Perspectiva económica
Recepción: 02 Abril 2018
Resumen:
Antecedentes: La categoría “clase media” no tiene un significado único y consistente. La complejidad de su abordaje en términos conceptuales y metodológicos, similar al de la pobreza, la ubican desde diversas disciplinas como uno de los aspectos conceptuales sin consenso en la literatura. Se realiza una revisión comprehensiva de la literatura, con énfasis en las metodologías multidimensional y unidimensional del ingreso y se identifican áreas de no consensos en umbrales y dimensiones utilizadas.
Metodología: Se realiza la identificación de la clase media mexicana desde una perspectiva multidimensional, consistente con el método de medición multidimensional de la pobreza del Coneval (2009), según el cual el ingreso es condición necesaria pero no suficiente de seguridad y no vulnerabilidad. Se construyen clases latentes con base en los indicadores de derechos y bienestar de Coneval que identificaron la proporción de población en clases medias. Se obtienen cinco categorías: población en pobreza multidimensional, población vulnerable por ingreso, población vulnerable por carencias sociales, clases medias y población rica.
Resultados: Entre los principales hallazgos se encuentra evidencia de que México sigue siendo un país de pobres, más que de clases medias. La cantidad de personas en condición de pobreza es 2.3 veces mayor que lo que representa la clase media; por lo tanto, el estatus y las condiciones de vida garantes de la seguridad y no vulnerabilidad económica, características de la clase media, sólo se garantizan para poco más de un cuarto del total de la población, 27.5%. El artículo presenta resultados sobre la evolución de la clase media, la cual crece entre 2000 y 2006, hasta antes de la crisis alimentaria y económico-financiera de 2006 y 2008, pero nunca llega a niveles superiores a 50%. Tras la crisis, comienza nuevamente su descenso a niveles similares a los de 1994, condición que muestra su vulnerabilidad ante situaciones de crisis o shocks.
Conclusiones: El artículo concluye que la sostenibilidad de las clases medias en el tiempo depende tanto de políticas públicas efectivas y eficientes de combate a la pobreza, como de políticas dirigidas a las denominadas clases medias, lo cual en México y países de América Latina no existe. Ello implica que las más amplias capas de población, de la misma manera que en los países desarrollados, tengan acceso a un salario mínimo digno que garantice el bienestar, servicios efectivos de salud adecuados, educación de calidad, acceso al mercado de créditos y el sistema financiero, así como pensiones adecuadas y dignas.
Palabras clave: clases medias, pobreza, clases latentes, vulnerabilidad, seguridad, México, I31, I32, I38, C38.
Abstract:
Background: “Middle class” is a polysemic social category. In methodological terms, it is similar to that of poverty, both without consensus according to lite-rature. A comprehensive review of literature is made in this paper, emphasizing on single and multidimensional methodologies, identifying non-consensual findings when using and building thresholds and different dimensions.
Methodology: This paper proposes identification of Mexican Middle Class according to a multidimensional perspective, consistent with Coneval’s multidimensional poverty measurement method (2009), where income is a necessary but not enough condition of security and none vulnerability. “Latent-class models” are built based upon the Coneval’s Rights and Well-being indicators that identified the ratio of population that could be considered middle classes. Five categories are obtained: population in multidimensional poverty, vulne- rable population by income, vulnerable population due to social deprivation, middle classes and rich population.
Results: Among the main findings, there is evidence that Mexico continues to be a country of poor, rather than middle class people. The number of people in poverty is 2.3 times greater than that of middle class, while the status and conditions of life guaranteeing security and not economic vulnerability, characteristic of the middle class, is only due for a little more of a quarter of the total population, 27.5%. This paper presents findings on the evolution of the middle class, which grows between 2000-2006, before the food and economic-financial crisis of 2006 and 2008, but never reaches levels above 50%. After crisis years, it begins its descent again to levels similar to 1994, showing its vulnerability to economic crisis.
Conclusions: As a conclusion sustainability of middle classes over time in Mexico depends both on an effective and efficient policy to fight against poverty, and on specific policy about middle classes, which actually in Mexico and Latin American countries does not exist. This means that the broadest layers of the population, in the same way as in developed countries, have access to a living wage that guarantees well-being, effective health services, quality education, access to the credit market and financial services, as well as adequate and dignified pension system.
Keywords: middle classes, poverty, latent-class models, vulnerability, security, Mexico, I31, I32, I38, C38.
Introducción
Recientemente, Cortés (2015) planteó que una corriente de pensamiento busca avalar la idea de que América Latina se dirige hacia una senda de menor desigualdad (Lustig y López Calva, 2010) y pobreza, con crecimiento constante de las clases medias (Ferreira et al., 2013). Por su parte, Reyes et al. (2017) plantearon que México, dada la persistencia de su pobreza y desigualdad en el tiempo, expresión también de políticas públicas redistributivas efectivas, sigue siendo un país de pobres y no de clases medias.
Ante ello, surgen algunas interrogantes: ¿es verdad que la clase media está creciendo en países de América Latina, como en México?, ¿en realidad es sustentable ese crecimiento?, ¿hay políticas públicas redistributivas que fortalecen la clase media y combaten de manera efectiva y eficaz la pobreza?, ¿el nivel de clases medias es similar o se encuentra lejos de los resultados en países desarrollados?
A éstas y otras interrogantes se propone responder el presente artículo. Para ello, partiendo, por un lado, de la inexistencia de un consenso en la literatura sobre clase media y, por otro, de la ambigüedad del término que ha llevado a algunos a afirmar que la categoría “clase media” es elástica (López-Calva y Ortiz-Juárez, 2011), el artículo desarrolla una estimación de la clase media, consistente con la metodología de identificación de los pobres.
La propuesta conceptual y metodológica en ese sentido, consistente con la de la metodología oficial de medición de la pobreza multidimensional realizada por el Coneval, es la identificación de las clases medias mediante variables e indicadores de condiciones de vida, y no sólo del ingreso. Esta metodología de medición de clase media ubica por estatus y condiciones de vida a las personas en situación de pobreza, vulnerabilidad, clase media y ricos.1 Mediante el método estadístico de clases latentes se ubica aquel grupo de individuos que, contando con similitud en condiciones de vida, puede ser considerado como clase media, cuyo criterio fundamental es que tal persona no sea ni rica ni pobre. Ello nos permitirá conocer sus características y su evolución en el tiempo.
El artículo se organiza de la siguiente manera. En la sección I se presenta una revisión de literatura sobre la conceptualización de las clases medias. La sección II explica la metodología para la identificación de éstas en México. La sección III expone nuestras estimaciones de clase media en México. La IV sección discute si México es un país de pobres o de clase media. Al final, se presentan algunas conclusiones.
I. Revisión de la literatura
La categoría “clase media” no tiene un significado único y consistente en la literatura. La complejidad de abordarla en términos conceptuales y metodológicos, similar a la de la pobreza, la hacen ser, en diversas disciplinas, uno de los aspectos conceptuales sin consenso en la literatura (Casehll, 2007).
Desde la sociología y la economía, el término “clase media” ha sido ampliamente discutido y analizado: desde las categorizaciones tradicionales de Marx, que definen las clases sociales en función de su papel respecto de la propiedad sobre los medios de producción, en las cuales lo más similar a las clases medias era la pequeña burguesía, compuesta fundamentalmente de pequeños empresarios y burócratas (por oposición a la burguesía están los capitalistas y a los trabajadores, el proletariado); o bien, las planteadas por Weber, quien en su división de clases identifica las “clases medias” como aquellos que poseen pequeñas propiedades y habilidades para ofrecer en el mercado (artesanos, campesinos, empleados y funcionarios públicos y privados);2 hasta las categorizaciones unidimensionales más contemporáneas, basadas en el ingreso: con la elección entre dos umbrales de ingreso, uno alto y uno bajo, se identifica a las clases alta y baja, cuyo punto medio es la denominada “clase media”.
La categoría “clase media” es, por lo tanto, elástica (López-Calva y Ortiz-Juárez, 2011); puede incluir personas con ingresos distintos y engloba profesionales, comerciantes, burócratas, empleados y académicos, entre otras categorías ocupacionales (de la Calle y Rubio, 2010). De acuerdo con López-Calva y Ortiz-Juárez (2011), no hay una definición coherente y consistente de la clase media. El no consenso en la definición de la clase media, ya sea desde una perspectiva unidimensional o multidimensional, lleva a que, con la aplicación de cada uno de los diversos criterios para identificarla, se obtengan tantas estimaciones de clases medias como definiciones.
La ausencia de una definición consensuada de esta clase provoca también disensos en su medición e incluso en las dimensiones, indicadores y umbrales para identificarla. Alguna parte de la literatura, que asume unidimensionalidad del ingreso, clasifica los enfoques de abordaje entre aquellos basados en la desigualdad o tamaño (Atkinson y Brandolini, 2013); algunos otros los clasifican con base en su enfoque disciplinar: económico -el ingreso es la dimensión relevante- o sociológico (Batinti y Costa-i-Font, 2017). De la definición de la clase media, así como de las de la pobreza, se desprenderán su tamaño e implicaciones en la política pública (Atkinson y Brandolini, 2011).
Por los objetivos del presente trabajo -identificar el tamaño y la evolución de la clase media en un país de manera consistente con la metodología de medición de pobreza multidimensional oficial de un país o región-, en esta revisión clasificamos la revisión de la literatura con base en las dimensiones utilizadas en su identificación. Se agrupan con tal propósito los estudios y análisis hechos desde una visión unidimensional o multidimensional, en las que el ingreso, como en la literatura sobre la pobreza, desempeña un papel fundamental en el plano unidimensional. En tal sentido, los trabajos en la literatura sobre clase media se agrupan en multidimensionales y unidimensionales, mientras que el unidimensional del ingreso se subdivide en aquellos trabajos cuya definición de umbrales es absoluta o relativa.

1. Enfoque unidimensional: el ingreso
La definición de “clase” con base en la visión unidimensional del ingreso no goza de consenso en la literatura, dado que los estudios difieren respecto de la determinación de esos umbrales. Estos pisos mínimos para definir la clase media pueden ser elegidos desde una perspectiva absoluta o relativa, esto es, en cantidades monetarias de una divisa (usualmente dólares) en términos de paridad de compra, considerando un número de veces respecto del ingreso medio de la distribución del ingreso, en razón de la construcción de un rango en la distribución del ingreso, dividiendo a la población total en percentiles;3 o bien, con la construcción de un índice de polarización4 que señale los extremos en la distribución del ingreso como método para definir los intervalos para identificar a la clase media.
En cualquier umbral definido con base en el ingreso, la elección positiva o normativa de los umbrales muestra cierta arbitrariedad. En términos generales, la definición de clase media requiere dos tipos de umbrales: el más bajo, que diferencia la clase media de la pobreza, y el alto, que identifica la población “clasemediera” en el límite con la población rica. De esta manera, si los umbrales son absolutos, el más bajo suele utilizar la línea de pobreza para identificar a los que se encuentran por debajo como pobres y los que están por encima de ella como clase media, lo que hace consistentes las clasificaciones de clase media y pobreza con base en umbrales de ingreso. En tal caso lo más difícil sería determinar los umbrales altos, en los que la elección normativa utilizada para definir umbrales bajos -como los de línea de pobreza- no siempre es consistente con la búsqueda de una línea de bienestar pleno, garante de un nivel adecuado de vida en condiciones concretas y específicas; así como de un ingreso garante de un nivel de vida digno, cuya equivalencia al umbral alto permitiría distinguir, en materia de ingreso, a aquellos individuos y hogares por encima de ese ingreso, cuya consideración sería no sólo no ser pobre, sino contar con un nivel de bienestar adecuado. Ese umbral permitiría, por lo tanto, identificar los hogares e individuos ricos con los denominados “clasemedieros”.
Estudios de referencia en la literatura, como los de Milanovic y Yitzhaki (2002), Banerjee y Duflo (2008), Kharas (2010), Ravallion (2010) y López-Calva y Ortiz-Juárez (2011), hasta el más reciente publicado por Ferreira et al. (2013), definen a la clase media de acuerdo con un umbral absoluto de ingreso, cuya heterogeneidad varía desde los dos hasta los 100 USD PPC (Cuadro 1). Birdsall (2010) emplea un método híbrido que combina umbral inferior absoluto (10 USD por día) con umbral superior relativo (percentil de ingreso 95).

Una de las objeciones que se hace al uso de umbrales absolutos para definir clases medias, análogo al de mediciones de pobreza absoluta, es que éstos tienen la limitación de que complican su comparabilidad entre países, regiones y grupos de países, dado que hacen a un lado los niveles de bienestar, el desarrollo económico y humano, así como las condiciones de vida específicas de países y grupos de países, de manera que dificultan el alcance y la generalización de sus resultados (Batinti y Costa-i-Font, 2017). Una manera que busca resolverlo es utilizar medidas monetarias ajustadas por niveles de precios y tipo de cambio como las medidas en poder de paridad de compra. Otra es emplear umbrales de pobreza promedio de países capitalistas en desarrollo para el rango bajo del umbral, a fin de diferenciar la clase media en la parte baja de los pobres y usar umbrales de pobreza de países desarrollados para el límite superior.
En este último sentido, Ravallion (2010) plantea que las clases medias de los países en desarrollo podrían obtenerse si se define el umbral del límite inferior como el promedio de las líneas de pobreza de los países en vías de desarrollo (2 USD al día por persona), mientras que el umbral del límite superior sería la línea de pobreza de los Estados Unidos (13 USD al día por persona). Sin embargo, ello no captura necesariamente distancias en bienestar o desarrollo humano y, en términos de la construcción de umbrales, la objeción fundamental sigue siendo cómo definir esos niveles absolutos.
Además de las definiciones absolutas de la clase media basadas en los ingresos, existe otro tipo de estudios que la definen desde una perspectiva relativa, usando umbrales respecto de un punto de referencia o parámetro. El primero de ellos es el ingreso per cápita y los múltiplos de éste para establecer rangos, por debajo de los cuales la población sería pobre y, por encima de ellos, rica (Blackburn y Bloom, 1985; Davis y Huston, 1992; Birdsall et al., 2000; Atkinson y Brandolini, 2013). Como en toda la serie de trabajos de clase media basados en ingresos, no hay consenso sobre los umbrales inferiores y superiores en los que se encontraría esta clase media. Entre las limitaciones de este tipo de clasificaciones relativas que utilizan ingresos relativos se encuentra la dificultad de comparar clases medias entre países, derivadas de umbrales cuyo punto de referencia son las medias: ingresos medios diferentes de cada región o país (Cuadro 2).

Otra variante de las definiciones relativas basadas en ingreso para identificar a la clase media es la de las medidas de distribución del ingreso, cuyos umbrales se sitúan no en el espacio del ingreso, sino a partir de rangos o posiciones en la distribución (Cuadro 3). Domina, en tal sentido, la clasificación de la población en quintiles de ingreso, en la cual la clase media se obtiene con el número de individuos debajo o por encima de quintiles de ingreso, excluyendo los quintiles más altos de la distribución (Alesina y Perroti, 1996; Patridge, 1997; Easterly, 2001; Solimano, 2009; Batinti y Costa-i-Font, 2017). La limitación de este tipo de estudios es que muestran clases medias “estables”, de 40 o 60% de la población, que no son sensibles a fluctuaciones coyunturales y estructurales del ingreso o del gasto, como crisis económicas, financieras, de salud, etcétera.

En otra vertiente de los estudios relacionados con medidas de desigualdad, pero con menos visibilidad en la literatura, se encuentran los que tienen que ver con medidas de polarización para identificar los puntos de corte de la clase media en la distribución (Esteban y Ray, 1994; Esteban et al., 2007; Cruces, López y Battistón, 2011). Los umbrales para cada clase son construidos a partir de dos condicionantes: i) la maximización de la desigualdad en la distribución del ingreso entre clases, medida por el coeficiente de Gini, y ii) la minimización de la desigualdad entre clases. Esto significa que la polarización conjunta medidas de desigualdad entre las clases y en el interior de éstas, en donde la expansión o reducción de la clase media está inversamente relacionada con la desigualdad y la polarización: menor desigualdad y polarización es indicador de un crecimiento sostenido de clase media y viceversa.
2. Enfoque multidimensional
La incorporación de otras dimensiones al análisis de las clases medias no está exenta de un disenso en la manera conceptual y metodológica de abordarla. Desde una perspectiva multidimensional, Castellanos (2010) relaciona, por un lado, la dimensión de ingreso-consumo con la integración al Estado-mercado, y, por otro, siguiendo a Giddens (1982), asocia de manera intrínseca la clase social, la condición social y el capital social y cultural. Sin embargo, esta conceptualización se enfrenta al problema metodológico-operativo de la disponibilidad de información. Boniolo y Estévez (2015) obtienen clases sociales a partir de la valoración de tres dimensiones: educación, vivienda y ocupación. Este ejercicio excluye dimensiones como el ingreso, el acceso a servicios, las prestaciones sociales y la salud.
El Instituto Nacional de Estadística y Geografía de México (INEGI, 2013) llevó a cabo un análisis de conglomerados multidimensional con 17 variables; obtuvo siete estratos de hogares con condiciones similares y tres clases sociales. En este estudio, la selección inicial de variables para generar grupos o conglomerados diferenciados de hogares se centró en variables de gasto; se asumió que el gasto es una proxy del ingreso permanente y que éste podría ser un buen indicador para obtener estratos de hogares diferenciados en primera instancia y clases sociales asociadas al estatus de vida. La clase media representa 42.4% de los hogares, en donde vive 39.2% de la población total para 2010; además, su proporción es creciente, si se considera que en el punto de partida, el año 2000, la población total agrupada en la clase media era de 35.2%. Una limitante metodológica con este tipo de estudios es que, sin base conceptual-metodológica ex ante, dependiendo de las variables consideradas, la agrupación puede ser distinta y habrá tantas clases medias como ejercicios con variables o incluso dimensiones que considerar. En otras palabras, un ejercicio de este tipo, con conglomerados, requiere un aparato o discusión conceptual sobre dimensiones y variables que definan la clase media y su consistencia con la medición de pobreza (y riqueza), de los cuales se sepa si son fijos o movibles en el tiempo.
En ese sentido, el presente documento plantea y desarrolla la ubicación de las clases medias desde una perspectiva multidimensional, con las mismas dimensiones e indicadores utilizados por el Coneval (Consejo Nacional de Evaluación de la Política Social de México), organismo encargado de la medición oficial de la pobreza multidimensional en México. Las condiciones de vida se evalúan a partir del nivel de ingreso, como indicador de la dimensión de bienestar, así como de carencias en el plano denominado por el Coneval como los derechos sociales (y en otras metodologías, como necesidades insatisfechas):5 educación, salud, seguridad social, calidad y espacios de vivienda, acceso a la alimentación y servicios de vivienda. Ello permitirá, además de evaluar las condiciones de vida desde una perspectiva multidimensional, ser consistente con las dimensiones, los indicadores y los resultados de la pobreza oficial.
II. METODOLOGÍA DE IDENTIFICACIÓN DE CLASES MEDIAS
La presente investigación busca identificar la clase media de manera similar a lo que plantearon López Calva y Ortiz Juárez (2011), quienes en lugar de sólo elegir el umbral de pobreza monetaria específico de México -la “línea de bienestar” del Coneval, el límite superior en el conjunto de los pobres- como el límite inferior de la clase media, buscaron un valor de ingresos que correspondiera a la seguridad económica como requisito mínimo de los funcionamientos que identificaran a la clase media. Ésta es una seguridad económica que implica no sólo no ser pobre, sino tampoco vulnerable a caer en pobreza, concepto mucho más asociado en tal sentido al “estilo de vida”.
Aunque de manera efectiva se coincida en el enfoque conceptual de clase media más vinculante con el “estilo de vida”, el abordaje metodológico de esta investigación difiere en varios aspectos: i) se parte de una medición multidimensional que no considera sólo el ingreso; ii) se plantea una consistencia metodológica entre la medición de la pobreza multidimensional (Coneval, 2009) y la estimación de las clases medias, y iii) la seguridad en las condiciones de vida, más que sólo la seguridad económica, además de un ingreso básico mínimo, debe dar cuenta del ejercicio de un rango mínimo de derechos sociales a partir de los cuales la persona no sea identificada como pobre y ni se halle en el límite de la vulnerabilidad por carencias sociales. La metodología propuesta para este artículo plantea una identificación de la clase media mexicana desde una perspectiva multidimensional, consistente con la identificación de la población en condiciones de pobreza del método oficial de medición de pobreza del Coneval (2009).6
Para la identificación de las clases medias se optó por un método estadístico de conglomerados de hogares agrupados con base en condiciones similares de vida. El ejercicio estadístico de conglomerados para elegir dimensiones y variables -a diferencia del que hicieron Muller y Aziz-Junior (2017) para Egipto, con el fin de estimar la clase media con variables del mercado laboral- tiene detrás el aparato conceptual de la medición oficial de pobreza multidimensional de Coneval (2009). El método de conglomerados elegidos es el de clases latentes, dado que éste permite detectar la heterogeneidad de una población identificando el menor número posible de grupos presentes en el universo que se estudia. El análisis de dichas clases (Goodman, 2007)7 considera la caracterización no observable de una población tomando en cuenta la estructura de las relaciones entre diversas variables observables, a fin de conocer el número adecuado de estratos en los cuales se puede clasificar la población a partir de diversos criterios estadísticos.
Aunque pobreza y clases medias implican de origen dos marcos conceptuales distintos, una parte de la literatura toma como referencia los umbrales de pobreza para determinar una cota inferior en los indicadores que se usan para definir y clasificar a la clase media, fundamentalmente para fines de consistencia en la medición entre pobres y clase media (Székely, 2005).8 Así, un hogar o individuo catalogado como pobre no es al mismo tiempo parte de la clase media.
De manera similar a la literatura de pobreza, que identifica un umbral específico de ésta, como lo es la línea de pobreza (el límite superior en el conjunto de los pobres), con el límite inferior de la clase media, nuestra estimación asumió que, entre los criterios conceptuales-metodológicos para definir clases medias como un estatus de nivel adecuado de vida, no está ya el hecho de contar con condiciones de vida por encima de las de pobreza, sino que se considera que el ingreso es una condición necesaria pero no suficiente para evaluar un “estilo de vida” en condiciones medias de una sociedad concreta y específica que garantice la vida adecuada y digna. Ello significa que en la construcción de nuestro modelo de conglomerados o clases latentes se estableció como restricción de inicio que el hogar y el individuo no deben estar debajo de la línea de pobreza por ingresos, es decir, de la línea de bienestar mínimo y la línea de bienestar del Coneval. La agrupación de las clases por carencias sociales de la población, con la restricción del ingreso mínimo proporcionado por la línea de bienestar de la medición de pobreza oficial de México, permite contar con una consistencia conceptual metodológica que separa hogares e individuos de pobres, clases medias y no pobres.
En un primer momento, para cada individuo se consideraron los seis indicadores de carencias sociales y la condición de su ingreso respecto de la línea de bienestar; sin embargo, dada la estrecha relación entre el indicador de seguridad social y el de salud, que por definición la metodología oficial de pobreza omite, el estudio se restringió al uso de sólo uno de ambos. El indicador que permitió una clasificación más distinguible entre clases fue el de carencia por acceso a los servicios de salud.
Por lo tanto, para la construcción de las clases latentes o estratos se requiere:
Sujeto a la restricción del ingreso mínimo equivalente a la línea de pobreza monetaria:
J1 = ingreso; yjmin = umbral de ingreso = línea de bienestar del Coneval
Donde:
Yi indica el vector de respuesta del caso i;
Yij indica la respuesta del caso i en la variable j;
J, el número de variables en el modelo; las variables son las seis carencias sociales y una séptima variable es el ingreso;
Xi representa a la variable latente;
t indica una clase latente particular;
T, el número de clases latentes o estratos.
Las variables se plantean como dicotómicas para cada individuo, que toman el valor de 0 en caso de que la persona no cuente con la carencia o 1 en caso contrario. En términos estadísticos, se identifica en primera instancia el número óptimo de clases latentes o estratos, con las siguientes características: índice BIC ajustado (bajo), prueba de Lo-Mendell-Rubin (bajo), nivel de entropía (bajo) y análisis de gráficas de las probabilidades estimadas. Si los niveles de las tres BIC, prueba de Lo-Mendell-Rubin y entropía no permiten obtener una conclusión, se procede al análisis de gráficas de probabilidades.
El Cuadro 4 muestra los resultados de medidas de ajuste de clases latentes; de acuerdo con los niveles BIC ajustados, prueba de Lo-Mendell-Rubin y niveles de entropía, no se puede ser concluyente. Se puede, en todo caso, identificar que las clases óptimas deben estar entre tres y cinco.

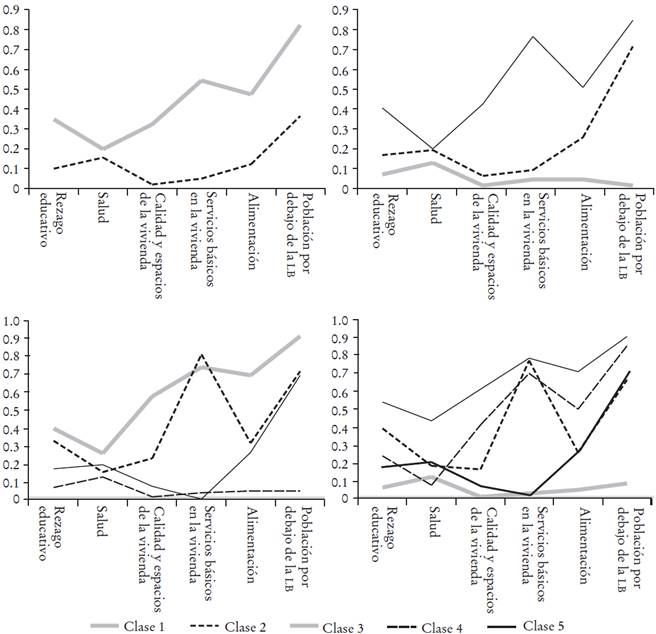
El cuarto elemento, el análisis de gráficas de probabilidades estimadas (Gráfica 1), muestra evidencia de que el número óptimo de clases es dos o tres, dado que, a partir de cuatro clases, las gráficas se cruzan, lo que implicaría una clasificación errónea.9 En ese sentido, a reserva de considerar algunos otros indicadores distintos a los de la medición de pobreza multidimensional oficial de México del Coneval, se puede concluir que el número de clases quedará en tres, debido a que es a partir de este número de clases que el BIC ajustado y la prueba de Lo-Mendel-Rubin muestran los mayores cambios, además de que el análisis gráfico presenta clases distinguibles.

Una vez obtenido el número de clases latentes o estratos, la identificación de las clases medias estará sujeta a las siguientes restricciones para los límites inferiores y superiores:
a) Límite inferior. No ser considerado parte de la población en pobreza multidimensional extrema ni moderada, así como no pertenecer a la población vulnerable por ingresos, partiendo del supuesto que el ingreso es una condición necesaria pero no suficiente de pertenencia a la clase media.
i) El ingreso del individuo i es al menos igual o mayor al ingreso mínimo yjmin . El ingreso mínimo yjmin es el umbral de pobreza monetaria, la línea de bienestar del Coneval.
J1 = ingreso; yjmin = umbral de ingreso = línea de bienestar del Coneval
El límite inferior en moneda nacional mexicana es de 87.90 MXN diarios per cápita, equivalente a 10.90 USD PPP.10
ii) Contar con un máximo de dos carencias sociales. La condicionante tiene sentido porque contar con más de dos carencias sociales es indicador, junto con estar debajo del ingreso mínimo, de estar en pobreza multidimensional extrema.
b) Límite superior. No estar entre la población rica. Ésta se obtiene como subconjunto de la población no pobre de los cuadrantes de la medición oficial de pobreza de Coneval.11 Para identificar a la población rica como parte de ese subconjunto de la población no pobre, en materia de ingreso y carencias sociales, se parte de las condicionantes:
i) El ingreso del individuo i es al menos igual o menor al ingreso máximo yjmax. El ingreso máximo garante de seguridad económica, pero no riqueza, se toma de López Calva y Ortiz (2011).
El ingreso máximo diario de 50 USD PPP es equivalente a 400 MXN. Tal ingreso lo adquiere en el periodo de estudio entre el percentil 97 y el percentil 91 en la distribución del ingreso, teniendo como periodo de quiebre los años de crisis alimentaria y económica-financiera de 2006 y 2008, respectivamente.
ii) La población no tiene carencias sociales
j1…jn= carencias sociales; yjmin = umbrales de cada carencia social

1. Fuentes de información
Las fuentes de información disponibles son la Encuesta Nacional de Ingreso y Gasto de los Hogares (ENIGH), para varios años, de 2000 a 2014.12 No se utilizó la ENIGH 2016 por los problemas de comparabilidad con las ediciones anteriores de la ENIGH en materia de ingreso. Aunque el gasto pudo haberse utilizado como opción, habría implicado problemas de consistencia con la metodología de medición de pobreza oficial de Coneval, que utiliza el ingreso y no el gasto para la construcción de las líneas de pobreza monetarias. En el mismo sentido, aun cuando se asume que existen importantes y crecientes problemas en las encuestas de hogares de México en cuanto a captación del ingreso, que provocan sesgos significativos en la distribución por la omisión del subreporte y truncamiento, no se utilizaron ingresos ajustados a cuentas nacionales o una distribución distinta que evite tales sesgos (Reyes et al., 2016; del Castillo, 2016; Bustos y Leyva, 2016). Esto tiene dos razones: por un lado, ello no permitiría estimaciones consistentes con la medición oficial de pobreza en la dimensión del ingreso, cuyo cálculo se toma de la ENIGH sin ajustar a cuentas nacionales, y, por otro, al usar estimaciones funcionales de la distribución del ingreso, se desvincularía la información del ingreso del hogar de sus carencias. Asimismo, los valores de límites inferiores y superiores de ingreso para la identificación de clase media fueron obtenidos para todo el periodo en moneda nacional mexicana y su equivalente en dólares PPP.
III. RESULTADOS
Las tres clases latentes o estratos obtenidos con las variables de la metodología oficial de pobreza de Coneval muestran que la clase latente 1 cuenta con 37% de población; la clase latente 2, con 41%, y la tercera, con el 22% (Cuadro 6). De ellas, en orden descendente en bienestar y derechos, la clase latente con menores rezagos es la clase 1, la cual no cuenta con ningún hogar debajo de la línea de bienestar y concentra el total de hogares sin carencias. En esta clase no hay hogares con carencia por acceso a alimentación ni calidad y espacios de la vivienda.

En el lado opuesto, la clase latente 3 muestra indicadores de pobreza por encima del promedio nacional. De la población de esa clase latente, 86% está debajo de la línea de bienestar, 89% no cuenta con servicios básicos de vivienda y casi 50% de ellos no cuenta con acceso a la alimentación. En el caso de la clase latente 2, se observan indicadores similares a los de la media nacional para rezago educativo, el acceso a los servicios de salud y la calidad y los espacios de la vivienda. Sin embargo, en servicios básicos en la vivienda, acceso a la alimentación y, en mayor medida, el ingreso, sus indicadores están por encima de la media nacional. De manera particular, en el ingreso, el porcentaje de población debajo de la línea de bienestar es muy similar al que presenta la clase 3.
De acuerdo con su condición de pobreza multidimensional, la distribución según la clase latente muestra que toda la población no pobre y no vulnerable por ingreso se ubica en la clase latente 1. En otro sentido, también en ella se concentra 63% de los hogares con carencias sociales, al mostrar una incidencia de 16.6% de un total de 26.3% de los hogares (Cuadro 7). La clase o estrato 3 agrupa la mayor parte de población en pobreza extrema, mientras la clase 2 contiene en su mayoría a la población en condición de pobreza moderada. Esta clase latente o estrato 2 también se identifica como aquélla en la que está toda la población vulnerable por ingreso.

En síntesis, se puede observar que la estratificación en las tres clases in comento es bastante consistente, ya que la distribución del número de carencias y clases entre la población muestra el comportamiento esperado; es decir, en la clase latente 1 se concentra la mayor parte de la población con cero o una carencia y se ubica también toda la población por encima de la línea de bienestar; en la clase o estrato 2 se observa población mayoritariamente con una o dos carencias, y en la clase latente 3, aquella población con más carencias sociales. En estas dos últimas, la 2 y 3, se agrupa el total de la población por debajo de la línea de bienestar.

Ello significa que, si una definición de clase media se identifica con la seguridad económica, no puede haber hogares de las clases latentes 2 y 3 que pertenezcan a ella. En primera instancia, porque la mayor parte de su población está debajo de la línea de pobreza monetaria y, en segundo término, porque aunque algunos hogares cuentan con 1 o 2 carencias sociales, la distancia a la línea de bienestar de estos hogares se encuentra en el límite, en una situación de riesgo latente, que dadas las trayectorias de pobreza que la literatura documenta podrían transitar continuamente entre población vulnerable (por carencias) y población en pobreza multidimensional (con al menos una carencia y debajo de la línea de bienestar). La clase media, por lo tanto, con los límites inferior y superior que implican no ser considerado parte de la población en pobreza multidimensional extrema ni moderada, así como no pertenecer a la población vulnerable por ingresos ni hogares ricos, se identifica como un subconjunto de la clase latente 1. Consistente con la metodología de medición de pobreza multidimensional, a las categorías tradicionales se incorporan la población rica y la clase media, además de que parte de la población vulnerable por carencias será absorbida en la clase media por la definición de ésta (Cuadro 8).

De acuerdo con la ENIGH 2014, consistente con la metodología de medición oficial de pobreza multidimensional del Coneval, la clase media sería de 27.5%, en tanto que la población rica sería de 9% (Gráfica 3). La clase media como subconjunto de la clase latente o estrato 1 tiene dos componentes: i) la parte alta de esa clase media, que abarca una parte de la población catalogada por la definición de pobreza como no pobre (10.9%), que no cuenta con ninguna carencia y está por encima de la línea de bienestar, y ii) la parte media y baja de la clase media, de la cual 10.2% muestra una carencia y 6.4% tiene dos carencias. En este sentido, por las restricciones de seguridad económica que agrupan a las clases latentes por encima y debajo de la línea de bienestar, la población vulnerable por ingresos es idéntica a la obtenida por la medición oficial de pobreza.

Sin embargo, la población vulnerable por carencias es distinta, en tanto que poco más de 16% que cuenta con una y dos carencias forma parte de la clase media, de tal manera que, del total de población vulnerable por carencias, 61% pertenece a esta denominada clase media. La característica que la distingue de la otra población vulnerable, agrupada en las clases latentes 1 y 2, es su ingreso promedio y, por lo tanto, distancia a la línea de bienestar. En tanto que la clase latente o estrato 1 cuenta con un ingreso promedio de 6 421.08 MXN, los ingresos medios de quienes se identifican en las clases latentes 1 y 2 son de 1 925.43 MXN y 1 308.41 MXN, respectivamente.
Székely (2005) encontró evidencia, utilizando la línea de pobreza de patrimonio de referencia, de que entre 2000 y 2004 la clase media en México estaba creciendo. El estudio del INEGI (2013) planteó que entre 2000 y 2010 la clase media venía ensanchándose, al pasar de 35 a casi 40% de la población. Ferreira et al. (2013), en un informe para el Banco Mundial, identifican cambios sustanciales en la composición de pobres, vulnerables y clase media; entre 2005 y 2010, en promedio América Latina, ve crecer sustancialmente su clase media y caer su pobreza.
Nuestras estimaciones muestran evidencia, tal como lo plantea Székely, de que hay un crecimiento de la clase media, incluso hasta 2006, punto donde alcanza su máximo. Después de la crisis alimentaria de 2006 y la crisis económica de 2008, la clase media cae y aumenta la pobreza, pero la población rica también. Entre 2008 y 2014 hay un estancamiento en la clase media, con ligera tendencia a la baja, en sentido opuesto a la población pobre y vulnerable, cuya tendencia en el periodo es ligeramente a la alza. La población rica, que a diferencia de la denominada clase media y los pobres-vulnerables es la única que crece en la crisis, también muestra un estancamiento tras la crisis, aunque con dirección leve al alza.
IV. MÉXICO: PAÍS DE POBRES Y NO DE CLASES MEDIAS
De la Calle y Rubio (2010), con base en los estratos sociales construidos por la Asociación Mexicana de Agencias de Investigación de Mercados y de Opinión Pública, afirman que México, aún con pobreza extendida, ya no es un país pobre, sino una sociedad que se transforma hacia una clase media.

Con antelación, Székely (2005) identificó dos periodos de crecimiento de las clases medias ocasionados por la reducción de pobreza: de 1950 a1984 y de 1996 a 2004. Reyes et al. (2017) encuentran evidencia de que, en efecto, la clase media crece entre 1996 y, de hecho, hasta 2006, antes de la crisis alimentaria y económico-financiera de 2006 y 2008, pero nunca llegó a niveles superiores a 50%. Después de ello, en la poscrisis, comienza nuevamente su descenso hasta niveles similares a los de 1994. Esto significa que era muy vulnerable y frágil a situaciones de crisis o shocks y nunca ha sido mayoritaria como en otros países capitalistas o de economía de mercado, donde ésta llega a alcanzar entre 60 y 75% de la población.
Esta población ubicada en el estatus y condiciones de vida de clases medias en México es baja en proporción al total, así como altamente vulnerable al cambio de estatus y pérdida de la seguridad económica, fundamentalmente en la parte media y baja de la distribución de la clase media, con una y dos carencias respectivamente. La clase media, si bien es clasificada como no pobre, no deja de estar vinculada fuertemente con la situación de vulnerabilidad, en tanto que parte de su población cuenta con carencias sociales todavía y, por lo tanto, tiene riesgo de caer en situación de pobreza multidimensional, si alguna crisis económica o shock, como algún gasto catastrófico en salud, asociara la caída en los ingresos per cápita por debajo de la línea de bienestar con la existencia de una o más carencias sociales. Por ello, la situación de las clases medias no deja de ser frágil en este país.
México, dada la persistencia de su pobreza y desigualdad en el tiempo, expresión también de la carencia de políticas públicas redistributivas efectivas, sigue siendo un país de pobres y no de clases medias. Es de tal magnitud el tamaño de la población pobre y vulnerable y su persistencia en el tiempo, que proporcionalmente a su población total es 2.3 veces el tamaño de las clases medias. Si nuestro punto de partida es el comienzo del nuevo milenio, en el año 2000 la población pobre y vulnerable sumaba 62.6%, mientras que para 2014 prácticamente se había mantenido inamovible. Es y sigue siendo la población mayoritaria del país. Más aún, sin realizar el ejercicio de estimación de clase media con la metodología consistente de la medición multidimensional de pobreza, la población pobre y vulnerable era de 79.6% en 2014, cifra similar a la reportada en otras mediciones de pobreza multidimensional como el MMIP y el MBS (Reyes y López, 2016).
En materia de pobreza monetaria, a pesar de que se ha quintuplicado la cobertura del programa de transferencias condicionadas PROSPERA,13 mientras que en el año 2000 la población debajo de la línea de bienestar era de 54.2%, para 2014 no era significativamente distinta: 53.2%. En cuanto a la pobreza multidimensional, de 43.5% de la población que se encontraba en esa situación en 2000, se pasó a 46.2% en 2014.
¿Qué han hecho otros países en economías capitalistas o de mercado para contar con población mayoritariamente de “clase media”? En algunos países, el mantenimiento de la clase media está vinculado con el acceso a servicios y derechos sociales, lo que genera modelos diversos de bienestar social que influyen en la calidad de vida de la población y propician el crecimiento sostenido y sostenible de la clase media. En otros, la estrategia de un crecimiento pro pobre con políticas de mitigación de la desigualdad vía la existencia permanente de mecanismos redistributivos asegura y garantiza pisos mínimos en el nivel de vida (Reyes et al., 2017). Sin embargo, un componente común a todos es la existencia de una política laboral que garantiza salarios por encima del umbral de la pobreza monetaria,14 así como esquemas amplios de protección o seguridad social: seguro de desempleo, por enfermedad y de vejez, y cobertura amplia en materia de salud, que eviten, ante situaciones de shock o crisis, caer en vulnerabilidad o pobreza (Reyes et al., 2017).
Hoy, 13 años después de la publicación de Solimano (2005) sobre las nuevas políticas sociales en América Latina, cuyos beneficiarios debían ser no sólo los pobres, sino las clases medias, en México tanto los pobres como la parte baja de las denominadas clases medias que muestra entre una y dos carencias sociales y está cercana a la línea de pobreza monetaria (línea de bienestar del Coneval) no tienen acceso a servicios de salud adecuados, educación de calidad y pensiones decentes.
Las clases medias podrían garantizar su estatus y condiciones de vida en términos de seguridad económica, no sólo con ingresos suficientes, por encima y lejanos a la línea de pobreza monetaria, sino con el acceso a derechos sociales, uno de los cuales, dado su nivel de carencia, es la seguridad social. A diferencia de lo planteado en alguna parte de la literatura en el sentido que de en América Latina el acceso a la seguridad social se ha asumido no como derecho garante, sino como vinculatorio al uso de ventajas corporativas entregadas por el gobierno (Barozet, 2006), en México y en sociedades profundamente desiguales y con altas incidencias de pobreza, el acceso universal a un sistema de protección social permitiría a la vez una reducción sustancial en la carencia transversal al eje de carencias-derechos sociales, una caída sistemática en la pobreza, un aumento del bienestar de las clases trabajadoras y un ajuste en la distribución de la riqueza mediante el financiamiento progresivo del mismo, cuyo eje primordial sería la desvinculación del sistema de seguridad social del empleo.15
De acuerdo con Reyes, Cerón y López (2016) y Reyes et al. (2017), la seguridad social es un factor de movilidad social con mayor potencial que otras dimensiones como la misma educación. Asumiendo una interacción entre dimensiones, situación que la metodología oficial de pobreza del Coneval no permite, y reconociendo como fuentes del bienestar otras dimensiones adicionales al ingreso como la seguridad social, la salud y la educación, esas investigaciones estiman el impacto en el bienestar y la pobreza de contar o no con seguridad social.
Los trabajadores con seguridad social tienen un ingreso promedio 1.5 veces por encima de los trabajadores sin seguridad social. Asimismo, mientras que 51.7% de los trabajadores se encuentra debajo de la línea de bienestar del Coneval, 66% de los que no cuentan con seguridad social está en situación de pobreza monetaria y sólo 33% de quienes sí cuentan con seguridad social cae debajo del umbral de ingreso monetario mínimo. En términos de bienestar, existe un diferencial de poco más de 30% en el indicador de bienestar (IBS) entre quienes cuentan con seguridad social contra quienes no la tienen.
Las políticas públicas favorables al crecimiento sostenido y permanente de la población bajo un estatus y condiciones de vida garantes de la seguridad económica de las denominadas clases medias en un país capitalista en desarrollo o emergente como México, implican una reorientación completa de la política económica, industrial, fiscal, social y laboral del país. Se requiere que las capas más amplias de población, de la misma manera que en los países desarrollados, tengan acceso a un salario mínimo digno que garantice el bienestar, servicios de salud efectivos y adecuados, una educación de calidad, acceso al mercado de créditos y al sistema financiero, así como pensiones adecuadas y dignas (Kliksberg, 2002; Solimano, 2005; Reyes y Romero, 2017). Esta situación, además de combatir eficaz y efectivamente la pobreza desde múltiples dimensiones, garantizaría estatus y condiciones dignas y adecuadas, acordes con las condiciones sociales medias concretas del país.
Conclusiones
A pesar de la abundante discusión sobre el concepto de clases medias en la literatura, en la actualidad no existe un consenso sobre su definición y sobre su identificación. La elasticidad del término o su falta de congruencia y coherencia en la delimitación han generado más preguntas que respuestas.
Las definiciones unidimensionales de clases medias basadas sólo en los ingresos, a partir de las cuales se reportan algunos hallazgos sobre el tamaño y crecimiento sostenible de dichas clases en América Latina y México, resultan cuestionables, ya que se observa cierta incongruencia al identificar hogares y personas en pobreza que son al mismo tiempo integrantes de las clases medias.
El enfoque que asume el artículo supera la visión basada exclusivamente en los ingresos de la población y, siguiendo la metodología multidimensional del Coneval para la medición de la pobreza, evalúa aspectos como educación, salud y seguridad social, entre otros. Ello permite identificar a la población, desde una perspectiva de bienestar y derechos sociales, que no es pobre, pero tampoco rica.
Aunque pobreza y clases medias implican de origen dos marcos conceptuales distintos, tal como alguna parte de la literatura lo demuestra, nuestra estimación toma como referencia los umbrales de pobreza para definir una cota inferior en los indicadores que se usan para definir y clasificar a la clase media, fundamentalmente para fines de consistencia en la medición entre pobres y clase media. En ese sentido, la contribución de este artículo consiste en identificar la clase media con un método consistente con el método oficial de identificación de los pobres y vulnerables en México, de tal manera que los que entran en la clasificación como pobres no podrían ser parte de las clases medias al mismo tiempo.
Entre los principales hallazgos, la investigación arroja que México no es todavía un país de clases medias, sino que sigue siendo mayoritariamente de pobres. Los niveles de vida adecuados para no ser pobre sólo se garantizan para 27.5% de la población mexicana. En este mismo panorama, la población en pobreza supera 2.3 veces a la considerada como clase media.
Esta última, si bien es clasificada como no pobre, no deja de estar vinculada fuertemente con la situación de vulnerabilidad y, por lo tanto, con el riesgo de caer en situación de pobreza o de carencias múltiples. Así, la situación de las clases medias no deja de ser frágil en México, país en el que no existen políticas públicas de fortalecimiento de la clase media de la mano con el combate efectivo y eficaz de la pobreza. Políticas en el plano laboral y salarial garantes de un salario mínimo de bienestar por encima de las líneas de pobreza, así como salarios medios que vinculen el salario real con la productividad y que, combinados con políticas sociales y fiscales redistributivas, contribuyan al crecimiento sostenido y sostenible de esas clases medias. En síntesis, sería necesaria una política pública de fortalecimiento de las denominadas clases medias que combine políticas redistributivas (fiscales, sociales, del mercado laboral) con crecimiento económico e incremento sostenido y sostenible de las clases medias en el mismo sentido y proporción que se reducen la pobreza y vulnerabilidad.
RERENCIAS BIBLIOGRÁFICAS
Alesina, A., y R. Perotti (1996), “Income Distribution, Political Instability and Investment”, European Economic Review, 40 (6), 1203-1228.
Ardnt, C., D. Gregosz y C. Todorova (2012), Zwischen Stabilität und Fragilität, Fundación Konrad Adenauer, Berlín.
Atkinson, A., y A. Brandolini (2011), “On the Identification of the Middle Class”, documento de trabajo núm. 217, ECINEQ, Society for the Study of Economic Inequality. Disponible en: http://ideas.repec.org/p/inq/inqwps/ecineq2011-217.html
__________ (2013), “On the Identification of the Middle Class”, en J. C. Gornik y M. Jäntti (eds.), Income Inequality: Economic Disparities and the Middle Class in Affluent Countries, Stanford University Press, Stanford, California, pp. 77-100.
Banerjee, A. V., y E. Duflo (2008), “What Is Middle Class about the Middle Classes around the World?”, Journal of Economic Perspectives, 22 (2), 3-28.
Barozet, E. (2006), “El valor histórico del pituto: clase media, integración y diferenciación social en Chile”, Revista de sociología, 20, 69-96.
Barro, R. J. (1999), “Determinants of Democracy”, Journal of Political Economy, 107 (6), 158-183.
Batinti, A., y J. Costa-i-Font (2017), “Do Economic Recessions ‘Squeeze the Middle-Class’?”, documento de trabajo núm. 6673, CESifo. Disponible en: http://hdl.handle.net/10419/171137
Birdsall, N. (2010), “The (Indispensable) Middle Class in Developing Countries; or, the Rich and the Rest, Not the Poor and the Rest”, documento de trabajo núm. 207, Centro para el Desarrollo Global.
Birdsall, N., C. Graham, y S. Pettinato (2000), “Stuck In The Tunnel: Is Globalization Muddling The Middle Class?”, documento de trabajo, núm. 14, Center on Social and Economic Dynamics, Brookings Institution, Washington, D. C.
Blackburn, M. L., y D. E. Bloom (1985), “What Is Happening to the Middle Class?”, American Demographics, 7 (1), 18-25.
Boltvinik, J. (1992), “El método de medición integrada de la pobreza. Una propuesta para su desarrollo”, Comercio Exterior, 42 (4), 354-365.
Boniolo, P., y B. Estévez (2015), “Hacia un análisis multidimensional de las clases sociales: la distribución territorial en el AMBA”, XIJornadas de Sociología, Facultad de Ciencias Sociales, Universidad de Buenos Aires, Buenos Aires.
Bustos, A., y G. Leyva (2016), “Hacia una estimación más realista de la distribución del ingreso en México”, Este País: tendencias y opiniones, 302. Disponible en: http://estepais.com/articulo.php?id=573&t=hacia-una-estimacion-mas-realista-de-la-distribucion-del-ingreso-en-mexico1
Calle, L. F. de la, y L. Rubio-Freidberg (2010), Clasemediero: Pobre no más, desarrollado aún no. Centro de Investigación para el Desarrollo, México.
Capdeville, M (2005), “La productividad de la industria maquiladora en México”, presentado en el Seminario internacional: Aprendizaje tecnológico y escalamiento industrial, Universidad Autónoma Metropolitana, México.
Cashell, B. W. (2007), Who Are the Middle Class, Congressional Research Service, Washington, D. C.
Castellanos, J. M. (2010), “Una visión multidimensional de la noción de clase social”, Antropología Social, 12, 63-87.
Castillo, M. del (2015), “La magnitud de la desigualdad en el ingreso y la riqueza en México: una propuesta de cálculo”, Serie deEstudios y Perspectivas, cepal.
Centro de Estudios de las Finanzas Públicas (cefp) (2005), México: Ingresos por exportaciones petroleras al primer trimestre de 2005, Cámara de Diputados, H. Congreso de la Unión.
Comisión Económica para América Latina y el Caribe (CEPAL) (2015), Panorama de la inserción internacional de América Latina y el Caribe, CEPAL, México.
Consejo Nacional de Evaluación de la Política de Desarrollo Social (Coneval) (2009), “Aplicación de la metodología para la medición de la pobreza por ingresos y pruebas de hipótesis 2008”, Coneval, México.
__________ (2010), “Metodología Multidimensional de pobreza”. Disponible en: http://www.coneval.gob.mx/rw/resource/Metodologia_Medicion_Multidimensional.pdf
Cortés, F. (2015), “Desarrollo de la metodología en ciencias sociales en América Latina: posiciones teóricas y proyectos de sociedad”, Perfiles Latinoamericanos, 45, 181-202.
Cruces, G., L. F. López Calva y D. Battistón (2011), “Down and Out or Up and In? Polarization Based Measures of the Middle Class for Latin America”, documento de trabajo núm. 113, Centro de Estudios Distributivos, Laborales y Sociales (CEDLAS), Universidad Nacional de La Plata.
Davis, J. C., y J. H. Huston (1992), “The Shrinking Middle-Income Class: A Multivariate Analysis”, Eastern Economic Journal, 18 (3), 277-285.
Easterly, W. (2001), “The Middle Class Consensus and Economic Development”, Journal of Economic Growth, 6, 317-335.
Erikson, R., y J. H. Goldthorpe (1988), “The Class Schema of the CASMIN Project”, borrador, CASMIN Conference, Guenzburg, República Federal de Alemania.
__________ (1992), The Constant Flux: A Study of Class Mobility in Industrial Societies, Oxford University Press, Nueva York.
Esping-Andersen, G. (2000), Fundamentos sociales de las economías postindustriales, Ariel, Barcelona.
Espluga, J. (2012), Clase en Máster en Política Social, trabajo y bienestar, Universidad Autónoma de Barcelona.
Esquivel, G. (2015), “Desigualdad extrema en México: concentración del poder económico y político”, Reporte de Oxfam, México.
Esteban, J., C. Gradín y D. Ray (2007), “An Extension of a Measure of Polarization, with an Application to the Income Distribution of Five OECD Countries”, Journal of Economic Inequality, 5 (1), 1-19.
Esteban, J., y D. Ray (1994), “On the Measurement of Polarization”, Econometrica, 62 (4), 819-851.
Ferreira, F., J. Messina, J. Rigolini, L. F. López Calva, M. A. Lugo y R. Vakis (2013), La movilidad económica y el crecimiento de la clase media en América Latina, Banco Mundial, Washington, D. C.
Gasca, J. (1988), “Privatización de la empresa pública en México 1983-1988”, Momento Económico, 41-42, 22-25.
Giddens, A. (ed.) (1974), Positivism and Sociology, Heinemann Educational Publishers, Londres.
__________ (1982), “Class Structuration and Class Consciousness”, en A. Giddens y D. Held (eds.), Classes, Power, and Conflict, University of California Press, Berkeley, pp. 157-174.
__________ (2009), ¿Un modelo social para Europa? En Europa global, Europa social, Universidad de Valencia, pp. 49-78.
Goldthorpe, J. H. (1987), Social Mobility and Class Structure in Modern Britain, Oxford, Clarendon Press, Oxford.
Goodman, L. A. (2007), “On the Assignment of Individuals to Latent Classes”, Sociological Methodology, 37, 1-22.
Gough, I., y G. R. Cabrero (1982), Economía política del Estado de Bienestar, H. Blume Ediciones, Madrid.
Hall, P. A., y D. Soskice (eds.) (2001), Varieties of Capitalism: The Institutional Foundations of Comparative Advantage, OUP Oxford, Cambridge, Massachusetts.
Instituto Nacional de Estadística y Geografía (INEGI) (2013), “Cuantificando la clase media en México: un ejercicio exploratorio”. Disponible en: http://www.inegi.org.mx/inegi/contenidos/investigacion/Experimentales/Clase_media/doc/clase_media_resumen.pdf
__________ (2000), Encuesta Nacional de Ingresos y Gastos de los Hogares, documento metodológico, INEGI, México.
__________ (2002), Encuesta Nacional de Ingresos y Gastos de los Hogares, documento metodológico, INEGI, México.
__________ (2004), Encuesta Nacional de Ingresos y Gastos de los Hogares, documento metodológico, INEGI, México.
__________ (2005), Encuesta Nacional de Ingresos y Gastos de los Hogares, documento metodológico, INEGI, México.
__________ (2006), Encuesta Nacional de Ingresos y Gastos de los Hogares, documento metodológico, INEGI, México.
__________ (2008), Encuesta Nacional de Ingresos y Gastos de los Hogares, documento metodológico, INEGI, México.
__________ (2010), Encuesta Nacional de Ingresos y Gastos de los Hogares, documento metodológico, INEGI, México.
Judt, T. (2011), Algo va mal, Alianza, Madrid.
Kharas, H. (2010), “The Emerging Middle Class in Developing Countries”, documento de trabajo núm. 285, ocde.
Kliksberg, B. (2002), “Hacia una nueva visión de la política social en América Latina: desmontando mitos”, Papeles de población, 8 (34), 9-42.
López-Calva, L. F. (2012), “Middle Classes, Pragmatism, and the Social Contract in Latin America”, VoxLACEA. Disponible en: http://vox.lacea.org/?q=classes-social-LA
López-Calva, L. F., y N. Lustig (2010), “Explaining the Decline in Inequality in Latin America: Technological Change, Educational Upgrading and Democracy”, en L. F López-Calva y N. Lustig (eds.), Declining Inequality in Latin America: A Decade of Progress?, Brookings Institution Press, Washington, D. C.
López-Calva, L. F., y E. Ortiz-Juarez (2011), “A Vulnerability Approach to the Definition of the Middle Class”, documento de trabajo núm. WPS 5902, Banco Mundial.
López-Calva, L. F., G. Cruces, E. Ortiz-Juárez y S. Lach (2014), “Clases medias y vulnerabilidad a la pobreza. Reflexiones desde América Latina”, El Trimestre Económico, 81 (322). Disponible en: http://www.eltrimestreeconomico.com.mx/index.php/te/article/view/115/115
Milanovic, B., y S. Yitzhaki (2002), “Decomposing World Income Distribution: Does the World Have a Middle Class?”, Review of Income and Wealth, 48 (2), 155-178.
Molina, L. (2015), “¿Dónde está la clase media?”, en Economistas frente a la crisis. Disponible en: http://economistasfrentealacrisis.com/donde-esta-la-clase-media/
Morales, H., y M. Reyes (2017), “Control familiar, flujos de información y capitalismo de amigos en México”, Clivajes. Revista de Ciencias Sociales, 4 (7), 50-69.
Moreno, A. (2005), “Empleo de la mujer y familia en los regímenes de bienestar del sur de Europa en perspectiva comparada. Permanencia del modelo del varón sustentador”, Revista Española de Investigaciones Sociológicas, 112, 131-163.
Moreno, H. M., C. E. Ferrer, M. A. C. Jiménez y M. R. Hernández (2012), La nacionalización de la banca mexicana como mecanismo de reconfiguración de los grupos económicos, CEEY, México.
Muller, C., y A. N. Aziz-Junior (2017), Latent Social Classes: Disappearance of the Egyptian’s Upper Middle Class and the Political Transition, documento de trabajo, A*MIDEX project, Aix-Marseille Université.
Navarro, V. (s/a), “El estado de bienestar en España”. Disponible en: http://www.ub.edu/ciudadania/hipertexto/bienestar/textos/espana.htm
Obregón, J. M. C. (2010), “Una visión multidimensional de la noción de clase social”, Revista de Antropología y Sociología: Virajes, 12, 63.
Observatorio de Salarios (2014), Informe 2014 del Observatorio de Salarios de la Universidad Iberoamericana, Universidad Iberoamericana, Puebla.
__________ (2016), Informe 2016 del Observatorio de Salarios de la Universidad Iberoamericana, Universidad Iberoamericana, Puebla.
Partridge, M. D. (1997), “Is Inequality Harmful For Growth? Comment”, American Economic Review, 87 (5), 1019-1032.
Ravallion, M. (2010), “The Developing World’s Bulging (but Vulnerable) Middle Class”, World Development, 38 (4), 445-454.
Reyes, H. M. (2011), Análisis Político. Los salarios en México, Fundación Friedrich Ebert Siftung, México.
Reyes, M., y M. López (2016), “El método de bienestar socioeconómico (MBS) como alternativa para la medición multidimensional de la pobreza: una visión desde los salarios”, Acta Sociológica, 70, 245-270.
Reyes, M., A. Cerón y M. López (2016), “México: un país que no se mueve. Un análisis de movilidad social a partir de un enfoque de clases”, Panorama Económico, 7 (23), 87-122.
Reyes, M., G. Teruel, M. López, E. Minor, L. Reyes, M. Moreno y E. Bermejo (2017), “México: País de pobres y no de clases medias”, infografía, Fundación Konrad Adenauer, Universidad Iberoamericana, México.
Reyes, M., y W. Romero (coords.) (2017), “Los mercados laborales, la pobreza y la desigualdad”, informe de la red de desigualdad y pobreza Ausjal, Universidad Iberoamericana Puebla y Asociación de Universidades Confiadas a la Compañía de Jesús, Puebla, México.
Romero, J. A. (2013), “La industrialización como motor de crecimiento”, en G. Oropeza (coord.), México frente a la tercera revolución industrial, UNAM, México.
Sacristán Roy, E. (2006), “Las privatizaciones en México”, Economía UNAM, 3 (9), 54-64.
Solimano, A. (2005), “Hacia nuevas políticas sociales en América Latina”, Revista de la CEPAL, 87 (45), 45-60.
__________ (2008), “The Middle Class and the Development Process”, Macroeconomía del Desarrollo, 65, cepal.
__________ (2009), “Stylized Facts on the Middle Class and the Development Process”, en A. Estache y D. Leipziger (eds.), Stuck in the Middle. Is Fiscal Policy Failing the Middle Class?, Brookings Institution Press, Washington, D. C.
Székely, M. (2005), “Pobreza y desigualdad en México entre 1950 y el 2004”, El Trimestre Económico, 72 (288), 913-931.
Teruel, G., y M. Reyes (2016), “Desigualdad y estancamiento económico: los pendientes de la globalización en tiempos de crisis”, Revista de la Universidad Iberoamericana, Ciudad de México, 45, 2-52.
Wright, E. O. (1979), Class Structure and Income Determination, Academic Press, Nueva York.
Notas