Artículo
La frontera de posibilidades de desigualdad en América Latina*
The Inequality Possibility frontier in Latin America
La frontera de posibilidades de desigualdad en América Latina*
El trimestre económico, vol. LXXXIV(2), núm. 334, pp. 427-461, 2017
Fondo de Cultura Económica
Recepción: 23 Marzo 2016
Aprobación: 16 Agosto 2016
RESUMEN
Antecedentes: Este artículo presenta nueva evidencia sobre la frontera de posibilidades de desigualdad y la tasa de extracción (cuánto de la desigualdad potencial se convierte en desigualdad real) para América Latina (AL) en las últimas dos décadas. Asimismo, se explora la relevancia de la tasa de extracción (TE) en el análisis del conflicto social y la estabilidad institucional.
Métodos: Cómputo de la TE y del coeficiente de Gini, para 18 países de AL en el periodo 1990-2013, usando encuestas de hogares. Se estiman modelos econométricos multivariados con efectos fijos para analizar la relación entre la distribución del ingreso e indicadores de conflicto social.
Resultados: AL mejora dos posiciones en el ranking de desigualdad mundial al usar la TE en lugar del Gini. Dentro de AL existe un proceso de convergencia en niveles de desigualdad, aunque las medidas se comportan diferente: mientras que el Gini aumenta en los 90 y disminuye en los 2000, la TE mantiene una tendencia decreciente a lo largo de todo el periodo. Adicionalmente, se encuentra que la TE está positivamente relacionada con las situaciones de conflicto e inestabilidad política.
Conclusiones: Según la TE, América Latina no es tan desigual como con el Gini. Asimismo, mayor TE está asociada a mayores niveles de conflicto social en AL.
Palabras claves: desigualdad+ frontera de posibilidades de desigualdad+ tasa de extracción+ América Latina.
ABSTRACT
Background: This paper presents new evidence of the inequality possibility frontier and the inequality extraction ratio (the percentage of total inequality that was extracted by global elites) of Latin America (LA) in the last two decades. Moreover, we explore the relevance of the inequality extraction ratio (IER) in the analysis of social conflict, institutional instability and corruption.
Methods: Estimation of IER and Gini index for 18 Latin American countries in the period 1990-2013, using household surveys. Estimation of multivariate econometric models with fixed effects to analyze the relationship between income distribution and indicators of social conflict.
Results: AL improves two positions in the ranking of global inequality using the IER instead of Gini index. Within Latin America there is a process of convergence in levels of inequality, but the two measures evolve differently: while the Gini index increases in the 90s and decreases in the 2000s, the IER decreases through-out the entire period. In addition, we found a positive association between IER and social conflict.
Conclusions: Using the IER, LA is not as unequal as with the Gini index. Moreover, countries in LA with high rates of IER are more likely to have high levels of social conflict.
Key words: inequality, inequality possibility frontier, inequality extraction ratio, Latin America.
Clasificación JEL: D31, D6.
Introducción
Amenudo América Latina es considerada una de las áreas geopolíticas con mayores niveles de desigualdad socioeconómica (Chen y Ravallion, 2012; López-Calva y Lustig, 2010; Deininger y Squire, 1996). Más allá de que éste sea un legado que viene de la época de la colonización (Williamson, 2009) o bien un fenómeno del siglo XX, en la última década la pobreza y la desigualdad han disminuido de forma sostenida en toda la región, aunque todavía se mantienen en niveles elevados.1 A la luz de estos hechos, es interesante conocer si América Latina, además de tener altos indicadores de desigualdad, se encuentra cercana a su nivel máximo de desigualdad posible y si en las últimas décadas se ha alejado o aproximado a dicha frontera.
Teóricamente, el máximo valor de desigualdad se alcanza cuando toda la población, menos una persona, tiene ingresos nulos. Dado que esta situación es irreal, ya que sólo una persona sobreviviría en esas condiciones, Milanovic, Lindert y Williamson (2011)2 proponen medir el nivel máximo de desigualdad alcanzable en una sociedad y sostenible a largo plazo mediante una situación hipotética en donde toda la población dispone de un mínimo de subsistencia, con excepción de una pequeña élite, la cual se apropia del ingreso restante.
Este nivel máximo de desigualdad es creciente con el nivel de ingreso de la economía, lo cual origina una frontera de posibilidades de desigualdad. El ratio entre el Gini efectivo y el Gini máximo (o potencial) a su vez da origen a la llamada tasa de extracción, que es propuesta por Milanovic, Lindert y Williamson (2007) para realizar comparaciones de desigualdad entre economías con distinto grado de desarrollo. Estas originales medidas de desigualdad han sido generalmente utilizadas para analizar la desigualdad a lo largo de la historia, especialmente en la era previa a la Revolución Industrial (Milanovic, Lindert y Williamson, 2007 y 2011; Milanovic, 2006). De cualquier forma, existen trabajos con aplicaciones recientes, como Milanovic (2013), que además de proponer extensiones a los indicadores de Gini potencial y tasa de extracción,3 utilizan estas medidas para analizar empíricamente conflictos civiles posteriores a 1960 en varios países del mundo.
Este artículo brinda información actualizada sobre la desigualdad de ingresos para los países de América Latina y regiones del resto del mundo, presentando evidencia reciente sobre la frontera de posibilidades de desigualdad y documentando el nivel y la evolución de la tasa de extracción en las últimas dos décadas. Asimismo, se analiza la utilidad de estas medidas como indicadores que aportan información diferente a la de otros indicadores de desigualdad del ingreso, como el Gini. Para ello, se utilizará información proveniente de encuestas de hogares procesadas de la forma más homogénea posible, sujeta a las restricciones de los cuestionarios (base SEDLAC) y datos de los Indicadores del Desarollo Mundial (WDI, por sus siglas en inglés) y PovcalNet (Banco Mundial).
Adicionalmente, se explora la relevancia de la tasa de extracción en el análisis del conflicto social, la estabilidad institucional y la corrupción dentro del estado en la región, un área en la que, a priori, podría tener algún papel. La tasa de extracción, al capturar cuán cerca está la desigualdad efectiva de su máximo alcanzable, provee información acerca de la “codicia” relativa (o capacidad de extracción) de la élite y combina en su formulación dos aspectos que se encuentran a menudo en la explicación del conflicto social: el nivel de desarrollo promedio y la distribución del ingreso.
En líneas generales, se encuentran cuatro resultados importantes:
América Latina mejora dos posiciones en la clasificación de desigualdad de regiones del mundo al utilizar la tasa de extracción. De esta manera, no sería considerada una región con alta desigualdad, sino intermedia.
Dentro de la región existe mucha heterogeneidad en los niveles de desigualdad, pero se puede observar un proceso de convergencia más fuerte con la tasa de extracción que con el índice de Gini.
La evolución del índice de Gini es diferente a la de la tasa de extracción. Mientras que el primero exhibe un aumento en la década de 1990 y una disminución en la del 2000, la tasa de extracción mantiene una tendencia decreciente a lo largo de todo el periodo, la cual se acelera en la segunda década.
La tasa de extracción está positivamente relacionada con las situaciones de conflicto e inestabilidad política.
El resto del trabajo se organiza de la siguiente manera. La sección I introduce y discute los conceptos de frontera de posibilidades de desigualdad y la tasa de extracción. La sección II provee información sobre las fuentes de datos y sus limitaciones. La sección III es la parte central del trabajo, ya que documenta niveles y tendencias de los indicadores derivados de la frontera de posibilidades de desigualdad comparándolos con la evolución del Gini en América Latina. La sección IV presenta una aplicación de la tasa de extracción para explicar el conflicto social con datos actuales. Finalmente, el artículo presenta conclusiones y algunas observaciones.
I. Frontera de posibilidades de desigualdad y tasa de extracción
Milanovic, Lindert y Williamson (2011) proponen estudiar la desigualdad desde una perspectiva diferente, incorporando el concepto de frontera de posibilidades de desigualdad (FPD). Esta noción surge al pensar una situación en la que cada sociedad distribuye su ingreso de manera tal de garantizar un mínimo de subsistencia a los estratos más pobres, mientras que el ingreso restante es distribuido entre las clases ricas. Cuando el ingreso medio de la nación es muy bajo (y, por ejemplo se encuentra muy cerca del mínimo de subsistencia), el excedente del que se pueden apropiar las clases altas es también bajo y, por lo tanto, el nivel de desigualdad es modesto. A medida que el ingreso promedio aumenta con el progreso económico, esta restricción en la desigualdad es cada vez menor, el excedente aumenta y la máxima desigualdad posible es mayor. En otras palabras, la máxima desigualdad alcanzable es una función creciente del ingreso medio del país.4 Lógicamente, se puede argumentar que hay razones tanto políticas como económicas (rebeliones, costos políticos, arreglos institucionales o políticas redistributivas) que ponen un freno a la extracción de todo el excedente.
Para ilustrar esto, considérense dos regiones hipotéticas, por ejemplo A y B, con el mismo coeficiente de Gini. Supóngase también que la región A tiene un nivel de ingreso medio menor al de la región B. Si bien la desigualdad medida con el coeficiente de Gini es idéntica en ambas λ al incorporar la noción de desarrollo económico se tiene que la región A está más cerca de su máximo nivel de desigualdad posible, mientras que la región B se encuentra más lejos, dado que su ingreso medio le permitiría extraer un mayor excedente. Entonces, desde este nuevo punto de vista, diríamos que A es más desigual que B.
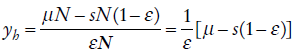
Al estimar los máximos coeficientes de Gini posibles y graficarlos en el eje de las ordenadas junto con los niveles de ingreso medio en el eje de las abscisas, se obtiene la frontera de posibilidades de desigualdad (véase la Gráfica 1). La FPD puede ser derivada formalmente con: s = mínimo de subsistencia, μ = ingreso medio del país, N = número de personas en una sociedad, y ε = proporción (muy pequeña) de gente que pertenece a la élite. Luego, el máximo ingreso medio de la élite (yh ) está dado por la siguiente expresión:


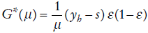
donde se asume que la proporción (1 − ε) de la población, perteneciente a las clases bajas, recibe el mínimo de subsistencia. Sin desigualdad interna en la élite, el máximo Gini alcanzable es:5

Combinando ambas ecuaciones y expresando de nuevo el ingreso medio como un múltiplo del mínimo de subsistencia, μ = α (con α ≥ 1), se tiene:

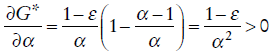
La frontera de posibilidades de desigualdad depende de dos parámetros, α y ε. Para obtener valores concretos de un país debemos seleccionar valores para s y ε. Esta elección podría basarse en criterios razonables según la región que se esté estudiando. Una vez que se escogen los valores para s y ε, el máximo Gini alcanzable dependerá del ingreso medio del país, μ.6 Se tiene, por un lado, que es una función creciente y cóncava del grado de desarrollo del país, aproximado por α , ya que la derivada del máximo Gini con respecto al ingreso medio (dado un nivel fijo de subsistencia) es:

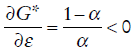
Y luego, usando la ecuación anterior es fácil calcular que la elasticidad de G* con respecto a ε es 1/(α − 1). Esto es, el máximo Gini posible aumenta con α , pero en forma decreciente. Por otro lado, la derivada del máximo Gini con respecto a ε es:

Esto es, cuando ε cae (la élite se vuelve más exclusiva), el máximo Gini alcanzable aumenta bajo el supuesto de igual distribución del ingreso dentro de la élite.
La frontera de posibilidades de desigualdad va más allá de las definiciones de las medidas tradicionales de desigualdad. Normalmente, estos indicadores toman valores extremos cuando un solo individuo se apropia de todo el ingreso de la economía (y no del excedente). Esos valores extremos son sólo teóricos y es claro que ninguna sociedad funcionaría de esa manera. El enfoque de la frontera de posibilidades de desigualdad intenta suponer un caso relativamente más realista, estableciendo máximos niveles de desigualdad compatibles con la supervivencia de la sociedad y alcanzables a largo plazo. Desde luego, este extremo de subsistencia puede traer aparejados conflictos sociales que desestabilicen la élite, lo cual sugeriría que el nivel de subsistencia es en sí mismo endógeno, no solamente para equilibrar factores psicológicos.7
El ratio entre el Gini efectivo y el máximo Gini alcanzable, (G/G*), es la tasa de extracción (TE), que estima cuán cerca está una sociedad de su frontera de posibilidades de desigualdad: cuanto más alta es la TE mayor es el nivel de desigualdad. Este enfoque permite analizar la desigualdad y el desarrollo conjuntamente. En consecuencia, dos economías con la misma desigualdad, pero que difieren en términos de sus ingresos medios tendrán interpretaciones diferentes. Para una sociedad pobre, el índice de Gini puede ser bastante cercano al máximo Gini factible, pero la TE será alta. Para una sociedad rica, cuyo G* es mucho mayor, la relación G/G* será menor.
De esta forma, la TE resume información proveniente tanto de la desigualdad como del nivel de desarrollo, lo que la convierte en un indicador interesante para realizar comparaciones de desigualdad entre economías con distinto grado de desarrollo. Adicionalmente, al captar cuán cerca está la desigualdad efectiva de su máximo alcanzable, la TE provee información acerca de la capacidad que tiene la élite de extraer el ingreso del resto de la sociedad. Por ello, con este nuevo enfoque se espera contribuir al análisis del poder y el conflicto en la sociedad. Si la TE es muy elevada, aquellos individuos que se encuentren en el nivel de subsistencia podrían sublevarse contra el grupo privilegiado, lo cual fomentaría inestabilidad y conflicto social. Esta hipótesis será analizada empíricamente en la sección IV como propuesta de una aplicación de los indicadores de la FPD.
A modo de resumen, se concluye que este ratio puede interpretarse como una forma de incluir el nivel de desarrollo de una sociedad en el análisis de desigualdad y, a su vez, permite estimar la capacidad de la élite para extraer el excedente.
II. Datos
Gran parte de la evidencia empírica de este trabajo surge del procesamiento de microdatos provenientes de encuestas de hogares, las cuales son parte de la Socioeconomic Database for Latin America and the Caribbean (SEDLAC), un proyecto desarrollado conjuntamente por el CEDLAS de la Universidad Nacional de La Plata y el grupo de pobreza para LAC del Banco Mundial (LCSPP). SEDLAC contiene información sobre más de 300 encuestas de hogares de los 17 países de América Latina continental y la República Dominicana. El cuadro A1 enumera las encuestas utilizadas en este trabajo.8
Las encuestas de hogares no son uniformes entre los países latinoamericanos y en varios casos ni siquiera dentro de un país a lo largo del tiempo. La cuestión de la comparabilidad es de una gran preocupación. En consecuencia, se ha hecho un gran esfuerzo para obtener estadísticas comparables entre países y a lo largo del tiempo mediante el uso de definiciones similares de las variables en cada país / año y mediante la aplicación de métodos consistentes de procesamiento de los datos (véase SEDLAC, 2014).
Cuando en este artículo se presentan estadísticas descriptivas para el agregado de América Latina (o subregiones), se muestran promedios no ponderados de estadísticas de los 18 países que la componen. Ponderar por la población implicaría analizar un fenómeno afectado fuertemente por los países más poblados, como Brasil y México, casi ignorando la situación en otras naciones menos pobladas.
La presentación de promedios para cada año requiere tener un panel equilibrado, es decir, la información sobre una estadística dada para la misma muestra de países en cada año. Dado que varios países de la región no cuentan con encuestas nacionales de hogares cada año, se ha construido un panel balanceado realizando interpolaciones y extrapolaciones usando información de encuestas adyacentes del mismo país.
Para las estadísticas referidas a países y regiones del mundo se utilizaron datos de los WDI y de PovcalNet del Banco Mundial. La primera fuente de información será utilizada para obtener el PBI y el coeficiente de Gini de todos los países del mundo, mientras que la segunda servirá para obtener ingresos promedio provenientes de encuestas de hogares, disponiendo de datos sólo para economías emergentes. PovcalNet incluye más de 1 000 encuestas de casi 131 países en desarrollo (esto representa más de 90% del conjunto de dichos países) que abarca el periodo de 1980 hasta 2012.
III. Nivel y tendencia de la tasa de extracción
La tasa de extracción resulta ser útil para hacer comparaciones de desigualdad entre economías con distinto grado de desarrollo. En esta dirección, la presente sección presenta estimaciones de la tasa de extracción con el objetivo de realizar un análisis de la desigualdad al interior de América Latina, como así también para comparar la desigualdad de la región con respecto al resto del mundo.
Primero es relevante analizar la situación dentro de América Latina y comparar el desempeño de los distintos países, ya que no sólo difieren en su nivel de desigualdad, sino también en el grado de desarrollo. Para este propósito, las comparaciones de tasas de extracción entre países se realizarán utilizando las líneas de pobreza (LP) internacionales en dólares a paridad de poder adquisitivo (PPA), aplicándolas sobre las distribuciones de ingreso per cápita familiar mensuales que surgen de las encuestas latinoamericanas de hogares (esto con base en el SEDLAC).
En países de ingresos medios, como los de América Latina, la línea de 1.25 dólares implica tasas de pobreza muy bajas. Por esta razón es común que la línea de pobreza internacional utilizada en estudios para América Latina sea superior (Gasparini, Cicowiez y Sosa Escudero, 2013). En este trabajo usaremos la línea de 2.5 dólares por día por persona, que coincide con la mediana de las LP extremas nacionales en América Latina y que, según Ravallion et al. (2009), es semejante a la mediana de las LP de los países en desarrollo si se excluyen los más pobres.9
Usando dichos criterios se calcularon para las últimas encuestas disponibles de todos los países de América Latina el coeficiente de Gini, el Gini potencial y la tasa de extracción correspondientes. Los niveles de desigualdad dentro de la región presentan una clara heterogeneidad más allá de su nivel de ingreso promedio. Sin embargo, es esperable que aquellos países que tengan ingresos promedios más altos se encuentren más alejados de la frontera de posibilidades de desigualdad. Estos patrones pueden verse en la gráfica 2, en donde se grafican los niveles de desigualdad junto con la frontera para algunos tamaños de élite y niveles de subsistencia razonables.

Dado que la frontera de posibilidades de desigualdad cambia levemente al elegir una élite más grande, de aquí en adelante las tasas de extracción se calcularán considerando una élite de 5% de la población. Para ver mejor el ratio entre el Gini y el Gini potencial, la gráfica 3 presenta la clasificación de desigualdad para los países de Latino América según el Gini y la tasa de extracción.

En primer lugar, se observa que el Gini tiene una menor dispersión que la tasa de extracción. La diferencia entre el país más desigual y el menos desigual es de tan sólo 14.6 puntos porcentuales, pero ésta asciende a 54.8 pp si se considera la tasa de extracción.
Entre los países más desiguales con una u otra medida se encuentran Honduras y Guatemala, mientras que entre los menos desiguales están Uruguay, Argentina y Venezuela.
Pese a que, de acuerdo con ambas medidas de desigualdad, Honduras y Guatemala son los países con mayor desigualdad de ingresos de la región, si se considera la tasa de extracción de dichos países, la diferencia que los separa del resto de la región es mucho mayor, de tal forma que incluso se encuentran por encima de la frontera de posibilidades de desigualdad (véase la gráfica 2). Esta violación a la definición de “máximo alcanzable” puede ocurrir ya sea por problemas de medición (de los ingresos, de la desigualdad o por la aplicación de un nivel de subsistencia demasiado elevado) o porque existe una gran parte de la población que logra vivir temporalmente bajo la línea de pobreza de 2.5 dólares, la cual constituye el nivel elegido de ingreso de subsistencia.10 Además, varios países parecen haber cambiado su posición dentro de la clasificación de desigualdad al utilizar como medida la tasa de extracción. Países de América Central como El Salvador, Nicaragua y República Dominicana pasaron de estar en posiciones relativamente bajas en ésta a ocupar lugares mucho más altos. No sorprende que todos los países de Sudamérica hayan mejorado su posición debido a su mayor nivel de desarrollo. Se destaca la mejora de Chile (en nueve posiciones) y de Brasil (en seis posiciones), que tienen un nivel de desigualdad, medida con el Gini, relativamente alto y que, no obstante, parecen estar lejos de la frontera de desigualdad. Por otra parte, la mayoría de los países de la Región Andina experimentó un cambio clasificatorio leve, al moverse sólo una o dos posiciones.
En las últimas dos décadas, en términos generales, los países de América Latina parecen haber disminuido su nivel de tasa de extracción. En la gráfica 4 se observa cómo con el correr de los años los países de la región fueron aumentando su ingreso promedio y, por ende, fueron aumentando el máximo Gini alcanzable, dando cuenta de una relación negativa entre la tasa de extracción y el ingreso promedio. En 1992 había muchos más países en niveles de ingresos promedio bajos y de tasa de extracción alta, con lo cual era la relación muy fuerte. En cambio, en 2012 la relación se hizo menos negativa y la mayoría de los países se estancó en niveles cercanos a 60% de tasa de extracción.

Los países de América Latina también difieren en los cambios de la desigualdad que experimentan durante el periodo bajo análisis, según lo representado por la Gráfica 5 y el Cuadro A2 (en el apéndice).

La diferencia en la evolución de la desigualdad entre la década de 1990 y del 2000 es muy marcada: mientras que en la primera década la mitad de los países de LA experimentó un aumento significativo en el Gini, a inicios de la década de 2000 esta tendencia se revirtió y 16 de los 18 países de la región tuvieron una fuerte reducción de la desigualdad.
Como se puede observar, este patrón no es totalmente generalizado. Por un lado, entre 1993 y 2003 hubo países donde la desigualdad cayó, como es el caso de México, Ecuador y Brasil, mientras que en otros el cambio fue mínimo, como en El Salvador, Panamá y Chile. Por otro lado, entre 2003 y 2013 Costa Rica pareció ir a contramano de la tendencia de reducción generalizada, al mismo tiempo que otros países no experimentaban grandes cambios, como Colombia, México y Guatemala.11
La tasa de extracción se comportó de manera similar, aunque en magnitudes mucho mayores. En la década de 1990 hubo países cuya TE creció fuertemente, como Venezuela, Argentina, Uruguay y Honduras, mientras que en otros cayó con la misma intensidad, como ocurrió con Nicaragua. En la década del 2000, en cambio, la mayoría de los países experimentó una considerable disminución de la TE, a excepción de Guatemala (donde parece haber aumentado), Costa Rica, República Dominicana y México (donde el cambio no fue significativo).
Cabe señalar que la dispersión en los niveles de Gini y de la tasa de extracción entre países ha disminuido en el periodo bajo análisis. El coeficiente de variación del Gini se redujo de 0.10 en 1990 a 0.07 en 2009, mientras que el de la tasa de extracción pasó de 0.30 a 0.15. Esta reducción de la variabilidad de los niveles de desigualdad en la región refleja un cierto grado de convergencia, ya que es el resultado del aumento de la desigualdad en algunos países de baja desigualdad, como Uruguay, Venezuela y Costa Rica, y de una caída en la desigualdad en algunos países donde ésta es alta, como Brasil. Esta convergencia incipiente surge no sólo al comparar el periodo de 1990-2000, si no también el de 2000-2009. A partir de 2010 el coeficiente de variación de ambos indicadores comenzó a aumentar hasta llegar en 2013 a 0.09 para el Gini y a 0.22 para la tasa de extracción. Dado que el número de observaciones es pequeño en este último periodo para determinar la presencia de un proceso incipiente de divergencia regional en la desigualdad, éste es sin duda un tema que valdría la pena explorar en futuras investigaciones.
La gráfica 6 resume las tendencias subregionales del Gini y de la tasa de extracción. En términos generales, tanto el Gini como la TE se sitúan en niveles menores a los iniciales en todas las regiones consideradas, de modo que la TE disminuye más drásticamente en todos los casos.

Dentro de cada región, las tendencias de Gini y TE son heterogéneas. En la región del sur de Sudamérica ambos indicadores experimentaron un aumento muy similar durante la década de 1990, y luego una caída a partir del año 2002 más pronunciada en el caso de la TE. En América Central y México el Gini experimenta un aumento muy leve durante la década de 1990 y luego cae, mientras que la TE cayó durante todo el periodo analizado, más fuertemente durante la primera década. Por último, en la Región Andina se puede observar un aumento en el Gini durante la primera década y luego una reducción, mientras que la TE presenta una trayectoria estable durante la primera década para luego caer más pronunciadamente que el Gini a partir de 2002.
Dadas estas tendencias, en promedio América Latina experimentó un aumento del Gini durante la década de 1990 y luego una sostenida reducción a partir del comienzo del presente siglo, aunque parece haber un incipiente estancamiento hacia el año 2012. Además, la tasa de extracción tuvo una tendencia decreciente en la primera mitad de la década de 1990, luego se estabilizó en los primeros años de este siglo, cuando comenzó a caer de forma más fuerte que el Gini. Esta caída más rápida se debe fundamentalmente a la combinación de la importante caída del Gini y el gran crecimiento económico que experimentó la región en esta última década.
Además de analizar la situación de la desigualdad dentro de América Latina, también es relevante comparar el desempeño de la región con respecto a otras regiones del mundo, especialmente con países emergentes. Antes de mostrar los resultados, es necesario realizar algunas aclaraciones método-lógicas. En primer lugar, hay que tener en cuenta que existen países para los cuales se dispone del coeficiente de Gini calculado sobre la distribución del ingreso (América Latina, el Caribe y países desarrollados) y otros lo hacen sobre el consumo (la mayoría del resto de países emergentes). Por lo tanto, en línea con lo expuesto en Alvaredo y Gasparini (2014), se efectuó un ajuste en los coeficientes de Gini de los países de América Latina y del Caribe para reflejar la diferencia entre ambos tipos de estimaciones de desigualdad.12 En concreto, la relación entre el Gini de consumo y el Gini de ingreso es en promedio de 0.861, por lo que aplicamos ese coeficiente en los países latinoamericanos y caribeños para aproximar el Gini de consumo.13 En segundo lugar, dado que el Gini es con base en el consumo, para calcular la TE sería ideal disponer también de una medida de consumo que aproxime el nivel de desarrollo medio de todos los países del mundo. Como esto no ocurre, se decidió aproximarlo con dos medidas alternativas: el PBI per cápita (WDI) y el ingreso/gasto mensual promedio de encuestas de hogares (obtenido de PovcalNet que tiene datos sólo para países en desarrollo; únicamente América Latina y el Caribe no disponen de datos de gasto). En cualquier caso, también se calcularon los indicadores de desigualdad sin ajuste y los resultados obtenidos son siempre robustos. Por último, se definió un mínimo de subsistencia de 300 dólares anuales, consistente con el utilizado por Milanovic, Lindert y Williamson (2011).14
América Latina y el Caribe típicamente son señaladas como las regiones más desiguales del mundo, pero este tipo de afirmación usualmente se hace combinando Ginis de ingreso con Ginis de consumo para el resto de las regiones o ignorando la región de África subsahariana (Alvaredo y Gasparini, 2014). Como se observará a continuación, incluso realizando los ajustes pertinentes, América Latina es una de las regiones con mayor desigualdad.
Primero se analizan los resultados obtenidos utilizando los datos de los WDI para todo el mundo. Con este fin, se construyen ocho regiones: i) Europa y Asia central, ii) Asia meridional, iii) Oriente medio y norte de África, iv) América del norte, v) Asia oriental y el Pacífico, vi) América Latina, vii) Caribe y viii) África subsahariana.15 En la gráfica 7 se presentan las estimaciones del Gini y la tasa de extracción en dichas regiones.16

Enfocando la atención en la TE promedio de América Latina, se puede ver cómo mejora en la clasificación de desigualdad respecto del Gini, escalando dos posiciones. El ranking de desigualdad medido con el coeficiente de Gini arroja que África subsahariana es la región más desigual del mundo, con un Gini de 46%, seguida por el Caribe y luego por América Latina, ambas con coeficientes de Gini cercanos a 42%. A la derecha de la misma gráfica, se encuentra la posición de las ocho regiones según la tasa de extracción, donde se puede ver que la región de África subsahariana sigue siendo la más desigual, pero seguida ahora por Asia meridional, Caribe, Asia oriental y el Pacífico, y después por América Latina. Esto sugiere que, controlando por el nivel de desarrollo de las regiones, América Latina no sería tan desigual y se encontraría más lejos de su máximo Gini posible con respecto a otras regiones en desarrollo. En particular, no sería considerada una región con alta desigualdad, sino intermedia.17
Los Cuadros 1 y 2 muestran estadísticas descriptivas del Gini y la tasa de extracción de cada región (ajustada y sin ajustar). Con el ajuste mencionado arriba para captar la brecha entre Gini de consumo/ingreso, América Latina tiene un Gini de 41.6%, mientras que el Caribe de 42% y África subsahariana de 46%, (los valores de Latinoamérica y el Caribe sin ajustar son de 48.3 y 48.8% respectivamente). Asimismo, se tiene que África subsahariana es la región más desigual del mundo, pero también la que tiene mayor dispersión, es decir que el rango de desigualdad entre los países que la componen es alto, lo que posiblemente se deba a errores de medición.


Tanto con el Gini como con la tasa de extracción, ocurre que para todas las regiones del mundo la media es mayor que la mediana, lo que significa que dentro de cada región hay una mayor cantidad de países con desigual dad más baja que la media, mientras que los más desiguales son pocos, pero muy desiguales, lo que hace aumentar el promedio.
Estos hechos aportan una mirada interesante sobre la desigualdad en el mundo, ya que dentro del grupo de regiones en vías de desarrollo, América Latina parece ser aquella con menor tasa de extracción, es decir, se mantiene relativamente alejada de su Gini potencial dado su mayor nivel relativo de desarrollo.
A continuación se presenta la evidencia correspondiente a los datos de encuestas de hogares para países emergentes de PovcalNet. La gráfica 8 muestra el rango de los coeficientes de Gini y de la tasa de extracción para 120 países en desarrollo del año 2012, ordenados desde el menos desigual (Ucrania según el Gini, con 24.7, y Eslovenia según la TE, con 27.6) al más desigual (Sudáfrica, con 63.4, y Madagascar, con 100.2). En la gráfica se resaltan los países de América Latina, para observar que de acuerdo con la tasa de extracción mejoran varias posiciones con respecto al índice de Gini. El grupo de países de la región de alta desigualdad deja de concentrarse entre los países más desiguales del mundo, y se sitúa en niveles intermedios. Se arriba a las mismas conclusiones si se utilizan el Gini y la TE ajustados y sin ajustar.

En resumen, bajo el enfoque de la tasa de extracción, América Latina no debería ser considerada una región de desigualdad alta, sino intermedia. Éste es un resultado robusto en diferentes medidas de desarrollo, en ajustes del Gini por diferencias en desigualdad sobre ingreso/consumo y en comparaciones tanto con regiones del mundo como con países emergentes.
IV. Una aplicación: Tasa de extracción, corrupción y conflicto social
Una de las formas de ver la relevancia contemporánea de la tasa de extracción es analizar si tiene algún papel en la explicación de la inestabilidad política y el conflicto social. Milanovic (2013) muestra que la tasa de extracción es uno de los factores asociados a diversos focos de conflicto civil después de 1960 y sostiene que ese indicador puede reemplazar al coeficiente de Gini y al PIB per cápita en el análisis de este fenómeno sin reducir el poder explicativo de los modelos. En otras palabras, el autor propone la tasa de extracción como el indicador que permite devolver a la desigualdad el protagonismo en el análisis del conflicto civil que había perdido con el coeficiente de Gini.
La desigualdad del ingreso personal captada por el coeficiente de Gini rara vez resulta ser estadísticamente significativa como determinante de conflicto,18 lo que llevaría a concluir que la desigualdad no está asociada al conflicto social. Existen trabajos que encuentran que la desigualdad horizontal entre diferentes grupos étnicos o religiosos juega un papel relevante para explicar guerras civiles (Cederman, Wiedmann y Gleditsch, 2011). En estos casos, dicha definición de desigualdad no tiene poder para explicar el conflicto social en sociedades homogéneas en términos de su composición étnica. También es importante tomar en cuenta la literatura sobre indicadores de polarización y conflicto, entre los cuales se encuentra un trabajo empírico para América Latina de Gasparini et al. (2008), en donde se sugiere que el conflicto social parece estar más relacionado con la polarización y la desigualdad que con la pobreza.
En este contexto, la tasa de extracción, al captar cuán cerca está la desigualdad efectiva de su máximo alcanzable, provee información acerca de la “codicia” relativa de la élite y combina en su formulación dos aspectos que se espera que estén relacionados con el conflicto social: el nivel de desarrollo promedio y la distribución del ingreso. El tema es particularmente relevante para América Latina. Muchos países de esta región presentan altos niveles de desigualdad, además de que es una de las regiones con instituciones más débiles y con altos niveles de inestabilidad y violencia (Gasparini et al., 2008).
En esta sección se analizan las interacciones entre varias medidas de conflicto, corrupción e instituciones con la desigualdad medida por medio del coeficiente de Gini y de la tasa de extracción. Como es de esperar, existen muchas limitaciones empíricas y los temas de causalidad son extremadamente difíciles de resolver, por lo que en este trabajo sólo se mostrará la estructura de las correlaciones entre las variables y se tratará de establecer interpretaciones coherentes de los resultados, basados en consideraciones teóricas.
Con el fin de captar el nivel de conflicto en la sociedad se utilizará el Political Stability and Absence of Conflict Index de Kaufmann et al. (2010) [no está en la bibliografía], y para medir la corrupción se utilizará el índice de control de la corrupción construido por los mismos autores. En el apéndice se encuentran más detalles sobre estos indicadores y también sobre las distintas medidas de institucionalidad que se utilizarán (Cuadro A5). Naturalmente, estos indicadores son sólo proxies de fenómenos muy complejos y pueden estar sometidos a todo tipo de errores de medición. Sin embargo, a falta de mejores datos, y para complementar el análisis teórico, la literatura empírica ha utilizado estos indicadores ampliamente en la búsqueda de regularidades y asociaciones con otras variables.
En la gráfica 9 se muestran las distribuciones de la tasa de extracción y del Gini según su nivel de corrupción y conflicto, usando el panel de países de América Latina, sin interpolar ni extrapolar; excluimos a Colombia y a Guatemala, por tener poca cantidad de encuestas. Se puede apreciar que las distribuciones de la tasa de extracción son estadísticamente diferentes para niveles altos de conflicto y corrupción, mientras que las diferencias para la distribución del Gini son significativas sólo para conflicto.19

Este análisis gráfico es mera evidencia preliminar, ya que no tiene en cuenta ni efectos fijos por países ni tampoco la dimensión temporal. Las correlaciones del Cuadro 3 indican que los países con mayor tasa de extracción, son en promedio también aquéllos con mayores niveles de conflicto.20 Las correlaciones con el índice de conflicto siguen siendo significativas cuando se controla por el PIB per cápita y por efectos fijos por país. Respecto a la medida de control de corrupción, las correlaciones tienen el signo esperado (negativo), pero cuando se controla por efectos fijos la significatividad desaparece. Se arriban a las mismas conclusiones tomando el coeficiente de Gini, aunque en el periodo 2003-2013 la relación con conflicto y corrupción no es significativa.

A continuación se incluye un conjunto de controles institucionales para un mejor análisis. Durante mucho tiempo se ha argumentado que las instituciones son fundamentales para la comprensión de los conflictos sociales (Gasparini y Molina, 2006). Los resultados de la regresión para el índice de conflicto cuando las instituciones son incorporadas en el análisis se muestran en el Cuadro 4.


En la parte derecha se incluyen medidas de desigualdad, junto con los indicadores institucionales y otros controles (por ejemplo, el PIB per cápita para el caso del Gini). Los resultados sugieren que la tasa de extracción está estrechamente relacionada con las situaciones de conflicto e inestabilidad política (independientemente de las medidas de institucionalidad), salvo cuando se controla por restricciones políticas que puede ser un problema de pocas observaciones o de escasa variabilidad. Éste parece no ser el caso del índice de Gini: los coeficientes tienen los signos esperados, pero parecen ser no significativos, excepto cuando se controla por el indicador de nivel de Estado de Derecho.21 Por otro lado, a diferencia de lo que ocurre con la medida de conflicto social, no se encuentra significatividad estadística en las correlaciones entre control de corrupción y desigualdad.
Asimismo, se estimaron modelos incluyendo todas las variables de institucionalidad al mismo tiempo controlando por medio de una variable de instituciones creada como un resumen de las anteriores variables al utilizar el método de análisis de componentes principales (véase el cuadro A4). Los resultados obtenidos en el caso de las regresiones de conflicto son similares a los presentados anteriormente: la relación entre la TE y el conflicto social es positiva y significativa mientras que para el Gini parece ser no significativa. Para el caso de las regresiones de corrupción, al controlar por todas las instituciones, la relación con ambos indicadores es positiva y significativa. Dado que anteriormente no se había encontrado significatividad estadística, los resultados sobre corrupción son, al menos, ambiguos. Esta evidencia es consistente con la idea de que los crecientes niveles de desigualdad y acercamientos a la frontera de posibilidades de desigualdad generan un ambiente hostil dentro de la sociedad, el cual podría implicar mayores niveles de conflicto social e inestabilidad política. La relación con la corrupción, por el contrario, no está del todo clara.
Conclusiones
A lo largo de este artículo se ha mostrado información actualizada sobre la desigualdad de ingresos en América Latina para resaltar la utilidad de incorporar el nivel de desarrollo económico de cada economía a la medición de la desigualdad introduciendo el concepto de frontera de posibilidades de desigualdad y de tasa de extracción. Con este trabajo se mejoran los análisis previos mediante la utilización de datos de una calidad superior a cualquiera de los utilizados antes en la literatura empírica sobre el tema. La motivación para el uso de estos indicadores es que si se controla por el nivel de desarrollo de cada región (aproximado por el ingreso medio), se producen reordenamientos en las clasificaciones de desigualdad, dado que países con mayor desarrollo se asocian a mayor desigualdad potencial, por lo cual, dado lo demás constante, deberían encontrarse mejor posicionados que con los indicadores tradicionales de desigualdad.
Por un lado, dentro de la región existe heterogeneidad tanto en los niveles de desigualdad como de desarrollo, por lo que cambia el orden dentro de las clasificaciones de desigualdad usando una u otra medida. Se encuentra evidencia de una marcada convergencia en la desigualdad de los países durante todo el periodo analizado, aunque a partir de 2010 parece darse el proceso contrario. Por otro lado, la evolución de la tasa de extracción en las últimas dos décadas difiere del comportamiento del Gini. Para el promedio de América Latina el Gini aumentó en la década de 1990 para luego caer en la década siguiente y desacelerarse al final. En cambio, la tasa de extracción disminuye en ambas décadas, de forma más marcada en la del 2000. Este hecho se debe a un doble efecto: la caída en el Gini y el fuerte aumento en el ingreso medio de la región. Asimismo, la desigualdad en América Latina comparada con el resto del mundo se revela menor al medirla con la TE en vez de medirla con el coeficiente de Gini, resultado robusto en diferentes medidas de desarrollo, a ajustes del Gini por diferencias en desigualdad sobre ingreso/consumo y en comparaciones tanto con regiones del mundo como con países emergentes. Bajo el enfoque de la TE, América Latina no sería una región de desigualdad alta, sino intermedia.
Por último, se realizó una aplicación de estas medidas para evaluar la relación entre desigualdad y conflicto social, con lo que se encontró una correlación positiva y significativa entre conflicto social y tasa de extracción. Los países con alta tasa de extracción parecen ser más propensos a tener altos niveles de conflicto social, lo que enfatiza la importancia de la tendencia decreciente que dicho indicador viene experimentando a partir de inicios de siglo XXI.
Como corolario, cabe remarcar que se puede aprender mucho acerca de la desigualdad mirando la tasa de extracción como complemento de los indicadores tradicionales. En las economías en crecimiento la tasa de extracción puede caer o bien por una reducción en el Gini o bien porque aumenta el ingreso (o por ambos efectos). En cambio, una economía en declive con un nivel de Gini dado se traduce en una mayor extracción de la desigualdad potencial. Por eso se insiste en el carácter indispensable del crecimiento económico para la estabilidad y la cohesión social.
Referencias bibliográficas
Acemoğlu, D., S. Naidu, P. Restrepo y P. Robinson (2014), “Democracy, Redistribution, and Inequality”, en A. Atkinson y F. Bourguignon (eds.), Handbook of Income Distribution, vol. 2, cap. 21, Elsevier, Ámsterdam.
Alejo, J. (2011), “Relación de Kuznets en América Latina. Explorando más allá de la media condicional”, documento de trabajo del CEDLAS núm. 129, CEDLAS, Universidad Nacional de La Plata, Argentina.
Alvaredo, F., y L. Gasparini (2014),“Recent Trends in Inequality and Poverty in Developing Countries”, en A. Atkinson y F. Bourguignon (eds.), Handbook of Income Distribution , vol. 2, cap. 10, Elsevier, Ámsterdam .
Azevedo, J. P., G. Inchauste y V. Sanfelice (2012), “Decomposing the Recent Inequality Decline in Latin America”, documento de trabajo de investigación política del Banco Mundial núm. 6 715, Banco Mundial, Washington D. C.
Cederman, L., N. B. Weidmann y K. S. Gleditsch (2011), “Horizontal Inequalities and Ethnonationalist Civil War: A Global Comparison”, American Political Science Review, vol. 105, núm. 3, pp. 478-495.
Chen, S., y M. Ravallion (2012), “More Relatively-poor People in a Less Absolutely-poor World,” documento de trabajo de investigación política del Banco Mudial núm. 6 114, Banco Mundial, Washington D. C.
Collier, P., A. Hoeffler, y D. Rohner (2006), “Beyond Greed and Grievance: Feasibility and Civil War”, Oxford Economic Papers, vol. 61, núm. 1, pp. 1-27.
Cornia, A. (2013), “Inequality Trends and their Determinants: Latin America over 1990- 2010”, en A. Cornia (ed.), Falling Inequality in Latin America: Policy Changes and Lessons, Oxford University Press, Nueva York.
Cruces, G., C. Garcia-Domenech y L. Gasparini (2011), “Inequality in Education. Evidence for Latin America”, documento de trabajo de UNU-WIDER núm. 93/2011, UNU-WIDER, Helsinki.
Deininger, K., y L. Squire (1996), “A New Data Set Measuring Income Inequality”, World Bank Economic Review, vol. 10, núm. 3, pp. 565-591.
Gasparini, L., y E. Molina (2006), “Income Distribution, Institutions and Conflicts: An Exploratory Analysis for Latin America and the Caribbean”, documento de trabajo del CEDLAS núm. 0041, CEDLAS, Universidad Nacional de La Plata, Argentina .
Gasparini, L., M. Horenstein, E. Molina y S. Olivieri (2008), “Income Polarization in Latin America: Patterns and Links with Institutions and Conflict”, Oxford Development Studies, vol. 36, núm. 4, pp. 461-484.
Gasparini, L. , G. Cruces, L. Tornarolli y M. Marchionni (2009), “A Turning Point? Recent Developments on Inequality in Latin America and the Caribbean”, documento de trabajo del CEDLAS núm. 0081, CEDLAS, Universidad Nacional de La Plata, Argentina .
Gasparini, L. , y N. Lustig (2011), “The Rise and Fall of Income Inequality in Latin America”, documento de trabajo del ECINEQ núm. 1 110, ECINEQ, Verona.
Gasparini, L. , M. Cicowiez y W. Sosa Escudero (2013), Pobreza y desigualdad en América Latina. Conceptos, herramientas y aplicaciones, Temas Grupo Editorial, Buenos Aires.
Gwartney, J. y R. Lawson (2005), Economic Freedom of the World: 2005 Annual Report, The Fraser Institute, Vancouver, Canadá.
Henisz, W. (2002), “The Institutional Environment for Infrastructure Investment”, Industrial and Corporate Change, vol. 11, núm. 2, pp. 355-389.
Kaufmann, D., A. Kraay y M. Mastruzzi (2010), “Governance Matters IV: Governance Indicators for 1996-2013”, documento del Banco Mundial, disponible en http://siteresources.worldbank.org/INTRES/Resources/469232-1107449512766/GovMattersIV_main.pdf
Kuznets, S. (1955), “Economic Growth and Income Inequality”, American Economic Review, vol. 45, núm. 1, pp. 1-28.
Lindert, P., y J. Williamson (2011), “American Incomes Before and After the Revolution”, documento de trabajo del NBER núm. 17 211, NBER, Cambridge, Massachusetts.
López-Calva, L., y N. Lustig (eds.) (2010), Declining Inequality in Latin America: A Decade of Progress?, Brookings Institution Press / United Nations Development Programme, Washington D. C. / Nueva York.
Milanovic, B. (2006), “An Estimate of Average Income and Inequality in Byzantium Around Year 1 000”, Review of Income and Wealth, vol. 52, núm. 3, pp. 449-470.
Milanovic, B. (2009), “Global Inequality and the Global Inequality Extraction Ratio: The Story of the Past two Centuries”, serie de documentos de trabajo de investigación política del Banco Mundial núm. 5 044, Banco Mundial, Washington D. C.
Milanovic, B. (2013), “The Inequality Possibility Frontier: Extensions and New Applications”, serie de documentos de trabajo de investigación política del Banco Mundial núm 6 449, Banco Mundial, Washinton D. C.
Milanovic, B., P. Lindert y J. Williamson (2007), “Measuring Ancient Inequality”, documento de trabajo de investigación política del Banco Mundial, núm. 4 412, Banco Mundial, Washington D. C.
Milanovic, B. , P. Lindert y J. Williamson (2011), “Preindustrial Inequality”, The Economic Journal, vol. 121, núm. 551, pp. 255-272.
Polity IV Project (2014), Polity IV Project, Political Regime Characteristics and Transitions, 1800-2015, disponible en http://www.systemicpeace.org/inDscrdata.html
SEDLAC (2014), Socioeconomic Database for Latin America and the Caribbean, disponible en http://sedlac.econo.unlp.edu.ar/eng/
Williamson, J. (2009), “History without Evidence: Latin American Inequality since 1491”, documento de discusión del CEGE núm. 81, CEGE, Universidad Georg August de Gotinga, Gotinga.
Apéndice






Notas