Artículos
Evaluation of the toxicity of three plant extracts against the Khapra beetle Trogoderma granarium Everts (Coleoptera: Dermestidae) under laboratory conditions
Evaluación de la toxicidad de tres extractos de plantas contra el escarabajo Khapra Trogoderma granarium Everts (Coleoptera: Dermestidae) en condiciones de laboratorio
Evaluation of the toxicity of three plant extracts against the Khapra beetle Trogoderma granarium Everts (Coleoptera: Dermestidae) under laboratory conditions
Revista de la Sociedad Entomológica Argentina, vol. 79, no. 1, 2020
Sociedad Entomológica Argentina
Received: 29 August 2019
Accepted: 23 January 2020
Published: 26 March 2020
Abstract: This study was conducted to evaluate the toxicity of aqueous, ethanolic and acetonic extracts of Lantana camara L. (Verbenaceae), Ruta chalepensis L. (Rutaceae) and Rhazya stricta Decne (Apocynaceae), against larvae of Khapra beetle, Trogoderma granarium Everts (Coleoptera: Dermestidae), feeding on wheat seeds after 2, 4, and 6 days (d). These plants commonly grow in arid and semi-arid conditions and may provide novel natural insecticides against larvae of T. granarium. Results showed that the plant extracts demonstrated varying levels of toxicities, with the acetonic extracts providing the greatest efficacy. The acetonic extract of L. camara demonstrated a higher toxicity effect, with LC50 of 330.6 ppm (after 2-d) and 110 ppm (6-d), compared to 467 ppm (2-d) and 251 ppm (6-d) for R. stricta; and 576 ppm (2-d) and 317 ppm (6-d) for R. chalepensis. Overall, toxicity of acetonic extracts was about 1.3 fold greater compared with that of aqueous or ethanolic extracts throughout the range of concentrations tested (50-400 ppm). The acetonic extracts required six days to achieve ≥ 80% mortality of larvae. In conclusion, this study suggests that the acetonic extract of L. camara, R. chalepensis and R. stricta could be used as a sustainable method for controlling Khapra beetle, pest of stored grains.
Keywords: Bioassay, Biopesticide, Lantana camara, Ruta chalepensis.
Resumen: Este estudio se realizó para evaluar la toxicidad de extractos acuosos, etanólicos y acetónicos de Lantana camara L. (Verbenaceae), Ruta chalepensis L. (Rutaceae) y Rhazya stricta Decne (Apocynaceae), contra larvas del escarabajo Khapra, Trogoderma granarium Everts (Coleoptera: Dermestidae), alimentándose de semillas de trigo después de 2, 4 y 6 días (d). Estas plantas comúnmente crecen en condiciones áridas y semiáridas y pueden proporcionar nuevos insecticidas naturales contra las larvas de T. granarium. Según los resultados, los extractos de plantas mostraron niveles variables de toxicidad, y los extractos acetónicos proporcionaron la mayor eficacia. El extracto acetónico de L. camara mostró un mayor efecto de toxicidad, con LC50 de 330.6 ppm (después de 2-d) y 110 ppm (6-d), en comparación con 467 ppm (2-d) y 251 ppm (6-d) utilizando R. stricta; y 576 ppm (2-d) y 317 ppm (6-d) con R. chalepensis. En general, la toxicidad de los extractos acetónicos fue aproximadamente 1,3 veces mayor en comparación con la de extractos acuosos o etanólicos en todo el rango de concentraciones probadas (50-400 ppm). Los extractos acetónicos requirieron seis días para lograr ≥ 80% de mortalidad de larvas. En conclusión, este estudio sugiere que el extracto acetónico de L. camara, R. chalepensis y R. stricta podría usarse como un método sostenible para controlar el escarabajo Khapra, plaga de granos almacenados.
Palabras clave: Bioensayo, Biopesticida, Lantana camara, Rhazya stricta, Ruta chalepensis.
INTRODUCTION
Khapra beetle, Trogoderma granarium Everts (Coleoptera: Dermestidae), is one of the most destructive pests of stored grain products (Dwivedi & Shekhawat, 2004; Omar et al., 2012). It can cause the direct loss of stored grains by feeding as well as allowing colonization of damaged grains by secondary pests including other insects and fungi, further deteriorating grain quality (Banks, 1977). Management of this pest is difficult because its larvae feed inside the grains, reducing their exposure to direct insecticidal treatments (Omar et al., 2012). Nevertheless, the protection of stored grains from insect damage currently relies on applying synthetic pesticides, such as fumigation with phosphine or methyl bromide, or dust compounds (Tsumura et al., 1994; Price & Mills, 1998). The widespread use of synthetic pesticides against such pests that attack stored grains have led to the development of insecticide resistance (White, 1995), increased costs and hazards of control and handling, and increased insecticide residues on grains, which can pose risks to human health (Fishwick, 1988). There is a growing awareness of these risks, which has led to the search for safer new methods to control pests of stored-products (Silver, 1994; Mohammed et al., 2019). One such alternative is the use of natural plant products that have insecticidal activity. Natural plant products tend to have low mammalian toxicity, little environmental effect and a wide public acceptance (Odeyemi et al., 2008; Mahmoud et al., 2015; Khalique et al., 2018).
Several plant extracts have been shown to be effective against stored- product insects (Omar et al., 2012). Lantana camara L. (Verbenaceae) grows widely throughout the tropical, sub-tropical and temperate parts of the world (Pung & Srimongkolchai, 2011). Several studies showed that leaves of L. camara are a source of insecticidal compounds (Ogendo et al., 2003; Dua et al., 2010), and preliminary studies indicated that the leaves of L. camara possess a rich variety of bioactive molecules such as flavonoids, alkaloids, polyphenols and tannins (Sharma et al., 1988; Iqbal et al., 2006), and show promise as a source for new bio-pesticides (Rajashekar et al., 2014). Extracts from seeds and leaves of Rhazya stricta Decne (Apocynacea) were found to inhibit feeding, metamorphosis, fecundity and oviposition, and cause diverse behavioral and physiological disorders for many insects (Ascher, 1993; Chen et al., 1996). The herbaceous plants R. strica and Ruta chalepensis L. (Rutacae) are widely distributed in the semi-arid and tropical areas, including Saudi Arabia (Migahid, 1978). These plants are known to possess insecticidal activity (Elhag et al., 1996), mammalian toxicity (Adam, 1998), and traditional medicinal value (Al-Yahia et al., 1990). The herbaceous plant R. stricta has rich different types of alkaloids (Ahmad et al., 1983), among which many indole alkaloids have cytototoxic activities (Kamil et al., 2000). Abdellaoui et al. (2016) reported that methanolic extract of R. chalepensis has a negative effect on feeding and reproductive activities of Locusta migratoria L. (Orthoptera: Acrididae). Mejri et al. (2013) showed that this plant had bioactive compounds such as alkaloids, flavonoids, coumarins, tannins, volatile oil, glycosides and terpenes.
Searching for potential bio-pesticides extracted from widely distributed plants adapted to arid and semi-arid conditions against the most destructive pests of stored grain products is the current focus of our research. This study evaluates the insecticidal activity of the extracts of (L. camara, R. stricta and R. chalepensis) against Khapra beetle larvae.
MATERIAL AND METHODS
Insect Culture
Khapra beetle adult individuals were collected from wheat flours sold in local grain stores in Jeddah, Saudi Arabia, and identified to species level using identification keys (Beal, 1954, 2003; Halstead, 1986). Laboratory colonies were established and maintained on a wheat flour in glass jars at 25 ± 2 °C and 65 ± 5% (RH). Each colony was initiated with 80 pairs of adult beetles. These jars were covered with muslin cloth and rubber bands.
Plant Collection, Identification and Extraction
Aerial parts of L. camara, R. stricta and R. chalepisis were collected from different areas around Riyadh, Saudi Arabia, including Al-Duwadimi, Al-Aflaj and Shagra. These plants were grown without any treatment of pesticides. The collected plants were identified by the specialist staff in the Department of Arid Land Agriculture, Faculty of Meteorology, Environment and Arid Land Agriculture, King Abdulaziz University. The collected plants were washed with fresh water and air-dried in a dark laboratory for three weeks, then, ground to a fine powder with electric blender. A 50 g sample of ground powder from each plant species was suspended in 100 ml of distilled water, ethanol or acetone (99.99%) in a conical flask. Flasks were kept at room temperature for 10 days and covered with aluminum foil. The mixtures were shaken vigorously at 12-hour intervals to ensure proper soaking of the plant products. After ten days, each extract was filtered before drying by evaporation. The residue was weighted and re-dissolved in the 100 ml of corresponding appropriate solvent (water, ethanol and acetone) again for ten days. The resulting mixture was filtered through a double layer of filter paper (Whatman No. 1, GE healthcare UK Limited Buckinghamshire, UK) and the resulting liquid was evaporated using a rotary evaporator at 30 - 40 °C and 3 - 6 rpm for 8 h. The resulting materials were air dried to remove remaining solvents. Stock solutions of plant material extracts were prepared by re-dissolving the extract solids in warm distilled water (0.5 g/500 ml). Experimental solutions with differing concentration of 50, 100, 200 and 400 ppm were prepared from stock solutions.
Bioassay treatments
Uninfested wheat seeds (15 g) were obtained from the Agronomy Laboratory in the Arid Land Agriculture Department, King Abdulaziz University, Jeddah, Saudi Arabia and submerged for 1 min in 10 ml of each of the four concentrations of each extract. Seeds were then placed on filter papers in Petri dishes and left to dry before use. Control treatments were prepared by submerging wheat seeds into distilled water. Groups of 30 third-instar larvae were collected from the laboratory colony. Each cohort was introduced to one of the treated groups of seeds under laboratory conditions. The experiment was conducted in the Plant Protection Laboratory at 25 ± 2 °C and 65 ± 5% (RH) in the Arid Land Agriculture Department. The experiment was of a factorial design with three replicates for each concentration of each plant material extract. Larval mortalities were determined at 2, 4 and 6 days (d) after exposure.
Data analyses
The percentages of Khapra beetles’ larvae mortalities were calculated by the following formula:
Mortality % = (number of dead larvae / number of introduced larvae) × 100
The calculated percentages of larvae were subjected to the repeated measures ANOVA within a SPSS version 2.0 (IBM Corporation, 2011). Prior to performing the repeated measures ANOVA on the response variable (larval mortality percentage), the arcsine (x /100) was applied to transform all calculated percentages to meet the assumptions of normality and homogeneity of variance. After this, repeated measures ANOVA were performed to assess the effect of the following factors: time (repeated factor), concentration of solvents, plant type, and all interactions on larval mortality. Significance of multi-factor interactions on mortality outputs was tested using Wilks’ lambda (λ) test statistics. If a repeated measure ANOVA is used, the sphericity of the variance-covariance matrix should be starting by Mauchly’s W statistic test. If the assumption of sphericity of the data was not violated, the effect of the repeated measures factor (time) was tested using the F value generated by Sphericity Assumed. However, the figure in this study illustrates untransformed means and standard errors to simplify interpretation and is considered significantly different at P ≤ 0.05. Where significant treatment effects were found, the Fisher’s Least Significant Difference (LSD) tests were performed to identify differences in treatment means.
To calculate the lethal concentration demanded to cause 50% mortalities (LC50) of larvae, Maximum Likelihood Procedures and Probit analysis (Finney, 1971) were applied by using GW-Basic Software (GW Basic, 1985). Significant differences among LC50 estimates were indicated by failure of 95% CI to overlap.
RESULTS AND DISCUSSION
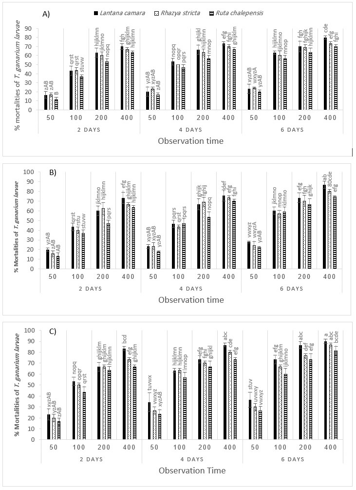
All tested plant extracts were toxic to Khapra beetle larvae in a dose-dependent manner, although the extracts of R. chalepensis and R. stricta, were slow to take effect and their efficacies varied (Table I; Fig. 1). Extract of L. camara was the most effective, where the ethanolic and acetonic extracts caused mortality rates of 73.3 and 83% at 400 ppm after 2 d, respectively, and 86.7 and 90% mortalities after 6 d, respectively (Fig. 1). ANOVA test showed higher significant differences among the three investigated plants (Table I) in which the highest percentage mortalities of larvae were caused by extracts of L. camara followed by those of R. stricta and R. chalepensis (Fig. 1). The effectiveness of L. camara extract seen in this study may be explained by the presence of a bio-pesticide in this plant. This is consistent with the study of Mvumi & Maunga (2018) who indicated that leaves of Lantana have some toxic properties and may be a potential source of biopesticide for use in pest control strategies against aphids with economic and environmental benefits. In addition, there were significant differences among the concentrations of solvents on the percentage mortalities of Khapra beetles larvae (Table I) showing the acetonic extract was the best solvent to produce toxic compounds compared with other solvents (Fig. 1). Remarkably, ANOVA test indicated that the larval mortality depended on the exposure of time, due to significant differences between investigated times on the percentage mortalities (Table I; Fig. 1). The ANOVA test showed a highly significant effect of the interaction between the concentrations of solvents and the exposure times on the mortality percentages (Table I; Fig. 1). However, there were no significant differences when the concentrations of solvents interacted with the used plants (Table I). Mortality percentages were significantly affected by the interaction between plants, the time of exposure, and the solvent concentrations (Table I; Fig. 1).

Means with the same letter have not significant differences (t > 0.05), according to LSD test.

The acetonic extracts of the three plant extracts were generally more toxic than either the aqueous or ethanolic extracts. However, LC50 values showed that the acetonic extract from L. camara was more toxic than other plant extracts in which the acetonic extract solvent had lowest LC50 values that were calculated as 330 ppm after 2 d and 110.6 ppm after 6 d (Table II).
The ethanolic and aqueous extracts of L. camara had LC50 values of 410.1 ppm, 180.6; and 434.4 ppm, 202.3 ppm after 2 d and 6 d, respectively (Table II). Interestingly, the acetonic/ethanolic or acetonic/aqueous LC50 ratios for all materials at all levels were consistently 0.6-0.7 and 0.6-0.8, respectively, indicating that the acetonic extracts were mostly 1.3 fold more toxic than either the ethanolic or aqueous extracts (Table III). Mostafa et al. (2012) studied the effect of some plant extracts from Tamarindus indica L. (Leguminosea: Caesalpinioideae), Azadirachta indica A. Juss (Meliaceae: Sapindales), Cucumis sativus L. (Cucurbitaceae: Cucurbitales), Eucalyptus spp. (Myrtaceae: Myrtales), Switenia mahagoni (L.) Jacq (Meliaceae: Sapindales) and Psidium guajava L. (Myrtaceae: Myrtales) leaves against Tribolium castaneum Herbst (Coleoptera: Tenebrionidae). They concluded that the presence of different classes of bioactive compounds such as steroids, phenolic compounds and tannins in different plants extracts used in their study could be responsible for the toxicity against T. castaneum.
This study did not determine the mode of action of the tested plant extracts. Several studies documented that extracts of L. camara have antifeeding repellant and toxic effect against termites and stored product insects (Yuan & Hu, 2012; Rajasheker et al., 2014). Treating insect with R. stricta extract can cripple insect feeding by making the treated food unpalatable; and consequently, insect growth, survival and reproduction are adversely affected (Saxena, 1987). The mortality due to the R. stricta extract observed in our study could be a consequence of starvation, due to its antifeeding effect, rather than a toxic effect. Alqurashi & Bakhashwain (2010) reported that R. stricta is toxic to the saw-toothed grain beetle Oryzaephilus surinamensis (L.) (Coleoptera: Silvanidae) when administered at concentration >400 ppm. Similarly, Viglianco et al. (2008) observed an anti-feeding effect with the chloroform extract of Aloysia polystachia (Griseb) (Verbenaceae) against Sitophilus oryzae (L.) (Coleoptera: Curculionidae). However, the toxic effect of R. stricta has previously been observed on mosquito larvae (Elhag et al., 1996), Agrotis ipsilon Hufn. (Noctuidea: Lepidoptera) and Hypera brunneipennis (Boheman) (Curculionoidea : Coleoptera) (Elhag et al., 1998). Although the toxic mode of action of R. stricta on insects is unknown, it may be attributed to its high content of biologically active alkaloids (Hassan et al., 1997).
Our data shows that Khapra beetles’ larvae were less susceptible to death with R. chalepensis extracts compared to L. camara and R. stricta showing the highest mortality percentages, 70, 73.3 and 81.1% after 6 days at 400 ppm for aqueous, ethanolic and acetonic extracts, respectively. This finding is consistent with the results of Alvi et al. (2018) who showed that increasing concentration of leaf and seed acetonic extracts of R. stricta caused a higher mortality and repellency of Rhyzopertha dominica (Coleoptera: Bostrichidae) and T. granarium under laboratory conditions. Majdoub et al. (2014) found that R. chalepensis essential oil a toxic in high concentration against T. castaneum (LC50 = 176.075 μl/l air).

*Numbers between lower brackets are the slopes of regression ± SE equation of response (y) on log dose (x) lines.

A striking observation on the three plant extracts investigated in the present research was that the length of exposure time of all extracts resulted in increased mortality, indicating that larvae cannot tolerate long exposures to such extracts. Rajapakse (2006) and Ali et al. (2018) were able to obtain a protection against insect pests of stored products by using plant products. They concluded that plant extracts of Neem A. indica are more effective than that of Datura stramonium L. (Solanaceae: Solanales), due to the repellent and toxicant action against T. granarium. The investigated plant extracts in this study could have a practical application in the protection of stored grains against T. granarium, due to the environmental safety, low mammalian toxicity, low costs and easy handling of these plant extracts. In conclusion, this study suggests that there is a potential bio-pesticide in the acetonic extract of L. camara which warrants further investigation and the identification of the active compounds is required.
Acknowledgments
ACKNOWLEDGMENTS
This project was funded by the Deanship of Scientific Research (DSR) at King Abdulaziz University, Jeddah, Saudi Arabia under grant G-414-155-1439. The authors, therefore, acknowledge with thanks DSR for technical and financial support.
LITERATURE CITED
Abdellaoui, K., Miladi, M., Marzouk, I.B., Bahloul, N., Acheuk, F., Chaira, N., & Ben Halima, M.K. (2016) Antifeedant and antigonadotropic effects of Ruta chalepensis methanolic extract against Locusta migratoria. Tunisian Journal of Plant Protection,11, 91-104.
Adam, S.E.I. (1998) Toxicity to sheep of Rhazya stricta. Veterinary Human Toxicology, 40, 68-70.
Ahmad, Y., Fatima, K., LeQuesne, P.W., & Rahman. A. (1983) Further alkaloidal constituents of leaves of Rhazyz stricta. Phytochemistry, 22, 1017-1019.
Ali, A., Asim, M.A., Aslam, A., Sarwar, M.I., Ziaul-Haq, M., Tariq, M., Mushtaq F., & Gulzar, M.U. (2018) Insecticidal potential of aqueous extracts of neem and datura on Khapra beetle, Trogoderma granarium. The International Journal of Global Science, 1, 06-12.
Alqurashi, A.D., & Bakhashwain, A.A. (2010) Insecticidal and repellent effect of some indigenous plant extracts against saw-toothed grain beetle, Oryzaephilus surinamensis (Coleoptera: Sivanidae). Journal of Plant Protection and Pathology, 1(8), 665-672.
Alvi, A.M., Iqbal, N., Bashir, M.A., Rehmani, M.I.A., Ullah, Z., Saeed, O., & Abdul Latif, A. (2018) Efficacy of Rhazya stricta leaf and seed extracts against Rhyzopertha dominica and Trogoderma granarium. Kuwait Journal of Sciences, 45(3), 64-71.
Al-Yahia, M.A.I., Al-Meshal, A., Mossa, J.S., Al-Badr, A.A., & Mohammed, T. (1990) Saudi plants: A photochemical and biological approach. KASCT No.39. King Saud University Press, Riyadh, Saudi Arabia.
Ascher, K.R.S. (1993) Nonconventional insecticidal effects of pesticides available from the neem tree, Azadirachta indica. Insect Biochemistry and Physiology, 22, 433-449.
Banks, H.J. (1977) Distribution and establishment of Trogoderma granarium Everts (Coleoptera: Dermestidae): Climatic and other factors. Journal of Stored Products Research,13, 183-202.
Beal, R.S. (1954) Biology and taxonomy of the Nearctic species of Trogoderma (Coleoptera: Dermestidae). University of California Publications in Entomology, 10(2), 35-102.
Beal, R.S. (2003) Annotated checklist of Nearctic Dermestidae with revised key to the genera. The Coleopterists Bulletin, 57(4), 391- 404.
Chen, C.C., Dong, Y. I., Cheng, L.L., & Hou, R.F. (1996) Deterrent effect of neem seed kernel extracts on oviposition of the Oriental Fruit Fly (Diptera: Tephritidae) in Guava. Journal of Economic Entomology, 89, 462-466.
Dua, V.K., Pandey, A.C., & Dash, A.P. (2010) Adulticidal activity of essential oil of Lantana camara leaves against mosquitoes. Indian Journal of Medical Research, 131, 434–439.
Dwivedi, S.C., & Shekhawat, N.B. (2004) Repellent effect of some indigenous plant extracts against Trogoderma granarium (Everts). Asian Journal of Experimental Science,18, 47-51.
Elhag, E.A., Harraz, F.M., Zaitoon, A.A., & Salama, A.K. (1996) Evaluation of some Wild herb extracts for control of mosquitoes, (Diptera:Culicidae). Journal of King Saud University Agricultural Science,8, 135-145.
Elhag, E.A., El Nadi, A.H., & Zaitoon, A.A. (1998) Effect of some plant extracts on two agriculture pests: Agrotis ipsilon (Lepidoptera: Noctuidae) and Hyper brunneipennis (Coleoptera: Curculionidae). Alexandria Journal of Pharmaceutical Science, 6, 68-79.
Finney, D.J. (1971) Probit analysis, 3rd ed. Cambridge University Press, Cambridge, England.
Fishwick, F.B. (1988) Pesticide residues in grain arising from postharvest treatment. Aspects of Applied Biology, 17, 37- 46.
GW Basic (1985) Version 2.01. Microsoft.
Halstead, D.G.H. (1986) Keys for the identification of beetles associated with stored products. Journal of Stored Product Research, 22(4), 163-203
Hassan, A.M.A., Muhtadi, F.J., & Aziz, O.A. (1997) Phytochemical investigations of Rhazya stricta growing in Saudi Arabia. Part 1: Total alkaloidal content and TLCscreening. Bulletin Faculty of Science, Riyadh University, 8, 331-335.
IBM Corporation (2011) PASW Statistics, 20th ed. IBM, Chicago, IL, USA. Available from: https://www.ibm.com/software/analytics/spss/
Iqbal A., Aqil, F., & Owais, M. (2006) Modern Phytomedicine. WILEY-VCH Verlag GmbH & Co, KGaA, Weinheim.
Kamil, M., Ahmad, F., Sheikh, M.O., Jayarag, A. F., Gunaskhar, C., Thomas, C., Habibullah, M., Chan, K., & Attas, A. (2000) Quality Control Studies for the plant Rhazya stricta. European Journal of Pharmaceutical Science, Vol. II. Supp.1.
Khalique, U., Farooq, M.U., Ahmed, M.F., & Niaz, U. (2018) Khapra beetle: A review of recent control methods. Current Investigation of Agriculture and Current Research, 5(5), 666-671.
Majdoub, O., Dhen, N., Souguir, S., Haouas, D., Baouandi, M., Laarif, A., & Chaieb, I. (2014) Chemical composition of Ruta chalepensis essential oils and their insecticidal activity against Tribolium castaneum. Tunisian Journal of Plant Protection, 9, 83-90.
Mahmoud, A.K., Bedawi, S.M., & Satti, A.A. (2015) Efficacy of botanical extracts in the control of Khapra beetle (Trogoderma granarium). Journal of Science, 5(4), 213-217.
Mejri, A., Bouajila, J., Ali, S.B., Abderrabba, M., & Mejri, M. (2013) Ruta chalepensis L. Essential oil: chemical composition and phytotoxic activity. Journal of Biological Active Product of Nature, 2(3), 1-12.
Migahid, A.M. (1978) Flora of Saudi Aribia. Riyadh University Press, Riyadh, Saudi Arabia.
Mohammed, A.A., Kadhim, J.H., & Hasan, A.M.H. (2019) Laboratory evaluation of entomopathogenic fungi for the Control of Khapra beetle (Coleoptera: Dermestidae) and their effect on the beetles fecundity and longevity. Journal of Agriculture & Urban Entomology, 35(1), 1-11.
Mostafa, M., Hossain, H., Hossain, M.A., Biswas, P.K.M., & Hague, M.Z. (2012) Insecticidal activity of plant extracts against Tribolium castaneum Herbst. Journal of Advance Science Research, 3(3), 80-84.
Mvumi, C., & Maunga, P.R. (2018) Efficacy of lantana (Lantana camara) extract application against aphids (Brevicoryne brassicae) in rape (Brassica napus) over varied periods of time. African Journal of Biotechnology, 17(8), 249-254.
Odeyemi, O.O., Masika P., & Aeolian, A.G. (2008) Insecticidal capensis against Sitophilus zeamais (Motschulsky) (Coleoptera: Curculionidae). African Entomology, 16(2), 220–225.
Ogendo, J.O., Belmain, S.R., Deng, A.L., & Walker, D.J. (2003) Comparison of toxic and repellent effects of Lantana camara L. with Tephrosia vogelii Hook and a synthetic pesticide against Sitophilus zeamais Motschulsky (Coleoptera: Curculionidae) in stored maize grain. Insect Science and Applied, 23(2), 127-135.
Omar, K., Muhammad, N., Faraj, N.M., Malik, S.A.A., & Al- Farhani, M. I. (2012) Effect of some medicinal plants extracts and cypermethrin against Khapra Beetle (Trogoderma granarium Everts). Emirate Journal of Food Agriculture, 24(2), 120-127.
Price, L.A., & Mills, K.A. (1998) The toxicity of phosphine to the immature stages of resistant and susceptible strains of some common stored product beetles and implications for their control. Journal of Stored Product Research, 24, 51-59.
Pung, T., & Srimongkolchai, W. (2011) Toxic effects of Lantana camara crude extracts on Spodoptera litura (Fabr.). Asian Journal of Chemistry, 23(7), 2863-2865.
Rajapakse, R.H.S. (2006) The Potential of plants and plant products in stored insect pest management. Journal of Agriculture Science, 2(1), 11-21.
Rajashekar, Y., Ravindra, K.V., & Bakthavatsalam, N. (2014) Leaves of Lantana camara Linn. (Verbenaceae) as a potential insecticide for the management of three species of stored grain insect pests. Journal of Food Science and Technology, 51(11), 3494–3499.
Saxena, R.C. (1987) Neem seed oil, a potential antifeedant against insect pests of rice. In: Pesticide science and biotechnology: proceedings of the Sixth International Congress of Pesticide Chemistry, 1986, Ottawa. pp: 139-144.
Sharma, O.P., Makkar, H.P.S., & Dawara, R.K. (1988) A review of the noxious plant of Lantana camara. Toxicology, 26, 975–987.
Silver, P. (1994) Alternatives to methyl bromide sought. Pesticide News, 24, 12-27.
Tsumura, Y.S., Hasegawa, Y., Sekiguchi, Y., Nakamura, Y., & Ito, Y. (1994) Residues of postharvest applied pesticides in buckwheat after storage and processing into noodle. Journal of Food Hygienic Society, 35(1), 1-7.
Viglianco, A., Novo, R., Cragnoini, C., Nassettae, M., & Cavallo, A. (2008) Antifeedant and repellent effects of extracts of three plants from Córdoba (Argentina) against Sitophilus oryzae (L.) (Coleoptera: Curculionidae). BioAssay, 3(4), 1-6.
White, N.D.G. (1995) Insects, mites and insecticides in stored grain ecosystems. Stored Grain Ecosystems (ed. Jayus, D.S., White, N.D.G., & Uir, W.E.), pp. 123-168. Marcel Dekker, New York.
Yuan, Z., & Hu, X.P. (2012) Repellent, antifeedant, and toxic activities of Lantana camara leaf extract against Reticulitermes flavipes (Isoptera: Rhinotermitidae). Journal of Economic Entomology,105(6), 2115- 2121.