Articles
Received: 04 February 2021
Accepted: 14 June 2021
Published: 08 July 2021
DOI: https://doi.org/10.14393/SN-v33-2021-591700
Funding
Funding source: Coordenação de Aperfeiçoamento de Pessoal de Nível Superior
Contract number: 001
Abstract: This article analyzes the Ecosystem Services provided by the Arroio Passo Fundo Watershed, located in Guaíba City, Rio Grande do Sul, Brasil. To analyze the transitions that occurred in land use and land cover classes between 1985 and 2019, MapBiomas Collection 5 Project data were used, as well as the transformations that occurred in this interval of 34 years, which supported the elaboration trend scenario for 2030 and 2050, through the free software Dinamica EGO. The results show that the watershed provided around US$ 21,020,441 in Ecosystem Services in 1985, decreasing to US$ 19,635,767 in 2019, and an estimated value of US $ 19,059,616 in the 2050 trend scenario. The most evident change was the conversion of grassland to soy bean cultivation. The identification of land use and land cover classification associated with multiple Ecosystem Services is an effective alternative for public managers and decision- makers to develop proactive and efficient strategies for improving the environmental quality in the watershed.
Keywords: LULC lassification, MapBiomas Project, Dinamica EGO, Ecosystem function, Scenarios for land use.
Resumo: O objetivo principal deste estudo consiste em analisar os Serviços Ecossistêmicos fornecidos na Sub-Bacia Hidrográfica do Arroio Passo Fundo, localizada no município de Guaíba/RS. Para analisar as transições ocorridas nas classes de uso e cobertura do solo no intervalo de tempo compreendido entre 1985 e 2019 foram utilizados os dados da Coleção 5 do Projeto MapBiomas, bem como as transformações ocorridas nesse intervalo de 34 anos, que subsidiaram a elaboração de um cenário tendencial para os anos de 2030 e 2050, através do software livre Dinamica EGO. Os resultados mostram que a sub-bacia forneceu em torno de US$ 21.020.441 em Serviços Ecossistêmicos em 1985, com diminuição para US$ 19.635.767 em 2019, e um valor estimado em US$ 19.059.616 no cenário tendencial de 2050. A alteração mais evidente foi a conversão de áreas de Formação campestre para o cultivo de soja. A identificação das classes de uso e cobertura do solo associadas aos múltiplos Serviços Ecossistêmicos é uma alternativa eficaz para que gestores públicos e tomadores de decisão elaborem estratégias, proativas e eficientes, para melhoria da qualidade ambiental da sub-bacia.
Palavras-chave: Classes de cobertura e uso do solo, Projeto MapBiomas, Dinamica EGO, Função ecossistêmica, Cenários futuros.
INTRODUCTION
Environmental assessment considering Ecosystem Services (ES) is an innovative and expanding approach in many countries, but still incipient in Brazil. ES are the ecological features, functions or processes that contribute directly or indirectly to human well-being, i.e., the benefits that people obtain from the functioning of ecosystems (COSTANZA et al., 1997, 2017; MAES et al., 2012, 2013; MEA, 2005) and include natural and anthropically modified ecosystems as an ES source.
The ES classification, associated with land use and land cover, in the Arroio Passo Fundo Watershed (APFW) used the Mapbiomas Project’s Collection 5 (2020) as a basis for the survey of variations between 1985 and 2019. Based on these transitions that occurred in this 34-year interval, it was possible to simulate the trend scenario for the years 2030 and 2050, through the free software Dinamica EGO 5.0 (2020) that allows the evaluation of environmental issues through the composition of a spatially explicit simulation model, enabling the evolution of different scenarios, based on the environmental situation (RODRIGUES; SOARES-FILHO; COSTA, 2007). The year 2030 was selected because it is the horizon for the 17 Sustainable Development Goals in Brazil of the United Nations (UN), especially Goal 15 - Terrestrial Life, which aims to "Protect, restore and promote the sustainable use of terrestrial ecosystems, sustainably manage forests, combat desertification, stop and reverse land degradation and halt biodiversity loss", while 2050 is the reference for the Millennium Ecosystem Assessment (MEA, 2005).
Dinamica EGO software allows estimating the changes in land use and land cover in the next 34 years and correlating them to ES changes in the APFW. This approach is employed in other land use and land cover change works correlated to ES (BACHI et al., 2020; WOLDEYOHANNES et al., 2020).
Based on land use and land cover data, the use of ES as environmental quality change indicators can be an important tool to subsidize public policies and assist managers to monitor the basin, as well as any other region that has mapping available.
Study area
The Arroio Passo Fundo Watershed is located, along its entire length, in the municipality of Guaíba, southeast of Rio Grande do Sul, Brasil, between the geographic coordinates 30°07'17" S, 30°12'09" S, 51°18'28" W and 51 29'24" W (Figure 1). With an area of approximately 75.7 km² (DRH/SEMA, 2016) inside the Pampa Biome, the watershed is bordered to the east by Guaíba Lake, being inserted in the Guaíba Lake Basin.

Regarding the Arroio Passo Fundo headwaters, there is the predominance of rural areas in their surroundings, as well as the presence of forestry areas. Agriculture and cattle-raising areas, which were observed in 2002, continue to be exploited for this use. Previously, it was described the presence of illegal dams and absence of riparian forest along the Arroio Passo Fundo, with the consequent erosion in its Permanent Preservation Area (APP) (GUERRA et al., 2002) and, currently, the degradation remains, including reports of industrial activity with irregular dumping of chemicals (Figure 2), which has worsened the situation of pollution of the downstream watercourse and brought serious consequences to the health of the population.
The APFW has a high potential for recreation, tourism, cultural activities, sports, and landscape observation, especially in the area called Balneário Florida (Guaíba/RS) in the northeast portion of the basin (Figure 1), along the Lake Guaíba shore (Figure 3).


MATERIALS AND METHODS
The data used for mapping the study area come from Collection 5 of the Brazil’s Land Cover and Land Use Annual Mapping Project (MapBiomas), which generated a historical series of annual maps produced from the pixel-by-pixel classification of satellite images from the Landsat series, with a 30-meter resolution (MAPBIOMAS, 2020).
Ecosystem Services (ES)
ES concept has been discussed after 1997, since it became more relevant and was present in many publications. Problems related to changes in these services affect human well-being in various ways. The components of well-being, as experienced and perceived by people, are situation-dependent, reflecting local geography, culture and ecological circumstances (MEA, 2005).
Ecosystem Services are not exclusively linked to human activities related to nature, since they involve socioeconomic development aspects, because these functions are the basis for natural ecosystems and the species linked to them to sustain and fulfill human life.
The lack of knowledge on the subject related to the supply of goods and services provided by ecosystems leads society and public managers in general to neglect. Ecosystem Services are expected to increase in value as the impacts of human actions on the environment intensify and the costs and investment in technologies become more apparent. ES are absolutely essential to civilization, but modern urban life obscures their existence (DAILY, 1997).
In recent decades, studies have proposed to estimate the value of a wide variety of ES. Costanza et al. (1997) were precursors in presenting the value of ES on the planet and estimating ES values per biome’s unit area. After this study, a plurality of works is dedicated to the topic in the most different places (BAGSTAD; SEMMENS; WINTHROP, 2013; CABRAL et al., 2016; DE LIMA et al., 2018; HERNÁNDEZ-BLANCO et al., 2020; LEITÃO; SANTOS; ARAGÃO, 2017; MAES et al., 2013; MARTINEZ-HARMS et al., 2017).
The categorization proposed by Costanza et al. (2017) takes an integrative approach, relating the natural, social, built, and human capital needed to produce these services, and considers: a) provisioning services; b) regulating services; c) cultural services; and d) supporting services, which have been grouped into 17 major categories.
The importance of the work of Costanza et al. (1997) resulted in the estimation of the total global value of the extent of ES and the classification scheme for these major categories that represent global land use. At the time, the authors estimated that ecosystems provide at least $33 trillion in functions to the planet annually, concluding that ES provide a major portion of the total contribution to human well-being.
The adoption of monetary standards for valuing ES may induce a negative interpretation regarding the monetization of nature, but Kubiszewski et al. (2017) maintain that valuing ES in monetary units is not in conflict with other approaches when considering their importance, but represents additional information, which can complement other methods.
Valuing ES is not the same thing as commodifying them, for trade in private markets. Most Ecosystem Services translate into public goods, which means that privatization and conventional markets work poorly, if at all. However, knowing the value of ES is useful for their effective management, which in some cases can include economic incentives, such as those used in Costa Rica's successful Payment for Environmental Services system (PES) (COSTANZA, 2006).
Observation and projection of land use and land cover
The land use and land cover changes were analyzed based on the boundary of APFW, since MapBiomas Project started to collect data on this area in 1985 (the oldest year) and made it available until 2019 (the most recent year). These files, available in raster format, were converted into shapefile in ArcGis 10.5 software, in which it was calculated the area of each polygon of both land use and land cover classes.
APFW is entirely inserted in the Pampa Biome and comprises the classes Natural Forest (Forest Formation); Forest Plantation; Wetland; Grassland; Urban Infrastructure; Other Non-Vegetated Areas; Other Temporary Crops; Soybean; and River and Lakes.
The trend scenarios for 2030 and 2050 were simulated in the Dinamica EGO software (SOARES-FILHO; RODRIGUES; COSTA, 2009), which allows the modeling of environmental changes through the investigation of landscape trajectories and spatial phenomena dynamics. Spatially explicit simulation models allow the identification of causes and processes that act on environmental systems, and, consequently, verify how the evolution occurs in different scenarios, considering socioeconomic, political and environmental variables (RODRIGUES; SOARES-FILHO; COSTA, 2007).
Dinamica EGO uses a statistical inference method to estimate the probability of conversion between land use and land cover categories under a set of explanatory variables and observations of previous land use and land cover changes, while the spatial patterns of land use and land cover category change are produced by the cellular automata governing operating principle (WOLDEYOHANNES et al., 2020). Cellular automata are dynamic spatial systems, which are based on the idea that the state of a cell (pixel) in the matrix depends on the previous state of cells of a given neighborhood, according to a set of transition rules (ROCHA, 2012).
The cellular automata approach allows users to set or edit parameters to control the mean size and variance of the patch that drive the transition of land use and land cover classes, as well as it can be converted from a purely automatic to a trend-oriented approach (WOLDEYOHANNES et al., 2020).
In this study, in addition to the 1985’s initial and 2019’s final year maps, it was incorporated the maps of hypsometry, slope, lithology, and geology, which were necessary for the model to calculate the weights of evidence to produce the transition probability map. Socioeconomic, political, and environmental variables were not incorporated into the model, assuming that the basin will change without influence from exogenous factors.
In possession of the data from the calculated areas for the years 1985 and 2019, and both 2030 and 2050 trend scenarios, the land use and land cover classes were correlated to the ES following the values proposed by Costanza et al. (1997).
RESULTS AND DISCUSSION
Observed and projected land use and land cover in the Arroio Passo Fundo Watershed
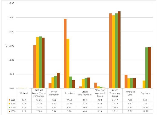
The APFW presented nine land use and land cover classes that transformed significantly from 1985 to 2019 (Table 1 and Figure 4).


The transformations observed from 1985 to 2019 (Figure 5) show that the areas occupied by the class Other temporary crops (except soybeans) were predominant, covering 26.47 km² (34.97%) of the area in 1985 and 25.70 km² (33.94%) in 2019, with a retraction of -1.03% in the period.
The Grassland class occupied the second place in 1985, covering 24.51 km² (32.38%) of the basin area and, although it secured the third highest position in terms of occupation in 2019 (23.16%), suffered a reduction of -6.98 km² (-9.21%) in the period, giving way mainly to both Soybean and Other Temporary Crops classes.
The Natural Forest class advanced 2.86 km² (3.77%) in the period, occupying 15.25 km² (20.14%) in 1985 and 18.10 km² (23.91%) in 2019. This formation is composed of vegetation with a predominance of tree species, but does not necessarily represent preserved areas or native vegetation. The MapBiomas Project data pointed out that at least 9.3% of natural vegetation in Brazil is secondary, i.e., these areas have already been deforested and converted to anthropic use at least once (MAPBIOMAS, 2020). Given the degree of anthropization existing in the watershed, it is inferred that the Natural Forest class is composed of secondary vegetation.
Although the growth of this class has been small, it was larger than the advance of the Forest Plantation class, which occupied 1.92 km² (2.53%) in 1985 and 3.91 km² (5.16%) of watershed area in 2019 (an increase of 2.63% for the period). In the western portion of the basin, the advance of the Forest Plantation class is more evident, in which silviculture is present in the planting area known as Horto do Lagoão (Figure 1), belonging to one of the largest pulp, paper, and other forest products industries of Rio Grande do Sul state (RIO GRANDE DO SUL, 2019). This growth in APFW was relatively moderate compared to Pampa Biome planted forests, which grew 4.9 times in the same period (MAPBIOMAS, 2020).
Beginning in 2013, the Soybean class erupted in areas in the western portion of the watershed, previously destined for Other Temporary Crops and Grassland classes, occupying 2.75 km² (3.64%) of the basin area in 2019.

The Urban Infrastructure class presented significant expansion: in 1985, it occupied 0.64 km² of the watershed area, which grows to 3.29 km² in 2019, an increment observed especially in the northeastern part of the basin (Florida and Passo Fundo neighborhoods), which is an area contiguous to the seat of Guaíba municipality, at its south-central portion (Pedras Brancas’s neighborhood).
In relation to the trend scenario, the Other Temporary Crops class remained predominant, covering 26.48 km² in 2030 and 27.12 km² in 2050.
The most significant expansion corresponds to the conversion of Grassland areas to Soybean class. In 2019, the Grassland occupied 17.54 km² of the basin area (23.16%), and, for 2030 and 2050, the trend scenario showed a decrease of this class, to 4.15 km² and 2.88 km², respectively, corresponding to a retraction of -14.65% from 2019 to 2050. In contrast, the Soybean class, which occupied 2.75 km² in 2019, presented a considerable expansion in the trend scenario, jumping to 14.46 km² (19.10%) in 2030 and 14.51 km² (19.17%) in 2050, an increase of 11.76% of the watershed area between 2019 and 2050.
The trend scenario also showed an expansion of the Forest Plantation class, which would increase from 3.91 km² in 2019 to 4.45 km² in 2030 and 5.48 km² in 2050, expanding 1.58% between 2019 and 2050. In this trend scenario, this increase would occur over Natural Forest areas.
Even though the Urban Infrastructure class area increased by 3.5% between 1985 and 2019, the trend scenario showed a moderate expansion, going from 4.35% in 2019 to 5.07% in 2050 (an increase of 0.55%).
Evaluating the Arroio Passo Fundo Watershed Ecosystem Services
The APFW Ecosystem Services were estimated based on the values initially proposed by Costanza et al. (1997), considering MapBiomas Project’s land use and land cover classes totals in area per hectare in 1985 and 2019 and the basin’s projected areas for 2030 and 2050. The ES were correlated to these classes, obtaining the value per type of service, the total per land use and land cover class, and the total value in US dollars updated according to the inflation rate for that country in the year 2020 (Table 2).

The results indicated that APFW provided around US$ 21,020,441 in SE in 1985. Most of the Ecosystem Services were provided by the River and Lakes class (US$ 10,360,762), with the main one being the Water Regulation (Figure 6), which, in 1985, corresponded to US$ 6,638,544. The function of this service focuses on the regulation of hydrological flows, which are fundamental for the provision of water for agriculture, industrial processes, and the supply of the urban area in the basin.

Still in the River and Lakes class, the ES Water Supply was also prominent in the basin (24.91%), because any change in its operation directly impacts the conditions of the Arroio Passo Fundo, accentuating or minimizing the problems associated with the quality of this water body. This ES provided $ 2,581,046 in 1985, with a drop to $ 1,919,653 in 2019. The trend scenario projected for 2050 predicts an increase in the Rivers and lakes class area, leading to the increment of values for this period.
The River and Lakes class play an important role in recreation service as well. Although the ES mapping only considers areas within the limits of the studied basin, recreation and cultural services (including religious and landscape appreciation aspects) are strongly related to the existing uses and links between the local population and visitors and Guaíba Lake.
Classes characterized by forests provide a variety of ES, such as maintaining geophysical stability of the terrain, reducing soil erosion, and purifying the air. Trees are important in water storage processes, playing a critical role in evapotranspiration, as well as providing pathways for water retention in subsurface reservoirs. As a result, it is possible to have constant downstream water flow, reduced flooding events, and a larger average stock of available water supply. Forests also provide climate regulation services on both local and global scales. Local rainfall can be reduced as a result of deforestation, as water storage and evapotranspiration are decreased. Forests also provide values by maintaining species and genetic diversity (COSTANZA et al., 1998).
The Natural Forest class provided value corresponding to $ 7,777,988 in 1985, $ 9,231,579 in 2019, and $ 9,098,971 in the 2050 trend scenario. The change in value between 1985 and 2019 was 0.19%, while between 2019 to 2050 there was a variation of -0.01%. Within this class, nutrient cycling was the preponderant ES (Figure 7), also highlighting raw material supply, erosion control and sediment retention, and climate regulation.

The value of the Forest Plantation class, on the other hand, grew 1.04% in the period from 1985 to 2019, and it is expected to grow 0.40% between 2019 and 2050, from US$ 299,928 to US$ 420,360. Comparing the Natural Forest and the Forest Plantation classes, it is observed that the latter provides a smaller quantity of types of ES and, consequently, a lower value per area in general terms (Figure 8).

ES such as disturbance regulation, water regulation and supply, erosion control and sediment retention, nutrient cycling, and genetic resources are not provided by the Forest Plantation class in comparison to the Natural Forest. On the other hand, there is a larger supply of biological control and food production. Considering the ES Raw material, the Forest Plantation provides wood for the furniture, pulp, paper, charcoal and biomass industries, and the market has invested in new technologies for total utilization of the forest.
Although within the APFW the Wetland class area has oscillated between 12 and 13 ha in the years observed, its importance, in terms of total SE production values per hectare, which corresponded to US$ 49,736, is notorious.
The Grassland class showed the largest losses in the period, going from 2,451 ha in 1985 to 1,754 ha in 2019, with an even greater decrease for the 2050 trend scenario, corresponding to 288 ha. The decrease of this class in the area reflects in the reduction of the offered ES, since this class is composed of vegetation with a predominance of graminoid herbaceous stratum, strongly associated with the Pampa Biome landscape. This decrease represents a variation of -0.28% between 1985 and 2019 in the provision of ES, which implies -US$ 431,973, while this retraction may be even larger in the 2050’ scenario, with a variation of -0.84% between 2019 and 2050, which is equivalent to -US$ 908,568.
The Grassland class has most of its services concentrated in waste treatment (Figure 9), whose primary ecosystem function is to recover mobile nutrients and remove or decompose excess nutrients.

The Food Production class also stands out, considering its primary gross production function of providing food, and it corresponds, in the basin area, to both production of crops and subsistence agriculture. The Grassland class is the main ES supplier class of pollination, providing pollinators for the production of plant populations.
FINAL CONSIDERATIONS
This study evaluated the transitions that occurred in the land use and land cover classes in the APFW between the years 1985 and 2019, with a projection of the trend scenario for 2030 and 2050, correlating each class with the Ecosystem Services proposed by the classification of Costanza et al. (1998). This approach, concerning the amount of area and types of ES, is in expansion in many countries, but it still poorly employed in Brazil.
The proposal of values assigned to each ES does not claim to be incontestable or absolute, since they are not globally homogeneous, but an approximation that allows measuring the services in time and space, as well as it aims to guide the development of public policies, incentives and technologies and encourage better management of the benefits that people get from the ecosystems functioning. Assigning values to the service provided does not mean pricing nature or putting it up for sale in markets designed for this purpose, but it is about bringing meaning and highlighting the importance of each service provided for purposes of monitoring, and loss of this benefit that seems to be available in an unlimited way.
The MapBiomas Project mapping scale limitations do not allow a detailed investigation of the basin, but they were sufficient for an environmental assessment, considering that the data are free, easily accessible, and available to any public manager or environmental analyst, which allows for an evaluation over time and to set goals that can be monitored through the indicator of change in land use and land cover classes. The spatial cutout can be either a watershed or another administrative boundary.
Another inherent limitation of the method is the exclusion of Guaíba Lake as part of the watershed, since it has an unparalleled importance in both recreational and cultural ES. These services are partially contemplated in both River and Lakes and Natural Forest classes, which are adjacent to the shoreline, but, in theory, they would have to be much better evaluated by the existing relationships between the local population and the benefits offered by the lake.
In general, the APFW is suitable for agricultural use, since the largest occupations occurred in the categories Other Temporary Crops, Natural Forest and, more recently, in the intense occupation by soybean crops. As it can be seen in the results, the most significant alteration corresponds to the conversion of Grassland class areas to Soybean class areas, emphasizing that the grassland shelters all the elements that particularize the Pampa Biome in the region.
The area of the Forest Plantation class increased in the period, as well as the Natural Forest. Forestry has a strong presence in the region and it is currently the target of conflicts, but the data from the study area shows that the increase in the Forest Plantation class is not necessarily advancing over the Natural Forest. There is a tendency for the Forest Plantation areas to reduce the pressure on Natural Forest areas, with the advance of technologies and management efficiency. The proposed methodology does not evaluate pollination in the Forest Plantation class, but it is a public knowledge that the main company responsible for forestry in the basin works with beekeepers, who place their hives near the eucalyptus plantations with no cost.
The most urgent problem of the APFW is related to the decrease in water quality as a consequence of the lack of sanitation, inadequate industrial dumping and disorderly urban expansion to the Arroio Passo Fundo downstream area, which leads to a gradual loss of ES, such as water regulation and supply, waste treatment and recreation. These services must receive special attention and the degraded ecosystems must be rehabilitated, through the protection of the riparian forest, implementation of basic sanitation for the entire population and more effective inspection measures by public agencies for polluting industrial activity. These actions need to be considered in the future, as they should bring the increase in natural capital and ES in the basin, which can be measured and monitored through the MapBiomas Project’s available classification.
Although there are many monitoring methods and different evaluation indicators, ES points to a solution that is easy to access and use, which can be used without cost by public managers, allowing some initiative to be taken immediately, without letting the situation worsen or become stagnant.
Finally, it is noted that the trend scenario does not mean an absolute prediction of the future for the next years, but rather a representation of a probable condition, if adequate measures are not taken. For this evaluation, it is necessary to include changing vectors to evaluate different scenarios.
ACKNOWLEDGMENTS
This work was carried out with the support of the Brazilian Coordenação de Aperfeiçoamento de Pessoal de Nível Superior (CAPES) - Funding Code 001.
REFERENCES
BACHI, L. et al. Cultural Ecosystem Services (CES) in landscapes with a tourist vocation: Mapping and modeling the physical landscape components that bring benefits to people in a mountain tourist destination in southeastern Brazil. Tourism Management, [s. l.], v. 77, n. May, 2020. https://doi.org/10.1016/j.tourman.2019.104017
BAGSTAD, K. J.; SEMMENS, D. J.; WINTHROP, R. Comparing approaches to spatially explicit ecosystem service modeling: A case study from the San Pedro River, Arizona. Ecosystem Services, [s. l.], v. 5, p. 40-50, 2013. https://doi.org/10.1016/j.ecoser.2013.07.007
CABRAL, P. et al. Assessing the impact of land-cover changes on ecosystem services: A first step toward integrative planning in Bordeaux, France. Ecosystem Services, [s. l.], 2016. https://doi.org/10.1016/j.ecoser.2016.08.005
COSTANZA, R. Nature: ecosystems without commodifying them. Nature, [s. l.], v. 443, n. 7113, p. 749, 2006. https://doi.org/10.1038/443749b
COSTANZA, R. et al. The value of the world’s ecosystem services and natural capital. Ecological Economics, [s. l.], v. 25, n. 1, p. 3-15, 1998. https://doi.org/10.1016/S0921-8009(98)00020-2
COSTANZA, R. et al. Twenty years of ecosystem services: How far have we come and how far do we still need to go? Ecosystem Services, [s. l.], v. 28, p. 1-16, 2017. https://doi.org/10.1016/j.ecoser.2017.09.008.
COSTANZA, R., D'ARGE, R., DE GROOT, R. et al. The value of the world's ecosystem services and natural capital. Nature 387, 253-260.1997. https://doi.org/10.1038/387253a0
DAILY, G. C. Nature’s Services: Societal Dependence on Natural Ecosystems. Island Preed. Washington D.C.: [s. n.], 1997.
DE LIMA, A. D. S. et al. Ecosystem-based information as a support tool to the integrated coastal management of the Santa Catarina Island, Brazil. Desenvolvimento e Meio Ambiente, [s. l.], v. 44, p. 20-35, 2018. https://doi.org/10.5380/dma.v44i0.54947
DINAMICA EGO. Centro de Sensoriamento Remoto / Universidade Federal de Minas Gerais - Brasil. 2020. Disponível em: https://csr.ufmg.br/dinamica/. Acesso em: 01 set 2020.
DRH/SEMA. Departamento de Recursos Hídricos da Secretaria de Estado do Meio Ambiente do Rio Grande do Sul. Plano da Bacia Hidrográfica do Lago Guaíba. Relatório Final Síntese e SIG - Revisão 01. 2016. Disponível em: http://comitedolagoguaiba.com.br/wp-content/uploads/2017/08/Relat%C3%B3rio_Final_Sintese_Rev01_completo-comp.pdf. Acesso em: 01 fev 2019.
GUERRA, T. et al. Diagnóstico Ambiental da bacia hidrográfica do arroio Passo Fundo, município de Guaíba, RS. Porto Alegre, p. 111, 2002. Disponível em: http://www.ecologia.ufrgs.br/lagoguaiba/eventos/MostraTrabalhos/trabalhos/21-arroio%20%20passo%20fundo.pdf. Acesso em: 22 out. 2019.
HERNÁNDEZ-BLANCO, M. et al. Future scenarios for the value of ecosystem services in Latin America and the Caribbean to 2050. Current Research in Environmental Sustainability, [s. l.], v. 2, p. 100008, 2020. https://doi.org/10.1016/j.crsust.2020.100008
INFLATION TOOL. Value of 1984 US Dollars today. 2020. Disponível em: https://www.inflationtool.com/us-dollar/1984-to-present-value?amount=1. Acesso em: 01 dez 2020.
KUBISZEWSKI, I. et al. The future value of ecosystem services: Global scenarios and national implications. Ecosystem Services, [s. l.], v. 26, p. 289-301, 2017. https://doi.org/10.1016/j.ecoser.2017.05.004
LEITÃO, L. C. R.; SANTOS, J. G. dos; ARAGÃO, M. A. de S. Mapeamento e Avaliação de Serviços dos Ecossistemas do sitio de Importância Comunitária “Dunas De Mira, Gândara e Gafanhas”. IV Simpósio Brasileiro de Geomática - II Jornadas Lusófonas - Ciências e tecnologias de Informação Geográfica. Presidente Prudente-SP: [s. n.], 2017. https://doi.org/10.22533/at.ed.1111928036
MAES, J. et al. Mapping and assessment of ecosystems and their services: An analytical framework for ecosystem assessments under Action 5 of the EU Biodiversity Strategy to 2020. [S. l.: s. n.], 2013. https://doi.org/10.2779/12398
MAES, J. et al. Mapping ecosystem services for policy support and decision making in the European Union. Ecosystem Services, [s. l.], v. 1, n. 1, p. 31-39, 2012. https://doi.org/10.1016/j.ecoser.2012.06.004
MARTINEZ-HARMS, M. J. et al. Scenarios for land use and ecosystem services under global change. Ecosystem Services, [s. l.], v. 25, p. 56-68, 2017. https://doi.org/10.1016/j.ecoser.2017.03.021
MEA. Millennium Ecosystem Assessment. Ecosystems and Human Well-being: Synthesis. Washington, DC: [s. n.], 2005. Disponível em: http://www.millenniumassessment.org/en/Synthesis.aspx . Acesso em: 02 mar. 2020.
PROJETO MAPBIOMAS - Coleção 5 (1985-2019) da Série Anual de Mapas de Cobertura e Uso de Solo do Brasil. 2020. Disponível em: https://plataforma.mapbiomas.org/map#coverage. Acesso em: 01 set 2020.
RIO GRANDE DO SUL. Atlas Socioeconômico Rio Grande do Sul. Secretaria de Planejamento, Orçamento e Gestão. Departamento de Planejamento Governamental. 4 ed. Porto Alegre: Secretaria de Planejamento, Orçamento e Gestão, 2019. 125 p. Disponível em: https://atlassocioeconomico.rs.gov.br/inicial Acesso em 15 jan 2021.
ROCHA, J. (2012). Sistemas complexos, modelação e geosimulação da evolução de padrões de uso e ocupação do solo. Tese de doutorado, Geografia (Ciências da Informação Geográfica), Universidade de Lisboa, Instituto de Geografia e Ordenamento do Território, 2012. Disponível em: http://hdl.handle.net/10451/6772 . Acesso em: 20 jan 2021.
RODRIGUES, H. O.; SOARES-FILHO, B. S.; COSTA, W. L. de S. Dinamica EGO, uma plataforma para modelagem de sistemas ambientais. Anais XIII Simpósio Brasileiro de Sensoriamento Remoto, Florianópolis, Brasil, 21-26 abril 2007, INPE, p. 3089-3096. Disponível em: https://www.researchgate.net/publication/228624479_Dinamica_EGO_uma_plataforma_para_modelagem_de_sistemas_ambientais Acesso em: 22 nov. 2020.
SOARES-FILHO, B. S.; ARAÚJO, A. A.; CERQUEIRA, G. C. DINAMICA - Um software para simulação de dinâmica de paisagens. II Workshop Tratamento de imagens, [s. l.], p. 3, 2001. Disponível em: http://www.dpi.inpe.br/cursos/tutoriais/modelagem/software_demos/Dinamica/soares.pdf Acesso em: 22 nov. 2020.
SOARES-FILHO, B. S.; RODRIGUES, H. O.; COSTA, W. L. Modeling environmental dynamics with Dinamica EGO. Instituto de Geociências - Centro de Sensoriamento Remoto, [s. l.], n. October, p. 114, 2009. Disponível em: https://www.researchgate.net/profile/Tao_Guo28/publication/282782423_Dinamica_EGO_guidebookpdf/links/561c711108aea80367243fdc.pdf Acesso em: 14 jul. 2020.
WOLDEYOHANNES, A.; COTTER, M.; BIRU, W.D.; KELBORO, G. Assessing Changes in Ecosystem Service Values over 1985-2050 in Response to Land Use and Land Cover Dynamics in Abaya-Chamo Basin, Southern Ethiopia. Land, [s. l.], v. 9, p. 37, 2020. https://doi.org/10.3390/land9020037
Author notes