Artículos
DIVERSIDAD DE ESCARABAJOS COPRÓFAGOS (COLEOPTERA: SCARABAEIDAE) DE LA ZONA NORTE DE LA SERRANÍA DE LA LINDOSA, GUAVIARE-COLOMBIA
Diversity of dung beetles (Coleoptera: Scarabaeidae) of the northern zone from Serranía de La Lindosa, Guaviare-Colombia
DIVERSIDAD DE ESCARABAJOS COPRÓFAGOS (COLEOPTERA: SCARABAEIDAE) DE LA ZONA NORTE DE LA SERRANÍA DE LA LINDOSA, GUAVIARE-COLOMBIA
Acta Biológica Colombiana, vol. 24, núm. 2, pp. 311-321, 2019
Universidad Nacional de Colombia, Facultad de Ciencias, Departamento de Biología
Recepción: 04 Enero 2018
Recibido del documento revisado: 10 Octubre 2018
Aprobación: 28 Diciembre 2018
RESUMEN: Se estudió la composición faunística de los escarabajos coprófagos en cuatro sitios de muestreo en la zona norte de la Serranía de La Lindosa en el Departamento del Guaviare, evaluando la diversidad y la estructura de los ensamblajes que se compararon con trabajos realizados en otras zonas de la Guyana biogeográfica. Los resultados muestran valores bajos en la diversidad, propios de zonas con baja disponibilidad de recursos y gran exigencia climática y el predominio de especies de hábito de nidificación cavadora sobre especies residentes y rodadoras. La composición de la fauna presenta gran número de especies comunes con otras áreas de la región, similar a las afinidades encontradas para otros taxones que apoyan los nexos de estas serranías colombianas con los escudos guyanés y brasileño.
Palabras clave: Biodiversidad, entomología, escarabajos, Guyana colombiana, Orinoquía.
ABSTRACT: Faunal composition of the coprophagous beetles was studied in four sampling sites in the northern area from the Serranía de La Lindosa in Guaviare, testing diversity values and structure of the assemblages that were compared with other research done in any other areas of Biogeographical Guyana. The results showed low diversity values, typical of areas with low availability of resources and extreme climatic conditions and showed the predominance of species with nesting digging habit over resident and rolling species. The fauna composition presents a large number of common species with any other areas of the region, as occur as other affinities found for other taxa that support the links of these Colombian mountains to the Guyanese and Brazilian shields.
Keywords: Biodiversity, colombian Guyana, entomology, scarab beetles, Orinoquia.
INTRODUCCIÓN
Los escarabajos coprófagos constituyen uno de los grupos de insectos mejor conocidos a nivel mundial tanto en su taxonomía como en la conformación e importancia ecológica de sus ensamblajes de especies, los cuales responden como unidad funcional a características específicas de los paisajes naturales y de aquellos alterados por la acción antrópica, lo que los constituye como uno de los grupos más utilizados en estudios de conservación y recuperación ecosistémica por su carácter bioindicador (Halffter y Matthews, 1966; Hanski y Cambefort, 1991; Halffter y Favila, 1993; Escobar et al., 2005; Fuentes y Camero, 2006; Nichols et al., 2008; Simmons y Ridsidill, 2011). Las principales funciones ecológicas de este grupo de insectos son la contribución al reciclaje de nutrientes, la fertilización del suelo y la contribución a procesos edafogenéticos, la dispersión de semillas y su relación ecológica directa con vertebrados y otros grupos de artrópodos e invertebrados (Hanski y Cambefort, 1991; Nichols et al., 2008). La fauna de escarabajos coprófagos en Colombia está representada por 40 géneros y cerca de 300 especies (Noriega et al., 2015), lo cual representa alrededor del 60 % de la diversidad de géneros y el 30 % de especies de la fauna Neotropical (Philips, 2011).
La Guyana colombiana hace parte de la provincia biogeográfica occidental del escudo guyanés, subdividida en cinco distritos y 12 áreas de endemismos y conformada por una serie de sierras, serranías, cerros y sabanas que estuvieron unidas en el Terciario a los escudos guyanés y brasileño (Huber, 1994; Etter, 1997). Estas serranías están configuradas por afloramientos rocosos, bosques y sabanas con elementos vegetales comunes a todas ellas y una gran cantidad de especies endémicas como el caso de las bromeliáceas del género Navia, árboles del género Roupala y las emblemáticas Vellozia lithophila y Paepalanthus formosus (Hernández et al., 1992; Berry et al., 1995). Entre las sierras y serranías de origen guyanés y con elementos florísticos y faunísticos compartidos, sobresalen las de Chiribiquete, La Macarena, El Tuparro, Araracuara, Taraira, Naquén, Lajas de Guainía y La Lindosa (Gentry, 1982; Cortés y Franco, 1997).
La vegetación típica de la Serranía de La Lindosa está incluida en una serie de bosques bajos, arbustales y sabanas con mayores afinidades florísticas con las Serranías de La Macarena y El Tuparro que con las Serranías de Araracuara, Chiribiquete y las Lajas de Guainía (Giraldo-Cañas, 2001). Los bosques bajos están conformados por comunidades vegetales de pocos individuos, con alturas de hasta 8 m y de dosel irregular, dando la apariencia de bosques ralos con poca cobertura del dosel. Los arbustales se localizan sobre los afloramientos rocosos y están compuestos por pocas especies arbustivas en general pertenecientes a las familias Bonnetiaceae, Clusiaceae, Rubiaceae, Annonaceae, Asteraceae, Melastomataceae, Myrtaceae y Tepuianthaceae y especies herbáceas de los géneros Vellozia, Axonopus, Schizachyrium, Navia, Aechmea, Anemia, Selaginella y Diacidia.
Las sabanas pueden ser de varios tipos, pero en general con presencia de algunas especies de Trachypogon, Andropogon, Panicum, Paspalum, Axonopus, Otachyrium, Xyris, Utricularia, Bulbostylis, Calea, Aeschynomene, Clitoria, Desmodium, Nautilocalyx, Hyptis, Siphantera, Sipanea, Sipaneopsis y Drosera entre otras (Giraldo-Cañas, 2001).
La composición florística de sierras y serranías de la Guyana colombiana y sus nexos biogeográficos son parte de la mayoría de las investigaciones realizadas en esta zona del país, siendo muy escasos los trabajos en grupos animales y particularmente en los grupos de insectos. Para el caso de los escarabajos estercoleros son pocas las investigaciones en biodiversidad y los trabajos más puntuales abarcan las serranías de El Tuparro (Quintero et al., 2007) y Chiribiquete (Martín-Piera y Fernández-Torres, 1996; Pulido et al., 2003). La ausencia de trabajos referentes a la composición de la fauna de insectos y en especial aquellos que contemplen los escarabajos estercoleros en la diversidad de ecosistemas de la Serranía de La Lindosa, animan al conocimiento de la biodiversidad regional más allá de los aspectos descriptivos, por lo que el presente trabajo, busca determinar la conformación de los ensamblajes de especies de escarabajos coprófagos en cuatro estaciones de muestreo de la Serranía de La Lindosa bajo diferentes coberturas vegetales y establecer sus afinidades faunísticas con otras áreas ya estudiadas de la Guyana Colombiana..
MATERIALES Y MÉTODOS
El trabajo de campo se realizó en la zona norte de la Serranía de La Lindosa (Departamento del Guaviare) en cuatro puntos de muestreo: afloramientos rocosos de la Puerta de Orión (M1), ubicados en los 2o30'53"N y 72o42'33"W a 290 m de altura; sabanas casmófitas (M2) ubicadas en los 2o30'45"N y 72o42'52"W a 320 m; los matorrales espinosos (M3) ubicados en los 2o30'42"N y 72o42'41"W a 345 m y bosques bajos (M4) ubicados en los 2o30'12"N y 72o41'17"W a 315 m.s.n.m (Fig. 1). En cada una de las cuatro estaciones se utilizaron trampas de caída cebadas con coprocebo humano durante 48 horas siguiendo las recomendaciones de Howden y Nealis, (1975) y Howden y Young, (1981). Se instalaron diez trampas de caída separadas 10 m una de otra en transectos de muestreo aleatorio para cubrir áreas de 100 m x 100 m al interior de matrices homogéneas de cada cobertura vegetal para evitar los efectos de influencia por coberturas vegetales adyacentes, manteniendo las condiciones similares del mantillo y de la capa superficial del suelo como carácter edáfico determinante en la conformación de los gremios de escarabajos. Los especímenes colectados se etiquetaron y transportaron al Departamento de Biología de la Universidad Nacional de Colombia para ser depositados en la colección de referencia del Departamento de Biología luego de ser determinados a nivel de especie siguiendo las claves taxonómicas de Arrow, (1933); Halffter y Martínez, (1977); Howden y Young, (1981); Edmonds, (1994; 2000); Medina y Lopera-Toro, (2000); Vitolo, (2000); Kohlmann y Solís, (1997; 2001); Solís y Kohlmann, (2002; 2004; 2013); Edmonds y Zidek, (2004; 2010); González et al., (2009); Camero, (2010); Vaz de Mello et al., (2011); Sarmiento y Amat, (2014) y Cupello, (2018) y por confrontación con especímenes de referencia confirmando los nombres válidos en Species 2000 y Catálogo ITIS (Roskov et al., 2014). Para el análisis de los datos se evaluó la eficiencia del muestreo mediante los estimadores de abundancia ACE, CHAO 1 y COLE en las curvas de acumulación de especies de los puntos de muestreo con el uso del programa EstimateS v. 9.0 (Colwell, 2013). La comparación entre localidades se efectúo mediante análisis de Box plot y dendrogramas de similaridad de Bray-Curtis (Brower y Zar, 1984) a partir de los datos de presencia/ausencia de especies siguiendo el método de single-linkage y por la comparación entre los valores de diversidad medida por los índices descriptivos de Brillouin (B) de dominancia (D) y equitatividad de Simpson (1-D) y de Diversidad Beta de Wittaker (aW) a partir de los valores de abundancia de las especies mediante el uso del programa PAST v. 2.15 (Hammer et al., 2001; Magurran, 2004) que se validaron mediante pruebas de Kruskal-Wallis (Zar, 1999). Finalmente, se evaluó la afinidad de la fauna colectada en los sitios de muestreo mediante un Análisis de Correspondencia (DCA) y se realizó el modelamiento geográfico para otras áreas del país con condiciones climáticas similares a las condiciones climáticas promedio del área de estudio, seleccionando las variables más relevantes mediante el Ecological Niche Factor Analysis (ENFA), (Hirzel et al., 2002) a partir de las variables bioclimáticas libremente disponibles en Worldclim (Hijmans et al., 2005).

RESULTADOS
Se colectaron 1025 ejemplares de Scarabaeinae pertenecientes a ocho géneros, 22 especies. Las localidades con mayor número de especies colectadas fueron las ubicadas en los afloramientos rocosos de Puerta de Orión (M1) y los matorrales espinosos (M3) con 13 especies, seguidas por los bosques bajos (M4) con diez y las sabanas casmófitas (M2) con seis especies (Tabla 1). Existe diferencias en los valores de diversidad entre los cuatro puntos de muestreo (Kruskal-Wallis, H=7,05, p=0,05); la mayor diversidad faunística se obtuvo en la estación de muestreo localizada en los matorrales espinosos (M3) (B=2,221) y la menor en las sabanas casmófitas (M2) (B=1,475), la cual también presenta los mayores valores de dominancia de especies (D=0,2458) y la menor equitatividad (1-D=0,7542) (Tabla 2). El mayor recambio de especies se encontró entre los puntos de muestreo de los bosques bajos (M4) y los afloramientos rocosos de Puerta de Orión (M1) (aW=0,56522) y la menor, entre esta última y los matorrales espinosos (M3) (aW=0,31034).


Los ensamblajes de escarabajos estercoleros están compuestos por gremios de especies que se diferencian en tres grupos según la forma como realizan su nidificación sobre las fuentes de alimento: paracópridos o cavadores, telecópridos o rodadores y endocópridos o residentes, que a la vez son estrategias importantes en la competencia por recursos dentro de estos gremios (Halffter, 1991; Hanski y Cambefort, 1991). Las especies más abundantes en la mayoría de las estaciones de muestreo fueron Uroxys cf elongatus, Dichotomius nisus y Dichotomius cf problematicus que corresponden a especies de hábito cavador. Otras especies de menor abundancia fueron encontradas en todas las estaciones como las especies cavadoras Onthophagus sp1 y Uroxys sp y las especies endocópridas Eurysternus cayennensis y Eurysternus caribaeus. En general, se colectó un mayor número de especies cavadoras que endocópridas o rodadoras en todas las estaciones de muestreo lo que podría considerarse como un rasgo característico de los ensamblajes de escarabajos coprófagos a nivel de paisaje.
La eficiencia de los muestreos en las distintas localidades medida por los estimadores ACE, CHAO 1 y COLE (Fig. 2) mostró grados muy similares, siendo más eficiente en la estación ubicada en los matorrales espinosos (M3) en la cual la completitud de especies fue cercana al 95 %. Para las demás localidades, se encontraron diferencias cercanas al 90 % entre la fauna colectada y la esperada y tendencia a estabilización de las curvas a partir de las diez unidades muestrales. La tendencia a valores cercanos a cero de los estimadores que evalúan las especies representadas por pocos individuos en los muestreos (Singletons y Doubletons), indica que el número de unidades muestrales utilizadas en los diferentes puntos fue suficiente para colectar la mayoría de la fauna presente en cada estación.

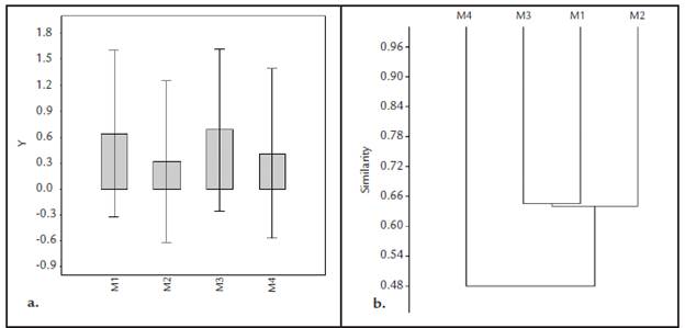
No obstante, no se encontraron diferencias significativas en la composición faunística de los cuatro puntos de muestreo según el análisis Box plot (Fig. 3a), la similaridad entre puntos de muestreo según el diagrama de Bray-Curtis (Fig. 3b), mostró mayor relación entre aquellas ubicadas en los afloramientos de Puerta de Orión (M1) y los matorrales espinosos (M3) (p>0,66) y menor relación entre estas y sabana casmófita (M2) y los bosques bajos (M4). El mayor número de las especies se comparte entre los puntos de muestreo M1, M2 y M3 que corresponden a los afloramientos rocosos de la Puerta de Orión, la sabana casmófita y el matorral espinoso, lo cual explica la marcada diferencia en el dendrograma de similaridad entre estos tres puntos de muestreo y la estación ubicada en los bosques bajos que cuenta con una composición faunística particular (Tabla 1).

DISCUSIÓN
COMPOSICIÓN FAUNÍSTICA Y DIVERSIDAD
Los resultados muestran la baja diversidad propia de este tipo de zonas derivadas de formaciones geológicas guyanesas y de gran exigencia climática (Gentry, 1982), cuyas principales características ecofisiológicas la conforman los bosques bajos, las sabanas y los afloramientos rocosos donde la tipología mayormente arenosa de los suelos y la poca humedad retenida explican las bajas densidades poblacionales y la baja diversidad de escarabajos estercoleros (Lumaret y Kirk, 1991). Valores similares en la diversidad de especies de este grupo ya han sido registrados para algunos sectores de la Serranía de Chiribiquete (Martín-Piera y Fernández-Torres, 1996; Pulido et al., 2003) y para afloramientos rocosos de la Guyana Francesa (Feer, 2012).
A pesar del bajo número de especies registradas, se encontraron diferencias en la composición faunística de escarabajos coprófagos en los puntos de muestreo (Tabla 1), en la mayor riqueza de especies encontrada en los afloramientos rocosos (M1) y el matorral espinoso (M3) en comparación a las demás estaciones de muestreo y en la mayor cantidad de especies no compartidas de los afloramientos rocosos de Puerta de Orión (M1). Más del 54 % de la fauna colectada es compartida; las especies más comunes en los cuatro sitios de muestreo incluyen a las tres especies más abundantes: Uroxys cf elongatus, Dichotomius nisus y Dichotomius cf problematicus, que junto con Eurysternus cayennensis, Eurysternus caribaeus, Onthophagus sp1 y las dos especies del género Uroxys pueden considerarse como aquellas que son características de los ensamblajes de escarabajos coprófagos de la zona norte de la Serranía de La Lindosa.
La unidad biogeográfica, la particularidad de la biota y el alto grado de endemismo de la Guyana colombiana ha sido considerada en varias ocasiones tanto desde la historia de su geología, como por los nexos de su diversidad biológica con los escudos guyanés y brasileño (Lescure y Boulet, 1985; Kubitzki, 1989; Hernández et al., 1992; Cortés y Franco, 1997; Giraldo-Cañas, 2001). Varias de las especies de escarabajos coprófagos encontradas en la Serranía de La Lindosa, han sido registrados anteriormente para la provincia biogeográfica Occidental del escudo Guyanés: C. centrale, C. funebre, C. aequinoctialis, C. luteicollis, D. amazonicum, D. problematicus, E. caribeaus, E. cayennensis, O. haematopus y O. conspiscillatum, fueron colectadas en algunas zonas de la Serranía de Chiribiquete (Pulido et al., 2003), mientras que C. centrale, C. triangularis, E. caribeaus, E. cayennensis y O. haematopus en bosques de la Guyana Francesa (Feer, 2012). C. aequinoctialis, C. luteicollis, D. problematicus, E. caribaeus y O. haematopus son especies que han sido registradas en otras zonas de estudio del Departamento del Guaviare (Escobar, 2000), lo que representa un gran número de especies de amplia distribución y comunes a toda la provincia biogeográfica; muchas de las especies no determinadas en estos estudios especialmente de los géneros Canthidium, Canthon, Dichotomius, Onthophagus y Uroxys, podrían corresponder a especies aún no descritas que ampliarían el número de especies endémicas de los ecosistemas regionales.
Para el caso de los ensamblajes de especies colectados en los puntos de muestreo de la Serranía de La Lindosa, la mayoría de las especies son cavadoras y son muy pocas las especies endocópridas y rodadoras. Las especies cavadoras pertenecen a los géneros Canthidium, Dichotomius, Onthophagus, Oxysternon y Uroxys, las endocópridas al género Eurysternus y las rodadoras a los géneros Canthon y Deltochilum. La dominancia de especies cavadoras es propia de ambientes naturales donde los recursos son escasos y en sitios donde favorece la tipología edáfica (Halffter y Edmonds, 1982; Howden et al., 1991; Fuentes y Camero, 2006). Probablemente, la baja intervención antrópica de los cuatro ambientes en donde se establecieron los puntos de muestreo sea una de las causas de la escases de recursos para este tipo de fauna y que la tipología del suelo favorezca además, el predominio de especies con hábitos de nidificación cavadora. La influencia antrópica como factor importante en el establecimiento de los gremios de los escarabajos estercoleros, ya ha sido reportada en estudios ecológicos en otras zonas del país (Fuentes y Camero, 2006; Pardo-Locarno y Camero, 2014).
La figura 4 muestra las afinidades de la fauna colectada en los sitios de muestreo debidas a la distribución o a la densidad poblacional (Fig. 4a) y las áreas en Colombia cuya similaridad en las condiciones climáticas podrían potencialmente albergar una fauna similar como serían algunas zonas específicas de la Serranía de La Macarena, la Serranía de Chiribiquete y Araracuara o zonas cercanas a los afloramientos rocosos de El Tuparro (Fig. 4b). No obstante, la amplia distribución de varias de las especies colectadas en todos los sitios de muestreo como D. nisus o U. elongatus, sobresale la afinidad de C. fúnebre, O. marginicollis y C. lituratus por los afloramientos rocosos de Puerta de Orión (M1), D. problematicus por la sabana casmófita (M2), Onthophagus sp1 y O. haematopus por los matorrales espinosos (M3) y C. aequinoctialis, C. luteicollis y C. triangularis por los bosques bajos (M4). Las afinidades de la fauna por los sitios de muestreo podrían deberse, más que a la oferta de recursos, a las condiciones microclimáticas y edáficas favorables para la nidificación o reproducción (Halffter y Edmonds, 1982; Hanski y Cambefort, 1991) que se reflejan en el recambio de especies de los bosques bajos con todos los demás ecosistemas (Tabla 2).

SINOPSIS DE LA FAUNA COLECTADA
La sinopsis de la fauna colectada se realizó teniendo en cuenta la presencia en los sitios de muestreo y la distribución geográfica actual en Colombia de acuerdo con los compendios más recientes y fuentes bibliográficas de trabajos realizados en otras zonas de la Guyana colombiana: El género Canthidium (Erichson, 1847) es uno de los géneros más diversos en Colombia para el cual se estiman actualmente 27 especies, muchas de ellas de amplia distribución geográfica (Noriega et al., 2015). Las dos especies colectadas en la zona de estudio: Canthidium cf centrale y Canthidium funebre, fueron encontradas en los afloramientos rocosos de Puerta de Orión (M1) y en los matorrales espinosos (M3). Canthidium centrale se ha colectado en Colombia en la zona montañosa de los Departamento de Antioquia, Chocó, Nariño hasta alturas de 1800 m.s.n.m, en sabanas y selvas de los Departamentos del Vaupés y Vichada (Medina et al., 2001; Quintero et al., 2007; Pardo-Locarno y Camero, 2014) y en inmediaciones de las Serranías de Chiribiquete y de las Guyanas (Pulido et al., 2003; Feer, 2012; Larsen, 2013).
El género Canthon (Hoffmannsegg, 1817), es otro de los géneros con mayor diversidad en Colombia. Se han registrado 34 especies en el país (Noriega et al., 2015), pero este número podría ser mucho mayor debido a la gran cantidad de registros depositados en diferentes colecciones que no han sido determinados a nivel de especie. Canthon lituratus fue colectada solo en los afloramientos rocosos de Puerta de Orión, pero su distribución geográfica hasta el momento en Colombia abarca los Departamentos de Bolívar, Tolima y Vaupés en alturas inferiores a los 500 m.s.n.m. (Medina et al., 2001). Las otras tres especies del género: C. aequinoctialis, C. luteicollis y C. triangularis, fueron encontradas únicamente en la estación de muestreo de los bosques bajos (M3); aunque C. aequinoctialis ha sido registrada en bosques bajos de los Andes (Fuentes y Camero, 2006; Pardo-Locarno y Camero, 2014), las dos especies restantes solo se han registrado en selvas bajas de la Orinoquía y la Amazonía colombiana y en zonas de la Guyana biogeográfica (Escobar, 2000; Medina et al., 2001; Pulido et al., 2003; Quintero et al., 2007; Medina y Pulido, 2009; Feer, 2012; Larsen, 2013).
Las dos especies reconocidas del género Dichotomius se colectaron en la mayoría de las estaciones de muestreo: Dichotomius nisus en las estaciones M1, M2 y M3 y Dichotomius cfproblematicus en todas las cuatro; otra especie no identificada del género se colectó solo en la estación ubicada en los matorrales espinosos (M3). El género Dichotomius (Hope, 1838) es muy diverso en Colombia; a la fecha se han registrado 32 especies (Sarmiento y Amat, 2014), aunque un gran número de ejemplares sin identificación reposan en muchas colecciones entomológicas. D. nisus se ha registrado en los departamentos de Casanare, Cundinamarca, Guainía, Meta y Vichada hasta los 1200 m.s.n.m., mientras que D. problematicus tan solo en los Departamentos de Guaviare y Meta en alturas menores a los 350 m.s.n.m. (Escobar, 2000; Medina et al., 2001; Medina y Pulido, 2009) y en la Serranía de Chiribiquete (Pulido et al., 2003).
Para el género Eurysternus (Dalman, 1824) se han registrado 17 especies en Colombia (Camero y Lobo, 2010). Se colectaron pocos ejemplares de las tres especies registradas en las estaciones de muestreo de la Serranía de La Lindosa: E. cayennensis se colectó en todas las estaciones de muestreo, E. caribaeus en las estaciones M1, M3 y M4 y E. plebejus solo en la estación de bosques bajos (M4). No se registraron otras especies reportadas para el Departamento del Guaviare, especialmente aquellas de mayor tamaño y amplia distribución como E. foedus o E. hamaticollis. Tanto E. caribaeus como E. cayennensis han sido reportadas en otras zonas del Departamento del Guaviare y en los trabajos de Pulido et al., (2003); Feer, (2012); Medina y Pulido, (2009) y Larsen, (2013) para la Guyana Occidental.
El género Onthophagus (Latreille, 1802), es otro de los géneros más diversos en Colombia y cuenta con 31 especies (Noriega et al., 2015), aunque existen muchos ejemplares no identificados en las colecciones de referencia que podrían aumentar en gran número la diversidad de especies de este género para Colombia. En las estaciones de muestreo se colectaron cuatro especies, dos de ellas plenamente identificadas: O. haematopus en la estación de matorrales espinosos (M3) y O. marginicollis en los afloramientos de Puerta de Orión (M1) y en los matorrales espinosos (M3). Ambas especies ya han sido registradas en trabajos anteriores para la Guyana Occidental y el Departamento del Guaviare (Escobar, 2000; Pulido et al., 2003; Feer, 2012; Larsen, 2013) como para bosques andinos en alturas menores a los 300 m.s.n.m. (Medina et al., 2001; Fuentes y Camero, 2006). Una de las dos especies no identificadas se encontró en todas las estaciones de muestreo, mientras que la otra en las estaciones de los matorrales espinosos (M3) y en los bosques bajos (M4).
Finalmente, el género Uroxys (Westwood, 1842) está representado en Colombia por 15 especies reconocidas (Noriega et al., 2015); sin embargo, también existe gran cantidad de especímenes no identificados en las colecciones de referencia que podrían elevar el número de especies en Colombia. En la zona de muestreo se colectaron dos especies: Una no identificada con distribución en todas las estaciones de muestreo y Uroxys cf elongatus que se encontró en las estaciones de muestreo localizadas en los afloramientos de Puerta de Orión (M1), en las sabanas casmófitas (M2) y en los matorrales espinosos (M3). U. elongatus ya había sido registrada con distribución en la Orinoquia colombiana (Medina y Pulido, 2009)
CONCLUSIONES
La baja riqueza de especies encontrada para la zona norte de la Serranía de La Lindosa corresponde con la diversidad esperada para zonas naturales de baja intervención que presentan escasos recursos y grandes exigencias climáticas. Dichotomius cf. problematicus, Eurysternus cayennensis, Dichotomius nisus, Onthophagus marginicollis y Uroxys elongatus hacen parte de un pequeño número de especies encontradas bajo diferentes coberturas vegetales que podrían considerarse como las especies típicas de los ensamblajes de especies de la zona.
Dichotomius nisus, Dichotomius cf problematicus y Uroxys elongatus son las especies que presentaron las mayores densidades poblacionales bajo todos los tipos de cobertura vegetal, y junto con las especies de los géneros Onthophagus, Oxysternon y Uroxys encontradas en las distintas zonas, conforman el gremio dominante de nidificación cavadora, más favorecido por las condiciones climáticas y edáficas.
La mayoría de las especies colectadas han sido reportadas anteriormente en estudios realizados en la región, lo cual podría apoyar la idea de la biota de la Guyana Occidental como unidad biogeográfica, con mayores nexos con los escudos guyanés y brasileño que con la biota andina.
AGRADECIMIENTOS
Agradecemos a la Facultad de Ciencias, al Departamento de Biología de la Universidad Nacional de Colombia y a la comunidad de San José del Guaviare por hacer posible la realización de este trabajo, al igual que a los revisores anónimos por sus aportes al manuscrito.
REFERENCIAS
Arrow G. The genus Uroxys (Coleoptera, Copridae), with descriptions of some new species. Ann & Mag Nat Hist. 1933;10(11):385-399.
Berry PE, Huber O, Holst BK. Floristic analysis and phytogeography of the Venezuelan Guayana. In: Steyermark JA, Berry PE, Holst BK, editors. Flora of the Venezuelan Guayana. Saint Louis. Missouri Botanical Garden; 1995. p. 32-157.
Brower JE, Zar JH. Field and laboratory methods for general ecology. Dubuque: McGraw-Hill Ed.; 1984. 226 p.
Camero-R E. Los escarabajos del género Eurysternus Dalman, 1824 (Coleoptera: Scarabaeidae) de Colombia. Bol SEA. 2010;46:147-179.
Camero-R E, Lobo JM. Distribución conocida y potencial de las Especies del género Eurysternus Dalman, 1824 (Coleoptera: Scarabaeidae) de Colombia. Bol SEA. 2010;47:257-264.
Colwell R. Estimate S: Statistical estimation of species richness and shared species from samples. Ver 9. User's guide and application; 2013. Available in: http://viceroy.eeb.uconn.edu/estimates.
Cortés-B R, Franco-R P. Análisis panbiogeográfico de la flora de Chiribiquete, Colombia. Caldasia. 1997;19(3):465-478.
Cupello M. On the types species of the New World dung beetle genus Canthidium Erichson, 1847 (Coleoptera: Scarabaeidae: Scarabaeinae), with an annotated checklist of species. Zootaxa. 2018;4388(4):451-486. Doi: http://dx.doi.org/10.11646/zootaxa.4388.4.1.
Edmonds W. Revision of the Neotropical dung beetle genus Sulcophanaeus (Coleoptera-Scarabaeidae, Scarabaeinae). Folia Heyrovskyana. 2000;Supp6:1-60.
Edmonds W. Revision of Phanaeus Macleay a New World genus of Scarabaeinae dung beetles (Coleoptera: Scarabaeidae, Scarabaeinae). Cont Sci Nat His Mus. Los Angeles County. 1994;443:3-105.
Edmonds W, Zidek J. A taxonomic review of the Neotropical genus Coprophanaeus Olsoufieef, 1924 (Scarabaeidae: Scarabaeidae: Scarabaeinae). Insecta Mundi. 2010;0129: 1-111.
Edmonds W, Zidek J. Revision of the Neotropical dung beetle genus Oxysternon (Scarabaeidae: Scarabaeinae: Phanaeini). Folia Heyrovskyana. 2004;Supp11:1-58.
Escobar F. Diversidad de coleópteros coprófagos (Scarabaeidae: Scarabaeinae) en un mosaico de hábitats en la Reserva Natural Nukak, Guaviare, Colombia. Acta Zool Mex. (n.s.). 2000;79:103-121.
Escobar F, Lobo JM, Halffter G. Altitudinal variation of dung beetle (Scarabaeidae: Scarabaeinae) assemblages in the Colombian Andes. Glob Ecol Biogeogr. 2005;14:327-337. Doi: http://dx.doi.org/10.1111/j.1466-822X.2005.00161.x.
Etter A. Sabanas. En: Chavez ME, Arango N, editores. Instituto de Investigación de Recursos Biológicos Alexander von Humboldt. Informe Nacional del estado de la Diversidad 1997. Bogotá: Instituto Alexander Von Humboldt, Ministerio del Medio Ambiente; 1997. p. 76-95.
Feer F. Variations in dung beetles assemblages (Coleoptera: Scarabaeidae) within two rain forest habitats in French Guiana. Rev Biol Trop. 2012;61(2):753-768.
Fuentes PV, Camero-R E. Estudio de la fauna de escarabajos coprófagos (Coleoptera: Scarabaeidae) en un Bosque Húmedo Tropical de Colombia. Entomotropica. 2006; 21(3):133-143.
Gentry A. Neotropical floristic diversity: Biogeographycal connections between Central and South America, Pleistocene fluctuations, or an accident of the Andean orogeny? Ann Mo Bot Gard. 1982;69(3):557-593. Doi: http://dx.doi.org/10.2307/2399084.
Giraldo-Cañas D. Relaciones fitogeográficas de las sierras y afloramientos rocosos de la Guayana colombiana: Un estudio preliminar. RevChil Hist Nat. 2001;74(2):353-364. Doi: http://dx.doi.org/10.4067/S0716-078X2001000200012.
González F, Molano F, Medina C. Los subgéneros Calhyboma, Hybomidium y Telhyboma (Coleoptera: Scarabaeidae: Scarabaeinae: Deltochilum) en Colombia. Rev Colomb Entomol. 2009;35(2):253-274.
Halffter G. Historical and ecological factors determining the geographical distribution of beetles (Coleoptera: Scarabaeidae: Scarabaeinae). Biogeographia. 1991;15:11-40. Doi: http://dx.doi.org/10.21426/B615110376.
Halffter G, Favila ME. The Scarabaeidae (Insecta: Coleoptera) an animal group for analysing, inventoryng and monitoring biodiversity in tropical rainforest and modified landscapes. Biology International. 1993;27:1-21.
Halffter G, Edmonds WE. The nesting behavior of dung beetles (Scarabaeinae): an ecological and evolutive approach. J. N.Y. Entomol. Soc. 1982;91(4):512-515.
Halffter G, Matthews EG. The natural history of dung beetles of the subfamily Scarabaeinae (Coleoptera: Scarabaeidae). Fol Entomol Mex. 1966;12-14:1-312. Doi: https://doi.org/10.1002/mmnz.19690450211.
Halffter G, Martínez A. Revisión monográfica de los Canthonina Americanos, IV parte Clave para Géneros y Subgéneros. Fol Entomol Mex. 1977;38:29-107.
Hammer O, Harper DAT, Ryan PD. PAST: Paleontological statistics software package for education and data analysis. Palaeontol Electronica. 2001;4(1):1-9.
Hanski I, Cambefort Y. Dung beetle ecology. New Jersey: Princeton University Press; 1991. 481 p. Doi: https://doi.org/10.1017/S0266467400006489.
Hernández J, Hurtado A, Ortiz R, Walschburger T. Unidades Biogeográficas de Colombia. En: Halffter G, editor. La Diversidad Biológica de Iberoamérica. Xalapa: Instituto de Ecología A. C.; 1992. p. 105-173.
Hijmans RJ, Cameron SE, Parra JL, Jones PG, Jarvis A. Very high resolution interpolated climate surfaces for global land areas. Int J Climatol. 2005;25(15):1965-1978. Doi: http://dx.doi.org/10.1002/joc.1276.
Hirzel AH, Hausser J, Chessel D, Perrin N. Ecological-nichefactor analysis: how to compute habitat suitability maps without absence data? Ecology. 2002;83(7):2027-2036. Doi: https://doi.org/10.1890/0012-9658(2002)083[2027:ENFAHT]2.0.CO;2.
Howden HF, Howden AT, Storey RI. Nocturnal perching of scarabaeinae dung beetles (Coleoptera, Scarabaeidae) in an Australian Tropical Rain Forest. Biotropica. 1991;23(1):51-57. Doi: https://doi.org/10.2307/2388687.
Howden HF, Nealis VG. Effects of clearing in a Tropical Rain Forest on the composition of the Coprophagous Scarab Beetle Fauna (Coleoptera). Biotropica. 1975;7(2):77-83. Doi: http://dx.doi.org/10.2307/2989750.
Howden HF, Young OP. Panamanian Scarabaeinae: Taxonomy, distribution and habits (Coleoptera, Scarabaeidae). Contrib. Am. Entomol. Inst. 1981;18(1):1-204.
Huber O. Recent advances in the phytogeography of the Guyana región, South America. Mém Soc Biogéog. (3éme séries). 1994;4:53-63.
Kohlmann B, Solis A. El género Onthophagus (Coleoptera: Scarabaeidae) en Costa Rica. G It Ent. 2001;9:159-261.
Kohlmann B, Solis A. El género Dichotomius (Coleoptera: Scarabaeidae) en Costa Rica. G It Ent. 1997;8:343-382.
Kubitzki K. Amazon lowland and Guayana highland. Historical and ecological aspects of their floristic development. Rev Acad Colomb Cienc Exactas Fis Nat. 1989;17(65):271-276.
Larsen TH. Dung Beetles of the Kwamalasamutu Region, Suriname (Coleoptera: Scarabaeidae: Scarabaeinae). In: O'Shea BJ, Alonso LE, Larsen TH, editors. A Rapid Biological Assessment of the Kwamalasamutu region, Southwestern Suriname. Arlington: Bulletin of Biological Assessment 63. Chap. 5. Conservation International; 2013. p. 91-103.
Lescure JP, Boulet R. Relationships between soil and vegetation in a Tropical Rain Forest in French Guiana. Biotropica. 1985;17(2):155-164. Doi: http://dx.doi.org/10.2307/2388508.
Lumaret JP, Kirk A. South temperate dung beetles. In: Hanski I, Cambefort Y, editors. Dung Beetle Ecology. New Jersey: Princeton University Press ; 1991. p. 97-115.
Magurran AE. Measuring ecological diversity. Oxford: Blackwell Science Ltd. Pub.; 2004. 256 p.
Martín-Piera F, Fernández-Torres A. Coleópteros de la Sierra de Chiribiquete (Dpto. del Caquetá, Colombia). Elytron. 1996;10:23-50.
Medina C, Lopera-Toro A. Clave ilustrada para la identificación de géneros de escarabajos coprófagos (Coleoptera: Scarabaeinae) de Colombia. Caldasia. 2000;22(2):299-315.
Medina C, Lopera-Toro A, Vitolo A, Gill B. Escarabajos coprófagos (Coleoptera: Scarabaeidae: Scarabaeinae) de Colombia. Biota Colomb. 2001;2(2):131-144. Doi: http://dx.doi.org/10.21068/bc.v2i2.95.
Medina C, Pulido LA. Escarabajos coprófagos (Coleoptera: Scarabaeinae) de la Orinoquia colombiana. Biota Colombiana. 2009;10(1-2):55-62. Doi: https://doi.org/10.21068/bc.v10i1%20y%202.216.
Nichols E, Spector S, Louzada J, Larsen T, Amézquita S, Favila ME. The Scarabaeinae Research Network. Ecological functions and ecosystems services provided by Scarabaeinae dung beetles. Biol Cons. 2008;141(6):1461-1474. Doi: http://dx.doi.org/10.1016/j.biocon.2008.04.011.
Noriega JA, Camero-R E, Arias-Buriticá J, Pardo-Locarno LC, Montes JM, Acevedo A. et al. Grado de cobertura del muestreo de escarabajos coprófagos (Coleoptera: Scarabaeidae: Scarabaeinae) en Colombia. Rev Biol Trop. 2015;63(1):97-125. Doi: https://doi.org/10.15517/rbt.v63i1.13323.
Pardo-Locarno LC, Camero-R E. Escarabajos coprófagos (Coleoptera-Scarabaeinae) en siete microcuencas del río dagua, chocó biogeográfico de Colombia. Bol SEA. 2014;(54):207-224.
Philips TK. The evolutionary history and diversification of dung beetles. In: Simmons LW, Ridsdill-Smith TJ, editors. Ecology and evolution of dung beteles. Oxford: Wiley-Blackwell Pub.; 2011. 347 p.
Pulido LA, Riveros R, Gast F, Von Hildebrand P. Escarabajos coprófagos (Coleoptera: Scarabaeidae: Scarabaeinae) del Parque Nacional Natural " Serranía de Chiribiquete", Caquetá, Colombia (Parte 1). Monografías Tercer milenio (S.E.A.). 2003;3:51-58.
Quintero I, Osorio P, Castillo R, Higuera M. Caracterización biológica del Parque Nacional Natural El Tuparro (Sector noreste) Vichada, Colombia. En: Villarreal H, Maldonado J, editores. Bogotá: Instituto de Investigación de Recursos Biológicos Alexander Von Humboldt; 2007. p. 87-97.
Roskov Y, Kunze T, Orrell T, Abucay L, Paglinawan L, Culham A. et al. Species 2000 & ITIS Catalogue of Life 2014. Annual Checklist 2014. Leiden: 2014. Available in: Available in: www.catalogueoflife.org/annual-checklist/2014. Cited: 5 Jan 2018.
Sarmiento R, Amat G. Escarabajos del género Dichotomius Hope, 1838 (Scarabaeidae: Scarabaeinae) en Colombia. Fauna de Colombia, monografía No 4. Bogotá: Universidad Nacional de Colombia; 2014. 130 p. Doi: http://dx.doi.org/10.13140/2.1.4692.9926.
Simmons LW, Ridsdill TJ. Ecology and evolution of dung beetles. Oxford: Blackwell Pub.; 2011. 347 p. Doi: https://doi.org/10.1649/072.066.0109.
Solís A, Kohlmann B. El género Uroxys (Coleoptera: Scarabaeidae) en Costa Rica. G It Ent. 2013;13(58):289-340.
Solís A, Kohlmann B. El género Canthidium (Coleoptera: Scarabaeidae) en Costa Rica. G It Ent. 2004;11(52):1-73.
Solís A, Kohlmann B. The Genus Canthon (Coleoptera: Scarabaeidae) in Costa Rica. G It Ent. 2002;10(50):1-68.
Vaz de Mello F, Edmonds D, Ocampo F, Schoolmeesters P. A multilingual key to the genera and subgenera of the subfamily Scarabaeinae of the New World (Coleoptera: Scarabaeidae). Zootaxa. 2011;2854:1-73. Doi: http://dx.doi.org/10.11646/zootaxa.2854.1.1.
Vitolo A. Clave para la identificación de Phanaeini (Coleoptera:Scarabaeidae) de Colombia. Rev Acad Colomb Cienc Exactas Fis Nat. 2000;14(93):591-601.
Zar JH. Biostatistical Analysis. New Jersey: Prentice-Hall, Englewood Cliffs; 1999. 530 p. Available in: https://www.pearson.com/us/higher-education/program/Zar-Biostatistical-Analysis-5th-Edition/PGM263783.html.
Notas
Notas de autor
*For correspondence:eecameror@unal.edu.co