Artigos
Caracterização morfométrica de feições doliniformes na Planície do Araguaia
Morphometric characterization of doliniform features in the Araguaia Plain
Caracterização morfométrica de feições doliniformes na Planície do Araguaia
Sociedade & Natureza, vol. 35, e67351, 2023
Editora da Universidade Federal de Uberlândia - EDUFU
Recepção: 25 Outubro 2022
Aprovação: 28 Fevereiro 2023
Publicado: 27 Março 2023
Resumo: A Planície do Araguaia apresenta extensas áreas de savanas com dispersos fragmentos florestais localizados sobre depressões circulares. Estas feições além de servirem como importantes corredores ecológicos, poderiam estar associadas a formações cársticas do tipo dolinas, estruturas fechadas de conexão das águas superficiais e subterrâneas. Para identificar esta relação e contribuir o entendimento da sua gênese, este estudo tem como objetivo principal o mapeamento e análise morfométrica de feições doliniformes na Planície do Araguaia. Por meio da caracterização geoambiental da área de estudo; modelos de elevação digital – SRTM; interpretação de imagens do satélite Sentinel 2-A do período de 2019 a 2020; e cálculo das variáveis morfométricas: área, perímetro, declividade, altitude, coeficiente de alongamento, índice de circularidade e densidade de Kernel. Foram identificadas 24.023 feições doliniformes associadas à vegetação verde/sadia em área de abrangência de 114.900 km2, concentradas majoritariamente nos municípios de Lagoa da Confusão – TO, Pium – TO e Cocalinho – MT. As feições apresentaram áreas de até 10 km2, índices de circularidade superiores a 0,5 e coeficientes de alongamento entre 1 e 1,5, indicando uma predominância de formas circulares em declividades de até 3% na orientação NE. Com base nos resultados, pode-se inferir que estas feições apresentam formas de dolinas, as quais podem estar sob influência de controles estruturais e associadas a processos cársticos, denotando em alguns lugares a existência de um carste encoberto.
Palavras-chave: Mapeamento, Dolinas, Carste, Fragmentos florestais.
Abstract: The Araguaia Plain has extensive areas of savannah scattered forest fragments similar to circular depressions. These features, in addition to serving as corridors, could be associated with important features such as karsts, closed-water connection structures and ecological-type formations. To identify this relationship and contribute to the understanding of its genesis, this study has as its main objective the morphometric analysis of doliniform functions in the Araguaia Plain. Through the geoenvironmental characterization of the study area; digital facility models – SRTM; interpretation of Sentinel 2-A satellite images from 2019 to 2020; and calculation of morphometric variables: area, perimeters, activity, altitude, length and density, Kernel circularity index. A total of 24,023 doliniform features associated with green/healthy vegetation were identified in a Coverage Area of 114,900 km2, Concentrated Majoritariate in the Brazilian municipalities of Lagoa da Confusão -Tocantins; Pium-Tocantins and Cocalinho-Mato Grosso. The features showed circular superiority areas up to 10 km2, circular activity indexes at 0.5 and up to 1 and 1.5, indicating a predominance of circular shapes on slopes of 3% in the NE orientation. Based on the results, it can be verified that these features present sinkholes, as they may be under the influence of patterns associated with some processes, denoting in some processes the existence of a covered karst
Keywords: Mapping, Sinkholes, Karst, Forest fragments.
INTRODUÇÃO
Feições doliniformes são depressões do terreno com declives pouco íngremes de forma circular ou ovalada provocadas pela subsidência do solo. Estas feições podem ocorrer sob a forma de lagoas, dolinas ou cavidades com o sem vegetação (SCRAGE; UAGODA, 2017).
Fragmentos florestais doliniformes denominados popularmente como “ipucas” ou “impucas” ocorrem em extensas áreas savânicas na Planície do Araguaia e representam a principal característica da paisagem regional (BRASIL, 1981a; MARTINS et al., 2006). Porém a origem destas feições não tem sido totalmente compreendida no aspecto geomorfológico e geológico, a maior parte dos estudos destas feições estão associados a caracterização fitossociológica (disciplinar) ou ambiental (interdisciplinar) (MANCHOLA et al., 2021).
Estas feições funcionam, na planície de inundação, como importantes corredores ecológicos para as espécies endêmicas da área de transição dos biomas Cerrado e Amazônico (ROCHA et al., 2014), faixa considerada como o maior ecótono tropical do mundo (TORELLO-RAVENTOS et al., 2013).
Além da importância ecológica, estas feições também ocorrem na região sob a forma de dolinas, formas superficiais do sistema cárstico geradas pela dissolução de rochas carbonáticas, porém a sua caracterização litoestratigráfica carece de estudos mais detalhados sobre perfil geológico local que corroborem a possível gênese cárstica destas depressões (HARDT, 2005; MORAIS, 2017). As dolinas são consideradas unidades essenciais do relevo exocárstico, pois funcionam como conexão entre os fluxos de água superficiais e subterrâneos (FORD; WILLIAMS, 2007). A ocorrência destas depressões cársticas em áreas de intensa alteração antropogênica acelera os processos de dissolução e potencializa os riscos de contaminação de aquíferos, colapso de estruturas ou edificações e aumento dos processos erosivos (GUTIÉRREZ et al., 2014).
Os primeiros estudos geomorfológicos de caracterização de feições doliniformes ao longo da Planície do Araguaia datam do ano 1981, e foram realizados pelo projeto RADAMBRASIL, descritos nas Folhas SB-22, SC-22 e SD-22. Nestas, são descritas depressões fechadas circulares ou ovaladas, sazonalmente inundadas (lagoas temporárias provenientes de águas pluviais), sobre solos do tipo Glei Pouco Húmico com alto teor de material orgânica que favorecem o surgimento fragmentos de Floresta de Galeria. Tais feições também são caracterizadas como manchas de vegetação na paisagem savânica do cerrado (Campo sujo), formações consideradas as mais representativas das Áreas de Acumulação Inundáveis - Aai (BRASIL, 1981a; 1981b).
O referido projeto também ressalta a diferença dos sistemas lacustres com feições circulares, ovais ou retilíneas na Planície Fluvial (Apf) que estão associados à dinâmica hídrica do rio Araguaia. Estes lagos são formados pela deposição aluvial decorrente processos acreção vertical de sedimentos arenosos em diques marginais, paleocanais ou em meandros abandonados do canal principal e tributários (BRASIL, 1981a).
Estas depressões circulares na planície de inundação do Araguaia foram identificadas também em missões exploratórias de pesquisadores franceses e brasileiros na região de Cocalinho – MT (sudoeste da Planície), nas proximidades do rio das Mortes (tributário do rio Araguaia). Nesta região foram identificadas feições cársticas como dolinas sobre a forma lagoas de 1 até km de extensão e 5 m de profundidade, além de cavidades com alto potencial espeleológico (SOUBIES; GUYOT, 1995).
Desta forma, a identificação e consequente planejamento de uso sustentável das áreas propensas à ocorrência de dolinas pode prevenir potenciais danos econômicos, ambientais e sociais. Sendo necessário, para tanto, o mapeamento das suas características morfométricas, estrutura geológica e dispersão espacial (WU et al., 2016).
Devido à importância ambiental da Planície do Araguaia e partindo da hipótese de que as formações florestais doliniformes sob o nome de ipuca e impuca são semelhantes a dolinas na sua forma. Este trabalho pretende contribuir, desde o ponto de vista geomorfológico, para o entendimento da sua morfoestrutura, por meio do mapeamento das feições doliniformes e da análise dos parâmetros morfométricos mais usados em estudos de depressões cársticas.
Caracterização da área de estudo
A Planície do Araguaia está localizada na porção central do Brasil, abrangendo partes dos estados do Pará, Tocantins, Mato Grosso e Goiás e ocupa uma área de aproximadamente 64.761 km2 (Figura 1).

Sua hidrografia está constituída pela bacia do rio Araguaia, considerada a principal rede de drenagem da savana brasileira, com vazão média anual de 6.420 m3/s, na qual se destacam os rios Formoso e Javaés como principais tributários, com vazões médias entre 110 e 680 m3/s, respectivamente, no estado do Tocantins; e o rio das Mortes na porção oeste com uma vazão média de 899 m3/s no estado de Mato Grosso (LATRUBESSE; TEVAUX, 2002; AQUINO et al., 2009).
A bacia do Araguaia caracteriza-se pela presença de lagos, lagoas e meandros abandonados formados, em parte, pela inundação sazonal que ocorre no período chuvoso dos meses de novembro a maio com a precipitação anual entre 1.400 e 2.200 mm/ano (CARVALHO; ATRUBESSE, 2004; VALENTE; LATRUBESSE, 2012).
Os recursos hídricos subterrâneos desta área estão relacionados com a deposição de sedimentos quaternários distribuídos ao longo da Faixa do Araguaia. Destes o mais representativo corresponde ao aquífero poroso Araguaia-Bananal, o qual representa 85 % de toda a Planície do Araguaia com vazões que variam entre 1 e 10 m3/h em função do regime das chuvas (ANA, 2013; CPRM, 2016).
Estas características morfoclimáticas junto com a baixa declividade (menores que 7%) e reduzido escoamento superficial (predomínio de formas aplanadas) proporcionam a ocorrência de extensas zonas de acumulação fluvial e processos de sedimentação por acreção vertical, favorecendo a formação de planícies fluviais que variam de 200 a 220 m de altitude e declividade igual ou inferior a 5% constituídas predominantemente por campos graminosos sobre Plintossolos com baixa percolação de água e expressivo horizonte plíntico (BARBOSA et al., 2011; BAYER; ZANCOPÉ, 2014; EMBRAPA, 2018).
As formas do relevo da Planície do Araguaia estão associadas a um sistema agradacional de deposição de sedimentos quaternários classificados em duas unidades geomorfológicas dominantes, Planícies de inundação – Ai e Planícies fluviais – Af (Figura 1).
As Planícies de inundação são caracterizadas por planos convergentes de sedimentos arenosos ou argilosos com reduzido escoamento superficial que no período chuvoso são sujeitos a inundação, o que favorece, em parte, o surgimento de um disperso sistema lacustre com lagoas associadas a vegetação savânica ou depressões fechadas desassociadas da influência direta do canal principal (BRASIL, 1981a; 1981b).
Por outro lado, as Planícies Fluviais são formadas pela dinâmica fluvial do canal principal e, segundo Latrubesse e Stevaux (2002), podem ser subdivididas em três unidades geomorfológicas:
I – Planície de escoamento impedido: regiões pantanosas ocasionalmente inundadas e represadas (backswamp) de topografia levemente ondulada e distantes do canal principal. Apresentam expressivas lagoas associadas a vegetação de médio a grande porte;
II – Planície de Paleomeandros: posicionada topograficamente entre a planície de escoamento impedido e a planície de ilhas, caracteriza-se pelos intensos processos deposicionais de cheia, favorecendo o desenvolvimento de talvegues sinuosos nas margens do canal principal em formas espiraladas, alongadas ou como lagoas em meia lua.
III – Planície de ilhas/barras acrescidas: superfície irregular e estreita, sustentada por uma plataforma arenosa, posicionada paralelamente ao canal principal e caracterizada pela sua alta capacidade de recepção de sedimentos oriundos do rio Araguaia.
Com relação ao substrato rochoso da Planície do Araguaia, este está caracterizado majoritariamente por depósitos aluvionares holocênicos, que acompanham a rede de drenagem, compondo um mosaico de estruturas quaternárias morfosedimentares do Holoceno e do Pleistoceno superior, localizadas ao norte, entre o Cráton Amazônico e a Faixa Araguaia; e ao sul, por extensas coberturas cenozóicas da Bacia Sedimentar do Bananal (BIZZI et al., 2003; CPRM, 2008).
No setor setentrional da planície, entre as cidades de Conceição do Araguaia – PA e Caseara – TO, encontram-se afloramentos de rochas cristalinas e neoproterozóicas, associadas à Formação Couto Magalhães, Grupo Tocantins, constituídas por filitos, ardósias, quartzos e calcários (IBGE, 2008a).
Na região central, no segmento que contempla toda a Ilha do Bananal, as formações quaternárias abrangem a maior parte da área, estendendo-se por aproximadamente 800 km entre as cidades de Caseara – TO e Registro do Araguaia – GO. Apresentam um alinhamento tectônico paralelo ao fluxo do rio Araguaia no sentido norte-sul (NS), evidenciando um certo controle estrutural na sua orientação (BRASIL, 1981a). Os alinhamentos no sentido NS também foram identificados na região central da Planície em estudos de caracterização litoestrutural por meio de imagens de satélite, onde as foliações orientadas neste sentido estão associadas a formações recentes de “eventos de deformação do Neoproterozóico” na faixa do Araguaia (LEANDRO et al., 2011). Sua litologia está constituída, predominantemente, por coberturas cenozóicas de sedimentos arenosos pertencentes a aluviões holocênicas e; por pacotes areno-argilosos de coloração variada com e avançado estágio de lateralização da Formação Bananal (IBGE, 2008b; AQUINO et al., 2009).
Além das coberturas cenozóicas, identificam-se também afloramentos da Formação Couto Magalhães do Grupo Tocantins em algumas porções da Planície de inundação, constituídas por coberturas detrito-lateríticas, intercalações de calcários e quartzitos sericíticos (BRASIL, 1981a). Paixão e Gorayeb, (2014), prospectando depósitos minerais no setor central da Planície do Araguaia, complementam que o Grupo Tocantins se caracteriza por apresentar ardósias, metasilititos, metacórseos e metagrauvacas, filitos, metarenitos e metacalcarios.
No Setor meridional, no segmento localizado na divisa entre os estados Tocantins e Goiás, predominam os depósitos aluviais cenozóicos da Bacia do Bananal, constituídos principalmente de sedimentos argilo-sílitico-arenosos e flúvio-lacustrino (LACERDA FILHO et al., 2004). No extremo sudoeste, nas áreas mais elevadas relacionadas a uma porção da Depressão do Araguaia, também são encontradas rochas metavulcânicas e metassedimentares do Neoproterozóico, sobre rochas silicáticas, ferríferas e carbonáticas (SOUSA et al., 2019). Neste sentido, Lima et al. (2008) ressaltam que o afloramento de rochas carbonáticas no sul da planície do Araguaia é evidenciado pela intensa exploração de calcário no município de Nova Xavantina, no estado de Mato Grosso, indicando a alta ocorrência de dolomitos, mármores calcíticos, calcarenitos, calcissiltitos e metamargas argilosas pertencentes ao Grupo Cuiabá.
Devido à sua localização geográfica a Planície do Araguaia apresenta alta diversidade de espécies, pois situa-se numa zona de transição entre os biomas amazônico e cerrado, proporcionando o contato de diferentes comunidades ecológicas e a ocorrência de espécies endêmicas e adaptadas aos regimes de inundação provenientes das fitofisionomias floresta estacional semidecidual aluvial, cerradão e savana parque. Esta particularidade da região caracteriza a região como uma importante zona de preservação ambiental, na qual se destacam o Parque Estadual do Cantão, o Parque Nacional do Araguaia, o Parque Indígena do Araguaia (povos Avá-Canoeiro, Iny Karajá, Javaé e Tapirapé); e as Terras Indígenas Pimentel Barbosa e Wedezé do povo Xavante (ASSIS et al., 2022).
MATERIAIS E MÉTODOS
Métodos
Para o mapeamento das feições doliniformes foi utilizado um mosaico imagens do satélite Sentinel 2-A do período de 2019 a 2020 nos meses de julho a outubro com baixo índice de nebulosidade e contemplando todo o perímetro interno da Planície do Araguaia. Com estas imagens foi possível determinar a vegetação associada às depressões por meio da classificação supervisionada da composição das bandas coloridas B8 (infravermelho próximo de resolução 10 m), B11 (infravermelho de ondas curtas de resolução 20 m) e B4 (vermelho de resolução 10 m).
A identificação das feições doliniformes foi realizada considerando todas as formas circulares de espectro eletromagnético superiores a 500 m2 resultante da combinação das bandas (B4, B8, B11) e classificação supervisionada associada a corpos d’água e vegetação verde sadia. A validação da forma foi comparada a imagens do Google Earth para ratificar os sentidos das formas (Figura 2).

Foi gerado um Modelo Digital do Terreno para observar as caraterísticas altimetrias e confluências dos cursos d’água da região por meio de uma imagem SRTM (Shuttle Radar Topography Mission) com resolução de 30 m. Foram elaborados os mapas hipsométrico, de declividade e orientação das vertentes com o objetivo de analisar o sentido das vertentes e formas predominantes que possam influenciar a orientação das feições doliniformes.
Para o processamento de imagens matriciais, assim como a edição vectorial, elaboração dos cálculos morfométricos como largura, comprimento, área, perímetro e orientação, foram utilizados os softwares livres QGIS 3.4, Georose 0.5 e R Language and Environment for Statistical Computing 4.1.3.
A extração das dimensões topográficas das depressões doliniformes, no perfil horizontal, foi realizada por meio do método do limite mínimo do retângulo (minimum bounding rectangle). A partir destes dados foram calculados os coeficientes mais comuns de análise morfométrico de dolinas como área, perímetro, largura (W - width), comprimento (L - length), coeficiente de alongamento (ELG - Elongatedness), índice de circularidade (C - Circularity Index), Distância do vizinho mais próximo (DNI), orientação das feições e Densidade de Kernel (BONDESAN et al., 1992; DENIZMAN, 2003; GAO et al., 2005; BASSO et al., 2013).
RESULTADOS
Foram identificadas 24.023 feições doliniformes em uma área de ocorrência equivalente a 114.900 km2. Destas foram validadas em campo as feições localizadas próximas à cidade de Lagoa da Confusão – TO, associadas à vegetação verde/sadia, presença de água em áreas de confluência superiores a 800 m2 e de baixa declividade (Figura 3 A).

Ao verificar o adensamento das feições doliniformes por meio do mapa de densidade de Kernel, foi possível identificar que as regiões de maior concentração (hotspots) correspondem aos municípios de Cocalinho, Luciara, Ribeirão Cascalheira, no estado de Mato Grosso; e Lagoa da Confusão e Pium, no estado do Tocantins (Figura 3 B).
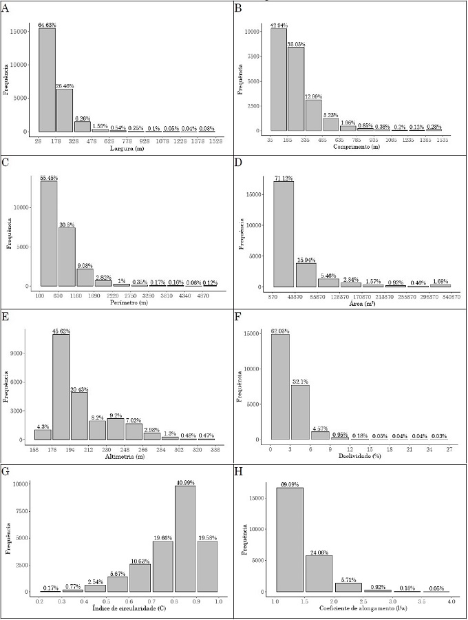
Das 24.023 feições doliniformes identificadas na área de ocorrência foram extraídos os principais parâmetros morfométricos e calculados os maiores percentuais de frequência (Tabela 1 e Figura 4).


Os valores médios, mínimos e máximos dos parâmetros morfométricos (Tabela 1) mostraram que existe uma ampla variabilidade de dimensões de feições doliniformes, com áreas de 864 m2 até 10,03 km2. As de maiores proporções (acima de 1 km2) correspondem a feições lacustres, como a Lagoa dos Magalhães, com 3 km de comprimento, localizada no município de São Felix do Araguaia, estado de Mato Grosso; e a Lagoa da Confusão, com 2,5 km de extensão, no município de Lagoa da Confusão, Tocantins.
A maior parte das feições possuem dimensões médias de 50.000 m2 para a área; 725 m de perímetro; e largura e comprimento de 177 e 255 m, respectivamente. Estes valores também foram identificados em trabalhos de análise morfométrica de sistemas lacustres do médio Araguaia, no período da seca, podendo aumentar em até 100% de tamanho no período da cheia em função do grau de conectividade com o canal principal e densidade de drenagem dos canais da planície (MORAIS et al., 2005).
Com relação à forma, observou-se que mais de 60% das feições doliniformes identificadas apresentam dimensões inferiores a 43.370 m2 com perímetros de 100 a 1000 metros (Figura 4C), eixos (largura e comprimento) entre 178 m (Figura 4A) e 335 m (Figura 4B). Estas feições localizam-se na sua maioria em regiões de declividade entre 0 e 3% (Figura 4F) e em altitudes de 176 e 212 m (Figura 4E) com índices de circularidade entre 0,8 e 1 (Figura 4G); e alongamentos entre 1 e 1,5 (Figura 4H). As formas com índices de circularidade e alongamento próximos de 1 indicam, segundo Basso et al., (2013) e Denizman (2003), feições predominantemente circulares ou ovaladas.
O Comprimento médio de 206,42 m, índices de circularidade superiores a 0,5; predominância de formas circulares (95,15% de feições), também foram identificados em estudos de análise morfométrica de feições doliniformes na região de Lagoa da Confusão – TO, corroborando a predominância de formas circulares ou ovaladas identificadas na Planície do Araguaia (NASCIMENTO; MORAIS, 2012).
A orientação de todas as feições doliniformes identificadas apresentou alta variação de sentidos, dos quais a orientação Leste-Oeste (Figura 5) apresentou maiores proporções, apontando uma tendência de algumas feições estarem alinhadas à mesma direção fluxo superficial dos tributários do Araguaia.

Com relação ao arranjo espacial das feições, observou-se que sua dispersão apresenta uma distribuição aleatória ao longo da área de estudo (Figura 1), com distâncias que variam entre 76,44 m e 1.2476,36 m (Tabela 1). Ao identificar a distribuição aleatória e a distância do vizinho mais próximo (DNI) foi estimado o índice de distribuição espacial (R) por meio da distância média observada (686,27 m); a distância média esperada (820,94 m) e área da Planície do Araguaia (64.761 km2), correspondendo a 0,83, o que representa segundo GAO et al. (2005), uma tendência ao agrupamento (Clustering) das feições identificadas na Planície do Araguaia.

A análise de componentes principais representou 76,4% dos dados morfométricos das feições doliniformes, apresentando uma alta correlação entre as variáveis declividade e coeficiente de alongamento (ELG) associada às orientações: nordeste (NNE); leste-nordeste (ENE) e norte-nordeste (NNE), demostrando uma possível tendência das feições alongadas ou ovaladas estarem sob grande influência das condições topográficas ou estruturais do terreno, predominantemente orientadas no sentido nordeste (NE).
Por outro lado, observou-se uma correlação inversa da variável declividade e o índice de circularidade (C), corroborando a influência do terreno na ocorrência de formas doliniformes circulares associadas a declividades baixas, majoritariamente orientadas no sentido Leste-Oeste (EO), orientação predominante também identificada na Figura 5, indicando uma possível tendência da maior parte das formas circulares estarem alinhadas à mesma direção dos fluxos superficiais do canal principal do rio Araguaia.
Observou-se, portanto, que houve uma predominância de feições circulares ou ovaladas com áreas de 864 a 10.038.442 m2, orientadas nos sentidos NE paras as feições ovaladas e sentido EO para as feições circulares. Estas direções, com base nos resultados obtidos no PCA, podem estar associadas à convergência dos fluxos superficiais para o canal principal (EO) ou por controles estruturais na direção NE, relacionados com a posição do Grupo Tocantins.
DISCUSSÃO
As hipóteses sobre a origem cárstica das feições identificadas em Cocalinho – MT foram corroboradas anos mais tarde por Hardt (2005) por meio da caracterização geomorfológica do relevo cárstico da Serra de Calcário, em áreas alagáveis da planície, neste estudo foram identificados afloramentos carbonáticos na forma de morrotes calcários, torres cársticas, grutas, surgências, dolinas e uvalas de dissolução e colapso com dimensões quilométricas e profundidades de até 5 m. Estas feições na sua maioria foram identificadas na posição paralela à Serra de Calcário e condicionadas tectonicamente por falhas no sentido OSO-ENE.
Tal orientação também foi verificada neste estudo, por meio da análise de componentes principais (PCA), assim como em trabalhos de análise morfométrica de feições doliniformes no município de Lagoa da Confusão – TO, onde foram identificados comprimentos médios de 206,42 m; densidade de 2,25 feições por km2 e tendência do eixo mais longo na direção NE-SW (NASCIMENTO; MORAIS, 2012). O Plano de Manejo do Parque Nacional do Araguaia também evidencia grande quantidade depressões circulares na forma de lagoas alinhadas paralelamente no sentido das falhas, nas proximidades do Planície do Bananal e o rio Formoso, sugerindo um provável controle estrutural para esta área (IBAMA, 2001).
Controles tectônicos e o paralelismo das feições doliniformes com as falhas e fraturas, orientadas no sentido ENE, poderiam dar indícios da possível origem cárstica das feições doliniformes. Porém, alguns estudos na Planície do Araguaia associam a sua gênese ora à formação de sistemas lacustres por dissolução ora a processos naturais de recomposição da vegetação nativa.
A associação das formas cársticas do tipo dolinas com formações florestais é evidenciado no diagnóstico ambiental proposto por Martins et al. (2002), onde se caracterizam os fragmentos florestais denominados “ipucas”, localizados na Planície de inundação, da porção tocantinense, no município de Lagoa da Confusão. Na porção mato-grossense, também são identificados estes fragmentos florestais na forma de dolinas, porém, denominados como “impucas” (MARIMON et al., 2012).
As “ipucas” são fragmentos vegetacionais com predomínio de espécies arbustivas, subarbustivas e alguns indivíduos arbóreos de médio porte adaptados aos fluxos de inundação (Calophyllum brasiliense, Vochysia sp, e Sclerolobium sp.), classificadas como Florestas Estacionais Deciduais Aluviais e localizadas sobre depressões em solos pouco profundos com alto teor de matéria orgânica, materiais finos como silte e argila sob elevada influência do lençol freático. Estas formações florestais apresentam áreas entre 50.000 e 2.460.000 m2 e índices de circularidade entre 0,1 e 0,85 (MARTINS et al., 2002).
Cabe destacar que estes fragmentos florestais denominados “ipucas” ou “impucas” são de vital importância no contexto da ecologia da paisagem do Araguaia, pois funcionam tanto como habitats temporários de espécies endêmicas, como corredores ecológicos de anfíbios e aves dos ecossistemas do Cerrado e da Amazônia (PINHEIRO; DORNA, 2009; ROCHA et al., 2014; KURZATKOWSKI et al., 2015; LOPES et al., 2017).
Do ponto de vista geomorfológico, não são todas as “ipucas” ou ‘impucas” que devem ser associadas às feições cársticas do tipo dolinas, pois tais fragmentos florestais ocorrem também em meandros abandonados e paleocanais da Planície Fluvial do Araguaia, fato comprovado pelas formas altamente alongadas, sinuosas e retilíneas; assim como pelos índices de circularidade inferiores a 0,5.
A proposta de gênese destas formações florestais (ipucas), de forma circular, foi relacionada a processos de subsidência em solos hidromórficos, sazonalmente saturados como Plintossolos e Gleissolos com pH entre 4,1 e 6,8 e alta quantidade de matéria orgânica no seu interior. A subsidência destas feições foi associada, teoricamente, a dois processos: o rebaixamento do nível freático e transformação de sedimentos argilo-arenosos por ferrólise; e a formação de dolinas por processos cársticos de dissolução dos calcários do Grupo Tocantins (MARTINS et al., 2006).
A proposta da gênese das formações florestais associadas a dolinas com base em processos cársticos pode ser complementada com base nas evidências de estruturas cársticas identificadas no município de Lagoa da Confusão – TO, onde afloramentos calcário-dolomiticos do Grupo Tocantins, na forma de mogotes de 30 m de altura, apresentam karrens, dolinas e um complexo sistema de condutos e galerias identificados na gruta Casa de Pedra (PONTALTI; MORAIS, 2010).
Desde outra perspectiva, a gênese destas depressões doliniformes sob a forma de lagoas, localizadas no município de Aruanã (noroeste de Goiás) é descrita por meio de processos de mobilização de sedimentos finos na superfície, ocasionando o desprendimento da crosta laterítica sobre o saprólito da rocha cristalina (CARVALHO; LATRUBESSE, 2008). Este processo geraria feições lacustres pequenas e arredondadas, condicionadas por um conjunto de fraturas que permitem o alinhamento nos sentidos NE-SO e NO-SE, revelando um controle tectônico evidente sobre as feições em estágio de coalescência (VIEIRA, 2002).
Não obstante, este processo pode ter relação também com a formação a depressões cársticas ao se considerar: a elevada oscilação sazonal do lençol freático ao longo do ano sobre o substrato carbonático subjacente à camada sedimentar holocênica da Planicie do Araguaia. Neste sentido, Caramanna et al. (2008) identificaram os processos de dissolução em depressões cársticas circulares do tipo piping profundo em planícies italianas caracterizadas por espessa cobertura laterítica aluvial quaternária (impermeável ou semipermeável) de até 100 m, sobreposta a um substrato carbonático subjacente na presença generalizada de falhas (Figura 7).

Este fenômeno de piping profundo ocorre quando a oscilação drástica do lençol freático, devido a períodos de fortes chuvas e secas prolongadas, aumenta a ascensão de água subterrânea sobre a rocha carbononática (falhada), criando pequenas cavidades e condutos por dissolução. Estes condutos aumentam o fluxo endorreico ascendente, permitindo a erosão hídrica de detritos coesivos das camadas superiores por processos físico-químicos, ocorrendo a remoção dos grânulos menos resistentes, e a dissolução, em meio ácido, atua sobre o cimento localizado nos contados intergranulares da rocha siliciclástica, alterando sua consistência (arenitização), favorecendo o deslocamento descendente de sedimentos não coesivos (efeito ampulheta), formando no plano de falhas, depressões cônicas e circulares na superfície (CARAMANNA et al., 2008; CARDARELLI et al., 2013; VERESS, 2020).
A ocorrência do possível substrato carbonático subjacente aos depósitos aluviais da Planície do Araguaia foi descrito por meio de estudos geofísicos com sondagens elétricas verticais-SEV, em profundidades de até 42,6 m, na região de Lagoa da Confusão – TO. Neste local, foram identificadas camadas sedimentares superiores saturadas (argilas) e semisaturadas (areno-argilosa) sobrepostas a uma possível camada carbonática com valores de resistividade associados a dolomitos-calcários (PEREIRA; MORAIS, 2012).
CONSIDERAÇÕES FINAIS
Por meio do mapeamento das feições doliniformes foi possível observar que a área de ocorrência dessas feições ultrapassa a unidade geológica da planície de inundação, abrangendo uma zona de 114.900 km2, equivalente 46,6% a mais da área designada inicialmente.
As maiores concentrações de feições, identificadas por meio do mapa de densidade de Kernel, situam-se nos municípios de Cocalinho – MT, Luciara – MT, Ribeirão Cascalheira – MT, Lagoa da Confusão – TO e Pium – TO.
Com relação ao agente gerador das feições doliniformes, existem alguns indícios apontando a formação das depressões com formações florestais resultantes da dissolução de carste encoberto como: a ocorrência de sistema deposicional quaternário predominantemente aplanado e fortemente modelado pela elevada carga hídrica sazonal; afloramentos calcários do Grupo Tocantins na área de ocorrência das feições; controle estrutural indicado pelos sentidos NE das feições e; predominância de formas circulares cobertas por vegetação verde sadia com a presença constante de água. Contudo, para corroborar estas hipóteses são necessários estudos geofísicos capazes de identificar as litologias subjacentes em profundidades maiores que 50 m ou sondagens geológicas que contribuam para o entendimento da gênese destas feições.
REFERÊNCIAS
AQUINO. S.; LATRUBESSE, E. M.; DE SOUZA FILHO, E. E. Caracterização hidrológica e geomorfológica dos afluentes da Bacia do Rio Araguaia. Revista Brasileira de Geomorfologia. v. 10. n. 1, 2009. https://doi.org/10.20502/rbg.v10i1.116
ANA Sistemas Aquíferos - Catálogo de Metadados da Agencia Nacional de Água e Saneamento Básico - Sistemas Aquíferos do Brasil, em escala 1:1.000.000. Gerência de Aguas Subterrânea 2013. Disponível em: https://metadados.snirh.gov.br/geonetwork/srv/api/records/3ec60e4f-85ea 4ba7-a90c-734b57594f90. Acesso em: 20 nov. 2022.
ASSIS. P. C., et al. Unidades de Conservação e sua efetividade na proteção dos recursos hídricos na Bacia do Rio Araguaia. Sociedade & Natureza. v. 34. 2022. https://doi.org/10.14393/SN-v34-2022-60335
BARBOSA, D. C. et al. Estrutura da vegetação lenhosa em dois fragmentos naturais de florestas inundáveis (impucas) no Parque Estadual do Araguaia, Mato Grosso. Revista Árvore, Viçosa-MG, v. 35, n. 3, p. 457-471, 2011. https://doi.org/10.1590/S0100-67622011000300009
BASSO. A., et al. Morphometric analysis of sinkholes in a karst coastal area of southern Apulia (Italy). Environmental Earth Sciences. v. 70, n. 6, p. 2545-2559. 2013. https://doi.org/10.1007/s12665-013-2297-z
BAYER. M.; ZANCOPÉ, M. H. Ambientes sedimentares da planície aluvial do rio Araguaia. Revista Brasileira de Geomorfologia. v. 15, n. 2. 2014. https://doi.org/10.20502/rbg.v15i2.414
BRASIL. Projeto RADAMBRASIL. Folha SC. 22. Tocantins: Geologia, geomorfologia, pedologia, vegetação e uso potencial da terra. Ministério das Minas e Energia. Secretaria Geral. Rio de Janeiro, p. 524. 1981a.
BRASIL. Projeto RADAMBRASIL. Folha SD. 22. Goiás: Geologia, geomorfologia, pedologia, vegetação e uso potencial da terra. Ministério das Minas e Energia. Secretaria Geral. Rio de Janeiro, p. 639. 1981b.
BIZZI, L. A., et al. Geologia, tectônica e recursos minerais do Brasil. Texto, Mapas e SIG. Brasília, CPRM, Serviço Geológico do Brasil. 2003.
BONDESAN et al. Morphometric analysis of dolines. International Journal of Speleology. v. 21. n. 1, p. 1. 1992. https://doi.org/10.5038/1827-806X.21.1.1
CARVALHO. T. M.; LATRUBESSE, E. M. Aplicação de modelos digitais do terreno (MDT) em análises macrogeomorfológicas: o caso da bacia hidrográfica do Araguaia. Revista Brasileira de Geomorfologia. v. 5. n. 1, 2004. https://doi.org/10.20502/rbg.v5i1.34
CARVALHO. T. M.; LATRUBESSE, E. M. Geomorfologia do Estado de Goiás e Distrito Federal. Goiânia: Secretaria de Indústria e Comércio. 127 p. Boletim Goiano de Geografia. v. 27, n.3, p 169-172. 2008.
CARDARELLI. E. et al. Detection and imaging of piping sinkholes by integrated geophysical methods. Near Surface Geophysics. v. 12, n 3, p. 439-450. 2013. https://doi.org/10.3997/1873-0604.2013051
CARAMANNA et al. A review of natural sinkhole phenomena in Italian plain areas. Natural Hazards, v. 45, n. 2, p. 145-172. 2008. https://doi.org/10.1007/s11069-007-9165-7
CPRM. Geologia do Estado de Goiás e do Distrito Federal. Programa geologia e mineração - Geração e Disponibilização de Informações Geológicas e do Potencial Mineral de Goiás. Goiânia, 2008.
CPRM. Projeto de Disponibilidade Hídrica do Brasil - Carta Hidrogeológica - Escala 1:1.000.000, Folha Sd.22 Goiás. 2016
DENIZMAN. C. A. N. Morphometric and spatial distribution parameters of karstic depressions, Lower Suwannee River Basin, Florida. Journal of Cave and Karst Studies, v. 65, n. 1, p. 29-35. 2003.
EMBRAPA. Sistema brasileiro de classificação de solos. Embrapa Solos: 5 Ed, rev. e ampl. Brasília-DF, 2018.
FORD. D e WILLIAMS P. Karst Hydrogeology and Geomorphology. 2 ed. West Sussex, England: John Wiley & Sons. 2007. https://doi.org/10.1002/9781118684986
GAO et al. Karst database implementation in Minnesota: analysis of sinkhole distribution. Environmental Geology. v. 47, n 8, p. 1083-1098. 2005. https://doi.org/10.1007/s00254-005-1241-2
GUTIÉRREZ, F., et al. A review on natural and human-induced geohazards and impacts in karst. Earth-Science Reviews, 2014. v. 138, p. 61-88. https://doi.org/10.1016/j.earscirev.2014.08.002
HARDT, R. Considerações geomorfológicas sobre o carste de Cocalinho - MT. Anais do XXVIII Congresso Brasileiro de Espeleologia. p. 66-76. Sociedade Brasileira de Espeleologia. 2005. Disponível em: http://www.cavernas.org.br/anais28cbe/28cbe_066-076.pdf . Acesso em: 2 jun. 2022.
IBAMA. Parque Nacional do Araguaia - Plano de Manejo. Ministério do Meio Ambiente, Brasília. 429 p. 2001.
IBGE - Instituto Brasileiro de Geografia e Estadística. Carta de Geologia do Estado do Pará. Escala 1:1.800.000. Diretoria de Geociência. 2008a.
IBGE - Instituto Brasileiro de Geografia e Estadística. Carta de Geologia do Estado do Tocantins. Escala 1:1.800.000. Diretoria de Geociências. 2008b.
IBGE - Instituto Brasileiro de Geografia e Estadística. Malha Municipal (dados vetoriais). Disponível em: https://www.ibge.gov.br/geociencias/organizacao-do-territorio/malhas-territoriais/15774-malhas.html. Acesso em: 10 mar. 2022.
KURZATKOWSKI D., et al. Effects of flooding on trees in the semi-deciduous transition forests of the Araguaia floodplain, Brazil. Acta Oecologica, n. 69 p 21-30. 2015. https://doi.org/10.1016/j.actao.2015.08.002
LATRUBESSE, E. M.; STEVAUX, J. C. Geomorphology and environmental aspects of the Araguaia fluvial basin, Brazil. Zeitschrift für Geomorphologie.Supplementband. n. 129, p. 109-127. 2002.
LACERDA FILHO, et al. Geologia e Recursos Minerais do Estado de Mato Grosso. Brasília: Programa Integração, Atualização e Difusão de Dados de Geologia do Brasil. Convênio CPRM/SICME-MS, MME, p. 235. 2004.
LOPES. M.H., et al. Expressões da Natureza no Parque Nacional do Araguaia: Processos geoecológicos e diversidade da vida. Historia Ambiental Latinoamericana y Caribeña (HALAC) revista de la Solcha. v. 7 n.2 p 65-100. 2017. https://doi.org/10.32991/2237-2717.2017v7i2.p65-100
LEANDRO et al. Sensoriamento remoto aplicado a análise estrutural da faixa Araguaia-região de Guaraí-TO. Anais XV Simpósio Brasileiro de Sensoriamento Remoto. p. 3589-3596. 2011. Disponível em: http://marte.sid.inpe.br/col/dpi.inpe.br/marte/2011/07.20.14.50/doc/p1343.pdf. Acesso em: 8 jun. 2022.
LIMA et al. Avaliação de Rochas Calcárias e Fosfatadas para Insumos Agrícolas do Estado de Mato Grosso. Cuiabá: CPRM; METAMAT, p.178, 2008.
MANCHOLA et al. Abordagem interdisciplinar dos conceitos relacionados a depressões doliniformes na Planície do Araguaia, Brasil. Revista Gaia Scientia, v. 15, n. 2, p. 24-44. 2021. https://doi.org/10.22478/ufpb.1981-1268.2021v15n2.52098
MARIMON B. S., et al. Florística dos campos de murundus do Pantanal do Araguaia, Mato Grosso, Brasil. Acta Botanica Brasilica. v. 26, n.1, p 181-196. 2012 https://doi.org/10.1590/S0102-33062012000100018
MARTINS I. C. M., et al. Diagnóstico ambiental no contexto da paisagem de fragmentos florestais naturais “ipucas” no município de Lagoa da Confusão, Tocantins. Revista Árvore. v. 263, p 299-309. 2002 https://doi.org/10.1590/S0100-67622002000300005
MARTINS. A.K.E. et al. Relações solo-geoambiente em áreas de ocorrência de ipucas na Planície do Médio Araguaia - Estado de Tocantins. Revista Árvore. v. 30, n. 2 p. 297-310. 2006 https://doi.org/10.1590/S0100-67622006000200017
MORAIS, F. Classificação morfológica das dolinas da região de Lagoa da Confusão - TO. In: Anais do 34º Congresso Brasileiro de Espeleologia. Ouro Preto-MG: Sociedade Brasileira de Espeleologia. p. 283-287. 2017. Disponível em: https://www.cavernas.org.br/wp-content/uploads/2021/07/34cbe_283-287.pdf Acesso em: 1 mai. 2022.
MORAIS. R. P., et al. Morfometria de sistemas lacustres da planície aluvial do médio rio Araguaia. Acta Scientiarum. Biological Sciences. v. 27, n.3, p. 203-213. 2005. https://doi.org/10.4025/actascibiolsci.v27i3.1278
NASCIMENTO, P.; MORAIS, F. Análise morfométrica em Ipucas em carste encoberto na Depressão do Médio Araguaia, estado do Tocantins. In: Simpósio Nacional de Geomorfologia, 2012, Rio de Janeiro. Anais... Rio de Janeiro: SINAGEO. v. 9, p. 1-6. 2012.
PAIXÃO, M. A. P.; GORAYEB, P. S. S. Metalogênese da Faixa Araguaia. In: SILVA, M. G. et al. Metalogênese das províncias tectônicas brasileiras, p. 468-488. Belo Horizonte: CPRM. 2014.
PINHEIRO R. T; DORNA T. Distribuição e conservação das aves na região do Cantão, Tocantins: ecótono Amazônia/Cerrado. Biota Neotropica, v.9 n.1. 2009. https://doi.org/10.1590/S1676-06032009000100019
PEREIRA, G. C.; MORAIS, F. Geofísica aplicada ao estudo dos fluxos subsuperficiais no entorno da Lagoa da Confusão-TO. Revista Geonorte, vol. 3. n. 5, p. 1475-1483. 2012.
PONTALTI, A. L.; MORAIS, F. Evolução geomorfológica da gruta Casa de Pedra, Lagoa da Confusão - TO. In: VIII Simpósio Nacional de Geomorfologia, III Encontro Latino Americano de Geomorfologia, I Encontro Ibero-Americano de Geomorfologia e I Encontro Ibero-Americano do Quaternário, 2010, Recife. Anais... Recife: UFPE, p. 13. 2011.
ROCHA, R. G. et al. Seasonally flooded stepping stones: emerging diversity of small mammal assemblage in the Amazonia-Cerrado ecotone, central Brazil. Zoological Studies, vl. 53. n. 1, p. 1-10. 2014. https://doi.org/10.1186/s40555-014-0060-0
SOUSA et al., Evolução geológica do domínio interno da Faixa Paraguai na região de Nova Xavantina, leste de Mato Grosso. Geociências, v. 38. n. 4, p. 837-851, 2019. https://doi.org/10.5016/geociencias.v38i4.13581
SOUBIES, F.; GUYOT, J. L. Compte Rendu de Mission dans la Région du Rio das Mortes (Mato Grosso) du 5 au 8 Septembre 1995. ORSTOM Brasília. 1995.
SCHRAGE. T. J.; UAGODA, R. E. S. Distribuição espacial de depressões na bacia do alto rio Preto (GO, DF, MG) e suas relações com controles geológicos e pedogeomorfológicos. Revista Brasileira de Geomorfologia. v. 18. n. 2, 2017. http://dx.doi.org/10.20502/rbg.v18i2.805
TORELLO-RAVENTOS. M. et al. On the delineation of tropical vegetation types with an emphasis on forest/savanna transitions. Plant Ecology & Diversity, v. 6, n. 1, p. 101-137. 2013. https://doi.org/10.1080/17550874.2012.762812
VALENTE, C. R.; LATRUBESSE, E. M. Fluvial archive of peculiar avulsive fluvial patterns in the largest Quaternary intracratonic basin of tropical South America: the Bananal Basin, Central-Brazil. Palaeogeography, Palaeoclimatology, Palaeoecology, vol. 356, p. 62-74, 2012. https://doi.org/10.1016/j.palaeo.2011.10.002
VERESS. M. Karst types and their karstification. Journal of Earth Science, v. 31, n. 3, p. 621-634. 2020. https://doi.org/10.1007/s12583-020-1306-x
VIEIRA, Pedro Alves. Caracterização das unidades geomorfológicas Geoambientais da Planície do Bananal. Dissertação de Mestrado. Goiânia: Universidade Federal de Goiás/IESA, p. 124. 2002.
WU. Q. et al. Automated delineation of karst sinkholes from LiDAR-derived digital elevation models. Geomorphology. v. 266, p. 1-10. 2016. https://doi.org/10.1016/j.geomorph.2016.05.006
Autor notes