Artigos
Microclima urbano de áreas residenciais no período noturno: Estudo em Santa Maria, RS
Microclimate urban in residential areas in the nocturnal period: Study in Santa Maria, RS
Microclima urbano de áreas residenciais no período noturno: Estudo em Santa Maria, RS
Sociedade & Natureza, vol. 30, núm. 2, pp. 140-163, 2018
Universidade Federal de Uberlândia, Instituto de Geografia, Programa de Pós-Graduação em Geografia
Recepção: 10 Maio 2017
Aprovação: 20 Julho 2018
Resumo: Alterações na paisagem ocasionadas pela urbanização diferenciam o clima da cidade do seu entorno natural, originando as ilhas de calor urbanas. Estudos têm comprovado a relação entre densidade construída, recobrimento do solo, vegetação e o microclima urbano. Este artigo apresenta a análise da influência do ambiente construído e da vegetação sobre o microclima urbano em quatro áreas residenciais de Santa Maria (RS). As áreas estudadas são ocupadas por habitações unifamiliares de até dois pavimentos, com densidade construída semelhantes, mas diferentes índices de vegetação. O método foi desenvolvido a partir da interpretação de fotos aéreas, observação direta e medições in loco de temperatura do ar, com análise baseada em dados noturnos. Em geral, os resultados mostraram que nas quatro áreas de ocupação residencial foram registradas temperaturas maiores que o ponto de referência, local com área de 70% de cobertura vegetal, demonstrando o efeito da urbanização sobre a temperatura. Quanto maior a taxa de vegetação, mesmo para densidades construídas semelhantes, menores foram as temperaturas. Os resultados indicam que áreas com densidade construída semelhantes podem apresentar diferentes condições térmicas, de acordo com o arranjo espacial e com os elementos que compõem cada fração urbana, entre eles a vegetação.
Palavras-chave: Microclima urbano, Áreas residenciais, Temperatura do ar, Vegetação.
Abstract: The urbanization and the transformations of the natural landscape cause differences between the temperature of cities and their natural surroundings. Urban heat island is a probable consequence of this cultural action. Studies have verified the relation between building density, ground cover, vegetation and urban microclimate. The study presents findings related the analysis of the influence of the built environment and the vegetation on urban microclimate in four residential areas in Santa Maria (RS). The samples are mainly formed by single-family housing with one or two-floors, with similar urban building density, but different vegetation rates. The method was developed from the interpretation of aerial photos, field work observation and in situ air temperature measurements, with analysis based on nighttime data. In general, the results have showed that in all four areas of residential occupation the temperatures were recorded larger than the reference point, the local area with 70% plant cover, demonstrating the effect of urbanization on the temperature. And the higher the rate of vegetation, even for similar building densities, the lower the temperature. The results indicate areas with similar built density may have different thermal conditions according to the spatial arrangement and the elements that make up each fraction of urban, including vegetation.
Keywords: Urban microclimate, Residential areas, Air temperature, Vegetation.
Introdução
As alterações na paisagem, ocasionadas pela urbanização, tornam o clima da cidade diferente daquele do seu entorno natural, favorecendo a formação de diferentes microclimas. Segundo Cardoso e Amorim (2014), a temperatura do ar tem se destacado nos estudos sobre o clima urbano, porque é um dos elementos do clima que mais sofrem variações devido à influência da superfície urbana na atmosfera local. A aplicação dos conhecimentos de climatologia urbana no planejamento do espaço urbano pode contribuir para mitigar os efeitos negativos decorrentes das alterações microclimáticas e melhorar a qualidade de vida nas cidades (AMORIM, 2010). Uma das consequências das alterações microclimáticas ocasionadas pela urbanização é a formação das ilhas de calor urbanas, que pode ser entendida como um fenômeno noturno devido às diferenças de resfriamento urbano e rural, especialmente ou com intensidade máxima em noites claras e sem ventos, nas horas próximas e seguintes ao pôr do sol (OKE, 1982). O calor acumulado pelas estruturas urbanas durante o dia é dissipado principalmente à noite, favorecendo o aquecimento noturno da atmosfera próxima à superfície nas cidades (AMORIM, 2010; GOMES; LAMBERTS, 2009).
A ilha de calor começa a se formar no limite entre a área rural e urbana, atingindo as maiores temperaturas no centro das cidades, nas áreas com maior atividade antrópica e com maiores taxas de densidade de construção e de impermeabilização do solo (OKE, 1982). No entanto, esse perfil pode ser interrompido por áreas mais quentes ou mais frias, conforme o período do dia e a variação no uso e na ocupação do solo, tornando a cidade um mosaico de microclimas distintos (AMORIM, 2010; SPIRN, 1995). Isto indica que mesmo locais afastados dos centros urbanos podem apresentar alterações microclimáticas desfavoráveis ao conforto. No estudo sobre a influência das florestas urbanas no microclima de Curitiba (PR), Leal, Biondi e Batista (2014) verificaram que alguns pontos monitorados, localizados em bairros com vários conjuntos habitacionais de lotes pequenos, pouca vegetação natural e poucas florestas urbanas apresentaram temperaturas semelhantes à área central densamente construída.
As alterações climáticas no meio urbano têm efeitos no conforto humano, na qualidade do ar e no consumo de energia (ELIASSON, 2000). De maneira geral, a preocupação com as condições climáticas visa ao conforto higrotérmico do interior das edificações e poucas vezes ao conforto no espaço urbano (AMORIM, 2010; DUARTE, 2000). Martins, Bonhomme e Adolphe (2013) comentam que, nas últimas décadas, a qualidade ambiental do ambiente construído tem sido bastante abordada nos discursos e práticas de regulamentações, com o objetivo de garantir melhor desempenho energético das edificações. No entanto, a abordagem desse tema em escala maior, com o objetivo de integrar dados energéticos ao planejamento urbano junto ao projeto arquitetônico, ainda é pouco expressiva.
Por outro lado, diversos estudos vêm sendo realizados comprovando a associação entre microclimas urbanos e as variáveis de ocupação do solo, entre elas, o recobrimento do solo, a densidade construída e a vegetação. Como exemplos, podemos citar Duarte (2000), Gomes e Lamberts (2009) e Chen-Yi et al. (2009). Duarte (2000) e Gomes e Lamberts (2009) pesquisaram, para diferentes cidades, além de fatores como vegetação, água e superfícies impermeáveis, a correlação entre densidade construída e temperatura do ar. Os autores encontraram correlação positiva entre aumento da temperatura e da densidade construída.
Em geral, no período noturno, define-se melhor o contraste térmico entre o núcleo urbano e seu entorno natural. O calor acumulado durante o dia por uma fração urbana é liberado à noite por radiação de ondas longas. A emissão de onda proveniente da superfície terrestre (de ondas longas) ocorre tanto durante o dia quanto à noite, mas essa radiação terrestre é a principal fonte radiativa à noite porque, nesse período, a radiação solar não está presente (AYOADE, 2004). Segundo Vasconcelos, Souza e Teixeira (2013, p. 4), “as temperaturas noturnas são o parâmetro térmico que evidenciam de maneira mais clara a influência da morfologia urbana sobre o ambiente térmico”.
Chen-Yi et al. (2009) investigaram a influência de densidade de vegetação, densidade construída e a razão entre a altura dos edifícios e a distância entre eles ou largura da rua (H/W) sobre o microclima em duas ruas de Taiwan. Os autores encontraram correlações significativas entre a temperatura e os três parâmetros, nas alturas de 3 e 4 metros, no período noturno. A temperatura mais baixa noturna ocorreu em lugares de baixa densidade de construção e baixa razão H/W e alta densidade de vegetação. Conforme os autores, mesmo que a vegetação não forneça evaporação para resfriar o ambiente durante a noite, a cobertura vegetal ainda é mais fria do que outros tipos de superfícies, tais como concreto e asfalto.
As áreas verdes atenuam os efeitos da ilha de calor, contribuem na redução do estresse térmico no espaço público, na melhoria do microclima no entorno das edificações, na qualidade do ar e no sistema de drenagem da área urbana (GOMES; LAMBERTS, 2009; HOUGH, 2004). Por isso é fundamental garantir, através de diretrizes para legislação urbana, uma proporção adequada de área verde em relação à área construída. Duarte (2000) acredita que é importante determinar os índices de vegetação em função da densidade construída para cada bairro ou zona da cidade.
O efeito da vegetação sobre o microclima no bairro Camobi, em Santa Maria (RS), foi observado por Rovani et al. (2014), que analisaram o campo termo-higrométrico e a formação de ilhas de calor e frescor no bairro, em um dia de inverno e outro de primavera. Em geral, as ilhas de calor coincidiram com as áreas de maior ocupação urbana, pouca vegetação, alta impermeabilização do solo e intenso fluxo de veículos. De modo geral, a partir das 18 horas melhor se definiu o contraste térmico entre o núcleo urbano e seu entorno.
O tipo e a distribuição da vegetação também devem ser considerados no desenho urbano, conforme o clima do local. Por exemplo, características da fronde (caducidade, densidade das copas, cor e tamanho de folhas) influenciam a penetração da radiação solar sobre as superfícies e a penetração dos ventos nos ambientes urbanos (HOUGH, 2004; KONARSKA et al., 2012). Para as regiões climáticas que sofrem os rigores das temperaturas de verão e de inverno, as árvores caducifólias são as melhores porque fornecem sombra na estação quente e permitem a passagem do sol de inverno até o solo (HOUGH, 2004).
Através do equilíbrio entre elementos construídos e naturais, como área construída, áreas verdes, superfície de água, equipamentos e infraestrutura urbana, é possível assegurar melhor qualidade ambiental e uma configuração urbana mais adequada ao clima local (DUARTE, 2000; SILVA; ROMERO, 2013). A necessidade de buscar diretrizes quantitativas para determinação de percentuais recomendáveis para área edificada e para a cobertura vegetal é consenso entre os pesquisadores (ROMERO, 2011). Diante desse cenário, as pesquisas sobre clima urbano podem fornecer recomendações importantes para as práticas de desenho e planejamento urbanos, adequados a cada realidade climática.
Objetivo
O presente artigo tem por objetivo analisar a influência do ambiente construído e da vegetação sobre o microclima em quatro áreas residenciais do bairro Camobi, Santa Maria (RS), no período noturno. Parte-se do pressuposto de que espaços com taxas semelhantes de área construída podem apresentar diferentes comportamentos térmicos, conforme o arranjo espacial, os índices de vegetação, de elementos construídos e naturais. O método busca avaliar o efeito das variáveis de ocupação do solo (densidade construída, revestimentos do solo e vegetação) sobre a temperatura do ar e identificar, entre as amostras avaliadas, aquelas mais frias e as mais aquecidas durante duas estações climáticas distintas.
Método
A metodologia foi baseada nos seguintes processos: caracterização da área de estudo e seleção dos pontos de medição; levantamento das variáveis de ocupação urbana; coleta de dados climáticos; seleção dos dias mais adequados para análise; integração dos dados e discussão dos resultados.
Área de estudo
Santa Maria é uma cidade de porte médio localizada na região central do Rio Grande do Sul. O bairro Camobi situa-se no leste do município (Figura 1), tem uma população de quase 22 mil habitantes (IBGE, 2013), topografia quase plana (DAL ASTA, 2009) e ocupação de baixa e média densidade urbana (SANTA MARIA, 2005, 2009). O bairro concentra atividades de instituições federais, comércio, serviços e uso predominantemente habitacional.
O clima de Santa Maria é do tipo Cfa, conforme classificação de Köppen, que corresponde ao clima subtropical, sempre úmido de verões quentes (TORRES; MACHADO, 2011). A temperatura média anual é de 18,8°C. No inverno, as temperaturas podem ser negativas, porém, o verão é bastante quente, com média mensal normal das temperaturas máximas diárias do ar acima de 29,5°C entre dezembro e fevereiro. A precipitação pluviométrica é bem distribuída ao longo do ano e a umidade relativa média anual é de 76,5% (INMET, 2009).

Amostras analisadas
Os pontos selecionados fazem parte de uma pesquisa mais ampla, onde 10 pontos do bairro foram analisados. Nesse artigo, os resultados de cinco pontos foram utilizados para a análise (Figura 2): um ponto de referência (PR) e quatro pontos em áreas residenciais de ocupação urbana horizontalizada (P1, P2, P3 e P4). As áreas residenciais avaliadas são ocupadas principalmente por habitações unifamiliares térreas e de dois pavimentos, apresentando taxas semelhantes de densidade construída, mas diferentes índices de projeção de edificação, de áreas pavimentadas e de vegetação. Podem ser consideradas de baixo e médio adensamento construtivo, se comparadas com a região mais central do município.
Os critérios adotados para a escolha dos locais foram, principalmente, a semelhança nas taxas de densidade construída e uso do solo entre as amostras, a diversidade de taxas de vegetação e áreas pavimentadas entre as amostras e a uniformidade nas formas de ocupação por edificações dentro de cada amostra. O ponto PR foi implantado próximo à estação do INMET, no Campus da Universidade Federal de Santa Maria (UFSM), local com baixa intervenção urbana. Os dados desse ponto serviram de referência para a análise comparativa, por serem considerados representativos das condições climáticas regionais.

Variáveis de ocupação urbana
Para as medições dos parâmetros de ocupação do solo, considerou-se uma circunferência com raio de 150 metros em torno de cada ponto de medição climática, baseado em Gomes e Lamberts (2009), totalizando uma área com pouco mais de sete hectares em cada uma das amostras da pesquisa. Foram classificados, em cada amostra, diferentes elementos de ocupação do solo em projeção horizontal: edificações, áreas pavimentadas (asfalto, concreto ou pedra), áreas gramadas, áreas permeáveis não vegetadas (solo exposto ou brita), árvores e corpos d’água. A cada tipo de superfície relacionou-se uma cor. Através dessa classificação, efetuou-se o cálculo aproximado de cada tipo, bem como o cálculo aproximado da densidade construída de cada local.
A identificação dos elementos foi realizada através de interpretação de fotos aéreas, juntamente com observações de trabalho de campo, que buscaram identificar principalmente o número de pavimentos das edificações. As fotos aéreas têm resolução de 10 cm e foram cedidas pelo Instituto de Planejamento de Santa Maria (IPLAN-SM, 2013). Para o georreferenciamento das fotos, vetorização e cálculo das diferentes superfícies de ocupação do solo foi utilizado o programa ArcGis 10, desenvolvido pela empresa ESRI. O cálculo das diferentes classes de ocupação do solo e da densidade construída é aproximado, baseado apenas na interpretação das fotos aéreas (não ortorretificadas) e trabalho de campo.
Após o percentual levantado de cada parâmetro nas amostras, foi elaborado o cálculo aproximado da densidade construída (relação entre a área total construída dentro da amostra e a área da amostra). Através da projeção das edificações identificadas na etapa anterior e do levantamento de campo, cada estrutura edificada recebeu uma cor conforme o número de pavimentos. Em seguida, foi possível calcular a área total construída estimada por amostra, multiplicando-se a área de cada classe (cor) pelo respectivo número de pavimentos e somando-se todos os resultados.
Posteriormente, a densidade construída aproximada por amostra (em %) foi efetuada através da Equação 1:
Coleta de dados climáticos
A variável climática analisada nesse estudo foi a temperatura do ar. As coletas de dados climáticos foram feitas por estações fixas, com aparelhos registradores de dados climáticos (dataloggers), em duas estações distintas: a primeira, no verão, e a segunda, no inverno. Os dados foram coletados simultaneamente em todos os pontos amostrais. Da mesma forma que as medições do INMET, para as medições realizadas nesta pesquisa não foi considerado o horário brasileiro de verão, ou seja, o registro dos dados foi avaliado pelo horário solar da região (UTC-3).
Os dataloggers empregados foram o de modelo HOBO® U23-001 Temperatura/Umidade Relativa à prova de intempéries, fabricados pela Onset Computer Corporation. As principais características técnicas são: faixa de operação de temperatura de -40°C a +70°C e de umidade de 0% a 100%; precisão de temperatura de +/- 0,2°C (para a faixa de 0°C a 50°C) e resolução de 0,02°C a 25°C; precisão de umidade de +/- 2,5% e resolução de 0,03%.
Durante as medições, os aparelhos foram protegidos em abrigos de madeira, pintados de branco, com paredes duplas furadas, possibilitando a ventilação e evitando a incidência solar direta. Apoiados numa haste de madeira a 1,5 m do solo, os abrigos foram instalados em espaços abertos, sobre solo natural ou com cobertura vegetal. Com a frente voltada para o Sul, a abertura foi fechada apenas por uma cartolina branca plastificada e perfurada, permitindo a ventilação no interior do abrigo.
No verão, os dias de medição ocorreram entre 31 de janeiro e 06 de fevereiro de 2014, totalizando sete dias completos e consecutivos de coleta de dados (os aparelhos iniciaram os registros no dia 30/01 e foram finalizados no dia 07/02). No inverno, devido às previsões e condições de instabilidade atmosférica, as medições foram realizadas em dois períodos: de 08 a 13 de julho e de 19 a 20 de julho de 2014, totalizando oito dias completos de coleta. Os abrigos permaneceram nos locais de medição de 07 a 21 de julho e os aparelhos registraram os dados desde o dia 07/07 até 14/07 e, posteriormente, de 18/07 até 21/07.
Para a análise dos resultados, foram selecionados os dias preferencialmente de céu claro, sem nuvens e ventos fracos, para cada estação. Desta forma, conforme literatura sobre o tema, a influência dos elementos urbanos sobre as variáveis climáticas pode ser mais bem identificada. A seleção dos dias foi feita conforme análise comparativa dos dados climáticos (INMET, 2014) de cada dia de medição (temperaturas, precipitação, umidade relativa, vento, insolação e nebulosidade), através de observação diária, e de imagens de satélite (CPTEC/INPE, 2014).
Inerentes às pesquisas na área de clima urbano e pesquisas de campo, o trabalho apresentou alguns fatores limitadores que foram considerados dentro da margem de erro da pesquisa. Entre eles, pode-se citar a impossibilidade de isolar as variáveis e a dificuldade de se obter locais adequados para a implantação dos abrigos no meio urbano. O pouco tempo disponível também dificultou a realização de diversos testes que pudessem indicar melhores condições de medições relativas aos abrigos e aos equipamentos utilizados e limitou o número de dias de tempo estável, favoráveis à análise de microclima urbano.
Resultados
Os Quadros 1 e 2 apresentam os dados meteorológicos registrados em Santa Maria pelo INMET durante os dias de medição da pesquisa, no verão e no inverno, respectivamente. Os dados foram organizados pelos autores, com base nos dados da Rede do INMET - BDMEP, Banco de Dados Meteorológicos para Ensino e Pesquisa (INMET, 2014).
Os dias selecionados para análise foram aqueles sem chuva, com ventos mais fracos, maior número de horas de insolação, com as temperaturas mais altas no verão e as mais baixas no inverno, conforme destacado nos quadros.


A análise foi elaborada utilizando-se apenas os dados noturnos porque, em geral, é no período noturno que se define melhor o contraste térmico entre a área urbana e seu entorno natural. Além disso, utilizando-se os dados noturnos, foi possível eliminar o efeito das variações de sombreamento nas medições, causado pela configuração urbana nos abrigos e seus entornos nos diferentes horários do dia, e assim evitar possíveis distorções de resultados. Além das temperaturas médias noturnas diárias (considerando o período das 19 às 24 horas), outro horário escolhido para análise foi o das 21 horas (00UTC), por ser um dos horários oficiais de registro de dados do INMET. O Quadro 3 mostra os dados meteorológicos dos dias de estudo, às 21 horas, registrados na Estação Convencional do INMET de Santa Maria.

A Figura 3 mostra cada local de medição da pesquisa. Os dados de altitude informados foram obtidos pelo Google Earth (2016), sendo valores aproximados. O resultado do levantamento quantitativo das variáveis de ocupação do solo pode ser observado na Figura 4 e Tabela 1. Para compreender a influência do espaço construído e dos elementos naturais sobre a temperatura do ar, a partir dos resultados encontrados nesse estudo, é importante considerar as diferentes taxas das variáveis de ocupação do solo de cada amostra e também os aspectos relativos aos diferentes arranjos espaciais no entorno de cada local de medição. As proximidades e alturas das edificações, muros, tipos de materiais construtivos, dimensões das áreas verdes e pavimentadas e até mesmo copas mais densas de árvores ou grupamentos arbóreos podem reter calor, conformar barreiras contra a ventilação e a liberação de ondas longas, dificultando a dispersão de calor para a atmosfera. Portanto, dentro de cada amostra, a temperatura é influenciada pela configuração urbana geral, mas também podem ocorrer variações de temperatura conforme o entorno de cada ponto de medição.

A Figura 4 mostra o total da amostra (raio de 150 metros), que foi utilizada no cálculo das variáveis de ocupação do solo, e uma aproximação do entorno do ponto de medição (raio de 50 metros), para melhor visualização do contexto urbano onde as medições climáticas foram realizadas e, assim, compreender melhor a influência dos elementos urbanos sobre a temperatura do ar.
Analisando apenas a porção mais próxima do ponto de medição (raio de 50 metros), pode-se observar que o ponto PR apresenta no seu entorno apenas revestimento permeável e condição bastante favorável à circulação dos ventos, pois se trata de um local livre de barreiras ou obstruções. No entorno dos pontos P1 e P2, observa-se a concentração de edificações baixas, porém, pouco espaçadas entre si, e áreas gramadas bastante reduzidas, enquanto nos pontos P3 e P4 observa-se maior quantidade de espaços verdes entre as edificações.

| Superfícies de ocupação do solo de cada ponto da pesquisa (circunferência de 150m de raio) | ||||||||
| Pontos da pesquisa | Densidade construída (%) | Área de edificação (%) | Pavi-mento (%) | Solo exposto/ brita (%) | Água (%) | Revestimento vegetal (%) | Árvore (%) | Total de vegetação (%) |
| PR | 2,26 | 2,26 | 1,54 | 23,18 | 0,00 | 69,71 | 3,32 | 73,03 |
| P1 | 33,03 | 32,78 | 16,36 | 36,14 | 0,01 | 14,03 | 0,69 | 14,72 |
| P2 | 40,34 | 36,76 | 28,55 | 8,32 | 0,02 | 15,49 | 10,86 | 26,35 |
| P3 | 35,54 | 26,45 | 20,37 | 1,94 | 0,76 | 26,61 | 23,86 | 50,47 |
| P4 | 40,09 | 31,65 | 22,56 | 1,37 | 0,69 | 25,37 | 18,38 | 43,74 |
Através da Figura 4 e da Tabela 1 é possível observar que as amostras com maiores taxas de área impermeabilizada (projeção de edificação e pavimentação) são os pontos P2 e P4. Os locais com as menores taxas de cobertura vegetal (árvore e revestimento vegetal) são os pontos P1 e P2. Quanto à vegetação arbórea somente, os pontos com as maiores taxas são P3 e P4, respectivamente; enquanto os pontos P1 e PR apresentam as taxas mais baixas de cobertura arbórea. Embora o ponto PR apresente escassa quantidade de árvores, a cobertura por revestimento vegetal é bastante alta, chegando a quase 70%.
Pelo levantamento das variáveis de ocupação do solo realizado, é possível observar que as amostras, com predomínio de habitações unifamiliares de um ou dois pavimentos por lote, não apresentam alto adensamento urbano, comparado com centros urbanos verticalizados, onde as taxas de densidade construída podem ultrapassar os 100%. As amostras da área residencial (P1, P2, P3 e P4) apresentam taxas semelhantes de densidade construída, entre 33 e 40% aproximadamente, e o ponto P2 é aquele com maior porcentagem de área construída e pavimentação entre as amostras.
A Figura 5 apresenta os valores horários registrados para a temperatura do ar nos cinco pontos da pesquisa, no período da noite e madrugada de cada dia selecionado.
No verão, de maneira geral, o PR foi o menos aquecido em praticamente todos os horários dos dias analisados. Considerando os quatro pontos das áreas residenciais, nos dias 03 e 05 de fevereiro (Figuras 5a e 5b), as diferenças térmicas foram maiores, enquanto no dia 06 de fevereiro (Figura 5c), quando houve registro de maior nebulosidade e ventos, as diferenças térmicas foram inexpressivas.
No inverno, em geral, o PR foi o menos aquecido, porém, em alguns dias e horários, as menores temperaturas foram registradas nos pontos P3 e P4. No dia 08 de julho (Figura 5d), dia mais frio do período de medições, as diferenças de temperatura entre os pontos, na maior parte do tempo não foram significativas. Já nos dias 19 e 20 de julho, as temperaturas mais altas foram registradas nos pontos P1 e P2, na maioria dos horários.
Tomando como referência o horário das 21 horas para análise de ilha de calor no verão e no inverno (Tabela 2), as temperaturas mais baixas foram sempre registradas no PR, como esperado. Este ponto de referência não sofre influência do ambiente construído urbano, pois é um local com baixa intervenção urbana e, apesar de receber insolação direta durante o dia, apresenta mais de 70% de cobertura vegetal e poucos elementos construídos que possam acumular calor ou servir como barreiras à ventilação.

Para o horário das 21 horas, observa-se que, em alguns dias, as diferenças de temperatura chegaram perto dos 3 °C, revelando que, mesmo em áreas residenciais afastadas do centro urbano, como é o caso das amostras estudadas, o microclima sofre influência do ambiente construído. Por outro lado, os resultados indicam que o efeito de ilha de calor no bairro pode ser considerado pequeno quando comparado aos efeitos encontrados em centros urbanos adensados. As características de baixa a média densidade de ocupação, baixa atividade antropogênica nas áreas monitoradas e a proximidade com as áreas rurais do município podem explicar essa condição.
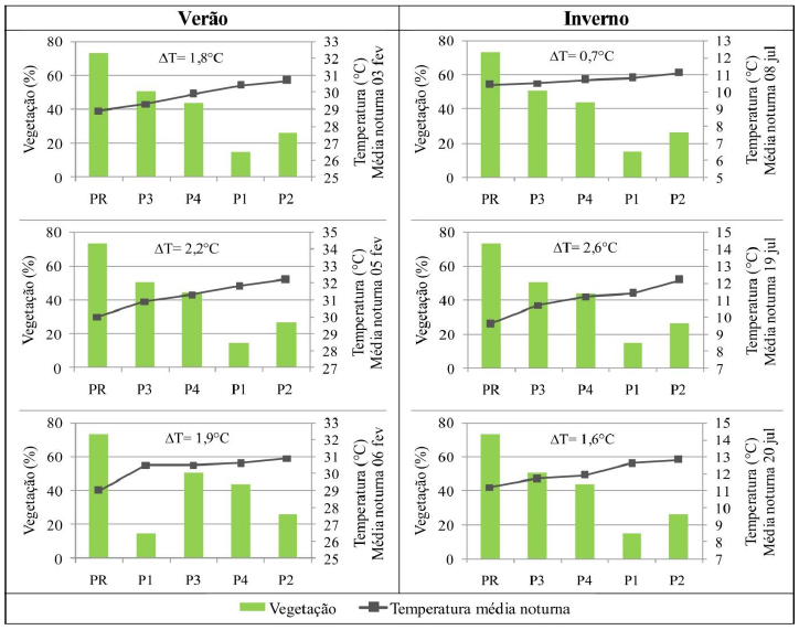
Considerando os quatro pontos das áreas residenciais, as menores temperaturas foram registradas nos pontos P3 e P4, amostras com os maiores índices de vegetação.
| PR | P1 | P2 | P3 | P4 | Diferença térmica entre os 4 pontos residenciais ((∆T) | Diferença térmica entre PR e o ponto mais aquecido ((∆T) | ||
| Revestimento vegetal (%) | 69,7 | 14,0 | 15,5 | 26,6 | 25,4 | |||
| Árvore (%) | 3,3 | 0,7 | 10,9 | 23,9 | 18,4 | |||
| VEGETAÇÃO (%) | 73,0 | 14,7 | 26,4 | 50,5 | 43,8 | |||
| VERÃO Temperatura (°C) 21 horas | 03/fev | 28,6 | 30,9 | 31,1 | 29,0 | 29,8 | 2,1 | 2,5 |
| 05/fev | 29,9 | 32,4 | 32,7 | 31,1 | 31,3 | 1,7 | 2,8 | |
| 06/fev | 29,3 | 31,6 | 31,9 | 31,3 | 31,3 | 0,6 | 2,6 | |
| INVERNO Temperatura (°C) 21 horas | 08/jul | 10,3 | 11,1 | 11,3 | 10,5 | 10,6 | 0,8 | 1,1 |
| 19/jul | 9,8 | 11,6 | 12,4 | 10,8 | 11,4 | 1,6 | 2,7 | |
| 20/jul | 10,8 | 12,6 | 12,9 | 11,8 | 12,2 | 1,1 | 2,1 | |
Na Figura 6, os valores de temperatura média noturna para cada dia (considerando o período das 19 às 24 horas), visualizadas em ordem crescente, foram sobrepostos aos dados indicativos de vegetação de cada ponto. Os resultados indicam uma tendência de acréscimo de temperatura de acordo com a redução nas taxas de vegetação. Como previsto, o PR apresentou as menores temperaturas e, em geral, nos dias de tempo mais estável, com céu claro e ventos fracos, o ∆T foi maior, demonstrando de forma mais clara a influência dos padrões de ocupação do solo sobre a temperatura do ar.

O ponto P2 apresentou a maior média noturna de temperatura em todos os dias avaliados, sendo a amostra com a maior taxa de área impermeabilizada (projeção de edificação e pavimentação) e com uma das menores taxas de vegetação (árvore e revestimento vegetal). Este resultado está de acordo com a literatura, pois revela a influência da inércia térmica dos materiais sobre o microclima urbano no período noturno. No inverno, o desempenho térmico desse ponto pode ser favorável ao conforto térmico porque pode contribuir para a redução do consumo de energia para aquecimento, desde que o desempenho da própria edificação seja apropriado. Mas, por outro lado, nos dias quentes de verão, pode gerar excessivo desconforto térmico e consumo energético com a climatização de edificações.
Os quatro pontos das áreas residenciais apresentam taxas semelhantes de densidade construída, mas, enquanto P1 e P2 apresentaram as maiores médias de temperatura, os pontos P3 e P4, com taxas mais altas de vegetação, apresentaram temperaturas médias mais baixas. Por outro lado, a temperatura foi mais baixa em P1 comparada ao P2, mesmo com uma taxa de vegetação menor. Isso pode ser explicado pelas diferenças nas taxas de revestimento do solo; enquanto em P2 as taxas de pavimentação são mais elevadas, o ponto P1 apresenta taxa considerável de solo permeável (36,1%), favorecendo um resfriamento mais rápido.
Considerações Finais
O objetivo do estudo foi analisar a influência do ambiente construído e da vegetação sobre a temperatura do ar em um bairro residencial de Santa Maria (RS). Através dos resultados obtidos para o período noturno, é possível afirmar que:
- as áreas urbanizadas, com configuração urbana considerada de baixa ou média densidade construída para o local, provocaram alterações microclimáticas, no verão e no inverno;
- áreas com densidade construída semelhantes podem apresentar diferentes condições térmicas;
- em geral, nas quatro amostras de uso residencial estudadas, os pontos mais frios foram aqueles com as maiores taxas de vegetação e os mais aquecidos, aqueles com as menores taxas de vegetação, nas duas estações climáticas;
- a influência do ambiente construído sobre a temperatura do ar em cada ponto, ficou evidente principalmente naqueles dias de maior temperatura, céu claro e ventos fracos.
Embora a pesquisa tenha sido desenvolvida em um contexto específico (local e clima), o método empregado pode ser aplicado em outras realidades. Investigar a condição térmica dos ambientes urbanos pode contribuir para as práticas de desenho e planejamento urbano, visando melhores condições de conforto térmico dos espaços abertos e menor consumo energético para a climatização das edificações.
Agradecimentos
Os autores agradecem ao Conselho Nacional de Desenvolvimento Científico e Tecnológico - Brasil (CNPq) e ao Centro de Tecnologia da UFSM pelo apoio financeiro para o desenvolvimento desta pesquisa.
Referências
AMORIM, M. C. C. T. Climatologia e gestão do espaço urbano. Mercator, Fortaleza (Online) número especial, v. 9, p. 71-90, 2010. Disponível em: <http://www.mercator.ufc.br/index.php/mercator/article/view/534/299>. Acesso em: 28 ago. 2015.
AYOADE, J. O. Introdução à climatologia para os trópicos. 10. ed. Rio de Janeiro: Bertrand Brasil, 2004. 332p.
CARDOSO, R. S.; AMORIM, M. C. C. T. Características do clima urbano em Presidente Prudente/SP a partir de dados de temperatura e umidade relativa do ar e técnicas de sensoriamento remoto. Revista do Departamento de Geografia - USP, São Paulo, v. 28, p. 39-64, 2014. Disponível em: <http://www.revistas.usp.br/rdg/article/view/90004/92794>. Acesso em: 28 ago. 2015.
CHEN-YI, S. et al. A Thermal Environment Investigation of the Urban Street Canyon in a Hot and Humid City, Taichung City, Taiwan. In: INTERNATIONAL CONFERENCE ON URBAN CLIMATE, 7, Yokohama, Japan, 2009. Anais… Yokohama, Japan, 2009. Disponível em: <http://www.ide.titech.ac.jp/~icuc7/extended_abstracts/pdf/375968-1-090519033132-006.pdf>. Acesso em: 09 dez. 2014.
CPTEC/INPE - Centro de Previsão de Tempo e Estudos Climáticos/Instituto Nacional de Pesquisas Espaciais. Ministério da Ciência e Tecnologia. Disponível em: <http://www.cptec.inpe.br/>. Acesso em: 25 jan. 2014.
DAL ASTA, A. P. Elaboração de zoneamento geoambiental para o perímetro urbano de Santa Maria - RS. 2009. 132f. Dissertação (Mestrado em Geografia). Programa de Pós-Graduação em Geografia, Universidade Federal de Santa Maria, Santa Maria.
DUARTE, D. H. S. Padrões de ocupação do solo e microclimas urbanos na região de clima tropical continental. 2000. 296f. Tese (Doutorado em Arquitetura e Urbanismo) - Universidade de São Paulo, São Paulo - SP, 2000.
ELIASSON, I. The use of climate knowledge in urban planning. Landscape and Urban Planning, n. 48, p. 31-44, 2000.
GOMES, P. S.; LAMBERTS, R. O estudo do clima urbano e a legislação urbanística: considerações a partir do caso de Montes Claros, MG. Ambiente Construído (Online), Porto Alegre, v. 9, n. 1, p. 73-91, jan./mar. 2009.
GOOGLE EARTH. Imagem Digital Globe 2016, data das imagens 17/03/2016.
HOUGH, M. Naturaleza y Ciudad: planificación urbana y procesos ecológicos. Barcelona: Gustavo Gili, 2004. 315p.
IBGE - Instituto Brasileiro de Geografia e Estatística. Sistema IBGE de Recuperação Automática (SIDRA) - Demográfico 2000 e Demográfico 2010. 2013. Disponível em: <http://www.ibge.gov.br>. Acesso em: 13 nov. 2013.
IPLAN - Instituto de Planejamento de Santa Maria. Diretoria de Planejamento. Setor de Geoprocessamento. Levantamento Aerofotogramétrico. Santa Maria, 2013.
______. Instituto de Planejamento de Santa Maria. Diretoria de Planejamento. Setor de Geoprocessamento. Mapas - Município. Santa Maria, 2016. Disponível em: <http://iplan.santamaria.rs.gov.br/site/home/pagina/id/140>. Acesso em: 11 nov. 2016.
INMET - Instituto Nacional de Meteorologia. Ministério da Agricultura, Pecuária e Abastecimento. Disponível em: <http://www.inmet.gov.br/portal/>. Acesso em: 23 jan. 2014.
______. Normais Climatológicas do Brasil 1961-1990. Organizadores: Andrea Malheiros Ramos, Luiz André Rodrigues dos Santos, Lauro Tadeu Guimarães Fortes. Brasília, DF: INMET, 2009. 465p.
KONARSKA, J.; LINDBERG, F.; LARSSON, A.; THORSSON, S.; HOLMER, B. Transmissivity of solar radiation through the crowns of single urban trees. Quarterly Newsletter of the IAUC - International Association for Urban Climate. Issue. N. 46, p. 20-24, 2012. Disponível em: <http://urban-climate.org/newsletters/IAUC046.pdf>. Acesso em: 07 dez. 2013.
LEAL, L.; BIONDI, D.; BATISTA, A. C. Influência das florestas urbanas na variação termo-higrométrica da área intraurbana de Curitiba - PR. Ciência Florestal (UFSM), Santa Maria, v. 24, n. 4, p. 807-820, 2014. Disponível em: <http://cascavel.ufsm.br/revistas/ojs-2.2.2/index.php/cienciaflorestal/article/view/16579>. Acesso em: 28 ago. 2015.
MARTINS, T. A. de L.; BONHOMME, M.; ADOLPHE, L. Análise do impacto da morfologia urbana na demanda estimada de energia das edificações: um estudo de caso na cidade de Maceió, AL. Ambiente Construído, Porto Alegre, v. 13, n. 4, p. 213-233, out./dez. 2013. Disponível em: <http://seer.ufrgs.br/index.php/ambienteconstruido/article/view/34348/28186>. Acesso em: 14 set. 2015.
OKE, T. R. The energetic basis of the urban heat island. Quarterly Journal of the Royal Meteorological Society, n. 108, p. 1-24, 1982.
ROMERO, M. A. B. Correlação entre o microclima urbano e a configuração do espaço residencial de Brasília. Fórum Patrimônio, Belo Horizonte, v. 4, n. 1, p. 9- 22, 2011.
ROVANI, F. M.; COSTA, E. R.; WOLLMANN, C. A.; CASSOL, R. Ilhas de Calor e Frescor urbanas no Bairro Camobi, Santa Maria/RS, sob domínio de duas condições atmosféricas no inverno e na primavera. In: XI SIMPÓSIO BRASILEIRO DE CLIMATOLOGIA GEOGRÁFICA, 2014, Curitiba, PR. Anais... Curitiba: UFPR, 2014. p. 86-99.
SANTA MARIA (RS). Prefeitura Municipal. Lei Complementar Nº 034 de 29 de dezembro de 2005. Plano Diretor de Desenvolvimento Urbano Ambiental - Santa Maria. Santa Maria, RS, 29 dez. 2005.
______. Lei Complementar N° 072 de 04 de novembro de 2009. Lei de Uso do Solo do Município de Santa Maria - RS. Santa Maria, RS, 04 nov. 2009.
SILVA, G. J. A.; ROMERO, M. A. B. Cidades sustentáveis: uma nova condição urbana a partir de estudos aplicados a Cuiabá, capital do estado de Mato Grosso, Brasil. Ambiente Construído, Porto Alegre, v. 13, n. 3, p. 253-266, jul./set. 2013. Disponível em: <http://seer.ufrgs.br/index.php/ambienteconstruido/article/view/38818/27155>. Acesso em: 28 ago. 2015.
SPIRN, A. W. O Jardim de Granito: A Natureza do Desenho da cidade. Tradução de Paulo Renato Mesquita Pellegrino. São Paulo: Editora da Universidade de São Paulo, 1995. 345 p.
TORRES, F. T. P.; MACHADO, P. J. O. Introdução à climatologia. São Paulo: Cengage Learning, 2011.
VASCONCELOS, J. S.; SOUZA, L. C. L.; TEIXEIRA, B. A. N. Comportamento térmico em uma fração urbana no município de São Carlos. In: CONGRESSO BRASILEIRO DE GESTÃO AMBIENTAL, IV ConGeA, 2013, Salvador, BA. Anais eletrônicos... Salvador: IBEAS, 2013. p. 1-5. Disponível em: <http://www.ibeas.org.br/congresso/Trabalhos2013/X-006.pdf>. Acesso em: 21 out. 2014.