Artículos originales de investigación

Calidad nutricional de Mombasa y Tanzania (Megathyrsus maximus, Jacq.) manejados a diferentes frecuencias y alturas de corte en Sucre, Colombia

Nutritional quality of Mombasa and Tanzania (Megathyrsus maximus, Jacq.) managed at different frequencies and cutting heights in Sucre, Colombia

Qualidade nutricional de Mombaça e Tanzânia (Megathyrsus maximus, Jacq.) Manejado em diferentes freqüências e alturas de corte em Sucre, Colômbia

René Mauricio Patiño Pardo *
Universidad de Sucre, Colombia
Rafael Gómez Salcedo
Universidad de Sucre, Colombia
Orlando Antonio Navarro Mejía
Universidad de Sucre, Colombia

Calidad nutricional de Mombasa y Tanzania (Megathyrsus maximus, Jacq.) manejados a diferentes frecuencias y alturas de corte en Sucre, Colombia

CES Medicina Veterinaria y Zootecnia, vol. 13, núm. 1, pp. 17-30, 2018

Universidad CES

Recepción: 22 Mayo 2017

Aprobación: 26 Febrero 2018

Resumen: Con el objetivo de evaluar el efecto de la altura (20, 30 y 40 cm) y frecuencia (25, 35 y 45 días) de corte sobre la calidad nutricional de los pastos Mombasa y Tanzania (Megathyrsus maximus, Jacq.) en la Subregión Sabanas, del Departamento de Sucre. Se tomaron muestras de parcelas ya establecidas y organizadas según un diseño en parcelas divididas. El cultivar Tanzania presentó mayores (p<0,05) contenidos de materia seca, proteína y hemicelulosa, mientras que en el cultivar Mombasa se observaron valores superiores (p<0,05) de FDN, FDA, cenizas y fósforo. La frecuencia de corte afectó (p<0,05) linealmente los contenidos de proteína, cenizas, FDN y hemicelulosa, y de manera cuadrática el contenido de materia seca. El cultivar Mombasa presentó un rango superior de variación en relación al contenido de proteína, pasando de 12,3 a 6,5% entre las frecuencias de corte 25 y 45 días, lo que no se observó en el cultivar Tanzania. Se presentó disminución en los valores de ceniza y fósforo, e incremento en los FDN y hemicelulosa en función de la frecuencia de corte. El contenido de FDA aumentó linealmente (p=0,04) en función del incremento en la altura de corte. Se concluye que bajo las condiciones de estudio, la composición nutricional de los pastos evaluados varía en función del cultivar y del manejo dado, principalmente en función de la frecuencia de corte. Nutricionalmente, el cultivar Tanzania presentó ventajas comparativas sobre Mombasa.

Palabras clave: composición nutricional, Megathyrsus spp, sabanas de Sucre.

Abstract: The aim of this study was to evaluate the effect of cutting height (20, 30 and 40 cm) and frequency (25, 35 and 45 days) on the nutritional quality of Mombasa and Tanzania grasses (Megathyrsus maximus, Jacq.) in the Sabanas subregion, from the Department of Sucre. The samples of grasses were collected from plots already established and organized according to a split plots design. The Tanzania cultivar presented higher (p<0.05) dry matter, protein and hemicellulose contents, while higher values (p<0.05) of NDF, FDA, ash and phosphorus were observed in Mombasa cultivar. The cutting frequency (p<0.05) affected linearly the protein, ash, NDF and he-micellulose contents and, in a quadratic manner, the dry matter content. The cultivar Mombasa presented a superior range of variation in relation to the protein content, going from 12.3 to 6.5% between the frequencies of cut 25 and 45 days, which was not observed in the cultivar Tanzania. There was decrease in ash and phosphorus values, and increase in NDF and hemicellulose as a function of the cutting frequency. The FDA content increased linearly (p=0.04) as a function of the increase in cutting height. It is concluded that under the study conditions, the nutritional composition of the evaluated pastures varies according to the cultivar and the given management, mainly as a function of the cutting frequency. Nutritionally, the Tanzania cultivar presented comparative advantages over Mombasa.

Keywords: Megathyrsus spp., nutritional composition, savannas of Sucre.

Resumo: Com a finalidade de avaliar o efeito da altura (20, 30 e 40 cm) e da frequência (25, 35 e 45 dias) de corte sobre a qualidade nutricional de Mombaça e Tanzânia (M. maximus, Jacq.) na sub-região Savanas, do Departamento de Sucre, foram coletadas amostras de parcelas já estabelecidas e organizadas de acordo com um delineamento em parcelas divididas. A cultivar Tanzânia apresentou teores superiores (p<0,05) de matéria seca, hemicelulose e proteína, e o cultivar Mombaça valores mais elevados (p<0,05) de FDN, FDA, cinzas e fósforo. A frequência de corte afetou (p<0,05) linearmente os teores de proteína, cinzas, FDN e hemicelulose, e quadraticamente o teor de matéria seca. A cultivar Mombaça apresentou maior variação em relação ao teor de proteína, passando de 12,3 para 6,5% entre as frequências de corte de 25 e 45 dias, o que não foi observado no capim Tanzânia. Houve decréscimo (p<0,05) nos valores de cinzas e fósforo, e aumento nos valores de FDN e hemicelulose em função da frequência de corte. O teor de FDA aumentou linearmente (p=0,04) em função do aumento da altura de corte. Conclui-se que nas condições do estudo, a composição nutricional das pastagens avaliadas varia de acordo com a cultivar e o manejo, principalmente em função da frequência de corte. Nutricionalmente, a cultivar Tanzânia apresentou vantagens comparativas sobre Mombasa.

Palavras-chave: composição nutricional, Megathyrsus, savanas de Sucre.

Introducción

En la Subregión Sabanas del Departamento de Sucre existen 219.601 hectáreas pertenecientes a la formación de bosque seco tropical. Bajo estas condiciones, varias especies de gramíneas tropicales han mostrado un potencial para persistir. Actualmente, los pastos Tanzania y Mombasa, cultivares de Megathyrsus maximus (Jacq.), disponibles comercialmente, vienen despertado interés por las características de calidad y producción. Sin embargo, el manejo de estas plantas en ocasiones se hace difícil por las características propias de la especie, principalmente en lo relacionado a las alturas de cosecha y del residuo.

Las equivocaciones en este sentido afectan directamente la calidad y persistencia de la pastura, y pueden causar su desaparición o subutilización, lo cual representa un perjuicio económico para el productor.

El pasto Guinea, originario de África, es una gramínea que se encuentra en zonas tropicales y subtropicales. Se caracteriza por ser apomíctica y predominan las formas tetraploides. Se presenta una amplia diversidad genética en esta especie. Por la forma en que rebrota, por el tamaño de la lámina foliar y la relación hoja: tallo, es una especie que puede producir una cantidad considerable de biomasa palatable 16. Las condiciones climáticas y la edad de rebrote afectan las características nutricionales de este tipo de gramínea 26, por lo que se hace necesario evaluar experimentalmente estos materiales antes de incorporarlos a un determinado sistema de producción de bovinos en pastoreo, si se desea maximizar su potencial productivo 7. En este sentido, se puede afirmar que cada especie, debido a sus características morfofisiológicas, puede responder de manera diferenciada al manejo dado 21, lo que demuestra la relevancia de evaluaciones en diversas localidades.

La frecuencia y altura de corte influyen en la estructura del dosel de una pradera y afectan la relación hoja: tallo, tasa de crecimiento, población de tallos, tasa de expansión foliar y la remoción de meristemos apicales, variables relacionadas con la producción y calidad del forraje 6,27; además de incidir en la longevidad de las plantas, al afectar los carbohidratos de reserva de las mismas. Hare et al.11 encontraron diferencias en la calidad nutricional de los cultivares de Megathyrsus maximus Jacq. Tanzania y Mombasa en respuesta a la fertilización nitrogenada, lo que sugiere, que al incluir animales en dichas pasturas se podrían observar desempeños productivos diferenciados.

Valente et al.22 verificaron que la reducción en la frecuencia de defoliación en pasto Tanzania provocó una reducción de la calidad nutricional y de la digestibilidad del pasto Tanzania, efecto relacionado con la interceptación de luz. Rodrigues et al.17 observaron valores de PB entre 13,2 y 14,8%, de FDN entre 55,9 a 58,9% y de y digestibilidad in vitro de la materia seca entre 51,4 y 52,8.

La relación entre la composición química y la disponibilidad de materia seca de la pastura definirá en gran medida el potencial productivo de un sistema de producción vacuna en condiciones de pastoreo. Si los criterios de manejo relacionados con las frecuencias de defoliación y las alturas de corte se aplican de manera correcta se podrán obtener beneficios en términos de productividad de ese sistema. Carnevalli 4 confirmó la relación entre la altura del residuo y el posterior desarrollo de la pastura. Por tanto, este criterio de altura del pasto a la salida y a la entada de los animales tendrá un impacto fuerte sobre la persistencia y producción de la pastura.

En condiciones de la subregión Sabanas del departamento de Sucre son escasos los datos disponibles sobre la calidad nutricional de los cultivares de Megathyrsus maximus Jacq. Tanzania y Mombasa, bajo diferentes formas de manejo, por lo que se hace necesario definir las pautas de manejo de estas pasturas, para optimizar la productividad de los sistemas de producción de rumiantes basados en estos cultivares y evitar pérdidas ocasionadas por degradación de pasturas, que es un problema frecuente cuando se utilizan los pastos con semillas comercialmente disponibles. El objetivo de esta investigación fue evaluar el efecto de la altura y frecuencia de corte sobre la calidad nutricional de los pastos Guineas Mombasa y Tanzania (Megathyrsus maximus, Jacq.) en la Subregión Sabanas, del departamento de Sucre.

Materiales y Métodos

Localización y condiciones agroecológicas

La fase de campo se realizó en la granja experimental de la Universidad de Sucre, ubicada en el municipio de Sampués, a 9° 15' de latitud norte y 71° 22' 54" de longitud oeste; a una altura de 202 msnm, zona perteneciente al bosque seco tropical 12 y a la región Sabanas del departamento de Sucre, con temperatura, precipitación y humedad relativa promedias de 27 °C, 1200 mm anuales y 75%, respectivamente. Los suelos son de textura francoarenosa, poco profundos en la parte alta y en las partes más bajas se encuentran suelos franco-arcillosos.

Toma de muestras

Las muestras de forraje fueron obtenidas en una fase previa de estudio de comportamiento agronómico en donde se estudiaron variables morfológicas y de producción de los pastos Guinea Mombasa (Megathysus maximus, Jacq. cv. Mombasa) y Tanzania, (Megathysus maximus, Jacq. cv. Tanzania).

Establecimiento del cultivo

La siembra de establecimiento del cultivo de ambos cultivares se realizó en el mes de febrero, en bolsas de 0,5 kg, las cuales se llenaron con suelo extraído del área de estudio, utilizando semillas comerciales de ambos cultivares, debidamente certificadas por el ICA, en sitios previamente hoyados. Las plántulas nacidas, en proceso inicial de crecimiento, se sembraron en el terreno seleccionado para el experimento, distanciados en cuadros de 50 cm entre plantas. Para favorecer el desarrollo de las plántulas y mantener la capacidad de campo, durante los periodos más secos, se aplicó riego. El área experimental de parcelas fue de 500 m2. Los cortes de los pastos, según la frecuencia y alturas de corte, se realizaron utilizando una hoz.

Evaluación de la calidad nutricional

Para evaluar la calidad nutricional de las dos gramíneas se realizaron tres cortes para cada una de las alturas (20, 30 y 40 cm) y frecuencia de corte (25, 35 y 45 días). Las muestras secas obtenidas de cada altura y frecuencia de los tres cortes se juntaron para formar una única muestra. Las muestras fueron secadas en estufa de ventilación forzada a 60 oC por 48 horas y posteriormente pesadas y molidas utilizando un molino tipo Thomas-Wiley con malla de 1 mm, para determinar los contenidos de materia seca (MS), ceniza (C), proteína bruta (PB), extracto etéreo (EE), fibra insoluble en detergente neutro (FDN), fibra insoluble en detergente ácido (FDA), y hemicelulosa siguiendo las indicaciones dadas por Campos et al.2. Para la determinación del fósforo inorgánico (Pi), a partir de las cenizas, se sometió la muestra a una digestión clorhídrica y se completó con agua destilada hasta 100 ml. Posteriormente se realizó la determinación de P usando el método vanadato molibdato 19

Análisis estadístico

Los datos se ordenaron y analizaron según un diseño de parcelas divididas establecido en bloques al azar, con tres repeticiones. Las parcelas principales correspondieron al cultivar (Tanzania o Mombasa); las subparcelas a las frecuencias de corte (25, 35 y 45 días) y las sub-subparcelas a las alturas de corte (20, 30 y 40 cm). El número total de sub-subparcelas fue de 54. El factor que se controló mediante el bloqueo correspondió a la inclinación del suelo (tres bloques), el cual se incluyó en el modelo como efecto aleatorio. Se realizó el análisis de varianza para las diferentes variables. Se consideraron en el modelo estadístico los efectos principales de los factores (cultivar, frecuencia y altura de corte), las diferentes interacciones entre los factores y los errores experimentales propios de ese diseño, usando el programa InfoStat versión 2011e 8. La suma de cuadrados de los factores frecuencia y altura de corte se dividió, para estudiar los efectos polinomiales lineal y cuadrático, asignando un grado de libertad a cada uno de los contrastes, para examinar de manera secuencial la significancia de los términos lineal y cuadrático del modelo, para determinar el mejor ajuste de la ecuación polinomial, usando el mismo paquete estadístico. Las medias de los factores frecuencia y altura de corte fueron comparadas usando la prueba de Tukey (α=0,05). Valores de significancia para factores principales e interacciones, entre 0,05 y 0,1, serán considerados como tendencia.

Resultados

El cultivar Tanzania presentó un contenido de MS superior (p>0,05) al de Mombasa, con valores medios de 23,6 y 20,9%, respectivamente, sin presencia de interacción (p>0,05) entre los factores estudiados. La frecuencia de corte afectó de manera cuadrática (p>0,05) el contenido de MS, el cual se incrementó a partir del día 25, presentando su máximo valor alrededor de los 35 días (Figura 1a). El contenido de MS se incrementó linealmente (p>0,05) conforme aumentó la altura de corte (Figura 1b).

Contenido de materia seca (%MS) de los cultivares del pasto Guinea (Megathyrsus maximus (Jaqc.)), Tanzania y Mombasa, sometidos a diferentes frecuencias y alturas de corte. Efectos: cultivar-C (p<0,001); frecuencia de corte-F (p<0,001); altura de corte-A (p=0,034); CxF (p=0,873); CxA (p=0,923); FxA (p=0,844) y CxFxA (p=0,594). Contrastes: [Frecuencia de corte: Lineal (p=0,604); Cuadrático (p<0,001)]; [Altura de corte: Lineal (p=0,011); Cuadrático (p=0,648)]. Medias seguidas de letras diferentes difieren según la prueba de Tukey (α=0,05).
Figura 1
Contenido de materia seca (%MS) de los cultivares del pasto Guinea (Megathyrsus maximus (Jaqc.)), Tanzania y Mombasa, sometidos a diferentes frecuencias y alturas de corte. Efectos: cultivar-C (p<0,001); frecuencia de corte-F (p<0,001); altura de corte-A (p=0,034); CxF (p=0,873); CxA (p=0,923); FxA (p=0,844) y CxFxA (p=0,594). Contrastes: [Frecuencia de corte: Lineal (p=0,604); Cuadrático (p<0,001)]; [Altura de corte: Lineal (p=0,011); Cuadrático (p=0,648)]. Medias seguidas de letras diferentes difieren según la prueba de Tukey (α=0,05).

Los valores superiores en relación a los contenidos de MS se obtuvieron en el corte realizado a los 35 días y a 40 cm de altura, en ambos cultivares.

El cultivar Tanzania presentó un contenido de PB superior (p> 0,05) a Mombasa, con valores medios de 11,7 y 9,4%, respectivamente. Se encontró interacción (p>0,05) entre los factores cultivar y frecuencia (Figura 2a), explicada principalmente por el descenso más acentuado (48%) del contenido de PB en el pasto Mombasa en función de la frecuencia de corte, mientras que el cultivar Tanzania tuvo un incremento gradual (11%) entre los 25 y 45 días (Figura 2b).

Contenido de proteína bruta (%PB) de los cultivares del pasto Guinea (Megathyrsus maximus (Jaqc.)), Tanzania y Mombasa, sometidos a diferentes frecuencias y alturas de corte. Efectos: cultivar-C (p<0,01); frecuencia de corte-F (p<0,01); altura de corte-A (p<0,01); CxF (p<0,01); CxA (p<0,01); FxA (p<0,01) y CxFxA (p<0,01). Contrastes: [Frecuencia de corte: Lineal (p<0,01); Cuadrático (p<0,01)]; [Altura de corte: Lineal (p<0,01); Cuadrático (p<0,01)]. Medias seguidas de letras diferentes difieren según la prueba de Tukey (α=0,05). Error estándar de la media: 0,387.
Figura 2
Contenido de proteína bruta (%PB) de los cultivares del pasto Guinea (Megathyrsus maximus (Jaqc.)), Tanzania y Mombasa, sometidos a diferentes frecuencias y alturas de corte. Efectos: cultivar-C (p<0,01); frecuencia de corte-F (p<0,01); altura de corte-A (p<0,01); CxF (p<0,01); CxA (p<0,01); FxA (p<0,01) y CxFxA (p<0,01). Contrastes: [Frecuencia de corte: Lineal (p<0,01); Cuadrático (p<0,01)]; [Altura de corte: Lineal (p<0,01); Cuadrático (p<0,01)]. Medias seguidas de letras diferentes difieren según la prueba de Tukey (α=0,05). Error estándar de la media: 0,387.

La altura de corte afectó (p<0,05) la concentración de PB, sin embargo, debido a la interacción entre este factor y el cultivar, se debe inferir de forma separada en relación a cada uno. Por esta misma razón, no se evidenció significancia para los contrastes estudiados, por lo menos de manera separada. La frecuencia de corte afectó de manera cuadrática (p<0,05) la concentración de PB en los cultivares evaluados.

Para el cultivar Tanzania, que presentó la menor variación en la concentración de PB, los valores más altos (13-15%) se agruparon en torno a la frecuencia de corte de 25 días y a la altura de corte de 40 cm, mientras los valores inferiores se presentaron alrededor de los 45 días de intervalo de corte, en todas las alturas, pero principalmente en el material cortado a 20 cm. Para Mombasa, aunque la variación fue mayor en relación a la frecuencia de corte, los valores superiores se apreciaron en la frecuencia 25 días, como sucedió en el cultivar Tanzania, pero en las alturas de corte 20 y 30 cm.

En general, para las frecuencias y alturas estudiadas el cultivar Mombasa presentó un contenido de ceniza superior (p>0,05) a Tanzania, con valores medios 11,7 y 9,4%, respectivamente. No hubo interacciones significativas entre los factores estudiados (p>0,05), ni efecto de la altura de corte sobre el contenido de ceniza (Figura 5b). La concentración de ceniza disminuyó linealmente (p<0,01) conforme aumentó la frecuencia de corte (Figura 5a).

Contenido de ceniza (%) de los cultivares del pasto Guinea (Megathyrsus maximus (Jaqc.)), Tanzania y Mombasa, sometidos a diferentes frecuencias y alturas de corte. Efectos: cultivar-C (p<0,001); frecuencia de corte-F (p<0,01); altura de corte-A (p=0,523); CxF (p=0,25); CxA (p=0,714); FxA (p=0,619) y CxFxA (p=0,288). Contrastes: [Frecuencia de corte: Lineal (p<0,01); Cuadrático (p=0,349)]; [Altura de corte: Lineal (p=0,433); Cuadrático (p=0,411)]. Medias seguidas de letras diferentes difieren según la prueba de Tukey (α=0,05). Error estándar
Figura 3
Contenido de ceniza (%) de los cultivares del pasto Guinea (Megathyrsus maximus (Jaqc.)), Tanzania y Mombasa, sometidos a diferentes frecuencias y alturas de corte. Efectos: cultivar-C (p<0,001); frecuencia de corte-F (p<0,01); altura de corte-A (p=0,523); CxF (p=0,25); CxA (p=0,714); FxA (p=0,619) y CxFxA (p=0,288). Contrastes: [Frecuencia de corte: Lineal (p<0,01); Cuadrático (p=0,349)]; [Altura de corte: Lineal (p=0,433); Cuadrático (p=0,411)]. Medias seguidas de letras diferentes difieren según la prueba de Tukey (α=0,05). Error estándar

El cultivar Mombasa presentó un contenido de FDN superior (p>0,05) a Tanzania, con valores medios de 74,5 y 71,2%, respectivamente. No se evidenció significancia (p>0,05) de las interacciones estudiadas, ni de la altura de corte (Figura 4b). Para la frecuencia de corte se observó una tendencia (p=0,061) de efecto sobre el contenido de FDN, que se comprobó con el efecto lineal (p<0,01) observado, en el que se verifica que en la medida en que aumenta la edad de corte, la fracción FDN se incrementa (Figura 4a).

Contenido de fibra insoluble en detergente neutro (%FDN) de los cultivares del pasto Guinea (Megathyrsus maximus (Jaqc.)), Tanzania y Mombasa, sometidos a diferentes frecuencias y alturas de corte. Efectos: cultivar-C (p=0,023); frecuencia de corte-F (p=0,061); altura de corte-A (p=0,528); CxF (p=0,402); CxA (p=0,541); FxA (p=0,426) y CxFxA (p=0,098). Contrastes: [Frecuencia de corte: Lineal (p=0,024); Cuadrático (p=0,474)]; [Altura de corte: Lineal (p=0,269); Cuadrático (p=0,842)]. Medias seguidas de letras diferentes difieren según la prueba de Tukey (α=0,05). Error estándar de la media: 0,666.
Figura 4
Contenido de fibra insoluble en detergente neutro (%FDN) de los cultivares del pasto Guinea (Megathyrsus maximus (Jaqc.)), Tanzania y Mombasa, sometidos a diferentes frecuencias y alturas de corte. Efectos: cultivar-C (p=0,023); frecuencia de corte-F (p=0,061); altura de corte-A (p=0,528); CxF (p=0,402); CxA (p=0,541); FxA (p=0,426) y CxFxA (p=0,098). Contrastes: [Frecuencia de corte: Lineal (p=0,024); Cuadrático (p=0,474)]; [Altura de corte: Lineal (p=0,269); Cuadrático (p=0,842)]. Medias seguidas de letras diferentes difieren según la prueba de Tukey (α=0,05). Error estándar de la media: 0,666.

Para Mombasa, el incremento en la fracción FDN fue más notorio (+5%) al pasar de los 35 a los 45 días, en comparación a Tanzania (+0,8%). Se aprecian que para el cultivar Tanzania las menores concentraciones de la fracción FDN correspondieron al material cortado a los 20 cm de altura, en las diferentes frecuencias estudiadas, mientras que para Mombasa los valores se ubicaron entre los 20 y 30 cm de altura, pero principalmente en la frecuencia de 25 días.

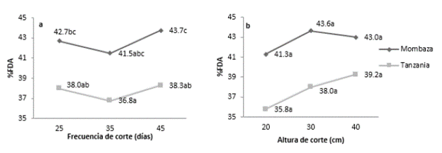
En general, para las frecuencias y alturas de corte evaluadas, el cultivar Mombasa presentó un contenido de FDA superior (p>0,05) al de Tanzania (Figura 5), con valores medios de 42,6 y 37,7%, respectivamente. La frecuencia de corte no afectó (p=0,301) el contenido FDA (Figura 5a). Aunque para el factor altura solo se observó una tendencia en el efecto (p=0,080) sobre el contenido de FDA, la significancia del contraste lineal (p=0,040) confirmó la influencia de la altura de corte sobre el contenido de FDA, observado principalmente en el cultivar Tanzania (Figura 5b), en el cual, el valor máximo observado (39,2%) ocurrió en el día 40. La diferencia en el contenido de FDA de los dos cultivares evaluados se mantuvo alrededor de 5,5 unidades porcentuales entre los cortes realizados a 20 y 30 cm de altura, y disminuyó en 3,8 unidades en el corte realizado en el día 40.

Contenido de fibra insoluble en detergente ácido (%FDA) de los cultivares del pasto Guinea (Megathyrsus maximus (Jaqc.)), Tanzania y Mombasa, sometidos a diferentes frecuencias y alturas de corte. Efectos: cultivar-C (p<0,01); frecuencia de corte-F (p=0,301); altura de corte-A (p=0,080); CxF (p=0,942); CxA (p=0,691); FxA (p=0,295) y CxFxA (p=0,489). Contrastes: [Frecuencia de corte: Lineal (p=0,576); Cuadrático (p=0,861)]; [Altura de corte: Lineal (p=0,040); Cuadrático (p=0,350)]. Medias seguidas de letras diferentes difieren según la prueba de Tukey (α=0,05). Error estándar de la media: 0,497.
Figura 5
Contenido de fibra insoluble en detergente ácido (%FDA) de los cultivares del pasto Guinea (Megathyrsus maximus (Jaqc.)), Tanzania y Mombasa, sometidos a diferentes frecuencias y alturas de corte. Efectos: cultivar-C (p<0,01); frecuencia de corte-F (p=0,301); altura de corte-A (p=0,080); CxF (p=0,942); CxA (p=0,691); FxA (p=0,295) y CxFxA (p=0,489). Contrastes: [Frecuencia de corte: Lineal (p=0,576); Cuadrático (p=0,861)]; [Altura de corte: Lineal (p=0,040); Cuadrático (p=0,350)]. Medias seguidas de letras diferentes difieren según la prueba de Tukey (α=0,05). Error estándar de la media: 0,497.

El cultivar Tanzania presentó un contenido de hemicelulosa superior (p>0,05) a Mombasa con valores medios de 33,6 y 31,87%, respectivamente, sin interacción (p>0,05) entre los factores estudiados. La frecuencia de corte afectó linealmente el contenido hemicelulosa (Figura 6a), mientras que no se evidenció efecto de la altura de corte sobre esta variable.

Contenido de hemicelulosa (%HEM) de los cultivares del pasto Guinea (Megathyrsus maximus (Jaqc.)), Tanzania y Mombasa, sometidos a diferentes frecuencias y alturas de corte. Efectos: cultivar-C (p=0,045); frecuencia de corte-F (p=0,016); altura de corte-A (p=0,301); CxF (p=0,238); CxA (p=0,075); FxA (p=0,559) y CxFxA (p=0,149). Contrastes: [Frecuencia de corte: Lineal (p<0,01); Cuadrático (p=0,565)]; [Altura de corte: Lineal (P=0.474); Cuadrático (P=0.746)]. Medias seguidas de letras diferentes difieren según la prueba de Tukey (α=0,05). Error estándar de la media: 0,431.
Figura 6
Contenido de hemicelulosa (%HEM) de los cultivares del pasto Guinea (Megathyrsus maximus (Jaqc.)), Tanzania y Mombasa, sometidos a diferentes frecuencias y alturas de corte. Efectos: cultivar-C (p=0,045); frecuencia de corte-F (p=0,016); altura de corte-A (p=0,301); CxF (p=0,238); CxA (p=0,075); FxA (p=0,559) y CxFxA (p=0,149). Contrastes: [Frecuencia de corte: Lineal (p<0,01); Cuadrático (p=0,565)]; [Altura de corte: Lineal (P=0.474); Cuadrático (P=0.746)]. Medias seguidas de letras diferentes difieren según la prueba de Tukey (α=0,05). Error estándar de la media: 0,431.

Los valores medios de EE para los cultivares Tanzania y Mombasa fueron de 1,86 y 1,82%, respectivamente, sin diferencias (p>0,05) entre los mismos. Igualmente, no se observaron efectos (p>0,05) de los demás factores estudiados ni de sus interacciones sobre el contenido de EE (Figuras 7a, 7b).

Contenido de extracto etéreo (%EE) de los cultivares del pasto Guinea [Megathyrsus maximus (Jaqc.)), Tanzania y Mombasa, sometidos a diferentes frecuencias y alturas de corte. Efectos: cultivar-C (p=0,790); frecuencia de corte-F (p=0,926); altura de corte-A (p=0,685): CxF (p=0,450); CxA (p=0,891); FxA (p=0,958) y CxFxA (p=0,911). Contrastes: [Frecuencia de corte: Lineal (p=0,698); Cuadrático (p=0,991)]; [Altura de corte: Lineal (p=0,472); Cuadrático (p=0,631)]. Medias seguidas de letras diferentes difieren según la prueba de Tukey (α=0,05). Error estándar de la media: 0,073.
Figura 7
Contenido de extracto etéreo (%EE) de los cultivares del pasto Guinea [Megathyrsus maximus (Jaqc.)), Tanzania y Mombasa, sometidos a diferentes frecuencias y alturas de corte. Efectos: cultivar-C (p=0,790); frecuencia de corte-F (p=0,926); altura de corte-A (p=0,685): CxF (p=0,450); CxA (p=0,891); FxA (p=0,958) y CxFxA (p=0,911). Contrastes: [Frecuencia de corte: Lineal (p=0,698); Cuadrático (p=0,991)]; [Altura de corte: Lineal (p=0,472); Cuadrático (p=0,631)]. Medias seguidas de letras diferentes difieren según la prueba de Tukey (α=0,05). Error estándar de la media: 0,073.

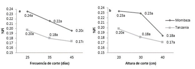
En relación a la concentración de P, el cultivar Mombasa tendió (p=0,057) a presentar valores superiores con respecto a Tanzania, con valores medios de 0,21 y 0,18%, respectivamente. No se observó efecto (p>0,05) de los factores frecuencia y altura de corte, ni de las interacciones entre los factores en estudio (Figura 8).

Contenido de fósforo inorgánico (%Pi) de los cultivares del pasto Guinea (Megathyrsus maximus (Jaqc.)), Tanzania y Mombasa, sometidos a diferentes frecuencias y alturas de corte. Efectos: cultivar-C (p=0,057); frecuencia de corte-F (p=0,296); altura de corte-A (p=0,165); CxF (p=0,908); CxA (p=0,686); FxA (p=0,936) y CxFxA (p=0,912). Contrastes: [Frecuencia de corte: Lineal (p=0,123); Cuadrático (p=0,886)]; [Altura de corte: Lineal (p=0,067); Cuadrático (p=0,634)]. Medias seguidas de letras diferentes difieren según la prueba de Tukey (α=0,05). Error estándar de la media: 0,008.
Figura 8
Contenido de fósforo inorgánico (%Pi) de los cultivares del pasto Guinea (Megathyrsus maximus (Jaqc.)), Tanzania y Mombasa, sometidos a diferentes frecuencias y alturas de corte. Efectos: cultivar-C (p=0,057); frecuencia de corte-F (p=0,296); altura de corte-A (p=0,165); CxF (p=0,908); CxA (p=0,686); FxA (p=0,936) y CxFxA (p=0,912). Contrastes: [Frecuencia de corte: Lineal (p=0,123); Cuadrático (p=0,886)]; [Altura de corte: Lineal (p=0,067); Cuadrático (p=0,634)]. Medias seguidas de letras diferentes difieren según la prueba de Tukey (α=0,05). Error estándar de la media: 0,008.

Discusión

El efecto cuadrático de la frecuencia de corte sobre la concentración de MS difiere con lo observado por Valente et al.22 y Costa y Paulino 6, que proponen que la fracción seca de un pasto aumenta conforme aumenta la edad del mismo. Sin embargo, Beltrán et al.1 observaron una disminución de la tasa de crecimiento con el incremento en la frecuencia de corte, lo que afectó el contenido de MS a causa del incremento gradual de la senescencia y reducción de la tasa fotosintética neta por unidad de superficie, atribuibles al sombreado que ejercen las hojas de los estratos superiores, lo que podría explicar los hallazgos del presente estudio.

El efecto lineal de la altura de corte sobre el contenido de MS coincide con las observaciones de Yrausquín et al.28, quienes afirmaron que la disminución de la altura de corte ejerce un efecto negativo sobre la distribución meristemática, causal de una disminución en la capacidad fotosintética de la planta, dependiendo este proceso de la activación de las yemas axilares y de la producción de nuevos rebrotes, los cuales tienen un efecto sobre la producción y calidad nutricional del cultivar.

En relación a la concentración de PB se encontró interacción entre los factores cultivar y frecuencia, explicada principalmente por el descenso más acentuado (48%) del contenido de PB en el pasto Mombasa en función de la frecuencia de corte, mientras que el cultivar Tanzania tuvo un incremento gradual (11%) entre los 25 y 45 días (Figura 2b). Una posible explicación a este hallazgo es la mayor intensidad con que se acumulan, en el tiempo, componentes fibrosos en el cultivar Mombasa, como se explicará más adelante, lo que a su vez disminuye la proporción de nutrientes potencialmente digestibles 24 Aunque se evidenció un efecto cuadrático de la frecuencia de corte sobre la concentración de PB en los cultivares evaluados, para aplicaciones prácticas se deben tener en cuenta las tendencias individuales de cada cultivar en el tiempo, debido al comportamiento diferenciado de cada uno (Figura 1a), como recomendado para el efecto de la altura. Aspectos inherentes a la morfología de estos cultivares y a las características del residuo podrían estar explicando las diferencias.

Machado et al.14 evaluaron la calidad de varios cultivares y accesiones del género Megathyrsus maximus en Maringá (Paraná, Brasil), entre ellos Tanzania y Mombasa, cortados a 20 y 40 cm de altura y observaron medias de 12 y 12,3% (20 y 40 cm, respectivamente) para Tanzania y 13 y 13,5%, respectivamente, para Mombasa. Los valores superiores, para ambos cultivares se observaron a los 40 cm de altura, como se observó en este estudio para Mombasa, pero diferente a lo observado para Tanzania. Por otro lado, los valores medios de PB observados en el estudio de Machado et ai.14 superan a los observados en el presente estudio, principalmente en el caso de Mombasa.

Hare et al.11 evaluaron la calidad nutricional de los cultivares Tanzania y Mombasa en función de la frecuencia de corte (30 a 90 días), del año y de la parte de la planta (tallos-hojas), en una localidad de Tailandia. Tanto para tallos como para hojas los valores más altos de PB se observaron en el pasto Tanzania (entre 7,2 y 10,9% para hojas) para las frecuencias de cosecha comprendida entre los 30 y 90 días. Para esas mismas frecuencias, los valores de PB en hojas de Mombasa oscilaron entre 5,6 y 9,3%. Los anteriores valores están más cercanos a los observados en este estudio. Factores propios de cada local pueden afectar la calidad nutricional de estos cultivares, por lo que ese tipo de evaluación local debe ser realizado antes de pasar a su uso como material forrajero.

Un aspecto importante a mencionar es que los valores de PB de ambos cultivares, en la localidad en que se desarrolló el estudio, superan las medias que se observan para Bothriochloa pertusa, que es la gramínea predominante en la zona. Patiño et al.16 observaron valores entre 4,7 y 7,1% para esta gramínea en una zona próxima a la del estudio. Este aspecto podría ser uno de los puntos a tener en cuenta al momento de utilizar los cultivares Tanzania o Mombasa, aunado al potencial de producción de biomasa de estas gramíneas.

En cuanto a los contenidos de ceniza, el descenso observado, en función del incremento en la altura de corte, fue también documentado por Verdecía et al.25, quienes explicaron que la ceniza tiende a decaer con el aumento de la edad, esto debido a que las plantas requieren diferentes cuantías de minerales dependiendo de su estado fenológico.

Para Mombasa, el incremento en la fracción FDN fue más notorio (+5%) al pasar de los 35 a los 45 días, en comparación a Tanzania (+0,8%). Autores como Valente et al.2, Verdecia et al.25 y Velásquez et al.24 concuerdan con lo observado en relación al comportamiento de la fracción FDN en función de la edad o periodo de descanso. En el estudio realizado por Hare et al. (2015), la concentración de FDN en tallos no presentó diferencias notorias entre Tanzania y Mombasa, sin embargo, las proporciones de FDN observadas por los autores, para tallos (67,3 a 69,9%) y hojas (62,2 a 64,2%), fueron menores a las observadas en el presente estudio, en donde los valores medios oscilaron entre 72,6 a 78% para Mombasa y de 70,1 a 72,3% para Tanzania (Figura 4a). En este caso, el cultivar Mombasa sería el que se alejaría más, en comparación a esos valores, indicando que cada cultivar debe ser manejado de forma diferente, para conservar la calidad en rangos aceptables y no deprimir el consumo de forma acentuada.

La fracción FDA presentó valores superiores en el cultivar Mombasa, sin efecto de la frecuencia de corte y con efecto lineal de la altura de corte, de manera más notoria para Tanzania. En este sentido, Santos et al.18 concluyeron que las plantas cortadas más alto presentan menor cantidad de hojas, por lo tanto los tallos crecerán más rígidos y lignificados para sustento de la parte aérea. Este hecho se puede evidenciar en los resultados de este estudio, en donde los valores más elevados de FDA se concentran a partir de los 30 cm de altura. Cecato et al.5 encontraron menor (p<0,05) producción de hojas en el cultivar Tanzania cuando compararon las alturas de corte 20 y 40 cm, sin embargo no encontraron diferencias para el cultivar Mombasa. Según Cano et al.3, quienes evaluaron el cultivar Tanzania, el porcentaje de material muerto también aumenta en función del incremento en la altura de corte, factor que puede explicar también los hallazgos del presente estudio. En cuanto a los valores de FDA, Machado et al.14 observaron, para Tanzania, porcentajes de 43,3 y 42,2% para las alturas de corte de 20 y 40 cm, mientras que en Mombasa los valores fueron de 44 y 42,9% respectivamente, para las alturas mencionadas. Según estos resultados, los valores para Tanzania superaron los observados en el presente estudio, mientras los de Mombasa presentaron semejanzas entre ellos.

Otro hallazgo diferencial se nota en el caso Tanzania, ya que en el presente estudio se observó un incremento lineal en función de la altura de corte, indicando el posible efecto de otros factores que definen el crecimiento y composición química de los forrajes. Hare et al.11, en Tailandia, evaluaron frecuencias de corte (30, 45 y 60 días) en los cultivares Tanzania y Mombasa. En ese estudio los valores de FDA, en los cultivares Tanzania y Mombasa estuvieron entre 36-38%, a diferencia del presente estudio en el caso de Mombasa, la cual presentó valores entre 42,7 y 43,7%, superiores en más de 5%, lo cual confirma la variabilidad entre diferentes condiciones ambientales y de manejo, como comprobado por Verdecia et al.26

El contenido de hemicelulosa, que fue superior en el cultivar Tanzania, varió linealmente en función de la frecuencia de corte, lo que se explica por el incremento en los constituyentes fibrosos durante el periodo de madurez de la planta, como lo indican Velásquez et al.24 y Valente et al.22, sin embargo, la diferencia se asocia más a lo ocurrido con el componente FDN, ya que el efecto de la frecuencia de corte sobre la proporción de FDA no se observó.

Los valores observados para la concentración de EE superan a los encontrados por Fortes et al.10 que evaluaron varios cultivares de forrajeras durante la época seca en Cuba, entre ellas Tanzania y Mombasa. En ese estudio las concentraciones oscilaron entre 0,26 y 1,72%, con los valores más bajos a nivel de los tallos. Existen variaciones en las concentraciones de EE entre estudios, por ejemplo, Van Man & Wiktorsson 23 evaluaron varias frecuencias de corte (entre 4 y 10 semanas), y hallaron concentraciones entre 2,3 y 4%, sin efecto de la frecuencia de corte.

Los valores referentes a la concentración de P observados en este estudio (0,18 -0. 21.) son cercanos a los mínimos encontrados por Sousa et al. (2010), de 0,22%, con niveles altos de aplicación de N. Dias et al.9 evaluaron la concentración de P en el cultivar Tanzania en función de la fertilización con P, y observaron valores entre 0,24 y 0,34%, en el estado de Paraná en Brasil, los cuales son superiores a los observados en este estudio. Homen et al.13 evaluaron la composición nutricional del pasto Guinea en función de la edad en las diferentes épocas del año, y aunque, no encontraron diferencias significativas (P>0,05) entre edades, en relación a la concentración de P, si notaron una tendencia de disminución con el incremento en la edad de la planta. Los autores encontraron valores medios de 0,17 y 0,33% para las épocas seca y de lluvias. Por tanto, los niveles observados en el presente estudio se pueden considerar como medios y bajos, principalmente por lo observado en el cultivar Tanzania, en el cual los valores máximos fueron de 0,2% (Figura 8). Las variaciones entre resultados se pueden deber a otros factores, como la concentración de P y N del suelo, y a factores de tipo climático 20

Conclusiones

Se concluye que bajo las condiciones del local de estudio, la composición nutricional de los pastos evaluados varía en función del cultivar y del manejo dado, principalmente en función de la variación en la frecuencia de corte. En términos de calidad nutricional, el cultivar Tanzania presentó ventajas comparativas sobre Mombasa, explicado por la menor concentración de componentes fibrosos y el mayor contenido proteico en la materia seca, la cual también fue superior en Tanzania. Por tal motivo, bajo las condiciones del estudio, se podría esperar un mayor consumo de MS al utilizar el cultivar Tanzania, lo que sería una ventaja comparativa muy importante en términos de productividad ganadera.

Referencias

1. Beltrán SI, Hernández AG, García EM, Pérez PJ, Kohashi JS, et al. Efecto de la altura y frecuencia de corte en el crecimiento y rendimiento del pasto Buffel (Cenchrus ciliaris) en un invernadero. Agrociencia 2005; 39(2): 137-147.

2. Campos FP, Nussio CM, Nussio LG. Métodos de análise de alimentos. Piracicaba: FEALQ: 2004.

3. Cano C, Perissato C, Cecato U, Canto MW, Rodrigues AB, et al. Produção de forragem do capim-Tanzânia (Panicum maximum Jacq. cv. Tanzânia-1) pastejado em diferentes alturas. R Bras Zootec 2004; 33 (Suppl. 2): 1949-1958.

4. Carnevalli RA. Dinâmica da rebrotação de pastos de capim Mombasa submetidos a regimes de desfolhação intermitente. Tese doutorado, Escola Superior de Agricultura "Luiz de Queiroz", Universidade de São Paulo, São Paulo, 2003. 136p.

5. Cecato U, Machado AO, Martins EM, Pereira LA, Barbosa MA, et al. Avaliação da produção e de algumas características da rebrota de cultivares e acessos de Panicum maximum Jacq. sob duas alturas de corte. R Bras Zootec 2000; 29(3): 660-668.

6. Costa N, Paulino TV. Desempenho agronômico de genótipos de Brachiaria humidicola em diferentes idades de corte. Pasturas Trop 1999; 21(2): 68-71.

7. Cunha J, Guerra M, Fernandes dos Santos V, Novaes L, Cipriano dos Santos R, et al. Caracterização estrutural do capim Mombaça sob pastejo intermitente na região do Agreste Potiguar. XXV Congresso Brasileiro de Zootecnia 2015; [acceso: 3 de marzo de 2017]. URL: URL: http://sis.gnius.com.br/uploads/zootec2015/documentos/68fb37e55958d0075b498b06fd6db59b33a15a7b.pdf

8. Di Renzo JA, Casanoves F, Balzarini MG, González L, Tablado M, et al. InfoStat versión 2011e. Universidad Nacional de Córdoba 2011; [acceso: 3 de marzo de 2017]. URL: URL: http://www.infostat.com.ar/index.php?mod=page&id=46

9. Dias FJ, Jobim CC, Cecato U, Branco AF, Santello GA. Composição química do ca-pim-Mombaça (Panicum maximum Jacq. cv. Mombaça) adubado com diferentes fontes de fósforo sob pastejo. Acta Sci Anim Sci 2007; 29(1): 9-16.

10. Fortes D, Valenciaga D, García CR, García M, Cruz AM, et al. Evaluation of three varieties of Megathyrsus maximus in the dry period. Cub J Agric Sc 2016; 50(1): 131-137.

11. Hare MD, Phengphet S, Songsiri T, Sutin N. Effect of nitrogen on yield and quality of Megathysus maximus cvv. Mombasa and Tanzania in Northeast Thailand. Trop Grasslands 2015; 3: 27-33.

12. Holdridge LR. Determination of world plant formations from simple climatic data. Science 1967; 105(2727): 367-368.

13. Homen M, Entrena I, Arriojas L, Ramia M. Biomasa y valor nutritivo del pasto Guinea Megathyrsus maximus (Jacq.) B. K. Simon & S. W. L. Jacobs. 'Gamelote' en diferentes períodos del año en la zona de bosque húmedo tropical, Barlovento, estado Miranda. Zootecnia Trop 2010; 28(2): 255-265.

14. Machado AO, Cecato U, Mira RT, Pereira LAF, Damasceno, J. Avaliação da composição química e digestibilidade in vitro da matéria seca de cultivares e acessos de Panicum maximum Jacq. sob duas alturas de corte. R Bras Zootec 1998; 27(5): 1057-1 063.

15. Patiño RM, Prieto E, Montes D, Meza O, Sierra A. Evaluación de estrategias de manejo alimenticio de terneros del sistema Doble Propósito en la región Sabanas del departamento de Sucre, Colombia. LRRD 2012; 24(5).

16. Ramakrishnan P, Babu C, lyanar K. Genetic diversity in Guinea Grass (Megathyrsus maximus, Jacq.) for fodder yield and quality using morphological markers. Int J Plant Biol Res 2014; 2(1): 1006.

17. Rodrigues L, Meirelles PRL, Gonçalves HC, Martins MF, Marques RO, et al. Disponibilidade e composição química do capim-Tanzânia pastejado por caprinos. Vet e Zoot 2010; 17(4): 585-595.

18. Santos EA, Silva DS, Filho JL. Composição química do capim-elefante cv. Roxo cortado em diferentes alturas. R Bras Zootec 2001; 30(1): 18-23.

19. Sarruge J, Haag H. Análises químicas em plantas. Piracicaba: ESALQ/USP; 1974.

20. Skerman PJ, Riveros F. Tropical Grasses. FAO Plant Production and Protection Series. No. 23. Rome: FAO, 1990.

21. Souza MWM. 2013. Intervalo de corte em cultivares de Megathyrsus maximus, Jacq. Tesis mestrado, UFV. 56p.

22. Valente BSM, Cândido MJD, Cutrim JAA, Pereira ES, Bonfim MAD, et al. Composição químico bromatológica, digestibilidade e degradação in situ da dieta de ovinos em capimtanzânia sob três frequências de desfolhação. R Bras Zootec 2010; 39(1): 113-120.

23. Van Man N, Wiktorsson H. Forage yield, nutritive value, feed intake and digestibility of three grass species as affected by harvest frequency. Trop Grasslands 2003; 37: 101-110.

24. Velásquez P, Barchielli T, Reis R, Rivera A, Dian P, Texeira I. Composição química, fracionamento de carboidratos e proteínas e digestibilidade in vitro de forrageiras tropicais em diferentes idades de corte. R Bras Zootec 2010; 39(6): 1206-1213.

25. Verdecia D, Ramirez J, Leonard I, Pascual Y, López Y. Rendimiento y componentes del valor nutritivo del Panicum maximum cv. Tanzania. Rev Electron Vet 2008; 9(5): 1-9.

26. Verdecia DM, Herrera RS, Ramírez JL, Leonard I, Bodas R, et al. Nutritive assessment of Panicum maximum cv. Mombasa in the climatic conditions of the Cauto Valley, Cuba. Cub J Agric Sci 2012; 46(1): 97-101.

27. Verdecia DM, Ramírez JL, Leonard I, García F. Potencialidades agroproductivas de dos cultivares de Megathyrsus maximus (c.v Mombasa y Uganda) en la provincia Granma. Rev Electron Vet 2009; 10:5

28. Yrausquin X, Páez A, Villasmil J, Urdaneta, M. Comportamiento fisiológico del pasto guinea (Panicum máximum, Jacq.) sometido a diferentes frecuencias y alturas de corte. I. Distribución de biomasa y análisis de crecimiento. Rev Fac Agron LUZ 1995; 12(3): 313-323.

Notas

Forma de citar: Patiño Pardo RM, Gómez Salcedo R, Navarro Mejía OA. Calidad nutricional de Mombasa y Tanzania (Megathyrsus maximus, Jacq.) manejados a diferentes frecuencias y alturas de corte en Sucre, Colombia. Rev. CES Med. Zootec. 2018; Vol 13 (1): 17-30.

Notas de autor

* Autor para correspondencia: René Mauricio Patiño Pardo.

HTML generado a partir de XML-JATS4R por