Artículos
EFICIENCIA DE POLINIZACIÓN DE COLONIAS HUERFANAS DE Bombus atratus (HYMENOPTERA: APIDAE) EN FRESA (Fragaria x ananassa) BAJO CUBIERTA
Efficiency of Pollination by Orphan Colonies of Bombus atratus (Hymenoptera: Apidae) in Strawberry (Fragaria x ananassa) in Greenhouse
EFICIENCIA DE POLINIZACIÓN DE COLONIAS HUERFANAS DE Bombus atratus (HYMENOPTERA: APIDAE) EN FRESA (Fragaria x ananassa) BAJO CUBIERTA
Acta Biológica Colombiana, vol. 23, núm. 1, pp. 73-79, 2018
Universidad Nacional de Colombia, Facultad de Ciencias, Departamento de Biología
Recepción: 19 Diciembre 2016
Recibido del documento revisado: 08 Agosto 2017
Aprobación: 10 Septiembre 2017
RESUMEN: En Colombia la fresa se ha convertido en un cultivo de interés económico debido a la creciente demanda en el mercado extranjero en la última década. La mayoría de plantaciones son a campo abierto y no usan esquemas de polinización para mejorar la calidad de producción. La polinización con abejorros mejora la calidad de los frutos, aunque estos se producen mediante polinización espontánea. La especie nativa Bombus atratus ha sido reconocida como un polinizador eficiente de cultivos hortofrutícolas colombianos bajo invernadero. El presente estudio evaluó la eficiencia de polinización de dos colonias huérfanas en la calidad de los frutos de las variedades camino real y ventana sembrados bajo invernadero en Cajicá-Colombia. Se embolsaron los botones para obtener los frutos producidos espontáneamente y ser comparados con los frutos provenientes de la visita de obreras de B. atratus. Se encontró que la visita de las obreras mejoró la calidad de los frutos en las variables, calibre (35 % y 31 %), longitud (28 % y 19 %), peso fresco (103 % y 90 %), peso seco (126 % y 145 %) y número de semillas (55 % y 81 %) para las variedades Camino Real y Ventana respectivamente. A partir de las observaciones realizadas, se determinó que el recurso floral utilizado por las obreras de B. atratus fue el néctar y se hacen recomendaciones sobre su uso en este cultivo.
Palabras clave: abejas nativas, agricultura protegida, cultivos frutícolas, polinizadores, servicios ecosistémicos.
ABSTRACT: In Colombia the strawberry has become a crop of economic interest due to the growing demand in the foreign market in the last decade. Most plantations are open fields and do not use pollination strategies to improve the production quality. Pollination with bumblebees improves the quality of the fruits, although these are produced by spontaneous pollination. The native species Bombus atratus has been recognized as an efficient pollinator of Colombian horticultural crops under greenhouse. The present study evaluated the pollination efficiency of two orphan colonies in the quality of the fruits of the "Camino real" and "Ventana" cultivars planted under a greenhouse in Cajicá-Colombia. The buttons were excluded to obtain the fruits produced spontaneously and to be compared with the fruits coming from the visit of workers of B. atratus. It was found that the visit of the workers improved fruit quality in the features: caliber (35 % and 31 %), length (28 % and 19 %), fresh weight (103 % and 90 %), dry weight 126 % and 145 %) and number of seeds (55 % and 81 %) for the cultivar "Camino Real" and "Ventana" respectively. From the observations made, it was determined that the floral resource used by the workers of B. atratus was the nectar and recommendations are done about on its use in this crop.
Keywords: ecosystem services, horticultural crops, native bees, pollinators, protected agriculture.
INTRODUCCIÓN
En Colombia, la fresa (Fragaria x ananassa Weston 1766) se ha convertido en un cultivo de interés económico debido a la alta demanda que existe en el mercado global. En el año 2013 esta fruta fue elegida por el Programa de Transformación Productiva (PTP) del Ministerio de Comercio, Industria y Turismo como uno de los frutales con mayor proyección de exportación en el sector hortofrutícola del país, además de ser uno de los productos que exhibe un aumento significativo en el volumen de ventas al exterior (DANE, 2013). Su cultivo se distribuye entre los 1700 y 3000 m s.n.m. con temperaturas que oscilan entre 5-25 °C (Flórez y Mora, 2010), siendo Cundinamarca, Antioquia y Norte de Santander los mayores productores en el país (FAO, 2015). De las variedades sembradas en el país, Portona, Camarosa, Camino Real y Ventana son las más importantes y son producidas tanto a campo abierto como bajo cubierta (Camara de Comercio de Bogotá, 2015). Los cultivos de fresa a campo abierto aminoran los costos de producción pero facilitan la incidencia de plagas (Mossler, 2015). En contraste, los cultivos de fresa bajo cubierta favorecen el crecimiento, desarrollo y rendimiento de las plantas en comparación con las que son cultivadas a campo abierto, a pesar que incrementan los costos de producción (Xiao et al., 2001; Pertot et al., 2008; Ferrucho y Ruiz, 2013; Rubio et al., 2014). Sin embargo los cultivos bajo cubierta no facilitan la incidencia de polinizadores naturales, bien sean silvestres o exóticos, por lo que es necesaria la introducción de abejas domesticadas. Aunque la fresa es una planta autocompatible (Free, 1993), la polinización cruzada, principalmente mediada por abejas, incrementa la productividad de los cultivos (Klein et al., 2007; Dimou et al., 2008; Albano et al., 2009; Vergara y Fonseca-Buendía, 2012; De Melo E Silva et al., 2013). Por ejemplo, el uso de abejorros del género Bombus en cultivos de fresa bajo cubierta aumenta el rendimiento del cultivo en 29.6 % frente a cultivos sin abejorros, mejorando el calibre y longitud de los frutos (Zaitoun et al., 2006). En Colombia, Vásquez y Tello (1995) evaluaron el efecto de la polinización mediada por abejas de la miel A. mellifera en cultivos de fresa a campo abierto en la sabana de Bogotá, encontrando el incremento de la productividad entre un 30 a 40 %. Sin embargo, para el país no hay registros sobre la implementación de estrategias de polinización en cultivos de fresa sembrados bajo cubierta.
La polinización dirigida con abejorros del género Bombus es una estrategia implementada en diferentes países. A nivel mundial se comercializan tanto colonias con reina (monogínicas) como sin reina (huérfanas) para ser utilizadas en cultivos de interés económico. Bombus atratus Franklin 1913 es una especie promisoria como una alternativa para suplir los requerimientos de polinización de cultivos de importancia económica sembrados principalmente bajo cubierta en sur América (Salvarrey et al., 2013). En Colombia el grupo de investigación en Biodiversidad y Ecología de Abejas Silvestres (BEAS) de la Universidad Militar Nueva Granada ha realizado trabajos de cría y polinización dirigida con colonias de B. atratus en cultivos experimentales entre los que se destacan lulo (Solanum quitoense L.), tomate (Lycopersicon esculentum Mill.) y pimentón (Capsicum annum L.) (Almanza 2007; Aldana etal., 2007; Riaño et al., 2015). Como resultado de estos estudios se ha evidenciado que la polinización mediada por las obreras de B. atratus incrementa la calidad de los frutos en variables como el tamaño, peso fresco, peso seco y número de semillas.
Todas las evaluaciones de la eficiencia de la polinización de B. atratus se ha realizado a partir de colonias monogínicas, es decir colonias con la reina fundadora (Cameron y Jost, 1998). Sin embargo se ha evidenciado que B. atratus, al igual que algunas especies del género Bombus, puede presentar etapas huérfanas en las que las obreras desarrollan y activan los ovarios, dándole continuidad a la colonia aunque no tenga reina (Silva-Matos y Garófalo, 1995). Esta característica ha permitido la implementación de colonias huérfanas con obreras sexualmente activas en cultivos, sin embargo no existen antecedentes sobre este hecho con colonias de B. atratus en Colombia.
Teniendo en cuenta la importancia de la polinización en el cultivo de la fresa, la eficiencia polinizadora de B. atratus en cultivos bajo cubierta y la posibilidad de utilizar colonias huérfanas con obreras sexualmente activas, el presente trabajo buscó determinar el efecto de la polinización mediada por colonias huérfanas de B. atratus en dos variedades de fresa (Ventana y Camino real) sembradas bajo cubierta en la sabana de Bogotá.
MATERIALES Y MÉTODOS
Área de estudio
El estudio se desarrolló en el invernadero de Horticultura, ubicado en el Campus de la Universidad Militar Nueva Granada (Cajicá, Cundinamarca), con una altitud de 2597 m s.n.m. y temperatura media anual de 14 °C. Se utilizaron dos variedades de plantas madre de fresa (Fragaria x ananassa), Camino Real y Ventana, provenientes de Chile y suministradas por la empresa Proplantas S.A. Las dos variedades estaban dispuestas de manera mixta en un área total de 364,08 m2 en 12 camas elevadas de 30 m de largo, 0,5 m de ancho y 0,4 m de alto. Las plantas estaban sembradas en camas contenidas y fertilizadas por fertirriego (microgoteo) con solución nutritiva acorde con los requerimientos nutricionales de este cultivo. El número de plantas varió para cada variedad, teniendo que Camino real tenía 420 plantas y Ventana 540.
Origen de las colonias de B. atratus
Se emplearon dos colonias de B. atratus en fase de competencia (sin reina, algunas obreras con ovarios desarrollados y reproductivamente activas) con aproximadamente 50 obreras y una cantidad variable de formas inmaduras. Las dos colonias se criaron y dispusieron en el cultivo siguiendo los protocolos desarrollados por el grupo de investigación BEAS (Cruz et al., 2007; Pacateque et al., 2012; Rojas-Prieto y Cure, 2012;).
Efecto de la polinización mediada por B. atratus en las variedades Camino Real y Ventana
Las dos variedades evaluadas muestran diferencias en el tipo de inflorescencia, teniendo que Camino Real presenta flores simples individuales, mientras que Ventana presenta inflorescencias cimosas de tipo drepanio. Por ésta razón, la evaluación del efecto de la polinización mediada por las obreras de B. atratus en las dos variedades se realizó por separado y como se describe a continuación:
Variedad Camino real
Para establecer el efecto de la polinización mediada por B. atratus en la variedad Camino Real, se compararon frutos producto tanto de la autopolinización como de la polinización mediada por las obreras. Los frutos autopolinizados se obtuvieron a partir del embolsado de 45 botones florales seleccionados aleatoriamente y siguiendo la metodología empleada por Dimou et al. (2008). Las bolsas fueron retiradas una vez inició el proceso de formación del fruto. Para establecer el efecto de la polinización por B. atratus se marcaron 45 flores visitadas a partir de observaciones directas realizadas durante el estudio. Cabe aclarar que las flores visitadas no fueron embolsadas por lo que pudieron ser visitadas más de una vez. El efecto del número de visitas en el desarrollo de los frutos no se consideró.
Los frutos se cosecharon una vez se alcanzara un enrojecimiento igual o mayor a 75 %. Una vez cosechados, los frutos fueron llevados al laboratorio de Entomología en donde se realizaron las mediciones de las siguientes variables: i) Calibre: Corresponde a la medición del ancho mayor del fruto con un Vernier. ii) Longitud: Medida desde la base hasta el punto más distal con un Vernier. iii) Peso fresco: Peso del fruto inmediatamente después de cosechado en una balanza analítica. iv) Peso seco: Correspondiente al peso del fruto luego de pasar por un periodo de ocho días a temperatura de 70°C en un horno de secado. v) Número de aquenios por eterio: Conteo del número de semillas (aquenios) por cada fruto inmediatamente después de cosechado.
Variedad Ventana
Para establecer el efecto de la polinización mediada por B. atratus en la variedad ventana y teniendo en cuenta la morfología de la inflorescencia, se realizó un diseño factorial 2x3, teniendo dos tratamientos de polinización (autopolinización y polinización cruzada) y tres posiciones dentro de la inflorescencia (primera, segunda y tercera flor). Los frutos autopolinizados se obtuvieron a partir del embolsado de 30 botones florales en cada posición, seleccionados aleatoriamente, siguiendo la metodología empleada por Dimou et al. (2008). Las bolsas fueron retiradas una vez inició el proceso de formación del fruto. En la evaluación de la polinización por B. atratus se marcaron 30 flores visitadas por cada posición. Al igual que en la variedad Camino Real, las flores visitadas no fueron embolsadas por lo que pudieron ser visitadas más de una vez. No se considero el efecto del número de visitas en esta variedad. Se evaluaron las mismas variables consideradas en la variedad Camino Real.
Análisis de datos
En la variedad Camino real los datos se analizaron a partir de una prueba de T-student teniendo en cuenta la homogeneidad de varianzas a partir de la prueba de Barlett. Para la variedad Ventana se realizó un análisis de varianza (ANOVA) cumpliendo los supuestos de normalidad y homogeneidad de varianzas. Adicionalmente se realizó un análisis de medias a partir de una prueba Tukey multivariada, considerando el tipo de polinización y la posición en la inflorescencia. Los análisis se realizaron en el software estadístico R 3.1.3 para Windows (R Development Core Team, 2015).
RESULTADOS
Efecto de la polinización mediada por B. atratus
La polinización mediada por las obreras de B. atratus tuvo un efecto significativo en las variables medidas en Camino Real y Ventana. Los resultados para cada variedad se detallan a continuación:
Variedad Camino real
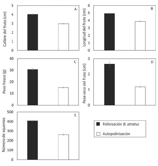
Los frutos producto de la polinización mediada por la obreras de B. atratus tuvieron un incremento del 35 % en el calibre (p<0,01; GL=94; t-11,97), del 28 % en la longitud (p<0,01; GL=94; t=-12,78), del 103 % en el peso fresco (p<0,01; GL=94; t=-16,32), del 126%en el peso seco (p< 0,01; GL=36; t=-9,83) y 55 % en el número de aquenios (p<0,01; GL=89; t=-12,06) en comparación con los frutos producto de autopolinización (Fig. 1A-E). A pesar de que existía la probabilidad de que una flor fuera visitada más de una vez, no se observó una alteración de las variables evaluadas en este tratamiento.
Variedad Ventana
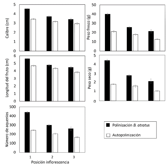
Tanto la posición en el racimo como la polinización afectaron las variables evaluadas en la variedad Ventana. Para el caso de la posición de la flor, a medida que ésta aumenta, las características de los frutos (calidad) disminuyeron, sin embargo los frutos producto de la polinización mediada por B. atratus siempre fueron de mayor tamaño, peso y con un mayor número de aquenios (calibre: p<0,01; GL=1; F=107,75; longitud: p<0,01; GL=1; F=61,27; peso fresco: p<0,01; GL=1; F=158,78; peso seco: p< 0,01; GL=1; F=246,70; número de aquenios: p<0,01; GL=89; F=242,39) en contraste con los frutos producto de la autopolinización (Fig. 2A-2E).


DISCUSIÓN
Diversos trabajos reflejan el efecto que tiene la polinización de las abejas en el cultivo de fresa (Nye y Anderson, 1974; Goodman y Oldroyd, 1988; Chagnon et al., 1989; De Oliveira et al., 1991; Svensson, 1991; Free, 1993; Albano et al., 2009; Zapata et al., 2014). En Colombia solo existe un estudio publicado que evaluó el efecto de la polinización mediada por A. mellifera en cultivos a campo abierto (Vásquez et al., 2006), de modo que este trabajo es el primer reporte en Colombia del efecto de la polinización sobre dos variedades de fresa cultivados bajo cubierta, al menos de carácter experimental.
El aumento en la calidad en fresa cultivada bajo invernadero se ha observado también en estudios con especies del género Bombus en otras variedades. Por ejemplo Zaitoun et al. (2006), registraron que las visitas de abejorros del género Bombus aumentaron el rendimiento del cultivo en un 29,6 %, favoreciendo notablemente el calibre y la longitud de los frutos de la variedad Camarosa bajo invernadero. Paydas et al. (2000a), Paydas et al. (2000b) evaluaron el efecto de A. mellifera y B. terrestris en las variedades Oso grande, Douglas, Chandler y Dorit en los que se registraron incrementos en el peso y número de aquenios de los frutos, así como la reducción de frutos deformes en comparación con el tratamiento de polinización espontánea. En abejas sin aguijón, Roselino et al. (2009) encontraron que las especies Scaptotrigona aff. depilis y Nannotrigona testaceicornis mejoran la calidad de los frutos de fresa variedad Camarosa bajo invernadero. Kakutani et al. (1993) concluyó que la abeja sin aguijón Trigona minangkabau genera aumentos en la calidad del fruto de fresa variedad Houkou-wase.
Adicionalmente, para el caso de la variedad Ventana, la posición de la flor en la inflorescencia también afectó las características del fruto. Para la fresa, se ha evidenciado que el número de pistilos está directamente relacionado tanto con el número de semillas (aquenios) como con el peso del fruto y varía dependiendo de la posición de la flor (Valleau, 1923; Nitsch, 1950; Darrow et al., 1966). De acuerdo con los estándares de calidad exigidos en Colombia para la categorización de los frutos de fresa (ICONTEC, 1997), los frutos producto de la polinización mediada por obreras de B. atratus se ubican en la categoría I de la norma (tipo exportación), mientras que los frutos producto de la polinización espontánea (autopolinización) se catalogan en las categorías II y III. Lo anterior puede tener implicaciones económicas importantes para los productores de fresa.
Silva-Matos y Garófalo (1995) Silva-Matos y Garófalo (2000) demostraron que a pesar del "desorden" que puede generar la ausencia de la reina, las colonias huérfanas de B. atratus pueden ser viables luego de que una o varias obreras desarrollen sus ovarios y permite que las colonias puedan tener una actividad prolongada (incluso por años). Los resultados de este estudio indican que las colonias huérfanas de B. atratus pueden ser implementadas en cultivos bajo cubierta, similar a lo reportado en B. terrestris (Van Doorn, 1989). Sin embargo, en la implementación de estrategias de polinización de cultivos es importante considerar que la viabilidad de las colonias de abejorros (crecimiento, desarrollo y actividad polinizadora) depende tanto de la oferta de recursos florales adicionales a los que ofrece el cultivo y que suplan sus requerimientos nutricionales, como por ejemplo cantidad y tipo de polen y néctar (Paoli et al., 2014; Stabler et al., 2015). Aunque el cultivo de fresa presenta una oferta floral alta, la producción tanto de néctar como de polen es baja (Kakutani et al., 1993; Pérez, 2014). Padilla (2014) estableció que el polen de la fresa presente en las cargas corbiculares de obreras de B. atratus representó tan solo el 0,02 % del total de fuentes polínicas utilizadas en un invernadero con múltiples recursos polínicos. Aunque durante este estudio no se realizaron análisis palinológicos, las observaciones indican que B. atratus visita la fresa por el néctar y no por el polen, lo que corrobora las observaciones hechas por el mismo autor. Teniendo en cuenta lo anterior, en el establecimiento de colonias de B. atratus en cultivos de fresa bajo cubierta es necesario que se favorezcan otras fuentes florales que ofrezcan principalmente polen para viabilizar la permanencia de las colonias en el cultivo. El esquema mixto de cultivos para favorecer la incidencia y permanencia de los polinizadores ha sido propuesto en otros cultivos (Feltham et al., 2015).
CONCLUSIONES
El abejorro B. atratus es un polinizador eficiente para los cultivos de fresa bajo cubierta ya que incrementa la calidad de los frutos en contraste con los producidos mediante polinización espontánea. El uso de colonias huérfanas de B. atratus puede ser una alternativa para la polinización de cultivos de fresa, similar a lo reportado en otras especies de abejorros del género Bombus.
AGRADECIMIENTOS
Los autores agradecen a la docente María Mercedes Pérez por sus recomendaciones en cuanto al manejo del cultivo de fresa.
REFERENCIAS
Albano S, Salvado E, Borges PAV, Mexia A. Floral visitors, their frequency, activity rate and Index of Visitation Rate in the strawberry fields of Ribatejo, Portugal: selection of potential pollinators. Part 1. Adv Hort Sci. 2009;23(4):238-245.
Aldana J, Cure J, Almanza MT, Vecil D, Rodríguez D. Efecto de Bombus atratus (Hymenoptera: Apidae) sobre la productividad de tomate (Lycopersicon esculentum Mill.) bajo invernadero en la Sabana de Bogotá, Colombia. Agron Colomb. 2007;25(1):62-72.
Almanza MT. Management of Bombus atratus bumblebees to pollinate lulo (Solanum quitoense L.), a native fruit from the Andes of Colombia. 2007. Available in: Available in: https://cuvillier.de/uploads/preview/public_file/3092/9783867271875.pdf. Cited: 2 Ago 2016.
Cámara de Comercio de Bogotá. Manual Fresa. Nucleo ambiental SAS. Bogotá; 2015. p. 59-62.
Cameron SA, Jost MC. Mediators of dominance and reproductive success among queens in the cyclically polygynous Neotropical bumble bee Bombus atratus Franklin. Insectes Soc. 1998;45:135-149. Doi:10.1007/s000400050075
Chagnon M, Gingras J, De Oliveira D. Effect of honey bee (Hymenoptera: Apidae) visits on the pollination rate of strawberries. J Econ Entomol. 1989; 82(5):1350-1353.
Cruz P, Almanza MT, Cure JR. Logros y perspectivas de la cría de abejorros del género Bombus en Colombia. Rev Facul Cien Básic. 2007;3(1):49-60.
DANE. Boletín Semanal: Precios Mayoristas 21 de Junio de 2013 (Online): N. 53. 2013 Jun. Available in: Available in: https://www.dane.gov.co/files/investigaciones/ agropecuario/sipsa/Semana_15jun_21jun_2013. pdf?phpMyAdmin = a9ticq8rv198vhk5e8cck52r11. Cited: 16 Sep 2016.
Darrow GM. The strawberry: history, breeding and physiology. 1 ed. Nueva York: Editorial Holt, Rinehart y Winstone.; 1966. p. 447.
De Melo e Silva Neto C, Gomes-Lima F, Gonçalves Bastos B, Lima Bergamini L, Araújo Ribeiro-Bergamini B, Da Silva-Elias MA, Villaron-Franceschinelli E. Native bees pollinate tomato flowers and increase fruit production. J Pollinat Ecol. 2013;11(6):41-45.
De Oliveira D, Savoie L, Vincent C. Pollinators of cultivated strawberry in Québec. Acta Hortic. 1991;288:420-424.
Dimou M, Taraza S, Thrasyvoulou A, Vasilakakis M. Effect of bumble bee pollination on greenhouse strawberry production. J Api Res. 2008; 47(2): 99-101. Doi: http://dx.doi.org/10.1080/00218839.2008.11101433.
FAO. Food and Agriculture Organization of the United Nations. 2015. Available in: Available in: http://faostat3.fao.org/browse/Q/QC/E. Cited: 2 Ago 2016.
Feltham H, Park K, Minderman J, Goulson D. Experimental evidence that wildflower strips increase pollinator visits to crops. Ecol Evol. 2015;5:3523-2530.
Ferrucho A, Ruiz D. Evaluación y comparación del comportamiento agronómico de dos cultivares de fresa ('Albión' y 'Monterey') sembrados a libre exposición y bajo macrotúnel en la sabana de Bogotá-Colombia (Tesis de pregrado). Bogotá: Programa de Biología Aplicada, Facultad de Ciencias Básicas y Aplicadas, Universidad Militar Nueva Granada; 2013. 85 p.
Flórez R, Mora R. Fresa (Fragariaxananassa Duch.) producción y manejo post cosecha. Produmedios, producción de medios de comunicación. 2010;1:114.
Free JB. Insect pollination of crops. 2 ed. London: Academic Press.; 1993. p. 768.
Goodman RD, Oldroyd BP. Honeybee pollination of strawberries (Fragaria x ananassa Duchesne). Aust J Exp Agric. 1988;28:435-438.
ICONTEC. Norma Técnica Colombiana. NTC 4103. Frutas frescas: Fresa variedad Chandler. Santafé de Bogotá, Colombia. 1997; p. 14.
Kakutani T, Inoue T, Tezuka T, Maeta Y. Pollination of strawberry by the stingless bee, Trigona minangkabau, and the honey bee, Apis mellifera: an experimental study of fertilization efficiency. Res Popul Ecol. 1993;35:95-111.
Klein AM, Vaissiere BE, Cane JH, Steffanewenter I, Cunningham SA, Kremen C, Tscharntke T. Importance of pollinators in changing landscapes for world crops. P Roy Soc Lond B Bio. 2007;274:303-313.
Mossler MA. Florida crop/pest management profiles: Strawberry. Institute of Food and Agricultural Sciences Extension. University of Florida, Gainsville, FL. 2015 Dic. Available in: Available in: https://edis.ifas.ufl.edu/pdffiles/PI/PI03700.pdf. Cited 21 Jul 2016.
Nitsch JP. Growth and morphogenesis of strawberries as related to auxin. Am J Bot. 1950;37:211-215.
Nye WP, Anderson L. Insect pollinators frequenting strawberry blossoms and the effect of honey bees on yield and fruit quality. J Amer Soc Hort Sci. 1974; 99(1):40-44.
Pacateque J, Cruz P, Aguilar M, Cure JR. Efecto de la alimentación vía bolsillo en etapas tempranas de desarrollo de Bombus atratus (Hymenoptera: Apidae). Rev Colomb Entomol. 2012;38(2):343-346.
Padilla S. Producción de sexuados de Bombus atratus (Hymenoptera: Apidae) bajo condiciones semi-controladas (Tesis Maestría). Bogotá: Programa de Biología Aplicada, Facultad de Ciencias Básicas y Aplicadas, Universidad Militar Nueva Granada; 2014. 89 p.
Paoli PP, Donley D, Stabler D, Saseendranath A, Nicolson SW, Simpson SJ, Wright GA. Nutritional balance of essential amino acids and carbohydrates of the adult worker honeybee depends on age. Amino Acids 2014;46:1449-1458.
Paydas S, Eti S, Kaftanoglu O, Yasa E, Derin K. Effects of pollination of strawberry grown in plastic greenhouses by honeybees and bumblebees on the yield and quality of the fruits. Acta Hort. 2000a; 513: 443-451.
Paydas S, Eti S, Sevinç S, Yasa E, Derin K, Kaska N, Kaftanoglu O. Effects of different pollinators to the yield and quality of strawberries. Acta Hort. 2000b; 522: 209-215.
Pérez MM. Evaluación del abejorro Bombus atratus Franklin (Hymenoptera: Apidae) como polinizador en fresa (Fragaria x ananassa Duch. "Camarosa") bajo invernadero (Tesis de Maestría). Bogotá: Facultad de Ciencias Agrarias, Universidad Nacional de Colombia; 2014. 118 p.
Pertot I, Zasso R, Amsalem L, Baldessari M, Angeli G, Elad Y. Integrating biocontrol agents in strawberry powdery Crop Prot. 2008;27:622-631.
R Development Core Team. R: A language and environment for statistical computing. R Foundation for Statistical Computing, Vienna. 2015.
Riaño D, Pacateque J, Cure JR, Rodriguez D. Comportamiento y eficiencia de polinización de Bombus atratus Franklin en pimentón (Capsicum annum L.) sembrado bajo invernadero. Rev Colomb Cienc Hortic. 2015;9(2):259-267.
Rojas-Prieto DL, Cure JR. Desarrollo de Colonias de Bombus atratus (Hymenoptera: Apidae) en Cautiverio Durante la Etapa Subsocial. Rev Facul Cien Básic. 2012;8:28-33.
Roselino AC, Santos SB, Hrncir M, Bego LR. Differences between the quality of strawberries (Fragaria x ananassa) pollinated by the stingless bees Scaptotrigona aff, depilis and Nannotrigona testaceicornis. Genet Mol Res. 2009;8:539-545. Doi: 10.4238/vol8-2kerr005
Rubio SA, Alfonso M, Grijalba M, Pérez MM. Determinación de los costos de producción de la fresa cultivada a campo abierto y bajo macrotúnel. Rev Colomb Cienc Hortic. 2014;1:67-79.
Salvarrey S, Arbulo N, Santos E, Invernizzi C. Cría artificial de abejorros nativos Bombus atratus y Bombus bellicosus (Hymenoptera, Apidae). Agrociencia Uruguay. 2013;17(2):75-82.
Silva-Matos EV, Garófalo CA. Observations on the development of queenless colonies of Bombus atratus (Hymenoptera, Apidae). J Apic Res. 1995;34:177-185.
Silva-Matos EV, Garófalo CA. Worker life tables, survivorship, and longevity in colonies of Bombus (Fervidobombus) atratus (Hymenoptera: Apidae). Rev Biol Trop. 2000;48(2-3):657-664.
Stabler D, Paoli PP, Nicolson SW, Wright GA. Nutrient balancing of the adult worker bumblebee (Bombus terrestris) depends on the dietary source of essential amino acids. The J Exp Bio. 2015;218:793-802.
Svennsson B. The importance of honeybee-pollination for the quality and quantity of strawberries (Fragariaxananassa) in central Sweden. Acta Hortic. 1991;288:260-264.
Valleau WD. The inheritance of flower types and fertility in strawberry. Am J Bot. 1923;10(5):259-274.
Van Doorn A. Factors influencing dominance behavior in queenless bumblebee workers Bombus terrestris. Physiol Entomol. 1989;14:211-222.
Vásquez RE, Ballesteros HH, Muñoz CA, Cuellar ME. Utilización de la abeja Apis mellifera como agente polinizador en cultivos comerciales de fresa y mora y su efecto en la producción. Rev Corpoica. 2006;7(1):50-53.
Vásquez RE, Tello J. Producción apícola. Produmedios. 1995;1:127.
Vergara CH, Fonseca-Buendía P. Pollination of greenhouse tomatoes by the Mexican bumblebee Bombus ephippiatus (Hymenoptera: Apidae). J Pollinat Ecol. 2012;7:27-30.
Xiao CL, Chandler CK, Price JF, Duval JR, Mertely JC, Legard DE. Comparison of epidemics of Botrytis fruit rot and powdery mildew of strawberry in large plastic tunnel and field production systems. Plant Dis. 2001;85:901-909.
Zaitoun ST, Al-Ghzawi AA, Shannag HK, Rahman A, Al-Tawahaa RM. Comparative study on the pollination of strawberry by bumble bees and honey bees under plastic house conditions in Jordan valley. J Food Agr Environ. 2006;4(2):237-240.
Zapata II, Bucio-Villalobos CM, Salas-Araiza MD, Salazar-Solís E, Martínez-Jaime OA, Wallace-Jones R. Efecto de la polinización de la fresa por Apis mellifera L. y Chrysoperla carnea S. sobre la calidad de los frutos. Nova Scientia. 2014;7(13):85-100.
Notas
Notas
Notas
Notas de autor
*For correspondence. carlosalbertopoveda@gmail.com