ARTÍCULOS
PRESENCIA DE HAPLOTIPOS NO AFRICANOS INCREMENTA LA DIVERSIDAD GENÉTICA EN PACIENTES CON ANEMIA FALCIFORME EN COLOMBIA
Presence of Non-African Haplotypes Increase Genetic Diversity in Sickle Cell Anemia Patients in Colombia
PRESENCIA DE HAPLOTIPOS NO AFRICANOS INCREMENTA LA DIVERSIDAD GENÉTICA EN PACIENTES CON ANEMIA FALCIFORME EN COLOMBIA
Acta Biológica Colombiana, vol. 23, núm. 3, pp. 253-262, 2018
Universidad Nacional de Colombia, Facultad de Ciencias, Departamento de Biología
Recepción: 05 Diciembre 2017
Recibido del documento revisado: 16 Marzo 2018
Aprobación: 10 Mayo 2018
RESUMEN: El objetivo de este estudio fue identificar la frecuencia de haplotipos dentro del cluster de Beta globina presente en pacientes con anemia falciforme en Colombia, establecer la presencia de haplotipos no africanos en esta población, así como verificar variaciones en el patrón de desequilibrio de ligamiento dentro del cluster de Beta globina. Se analizaron 83 individuos con anemia falciforme, los haplotipos se formaron utilizando cinco sitios de restricción dentro del cluster de Beta globina, se estableció la frecuencia de haplotipos, se calculó el grado de desequilibrio de ligamiento entre los sitios de restricción, así como la similitud genética de esta población con otra de afectados en América. Los haplotipos más frecuentes en la población fueron Benin (35,1 %) y Bantú (26, 5 %), ambos africanos. Sin embargo, haplotipos presentes en poblaciones indígenas americanas y europeas alcanzaron frecuencias entre el 2 - 10 %, así como haplotipos que no han sido reportados en otras poblaciones. Los sitios de restricción presentaron bajo o nulo desequilibrio de ligamiento entre ellos. Al compararse con otras poblaciones, la población colombiana presentó mayor similitud con la población de Venezuela en donde Benin y Bantú son también predominantes. Nuestros resultados muestran que el mestizaje ha facilitado el paso de la mutación para la anemia falciforme a un contexto genético no africano (amerindio y europeo). Además, el mestizaje también ha alterado el patrón de desequilibrio de ligamiento dentro del cluster de Beta globina generando modificaciones que pueden tener influencia en estudios de asociación dentro de esta población de afectados.
Palabras claves: beta globina, desequilibrio de ligamiento, haplotipos, mestizaje.
ABSTRACT: The objective of this study was identify the frequency of Beta globin cluster's haplotypes present in sickle cell anemia patients in Colombia, to establish the presence of non-African haplotypes in this population, to verify variations in the pattern of linkage disequilibrium in the Beta globin cluster. It was analyzed 83 individuals affected with sickle cell anemia, the haplotypes were formed using five restriction sites into Beta globin cluster. The haplotype frequency was calculated, as well as the linkage disequilibrium among restriction sites, the genetic similarity among Colombian population and other affected American population was determined. The haplotypes most frequent were Benin (35.1 %) and Bantu (26.5 %), both African. However, haplotypes present in American indigenous and European populations got frequency between two to ten percent, as well as haplotypes not reported in others population were observed in our population. The restriction sites showed low or null linkage disequilibrium. When compare with other populations, the Colombian population showed higher similarity with Venezuelan population where Benin and Bantu are predominant too. Our results showed that admixture has facilitated the move of sickle cell mutation to a non-African genetic context (Amerindian and European). Further, the admixture has also modified the pattern of linkage disequilibrium into the Beta globin cluster generating modifications that could have influence in association studies in this affected population.
Keywords: admixture, beta globin, haplotypes, linkage disequilibrium.
INTRODUCCIÓN
La población colombiana es producto de un proceso de mestizaje que ha sido ampliamente documentado tanto histórica como biológicamente (Ossa et al., 2016). El mestizaje es un proceso evolutivo que incorpora variabilidad genética muy rápidamente y además puede hacerlo en varios loci a la vez (Templeton, 2006). Recientes eventos de mestizaje pueden tener efectos sobre la identificación de regiones asociadas con la susceptibilidad a enfermedades, ya que pueden ser una causa de alteración de los patrones de desequilibrio de ligamiento, lo cual afecta la reproducibilidad de los estudios de asociación entre distintas poblaciones (Pritchard y Rosenberg, 1999; Cardon y Palmer, 2003).
La anemia falciforme es una enfermedad causada por la presencia de una hemoglobina anormal llamada hemoglobina S (HbS). La HbS es producto de una mutación en el sexto codón del gen de Beta globina (Ingram, 1956). La presencia de HbS genera protección en contra de la infección con malaria. Es por ello que se cree que esta mutación ocurrió en cuatro eventos independientes en Africa y un quinto en la India como una respuesta selectiva en contra de esta patología (Haldane, 1949). La identificación de estos cuatro eventos mutacionales independientes se debió a la presencia en pacientes africanos de cuatro estructuras genéticas diferentes determinadas a partir de sitios de restricción dentro del cluster de Beta globina. Los haplotipos más frecuentes dentro de los afectados se denominaron típicos (Benín, Bantú, Senegal, Camerún, y Árabe/Hindú) mientras que los que presentaban bajas frecuencias fueron denominados atípicos (Pagnier et al., 1984; Lapouméroulie et al., 1992; Zago et al., 2000). Estos haplotipos típicos ligados a la mutación para HbS presentaban una marcada distribución geográfica en África y han servido tanto para la identificación de poblaciones africanas en otros continentes, así como como predictores de la severidad de la enfermedad (Nagel et al., 1987; Thein, 2008).
En Colombia la caracterización de esta enfermedad se ha centrado en la determinación de la frecuencia de la mutación en algunas poblaciones en alto riesgo (Silva et al., 1998; De Bernal et al., 2010; Satizabal Soto et al., 2013; Ortega et al., 2015), en la identificación de los haplotipos ligados a HbS y en el estudio de variantes moduladores de hemoglobina fetal (Cuellar-Ambrosi et al., 2000; Fong et al., 2013; Fong et al., 2015). Sin embargo, continúa siendo desconocido el efecto del mestizaje de la población colombiana sobre las características genéticas de los afectados con anemia falciforme. Por ejemplo, ¿los haplotipos atípicos que se reportan en esta población son producto de recombinación de haplotipos típicos africanos o fueron adquiridos por medio de cruzamiento de individuos africanos con personas de otros grupos étnicos presentes en Colombia? Este trabajo tuvo como objeto identificar los haplotipos presentes en una muestra de personas con anemia falciforme, evaluar el grado de desequilibrio de ligamiento que hay entre los marcadores que definen estos haplotipos, y comparar esta población con otras poblaciones de afectados como de no afectados para evidenciar relaciones genéticas.
MATERIALES Y MÉTODOS
Muestra
Se tomaron muestras de sangre a 83 personas no emparentadas diagnosticadas previamente con anemia falciforme (homocigotos para hemoglobina S) en las ciudades de Buenaventura (siete individuos), Cali (29 individuos), Cartagena (39 individuos) y Montería (ocho individuos). Todos los participantes firmaron un consentimiento informado previo al enrolamiento en el estudio. Esta investigación contó con la aprobación del comité de ética de la Universidad del Valle (acta 09-09). A cada participante se le tomó una muestra de sangre de 4ml, la cual se almacenó en tubos con EDTA como anticoagulante. Los tubos se almacenaron a 4 °C hasta el momento de la extracción de ADN.
Extracción de ADN
A partir de las muestras de sangre se extrajo ADN por medio de "salting out" (Miller et al., 1988) con modificaciones. A 1 ml de sangre se adicionó 4,5 ml de solución de lisis de células rojas frío (NH4Cl 15,5mM, NaHCO3 10 mM, EDTA 0,1 mM, pH 7,4). Se incubó en hielo por 20 minutos, mezclando suavemente durante diez minutos. Después se centrifugó por diez minutos a 7000 rpm. Se eliminó el sobrenadante y se resuspendió la pastilla de leucocitos en 3,5ml de solución de lisis de células rojas se incubó en hielo por 15 minutos y se centrifugó a 7000 rpm. Se eliminó el sobrenadante y se añadió 1ml de solución de lisis de células rojas, se centrifugó cuatro minutos a 7000 rpm y se eliminó el sobrenadante. El botón se resuspendió en 300ul de solución lisis de leucocitos (10mM Tris-HCl, 400mM NaCl, 2mM EDTA ph 8,2) más 20ul de dodecilsulfato de sodio (SDS) al 10 % y 20ul de proteinasa K (20ng/ml). Esta solución se incubó por 20 horas a 37 °C. Pasado la incubación a la solución se agregó 300ul de NaCl (6M) y se agitó por 15 segundos, posteriormente se centrifugó a 7000 rpm. El sobrenadante se transirió a un tubo limpio y se adicionó 1ml de etanol absoluto frío. El tubo se invirtió entre cuatro a cinco veces hasta observar ilamentos de ADN. El ovillo de ilamentos de ADN se transfirió a un tubo de 1,5ml limpio que contenía 150ul de low TE 1x (10Mm Tris HCl). El ADN se dejó a 37 °C por 24 horas.
Amplificación de sitios de restricción y digestión enzimática
La determinación del genotipo para el locus para hemoglobina S se hizo amplificando la región 5' del gen Beta globina siguiendo las indicaciones de Attila et al. (2004). Los productos de PCR fueron digeridos usando la enzima de restricción Ddel (Fermentas, Vilnius, Lituania) de acuerdo a las indicaciones del fabricante y se incubó por 16 horas a 37 °C. Los fragmentos de digestión se visualizaron en geles de poliacrilamida (PAGE) al 8 % con tinción de nitrato de plata.
Para la determinación de los haplotipos se usaron cinco sitios de restricción dentro del cluster de Beta globina: 5'Épsilon globina, IVSII Gamma globina G, IVSII Gamma globina A, pseudo gen Beta, 3' pseudo gen Beta. Los sitios de restricción fueron ampliicados usando los primers y condiciones de PCR publicadas por Varawalla et al. (1992). Para la digestión enzimática se utilizaron las enzimas de restricción HincII (Fermentas, Vilnius, Lituania) para los sitios de restricción 5' Épsilon, pseudogen Beta, y 3' pseudogen Beta y la enzima HindIII (Fermentas, Vilnius, Lituania) para los sitios de restricción IVSII Gamma G globina e IVSII Gamma A globina. Las condiciones de la digestión se hicieron siguiendo las indicaciones del fabricante y se incubó por 16 horas a 37 °C. Los fragmentos de restricción se separaron en geles de acrilamida (PAGE) al 8 %, la visualización de los fragmentos se hizo con tinción por nitrato de plata.
Construcción de los haplotipos
Debido a que la muestra poblacional estaba formada por individuos no emparentados la construcción de los haplotipos se hizo estimando la fase gamética. La formación de estos haplotipos y la estimación de su frecuencia alélica y genotípica se hizo por medio de la función haplotype del paquete haplo.stats v1,7,7 (Sinnwell y Schaid, 2016) para la plataforma R.
Análisis estadisticos
La heterocigosidad de los haplotipos se calculó de la forma señalada por Rao (Rao, 1982). Se calculó la distancia entre los haplotipos (distancia de Hamming), con esta información se construyó una red de haplotipos usando la función haploNet del paquete pegas v 0,10 (Paradis, 2010). La estimación del grado de desequilibrio de ligamiento (LD) entre los sitios de restricción se hizo por medio del programa haploview 4,1 (Barrett et al., 2005). Para comparar la similitud o diferencias entre la población de estudio y otras poblaciones de afectados con anemia falciforme se calculó Fst's pareados (Wright, 1951) entre estas poblaciones por medio del programa arlequín 3,5 (Excoffier y Lischer, 2010). Estos valores de Fst's se utilizaron para graicar la distancia entre las poblaciones por medio de la función table.paint del paquete ade4 para la plataforma R (Dray y Dufour , 2007). Este mismo procedimiento se hizo para comparar la similitud entre la población de estudio y poblaciones indígenas colombianas, europeas, y africanas que no presentaban hemoglobina S. Las frecuencias de los haplotipos en las poblaciones de afectados americanos fueron tomados de diferentes estudios publicados (Tabla 1), mientras que las frecuencias en las poblaciones sin hemoglobina S fueron tomadas de la base de datos ALFRED (Kidd et al., 2003).
RESULTADOS
En la población de estudio se observaron 33 Genotipos, y de estos solamente 11 presentaron frecuencia igual o superior a dos por ciento. Los genotipos más frecuentes presentaron los haplotipos II y VII. El heterocigoto II/VII fue el más común (16,9 %), seguido por II/II (10,8 %). Algunos genotipos con haplotipos atípicos tuvieron frecuencias superiores a dos por ciento como es el caso de I/II (4,8 %), e incluso se lograron observar en estado homocigoto como es el caso del I/I. La heterocigosidad observada en esta población fue de 0,79.
En la población estudiada se inirieron 17 haplotipos (Fig. 1). 58 (35,1 %) cromosomas presentaron el haplotipo II o haplotipo Benín, haciéndolo el más frecuente, con el haplotipo VII (Bantú) se observaron 43 cromosomas (26,5 %). Los otros dos haplotipos típicos de origen africano también fueron observados, cinco cromosomas (2,6 %) tuvieron el haplotipos IX (Senegal) y tres cromosomas (1,7 %) contenían el haplotipo XI (Camerún). Dentro del grupo de haplotipos atípicos, el más predominante fue el haplotipo I (-----), 16 cromosomas (10 %) presentaban este haplotipo. El segundo haplotipo atípico más frecuente en nuestro estudio fue VIII (- +-- +), 10 cromosomas (6,4 %) presentaban este haplotipo. Este alelo presenta una amplia distribución en diferentes poblaciones del mundo, en pacientes con anemia falciforme en Colombia su frecuencia es incluso más alta que haplotipos típicos como Senegal o Camerún.

Dentro de nuestra muestra de pacientes se observaron haplotipos que no estaban presentes en la base de datos Alfred o reportados en otros estudios. Estos son los haplotipos III (--- + -), V (--+-+), VI (--+ + +), XV (+-+-+), y XVII (+ +-+ -). En general estos haplotipos tuvieron una frecuencia muy baja en nuestra población.
Relación entre haplotipos
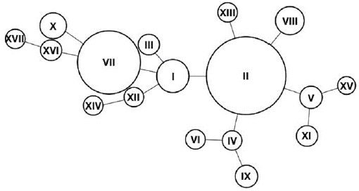
Para conocer qué tipo de relación evolutiva podrían tener los haplotipos observados en la población de estudio se realizó un análisis de networks (Fig. 2). La red resultante muestra al haplotipo I como un haplotipo central de donde derivan dos subredes. Long et al. (1990) clasificaron los haplotipos en el cluster de Beta globina en dos tipos: primer y segundo orden. Los de primer orden difieren en un solo paso de mutación o conversión génica entre ellos; los de segundo orden son productos de eventos de recombinación (Long et al., 1990). El haplotipo I (-----) se encuentra central en la red de haplotipos resultante mostrando su posición como haplotipo ancestral (Chen et al., 1990; Long et al., 1990;). El haplotipo II (-----+) es un haplotipo de primer orden, de este se derivan los haplotipos VIII (- +--+) y XIII (+-+) los cuales son haplotipos de segundo orden. A partir del haplotipo IV (--- + +) se forma una pequeña red con el haplotipo VI (--+ + +) y el haplotipo IX (- +-+ +). El haplotipo VI no ha sido reportado y puede ser producto de recombinación entre haplotipos II y IV. Otra red formada a partir del haplotipo II es la conformada por los haplotipos V, XV, XI. Los dos primeros no han sido reportados, el haplotipo XI, es el haplotipo Camerún, es un haplotipo presente en poblaciones del viejo mundo (Africa, Europa, Asia).

A partir del haplotipo I se forman dos redes, mientras que el haplotipo III (--- + -) se deriva de I en solitario. El haplotipo VII (Bantú) deriva del haplotipo I por un paso mutacional, del haplotipo VII se deriva el haplotipo X (un haplotipo de segundo orden) por un paso mutacional. Los haplotipos XVI (+ +-) y XVII (+ +-+ -) forman una pequeña subred derivada del haplotipo VII. El haplotipo XVI ha sido reportado en otros estudios y es clasificado como haplotipo de orden dos, por el contrario, el haplotipo XVII no ha sido reportado. Los haplotipos XII (+ -----) y XIV (+-+--) forman otra subred. El haplotipo XII junto al haplotipo I son considerados como haplotipos ancestrales ambos se diferencian en nuestra red por un paso mutacional. El haplotipo XIV se diferencia del XII por un paso mutacional.
Desequilibrio de ligamiento entre los sitios de restricción
El desequilibrio de ligamiento (LD) entre los sitios de restricción fue bajo para algunos sitios y en otros inexistente. En la Figura 3A se observa los valores de D' y se puede ver que son bajos en general. Solamente 3' pseudogen Beta y Gamma G presentan LD, aunque su valor de D' no es muy alto. Para comprobar si la presencia de haplotipos diferentes a los típicos puede ser un factor en la reducción del desequilibrio de ligamiento entre los sitios de restricción estudiados se hizo el cálculo de desequilibrio de ligamiento únicamente a los 34 individuos de la muestra que presentaron solo haplotipos "típico" en sus genotipos. El resultado se puede ver en la Figura 3B. Existe un aumento en el grado de desequilibrio de ligamiento entre los sitios de restricción. De nuevo el LD entre 3'pseudogen Beta y Gamma G es el más fuerte, los otros sitios de restricción pasan de no tener ningún grado de LD a poseer niveles medios. Esto demostraría que existe una influencia de alelos introducidos a la población de afectados desde poblaciones europeas y amerindias en el grado de LD entre los sitios de restricción.

Relación entre la población con anemia falciforme y otras poblaciones
Las frecuencias alélicas de la población de estudio se compararon con las observadas en otras poblaciones americanas de afectados con anemia falciforme. En la tabla 1 se muestra la frecuencia de haplotipos típicos y atípicos en estas poblaciones americanas . Los valores de Fst estuvieron dentro de un rango entre 0,06 y 0,23. Las poblaciones con las que se presentó una mayor similitud fueron dos poblaciones de afectados venezolanos, mientras que la mayor diferencia se evidenció con la población mexicana (Fig. 4). Se comparó también las frecuencias haplotípicas de la población de estudio con poblaciones africanas, europeas y de indígenas colombianos sin la enfermedad. Los valores de Fst estuvieron entre 0,05 y 0,48. En este caso la mayor similitud se observó con las poblaciones africanas Lao y Mandenka (0,05 y 0,09 respectivamente), mientras que el mayor grado de diferencia fue visto con los indígenas colombianos de las tribus Kamsa y Wayuu (0,48 para ambas poblaciones).

DISCUSIÓN
La frecuencia de los haplotipos típicos encontrados en la población de estudio no diiere de lo reportado en otras poblaciones de afectados en América, en donde los haplotipos Benín y Bantú son los más frecuentes (Moreno et al., 2002; Lemos Cardoso y Farias Guerreiro, 2006; Okumura et al., 2013). Este resultado mostraría la procedencia de la población africana llegada a Colombia, que sería principalmente del golfo de Guinea y del África centro-oriental (Pagnier et al., 1984). Sin embargo, hay que señalar que la gran mayoría de los estudios presentan un porcentaje bajo de haplotipos atípicos (Tabla 1), mientras que en nuestra población el 35 % son haplotipos de este tipo. Este resultado puede ser explicado por un extensivo proceso de mestizaje entre grupos africanos, amerindios, y europeos. Datos genéticos muestran que la población afrodescendiente en Colombia presenta un mestizaje de tres vías, con un alto porcentaje de ancestría africana (76 %), el resto del componente se divide en europeo (13 %) y amerindio (11 %). El tiempo para el inicio de este evento de mestizaje se calcula en aproximadamente diez generaciones atrás desde el presente (Conley et al., 2017).
| Estudio/País | N°. de cromosomas | Benin | Bantú | Senegal | Camerún | Árabe | Atípicos |
| (Rusanova et al., 2011)/Panamá (Ciudad de Panamá) | 200 | 30,0 | 51,0 | 8,5 | 4,0 | 1,0 | 5,5 |
| (Goncalves et al., 2003)/Brasil (Bahía) | 80 | 45,6 | 48,1 | 0,6 | 0,0 | 0,0 | 5,6 |
| (Pante-de-Sousa et al., 1999)/Brasil (Amazonas) | 20 | 10,0 | 60,0 | 30,0 | 0,0 | 0,0 | 0,0 |
| (Moreno et al., 2002)/Venezuela (Aragua) | 96 | 40,6 | 47,9 | 3,1 | 0,0 | 2,1 | 6,3 |
| (Adorno et al., 2008)/Brasil (Bahía) | 160 | 55,2 | 41,6 | 0,4 | 1,2 | 0,4 | 1,2 |
| (Vívenes de Lugo et al., 2003)/Venezuela (Sucre) | 42 | 35,7 | 50,0 | 2,4 | 0,0 | 0,0 | 11,9 |
| (Lemos Cardoso y Farias Guerreiro, 2006)/Brasil (Belém) | 260 | 66,0 | 21,8 | 10,9 | 1,3 | 0,0 | 0,0 |
| (Magaña et al., 2002)/México (Costa Chica) | 33 | 18,2 | 78,8 | 0,0 | 0,0 | 0,0 | 3,0 |
| (Muniz et al., 1995)/Cuba (Habana) | 169 | 52,7 | 40,2 | 7,1 | 0,0 | 0,0 | 0,0 |
| (Goncalves et al., 1994)/Brasil (San Pablo) | 74 | 34,0 | 62,0 | 0,0 | 0,0 | 0,0 | 4,0 |
| (Oner et al., 1992)/Canadá (Toronto) | 61 | 49,2 | 11,5 | 13,1 | 13,1 | 0,0 | 13,1 |
| Colombia (estudio actual) | 166 | 35,0 | 26,0 | 3,0 | 1,0 | 0,0 | 35,0 |
Ahora, ¿cómo estos haplotipos pudieron alcanzar un porcentaje como el observado en la población de afectados con anemia falciforme en Colombia?. Esto pudo haber sucedido a través de deriva genética. En poblaciones pequeñas y aisladas como la de los palenques la deriva génica puede aumentar la frecuencia alélica de variantes raras (haplotipos no africanos) si estas poblaciones hubiesen mantenido un crecimiento constante después de la fundación de las mismas (Templeton, 2006). Los haplotipos no africanos pudieron llegar a la población por mestizaje con europeos durante el periodo de servidumbre, así como por mestizaje con grupos indígenas ubicados cerca al palenque (Navarrete, 2001). Un dato que provee evidencia a un fuerte efecto de deriva sobre la frecuencia de haplotipos en esta población es el caso de los haplotipos XII (+-----) y I (-----). El primero de estos haplotipos es muy abundante en poblaciones indígenas colombianas (superior al 80 %) (Shimizu et al., 2004), pero a pesar de ello en la población de estudio este haplotipo alcanzó 1 %. Por el contrario, el haplotipo I (-----) que no ha sido reportado en poblaciones africanas, que es poco frecuente en indígenas suramericanos (Kaufman et al., 1998) y que tiene una frecuencia entre 3-6 % en poblaciones del Mediterráneo (Latini et al., 2003) alcanzó en la población de estudio un 10 %. Es importante mencionar que el haplotipo I (-----) no ha sido observado anteriormente en población indígena colombiana, lo que podría indicar que este tiene un origen europeo.
Cinco de los haplotipos observados en los afectados con anemia falciforme no se encontraron en bases de datos (III, V, VI, XV, y XVII). Estos haplotipos fueron encontrados en baja frecuencia 1-3 %. Dado su baja frecuencia es posible que estos haplotipos puedan ser producto de recientes eventos mutacionales o de recombinación. Por ejemplo, el haplotipo XVII (+ +-+ -) es muy similar al haplotipo Arabe/ Hindú (+ +-+ +), el cual es muy frecuente en afectados con anemia falciforme en estas dos regiones (Kulozik et al., 1987). Similar situación tiene el haplotipo XV que se diferencia por un sitio de restricción con un haplotipo ya observado en población indígena colombiana (+-+--), también presente en baja frecuencia (Shimizu et al., 2004).
A pesar de que la población de estudio eran todos individuos homocigotos para la hemoglobina S, esta población presentó un número de haplotipos bastante similar a los encontrados en poblaciones sanas del mundo. La heterocigosidad en la población de estudio fue de 0,79, la cual es mayor a la reportada para varias poblaciones a nivel mundial (0,593) (Chen et al., 1990; Long et al., 1990). Una explicación para este gran número de haplotipos puede estar relacionado a los procesos de recombinación presente dentro del cluster de Beta globina que incrementan el número de haplotipos. También, el número de haplotipos pudo haber sido influenciado por el hecho de las diferencias en la frecuencia de haplotipos presentes entre poblaciones europeas, amerindias y africanas (Chen et al., 1990; Long et al., 1990).
Un fuerte desequilibrio de ligamiento se ha observado dentro del cluster de Beta globina en estudios previos. Chakrevarty etal. (1984) encontraron dos agrupaciones de sitios de restricción que presentaban asociaciones altamente no aleatorias. Estas dos agrupaciones están separadas por una región ubicada 5' al gen Beta globina con un alto nivel de recombinación, lo cual lo califica como un hot spot para recombinación meiótica (Chakravarti et al., 1984). En población de afectados con anemia falciforme se ha encontrado un fuerte y extenso ligamiento (>400kb) en el cluster de Beta globina sobretodo en poblaciones de África y del Caribe (Hanchard et al., 2007). Liu et al (2009) utilizando los cinco sitios de restricción usados en el presente estudio encontraron en pacientes con anemia falciforme afroamericanos un bloque de ligamiento que va desde 5' Épsilon hasta Gamma A (21kb). Este bloque de ligamiento es de menor tamaño al observado en individuos sanos el cual se extendía hasta pseudo gen Beta (27kb), sugiriendo esto un menor nivel de ligamiento en los pacientes con anemia falciforme (Liu et al., 2009). En nuestros resultados los sitios de restricción en general no presentan ligamiento (cuadros blancos Fig. 4A). Este resultado puede ser debido al mestizaje. Aunque el mestizaje puede crear ligamiento entre sitios, esto sucederá si los alelos provienen de la misma población ancestral (Pfaff et al., 2001). Dado que sitios de restricción como 5' Épsilon, Gamma G, y pseudo gen Beta presentan diferencias en las frecuencias alélicas entre poblaciones (1000 Genomes Project Consortium, 2015), es posible que alelos provenientes de poblaciones distintas hayan influenciado en la caída de LD entre los sitios de restricción observados en la población de estudio. Esto se evidencia al analizar los individuos con haplotipos típicos donde se observa un aumento del LD entre los sitios de restricción (Fig. 4B).
A partir de sus diferencias genéticas los haplotipos observados formaron dos grandes grupos, y todos son derivados de los haplotipos, I (-----) y II ( ----+), el primero al parecer es el haplotipo ancestral en los humanos (Chen et al., 1990) el segundo es un haplotipo de primer orden, es decir haplotipos presentes en casi todas las poblaciones humanas que provienen de mutación o recombinación entre haplotipos de primer orden (Chen et al., 1990; Long et al., 1990). Otros haplotipos definidos como de primer orden (VII, VIII, IX, XI), en nuestra red se encuentran separados por un evento mutacional a excepción de los haplotipos IX y XI. Estos, parecen derivar del haplotipo IV, el cual es un haplotipo de segundo orden y del haplotipo V, que es un haplotipo no observado en otras poblaciones. Es posible que los haplotipos IX y XI sean producto tanto de eventos mutacionales de haplotipos de primer orden como de aquellos menos frecuentes, hay que tener en cuenta que los eventos de recombinación pueden producir haplotipos idénticos en estado por diferentes modos (Long et al., 1990).
Cuando se comparó la población de afectados de Colombia con los de otras regiones de América se encontró que los valores de Fst rondaban entre valores de baja a moderada estructuración. Esto puede ser producto del tráfico de esclavos durante el período colonial en América. Los esclavos llegados a los actuales países americanos venían a través de un comercio instalado por potencias europeas (Portugal, Holanda, Inglaterra) que transportaba individuos desde diferentes partes de África, los cuales eran luego distribuidos en las colonias en América (Pavy, 1967). Por lo tanto, es muy factible que individuos provenientes de zonas en África de alta frecuencia de haplotipos Benín, Bantú, Senegal, Camerún fueran distribuidos en distintas colonias de América y por ello mostrar estos niveles bajos a medios de estructuración. La similitud de nuestra población con las dos poblaciones de Venezuela puede ser debido a que estas comparten con la población colombiana una distribución intermedia de los haplotipos Benin y Bantú. Del mismo modo la gran diferencia observada con la población de México puede ser por la alta frecuencia del haplotipo Bantú en esta población. Este fenómeno ya fue observado por Lindenau et al.(2016) ellos observaron que poblaciones con predominio del haplotipo Benín se agrupaban entre ellas, lo mismo sucedía con las poblaciones con predominio Bantú o con poblaciones con frecuencia intermedia de ambos haplotipos (Lindenau et al., 2016).
La comparación entre la población de estudio y poblaciones sin la presencia de hemoglobina S arrojó Fsts entre 0,05 y 0,48, mostrando una alta similitud con poblaciones africanas (Lao y Mandenka), mientras que la mayor diferencia se dio con el grupo indígena Wayuu (Fst=0,48). La similitud observada con poblaciones africanas puede ser debido al predomino de haplotipos africanos en nuestra población de estudio. Lo mismo puede explicar la gran diferencia con las poblaciones indígenas, los Kamsas y Wayuu presentan una frecuencia baja del haplotipo II, un haplotipo típico africano.
CONCLUSIONES
Nuestro estudio mostró que la variabilidad genética de los pacientes con anemia falciforme en Colombia va más allá de su herencia africana y que esta población también ha sido influenciada por el proceso de mestizaje tri-étnico de la totalidad de la población colombiana, generando una apreciable variabilidad genética dentro de los afectados con anemia falciforme. La alteración en el patrón de desequilibrio de ligamiento dentro del cluster de Beta globina en nuestra población con respecto a otras poblaciones de afectados, puede ser un ejemplo del efecto del mestizaje como una fuerza que cambia las relaciones entre loci, lo cual puede tener un efecto en estudios de asociación, sobretodo en los casos en que se trata de verificar la asociación de variantes genéticas que han sido establecidas en poblaciones distintas a la colombiana.
AGRADECIMIENTOS
Los autores agradecen a todos los participantes en el estudio, sin su colaboración y paciencia este trabajo no hubiese sido posible. También agradecemos a las directivas del Hospital regional de Buenaventura, Hospital Departamental del Valle, Hospital San Jerónimo de Montería y del Hospital Napoleón Franco de Cartagena por toda su colaboración durante el desarrollo de este estudio. También agradecemos a la Universidad del Valle y a Colciencias (proyecto 1106493-26235) por la financiación de esta investigación.
REFERENCIAS
1000 Genomes Project Consortium. A global reference for human genetic variation. Nature. 2015;526(7571):68-74. Doi:10.1038/nature15393.
Adorno EV, Zanette Â, Lyra I, Seixas MO, Reis MG, Gonçalves MS. Clinical and molecular characteristics of sickle cell anemia in the northeast of Brazil. Genet Mol Biol. 2008;31(3):621-625. Doi:10.1590/S1415-47572008000400003.
Attila G, Yalin S, Tuli A, Yalin E and Kiymet A. Prenatal diagnosis of sickle cell anemia in twin pregnancies and identification by VNTRs. Clin Chim Acta. 2004;350:137-142. Doi:10.1016/j.cccn.2004.07.020.
Barrett JC, Fry B, Maller J, Daly MJ. Haploview: analysis and visualization of LD and haplotype maps. Bioinformatics. 2005;21(2):263-265. Doi:10.1093/bioinformatics/bth457.
Bernal de M, Collazos A, Bonilla RD, Tascón EP. Determination of the prevalence of hemoglobin S, C, D, and G in neonates from Buenaventura, Colombia. Colom Med. 2010;41(2):141-147.
Cardon LR, Palmer LJ. Population stratification and spurious allelic association. The Lancet. 2003;361(9357):598-604. Doi:10.1016/S0140-6736(03)12520-2.
Chakravarti A, Buetow KH, Antonarakis SE, Waber PG, Boehm CD, Kazazian HH. Nonuniform recombination within the human beta-globin gene cluster. Am J Hum Genet. 1984;36(6):1239-1258.
Chen LZ, Easteal S, Board PG, Kirk RL. Evolution of beta-globin haplotypes in human populations. Mol Biol Evol. 1990;7(5):423-437. Doi:10.1093/oxfordjournals.molbev.a040613.
Conley AB, Rishishwar L, Norris ET, Valderrama-Aguirre A, Mariño-Ramírez L, Medina Rivas MA, et al. A comparative analysis of genetic ancestry and admixture in the Colombian populations of Chocó and Medellín. G3. 2017;7(10):3435-3447. Doi:10.1534/g3.117.1118.
Cuellar-Ambrosi F, Mondragón MC, Figueroa M, Préhu C, Galactéros F, Ruiz-Linares A. Sickle cell anemia and (3-Globin gene cluster haplotypes in Colombia. Hemoglobin. 2000;24(3):221-225. Doi:10.3109/03630260008997529.
Dray S, Dufour A-B. The ade4 Package: Implementing the duality diagram for ecologists. J Stat Softw. 2007;22(4):1-20. Doi:10.18637/jss.v022.i04.
Excoffier L, Laval G, Schneider S. Arlequin (version 3.0): an integrated software package for population genetics data analysis. Evol Bioinform Online. 2005;1:47-50. Doi:10.1177/117693430500100003.
Fong C, Lizarralde-Iragorri MA, Rojas-Gallardo D, Barreto G. Frequency and origin of haplotypes associated with the beta-globin gene cluster in individuals with trait and sickle cell anemia in the Atlantic and Pacific coastal regions of Colombia. Genet Mol Biol. 2013;36(4):494-497. Doi:10.1590/S1415-47572013000400005.
Fong C, Menzel S, Lizarralde MA, Barreto G. Genetic variants associated with fetal hemoglobin levels show the diverse ethnic origin in Colombian patients with sickle cell anemia. Biomédica. 2015;35(3):437-443. Doi:10.7705/biomedica.v35i3.2573.
Goncalves MS, Bomfim GC, Maciel E, Cerqueira I, Lyra I, Zanette Â, et al. ßS-Haplotypes in sickle cell anemia patients from Salvador, Bahia, Northeastern Brazil. Braz J Med Biol Res. 2003;36(10):1283-1288. Doi:10.1590/S0100-879X2003001000001.
Goncalves MS, Nechtman JF, Figueiredo MS, Kerbauy J, Arruda VR, Sonati MF, et al. Sickle cell disease in a Brazilian population from Sao Paulo: a study of the beta s haplotypes. Hum Hered. 1994;44(6):322-327. Doi:10.1159/000154238.
Haldane JBS. The rate of mutation of human genes. Hereditas. 1949;35:267-273. Doi:10.1111/j.1601-5223.1949.tb03339.x.
Hanchard N, Elzein A, Trafford C, Rockett K, Pinder M, Jallow M, et al. Classical sickle beta-globin haplotypes exhibit a high degree of long-range haplotype similarity in African and Afro-Caribbean populations. BMC Genet. 2007;8(1):52. Doi:10.1186/1471-2156-8-52.
Ingram VM. A specific chemical difference between the globins of normal human and sickle-cell anaemia haemoglobin. Nature. 1956;178(4537):792-794.
Kaufman L, Carnese FR, Goicoechea A, Dejean C, Salzano FM, Hutz MH. Beta-globin gene cluster haplotypes in the Mapuche Indians of Argentina. Genet Mol Biol . 1998;21(4). Doi:10.1590/S1415-47571998000400003.
Kidd KK, Rajeevan H, Osier MV, Cheung KH, Deng H, Druskin L, et al. ALFRED - the ALlele FREquency Database - update. Am J Phys Anthropol. Annual Meeting Issue. 2003; Supplement S36:128. Available in: Available in: https://alfred.med.yale.edu/alfred/recordinfo.asp?UNID=SI001218M. Accessed: 3 March 2016.
Kulozik AE, Kar BC, Satapathy RK, Serjeant BE, Serjeant GR, Weatherall DJ. Fetal hemoglobin levels and beta (s) globin haplotypes in an Indian population with sickle cell disease. Blood. 1987;69(6):1742-1746.
Lapouméroulie C, Dunda O, Ducrocq R, Trabuchet G, Mony-Lobé M, Bodo JM, et al. A novel sickle cell mutation of yet another origin in Africa: the Cameroon type. Hum Genet. 1992;89(3):333-337.
Latini V, Vacca L, Ristaldi MS, Marongiu MF, Memmi M, Varesi L, et al. Beta-globin gene cluster haplotypes in the Corsican and Sardinian populations. Hum Biol. 2003;75(6):855-871.
Lemos Cardoso G, Farias Guerreiro J. African gene flow to north Brazil as revealed by HBB*S gene haplotype analysis. AmJ Hum Biol. 2006;18(1):93-98. Doi:10.1002/ajhb.20467.
Lindenau JD, Wagner SC, Castro SM de, Hutz MH. The effects of old and recent migration wave in the distribution of HBB*S globin gene haplotypes. Genet Mol Biol . 2016;39(4):515-523. Doi:10.1590/1678-4685-gmb-2016-0032.
Liu L, Muralidhar S, Singh M, Sylvan C, Kalra IS, Quinn CT, et al. High-density SNP genotyping to define ß-globin locus haplotypes. Blood Cells Mol Dis. 2009;42(1):16-24. Doi:10.1016/j.bcmd.2008.07.002.
Long JC, Chakravarti A, Boehm CD, Antonarakis S, Kazazian HH. Phylogeny of human beta-globin haplotypes and its implications for recent human evolution. Am J Phys Anthropol. 1990;81(1):113-130. Doi:10.1002/ajpa.1330810112.
Magaña MT, Ongay Z, Tagle J, Bentura G, Cobián JG, Perea FJ, et al. Analysis of ßS and ßA Genes in a Mexican Population with African Roots. Blood Cells Mol Dis . 2002;28(2):121-126. Doi:10.1006/bcmd.2002.0498.
Miller SA, Dykes DD, Polesky HF. A simple salting out procedure for extracting DNA from human nucleated cells. Nucleic Acids Res. 1988;16(3):1215. Doi:10.1093/nar/16.3.1215.
Moreno N, Martínez JA, Blanco Z, Osorio L, Hackshaw P. Beta-globin gene cluster haplotypes in Venezuelan sickle cell patients from the State of Aragua. Genet Mol Biol . 2002;25(1):21-34. Doi:10.1590/S1415-47572002000100005.
Muniz A, Corral L, Alaez C, Svarch E, Espinosa E, Carbonell N, et al. Sickle cell anemia and ß-gene cluster haplotypes in Cuba. Am J Hematol. 1995;49(2):163-164. Doi:10.1002/ajh.2830490212.
Nagel RL, Rao SK, Dunda-Belkhodja O, Connolly MM, Fabry ME, Georges A, et al. The hematologic characteristics of sickle cell anemia bearing the Bantu haplotype: the relationship between G gamma and HbF level. Blood. 1987;69(4):1026-1030.
Navarrete M. Cimarrones y palenques en las provincias al norte del Nuevo Reino de Granada S.XVII. Fronteras de la Historia. 2001;6:97-122.
Okumura JV, Lobo CL de C, Bonini-Domingos CR. Beta-S globin haplotypes in patients with sickle cell anemia: one approach to understand the diversity in Brazil. Rev Bras Hematol Hemoter. 2013;35(1):71-72. Doi:10.5581/1516-8484.20130019.
Oner C, Dimovski AJ, Olivieri NF, Schiliro G, Codrington JF, Fattoum S, et al. Beta S haplotypes in various world populations. Hum Genet. 1992;89(1):99-104.
Ortega DC, Fong C, Cardenas H, et al. Evidence of over-dominance for sickle cell trait in a population sample from Buenaventura, Colombia. Int J Genet Mol Biol . 2015;7(1):1-7.
Ossa H, Aquino J, Pereira R, Ibarra A, Ossa RH, Pérez LA, et al. Outlining the Ancestry Landscape of Colombian Admixed Populations. PLoS ONE. 2016;11(10):e0164414. Doi:10.1371/journal.pone.0164414.
Pagnier J, Mears JG, Dunda-Belkhodja O, Schaefer-Rego KE, Beldjord C, Nagel RL, et al. Evidence for the multicentric origin of the sickle cell hemoglobin gene in Africa. Proc Natl Acad Sci USA. 1984;81(6):1771-1773.
Pante-de-Sousa G, Mousinho-Ribeiro RC, Santos EJ Dos, Guerreiro JF. Beta-globin haplotypes analysis in Afro-Brazilians from the Amazon region: evidencefora significant gene flow from Atlantic West Africa. Ann Hum Biol. 1999;26(4):365-373. Doi:10.1080/030144699282679.
Paradis E. Pegas: an R package for population genetics with an integrated-modular approach. Bioinformatics. 2010;26(3):419-420. Doi:10.1093/bioinformatics/btp696.
Pavy D. The provenience of Colombian negroes. J Negro Hist. 1967;52(1):35-58. Doi:10.2307/2716599.
Pfaff CL, Parra EJ, Bonilla C, Hiester K, McKeigue PM, Kamboh MI, et al. Population structure in admixed populations: effect of admixture dynamics on the pattern of linkage disequilibrium. Am J Hum Genet . 2001;68(1):198-207. Doi:10.1086/316935.
Pritchard JK, Rosenberg NA. Use of unlinked genetic markers to detect population stratification in association studies. Am J Hum Genet . 1999;65(1):220-228. Doi:10.1086/302449.
Rao CR. Diversity and dissimilarity coefficients: A unified approach. Theorical population biology. 1982;21(1):24-43. Doi:10.1016/0040-5809(82)90004-1.
Rusanova I, Cossio G, Moreno B, Javier Perea F, De Borace RG, Perea M, et al. ß-globin gene cluster haplotypes in sickle cell patients from Panamá. Am J Hum Genet . 2011;23(3):377-380. Doi:10.1002/ajhb.21148.
Satizabal Soto JM, Neuta Arciniegas PA, Somoyar Ordosgoiti P, Torres Muñoz J. Tamizaje de hemoglobinopatías en neonatos de Cali, Colombia. Gastrohnup. 2013;15(2):S1.
Shimizu K, Marubayashi A, Tokimasa K, Harihara S, Omoto K, Imanishi T, et al. Characteristic beta-globin gene cluster haplotypes of Evenkis and Oroqens in north China. Hum Biol. 2004;76(5):765-778.
Silva JR, Malambo D, Silva DF, Fals E, Fals O. Tamizaje de hemoglobinopatías en muestra de la población infantil de Cartagena. Pediatría.1998;33(2):86-89.
Sinnwell JP, Schaid DJ. haplo.stats: Statistical analysis of haplotypes with traits and covariates when linkagephase is ambiguous [Internet]. 1st ed. Available from: http://CRAN.R-project.org/package=haplo.stats.
Templeton AR. Population Genetics and Microevolutionary Theory. Hoboken: John Wiley & sons, Inc; 2006. p.168-198.
Thein SL. Genetic modifiers ofthe beta-haemoglobinopathies. Br J Haematol. 2008;141(3):357-366. Doi:10.1111/j.1365-2141.2008.07084.x.
Varawalla NY, Fitches AC, Old JM. Analysis of beta-globin gene haplotypes in Asian Indians: origin and spread of beta-thalassaemia on the Indian subcontinent. Hum Genet. Springer-Verlag; 1992;90(4):443-449. Doi:10.1007/BF00220475.
Vívenes De Lugo M, Rodríguez Larralde A, Castro de Guerra D. Beta-globin gene cluster haplotypes as evidence of African gene flow to the northeastern coast of Venezuela. Am J Hum Biol. 2003;15(1):29-37. Doi:10.1002/ajhb.10120.
Wright S. The genetical structure of populations. Ann Eugenics. 1951;15:323-354.
Zago MA, Silva WA, Dalle B, Gualandro S. Atypical bS aplotypes are generated by diverse genetic mechanisms. Am J Hematol . 2000;63:79-84.
Notas
Notas de autor
*For correspondence.cristian.fongr@campusucc.edu.co