Artículos de Investigación
COMUNIDADES DE MACRÓFITAS EN RÍOS ANDINOS: COMPOSICIÓN Y RELACIÓN CON FACTORES AMBIENTALES
Macrophyte Communities of Andean Rivers: Composition and Relation with Environmental Factors
COMUNIDADES DE MACRÓFITAS EN RÍOS ANDINOS: COMPOSICIÓN Y RELACIÓN CON FACTORES AMBIENTALES
Acta Biológica Colombiana, vol. 22, núm. 1, pp. 45-58, 2017
Universidad Nacional de Colombia

Recepción: 17 Junio 2016
Aprobación: 29 Agosto 2016
Resumen: Los pequeños ríos de los Andes tropicales se han estudiado escasamente y poco se conoce sobre la composición, diversidad y estructura de sus comunidades de macrófitas. En esta investigación se estudiaron las comunidades de plantas acuáticas de 18 pequeños ríos andinos pertenecientes a las cuencas de los ríos La Vieja (Quindío) y Otún (Risaralda) en la ecorregión cafetera colombiana, una de las más afectadas por actividades antrópicas en el país. Se buscó evaluar el efecto del uso del suelo sobre la estructura de las comunidades de macrófitas. Para ello se seleccionaron ríos que nacen y discurren exclusivamente en cada uno de los usos del suelo dominantes en cada cuenca. El muestreo se realizó en dos épocas climáticas distintas del año 2006. La vegetación acuática encontrada en las dos cuencas (54 especies, pertenecientes a 25 familias) presentó riqueza y abundancia menores que las reportadas en otros sistemas acuáticos tropicales y estuvo dominada por especies con alta capacidad de adaptación a ambientes cambiantes o alterados. Se encontró que variables ambientales de los ríos asociadas con el tipo de uso del suelo, como la temperatura, la conductividad y el tipo de sustrato, fueron las que principalmente explicaron la estructura de las comunidades de macrófitas. Los ríos de zonas ganaderas, con dominancia de sustrato fino y valores más altos de temperatura y conductividad, presentaron mayor riqueza y abundancia de especies que los ríos de zonas con uso forestal, caracterizados por una alta cobertura arbórea del cauce, menor temperatura, baja concentración de nutrientes y predominancia de sustrato rocoso.
Palabras clave: Colombia, plantas acuáticas, ríos de montaña, ríos tropicales, usos del suelo.
Abstract: Small streams of tropical Andes have been poorly studied. Therefore, there is little information about the structure, dynamics and function of their macrophyte communities. In this research, aquatic plant communities of 18 Andean streams of La Vieja (Quindío) and Otún (Risaralda) river basins were studied; those are some of the basins most affected by anthropic activities in the country. Streams were selected according to their association with the main land's uses of the region in both basins. The aim of the study was to evaluate the effect of land use on the structure of macrophyte communities. Streams running exclusively through each land use were selected. Sampling was done in two different climatic seasons in 2006. Vegetation found (54 species belonging to 25 families) was dominated by species with high capability of adaptation to changing and disturbed environments. Richness and abundance of macrophytes were lower than those reported in other tropical aquatic systems. Variables associated with land use, such as temperature, conductivity and type of substrate of the streams mainly explained the structure of the macrophyte communities: streams running on meat-cattle areas -with higher temperatures, conductivity and dominance of sandy-slimy substrates- had higher macrophyte species richness and abundance than streams of protected-forest areas, with higher coverage of riparian vegetation, lower temperatures and conductivity and rocky substrates.
Keywords: aquatic plants, Colombia, habitats, land uses, mountain rivers, tropical rivers.
INTRODUCCIÓN
Las comunidades de macrófitas son esenciales para el funcionamiento de los ecosistemas acuáticos (Engelhardt y Ritchie, 2001); no sólo contribuyen a su productividad, sino que, dada su gran plasticidad fenotípica y su alta capacidad de adaptación, pueden colonizar un amplio rango de ambientes, con lo cual incrementan la heterogeneidad espacial de los cuerpos de agua (Mormul et al., 2013). Los hábitats colonizados por macrófitas acuáticas normalmente representan las zonas más diversas, productivas y heterogéneas de los ecosistemas acuáticos (Ali et al., 2007; Chambers et al., 2008) y su presencia contribuye al establecimiento de comunidades de algas, invertebrados y peces, e incluso de especies terrestres de mamíferos y anfibios (Rivera-Rondón et al., 2008; Ferreiro et al., 2013; Carniatto et al., 2014; Gutiérrez y Mayora, 2015). Su rizosfera y lacunae son fundamentales también en el transporte y ciclaje de nutrientes y gases en el agua (Brix, 1993).
Aunque en el Neotrópico se han hecho inventarios detallados de flora acuática (Ferreira et al., 2001; Terneus, 2007; Posada y López, 2011; Ramos et al., 2012; Mormul et al., 2013) y trabajos sobre la ecología de algunas especies (Mitchell y Thomas, 1972) y trabajos sobre la estructura y dinámica de comunidades de macrófitas (Padial et al., 2008; Padial et al., 2009; Souza et al., 2011), el estudio de estas comunidades es todavía escaso en el neotrópico.
En Colombia se destacan los estudios pioneros de Schmidt-Mumm (1988a) y Schmidt-Mumm (1988b), y sus estudios posteriores (Schmidt-Mumm, 2002; Schmidt-Mumm, 2012), así como otros más recientes que se han realizado en sabanas, ciénagas, lagos altoandinos y lagunas de diferentes regiones (Rivera-Rondón et al., 2008; Posada y López, 2011; Ramos-Montaño et al., 2013; Rial, 2013; Fernández et al., 2015; Pérez-Vásquez et al., 2015). Sin embargo, la mayoría de estas investigaciones se han centrado principalmente en cuerpos de agua lénticos. El conocimiento de la diversidad, dinámica y ecología de las comunidades de macrófitas en cuerpos lóticos es todavía incipiente. Con el presente estudio se pretende contribuir al conocimiento de la comunidad de macrófitas en cuerpos lóticos colombianos.
Dentro de la gran diversidad de ambientes lóticos de Colombia en los que se debe abordar el estudio de macrófitas, los ríos de la región andina colombiana, por ser físicamente muy heterogéneos y estar sometidos a una gran variedad de factores tensionantes y de usos del suelo, constituyen un escenario interesante para analizar la diversidad de esta comunidad y su respuesta a diferentes condiciones ambientales. Para abordar este trabajo se planteó entonces la pregunta: ¿el tipo de uso del suelo de la cuenca afecta la estructura (composición y diversidad) de las comunidades de macrófitas de pequeños ríos andinos?. Dado que las características físicas y químicas del agua afectan a las plantas acuáticas, se plantea la hipótesis de que los distintos tipos de uso del suelo promoverán el desarrollo de comunidades con estructuras distintas. Se planteó como objetivo general describir la comunidad de macrófitas y su relación con las variables ambientales en 18 ríos de la zona cafetera colombiana. Como objetivos específicos se definieron los siguientes: a) Determinar las características químicas y fisionómicas de los ríos en los que se encuentran, b) Describir la composición, abundancia y riqueza de las comunidades de macrófitas en los ríos seleccionados, c) Relacionar estas características con la presencia de macrófitas y d) Identificar posibles relaciones entre las macrófitas encontradas en los ríos y los sistemas productivos asociados a ellos.
MATERIALES Y MÉTODOS
Sitio de estudio
Se estudiaron 18 ríos de la zona andina de Colombia, en las cuencas de los ríos Otún y La Vieja (Fig. 1). La primera se ubica entre los municipios de Ulloa y Alcalá, departamento del Valle del Cauca, y la segunda, entre los municipios de Quimbaya y Circasia, departamento del Quindío.
La cuenca del río La Vieja se caracteriza por una alta actividad antrópica con predominancia de la actividad ganadera. La zona estudiada de la cuenca del río Otún está a una mayor altitud y el uso del suelo asociado a los ríos estudiados allí es mayoritariamente de plantaciones forestales, con algunas fincas dedicadas a cultivos de plantas aromáticas.
Para adelantar el estudio se seleccionaron los tres usos del suelo dominantes en cada cuenca y en cada uno de ellos se seleccionaron tres ríos que nacen y discurren exclusivamente sobre ese tipo de uso del suelo. Los patrones de precipitación en las cuencas presentan una distribución típica bimodal de lluvias, con un primer periodo del primero de abril a mayo y el segundo de octubre a noviembre. De acuerdo con esto, en cada uno de los ríos asociados a cada tipo de uso del suelo se realizó un muestreo en el inicio de la estación seca (julio de 2006) y otro durante la estación de lluvias (noviembre de 2006). El diseño de muestreo fue: dos cuencas · tres tipos de uso del suelo · tres ríos · dos periodos de muestreo (Apéndice 1).
En la cuenca del río La Vieja se estudiaron los siguientes usos del suelo: 1) Ganadería semiextensiva con potreros y pastos mejorados para carne (Ganadería de Carne, GC). Este sistema, el predominante en la región, se ubica a bajas altitudes, no presenta cobertura arbórea sobre el cauce y en él los pastos de forraje suelen invadir el cauce de los ríos. 2) Ganadería semiextensiva para producción de leche (Ganadería de Leche, GL). Está conformado por fincas con pastos mejorados y riberas protegidas con vegetación. 3) Cultivos con predominio de café (Coffea arabiga). En la Cuenca del río Otún los usos del suelo estudiados fueron: 1) Cultivos Mixtos con predominio de cebolla (Allium sp.), aromáticas (Ocimum basilicum y otros) y frutales (Musa paradisiaca y otros). 2) Reserva Forestal (RF), constituida por áreas protegidas con bosques muy húmedos secundarios o primarios. 3) Plantación Forestal (PF), representado por plantaciones de Cupressus sp., Pinus sp. y Eucalyptus sp.

Variables ambientales
En cada uno de los ríos seleccionados se eligió aleatoriamente un tramo de 100 a 500 m de longitud para realizar los muestreos de la calidad del agua y de la vegetación acuática y se midieron in situ pH, conductividad (sonda OAKTON), temperatura y oxígeno disuelto (YSI 52). En cada uno de los muestreos se tomó una única muestra de agua superficial para realizar los siguientes análisis de laboratorio (métodos entre paréntesis): alcalinidad (titulométrico H2SO4), DBO (incubación cinco días, electrométrico), turbiedad (nefelométrico), silicatos (colorimétrico–molibdosilicato), fósforo total (PT, colorimétrico – cloruro estañoso), fósforo reactivo soluble (PRS, colorimétrico – cloruro estañoso), nitrógeno total (NT, titulométrico H2SO4), nitrógeno amoniacal (NH4+, colorimétrco - Nesslerización), nitratos (NO3-, colorimétrico), nitritos (NO2-, colorimétrico - NEDA), sólidos suspendidos totales (SS, titulométrico DPD-FAS), sólidos totales (ST, Gravimétrico -105°C), color (comparación visual con patrón) y coliformes totales (UFC). Estas variables se realizaron en el laboratorio Analquim LTDA, en Bogotá, siguiendo métodos normalizados (APHA et al., 2006).
Para caracterizar cada uno de los ríos, el tramo seleccionado fue dividido en seis secciones y en cada una de ellas se tomaron datos morfométricos e hidrológicos. En cada sección se midió el ancho del cauce y en transectos perpendiculares al eje del río se midió la profundidad del agua y la velocidad de la corriente cada 0,25 m (Corrientómetro Global Water). A partir del promedio de las seis secciones se calculó el caudal de cada río. En cada una de las secciones también se determinó el porcentaje de cobertura arbórea sobre el cauce (0 % ausente, 0-25 % escasa, 25-50 % parcial, 50-100 % completa) y el tipo de sustrato: fino (limo y arenoso), rocoso y mixto (sedimento fino, grava particulada y roca). La medición de estas características las realizó el mismo observador, mediante percepción visual y usando formatos que permitían seguir los mismos criterios en todos los ríos.
Comunidad de macrófitas
El concepto de macrófita adoptado en este trabajo es el de Velásquez (1994), quien define a las macrófitas como todas las plantas herbáceas que crecen y se desarrollan en suelos saturados o cubiertos por agua, y que tienen la capacidad para permanecer y tolerar un largo periodo en contacto con el agua (al menos su sistema radicular). Briófitos, pteridófitos y equisetales se excluyeron de este estudio.
En cada uno de los ríos seleccionados se estudiaron las macrófitas emergentes, sumergidas y flotantes. Para la cuantificación de la abundancia de macrófitas en lugares con baja densidad se empleó el método de "Punto Transecto" (Kent y Coker, 1992). En cada periodo de muestreo se realizaron en cada río tres transectos lineales de 10 m marcados cada 20 cm (51 puntos por transecto). En cada punto se determinó la presencia de las especies y su frecuencia. Este valor con respecto al total de puntos totales muestreados se usó como un estimativo de la abundancia relativa. En los ríos con alta densidad de macrófitas se utilizó el método de cuadrante (Kent y Coker, 1992), que consistió en trazar un transecto en banda de 10 m x 50 cm y utilizar a lo largo de todo el transecto un cuadrante de 50 cm x 50 cm, subdividido en 25 cuadrantes de 10 cm x 10 cm. Se registró la abundancia de cada especie (número de veces que se encuentra la especie dentro de cada cuadrante) y a partir de esta abundancia y del total de cuadrículas se calculó la frecuencia de cada especie con respecto al área muestreada. Al igual que con los transectos, la frecuencia de cada especie con respecto al total de cuadrantes se usó como un estimativo de la abundancia relativa.
En campo se describieron las características morfológicas de cada especie y de su hábitat y se colectaron especímenes botánicos. Para la identificación se siguieron las claves taxonómicas de Cook (1996), Davidse et al. (1996), Gentry (1996), Schmidt-Mumm (1988a), Schmidt-Mumm (1988b), Velásquez (1994), Vélez et al. (1998), Steyermark et al. (2001) y Smith et al. (2004).
Análisis estadísticos
Las relaciones entre las variables ambientales cuantificadas en los ríos se exploraron mediante un análisis de componentes principales (ACP). Con excepción del pH, en el ACP todas las variables se transformaron usando Loge(x+1).
Se utilizó análisis de varianza de una vía con el objeto de evaluar si la abundancia y riqueza de especies de macrófitas eran significativamente diferentes entre cuencas, periodos, tipos de sustratos y sistemas productivos.
Los patrones en la distribución de las macrófitas se estudiaron mediante un Análisis de Correspondencia Segmentado (ACS). La relación entre especies y variables ambientales se estudió con un Análisis de Correspondencia Canónica (ACC). Estos análisis se realizaron siguiendo las recomendaciones de Lepš y Šmilauer (2003) para lo cual se utilizaron todas las especies encontradas en el estudio y se usó una transformación Loge(x+1) de las abundancias relativas. Para seleccionar la variables estadísticamente relacionadas con las especies en el ACC, se incluyó una a una cada variable probando su significancia mediante un test de Monte-Carlo (999 permutaciones, α= 0,05). En el análisis se incluyeron sólo las variables ambientales que presentaron una coeficiente de correlación <10 % (Ter-Braak y Šmilauer, 1998).
RESULTADOS
Descripción de la variabilidad física y química de los ríos estudiados
Las dos cuencas estudiadas presentaron entre sí una alta variabilidad en las características hidrológicas y químicas de sus ríos. El caudal, aunque fue bajo en los ríos de ambas cuencas, varió entre 0,001-0,8 m3/s, con valores más altos en los ríos que transcurren sobre zonas de plantación forestal y ganadería. La temperatura del agua fue en promedio tres grados más alta en los ríos de la cuenca de La Vieja. El pH fue el único parámetro con escasa variabilidad: presentó valores circumneutrales o débilmente básicos, con tendencia a la acidez durante el periodo de lluvias. Los ríos de las dos cuencas presentaron alcalinidades bajas durante los dos periodos estudiados (<70 mg CaCO3/l).
Los ríos de la cuenca del río La Vieja fueron muy variables en el ancho de su cauce (0,26 - 4,16 m) y poco profundos (0,45-0,96 m), con caudales que variaron entre 0,01 y 0,85 m3/s y temperaturas del agua entre 19,0 y 26,9 °C. El sustrato fino fue el dominante en estos ríos y en general el cauce presentó una baja cobertura de vegetación arbórea. Los ríos de la cuenca del río Otún fueron menos anchos (0,83-3,15 m), más someros (0,07 - 0,26 m), y menos caudalosos (0,001 - 0,55 m3/s) que los ríos de La Vieja. El sustrato de los ríos del Otún fue predominantemente rocoso o mixto, las temperaturas del agua fueron más bajas (16,2 - 18,5 °C) y se presentó una alta cobertura de vegetación arbórea sobre el cauce.
Los ríos asociados a usos del suelo ganadero y a agricultura presentaron en promedio mayor turbidez, conductividad, alcalinidad, sólidos totales, NO3-, PO43-, PT y menor concentración de oxígeno. Los ríos ubicados en zonas de uso ganadero y forestal tendieron a valores más altos de color, oxígeno y NH4+. Entre los nutrientes, el NO3- presentó una alta variabilidad regional, con valores entre 0,05 y 10,56 mg/l N. Los resultados de las mediciones fisicoquímicas, microbiológicas, morfométricas e hidrológicas se presentan en el Apéndice 2.
El ACP muestra que el 52,5 % de la variabilidad de los datos fue explicada por los dos primeros ejes del modelo (Fig. 2). El primer eje de variabilidad de los ríos estuvo relacionado con la altitud, la temperatura, la conductividad, los ST y la cobertura de vegetación arbórea sobre el cauce del río. El segundo eje se relacionó con los nutrientes y la hidrología. El primer eje discriminó los ríos de acuerdo con su cuenca, el tipo de sustrato y el sistema productivo, mientras que el segundo eje los separó principalmente en función del periodo de muestreo.

Composición, abundancia y diversidad de las comunidades de macrófitas
En la Tabla 1 se listan las especies y familias encontradas en los 18 sitios de muestreo y se discrimina su distribución por sistema productivo. Se presentan también los datos de abundancia y frecuencia relativas para cada especie. Se encontró un total de 54 especies pertenecientes a 25 familias. De las 54 especies encontradas, 40 fueron identificadas hasta especie y 14 hasta género. Las familias más representadas fueron, en su orden: Poaceae (11 especies), Asteraceae (7 especies), Cyperaceae (6 especies) y Acanthaceae (3 especies). La vegetación vascular presente en los ríos andinos muestreados es emergente, excepto por Eleocharis minima (Kunth) macrófita semisumergida encontrada en la finca El Descanso, en la cuenca del río La Vieja.
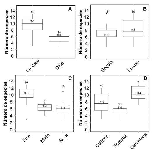
La riqueza de macrófitas presentó un promedio de 7,6 especies por río, oscilando entre 3 y 13 especies (Fig. 3). Aunque se presentó una alta variabilidad entre los ríos de cada cuenca, los sistemas de la cuenca del río La Vieja presentaron una mayor riqueza (F(1,27) = 19,7, p < 0,001), con un promedio de cuatro especies más que los ríos de la cuenca del Otún. La riqueza fue semejante en los dos periodos muestreados (F(1,27) = 1,14, p = 0,29), aunque se observó una ligera tendencia a valores más altos durante el periodo de lluvias (Fig. 3). El análisis del número de especies según el tipo de sustrato dominante en el lecho del río mostró una tendencia significativamente mayor en el sustrato fino (F(2,26) = 5,7, p = 0,009). En los ríos con sustratos mixtos y dominados por roca la riqueza fue semejante. Al comparar la riqueza por tipos de sistema productivo se encontró que los ríos afectados por ganadería presentaron mayor número de especies, y los ríos de los sistemas forestales, los valores más bajos (F(2,26) = 8,6, p = 0,001). La abundancia relativa de las macrófitas fue muy variable: presentó un promedio de 28 % y un rango entre 2 y 55 % (Fig. 4). La cuenca de La Vieja presentó una mayor variación y una abundancia significativamente más alta (F(1,27) = 6,75, p = 0,015). Los dos periodos estudiados no mostraron diferencias en la abundancia (F(1,27) = 0,29, p = 0,59). Los ríos de sustrato fino presentaron una tendencia a valores más altos y mayor variabilidad de la abundancia de macrófitas (F(1,27) = 3,14, p = 0,06). Entre las especies exclusivas de estos ríos se encontraron Cissus sicyoides (L.) Nicolson & C.E. Jarvis, Cyperus luzulae (L.) Rottb. ex Retz, Echinochloa cf. colona (L.) Link, Eleocharis elegans (Kunth.) Roem. & Schult, Eleocharis minima (Kunth.), Erechtites hieracifolia (L.) Raf., Hydrocotyle ranunculoides L., Marsypianthes chamaedrys (Vahl) Kuntze, Nertera granadensis (Mutis ex L. f.) Druce, Oplismenus burmannii (Retz.) P. Beauv., Piper peltatum (L.), Polygonum hydropiperoides (Michx.), Scoparia dulcis (L.) y Stellaria ovata (Willd. ex Schltdl.). Algunas de las especies exclusivas de sustratos rocosos fueron Axonopus scoparius (Flüggé) Kuhlm., Cyclanthera palicourea (C.M.Taylor.), Cynodon nlemfuensis (Vanderyst.), Eleusine indica (L.) Gaertn., Gunnera sp., Pilea imparifolia (Wedd.), Pilea jamesoniana (Wedd.), Polygonum nepalense (Meisn.), Rhynchospora ruiziana (Boeckeler.), Sagittaria guayanensis (Kunth.) y Salvia scutellarioides (Kunth.).
Los sistemas productivos de ganadería presentaron valores significativamente más altos en la abundancia de macrófitas (F(2,26) = 21,2, p < 0,001). Los ríos de los sistemas de ganadería mostraron un promedio de abundancia relativa de 48,9 % mientras que los sistemas de cultivos y forestales presentaron un promedio de 23,9 % y 18,5 %, respectivamente.



Ordenación de las comunidades de macrófitas y relación con las variables ambientales
El ACS explicó en dos ejes un 18,9 % de la variabilidad de los especies (Fig. 5). El primer eje mostró una discriminación de los ríos de las dos cuencas y una gran diferencia de la comunidad de macrófitas del río La Aurora, en donde Pilea imparifolia y Altamisa sp. fueron las especies dominantes. El eje también mostró una ligera discriminación de los ríos en función de la estacionalidad, con una abundancia ligeramente más alta de especies como Eleocharis elegans, Eleocharis minima, Pennisetum clandestinum (Hochst. ex Chiov.) y Cyperus odoratus (L.) durante el periodo de sequía. El segundo eje del modelo discrimina las cuencas, el sistema productivo y, parcialmente el sustrato de los ríos. El análisis sugiere una mayor similitud en las comunidades de las muestras de los ríos de los usos de suelo Ganadero y Cultivos, mientras que las comunidades de los ríos del uso forestal presentaron grandes diferencias entre sí. Al igual que la variabilidad física y química de los ríos, las especies también mostraron una relación entre los ríos de la Cuenca de la Vieja y el sustrato fino.
El ACC explicó en dos ejes un bajo porcentaje de la variabilidad de las especies de macrófitas (8,9 %). No obstante, dos variables explicaron significativamente la variabilidad de la distribución de las especies (Fig. 6) la temperatura se relacionó con el primer eje de variación, mientras que la conductividad explicó principalmente el segundo eje del modelo. La combinación de los dos ejes mostró una discriminación de los ríos en función de la cuenca, el tipo de sustrato y el sistema productivo. La discriminación de las dos cuencas puede sugerir un efecto de la altitud sobre los patrones observados, al estar la temperatura correlacionada con la altitud. Las especies asociadas a valores más bajos de temperatura, conductividad y al uso forestal fueron Altamisa sp., Oplismenus sp., Sagittaria guayanensis, Oxalys sp., Axonopus scoparius, Cyperus odoratus y Pilea imparifolia, mientras que algunas de las especies asociadas a valores más altos de temperatura y conductividad fueron Eleocharis elegans, Eleocharis minima, Senecio sp. y Echinochloa cf. colona.


DISCUSIÓN
Comunidades de macrófitas
La mayor parte de las especies encontradas en este estudio han sido reportadas comúnmente en zonas riparias, así como en ambientes ruderales, arvenses y perturbados de América y del mundo (Velásquez, 1994; Jardim Botânico do Rio de Janeiro, 2016). Son especies helófitas o hidrófitas, con hábito herbáceo. Por ser de ciclos de vida cortos, rápido crecimiento y dispersión y tolerancia a condiciones fluctuantes de humedad, son típicas de zonas de colonización o inestables y fácilmente adaptables a condiciones poco favorables. Es el caso de especies como Hygrophila guianensis Nees., Sagittaria guayanensis, Hydrocotyle ranunculoides, Acmella ciliata (Kunth) Cass., Eleutheranthera ruderalis (Sw.) Sch. Bip., Erechtites hieracifolia, Drymaria cordata (L.) Willd. ex Schult., Tripogandra serrulata (Vahl) Handlos, Cyperus odoratus, Cyperus luzulae, Eleocharis elegans, Marsypianthes chamaedrys, Piper peltatum, Axonopus scoparius, Eleusine indica, Oplismenus burmannii, Pennisetum clandestinum, Polygonum hydropiperoides, Polygonum nepalense, Scoparia dulcis, Astrephia chaerophylloides DC. y Hedychium coronarium J. König (Velásquez, 1994; Posada y López, 2011; Govaerts et al., 2016a). Muchas de estas especies son consideradas también malezas y pueden llegar a convertirse en plagas de cultivos (Velásquez, 1994; Posada y López, 2011; Jardim Botânico do Rio de Janeiro, 2016).
Las familias más representativas encontradas, en cuanto a número de especies de macrófitas, fueron, en orden descendente, Poaceae, Asteraceae y Cyperaceae (Tabla 1). Estas son de las más extensamente diversificadas y ecológicamente exitosas en el mundo, por su gran plasticidad fenotípica y adaptabilidad a casi todos los tipos de hábitats (Acosta-Arce y Agüero-Alvarado, 2006), mayor tolerancia a variaciones microclimáticas (Lacoul y Freedman, 2006) y eficientes mecanismos de dispersión, formas de crecimiento y colonización (Velásquez, 1994). Esto coincide con lo reportado por Chambers et al. (2008), quienes registran las familias Poaceae, Asteraceae y Cyperaceae entre las de mayor riqueza y abundancia de macrófitas en el mundo y particularmente en el Neotrópico. (Error 2: La referencia: Tabla 1 está ligada a un elemento que ya no existe)
El biotipo de todos los especímenes encontrados (excepto Eleocharis minima) fue emergente. Esto coincide con lo reportado por Cook (1996), quien afirma que los pocos géneros neotropicales que existen de plantas sumergidas se encuentran sólo en tierras bajas. La ausencia de migración de plantas sumergidas desde tierras bajas neotropicales hasta zonas de mayor altitud puede deberse a las dificultades de superar las diferencias de temperatura (Jacobsen y Terneus, 2001).
Los resultados de riqueza de especies no son fácilmente comparables con otros estudios, no sólo porque son escasos los trabajos sobre macrófitas en ríos de montaña (Padial et al., 2008), sino porque el concepto de macrófita puede variar entre distintos estudios. Sin embargo, se puede afirmar que los resultados de este estudio están dentro del rango esperado para ambientes de piedemonte o montaña, que no son altamente diversos en macrófitas (Jacobsen y Terneus, 2001; Baattrup-Pedersen et al., 2006; Hrivnák et al., 2014), y pueden considerarse bajos cuando se comparan con ambientes de tierras bajas de zonas templadas y tropicales (Ranieri et al., 2015).
La composición de las comunidades varió entre ríos asociados a distintos usos del suelo: ganadería y plantación forestal fueron los usos que presentaron ríos con composiciones menos similares entre sí. El 30,7 % y 29,1 % de las encontradas fueron exclusivas de ríos asociados al uso ganadero y forestal respectivamente. Estas especies corresponden al 14,8 y 12,9 % del total de especies encontradas. Las especies exclusivas de ríos asociados al uso ganadero fueron Panicum sp., Echinocloa cf. colona, Pennisetum sp., Polygonum hydropiperoides, Polygonum punctata Ell., Piper peltatum, Salvia scutellaroides y Senecio sp. En el uso forestal aparecen las especies Axonopus scoparius, Cyclantera palicourea C.M. Taylor, Desmodium sp., Gunnera sp., Oplismenus sp., Oxalys sp. y Pilea imparifolia, Brachiaria mutica (Forsskal) Nguyen, Cyperus odoratus, Drymaria cordata, Eleutheranthera ruderalis, Hygrophila guianensis, Hygrophila sp., Oplismenus burmannii y Tripogandra serrulata (Vahl) Handlos.
Factores que explican la distribución de las macrófitas
Son diversos los factores que, en nuestro estudio, contribuyen a explicar la estructura de las comunidades de macrófitas. Las plantas acuáticas responden primariamente a las condiciones físicas del sustrato sobre el cual crecen. En cuerpos de agua lóticos, su riqueza se ve afectada por diversos factores como la velocidad de la corriente, el tipo de sustrato, el estado trófico del ecosistema, la temperatura del agua, la presencia de sombra y el ancho de la corriente (Janauer y Dokulil, 2006).
En ríos de montaña las condiciones todavía más particulares del hábitat pueden afectar sustancialmente su diversidad (Cronk y Fennessy, 2001). Esto es especialmente cierto en la región Andina tropical, cuyas singularidades orográficas causan una gran variabilidad fisionómica en cortas distancias. Las características geomorfológicas y climáticas de esta región determinan el desarrollo de pequeños ríos que transcurren sobre abruptos gradientes altitudinales (Villamarín et al., 2013). En ambientes muy pendientes, con sustratos rocosos, sombreados por especies arbustivas o forestales, con flujo de agua variable y con mayores velocidades de la corriente, se disminuyen las posibilidades de colonización y desarrollo de las plantas acuáticas vasculares (Willby, 2000; Bornette y Puijalon, 2011). Ambientes con menor pendiente permiten la acumulación de una mayor cantidad de sedimentos pueden favorecer el enraizamiento de las plantas acuáticas (Cronk y Fennessy, 2001).
En el presente estudio estas características de los ríos andinos tuvieron un efecto sobre la densidad de comunidades de macrófitas: dado que el lecho de los ríos rara vez alcanzó densidades de macrófitas superiores al 50 %; y en la cuenca del rio Otún, con zonas con uso forestal, y mejor conservadas, con densos bosques riparios y lechos rocosos, la reducida colonización por parte de las plantas causó una baja diversidad.
Sin embargo, en nuestro estudio estas características fisionómicas y geomorfológicas de los ríos están también asociadas a los usos del suelo en cada una de las cuencas; así, las partes más altas de la región cafetera, que corresponden a la cuenca del Río Otún, con pendientes más abruptas, son menos aptas para el desarrollo de ganadería y cultivos de grandes extensiones (Rodríguez et al., 2009) que las zonas más bajas (cuenca La Vieja), donde los suelos están destinados a la ganadería y la agricultura.
Nuestros resultados indican que el tipo de sustrato, la temperatura y la conductividad tienen un efecto importante en la riqueza y la abundancia de las macrófitas y explican significativamente la ordenación de las comunidades (Figs. 3 y 4). La dominancia del sustrato fino favorece el establecimiento de las especies de macrófitas (Svitok et al., 2015), la mayor temperatura eleva la tasa fotosintética de las plantas (Santamaría y Van Vierssen, 1997) y una mayor conductividad está también asociada a una mayor riqueza y abundancia de especies, de modo que estas tres variables se identifican frecuentemente como explicativas de la distribución de las especies de macrófitas (Bornette y Puijalon, 2011; Jusik et al., 2015).
Estas variables están asociadas en el presente estudio a la cuenca del río La Vieja, en donde la mayor actividad antrópica y los usos del suelo para la ganadería y agricultura (Fig. 2) promueven la eliminación de la cobertura riparia, acelerando la escorrentía superficial y el aumento en la concentración de nutrientes y sedimentos en los cuerpos de agua (Blinn y Kilgore, 2001; Murgueitio, 2003). Así, la combinación del tipo de sustrato, temperatura y conductividad asociados a cada cuenca y uso del suelo, contribuye a explicar las diferencias observadas entre las dos cuencas.
El uso del suelo que potencialmente tiene un impacto más fuerte sobre las comunidades biológicas es la ganadería. La erosión y la compactación del suelo derivada de este uso generalmente modifican los hábitats, afectando la distribución de numerosas especies (Tilman et al., 1996; Murgueitio et al., 2003), y zonas riparias con un nivel de degradación alto pueden presentar una reducción de la diversidad (Cortelezzi et al., 2013). Sin embargo, en este estudio se evidenció que la riqueza de macrófitas aumentó en los ríos asociados a estos usos.
Si bien la estacionalidad mostró una cierta influencia sobre la distribución de las especies (Figura 6), el efecto de los cambios estacionales en la temperatura y la conductividad son pequeños con respecto al gradiente regional de estas variables. Fueron las diferencias de temperatura, conductividad y sustrato las que tuvieron un efecto importante sobre la estructura de las comunidades de macrófitas, discriminando especies distintas en cada una de las cuencas.
CONCLUSIONES
Los factores que explicaron la distribución de las macrófitas en los ríos estudiados fueron la temperatura del agua, la conductividad y el tipo de sustrato. Estas variables estuvieron asociadas al uso del suelo, por lo cual el tipo de uso del suelo tiene un efecto sobre la estructura de las comunidades vegetales estudiadas. Los ríos afectados por ganadería tienden a tener un sustrato predominantemente fino y una mayor concentración de nutrientes y sólidos totales, favoreciendo el desarrollo de comunidades más diversas, con mayor abundancia de plantas y con una comunidad bien diferenciada del resto de sistemas. Los ríos de zonas forestales son rocosos, con concentraciones más bajas de nutrientes y sólidos totales, y presentan comunidades menos diversas, con menor abundancia de macrófitas y una mayor frecuencia de especies típicas de ambientes inestables. Los ríos que transcurren por zonas de cultivos presentaron comunidades más heterogéneas debido a la mayor variabilidad en las condiciones químicas del agua y la presencia de distinto tipos de sustrato.
CONFLICT OF INTEREST
The authors declare that they have no conflict of interest.
Agradecimientos
Los factores que explicaron la distribución de las macrófitas en los ríos estudiados fueron la temperatura del agua, la conductividad y el tipo de sustrato. Estas variables estuvieron asociadas al uso del suelo, por lo cual el tipo de uso del suelo tiene un efecto sobre la estructura de las comunidades vegetales estudiadas. Los ríos afectados por ganadería tienden a tener un sustrato predominantemente fino y una mayor concentración de nutrientes y sólidos totales, favoreciendo el desarrollo de comunidades más diversas, con mayor abundancia de plantas y con una comunidad bien diferenciada del resto de sistemas. Los ríos de zonas forestales son rocosos, con concentraciones más bajas de nutrientes y sólidos totales, y presentan comunidades menos diversas, con menor abundancia de macrófitas y una mayor frecuencia de especies típicas de ambientes inestables. Los ríos que transcurren por zonas de cultivos presentaron comunidades más heterogéneas debido a la mayor variabilidad en las condiciones químicas del agua y la presencia de distinto tipos de sustrato.
Referencias
Acosta-Arce L, Agüero-Alvarado R. Malezas acuáticas como componentes de ecosistemas. Agron Mesoam. 2006;17:213-219.
Ali MM, Mageed AA, Heikal M. Importance of aquatic macrophyte for invertebrate diversity in large subtropical reservoir. Limnologica. 2007;37(2):155-169. Doi: 10.1016/j.limno.2006.12.001.
American Public Health Association, American Water Work Association, Water Environment Federation. Standard Methods for the Examination of Water and Wastewater. 21st ed. Washington: APHA-AWWA-WEF; 2005. 1360 p.
Baattrup-Pedersen A, Szoszkiewicz K, Nijboer R, O'Hare M, Ferreira T. Macrophyte communities in unimpacted European streams: variability in assemblage patterns, abundance and diversity. Hydrobiol. 2006;566:179-196. Doi: 10.1007/s10750-006-0096-1.
Blinn CR, Kilgore MA. Riparian management practices. J Forest. 2001;8:11-17.
Bornette G, Puijalon S. Response of aquatic plants to abiotic factors: A review. Aquat Sci. 2011;73:1-14. Doi: 10.1007/s0027-010-0162-7.
Brix H. Macrophytes-mediated oxygen-transfer in wetlands: transport mechanisms and rates. In: Gerald A. Moshiri, editors. Constructed Wetlands for Water Quality Improvement. Boca Ratón: Lewis Publishers; 1993. p. 391-400.
Carniatto N, Fugi R, Thomaz SM, Cunha ER. The invasive submerged macrophyte Hydrilla verticillata as a foraging habitat for small-sized fish. Nat Conserv.. 2014;12(1):30-35. Doi: 10.4322/natcon.2014.006.
Chambers PA, Lacoul P, Murphy KJ, Thomaz SM. Global diversity of aquatic macrophytes in freshwater. Hydrobiol. 2008;595:9-26. Doi: 10.1007/s10750-007-9154-6.
Cook C. Aquatic Plant Book. 2nd ed. Amsterdam:Academia Publishing; 1996. 228 p. Doi: 10.1002/iroh.19970820403.
Cortelezzi A, Sierra MV, Gómez N, Marinelli C, Rodrigues-Capítulo A. Macrophytes, epipelic biofilm, and invertebrates as biotic indicators of physical habitat degradation of lowland streams (Argentina). Environ Monit Assess. 2013;185:5801-5815. Doi: 10.1007/s10661-012-2985-2.
Cronk JK, Fennessy MS. Wetland Plants: Biology and Ecology. Boca Raton, Fl:CRC Press Lewis Publishers; 2001. 440 p.
Davidse G, Sousa M, Chater A, editors. Flora Mesoamericana. Vol 6. Alismataceae - Cyperaceae. México: Instituto de Biología, Universidad Nacional Autónoma de México. 1996. 859 p.
Engelhardt KAM, Ritchie ME. Effects of macrophyte species richness on wetland ecosystem functioning and services. Nature. 2001;411(6838):687-689. Doi: 10.1038/35079573.
Fernández M, Bedoya AM, Madriñán S. Plantas acuáticas de las planicies inundables de la Orinoquia Colombiana. Biota Col. 2015;16:96-105. Doi: 10.15468/v9vn3a.
Ferreiro N, Giorgi A, Feijoó C. Effects of macrophyte architecture and leaf shape complexity on structural parameters of the epiphytic algal community in a Pampean stream. Aquat Ecol. 2013;47(4):389-401. Doi: 10.1007/s10452-013-9452-1.
Ferreira F, Mormul R, Thomaz S, Pott A, Pott V. Macrophytes in the upper Paraná river floodplain: checklist and comparison with other large South American wetlands. Rev Biol Trop. 2011;59(2):541-556.
Gentry A. A field guide to the families and genera of woody plants of northwest South America with supplementary notes on herbaceous taxa. Chicago: University of Chicago Press; 1996. 920 p.
Govaerts R. World Checklist of Alismataceae. [Base de datos en Internet]. Londres: Royal Botanic Gardens; 2016 [20/8/2016]. Disponible en: http://apps.kew.org/wcsp/.
Govaerts R, Jiménez-Mejías P, Koopman J, Simpson D, Goetghebeur P, Wilson K, Egorova T, Bruhl J. 2016. World Checklist of Cyperaceae [Base de datos en Internet]. Londres: Royal Botanic Gardens; 2016 [20/8/2016]. Disponible en: http://apps.kew.org/wcsp/.
Govaerts R, Paton A, Harvey Y, Navarro T, García-Peña M. World Checklist of Lamiaceae [Base de datos en Internet]. Londres: Royal Botanic Gardens; 2016 [20/8/2016]. Available at: http://apps.kew.org/wcsp/.
Gutiérrez MF, Mayora G. Influence of macrophyte integrity on zooplankton habitat preference, emphasizing the released phenolic compounds and chromophoric dissolved organic matter. Aquat Ecol. 2015;1-15. Doi: 10.1007/s10452-015-9561-0.
Hrivnák R, Kochjarová J, Otahelová H, Palove-Balang P, Slezák M, Slezák P. Environmental drivers of macrophyte species richness in artificial and natural aquatic water bodies-comparative approach from two central European regions. Ann Limnol. 2014;50:269-278. Doi: 10.1051/limn/2014020.
Jacobsen D, Terneus E. Aquatic macrophytes in cool aseasonal and seasonal streams: a comparison between Ecuadorian highland and Danish lowland streams. Aquat Bot. 2001;71:281-295.
Janauer G, Dokulil M. Macrophytes and algae in running waters. In: G Ziglio, M Siligardi and G Flaim, editors. Biological Monitoring of Rivers. Chichester: John Wiley y Sons, 2006. p:89-109.
Jardim Botânico do Rio de Janeiro. Flora del Brasil 2020 [Base de datos en Internet]. Río de Janeiro: COPPETEC-UFRJ; 2016 [24/8/2016]. Available at: http://floradobrasil.jbrj.gov.br/.
Jusik S, Szoszkiewicz K, Kupiec JM, Lewin I, Samecka-cymerman A. Development of comprehensive river typology based on macrophytes in the mountain-lowland gradient of different Central European ecoregions. Hydrobiol. 2015;745:241-262. Doi: 10.1007/s10750-014-2111-2.
Kent M, Coker P. Vegetation description and analysis. A practical approach. Chichester: Ed. Jhon Wiley y Sons; 1992. 363 p.
Lacoul P, Freedman B. Relationship between aquatic plants and environmental factors along a steep Himalayan altitudinal gradient. Aquat Bot. 2006;84:3-16. Doi: 10.1016/j.aquabot.2005.06.011.
Lepš J, Šmilauer P. Multivariate analysis of ecological data using CANOCO. Cambridge: Cambridge University Press; 2003. 283 p.
Mitchell DS, Thomas PA. Ecology of water weeds in the neotropics. Technical papers in hydrology No 12. Paris: Unesco. 1972. 50 p.
Mormul R, Thomaz S, Vieira L. Richness and composition of macrophyte assemblages in four Amazonian lakes. Acta Scientiarum. 2013;35(3):343-350.
Murgueitio E. Impacto ambiental de la ganadería de leche en Colombia y alternativas de solución. Lives Res Rural Dev. 2003;15:98-115.
Murgueitio E, Ibrahim M, Ramírez E, Zapata A, Mejía C, Casasola F. Usos de la tierra en fincas ganaderas: guía para el pago de servicios ambientales en el Proyecto "Enfoques Silvopastoriles Integrados para el Manejo de Ecosistemas". Cali: CIPAV; 2003. 97 p.
Padial AA, Bini LM, Thomaz SM. The study of aquatic macrophytes in Neotropics: a scientiometrical view of the main trends and gaps. Braz J Biol. 2008;68:1051-1059. Doi: 10.1590/S1519-69842008000500012.
Padial A, Carvalho P, Thomaz S, Boschilia S, Rodrigues R, Kobayashi J. The role of an extreme flood disturbance on macrophyte assemblages in a Neotropical floodplain. Aquat Sci. 2009;71(4):389-398.
Pérez-Vásquez NDS, Arias-Ríos J, Quirós-Rodríguez JA. Variación espacio-temporal de plantas vasculares acuáticas en el complejo cenagoso del bajo Sinú, Córdoba, Colombia. Acta biol. Colomb. 2015;20(3):155-165. Doi: http://dx.doi.org/10.15446/abc.v20n3.45380.
Posada J, López MT. Plantas acuáticas del altiplano del oriente antioqueño, Colombia. Rionegro: Universidad Católica de Oriente; 2011. 119 p.
Ramos-Montaño C, Cárdenas-Avella N, Herrera-Martínez Y. Caracterización de macrófitas acuáticas en las lagunas del páramo La Rusia (Boyacá-Colombia). Ciencia en Desarrollo. 2012;4:73-82.
Ranieri MC, Gantes P, Momo F. Diversity patterns of pampean stream vegetation at different spatial scales. Aquat Bot. 2015;126:1-6. Doi: 10.1016/j.aquabot.2015.05.0070.
Rial A. Plantas acuáticas: aspectos sobre su distribución geográfica, condición de maleza y usos. Biota Col. 2013;14:79-91.
Rivera-Rondón CA, Prada-Pedreros S, Galindo D, Maldonado-Ocampo JA. Effects of aquatic vegetation on the spatial distribution of Grundulus bogotensis, Humboldt 1821 (Characiformes: Characidae). Caldasia. 2008;30:135-150.
Rodríguez JM, Camargo JC, Niño J, Pineda AM, Arias LM, Echeverry MA, et al., editors. Valoración de la biodiversidad en la ecorregión del eje cafetero. Centro de Investigaciones y Estudios en Biodiversidad y Recursos Genéticos. Pereira: CIEBREG; 2009. 237 p.
Santamaría L, Van Vierssen W. Photosynthetic temperature responses of fresh- and brackish-water macrophytes: A review. Aquat Bot. 1997;58:135-150. Doi: 10.1016/S0304-3770(97)00015-6.
Schmidt-Mumm U. Notas sobre la vegetación acuática de Colombia I: Estructura. Univ Sci. 1988a;1:107-122.
Schmidt-Mumm U. Notas sobre la vegetación acuática de Colombia, II: Fisionomía. Univ Sci. 1988b;3:85-119.
Schmidt-Mumm U. Metodología para el estudio de macrófitas. Manual de Métodos en Limnología. Bogotá: Asociación Colombiana de Limnología ACL - Limnos; 2002. 37-40 p.
Schmidt-Mumm U. Comunidades vegetales de las transiciones terrestre-acuáticas del páramo de Chingaza, Colombia. Rev Biol Trop. 2012;60:35-64.
Smith N, Mori S, Henderson A. Flowering plants of the Neotropics. Ciudad:Princeton University Press and the New York Botanical Garden. 2004. 750 p.
Sousa W, Thomaz S, Murphy K. Drivers of aquatic macrophyte community structure in a Neotropical riverine lake. Acta Oecol. 2011;37(5):462-475. Doi: 10.1016/j.actao.2011.05.015
Steyermark J, Berr P, Holst B. Flora of the Venezuelan Guyana. Saint Louis: Missoury Botanical Garden Press; 2001. 986 p.
Svitok M, Hrivnák R, Kochjarová J, Ot'ahel'ová H, Pal'ove-Balang P. Environmental thresholds and predictors of macrophyte species richness in aquatic habitats in central Europe. Folia Geobot. 2015. Doi: 10.1007/s12224-015-9211-2.
Ter-Braak CJF, Smilauer P. CANOCO reference manual and user's guide to Canoco for Windows - software for canonical community ordination (version 4). Ithaca, NY: Microcomputer Power; 1998. 352 p.
Terneus E. Las plantas acuáticas en el sistema lacustre-riberino Lagartococha, reserva de producción faunística Cuyabeno, Ecuador. Actual Biol. 2007;29(6):97-106.
Tilman D, Wedin D, Knops J. Productivity and sustainability influenced by biodiversity in grassland ecosystems. Nature. 1996;379:718-720. Doi: 10.1038/379718a0.
Velásquez J. Plantas acuáticas vasculares de Venezuela. Caracas: Universidad Central de Venezuela. Consejo de Desarrollo Científico y Humanístico; 1994. 992 p.
Vélez M, Agudelo C, Pinto D. Monografía de la flora andina. Flora arvense de la región Cafetera - Centro Andina de Colombia. Armenia: Herbario de la Universidad del Quindío HUQ; 1998. 186 p.
Villamarín C, Rieradevall M, Paul MJ, Barbour NT, Prat N. A tool to assess the ecological condition of tropical high Andean streams in Ecuador and Peru: the IMEERA index. Ecol Indic. 2013;2:79-92. Doi: 10.1016/j.ecolind.2012.12.006.
WCSP. World Checklist of Selected Plant Families [Base de datos en Internet]. Londres: Royal Botanic Gardens; 2016 [20/8/2016]. Available at: http://apps.kew.org/wcsp/.
Willby NJ, Abernethy VJ, Demars BOL. Attribute-based classification of European hydrophytes and its relationship to habitat utilization. Freshwater Biol. 2000;43:43-74. doi:10.3390/w6040868.
Notas de autor
lvalderr@javeriana.edu.co