impacto de la última gran crisis global. Para 2012 se observa un incremento de casi 1% más que en 2010, para situarse en 23.6 miles de millones de pesos (mmp) (véase la Gráfica 5).

En la Gráfica 6 medimos la relación del gasto agregado en servicios de vivienda respecto al ABCR. Éste representa un promedio de 3.6% mientras que su nivel máximo en 2012 es 10.2%; y su menor nivel se observó en 1994 con 0.7%. En cambio, la relación inversa ABCR/GSV nos indica que en promedio tenemos un nivel de ABCR que permite consumir 42.3 veces el GSV anual.

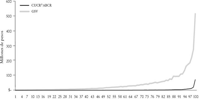
Para verificar si existe algún sesgo derivado de la agregación del mercado de servicios de vivienda es conveniente observar la relación del costo de uso de capital residencial del ABCR respecto al GSV para los percentiles de la muestra (véase la Gráfica 7). En este ejercicio identificamos un sesgo de 52.8 mmp a favor del GSV de los hogares respecto al flujo de servicios generado por el ABCR. Este diferencial se incrementa conforme escalamos en el nivel de ingreso de cada percentil; mientras que en el percentil 1 la diferencia es de 6.6 millones de pesos, tenemos que en el percentil 100 éste es de 6.2 mmp.

En la Gráfica 8 observamos que la distribución del costo de uso del capital residencial es más elevado para los percentiles de menor ingreso, siendo hasta de 30% en el percentil 1, mientras que el nivel promedio es de 3%. Esto muestra que a medida que los hogares tienen un menor nivel de ingreso las rentas atribuidas al flujo de servicios de vivienda son relativamente mayores respecto al valor de la vivienda que se observa en los hogares más ricos. En particular, tenemos que los primeros 13 percentiles tienen un elevado costo de uso del capital residencial (CUCR), por lo que se podría inferir un elevado grado de depreciación de sus viviendas, así como un débil marco institucional de tenencia en propiedad que les impide obtener transferencias vía subsidios o exenciones fiscales para ocupar vivienda en propiedad.

En suma, para el mercado de servicios de vivienda se proyecta en el largo plazo un crecimiento moderado, que tenderá a estabilizarse en torno a 0.26%.
La estructura del mercado de servicios de vivienda es desigual, derivado básicamente de la distribución de la riqueza. El consumo de estos servicios respecto al resto de bienes y servicios de la canasta global de los hogares es relativamente importante, pues alcanza casi 30% del gasto e ingreso total.
El gasto en estos servicios de los hogares representa casi 4% del acervo bruto de capital residencial, que se puede considerar como una aproximación de la riqueza inmobiliaria residencial.
La tendencia de este mercado es sensible al ciclo económico, por lo que es altamente probable que ante episodios de crisis como en 1994-1995 y 2009 se hayan generado cambios estructurales en el sector. En promedio observamos que tanto el gasto en servicios de vivienda de los hogares como el acervo bruto de capital residencial tienden a presentar un comportamiento procíclico; es decir, cuando la economía cierra la brecha del producto, estas variables crecen más que proporcionalmente.
A partir del costo de uso de capital residencial se observa que tiene una estructura altamente regresiva, donde aquellos hogares en los menores percentiles de ingreso enfrentan un mayor costo de uso, y éste disminuye gradualmente, llegando incluso a ser negativo o cercano a cero conforme nos movemos hacia el percentil 100.
La siguiente subsección presenta los datos y las variables utilizadas para la especificación del modelo econométrico.
2. Datos
La unidad básica de análisis de este artículo de investigación son los hogares en México. Los microdatos que se utilizan provienen de la ENIGH del INEGI de 1984 a 2012. Esta encuesta se realiza típicamente cada bienio y tiene representatividad a nivel nacional.
De esta manera, se diseñó un panel de datos de 14 observaciones temporales de 100 percentiles; también se calcularon los valores de cada variable de gasto en vivienda, demográficas y de ingreso de los hogares representativos para cada percentil de ingreso (véase el Cuadro 1 para las estadísticas de las variables del modelo).

La ENIGH reporta el ingreso y gasto trimestral de los hogares. Para obtener el valor constante o real, los datos corrientes se deflactaron con base en los precios de 2012, utilizando el índice nacional de precios al consumidor (INPC). También se aplicó el factor de expansión poblacional a cada variable del modelo para ser consistentes con la representatividad poblacional y la comparabilidad durante el tiempo de las encuestas.
Construimos la variable GSV como la suma de las rentas imputadas más los alquileres brutos, el impuesto predial, cuotas de mantenimiento y gasto en energía y agua.
Las variables sociodemográficas incluyen la edad del jefe (Edad), el tamaño (Tamaño hogar) y el número de empleados del hogar (Empleados).
El ingreso corriente, las variables sociodemográficas y el grado de instrucción del jefe del hogar son la base para la estimación del ingreso permanente y el ingreso permanente ajustado por economías de escala.1
El CUCR se calculó utilizando la serie de rentas imputadas o estimación del alquiler y el valor del activo inmobiliario residencial. Éste se basa en los criterios homologados que propone la Asociación Hipotecaria Mexicana (AHM) para el cálculo del valor de la vivienda por segmento residencial.2
Por otra parte, las variables explicativas o exógenas para estimar el CUCR son el ABCR, la inflación, la tasa de interés, la variación del tipo de cambio real del peso y los subsidios para mejoramiento y adquisición de vivienda.
La inflación se deriva del INPC, la tasa de interés proviene de los Certificados de la Tesorería (Cetes) a 28 días, el índice del tipo de cambio real del peso mexicano (TC), que es reportado por el Banco de México, y los subsidios a la vivienda, como el Financiamiento de Adquisición a la vivienda (FAV) y el Financiamiento de Mejoramiento de Vivienda (FMV), que son reportados por la Comisión Nacional de Vivienda (Conavi).
III. Análisis econométrico
1. Estimación del gasto en servicios de vivienda de los hogares
Esta estimación se explica por los precios relativos de la vivienda, el ingreso corriente y permanente y las características sociodemográficas de los hogares. La ecuación (9) se estima por el método de datos de panel.
(9)donde αi son los efectos individuales y εit son los efectos específicos aleatorios, que son un error idiosincrático.
Para realizar esta estimación se definieron en total ocho modelos (M1, M2, ..., M8). En primera instancia se estima el GSV incluyendo la variable de ingreso permanente ajustado por economías de escala en los hogares y el ABCR como variable explicativa. Posteriormente, una vez obtenido el costo de uso del capital residencial de largo plazo (CUCRLP ) (Cuadro 3) se procede a estimar el gasto en servicios de vivienda de equilibrio o de largo plazo (GSVLP ), por lo que se estiman otros cuatro modelos adicionales (Cuadros 2 y 4).



De acuerdo con la prueba de Hausman, los modelos M1 y M2 se estiman por el método de efectos fijos (FE, por sus siglas en inglés), mientras que M3 y M4 se estiman por el método de efectos aleatorios (RE, por sus siglas en inglés). M3 y M4 incluyen explícitamente la variable del ABCR como otra aproximación a la riqueza de los hogares, como se muestra en la ecuación (10).
(10)Dada la especificación de las variables con el operador logarítmico tenemos que los coeficientes obtenidos equivalen a las elasticidades del GSV respecto a sus variables explicativas, mientras que β6 es una semielasticidad del CUCR (véase el Cuadro 2).
Los modelos del GSV tienen un elevado grado de poder explicativo con un R2 de 99% y éstos son globalmente significativos.
En relación con las características sociodemográficas de los hogares tenemos que la elasticidad estimada de la edad va de 0.37 a 0.40. Es decir, conforme se incrementa la edad del jefe de familia el GSV es relativamente inelástico, por lo que si se incrementa al doble la edad observaríamos un incremento en el gasto en servicios de vivienda en torno a 40% trimestral.
La elasticidad del GSV respecto al tamaño del hogar fluctúa entre -0.30 y -0.37. Esto indica que, a medida que se incrementan los integrantes que conforman el hogar, se observaría un menor GSV. Esto se puede explicar porque existe un efecto de sustitución entre los servicios de vivienda y otros gastos derivados del mayor tamaño, como alimentos, educación, transporte, etc. Así, tenemos que si un hogar pasa de tres a cuatro miembros, su GSV disminuiría en 12.3% trimestral.
La elasticidad estimada del GSV respecto al número de empleados toma valores entre -0.40 y -0.42. Si aumentan los miembros en el mercado laboral que contribuyen a los gastos del hogar observaríamos una disminución del gasto en vivienda. La incorporación de otro miembro del hogar al trabajo u ocupación, como podría ser el caso del cónyuge del jefe del hogar, supondría un uso menos intensivo; entonces los GSV se reducirían en 40% trimestral.
Los coeficientes para las variables de ingreso y riqueza de los hogares muestran que los GSV son normales, en el sentido de que al aumentar se observará un incremento en el consumo de la vivienda. El ingreso corriente tiene un coeficiente estimado casi unitario que va de 0.90 a 0.98, por lo que un incremento de 100% significa un aumento de 90% en GSV.
Por otra parte, el GSV es más inelástico en relación al ingreso permanente o riqueza de los hogares, donde su elasticidad va de 0.05 a 0.08; es decir, ante un incremento en la riqueza de 10%, los GSV aumentarán únicamente en 0.05%. Cuando sustituimos esta variable por el ingreso permanente ajustado por economías de escala del hogar observamos una menor sensibilidad del GSV con un coeficiente que va de 0.04 a 0.07. Esto muestra que el uso común por los ocupantes de la vivienda genera un menor nivel de gasto en servicios de la vivienda por parte del hogar.
La variable ABCR tiene una menor elasticidad que el ingreso corriente y mayor que el ingreso permanente e ingreso permanente con economías de escala. La elasticidad de los GSV respecto al acervo de capital en vivienda es de 0.07, por lo que si observamos un aumento en el acervo de 10% los GSV se incrementarán en 0.7% trimestral.
El coeficiente de semielasticidad del CUCR varía de 0.08 a 0.09. Éste nos indica que al incrementarse una unidad el CUCR observaremos un aumento en el GSV de 8.9%. Cabe mencionar que este coeficiente es relativamente estable a la inclusión del ABCR o ingreso permanente ajustado por economías de escala.
A continuación se estima un modelo específico del costo de uso de capital residencial para obtener el valor de este factor en el largo plazo y así proceder a estimar el modelo de GSV en el largo plazo.
2. Estimación del costo de uso de capital residencial
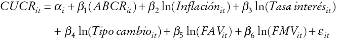
El modelo que especificamos para el CUCR es función del ABCR, la inflación a través de las variaciones del INPC, la tasa de interés de los Cetes a 28 días, el índice del tipo de cambio del peso mexicano, los subsidios a la vivienda a través del FAV, FMV y el GSV.
(11)La ecuación (11) se estima por datos de panel y los coeficientes que se obtienen son semielasticidades del CUCR respecto a las variables independientes que se estiman por efectos aleatorios (véase el Cuadro 3).
En particular, tenemos que en la medida que aumenta el ABCR observamos un menor nivel de CUCR. Ante un incremento de 1% en el ABCR observaremos una disminución estimada en -0.000579 del CUCR. Por su parte, la inflación también tiene un efecto negativo en el CUCR; si ésta aumenta 1%, entonces el CUCR disminuiría en -0.000484.
Cuando se observa incrementos en la tasa de interés tenemos que aumentar el costo de oportunidad de la inversión residencial, por lo que aumentará el CUCR. De esta manera, tenemos que si la tasa de interés aumenta 1%, entonces el CUCR se incrementará en 0.000317 unidades.
En relación con el tipo de cambio, éste también tiene un efecto positivo en el costo de uso, pues al observar una variación en el tipo de cambio de 1% tendremos un incremento estimado en 0.00017 unidades del CUCR.
Para el caso de los subsidios a la vivienda, tenemos que aquellos que fomentan la adquisición tienen un efecto positivo, mientras que los que financian el mejoramiento de las viviendas impactan negativamente en el CUCR. Así, ante un incremento de 1% en FAV tendremos un mayor CUCR en 0.00239 unidades y ante un aumento de 1% en FMV, entonces el CUCR decrecerá en -0.000426 unidades.
En cuanto al GSV, éste tiene una relación positiva con el CUCR. Si el valor de las viviendas se mantiene constante y observamos un mayor nivel de las rentas imputadas de los servicios de vivienda, entonces el ajuste para mantener la condición de equilibrio [ecuación (5)] se realizará por medio de un mayor nivel en el CUCR.
La ecuación (11) estimada es relevante para obtener el costo de uso de capital residencial de largo plazo (CUCRLP ). Por lo que, CUCRLP = CUCRe que será de utilidad para obtener el modelo de GSV en el largo plazo.
En la Gráfica 10 observamos el CUCRLP para cada observación temporal y su nivel promedio, que es 3.13%. Cabe mencionar que los niveles observados para 1989 (11.85%) y 1992 (30.29%) están notablemente por encima de este nivel, por lo que esto podría ser causado por un sesgo en las encuestas en la estimación de las rentas imputadas de los hogares.


3. Estimación del gasto en servicios de vivienda en el largo plazo
Una vez obtenido el CUCRLP procedemos a estimar el GSVLP. Para esto utilizamos M1, M2, M3 y M4 para obtener las ecuaciones (12) y (13).
(12)
(13)Los modelos obtenidos son cuatro según la inclusión de las variables de ingreso y ABCR. La estimación de M5 y M6 se realizó mediante FE, mientras que M7 y M8 fue hecha por RE. Cabe mencionar que el poder explicativo aumentó respecto a la estimación anterior, y ésta es globalmente significativa (véase el Cuadro 4).
Entonces estimamos GSVLP , donde los coeficientes son las elasticidades de las variables exógenas y la semielasticidad del CUCRLP .
En este caso, la edad tiene una elasticidad de 0.40 a 0.41 donde existe una menor variabilidad de los coeficientes estimados respecto de las ecuaciones estimadas (9) y (10). Por su parte, el tamaño del hogar muestra un valor de -0.36 a -0.32 que es menor a los coeficientes obtenidos anteriormente. Los empleados permanecen sin variación con una elasticidad de -0.40.
El ingreso corriente tiene un coeficiente de 0.98, que es muy cercano a la unidad, como lo habíamos obtenido en la estimación anterior, mientras que el ingreso permanente del M5 incrementó su elasticidad respecto al M1 en 60% para posicionarse en 0.08. El ingreso permanente ajustado por economías de escala es estable con un valor de 0.08, lo que indica que en el largo plazo no se genera ningún impacto en el GSV por ajustar la variable de ingreso.
M7 y M8 se estiman con la variable ABCR y se omite el ingreso corriente como variable explicativa. La elasticidad de GSV respecto al ABCR en el largo plazo es equivalente a 0.98.
La semielasticidad del CUCRLP tiene un incremento significativo de aproximadamente 50%, donde este coeficiente varía entre 0.12 y 0.14; es decir, el GSVLP tendrá una mayor variabilidad respecto a cambios en el CUCRLP .
En la Gráfica 11 vemos los coeficientes del GSV obtenidos para los ocho modelos de datos de panel planteados. Ésta nos permite evaluar la estabilidad de las elasticidades obtenidas de acuerdo con las distintas especificaciones del modelo de demanda. Según los resultados de la prueba de Hausman, resulta mejor estimar M1, M2, M5 y M6 por efectos fijos; mientras que M3, M4, M7 y M8 se estimaron por efectos aleatorios.

En este caso, los efectos fijos corresponden a los percentiles de ingreso de cada hogar representativo. Cabe destacar que los modelos M5, M6, M7 y M8 corresponden a la estimación de la demanda de vivienda de equilibrio donde se incorpora explícitamente la variable de costo de uso de capital residencial estimada en M1 ́ como variable independiente.
En suma, tenemos que, derivado de la evidencia obtenida, el gasto en servicios de vivienda tiende a comportarse como una variable de flujo corriente, pues es más sensible al ingreso temporal o corriente que al ingreso permanente o riqueza de los hogares. Cabe mencionar que este resultado contrasta con la evidencia existente en la literatura de demanda de vivienda.
En primera instancia, Malpezzi y Mayo (1987b) analizan la demanda de vivienda para países en desarrollo. Su modelo asume un comportamiento diferente entre propietarios y en alquiler, por lo que segmenta la elasticidad ingreso para cada grupo y en algunos casos consideran el ingreso corriente y permanente. Sus resultados están en el rango de 0.4 y 0.8 para el submercado de alquiler y de 0.6 a 1.2 para el nicho de propietarios. También tenemos que las elasticidades de ingreso permanente tienden a ser mayores que las de ingreso temporal. Adicionalmente, la elasticidad precio tiene un mayor grado de variación y en los casos que se reporta ésta es inelástica (varían entre 0 y 1).
En segunda instancia, Fontanela y González (2009) estiman la demanda de vivienda en México, explotando una base de datos integrada por las transacciones reales de hipotecas originadas entre 2002-2004. Éstos no consideran el flujo de servicios, sino que estiman la cantidad demandada de viviendas en 21 zonas metropolitanas. También incluyen la estimación de un modelo de precios hedónico e ingreso permanente. En este modelo se realiza una transformación Box-Cox para tener una forma funcional no-lineal de la demanda.
La elasticidad precio que obtienen es -0.3 y la elasticidad del ingreso permanente de 0.8 y del ingreso corriente es de 0.04. Su elasticidad de la tasa hipotecaria para un crédito de 25 años es de -0.39, lo que demuestra el importante rol que juega la tasa de interés en la demanda de vivienda. En cuanto a las características de los hogares obtienen que los jefes de familia hombres demandan 4% menos que las mujeres; y los hogares formados por parejas casadas demandan 2% más que aquellos no casados. También, la edad del jefe del hogar y el número de dependientes disminuye la cantidad de vivienda demandada.
Por otra parte, en la Gráfica 12 podemos ver las variables GSV LP y CUCRLP estimadas por los modelos planteados. Tenemos que en la medida que los hogares pertenecen a un grupo poblacional de mayor nivel de ingreso se observa que disminuye el costo de uso, e incluso éste podría ser negativo en los percentiles más ricos, mientras que el GSVLP es mayor en la medida que nos movemos hacia el percentil 100, donde se observa un incremento gradual hasta el percentil 70 a partir del cual su crecimiento es exponencial.

Cabe destacar que el costo relativo del uso del stock residencial es mayor para aquellos hogares de los percentiles de ingreso más bajos. En caso de que se diseñe como objetivo de política pública incrementar el consumo de servicios de vivienda en tenencia en propiedad se tiene que considerar que la estructura del mercado es relativamente regresiva, donde destaca una deficiente asignación de recursos en este mercado (véase la Gráfica 13).

Aquellos hogares que tienen un mayor nivel de costo de uso deberían acceder a un conjunto de instrumentos de acceso a la vivienda en propiedad más eficaz (subsidios, deducciones fiscales o reforzamiento del marco institucional); mientras que aquellos hogares que enfrentan un costo de uso negativo (plusvalía) podrían ser objeto de medidas fiscales para nivelar el consumo y producción de servicios de vivienda con el resto de percentiles (gravar las ganancias de capital residencial o mejorar la recaudación del impuesto predial).
4. Análisis de sensibilidad del modelo de gasto en servicios de vivienda
Por último, analizamos la sensibilidad de las variables estimadas GSV y CUCR ante cambios incrementales en estas variables. Para realizar este ejercicio consideramos como niveles de base los valores de largo plazo de cada variable (GSVLP , CUCRLP ) y la sensibilidad se realiza con base en las semielasticidades del modelo M1 y el modelo de costo de uso de capital residencial (véase el Cuadro 3).
A partir de este análisis podemos ver cuál es la incidencia de una política fiscal para incrementar la tenencia en propiedad -mediante el costo de uso- en el gasto en servicios de vivienda de los hogares. En primer lugar, consideramos incrementos graduales de 1% hasta llegar a 100% en el CUCR y proyectamos cuánto se modifica la variable GSVLP .
Como se puede observar en la Gráfica 14, la diferencia notable entre los percentiles de ingreso 99 y 100, este último consume 2.6 veces más servicios de vivienda que el percentil anterior; mientras que el percentil más rico inicia en 916.8 millones de pesos y al final alcanzaría un nivel de 8 379 millones de pesos trimestrales. Cabe mencionar que estas asimetrías también se observan en el otro extremo de la distribución, donde el percentil 2 consume 2.3 veces más servicios de vivienda que el percentil 1.

En segundo lugar, si analizamos la sensibilidad inversa del ejercicio anterior para medir cuánto varía el CUCRLP ante variaciones incrementales entre 1 y 100% del GSVLP considere un efecto riqueza o ingreso. En este caso observamos que el percentil 100 inicia con un nivel de -2.06 y alcanza 2.49 unidades. En el otro extremo de la distribución, el percentil 1 inicia en 10.65 y al final pasaría a 15.21 unidades (véase la Gráfica 15).

Conclusiones
En este artículo se ha estimado la demanda de vivienda de los hogares en México. En este ejercicio se han incluido las variables de ingreso, riqueza (estimación del ingreso permanente), sociodemográficas y precios relativos de los servicios de vivienda mediante el costo de uso del capital residencial por percentil de ingreso.
De acuerdo con las elasticidades del ingreso obtenidas tenemos que el gasto de los hogares en servicios de vivienda es notablemente más sensible al ingreso corriente (0.98), mientras que es relativamente inelástico respecto al ingreso permanente (0.04).
Aunque en el largo plazo este rubro del gasto de los hogares incrementa su sensibilidad a la variable de riqueza, cabe mencionar que estos resultados se derivan de una especificación que no diferencia por tipo de tenencia de los hogares ni por zonas urbanas o metropolitanas como lo hacen los modelos empíricos que abordan este tema en la literatura.
Las características sociodemográficas son significativas para la demanda estimada; mientras aumenta la edad del jefe del hogar se observará un mayor gasto en servicios de vivienda, asimismo el tamaño y la ocupación de los integrantes del hogar inciden negativamente en el flujo de servicios que consume el hogar.
El costo de uso del capital residencial estimado para cada percentil muestra implícitamente las fricciones o costos de transacción que existen entre la tenencia en alquiler y en propiedad; es decir, en el largo plazo la movilidad de los hogares entre estos tipos de tenencia es heterogéneo según el percentil que se considere. También se observa que es más costoso para los percentiles más pobres, mientras que en los niveles más ricos se advierte incluso un costo de uso negativo o plusvalía del capital de los inmuebles residenciales. De igual manera se contempla que en la medida que los hogares escalen en los percentiles de ingreso enfrentarán un menor costo de uso de capital residencial.
En el largo plazo, este factor tiene una mayor incidencia en el gasto de vivienda de los hogares, pues se incrementa en torno a 50%. Éste es relevante para los casos de implementación de políticas fiscales que incentiven la vivienda habitual o cuál será la respuesta de los hogares ante nuevos anuncios de política impositiva o subsidios a la vivienda.
Referencias bibliográficas
Conapo (2014), Indicadores de hogares, Secretaría de Gobernación, México.
Díaz A., y M. J. Luengo-Prado (2008), “On the User Cost and Homeownership”, Review of Economic Dynamics, vol. 11, núm. 3, pp. 584-613.
Dusansky, R., C. Koc y I. Onur (2012), “Household Housing Demand: Empirical Analysis and Theoretical Reconciliation”, The Journal of Real State Finance and Economics, vol. 44, núm. 4, pp. 429-445.
Fontenla, M., y F. González (2009), “Housing Demand in Mexico”, Journal of Housing Economics, vol. 18, núm. 1, pp. 1-12.
Goodman A. C. (1988), “An Econometric Model of Housing Price, Permanent Income, Tenure Choice and Housing Demand”, Journal of Urban Economics, vol. 23, núm. 3, pp. 327-353.
Goodman A. C., y M. Kawai (1982), “Permanent Income, Hedonic Price and Demand for Housing: New Evidence”, Journal of Urban Economics, vol. 12, núm. 2, pp. 214-237.
INEGI (2015a), Banco de información económica (BIE), Instituto Nacional de Estadística y Geografía, México.
INEGI (2015b), PIB y cuentas nacionales, Cuenta satélite de vivienda, Instituto Nacional de Estadística y Geografía, México.
______ (2015c), Encuesta Nacional de Ingreso y Gasto de los Hogares (ENIGH), Instituto Nacional de Estadística y Geografía, México.
Loria, E., y L. De Jesús (2006), “Los acervos de capital en México”, Proyecto empleo y crecimiento económico de México. Un análisis prospectivo al año 2020, UNAM, México.
Malpezzi, S. (1999), “Economic Analysis of Housing Markets in Developing and Transition Economies”, en E. S. Mills y P. Cheshire (comps.), Handbook of Regional and Urban Economics, North-Holland, Ámsterdam.
______, y S. K. Mayo (1987a), “User Cost and Housing Tenure in Developing Countries”, Journal of Development Economics, vol. 25, núm. 1, pp.197-220.
______ (1987b), “The Demand for Housing in Developing Countries: Empirical Estimates from Household Data”, Economic Development and Cultural Change, vol. 35, núm. 4, pp. 687-721.
Mariña, F. A. (2001), “Formación y acervos de capital en México, 1949-1999”, Análisis Económico, vol. XVI, núm. 34, pp. 231-256.
Mayo, S. K. (1981), “Theory and Estimation in the Economics of Housing Demand”, Journal of Urban Economics, vol. 10, núm. 1, pp. 95-116.
OECD (2010), OECD Economic Outlook. Interim Report September, vol. 2010, núm. 87.
Olsen, E. (1969), “A Competitive Theory of the Housing Market”, American Economic Review, vol. 59, núm. 4, pp. 612-622.
Poterba, J. M. (1984), “Tax Subsidies to Owner-Occupied Housing: an Asset-Market Approach”, The Quartely Journal of Economics, vol. 99, núm. 4, pp. 729-752.
______ (1992), “Taxation and Housing: Old Questions, New Answers”, American Economic Review, vol. 82, núm. 2, pp. 237-242.
Saiz, A. (2014), “Interest Rates and Fundamental Fluctuations in Home Values”, mimeo, MIT Center for Real State.
Zabel, J. (2004), “The Demand for Housing Services”, Journal of Housing Economics, vol. 13, núm. 1, pp. 16-35.
Notas
Notas
Notas