Artículos de Investigación
CRUSTÁCEOS DECÁPODOS DE LA CUENCA DEL RÍO SINÚ, CÓRDOBA, COLOMBIA
Decapod Crustaceans of the Sinu River Basin, Cordoba, Colombia
CRUSTÁCEOS DECÁPODOS DE LA CUENCA DEL RÍO SINÚ, CÓRDOBA, COLOMBIA
Acta Biológica Colombiana, vol. 21, núm. 3, pp. 601-610, 2016
Universidad Nacional de Colombia

Recepción: 28 Febrero 2015
Revisado: 17 Septiembre 2015
Aprobación: 17 Noviembre 2015
Resumen: Para evaluar la composición, abundancia y distribución de los crustáceos decápodos en la cuenca del río Sinú, departamento de Córdoba (Colombia), se estudiaron ocho localidades: cuatro en el río Sinú y cuatro en el complejo cenagoso del bajo Sinú. Para ello, se realizaron seis muestreos entre abril de 2005 y mayo de 2006. En total se registraron 458 crustáceos decápodos distribuidos en tres familias, seis géneros y ocho especies. La familia mejor representada fue Trichodactylidae con cuatro géneros y cuatro especies, seguida de Palaemonidae con un género y tres especies, mientras que de la familia Atyidae solo registró una especie. Especies como Macrobrachium carcinus y M. acanthurus, presentaron el rango más amplio de distribución, siendo características tanto para el río Sinú como para el CCBS. Entre las especies identificadas, Atya crassa en el río Sinú y Trichodactylus quinquedentatus en el CCBS son nuevos registros para el departamento de Córdoba.
Palabras clave: Brachyura, camarones, cangrejos, distribución, ecología, fauna colombiana.
Abstract: To review the composition, abundance and distribution of decapod crustaceans in the Sinu river basin, Department of Cordoba (Colombia) eight locations were studied: four on the Sinu River and four in the Low Complex Swampy Sinu. For that, six samplings between April 2005 and May 2006 were made. In total 458 decapod crustaceans were recorded distributed into three families, six genus and eight species. The family best represented was Trichodactylidae with four genus and four species, followed by Palaemonidae with one genus and three species, while family Atyidae recorded only one species. Species such as Macrobrachium carcinus and M. acanthurus presented the wider range of distribution for both the Sinu River as the Low Complex Swampy Sinu. Among the identified species Atya crassa in the Sinu River and Trichodactylus quinquedentatus in the Low Complex Swampy Sinu are new records for the Department of Cordoba.
Keywords: Brachyura, Colombian fauna, crabs, distribution, ecology, shrimps.
Citation/Citar este artículo como: Quirós-Rodríguez JA, Ballesteros Correa J, Pastor Sierra K, Dueñas Ramírez P.Crustáceos decápodos de la cuenca del Río Sinú, Córdoba, Colombia. Acta biol. Colomb. 2016;21(3):601-610. DOI: https://doi.org/10.15446/abc.v21n3.49401
INTRODUCCIÓN
El conocimiento de la diversidad de crustáceos decápodos en Colombia, se ha centrado fundamentalmente en los ecosistemas marinos, por su parte la información sobre los decápodos de agua dulce en el país, está representada por 132 especies de las familias Palaemonidae, Atyidae, Trichodactylidae y Pseudothelphusidae (Campos, 2014). De los pocos estudios de ecología en decápodos, se destacan los realizados en camarones del género Macrobrachium para Colombia, incluyendo algunos registros para Córdoba (Valencia y Campos, 2004; Valencia y Campos, 2007); asimismo, se registra por primera vez algunos cangrejos y camarones de agua dulce en ecosistemas acuáticos en el territorio de Córdoba (Campos, 2005; Dueñas et al., 2012). Campos (2010a) presentó los resultados del estudio de crustáceos decápodos en las ciénagas de Ayapel, Lorica, El Porro y Cintura, Córdoba, y Quirós et al. (2012) registraron a Potimirin potimirin en la localidad de Puerto Escondido, Córdoba.
En Colombia los ambientes acuáticos advierten una progresiva degradación de las fuentes de agua continental, y factores como la contaminación, deforestación y sedimentación han llegado a afectar significativamente las comunidades de decápodos, especialmente aquellas con un intervalo limitado de distribución geográfica (Cumberlidge et al., 2009; Dueñas et al., 2012). Recientemente, el cangrejo de agua dulce Neostrengeria macropa se incluyó en el libro rojo de los invertebrados de Colombia como especie vulnerable (VU) en los alrededores de lagunas o embalses de la Sabana de Bogotá (Campos, 2005). Por otro lado, la introducción accidental o intencional de especies foráneas, es una amenaza para la fauna nativa que en la mayoría de los casos, afecta negativamente la estructura y composición de las comunidades acuáticas así como en su funcionamiento a escala local y regional (Rodríguez y Suárez, 2001).
Con el fin de aportar al conocimiento de los crustáceos decápodos en el departamento de Córdoba, esta investigación ofrece información acerca de la composición, abundancia y distribución de esta fauna en dos sectores de la cuenca del río Sinú, teniendo en cuenta en un sector el río Sinú y en el otro el complejo cenagoso del bajo Sinú (CCBS).
MATERIALES Y MÉTODOS
Área de estudio
La cuenca del río Sinú está ubicada al noreste de Colombia, entre las coordenadas 7o49'-9o26' N y los 75o20'-76o29' O (Palacio y Restrepo, 1999). El río Sinú, con 415 km de longitud, nace en el nudo del Paramillo a más de 3000 m s.n.m. y su cuenca hidrográfica se extiende por 13700 km2 hacia el mar Caribe, de los cuales 12200 km2 están en el departamento de Córdoba y los otros 1500 km2 pertenecen al departamento de Antioquia (Palacio y Restrepo, 1999). La cuenca del río Sinú se divide en sectores geomorfológicos que condicionan su dinámica y evolución (Acosta, 2013), con un régimen de precipitación de tipo unimodal biestacional y distintos niveles promedio anual: Alto Sinú 4000 mm, Medio Sinú 1400 mm y Bajo Sinú 1225 mm (Serrano, 2004).
Muestreos
Se realizaron seis muestreos entre abril-2005 y mayo-2006, distribuidos en los dos periodos climáticos del año. Se recolectó material en ocho estaciones de muestreo, cuatro estaciones se ubicaron a lo largo del río Sinú; Tierralta, Garzones, Cotocá y Lorica (Fig. 1A) y otras cuatro en el CCBS; La Pacha, Baño, Lorica y Momil (Fig. 1B). La captura de los crustáceos decápodos se realizó de manera manual entre la vegetación riparia o cerca de los cuerpos de agua, también se utilizó para la recolección una red de mano y un chinchorro camaronero con abertura de malla de 1,2 cm. Los especímenes recolectados fueron preservados en etanol al 70 % y rotulados para su posterior determinación taxonómica.

a) río Sinú; E1Tierralta, E2 Garzones, E3 Cotocá, E4 Lorica. b) CCBS; E5 La Pacha, E6 Baño, E7 Lorica, E8 Momil.
Los especímenes fueron identificados con base en las claves taxonómicas de Escobar (1979), Rodríguez (1992), Magalhães y Türkay (1996), Valencia y Campos (2004), Campos (2005) y Valencia y Campos (2007), y posteriormente depositados en la colección de Crustáceos del Instituto de Ciencias Naturales (ICN-MHN-CR 2375, 2376, 2380, 2382-2385) y el Laboratorio de Zoología de la Universidad de Córdoba (LZUC-ARCR 0,001-0,008).
Análisis de los datos
Para estandarizar los muestreos realizados en el río Sinú y el CCBS, se realizaron curvas de rarefacción, las cuales permitieron hacer comparaciones de la abundancia y el número de especies entre los sectores de estudio; estas curvas se construyeron usando el programa PAST 1.90 (Hammer et al., 2001). El esfuerzo de muestreo y los valores de riqueza específica fueron evaluados con las curvas de acumulación basadas en el número de especies por muestreo, utilizando EstimateS 9.1. (Colwell, 2013). Con el fin de evaluar la diversidad alfa en cada sector, se calcularon los índices de uniformidad de Pielou (U), dominancia de Simpson (λ) y diversidad de Shannon-Wiener (H'), a través del programa PRIMER-E v6 (Clarke y Gorley, 2006).
Asimismo, se estimó el coeficiente de complementariedad propuesto por Colwell y Coddington (1994). Los valores de este índice oscilan entre cero cuando ambos sitios son idénticos en composición de especies y uno cuando el listado de especies es totalmente distinto.
RESULTADOS
Se registró un total de 458 especímenes incluidos en tres familias, seis géneros y ocho especies de crustáceos decápodos en el área de estudio. La familia con la mayor riqueza de especies fue Trichodactylidae con cuatro géneros y cuatro especies: Trichodactylus quinquedentatus, Sylviocarcinus piriformis, Bottiella medemi y Poppiana dentata (Fig. 2A-D), seguido de Palaemonidae con un género y tres especies: Macrobrachium acanthurus, M. carcinus y M. olfersii (Fig. 2E-G), y finalmente Atyidae con una especie: Atya crassa. Entre las especies identificadas, A. crassa (Fig. 2H) para el río Sinú y T. quinquedentatus para el CCBS, son nuevos registros para el departamento de Córdoba.

A) Trichodactylus quinquedentatus; B) Sylviocarcinus piriformis; C) Bottiella medemi; D) Poppiana dentata; E) Macrobrachium acanthurus; F) Macrobrachium carcinus; G) Macrobrachium olfersii; H) Atya crassa.
Para el río Sinú se registraron 213 individuos pertenecientes a tres familias y cinco especies de decápodos (Tabla 1): Palaemonidae (tres especies), Trichodactylidae (una especies) y Atyidae (una especie). La especie más abundante fue S. piriformis (63,8 %), seguida de M. carcinus (23,5 %), M. acanthurus (6,6 %), M. olfersii (4,2 %) y A. crassa (1,9 %) (Fig. 3A). Mientras que, para en el CCBS se registraron 245 individuos pertenecientes a dos familias, Trichodactylidae (cuatro especies) y Palaemonidae (dos especies). T. quinquedentatus fue la especie más abundante (46,5 %), seguida de B. medemi (26,1 %), M. acanthurus (22,4 %), M. carcinus (3,7 %), P. dentata (0,8 %) y S. piriformis (0,4 %) (Fig. 3B).


A) río Sinú, B) complejo cenagoso del bajo Sinú (CCBS).
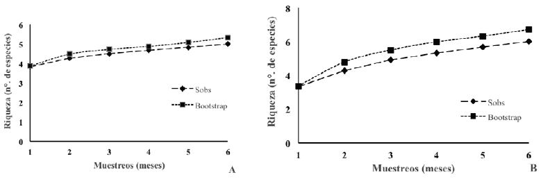
Las curvas de rarefacción presentaron una pendiente baja, que indica una poca riqueza de especies, principalmente en el río Sinú. El CCBS mostró una curva de mayor pendiente y riqueza específica, el cual es concordante con el mayor valor de diversidad calculado con el índice de Shannon-Wiener (H') para este sitio (Fig. 4). El estimador no paramétrico Bootstrap indicó que la representatividad del inventario estuvo por encima del 90 % para el río Sinú y del 80% para el CCBS, mostrando una alta eficiencia de los muestreos en el área de estudio (Fig. 5A-B). La complementariedad o recambio promedio, indica que la fauna de crustáceos decápodos tiene alrededor del 50 % de similitud en composición de especies entre los dos sectores estudiados (Tabla 2).


A) río Sinú, B) complejo cenagoso del bajo Sinú (CCBS).

El valor de uniformidad fue ligeramente mayor en el CCBS (U = 0,68), lo cual fue consistente con el valor del índice de Shannon-Wiener (H'= 1,77). El mayor valor de dominancia se registró en el río Sinú, tomando como base el índice de Simpson (λ = 0,47). Esto se explica porque del total recolectado en este ecosistema lótico, el mayor porcentaje (63,8 %) de los individuos pertenece a la especie S. piriformis (Tabla 2). Se encontró que de las ocho especies de crustáceos decápodos registradas, tres de ellas estuvieron representadas en los dos sectores de muestreo (M. acanthurus, M. carcinus y S. piriformis). El CCBS mostró como especie exclusiva a P. dentata, mientras que para el río Sinú lo fue A. crassa.
En el río Sinú, Tierralta (E1) registró la mayor abundancia de M. olfersii, a diferencia de Lorica (E4), en la cual, se destacó M. acanthurus. La especie S. piriformis mostró la mayor abundancia en Cotocá (E3), y el menor valor en Garzones (E2). Es importante anotar, que en las cuatro estaciones, M. carcinus presentó abundancias similares, mientras que la familia Atyidae fue la menos destacada (Fig. 6). En el CCBS, en todas las estaciones de muestreo excepto Momil (E8), se registró un dominio de T. quinquedentatus, mientras que en esta última, se destacó por su abundancia, la especie M. acanthurus. En La Pacha (E5), Lorica (E7) y Momil (E8), se presentó una abundancia relativamente similar de B. medemi, mientras en Baño (E6) se registró solamente, un individuo de la especie S. piriformis (Fig. 6).

E1: Tierralta, E2: Garzones, E3: Cotocá, E4: Lorica. CCBS; E5: La Pacha, E6: Baño, E7: Lorica, E8: Momil.
DISCUSIÓN
Esta investigación constituye uno de los primeros esfuerzos de estudios taxonómicos y ecológicos que aportan al conocimiento de los decápodos en la cuenca hidrográfica del Sinú, con ocho especies de decápodos registrados. Este valor no difiere al de los registros documentados por estudios realizados en Casanare y la región de Acandí, Colombia (Triana y Campos, 2007; Campos, 2010b), los cuales registraron seis especies. El número total de especies, tanto de cangrejos como de camarones, fue menor al compararlo con el estudio de Pereira et al. (2009), donde recolectaron en la cuenca del río Orinoco (Colombia-Venezuela) un total de 46 especies de decápodos dulceacuícolas, 25 camarones y 21 cangrejos. Sin embargo, es importante tener en cuenta que el número de especies varía de acuerdo con las características ambientales del área y el tamaño de la muestra, por lo que es difícil establecer comparaciones entre los diferentes estudios realizados en Colombia.
La relación entre la riqueza observada y la estimada con el índice Bootstrap, con 92,9 % para el río Sinú y 86,6 % para el CCBS, indican que los muestreos fueron representativos (Soberón y Llorente, 1993), aunque para el CCBS los índices podrían haber sobreestimado su riqueza, por la influencia de las especies raras (Longino et al., 2002). Es probable que algunos camarones como M. carcinus y M. acanthurus, se comporten como especies generalistas en la elección del hábitat y ocupen desde áreas rocosas con fuertes corrientes de agua, hasta zonas intervenidas con alta sedimentación y cobertura de plantas acuáticas flotantes, características presentes en la cuenca del río Sinú (Cataño et al., 2008; Pérez et al., 2015).
Las diferencias observadas entre los dos sectores pueden ser explicadas principalmente por la disponibilidad de hábitat, los recursos alimenticios, la sedimentación y las características del sustrato, los cuales tiene incidencia directa sobre las especies de crustáceos decápodos en la cuenca del río Sinú (Quirós et al., 2010). La diversidad más alta se presentó en el CCBS, lo que parece indicar la influencia de la cobertura vegetal en la distribución de los decápodos en ecosistemas lénticos (Collins et al., 2006). El índice de complementariedad entre los dos sectores analizados, permiten determinar un bajo porcentaje de especies de decápodos compartidos, sugiriendo que cada sector alberga una fauna en particular, lo que podría explicar una mayor tasa de recambio de especies.
En todas las estaciones del río Sinú se capturó S. piriformis, lo que la hace una especie típica a lo largo de todo el gradiente altitudinal estudiado. Campos (2005) ubicó a esta especie en un intervalo de 120 a 570 m s.n.m., contrastando con la distribución registrada en el presente estudio (12 y 90 m s.n.m), lo que sugiere la presencia de esta especie en un intervalo altitudinal más bajo, el cual, es de gran importancia para este crustáceo, como área de crianza y protección de las larvas.
A lo largo del río Sinú, algunas especies de palemónidos como M. carcinus y M. acanthurus, son de importancia comercial para los pobladores de la región por su abundancia y tamaño, incrementándose su consumo durante la época seca, situación que concuerda con la registrada en Acandí (Choco) por Triana y Campos (2007). Las hembras ovadas de estos camarones utilizan los tributarios y efluentes para realizar sus migraciones hacia las partes más bajas del río, con el fin de liberar sus larvas en condiciones ambientales favorables (Jalihal et al., 1993; Rome et al., 2009). Este proceso de alta conectividad entre la zona alta, media y baja del río Sinú, se debe al mayor volumen de agua durante la época de lluvias; en contraste con la separación que se presenta entre varias localidades del río durante la época seca. Este patrón coincide con la redistribución en abundancia de algunas especies de palemónidos a lo largo del río y es similar a lo propuesto por Mejía-Ortiz y Álvarez (2010) entre diferentes zonas del río Huitzilapan, México.
Esta situación es importante para los pobladores que aprovechan los meses de menor volumen de agua (época seca) para llevar a cabo la captura de camarones de grandes tallas como M. carcinus y M. acanthurus e incluso de atyidos, un caso similar al registrado por Triana y Campos (2007) en la región de Acandí, donde en encuestas elaboradas a los pobladores de la zona, revelan la captura y consumo de estas mismas especies, durante la época seca del año.
En el CCBS se observó una mayor abundancia de cangrejos de la familia Trichodactylidae, la cual sugiere la posibilidad de poblaciones mejor adaptadas a condiciones de mayor carga orgánica y sustratos con una mayor incidencia de factores dinámicos. Según Collins et al. (2006) y Quirós et al. (2010), las raíces sumergidas y tallos de las plantas acuáticas vasculares de las ciénagas, proporcionan numerosos hábitats, refugio y alimento, ofreciendo una gama de alternativas para ser colonizadas por un gran número de cangrejos y otros crustáceos, justificando las altas abundancias T. quinquedentatus y B. medemi en las estaciones que conforman este sector.
La riqueza de cangrejos de agua dulce (Trichodactylidae) en la cuenca del río Sinú fue relativamente similar al compararla con la evaluación ecológica rápida realizada en algunos países de Sudamérica, donde registraron cuatro especies (uno Pseudothelphusidae y tres Trichodactylidae) en la cuenca alta y media del río Caura, Venezuela (Magalhães y Pereira, 2003); cinco especies (tres Pseudothelphusidae y dos Trichodactylidae) en el río superior Essequibo, Guayana (Lasso et al., 2003); cinco especies (dos Pseudothelphusidae y tres Trichodactylidae) en la parte alta del río Cuyuní, Venezuela (Mora-Day et al., 2009); cuatro especies (uno Pseudothelphusidae y tres Trichodactylidae) en el río Pastaza, Ecuador y Perú (Magalhães, 2005); tres especies (uno Pseudothelphusidae y dos Trichodactylidae) en la confluencia de los ríos Orinoco y Ventuari, Venezuela (Pereira y García, 2006); y tres especies (uno Pseudothelphusidae y dos Trichodactylidae) en el río Coppename, Surinam (Pereira y Berrestein, 2006). Estas comparaciones, especialmente cuando se toman en consideración el área cubierta por los estudios anteriormente mencionados, revelan que la cuenca del río Sinú, con sus cuatro especies de cangrejos de agua dulce, puede ser considerada como un sistema relativamente pequeño y medianamente diverso.
CONCLUSIONES
Las poblaciones de crustáceos decápodos de agua dulce residentes en la cuenca del río Sinú difieren en relación con la abundancia de especies, particularmente porque S. piriformis dominan en el río Sinú, mientras que M. acanthurus lo hace en el complejo cenagoso del bajo Sinú. La riqueza y abundancia de especies fue mayor en el CCBS probablemente por el alto número de hábitat y abundantes recursos alimenticios para los crustáceos decápodos. Finalmente, entre las especies identificadas, A. crassa para el río Sinú y T. quinquedentatus para el CCBS, son nuevos registros para el departamento de Córdoba.
Agradecimiento
Los autores agradecen a la Oficina de Investigación y Extensión de la Universidad de Córdoba, por el apoyo económico para la realización de esta investigación, a través del proyecto "Cambios estacionales en las poblaciones de crustáceos decápodos asociados a ecosistemas marinos y continentales del departamento de Córdoba". A la profesora Martha R. Campos ICN-MHN-CR, por la identificación del material biológico recolectado en la cuenca del río Sinú. A los dos revisores anónimos por sus valiosos aportes y críticas al manuscrito original.
Referencias
Acosta K. La economía de las aguas del río Sinú. Cartagena: Banco de la Republica, Centro de Estudios Económicos regionales (CEER); 2013. 55 p.
Campos M. Freshwater crabs from Colombia. A taxonomic and distributional study. Bogotá: Academia Colombiana de Ciencias Exactas Físicas y Naturales; 2005. p. 364.
Campos M. Crustáceos. In: Rangel Ch JO, editor. Colombia Diversidad Biótica IX Ciénagas de Córdoba: Biodiversidad, ecología y Manejo Ambiental. Bogotá: Instituto de Ciencias Naturales-Universidad Nacional de Colombia; 2010a. p. 365-358.
Campos M. Estudio taxonómico de los crustáceos decápodos de agua dulce (Trichodactylidae, Pseudothelphusidae) de Casanare, Colombia. Rev Acad Colomb Cienc. 2010b;34(131):257-266.
Campos M. Crustáceos decápodos de agua dulce de Colombia. Bogotá: Universidad Nacional de Colombia; 2014. p. 58-93.
Cataño Y, Quirós J, Arias J, Novoa J, Genes F. Estudio de la vegetación acuática en un área de inundación de la ciénaga grande del bajo Sinú, sector Purísima, departamento de Córdoba, Colombia. Rev Asoc Col Cienc Biol. 2008;20(1):34-47.
Clarke K, Gorley R. PRIMER v.6: User Manual / Tutorial. PRIMER-E Ltda. UK: Plymouth; 2006. 192 p.
Colwell R. EstimateS: Statistical estimation of species richness and shared species from samples Version 9.1. User's Guide and application [Internet]. 2013; [updated14 jun 2014; cited 11 jan 2015]. Available at: http://www.viceroy.eeb.uconn.edu/estimates .
Colwell R, Coddington J. Estimating terrestrial biodiversity through extrapolation. Philos Trans R Soc Lond. 1994;345(1311):101-118. Doi: 10.1098/rstb.1994.0091.
Collins PA, Giri F, Williner V. Population dynamics of Trichodactylus borellianus (Crustacea, Decapoda, Brachyura) and interactions with the aquatic vegetation of the Paraná River (South America, Argentina). Ann Limnol IntJ Lim. 2006;42(1):19-25. Doi: 10.1051/limn/2006001.
Cumberlidge N, Peter KL, Darren CJ, Magalhães C, Campos MR, Álvarez F, et al. Freshwater crabs and the biodiversity crisis: Importance, threats, status, and conservation challenges. Biol Conserv. 2009;142(8):1665-1673. Doi: 10.1016/j.biocon.2009.02.038.
Dueñas P, Campos N, Quirós J. Los crustáceos decápodos del departamento de Córdoba, Colombia: Biodiversidad de la fauna de crustáceos decápodos del Caribe colombiano. Saarbrücken: Editorial Académica Española; 2012. 258 p.
Escobar JG. Carídeos (Palaemonidae y Atyidae) en los ríos de la región de Santa Marta. An Inst Invest Mar Punta de Betín. 1979;11:93-134.
Hammer O, Harper DT, Ryan PD. PAST: Paleontological statistics software package for education and data analysis. Palaeontol Electron. 2001;4(1):1-9.
Jalihal DR, Sankolli KN, Shenoy S. Evolution of larval developmental patterns and the process of freshwaterization in the prawn genus Macrobrachium. Crustaceana. 1993;65(3):365-376. Doi: 10.1163/156854093X00793.
Lasso CA, Chernoff B, Magalhães C. Peixes e ecologia de água doce. In: Huber O, Foster M, editors. Prioridades de Conservação para o Escuda das Guianas. Washington D.C.: Conservation International; 2003. p. 9-11.
Longino JT, Coddington J, Colwell RK. The ant fauna of a tropical rain forest: estimating species richness three different ways. Ecology. 2002;83(3):689-702.
Magalhães C. Macrocrustacean survey of selected localities in the rio Pastaza basin in Ecuador and Perú: diversity, habitat, zoogeographical aspects and conservation implications. In: Willink PW, Chernoff B, McCullough J, editors. A rapid biological assessment of the aquatic ecosystems of the Pastaza river basin, Ecuador and Peru. Washington D.C.: RAP Bulletin of Biological Assessment; 2005. p. 67-74.
Magalhães C, Pereira G. Decapod crustaceans survey in the middle río Caura Basin: species richness, habitat, zoogeographical aspects and conservation implications. In: Chernoff B, Machado-Allison A, Riseng K, Montambault J, editors. A biological assessment of the aquatic ecosystems of the Caura river basin, Bolívar state, Venezuela. Washington D.C.: RAP Bulletin of Biological Assessment; 2003. p. 151-159.
Magalhães C, Türkay M. Taxonomy of the neotropical freshwater crab family Trichodactylidae. I. The generic system with description of some new genera (Crustacea: Decapoda: Brachyura). Senckenberg Biol. 1996;75:63-95.
Mejía-Ortiz L, Álvarez F. Seasonal patterns in the distribution of three species of freshwater shrimp, Macrobrachium spp., along an altitudinal river gradient. Crustaceana. 2010;83(4):385-397. Doi: 10.1163/001121610X489368.
Mora-Day J, Magalhães C, El Souki M, Blanco L. Macroinvertebrados acuáticos de los ríos Cuyuní y Uey, cuenca del Cuyuní, estado Bolívar, Venezuela. In: Lasso CA, Señaris JC, Rial A, Flores AL, editors. Evaluación rápida de la biodiversidad de los ecosistemas acuáticos de la cuenca alta del rio Cuyuní, Guayana Venezolana. Washington D.C.: RAP Bulletin of Biological Assessment; 2009. p. 89-105.
Palacio H, Restrepo A. Influencia del delta del río Sinú en los procesos morfodinámicos del litoral Caribe Antioqueño (Trabajo de grado). Montería: Departamento de Ingeniería Civil, Facultad Nacional de Minas, Universidad de Córdoba; 1999. 142 p.
Pereira G, Berrestein HJ. A survey of the aquatic invertebrates of the Coppename River, Central Suriname Nature Reserve. In: Alonso LE, Berrestein HJ, editors. A rapid biological assessment of the aquatic ecosystems of the Coppename River basin, Suriname. Washington D.C.: RAP Bulletin of Biological Assessment; 2006. p. 56-66.
Pereira G, García JV. Comunidad de crustáceos de la confluencia de los ríos Orinoco y Ventuari, Estado Amazonas, Venezuela. In: Lasso CA, Señarìs JC, Alonso LE, Flores A, editors. Evaluación rápida de la biodiversidad de los ecosistemas acuáticos en la confluencia de los ríos Orinoco y Ventuari, estado Amazonas, Venezuela. Washington D.C.: RAP Bulletin of Biological Assessment; 2006. p. 105-113.
Pereira G, Lasso CA, Mora-Day J, Magalhães C, Morales-Betancourt MA, Campos M. Lista de los crustáceos decápodos de la cuenca del rio Orinoco (Colombia-Venezuela). Biota Colomb. 2009;10(1-2):75-87.
Pérez N, Arias J, Quirós J. Variación espacio-temporal de las plantas vasculares acuáticas en el complejo cenagoso del Bajo Sinú, Córdoba, Colombia. Acta biol Colomb. 2015;20(3):155-165. Doi: 10.15446/abc.v20n3.45380.
Quirós J, Dueñas R, Ballesteros J. Macroinvertebrados asociados a las raíces de Eichhorina crassipes (Mart.) Solms, en dos sectores del complejo cenagoso del Bajo Sinú, departamento de Córdoba, Colombia. Rev Asoc Col Cienc. 2010;22(1):147-157.
Quirós J, Dueñas R, Campos N. Crustáceos decápodos asociados a ensamblajes macroalgales en el litoral rocoso de Córdoba, Caribe Colombiano. Rev MVZ Córdoba. 2012;17(1):2834-2845.
Rodríguez G. The freshwater crabs of America. Family Trichodactylidae and Supplement to the Family Pseudothelphusidae. Faune tropicale XXXI. Paris: Editorial l'ORSTOM; 1992. 189 p.
Rodríguez G, Suárez H. Anthropogenic dispersal of decapod crustaceans in aquatic environments. Interciencia. 2001;26:282-288.
Rome NE, Conner SL, Bauer RT. Delivery of hatching larvae to estuaries by an amphidromous river shrimp: tests of hypothesis based on larval moulting and distribution. Freshw Biol. 2009;54(9):1924-1932. Doi: 10.1111/j.1365-2427.2009.02244.x.
Serrano B. The Sinú River delta on the northwestern Caribbean coast of Colombia: Bay infilling associate with delta development. J South Am Earth Sci. 2004;16(7):623-631. Doi: 10.1016/j.jsames.2003.10.005.
Soberón J, Llorente J. The use of species accumulation functions for the prediction of species richness. Conserv Biol. 1993;7(3):480-488. Doi: 10.1046/j.1523-1739.1993.07030480.x.
Triana D, Campos M. Nuevos registros de crustáceos, decápodos de agua dulce, (Trichodactylidae, Pseudothelphusidae, Atyidae, Palaemonidae), en la región de Acandí. Rev Acad Colomb Cienc. 2007;31(120):425-434.
Valencia D, Campos M. Estudio taxonómico de las especies del género Macrobrachium Bate, 1868 (Crustacea: decápoda: Palaemonidae) en Colombia. Acta biol Colomb. 2004;9(2):122-123.
Valencia D, Campos M. Freshwater prawns of the genus Macrobrachium Bate, 1868 (Crustacea: Decapoda: Palaemonidae) of Colombia. Zootaxa. 2007;1456:1-44.
Notas de autor
alexander_quiroz@hotmail.com
Información adicional
Associate Editor: José Rolando
Bastida Zavala