Artigos
Recepção: 24 Abril 2017
Aprovação: 04 Maio 2018
DOI: https://doi.org/10.14393/SN-v30n1-2018-9
Resumo: Apesar do consenso de que a disposição em aterros sanitários se constitui no modelo mais prático de destinação final de resíduos sólidos urbanos, a realidade brasileira mostra que a maioria dos municípios ainda não dispõe desse tipo de empreendimento. Considerando tal realidade, a baixa heterogeneidade dos processos dinâmicos do ambiente e sua localização no município, a bacia hidrográfica do Ribeirão do Meio, com 246,81km2 de área, foi selecionada como área de estudo para elaboração de uma carta de aptidão para implantação de aterros sanitários na escala 1:50.000. Para a produção do cartograma temático, foi utilizado o software ArcGIS® e uma metodologia de análise multicritério englobando a análise das cartas do substrato rochoso, dos materiais inconsolidados, das formas de relevo, das classes de declividades e restrições legais. Como resultado, obteve-se uma classificação das classes de aptidão (favorável, moderada, severa e restritiva) para implantação desse empreendimento no território escolhido. Na área estudada, constatou-se a predominância das classes de aptidão restritiva (35,1% da área) e favorável (26,5%). Consideradas as restrições legais e relativas à infraestrutura, resultam poucas áreas favoráveis para implantação de aterros sanitários. Mesmo assim, a análise multicritério, desenvolvida com a participação de uma equipe multidisciplinar e implantada com ferramentas de cartografia digital propiciou a seleção dos locais mais adequados mesmo considerando a diversidade de fatores envolvidos.
Palavras-chave: Bacia hidrográfica, Aterro sanitário, Análise multicritério, Cartografia temática.
Abstract: Sanitary landfills are the most suitable way to dispose of solid wastes, but the most part of Brazilian municipalities do not have landfills. Given this reality, the low heterogeneity of the dynamic environmental processes and the location of the Ribeirão do Meio drainage basin in the municipality, which covers an area of 246,81km², this basin was selected as the study area for the creation of a suitability map, on a scale of 1:50,000, for the establishment of sanitary landfills. The analysis considered components of the physical environment, such as bedrock, unconsolidated materials, topography and groundwater, as well as other environmental components and operational aspects such as land use, and information about legal constraints. The map was created using ArcGIS® software, with an algebraic mapping methodology based on multicriteria analysis, resulting in a suitability classification for landfill construction in four classes (favorable, moderate, severe and restrictive). The predominant suitability classes identified were restrictive (35.1% of the area) and favorable(26.5%). When considering legal and infrastructure constraints, there are few favorable areas for landfill deployment. Even so, the multicriteria analysis developed with the participation of a multidisciplinary team and implemented with digital cartography tools, even considering the diversity of factors involved, has allowed the selection of the most suitable sites.
Keywords: Drainage basin, Sanitary landfill, Multicriteria analysis, Thematic mapping.
Introdução
Um dos grandes problemas enfrentados pela sociedade é o aumento da geração de resíduos sólidos urbanos e a busca de locais para sua destinação. O estudo de alternativas locacionais para a implantação de aterros sanitários constitui importante instrumento de planejamento ambiental urbano uma vez que, se este for implementado em área com condições desfavoráveis, poderá haver contaminação dos recursos hídricos, causando danos significativos ao ambiente e à população.
A disposição dos resíduos sólidos em aterros sanitários é um tema que tem recebido destaque nos trabalhos relacionados à cartografia geotécnica e geoambiental e de fato merece atenção, pois, sua relevância está relacionada às características do meio físico dos locais utilizados para a disposição. Tais condições podem contribuir positiva ou negativamente para a contaminação potencial dos recursos naturais.
O debate das questões ambientais ganhou grande visibilidade após a Conferência das Nações Unidas sobre Meio Ambiente e Desenvolvimento, Rio-92, quando a discussão sobre os impactos do desenvolvimento nos ecossistemas e na saúde da população se popularizou (IPCC, 2007; WHO, 2007; EEA, 2008). Desde então, são buscados mecanismos e ferramentas que atenuem a pressão que o conjunto da sociedade exerce sobre os condicionantes do meio físico.
As características do meio natural que interferem na escolha do melhor posicionamento geográfico do aterro estão associadas diretamente com os tipos de materiais existentes (consolidados ou não), suas características e propriedades (ZUQUETTE &GANDOLFI, 2004). A percolação de fluidos advindos de resíduos é a principal fonte de contaminação do subsolo e é fortemente influenciada pelas condições dos materiais do subsolo.
As Normas Técnicas da ABNT, NBR 841/92e Portarias n◦ 053, de 01/03/1979 e n◦ 124, de 20/08/1980 do Ministério de Interior, regulam os projetos específicos de tratamento e disposição final de resíduos, bem como a fiscalização de sua implantação, operação e manutenção.
A qualidade dos aterros é mensurada pelo Índice de Qualidade de Aterro de Resíduos (IQR). Os municípios cujos aterros foram considerados inadequados com dados referentes ao IQR 2013 (CETESB, 2013), são aqueles cujas notas dos depósitos ficaram abaixo de 7,1 em uma escala que vai de 0 a 10. No Estado de São Paulo, 31 municípios foram considerados inadequados, dentre os quais se encontra o município de Leme com geração de resíduos domiciliares de 76,39 toneladas por dia e IQR 2013 de 6,6, abaixo do limite de adequabilidade da CETESB.
Essas análises têm como objetivo subsidiar medidas preventivas, corretivas e emergenciais a serem tomadas para a manutenção do equilíbrio do ecossistema (CHRISTOFARO &LEÃO, 2009; GROPPO, 2005). As diretrizes apontadas pelo plano diretor do município de Leme - SP indicam a necessidade de se estabelecer um projeto para destinação do lixo, fundamentado nas recomendações atuais da criação de aterros sanitários (Prefeitura Municipal de Leme, 2007).
Visando subsidiar ações de planejamento e adequado controle de resíduos sólidos, o presente trabalho classifica os condicionantes naturais e de infraestrutura para a melhor escolha de áreas para aterros sanitários, utilizando um SIG (Sistema de Informações Geográficas) como ferramenta de trabalho associada à análise multicriterial.
A utilização de mapas como subsídios ao planejamento, bem como para a adoção de medidas estratégicas, viabiliza análises variadas. Assim, o conhecimento das condições locais propicia a definição de alternativas, e a aplicação de uma técnica de análise (nesse caso, multicritério) permite a escolha das melhores alternativas locacionais.
A escolha da bacia hidrográfica do ribeirão do Meio (BHRM) como área de estudo é justificada com base no Plano Nacional de Recursos Hídricos (BRASIL - MMA, 2011) que define a bacia hidrográfica como unidade territorial de planejamento. A Lei Federal 11.445/2007 (BRASIL - DOU, 2007) no art. 48º estabelece que a bacia hidrográfica deva ser adotada como unidade de referência para o planejamento de suas ações e a NBR 8419/1992 (ABNT, 1992) dispõe no item 5.1.4.1 a bacia como um dos critérios que precisam justificar o local destinado ao aterro.
Além disso, essa bacia distribui-se quase que totalmente dentro dos limites do município de Leme (SP), razão pela qual foi escolhida para um processo de investigação ligado à disposição de resíduos sólidos domiciliares. Considerando o ambiente geológico regional, os resultados desse estudo poderão ser replicados em bacias hidrográficas com condições similares.
Caracterização da área
A bacia hidrográfica do Ribeirão do Meio (Figura 1) localiza-se na região centro-leste do Estado de São Paulo, situa-se entre as coordenadas UTM 245.754 - 267.125 mE e 7.545.578- 7.555.696 m N, Zona 23S, e faz parte da Unidade de Gerenciamento de Recursos Hídricos do Rio Mogi Guaçu - UGRH 9. Compreendendo uma área de drenagem de 246,81km², essa bacia de quarta ordem (STRAHLER, 1952) com padrão de drenagem dendrítica (CHRISTOFOLETTI, 1974), tem como coordenadas (UTM) extremas: nascente - E246.754m e N7.545.578m e foz - E267.125m e N7.555.696m, Zona 23S.
Suas nascentes localizam-se a oeste do município de Leme - SP e sua foz no Rio Mogi Guaçu, no mesmo município. A bacia abrange ainda parte dos municípios de Pirassununga e Araras. A população de Leme, em 2016, foi estimada em 100.296 habitantes, apresentando uma densidade demográfica de 248,85 hab./km² (BRASIL - IBGE, 2017).
De acordo com Mendonça & Danni-Oliveira (2007), o clima da região é o tropical úmido-seco, também conhecido como tropical do Brasil central sem seca. Este tipo climático apresenta chuva em todos os meses do ano, com maior concentração no verão e redução no inverno. Evidenciado pela grande influência dos sistemas atmosféricos oceânicos tropicais e polares, elevada pluviosidade e variações térmicas ocorrem ao longo do ano.
A formação florestal predominante é a Floresta Estacional Semidecidual (FES), com elementos da formação vegetacional Cerrado. Ressalta-se que houve uma diminuição da área florestada devido ao avanço da fronteira agrícola, decorrente do processo de ocupação do interior paulista (MIRANDA, 2010; RUDORFF et al., 2010). Atualmente, as áreas outrora florestadas e com vegetação nativa deram lugar a diferentes cultivos como cana-de-açúcar, citricultura, café e silvicultura. A região apresenta ainda áreas ocupadas com mineração, piscicultura, instalações rurais e solo exposto.

Numa escala geológica continental, a área está inserida no domínio geológico denominado Cobertura Fanerozóica (inclusive da província subandina), na compartimentação geotectônica Cráton Paraná, na Província Estrutural do Paraná (HASUI, 2012). Quanto à geologia regional, distribuem-se pela BHRM as unidades de terrenos sedimentares, descritas na Figura 2.

Quanto a Geomorfologia, a bacia do Ribeirão do Meio está situada na Unidade Morfoestrutural da Bacia Sedimentar do Paraná; Unidade Morfoescultural, da Depressão Periférica Paulista, Depressão Moji Guaçu. As formas do relevo são resultado de processo denudacional, os modelados dominantes são formados por colinas com topos amplos e tabulares. Os vales apresentam dimensão interfluvial grande (1750m à 3750m) e grau de entalhamento muito fraco (< 20m) (ROSS & MOROZ, 1997).
Metodologia
Para a montagem do banco de dados foram utilizadas as cartas topográficas de Leme (SF-23-Y-A-II-1) e Araras (SF-23-Y-A-II-3), produzidas por BRASIL - IBGE (1971), o mapa do substrato geológico e o mapa de materiais inconsolidados (LOLLO, 1991), todos na escala 1:50.000. Também foram utilizadas imagens do satélite LANDSAT_8 de 19/03/2014 (composição colorida RGB das bandas 4, 5 e 6 com fusão com a banda pancromática 8 de 15 metros) (UNITED STATES - USGS, 2014) e imagens do satélite IKONOS de 23/02/2010 com resolução espacial de 1 metro (ESRI, 2014).
Para o georreferenciamento dos planos de informação na Zona 23S, foi utilizado o sistema geodésico de referência SIRGAS2000 (BRASIL, 2005) e a Projeção Universal Transversa de Mercator (UTM). O tratamento espacial dos dados foi realizado no softwareArcGIS® 10.2 (ESRI, 2013).
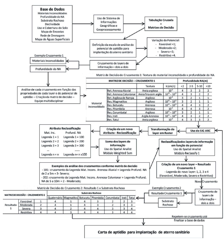
Para atingir o objetivo proposto, utilizou-se uma estratégia de análise multicritério baseada em matrizes de decisão pautada na experiência e conhecimento deuma equipe multidisciplinar de especialistas.
A análise multicritério consiste em um conjunto de técnicas para auxiliar um agente tomador de decisão a cerca de uma questão complexa. Trata-se, pois, de uma técnica que permite que a decisão seja pautada com base nos critérios considerados relevantes para o problema em questão. A escolha da técnica específica a ser empregada depende do tipo de problema em análise, do contexto em estudo, dos agentes decisores envolvidos, dos procedimentos de comparação das alternativas e do tipo de respostas a que se quer chegar (CARVER, 1991; COSTA, 2002; MORAIS, 2006; WALKE, 2008; RUPERT, 2011; MENDAS, 2012; ZHANG, 2011; OLUFEMI, 2012).
O processo de construção de matrizes de decisão e os procedimentos para extração da informação espacial em ambiente SIG é ilustrado na Figura 3, na qual os dois primeiros cruzamentos realizados foram utilizados como exemplo (permeabilidade x profundidade do nível d’água - NA e resultado do cruzamento -1 x substrato rochoso).
Para a definição dos atributos a serem considerados na análise foram avaliadas as informações contidas em Montaño et al. (2012), que apresenta uma revisão das propostas de diversos autores. Em função das características do meio físico da BHRM, utilizou-se a proposta de Zuquette & Gandolfi (2004), adaptada para a área de estudo.
O emprego das matrizes de decisão permitiu a avaliação do comportamento de cada classe de um atributo do meio físico em relação à outra classe de um atributo distinto, sendo atribuídos valores de 1 a 4 às interseções das classes. Tais valores são referentes às classes de aptidão (favorável, moderada, severa e restritiva) para instalação de aterro sanitário na BHRM, e foram atribuídos conforme descrito em Zuquette & Gandolfi (2004).
Utilizando a ferramenta Weighted Sum disponível no software ArcGIS® 10.2, foram realizados cruzamentos dois a dois dos atributos do meio físico na forma de planos de informação.
Os valores de dois planos de informação foram somados, permitindo que fossem localizadas as áreas de interseções entre as classes. Em seguida, foi realizada a reclassificação das células interseccionadas com os pesos variando de 1 a 4, os quais foram atribuídos nas matrizes de decisão.

As matrizes de decisão que subsidiaram os demais cruzamentos são apresentadas nas Tabelas 1 e 2.


Cabe ressaltar que para realização da álgebra de mapas, os planos de informação (Figura 4) possuíam formato matricial, o mesmo tamanho de célula (pixel de 30x30m) e o mesmo sistema de projeção cartográfica e de referência geodésico.

As características geotécnicas disponíveis para as unidades dos materiais inconsolidados são mostrados na Tabela 3. Tais informações foram obtidas do trabalho de Lollo (1991) que produziu o mapeamento geotécnico da Folha de Leme.
Neste trabalho as variáveis relacionadas com a infraestrutura urbano-regional, tais como: “uso e ocupação”, “acesso a área” e “distância a núcleos urbanos” foram representadas, na condição restritiva, em forma de buffers (200m para corpos d’água, rodovias e ferrovias; 300m para nascentes; 2km para áreas urbanas e 13km para aeródromos) de acordo com as Resoluções CONAMA 01 (1986), 237 (1997) e 404 (2008), Decretos Federais 44.760 (2000) e 45.001 (2000).
Resultados e discussões
A classificação de parcelas da área se baseou em quatro classes de aptidão (favorável, moderada, severa e restritiva) classificadas segundo uma abordagem multicritério realizada com base nos seguintes grupos de informações do meio natural: materiais inconsolidados, profundidade do nível freático, substrato geológico e relevo (declividade e forma de encostas).
Considerando a importância das condições dos materiais inconsolidados (solos e sedimentos) nas condições de escavação para construção de aterro sanitário e na infiltração de fluidos potencialmente contaminantes, esse foi o componente inicial usado no início da análise de aptidão.
Na Figura 5 são apresentados e discutidos os resultados obtidos da classificação das áreas em termos das unidades de materiais inconsolidados.
A unidade de materiais inconsolidados denominada Arenosa Aluvial cobre 11% da área e se distribui sobre substrato geológico representado pelas Formações Tatuí, Corumbataí, Pirambóia, Irati e Intrusivas Básicas. São sedimentos de textura areno-argilosa com baixa compacidade e alta permeabilidade (10-3cm/s). A profundidade do nível d´água (NA) é inferior à 2m, o que combinado com as condições de materiais inconsolidados anteriormente descritas implicam na classificação de tais áreas na classe restritiva (Cruzamento um).
Quando tais áreas encontram-se sobre substratos de litologia arenosa e alta porosidade intergranular (formações Tatuí e Pirambóia) a classificação se mantêm como restritiva. No entanto, quando sobrepostas aos magmatitos (rochas com baixa permeabilidade e sem faturamento expressivo) a classificação das áreas muda para a classe severa. No caso do substrato composto pelos calcários da Formação Irati a classificação se mantém restritiva em função da tendência de dissolução de tais rochas que pode favorecer a infiltração.

Nessa unidade de materiais inconsolidados (Arenosa Aluvial) as condições do relevo (declividades menores que 2% e formas e encosta predominantemente côncavas) conduzem a classificação das áreas para a categoria restritiva, pois tais declividades e forma de encosta favorecem a infiltração de fluidos implicando maior potencial de contaminação do subsolo.
Os materiais inconsolidados presentes na Unidade Arenosa Coluvionar (16,4% da área) apresentam textura arenosa com expressiva contribuição da granulometria argila, compacidade variada (de média a compacta) e coeficientes de permeabilidade variando entre 10-2cm/s a 10-3cm/s. Tais sedimentos estão sobrepostos à rochas das Rochas Intrusivas Básicas e das Formações Corumbataí e Irati.
As condições dos materiais inconsolidados indicam aptidão restritiva para implantação de aterros sanitários, porém tal classificação pode ser alterada em função da profundidade do NA. Quanto tal profundidade é menor que 2m (porção oeste da área) a classificação se mantém restritiva, quando a profundidade encontra-se entre 2 e 5m, a classificação se altera para severa e quando a profundidade do NA é maior que 10m, as áreas são classificadas como moderadas (porções centro-sul e nordeste).
Quando a unidade se encontra sobre as Intrusivas Básicas (cruzamento 2), a classificação se mantém como moderada ou pode evoluir para favorável em função da profundidade do substrato (as vezes maior que 10m) e porque as rochas intrusivas apresentam condições limitantes para infiltração de fluidos. Porém, sobre a Formação Corumbataí, a unidade recebeu a classificação severa, devido à baixa profundidade do substrato. Situação similar acontece nas áreas de substrato da Formação Irati (rochas calcárias, que podem sofrer processos de dissolução quando em contato com o fluído de infiltração, podendo ocasionar contaminação do subsolo). Sobre a Formação Tatuí, a classificação foi considerada restritiva pelas características de porosidade da rocha.
Em relação aos atributos do relevo, as áreas com declividades menores que 2% foram consideradas restritivas e as áreas com declividade entre2e 5% são classificadas como moderada e favorável. As com encostas retilíneas associadas aos fundos de vale, foram classificadas como restritivas, enquanto as áreas com predomínio de formas convexas (topos de morros) foram classificadas como favoráveis.
A unidade de materiais inconsolidados chamada Argilosa de Rampa cobre 18,1% da área e situa-se sobre as unidades de substrato de rochas Intrusivas Básicas e da Formação Corumbataí. Como a profundidade do nível freático nessas áreas é inferior a 5m, a textura argilosa associada à baixa consistência desses materiais e coeficientes de permeabilidade de 10-4cm/s resultam classificação severa para tais áreas.
Levando-se em conta as condições do substrato rochoso, se verifica que nas áreas onde a unidade é sotoposta por intrusivas básicas ou pelos siltitos da Formação Corumbataí, as condições do substrato permitem classificar as áreas como aptidão moderada. As condições de relevo são variadas, o que fez com que áreas com declividades menores que 2% tenham sido classificadas como restritivas, aquelas com declividade entre 2 e 5% como favoráveis, enquanto as áreas que apresentam declividades de 5 a 10% fossem classificadas como moderadas. Ao avaliar as formas de encostas (cruzamento 4), verificou-se que essas não foram determinantes para alterações expressivas nas classes de aptidão.
A Unidade Residual Botucatu (0,2% da área) está assente sobre os arenitos da Formação Botucatu e foi classificada como restritiva à implantação de aterros sanitários por apresentar solos com textura arenosa, baixa compacidade e alta permeabilidade (10-4a10-3cm/s) associadas à profundidade do NA menor que 2m.
Quando consideradas as condições do substrato geológico (arenitos finos da Formação Botucatu) tal classificação se manteve restritiva em função da alta porosidade e alta permeabilidade das rochas. Nos casos de declividades baixas ou altas (<2% ou >10%) a classificação se mantém como restritiva e no caso de declividades entre 2 e 10% a classificação passa a ser severa.
Nos locais com a presença de encostas convexas, a área foi considerada moderada. No entanto, onde a forma de encosta é retilínea e côncava a classe é severa.
Da mesma forma que a unidade anteriormente descrita, os materiais inconsolidados residuais dos arenitos argilosos da Formação Pirambóia (2,7% da área), dadas sua textura arenosa, coeficientes de permeabilidades da ordem de 10-3cm/s e baixa compacidade, com profundidade do NA menor que 2m, implicam aptidão restritiva.
Considerando os atributos substrato geológico, declividade do terreno, e forma do perfil das encostas, o processo de classificação é similar ao dos materiais residuais da Formação Botucatu, ou seja, a maior parte das áreas mantêm a classificação restritiva durante todo o processo de análise, exceção feita apenas às áreas com declividade favorável (2 a 10%) e forma de encosta convexa que permitem classificar as áreas como moderadas, mas tais parcelas têm pouca representatividade espacial.
A Unidade Residual Corumbataí ocorre em 28,9% da área e se caracteriza por textura argilosa, consistência variada (mole a rija) e permeabilidade entre 10-4 e 10-5cm/s. Nas áreas onde a profundidade do NA é menor que 2m a classe foi classificada como severa, e moderada quando o NA situa-se entre 2 e 5m.
Como o substrato geológico são os siltitos da Formação Corumbataí, as classificações obtidas em função das condições de materiais inconsolidados se mantêm quando o substrato é considerado na análise. Quando as condições de relevo são consideradas, as áreas com declividades menores que 2% são classificadas como restritivas, aquelas entre 2 a 5% como moderadas e como favoráveis as áreas com declividades entre 5 e 10%.
Quanto a curvatura das encostas (cruzamento 4), as áreas com curvatura retilínea associadas aos fundos de vale foram classificadas como restritivas, enquanto as áreas com encostas convexas tiveram sua classificação alterada para favoráveis quando eram moderadas e as áreas de encostas côncavas passaram de moderadas a severas.
Os materiais residuais da Formação Irati ocupam 3,7% da área, apresentam textura argilo-arenosa, baixa consistência e baixa permeabilidade (10-4 e 10-5cm/s). Apesar da baixa permeabilidade do solo, o fato da profundidade do NA apresentar valores pequenos resultou nas classificações severa para áreas com NA menor que 2m e moderada em áreas com profundidades entre 2 e 5m.
O fato de o substrato ser composto por calcários influenciou a mudança das áreas previamente classificadas como severas para restritivas e das áreas classificadas como moderadas para aptidão severa. Considerando a curvatura das encostas (cruzamento 4), as áreas com encostas convexas foram classificadas como favoráveis e moderadas, e as áreas de encostas côncavas como severas.
Ocupando 18,4% da área, os materiais inconsolidados residuais dos magmatitos básicos apresentam textura argilosa, consistência média a alta e coeficientes de permeabilidade variando entre 10-3 e 10-4cm/s. Apesar da textura fina, tais solos apresentam esses coeficientes de permeabilidade em função da estrutura floculada das partículas de granulometria argila neles presentes.
No cruzamento um, apesar da unidade apresentar resultados de permeabilidade de 10-3 e 10-4 cm/s a classe tornou-se favorável onde o NA é maior que 10m, moderada onde a profundidade é de 5 a 10m e severa na profundidade inferior a 2m. Quando relacionado com o substrato (intrusivas básicas) a aptidão das áreas resulta favorável, porém, na porção sul, a classe é moderada em função da baixa profundidade do NA (menor que 2m).
As áreas com declividades de 0 a 2% foram classificadas como restritivas, de 2 a 5% como favoráveis, de 5 a 10% moderadas, e de 10 a 20% severa. Com relação à curvatura, as áreas antes classificadas como restritivas mantiveram tal classificação, mas as áreas com formas convexas foram classificadas como favoráveis e as côncavas moderadas.
A Unidade Residual Tatuí (0,6% da área) apresenta solos com textura arenosa, baixa compacidade e coeficientes de permeabilidade da ordem de 10-4cm/s. Quando cruzadas com a profundidade do NA menor que 2m, o resultado foi à classificação severa.
Em função das características da rocha, no cruzamento dois, a classe tornou-se restritiva, devido à porosidade e a baixa profundidade que se encontra a rocha. As áreas retilíneas associadas aos fundos de vale tornou a classe restritiva, no caso de côncava, severa e no caso da convexa, moderada.
CONCLUSÕES
Dada à diversidade de atributos envolvidos na análise, poucas áreas reúnem condições totalmente favoráveis para implantação de aterros sanitários, pois mesmo as áreas mais aptas em relação a alguns atributos dos materiais inconsolidados (textura, permeabilidade e demais propriedades) e outros atributos do meio físico; encontram-se inaptas devido às legislações específicas de proteção de nascentes, cursos d’água (APP’s), distância da área urbana, de rodovias e aeroportos.
Subtraídas as áreas com impedimentos legais, dos 43,7% da área classificados como favorável ou moderada, restaram 31,2% ou 77,1km² da BHRM que podem ser utilizadas para implantação de aterros sanitários. Entretanto, quando considerada a área de segurança aeroportuária, restam apenas 3,9% ou 9,7km² de áreas favoráveis e moderadas na bacia.
Assim, indicações de áreas mais adequadas à disposição de resíduos sólidos, por meio de procedimentos de cartografia temática, constitui-se etapa preliminar, que permitirá aos tomadores de decisão a realização de estudos de detalhe, inclusive com levantamentos in loco dos locais que apresentam condições mais favoráveis.
Por fim, a análise multicritério realizada por uma equipe multidisciplinar em ambiente SIG, comprovou ser uma ferramenta valiosa na integração de informações para a gestão do uso do solo em bacias hidrográficas, servindo de apoio aos tomadores de decisão, permitindo racionalizar a aplicação de recursos financeiros.
Referências
ASSOCIAÇÃO BRASILEIRA DE NORMAS TÉCNICAS. NBR 8419/1992: Apresentação de projetos de aterros sanitários de resíduos sólidos urbanos - Rio de Janeiro, 1992.
BRASIL - Instituto Brasileiro de Geografia e Estatística (IBGE). Folha Topográfica de Leme (SF-23-Y-A-II-1). Escala 1:50.000, 1971.
______. Folha Topográfica de Araras (SF-23-Y-A-II-3). Escala 1:50.000, 1971.
______. Resolução Nº 1/2005. Estabelece o Sistema de Referência Geocêntricopara as Américas (SIRGAS). Brasília, Brasil, 2005.
______. Cidades IBGE. Disponível em http://www.cidades.ibge.gov.br/xtras/home.php?lang= Acesso em:07mar. de 2017.
BRASIL. Ministério do Meio Ambiente. Plano Nacional de Resíduos Sólidos: versão preliminar para consulta pública, 2011. Disponível em: http://www.mma.gov.br/estruturas/161/_publicacao/161_publicacao16032012065259.pdf Acesso em 25 de junho de 2014.
BRASIL. RESOLUÇÃO CONAMA n° 01, de 23 de janeiro de 1986.
RESOLUÇÃO CONAMA n° 237, de 19 de dezembro de 1997.
_______. LEI Nº 11.445, DE 5 DE JANEIRO DE 2007 - DOU DE 11/1/2007.
_______. RESOLUÇÃO CONAMA n°404, de 11 de novembro de 2008.
_______. DECRETO FEDERAL nº 44.760, de 13 de março de 2.000.
_______. DECRETO FEDERAL nº 45.001, de 27 de junho de 2.000.
CARVER, S. J. Integrating multi-criteria evolution with geographical information systems, International Journal of Geographical Information Systems, v. 5, n.3, p. 321-339, 1991. https://doi.org/10.1080/02693799108927858
CETESB - Companhia Estadual de Tecnologia de Saneamento Ambiental. Inventario Estadual de Resíduos Sólidos Urbanos. São Paulo. 2013.
CHRISTOFARO, C.; LEÃO, M.M.D. Caracterização temporal do arsênio nos cursos d’água da bacia hidrográfica do Rio das Velhas, MG, Brasil, ao longo de uma década (1998-2007). Revista Ambiente e Água: an Interdisciplinar Journal of Applied Science, v. 4, n. 3, p. 5466. 2009.
CHRISTOFOLETTI, A. Geomorfologia. São Paulo: EDIUSP, 1974. 149 p.
COSTA, A. P. C. S.; ALMEIDA, A. T.; Modelo de decisão multicritério para priorização de sistemas de informação com base no método Prométhée. Revista de Gestão e Produção, v. 9, n. 2, p. 201-214, 2002. https://doi.org/10.1590/S0104-530X2002000200007
ESRI (2013).ArcGIS® 10.2.Tutorial.Environmental Systems Research Institute.13 vol.
______. World_Imagery - Source: Esri, DigitalGlobe, GeoEye, i-cubed, USDA, USGS, AEX, Getmapping, Aerogrid, IGN, IGP, swisstopo, and the GIS User Community. Copyright:© 2014 Esri, DeLorme, HERE, TomTom. Disponível em< http://goto.arcgisonline.com/maps/World_Imagery > Acesso em: 23 abr. de 2014.
EUROPEAN ENVIRONMENT AGENCY (EEA). Better management of municipal waste will reduce greenhouse gas emissions. EuropeanEnvironmentAgency, Briefing 1. Copenhagen: EEA; 2008.
GROPPO, J.D. Estudo de tendências nas séries temporais de qualidade de água de rios do estado de São Paulo com diferentes graus de intervenção antrópica. 2005.86 f. Dissertação (Mestrado em Ecologia deAgroecossistemas) - Universidade de São Paulo, São Paulo. 2005.
HASUI, Y. Compartimentação Geológica do Brasil. In: HASUI, Y.; CARNEIRO, C. D. R.; DE ALMEIDA, F. F. M.; BARTORELLI, A. (Org.), Geologia do Brasil. São Paulo: BECA, 2012. p. 112-122. ISBN: 9788562768101
INTERGOVERNMENTAL PANEL ON CLIMATE CHANGE (IPCC). Climate Change 2007: Synthesis Report. Core Writing Team, Pachauri RK, Reisinger A, editors.Geneva: IPCC; 2007.
LOLLO, J. A. Mapeamento Geotécnico da Folha de Leme - SP. 1991. 86 f. Dissertação (Mestrado em Geotecnia). EESC-USP, São Carlos, 1991.
MENDAS, A.; DELALI, A. Integration of MultiCriteria Decision Analysis in GIS to develop land suitability for agriculture: Application to durum wheat cultivation in the region of Mleta in Algeria. Computers and Electronics in Agriculture.v.83, p. 117-126, 2012. https://doi.org/10.1016/j.compag.2012.02.003
MENDONÇA, F., DANNI-OLIVEIRA, I. M. Climatologia: noções básicas e climas do Brasil. São Paulo: Oficina de textos, 2007. 206 p.
MIRANDA, E. E. Questões ambientais (impactos locais e globais) e energéticas: a expansão da cana-de-açúcar e a ocupação das terra no Estado de São Paulo. In: CORTEZ, L. A. B. (Coord.). Bioetanol de cana-de-açúcar: P&D para produtividade e sustentabilidade, p.41-51, 2010.
MONTAÑO, M.; RANIERI, V. E. L.; SCHALCH, V. ;FONTES, A. T.; CASTRO, M. C. A. A. ;SOUZA, M.P. de. Integração de critérios ambientais, econômicos e sociais para localização de aterros sanitários. Engenharia Sanitária e Ambiental, v. 17, p. 61-70, 2012. https://doi.org/10.1590/S1413-41522012000100010
MORAIS, D.C.; ALMEIDA, A.T. Modelo de decisão em grupo para gerenciar perdas de água. Revista de Pesquisa Operacional, versão online (ISBN 1678- 5142), v. 26, n. 3, p. 567-584, set/dez 2006.
OLUFEMI, A. O.; BRANDON, R. B.; WARREN, C. J.; GARY, T. M.;RANDY, B.; STANTON, W. H.; THOMAS, J. H.; BUDHENDRA, L. B.; BRADLEY, S. N.; AMY, N. R. Adapting a GIS-based multicriteria decision analysis approach for evaluating new power generating sites. Applied Energy 96. 2012.
ROSS, J. L. S.; I. C. MOROZ. Mapa geomorfológico do Estado de São Paulo. São Paulo: FFLCH-USP/IPT/FAPESP1997. 1997. Escala 1:500.000.
RUDORFF, B. F. T.; AGUIAR, D. A.; SILVA, W. F.; SUGAWARA, L. M.; ADAMI, M.; MOREIRA, M. A. Studies on the Rapid Expansion of Sugarcane for Ethanol Production on São Paulo State (Brazil) Using Landsat Data. Remote Sensing, v.2, n.4, 2010. https://doi.org/10.3390/rs2041057
RUPERT, S.; RAMMER, W.; LEXER, M. J. Adaptation options to reduce climate change vulnerability of sustainable forest management in the Austrian Alps. Institute of Silviculture, Department of Forest and Soil Sciences, University of Natural Resources and Life Sciences (BOKU) Vienna, Peter Jordan Straße 82, 1190 Wien, Austria. 2011.
PREFEITURA MUNICIPAL DE LEME. Plano Diretor do Município de Leme - 2007. Disponível em: http://www.leme.sp.gov.br/paginas/conteudo/planodiretor.jsp . Acesso em: 23 jun. de 2014.
STRAHLER, A. N. Hypsometric (area-altitude) analysis of erosional topography. Geological Society of America Bulletin, v. 63, n. 11, p. 1117-1142, 1952. https://doi.org/10.1130/0016-7606(1952)63[1117:HAAOET]2.0.CO;2
UNITED STATES - United States Geological Survey (USGS). LANDSAT_8. Cena: LC82200752014078LGN00. Disponível em: < http://earthexplorer.usgs.gov > Acesso em: 23 abr. de 2014.
WALKE, N.; OBI REDDY,G.P.; MAJI, A.K.; THAYALAN, S. GIS-based multicriteria overlay analysis in soil-suitability evaluation for cotton (Gossypium spp.): A case study in the black soil region of Central India. Computers & Geosciences v. 41, p.108-118, 2012. https://doi.org/10.1016/j.cageo.2011.08.020
WORLD HEALTH ORGANIZATION (WHO). Population health and waste management: scientific data and policy options. Report of a WHO workshop Rome, Italy, 29-30 March 2007. Copenhagen: WHO Regional Office for Europe; 2007.
ZHANG, H.; HUANG, G.H. Assessment of non-point source pollution using a spatial multicriteria analysis approach. EcologicalModelling. Ed.222, p. 313-321, 2011..
ZUQUETE, L. V.; GANDOLFI, N.Cartografia geotécnica. - - São Paulo: Oficina de Textos, 2004. 190 p.