Papers
Chemical and Physical Characterization of Swift Guano in Quartzitic Karst Landscape in Brazil
Chemical and Physical Characterization of Swift Guano in Quartzitic Karst Landscape in Brazil
Sociedade & Natureza, vol. 36, no. 1, e70150, 2024
Editora da Universidade Federal de Uberlândia - EDUFU
Received: 19 July 2023
Accepted: 18 October 2023
Published: 27 November 2023
Funding
Funding source: Conselho Nacional de Desenvolvimento Científico e Tecnológico (CNPq)
Funding source: Coordenação de Aperfeiçoamento de Pessoal de Nível Superior
Contract number: CAPES, 001
Funding statement: The authors thank the Conselho Nacional de Desenvolvimento Científico e Tecnológico (CNPq) and the Coordenação de Aperfeiçoamento de Pessoal de Nível Superior (CAPES, 001) for their financial support. We would also like to thank Georgette Dutra, Tiago, José and Vânia, who helped collect the guano at the Santuário of Caraça, SISBIO and the Província Brasileira da Congregação da Missão, especially the environmental coordinator Aline Abreu and Padre Lauro Palú, who allowed the field collection to be conducted.
Abstract: The Private Reserve of Natural Patrimony (RPPN) of the Santuário of Caraça is found in a mountain region within the Quadrilátero Ferrífero geological province in the State of Minas Gerais. In this region, intense metamorphic processes shaped their siliciclastic rocks, enabling the formation of fractures and diaclasis, the favourite routes of weathering during the development of karst landscapes. The natural cavities thus formed, mainly in the RPPN sector called “Pico do Inficionado”, provide shelter for countless swifts of the species Streptoprocne zonaris and S. biscutata, responsible for the accumulation of guano on the floor. However, guano is a substance rich in nutrients, mainly phosphates and nitrates, and this is the main nutrient supply in permanently dry caves. This work studied the physical (density) and chemical (organic carbon, nitrogen, potassium, phosphorus, sodium, calcium, magnesium, aluminium and pH) characteristics of 21 guanos layers, correlating their contents with the depth of seven deposits and separating the results into factors. Considering that, knowing that the guano deposits contain crucial elements such as Ca, Mg, and especially P and N, which act as an energy source for many chemotrophic organisms, the subdivision of the studied elements allowed us to defer three factors: the first one features the concentrations of Al, P, K, Na and CO, the second one was determined for N, pH and density. Finally, the third factor was based on Ca and Mg. The quartzitic material influences the chemical and physical composition of the deepest guano. As the rock changes, elements like Al and K are released and enrich the deeper layers, as well as increasing density due to the presence of sand in the material.
Keywords: Caves, Geochemistry, Guano deposit Siliciclastic rocks, Weathering.
INTRODUCTION
Caves are physical landscape elements formed mainly by the action of water and features typically identified as karst morphologies (Gibert et al., 1998).
Brazil has more than 20,000 caves registered and distributed throughout its territory; however, there are estimated to be around 310,000 caves (Bernard et al., 2022). The states of Minas Gerais, Pará, Bahia and Rio Grande do Norte account for 70% of all known caves in Brazil (ICMBio/CECAV, 2022).
Caves are underground environments with particular ecosystems (Culver; Pipan, 2019) influenced by the material supply; water and wind are their main vectors. Different sediments and organic matter are transported to the interior of the caves and deposited in different compartments, influencing their geochemistry (Gnaspini; Trajano, 2000).
Fractures in rocks and the karst landscape topography provide shelters for different animal populations, including birds. The cave in quartzitic lithology of the Centenário da Serra do Caraça, due to its altitude climate and geographical position, allows the seasonal nesting of swifts of the species of Streptoprocne zonaris and S. biscutata (Shaw, 1796; Dutra et al. 2002). According to Trajano et al. (2016), these swifts belong to the group of Trogloxens, which live in cave entrances and are also present in external environments. These birds rest on the cave’s inner walls, releasing excrement (guano) rich in nutrients, especially phosphate and nitrate (Paula et al., 2020). This way, guano is accumulated on the floor, forming deposits with different layers at different stages of decomposition, becoming a food source for many invertebrates (Ferreira; Martins, 1998; Gnaspini; Trajano, 2000; Pellegrini; Ferreira, 2011). Moreover, guano deposits are heterogeneous, possessing high variability of microhabitats, with different pH, humidity and percentages of organic matter, sheltering countless animal communities in different successional stages.
Guano deposits are the main supply of nutrients in permanently dry caves. Thus, it is the main source of energy in typically oligotrophic environments, such as caves, in which physical agents are acting on the transport of organic matter to caves, such as water (both percolating water and streams), wind, among others, which may be, in many cases, even more efficient in transporting organic compounds than the guano producers.
Few studies discuss the deposits of swift guanos in caves, with more research towards deposits produced by bats. There is little information about the relationship between the physical and chemical parameters of guano and substrate (Pellegrini; Ferreira, 2011) in the ecology of ornithogenic ecosystems in high-altitude quartzitic regions like Serra do Caraça (Clemente, 2015). In this regard, this work studied the physical (density) and chemical (organic carbon, nitrogen, potassium, phosphorus, sodium, calcium, magnesium, aluminium and pH) features of 21 guano layers, correlating their contents with the depth of seven deposits and separating the results into factors. Inferences on the interaction with the local quartzite lithology were also integrated, which are useful elements to explain the dynamics of weathering and the nutritional supply of cave trophic chains.
MATERIAL AND METHODS
Study area
The Private Reserve of Natural Heritage Santuário do Caraça (RPPN) is located in the metropolitan mesoregion of Belo Horizonte and the microregion of Itabira, State of Minas Gerais, in the municipalities of Catas Altas and Santa Bárbara, between the geographical coordinates 43°36’ and 43°26’ west, 20°1’ and 20°11’ south (Abreu, 2013). This RPPN belongs to the southern Espinhaço mountain range and defines the eastern limit of the Quadrilátero Ferrífero geological province, scoring the highest altitudes in this region (Pico do Sol with 2078 m and Pico do Inficionado with 2068 m). The RPPN is considered by its intense metamorphism (Alkmim; Marshak, 1998), which promoted intense fracture in the rocks, the preferred location for the progress of weathering, allowing the formation of deep cavities in the quartzites (Dutra et al., 2002).
The caves developed in quartzites have elongated traits that accompany the fractures and dives of the rocky blocks. According to Bigarella (2007), in regions that have suffered bending and, consequently, rock sloping, erosion follows the stratification plans, preferably along the diaclasis present in the structure.
The Minas Supergroup (Moeda Formation) and Cenozoic coverings (lateritic Cangas) are found in the region. The Moeda Formation, which identifies the Pico do Inficionado, site of this study, consists of sericitic and chloritic quartzites, shales and conglomerates (Dorr, 1969) (Figure 1).

Serra do Caraça belongs to a series of mountain ranges that provide high biological endemism, which generally increases with altitude. This fact is linked to the scarcity of growth factors in their soils. In Pico do Inficionado, there are shallow and sandy soils, characterized by their acidity, diastrophism and high levels of exchangeable aluminium, such as Leptsols and Arenosols (IUSS Working Group WRB, 2015), as defined by Benites et al. (2007) on Brazilian rock complexes. In some places, the significant build-up of organic matter allows the recognition of rare Histosols (IUSS Working Group WRB, 2015), Vegetationally, according to Conceição et al. (2007), in these quartzite rock complexes, the most common plant species are Amaryllidaceae, Bromeliaceae, Cyperaceae, Orchidaceae and Velloziaceae.
Sample collecting, physical and chemical analyses
We performed a collection transect from the entrance of the Centenário fossil cave (661716.644E, 7772921.011N) to the sinkhole called Garganta do Diabo (661787.595E, 7772881.472N) (direction S-E), seeking to identify and collect the guano deposits. At least two samples were collected (replicates) (license number 57443-1 ICMBio/SISBIO) with a metal paddle containing 21 guano samples, distributed in 7 independent deposits (Figure 2), to assess the decomposition level, humification, colour and density. The deposits were labelled from 1 to 7, from the furthest to the closest to the entrance (deposit 7).
In situ, it was observed that the same deposit of guano had different physical properties, as well as the level of decomposition and humification. With the initials C1, C2 and C3 in the field (three layers for each deposit), the layers were differentiated through texture and colours (Munsell, 2000).
The samples were crushed and dried in an oven at 40°C for five days. Afterwards, physical and chemical analyses were carried out based on the methods described by Teixeira (2017). The beaker method was used in the physical analysis to achieve the guano bulk density. This method is used to determine the density of highly unstructured soils containing organic material and when there are difficulties in removing samples with a volumetric ring or clods from a profile.
For the test, it was used a 100 mL cylinder with a mass of 35,635 g. After that, it was filled with guano up to 60 mL, and then the guano was compacted by hitting the cylinder five times over the bench, with a fall distance of around 5 cm. Finally, the cylinder was weighed with the sample according to the equation below (1).
Where:
Ds: Soil density; M soil: Soil mass; Vt: Total volume; M, mass; TFSA: Air-dried thin earth; V cylinder: Cylinder volume; M cylinder: Cylinder mass.

In the chemical analysis, the P available content, Na+ and K+, were extracted with a double acid solution (H2SO4 + HNO3); Ca2+, Mg2+ and Al3+ with KCl 1 mol L-1. The elements were determined by atomic absorption (Ca2+, Mg2+), flame emission photometry (Na+ and K+), visible spectrophotometry (P), and titration (Al3+). The Kjeldahl method (Bataglia et al., 1983) was used to carry out the definition of nitrogen and the total organic carbon (TOC) was distinguished by the titration of the remaining potassium dichromate, with ammoniacal ferrous sulphate, after the oxidation process through wet media (Yeomans; Bremner, 1988).
To determine the pH, 10 cm³ of guano was placed in an Erlenmeyer flask, and then we added 25 ml of distilled water. After being shaken and rested for 30 minutes, the pH was determined twice with a potentiometer, and the average was considered the final result.
Statistical Analysis
Descriptive statistics was used to understand the physical and chemical variances of the guano layers from this study. The pH, density and concentration data for each chemical element were compared and analyzed through linear regression. The models were obtained considering the layers average among the 7 sampled deposits as a result variable. The residues were previously checked to verify the distribution adjustment in all models. When necessary, the data were transformed with log10 to meet the assumptions of normality. Significance was considered at 5%.
The authors applied factor analysis (FA) to study the guano-associated variable. This multivariate technique allows grouping the original variables into subsets of mutually unrelated variables (known as variables or latent factors), which can provide practical interpretations. We evaluated the suitability of the proposed model using the Kaiser-Meyer-Olkin (KMO) criterion (Mingoti, 2007) and the Bartlett test (Ferreira, 2011). We determined the number of factors considering a percentage that explains more than 70% of the total variability (Ferreira, 2011). After validating the model, we used the varimax rotation component method to allocate the variables to each factor through the loadings. The factor scores were obtained using the regression method. All analyses were performed using R software (R Core Team version 4.0.3, 2020).
RESULTS
Descriptive statistics
The detected values and descriptive statistics from the guano data are displayed in Table 1. These results suggest that calcium and potassium represent the highest levels, with 1153.73 mg/dm³ and 3651.47 mg/dm³, respectively. K has the best quantitative level, indicated at 993.39 g/dm³; on the other hand, phosphorus and nitrogen values were the lowest, with the highest value for phosphorus was 13,51 g/dm³ and the lowest 12,46 g/dm³ and nitrogen values were 13,37 and 0,53 dag/kg, in that order.

Linear regression statistics
A noteworthy increase in density was found as the depth increased (F1; 20 = 5,95; P = 0,024, Figure 3A). Thus, the C3 layers presented the highest values of this parameter. The C3 of deposits 1 and 3 displayed the highest values, respectively, 1.326 kg/m³ and 1.364.00 kg/m³.
We could observe a positive variation in the values of Al (F1; 20 = 4,76; P = 0,04; Figure 3B). The other elements did not significantly vary Ca: F1, 20 = 0,094; P = 0,7623; CO: F1, 20 = 0,07 P = 0,41 and Mg: F1, 20 = 0,03; P = 0,87; Figure 3B). We observed a positive trend in the K values (F1, 20 = 4,25; P = 0,05; Figure 3C). Unlike the other elements, P was presented as: F1, 20 = 0,43; P= 0,52 and Na: F1, 20 = 2,93; P = 0.1 (Figure 3C).
We noticed a significant decrease for N (F1, 20 = 4,32; P = 0,05; Figure 3D). N had the highest values, ranging from 0,54 to 0.02 dag/kg. We perceived that, as the layers deepened, the levels would decrease.
There was no significant tendency in the pH variation as the layers deepened (F1; 20 = 1,55; P = 0,2; Figure 3E). All layers displayed a very acidic pH, but C3 stood out with lower values, for example, for deposit 7 (2,26). All 21 guano layers showed acidic pH, ranging from 2.20 (C1 from deposit 3) to 4.34 (C1 from deposit 2). The deeper layers C3 and C4 presented the lowest values compared to the others. Therefore, it can be said that the swift guano deposits in the Pico do Inficionado cave, from the RPPN of the Santuário do Caraça, are already very ancient. However, there is still ongoing deposition in the layer C1. When we compare C1 to C3 from all deposits, we notice a decrease in the pH values. Only in deposit 3, there was a small decrease, almost irrelevant.

Analysis factor statistics
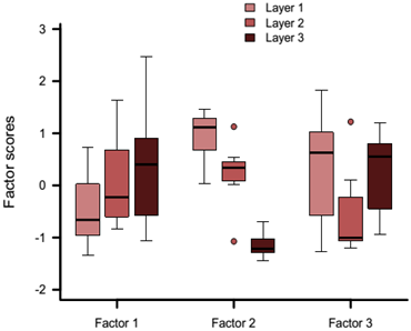
The KMO index (0.7) and the Bartlett test (χ2 = 165,7, d.f. = 45, p <0.001) showed that the data are fit for the AF application. According to the standard, the total variation must exceed 70% (Ferreira, 2011) with three factors (Table 2). The first factor grouped most chemical elements analyzed (Al, P, K, Na and CO). These elements were positively correlated. The variables density, pH and N were grouped into the second factor. N and pH were positively correlated, whereas bulk density was negatively correlated with these two variables. The third factor included Ca and Mg, positively correlated.

The factor 1 score increases in the deeper layers (Figure 4), where the loads are all positive (Table 2), indicating that the Al, P, K, Na and CO concentration increases according to a given depth. The average scores were -0,45, 0,10 and 0,34 for layers 1, 2 and 3, respectively. Factor 2’s result was the opposite of the first: the scores decreased in the deeper layers (Figure 4). The factor 2 loads were positive for N and pH and negative for density (Table 2). Therefore, the N and pH decrease, but the bulk density increases in the deeper layers. The average scores were 0,93, 0,21 and -1,14 for layers 1, 2 and 3, respectively. In factor 3, only layer 2 had a negative average score (-0,51). The average for layer 1 was 0,30 and 0,22 for layer 3. The loads were all positive. This result suggests that layers 1 and 3 have a higher Ca and Mg concentration when compared to layer 2 (Figure 4, Table 2).

DISCUSSION
Physical analyses
The results illustrate a variation in the physical and chemical features between the guano layers in the deposits sampled from the Serra do Caraça, MG, Brazil. After the material collection, we identified the heterogeneity between the layers, distinguishing themselves by colour, texture and bulk density (Figure 5). The colors shown were in layer 1 10R 3/4, layer 2 2.5YR 4/8, and layer 3 10R 2.5/1 (Munsell, 2000). The superficial ones were “looser” and drier, while the deeper ones had high humidification and were sticky and pasty. Bernath and Kunz (1981) also observed the heterogeneity found, where the deeper layers displayed a more uniform consistency, with more water retention and strongly humidified organic materials.

The most superficial layers constantly receive guano, in which it is possible to identify seeds, insect exoskeletons, and plant remains. According to Lepsch et al. (2016), mineral soil is expected to display a higher density than organic soil because organic matter weighs less than the same volume of mineral material. As the weathering acts on the quartzite, this rock disintegrates its minerals and releases grains of sand to the C3, becoming responsible for the density increase. Most of the lower layers had saprolite from the source material.
Because the upper portion of the Centenário, where the guanos of this work were sampled, is more protected from floods and flooding, it influences their depositional age, making them older without ablation/removal cycles and little redeposition. This could explain the high acidity and low organic matter content due to fragmenting stabilization and decomposing invertebrate communities (Bahia; Ferreira, 2005).
Chemical analyses
Physical and chemical analyses were grouped into three factors. The elements P, K, Na, Al and CO were grouped in factor 1, in which K and Na have the same relevance; factor 2 consists of N, pH and bulk density, and as the guano ages, it becomes more acidic, due to the weathering process of quartzites and the leaching of exchangeable bases, in addition to the mineralization of N by microorganisms; and Ca and Mg constituting the factor 3, these two elements are very soluble and have similar behaviour in the soil, where one can affect the other. In addition, both are divalent cations.
The guano pH decreasing in the deeper layers of the Serra do Caraça may be linked to the variation of the other physical and chemical features of that guano over time, the freshly deposited guano (fresh) is more alkaline, and it acidifies as it ages due to its ammonia fermentation (Ferreira; Martins, 1998; Gnaspini; Trajano,1998; Pellegrini; Ferreira, 2013), being also more humid than the oldest guano (Bernath; Kunz, 1981). The sampled deposits have low pH, tending to decrease in the deeper layers. Bahia and Ferreira (2009) observed that even in a cave formed by limestone rock, 71% of the old guano deposits studied showed acid pH. We could also notice that the sampled deposits inside the cave were more acidic than those near the cave entrance. The pH decrease is associated with the material exposure to the environment in shifting quartzite lithology; the older the guano, the lower the pH. This fact is also due to the continuous leaching process inside the cave. Therefore, the guano deposits inside the cave are older and more acidic than those at the entrance, and the swifts are probably choosing to nest in areas closer to the cave entrances.
The N concentrations were the highest concerning the other elements. The immobilization of N conducted by microorganisms retains the N, which is used as an energy source to decompose organic materials. The excess N is released and absorbed for the plants to develop, but since there is no vegetation in these environments, the N is partly accumulated in the deposits. As with the pH, N decreased in the deeper layers. A similar result was found in work by Andrade (2012), where the N concentrations in the upper part of the profiles were higher, decreasing with depth, suggesting the decomposition of the organic matter deposited by the local birdlife.
The AF confirmed that the elements grouped in factor 1 (Al, P, K, Na and CO) increase in the deeper layers. Al is a more static element, and in tropical environments, there is a high concentration of such elements due to the accumulation and natural abundance of rocks. The quartzite lithology of the RPPN of Serra do Caraça displays high Al values, according to studies carried out by Clemente (2015), showing, through micro-chemical analyses, the predominance of Al in the intergranular cement of quartzites in the same area. This can influence the concentrations of deeper layers once they are in direct contact with the rock. The quartzite in contact with the weathering agents changes its mineralogical composition, making Al available to the deeper layers (Clemente, 2015).
The same mechanism can explain the increase in K with depth: the rock exposed to weathering agents makes K available for the deeper guano layers and adds active and mutable acidity to the system. Clemente (2015) revealed the occurrence of K-feldspar and micas in the quartzites of the RPPN are dissolved when in contact with the released organic acids.
P is a very important element for life (including the underground), acting as a source of energy and the development of cave ecosystems. The highest P values were found in the deepest layers, starting from 14 cm deep. Previous analysis in the same cave demonstrated a pattern in the P variation content similar to the one found here (Clemente, 2015). A different relationship was found in ornithogenic soils, where P reaches the deepest layers in large quantities due to the solubilization of minerals in the superficial layers of the soil and re-precipitation in the deeper layers (Andrade, 2012).
As it is very massive, quartzite can prevent the infiltration of some elements in its structure (if no fractures are present), causing concentration in the layers in direct contact with the rock. This explains the higher Na concentration in the deeper layers. The Ca and Mg values found were higher than non-ornithogenic soils (Resck, 2011). These elements showed less concentration in layer 2, as they are considered bases of easy leaching.
The superficial layers close to the cave entrance presented higher Mg contents. As the profile deepens, this value is reduced. This reinforces the hypothesis that swifts have been breeding, in recent years, in the outer parts of the site and that the final section of the Centenário cave under study receives more water contribution, translocating more of the chemical elements of the deposits but limiting the permanence of these animals.
The highest levels of CO were found in the deepest deposits, that is, deeper inside the cave. The three deposits closest to the entrance had the L3 with the highest CO found among these deposits, displaying greater surface breathing and being capable of producing CO2 into the atmosphere. However, the cold altitude climate limits this process (Table 3).

FINAL CONSIDERATIONS
The Centenário cave is one of the countless paleo-caves that contribute geochemically to the trophic systems internal of the RPPN Santuário do Caraça, contributing through the rainwater precious elements leached from the guano deposits. We showed that guano deposits are important sources of nutrients in quartzite cavities, such as Ca, Mg, and especially P and N. These elements are leached and transported by the water precipitation, filtered through in this cave. In addition, guano deposits in contact with this rock contribute to the weathering process when in the presence of water at acidic pH, releasing grains of sand, Al and K to the deeper layers and implementing them, an important genetic factor in this cave-type. Therefore, preserving caves and the consequence of their guano is a fundamental action, considering that their composition influences several biological relationships in deposition environments.
Acknowledgement
The authors thank the Conselho Nacional de Desenvolvimento Científico e Tecnológico (CNPq) and the Coordenação de Aperfeiçoamento de Pessoal de Nível Superior (CAPES, 001) for their financial support. We would also like to thank Georgette Dutra, Tiago, José and Vânia, who helped collect the guano at the Santuário of Caraça, SISBIO and the Província Brasileira da Congregação da Missão, especially the environmental coordinator Aline Abreu and Padre Lauro Palú, who allowed the field collection to be conducted.
REFERENCES
ABREU, A.C.L. Plano de Manejo da RPPN “Santuário do Caraça” Minas Gerais. Relatório. Instituto Chico Mendes de Conservação da Biodiversidade, pp. 195, 2013.
ALKMIM, F.F.; MARSHAK. S. Transamazonian orogeny in the Southern Sao Francisco craton region, Minas Gerais, Brazil: evidence for Paleoproterozoic collision and collapse in the Quadrilátero Ferrifero. Precambrian Research, v. 90, pp. 29-58, 1998. Doi: 10.1016/S0301-9268(98)00032-1
ANDRADE, R. P. Geoquímica dos solos e das águas da Pennínsula da Fildes e Ilha Ardley-Antártica. 2012. Thesis (Master Degree in Soils and Plant Nutrition). Universidade Federal de Viçosa, Viçosa, 2012.
BAHIA, G. R.; FERREIRA, R. L. Influência das características físicoquímicas e da matéria orgânica de depósitos recentes de guano de morcego na riqueza e diversidade de invertebrados de uma caverna calcária. Revista Brasileira de Zoociências, v. 7, pp. 165-180, 2009.
BATAGLIA, O. C.; FURLANI, A. M. C.; TEIXEIRA, J. P. F.; FURLANI, P. R. J.; GALLO, R. Métodos de análise química de plantas. Instituto Agronômico de Campinas, pp. 31, Campinas. 1983.
BENITES, V. M.; SCHAEFER, C. E. R.; SIMAS, F. N. B.; SANTOS, H.G. Soils associated with rock outcrops in the Brazilian mountain ranges Mantiqueira and Espinhaço. Brazilian Journal of Botany, v. 30, pp. 569-577. 2007. Doi: 10.1590/S0100-84042007000400003
BERNARD, E.; BEZERRA, J. D. P.; SOUZA-MOTTA, C. M. Richness of Cladosporium in a tropical bat cave with the description of two new species. Mycological Progress, v. 21, pp. 345-357, 2022. Doi: 10.1007/s11557-021-01760-2
BERNATH, R. F.; KUNZ, T. H. Structure and dynamics of arthropod communities in bat guano deposits in buildings. Canadian Journal of Zoology, v. 59, pp. 260-270, 1981. Doi: 10.1139/z81-041
BIGARELLA, J. J. Estrutura e origem das paisagens tropicais e subtropicais. Florianópolis: Editora EDUFSC, pp. 1436, 2007.
ICMBIO/CECAV. Centro Nacional de Pesquisa E Conservação De Cavernas. Anuário estatístico do patrimônio espeleológico brasileiro 2020. Available: https://www.gov.br/icmbio/pt-br/assuntos/centros-de-pesquisa/cecav/images/stories/downloads/. Accessed on: jun. 23, 2023.
CLEMENTE, N. Geoambientes da Serra do Caraça e feições do cárste quartzítico. 2015. Thesis (Master Degree in Soils and Plant Nutrition). Universidade Federal de Viçosa, Viçosa, 2015.
CONCEIÇÃO, A. A.; PIRANI, J. R.; MEIRELLES, S. T. Floristics, structure and soil of insular vegetation in four quartzite-sandstone outcrops of Chapada Diamantina, Northeast Brazil. Revista Brasileira de Botânica. v. 30, pp. 641-656, 2007. Doi: 10.1590/S0100-84042007000400009
CULVER, D.C.; PIPAN, T. The biology of caves and other subterranean habitats. Oxford University Press, Oxford, pp. 291, 2019. Doi: 10.1093/oso/9780198820765.001.0001
DORR, J. V. N. Physiographic, stratigraphic, and structural development of the Quadrilatero Ferrifero, Minas Gerais, Brazil. US Government Printing Office, Washington pp. 117, 1969. Doi: 10.3133/pp641A
DUTRA, G. M.; RUBBIOLI, E. L.; HORTA, L. S. Gruta do Centenário, Pico do Inficionado (Serra da Caraça), MG: A maior e mais profunda caverna quartzítica do mundo. In: CPRM. Sítios geológicos e paleontológicos do Brasil (SIGEP), v. 1, pp. 431-441, 2002.
FERREIRA, D.F. Estatística Multivariada. Lavras: Editora UFLA, pp. 675, 2011.
FERREIRA, R. L.; MARTINS, R. P. Diversity and Distribution of Spiders Associated with Bat Guano Piles in Morrinho Cave (Bahia State, Brazil). Diversity and Distributions, v. 4, pp. 235-241, 1998.
GIBERT, J.; DANIELOPOL, D.; STANFORD, J. A. Groundwater ecology. San Diego: Academic Press, pp.443, 1998.
GNASPINI P.; TRAJANO, E. Guano communities in tropical caves. Case study: Brazilian caves. In: GNASPINI, P.; TRAJANO, E. Guano communities in tropical caves. Ecosystems of the World. 2000, p. 251-268.
ICMBIO - Instituto Chico Mendes De Conservação da Biodiversidade. CECAV - Centro Nacional de Pesquisa e Conservação de Cavernas. Anuário estatístico do patrimônio espeleológico brasileiro. 2022. Available: https://www.gov.br/icmbio/pt-br/assuntos/centros-de-pesquisa/cecav/patrimonio-espeleologico-em-pauta-1/icmbio-cecav-publica-relatorio-anual-2022. Accessed on: jun. 23, 2023.
IUSS WORKING GROUP WRB. World Reference Base for Soil Resources 2014, update 2015 International soil classification system for naming soils and creating legends for soil maps. World Soil Resources Reports, Rome, n. 106, 2015.
LEPSCH, I. F. 19 lições de Pedologia. São Paulo: Oficina textos, 456 p., 2016.
MINGOTI, S. A. Análise de dados através de métodos de estatística multivariada: Uma abordagem aplicada. Belo Horizonte: Editora UFMG, pp. 295, 2007.
MUNSELL, A. H. Munsell soil color charts. Baltimore: Munsell Color Company, I.N.C., 2000.
PAULA, C. C. P.; BICHUETTE, M. E.; SELEGHIM, M. H. R. Nutrient availability in tropical caves influences the dynamics of microbial biomass. Microbiology Open, v. 9, pp. 1-13, 2020. Doi: 10.1002/mbo3.1044
PELLEGRINI, T. G.; FERREIRA, R. L. Structure and interactions in a cave guano-soil continuum community. European journal of Soil Biology, v. 57, pp. 19-26, 2013. Doi: 10.1016/j.ejsobi.2013.03.003
PELLEGRINI, T. G.; FERREIRA, R. L. Relações de presa-predador de uma comunidade de invertebrados associados a um grande depósito de guano. 2011. In: Anais 31 Congresso Brasileiro de Espeleologia. Ponta Grossa-PR, 21 a 24 de julho de 2011, pp. 421-426.
R CORE TEAM. The R project for statistical computing. R Foundation for Statistical Computing, 2020, Vienna, Austria. Available: https://www.r-project.org/. Accessed on: jul. 02, 2023.
RESCK, B. C. Química e mineralogia de solos vulcânicos das Ilhas Deception e Penguin, Antártica Marítima. 2011. Thesis (Master Degree in Soils and Plant Nutrition). Universidade Federal de Viçosa, Viçosa, 2011.
RIBEIRO RODRIGUES, L. C. O contexto Geológico Estrutural do Parque Natural do Caraça e Adjacências, Quadrilátero Ferrífero, 1992. Thesis (Master Degree), Universidade de Brasília. 1992. 133pp.
SHAW, G. Museum Leverianum, Containing Select Specimens from the Museum of the Late Sir Ashton Lever: With Descriptions in Latin and English. J. Parkinson. 1796.
TEIXEIRA, P. C; DONAGEMMA, G. K.; FONTANA, A.; TEIXEIRA, W. G. Manual de métodos de análise de solo. Empresa Brasileira de Pesquisa Agropecuária, pp. 573, 2017, Rio de Janeiro.
TRAJANO, E.; GALLAO, J. E.; BICHUETTE, M. E. Spots of high diversity of troglobites in Brazil: the challenge of measuring subterranean diversity. Biodiversity and Conservation, v. 25, pp. 1805-1828, 2016. Doi: 10.1007/s10531-016-1151-5
YEOMANS, J. C.; BREMNER, J. M. A rapid and precise method for routine determination of organic carbon in soil. Communications in Soil Science & Plant Analysis, v. 19, pp. 1467-1476, 1988. Doi: 10.1080/00103628809368027
Notes
Author notes