Artículos
Inventory of some families of Hemiptera, Coleoptera (Curculionidae) and Hymenoptera associated with horticultural production of the Alto Valle de Río Negro and Neuquén provinces (Argentina)
Inventario de Hemiptera, Coleoptera (Curculionidae) e Hymenoptera asociados a la producción hortícola del Alto Valle de Río Negro y Neuquén (Argentina)
Inventory of some families of Hemiptera, Coleoptera (Curculionidae) and Hymenoptera associated with horticultural production of the Alto Valle de Río Negro and Neuquén provinces (Argentina)
Revista de la Sociedad Entomológica Argentina, vol. 80, no. 1, 2021
Sociedad Entomológica Argentina
Received: 04 July 2020
Accepted: 26 January 2021
Published: 29 March 2021
Abstract: The knowledge of the entomological fauna in productive systems is important for the agroecological management since beneficial insects are a key resource for pest management in horticultural systems. Scientific information on the biodiversity present in a given area is essential as well as the ecological function and/or feeding habits of the insects. In Alto Valle de Río Negro and Neuquén, horticultural production systems can be described as highly dependent on chemical inputs for pest management and fertilization. The aim of this study is to carry out an inventory of the biodiversity of some families of Hemiptera, Coleoptera (Curculionidae) and Hymenoptera present in peri-urban and rural farms located in Neuquén and Río Negro, respectively. Insects were collected through pitfall and sweeping net on tomato and pepper crops and the surrounding non-cultivated areas. Idiosystatus Berg (Auchenorrhyncha) was cited for the first time from Argentina. Species cited for the first time from Neuquén: Hemiptera: Auchenorrhyncha: Acanalonia chloris (Berg), Syncharina punctatissima (Signoret), Amplicephalus dubius Linnavuori, Exitianus obscurinervis (Stål), Agalliana ensigera Oman and Bergallia signata (Stål); Hemiptera: Heteroptera: Harmostes (Harmostes) prolixus Stål and Atrachelus (Atrachelus) cinereus (Fabricius); Coleoptera: Curculionidae: Hypurus bertrandi (Perris), Naupactus leucoloma Boheman, Otiorhynchus rugosostriatus (Goeze) and Sitona discoideus Gyllenhal and Hymenoptera: Xylocopa (Neoxylocopa) augusti Lepeletier and Pseudagapostemon (Neagapostemon) singularis Jörgensen. Species cited for the first time from Río Negro: Hemiptera: Auchenorrhyncha: Amplicephalus dubius Linnavuori, Amplicephalus marginellanus Linnavuori, Circulifer tenellus (Baker) and Xerophloea viridis (Fabricius); Hemiptera: Heteroptera: Tupiocoris cucurbitaceus (Spinola), Atrachelus (Atrachelus) cinereus (Fabricius), Dichelops furcatus (Fabricius) and Harmostes (Harmostes) prolixus Stål; Coleptera: Curculionidae: Naupactus xanthographus (Germar) and Hymenoptera: Diadasia pereyrae (Holmberg) and Dialictus autranellus (Vachal).
Keywords: Beneficial insects, Pests, Surrounding vegetation, Tomato and pepper crops.
Resumen: El conocimiento de la fauna entomológica presente en los sistemas productivos es importante para el manejo agroecológico ya que los insectos beneficiosos son un recurso clave para el manejo de plagas en los sistemas hortícolas. Es esencial contar con información científica sobre la biodiversidad presente en un área determinada y la función ecológica y/o los hábitos alimenticios de los insectos. En el Alto Valle de Río Negro y Neuquén, los sistemas de producción hortícola pueden describirse como altamente dependientes de los insumos químicos para el manejo de plagas y fertilización. El objetivo de este estudio es realizar un inventario de la biodiversidad de algunas familias de Hemiptera, Coleoptera (Curculionidae) e Hymenoptera presentes en las chacras periurbanas y rurales ubicadas en Neuquén y Río Negro, respectivamente. Los insectos fueron recolectados a través de trampas de caída y red entomológica en cultivos de tomate y pimiento, y áreas circundantes no cultivadas. Idiosystatus Berg (Auchenorrhyncha) fue citado por primera vez en Argentina. Especies citadas por primera vez en Neuquén: Hemiptera: Auchenorrhyncha: Acanalonia chloris (Berg), Syncharina punctatissima (Signoret), Amplicephalus dubius Linnavuori, Exitianus obscurinervis (Stål), Agalliana ensigera Oman y Bergallia signata (Stål); Hemiptera: Heteroptera: Harmostes (Harmostes) prolixus Stål y Atrachelus (Atrachelus) cinereus (Fabricius); Coleoptera: (Curculionidae): Hypurus bertrandi (Perris), Naupactus leucoloma Boheman, Otiorhynchus rugosostriatus (Goeze) y Sitona discoideus Gyllenhal e Hymenoptera: Xylocopa (Neoxylocopa) augusti Lepeletier and Pseudagapostemon (Neagapostemon) singularis Jörgensen. Especies citadas por primera vez en Río Negro: Hemiptera: Auchenorrhyncha: Amplicephalus dubius Linnavuori, Amplicephalus marginellanus Linnavuori, Circulifer tenellus (Baker) y Xerophloea viridis (Fabricius); Hemiptera: Heteroptera: Tupiocoris cucurbitaceus (Spinola), Atrachelus (Atrachelus) cinereus (Fabricius), Dichelops furcatus (Fabricius) y Harmostes (Harmostes) prolixus Stål; Coleoptera: Curculionidae: Naupactus xanthographus (Germar) e Hymenoptera: Diadasia pereyrae (Holmberg) y Dialictus autranellus (Vachal).
Palabras clave: Cultivos de tomate y morrón, Insectos benéficos, Plagas, Vegetación circundante.
INTRODUCTION
Insects make up a large part of the overall diversity in agricultural landscapes and encompass a broad range of functional groups (Kremen et al., 1993). They do not only represent agricultural pest species, insects also serve as biological control agents, provide pollination services, and form an important food resource for many vertebrates in agricultural landscapes (Diekötter et al., 2008).
An increasing number of studies show that the intensification of land uses and homogenization in agricultural landscapes, with the aim of increasing food supply, decreases biodiversity. At the local field scale, increased uses of crop monocultures, greater inputs of fertilizers and pesticides, and decreased within-field heterogeneity may affect species diversity and composition and the provision of ecosystem services to agricultural productivity (Tscharntke et al., 2005).
In the Alto Valle de Río Negro and Neuquén provinces, in the north of the Argentinian Patagonia, the main economic-productive development is linked to fruit production of pears and apples. The second most important activity, in terms of arable land area and impact on the rural economy, is horticultural production (Fernández Lozano, 2012). In this region, both the fruit and vegetable production models can be described as systems highly dependent on chemical inputs for pest management and fertilization (FAO, 2015a, 2015b). Besides, the progress of the real estate market and subsequent urbanization on former production areas is affecting the region's biodiversity due to habitat fragmentation.
These productive activities take place within a dynamic and heterogeneous landscape. Horticulture farms are surrounded by fruit productive orchards, abandoned orchards, patches and corridors of spontaneous vegetation and poplar “shelterbelts” (e.g., Buck et al., 1999). This landscape heterogeneity provides resources such as nectar and pollen from a diversity of flowering plants, a variety of preys or hosts, and overwintering and nesting habitat for pollinators and predatory insects, which may regulate the incidence of pests and promote the presence of beneficial insects in crops.
Agroecological management has been proposed as an alternative to conventional agricultural management due to its alleged ability to rehabilitate degraded ecosystem services (De Leijster et al., 2019).
The knowledge of the entomological fauna present in productive systems is important for the agroecological approach, since beneficial insects are a key resource for pest management in horticultural systems, allowing a decrease in the use of agrochemicals, and providing other services such as pollination. The maintenance and management of agrobiodiversity is one of the most promising strategies in the search for sustainable agroecosystems. There is a growing consensus that a greater agrobiodiversity in its different dimensions (spatial, temporal, and structural) provides essential ecological services in agroecosystems (Stupino et al., 2014). The growing demand for productive systems with less dependence on chemical inputs promotes the search for management strategies to strengthen ecological processes weakened by a decrease in diversity.
In order to design productive systems with an agroecological approach, it is essential to have scientific information on the biodiversity present in a given area and the ecological function and/or feeding habits of the insects. For example, the order Hymenoptera includes families with a broad heterogeneity of functions: predators (e.g., Vespidae), pollinators (e.g., Apidae), and parasitoids (e.g., Braconidae).
The scientific knowledge of the insect fauna of the Alto Valle de Río Negro and Neuquén is scarce and strongly associated with pome fruit production for export markets, as illustrated by the following contributions: Hymenoptera (Dapoto & Giganti, 1994; Aquino et al., 2013; Garrido et al., 2017), Hemiptera: Sternorrhyncha (Giganti et al., 2004; Vera et al., 2012), Hemiptera: Auchenorrhyncha (Catalano et al., 2009; Paradell & Dellapé, 2015; D'Hervé et al., 2017); Lepidoptera (Garrido et al., 2007; Dapoto et al., 2010); Neuroptera (Gonzalez et al., 2011), Diptera (Santadino et al., 2015) and Coleoptera (Curculionidae) (del Río et al., 2019).
The aim of this study is to carry out an inventory of the biodiversity of some families of Hemiptera, Coleoptera (Curculionidae) and Hymenoptera present in rural and peri-urban horticultural farms, taking into account tomato and pepper crops and the surrounding non-cultivated areas (as spontaneous vegetation, abandoned fruit orchards, and poplar shelterbelts).
MATERIAL AND METHODS
Study area
Alto Valle de Río Negro and Neuquén is situated in the north of the Argentinian Patagonia, along parallel 39° S and meridians 68° to 66° W (Gili et al., 2004). It develops along the lower basin of Limay and Neuquén rivers and the upper basin of Río Negro river, as seen in Figure 1. Natural and semi-natural habitats, urban centers, peripheries and rural areas are alternated along almost 130 km. The Alto Valle is a long strip about 6 to 20 km wide. The arable land with the highest quality is located near the river terraces of Limay, Negro and Neuquén rivers.
The climate is temperate and semiarid, with an average annual temperature between 13.6 °C and 14.5 °C and thermal amplitude between 16.1 °C and 17.7 °C. The rainfall varies between 130 and 170 mm per year, depending on the locality, with a slightly progressive increase from west to east.
It is an area of strong winds higher than 4 m/s on average, with predominant direction southwest-west. The typical vegetation is composed of shrubs of the genera Larrea ("jarillas") (L. divaricata Cav., L. cuneifolia Cav. and exceptionally L. nitida Cav.) and some Prosopis L. such as P. alpataco Phil. ("alpataco"), or Schinus (S. johnstonii F.A. Barkley ("molle"). Permanent and ephemeral grasses grow under these shrubs, although in some areas this vegetation has changed due to the implementation of gravity irrigation system. The usual summer water deficit is mainly supplied by a channel network derived from the Limay, Neuquén and Negro rivers.
In the Alto Valle region, horticultural activities are mostly performed by small and medium farmers. The most important crops are tomatoes, peppers, carrots, pumpkins, lettuce, and other vegetables. The farm activities show strong seasonality depending on the climate (e.g., summer water stress, frost, strong winds, hail) (FAO, 2015a, 2015b).
Localities studied. The coexistence of peri-urban and rural farms is frequent in the Alto Valle, for that reason we selected one peri-urban farm located on the eastern side of Plottier city (38°57’02.5” S; 68°12’29.5” W), Neuquén province and a rural one located in Campo Grande (38°41’11.5” S; 68°11’25.6” W), Río Negro province. The first one is about 6 hectares in size and belongs to a larger pear orchard (25 hectares in size), abandoned 10 years ago. Currently, this orchard is surrounded by real estate projects with different levels of development (Fig. 1a). The rural farm is about 3 hectares, located in a fruit production area of the Alto Valle. About 20 years ago this area was a pome orchard surrounded by other fruit and vegetable farms. The plot for cultivation is adjacent to the abandoned pear orchard (Fig. 1b).

Sampling methods
Collecting insects
For collecting insects in the horticultural systems (peri-urban and rural), we used different sampling techniques, carried out every 30 days, from January to April 2017 (January 6th, February 3rd, March 3rd and 31th), during the period of tomatoes and pepper harvest. The sampling methods were as follows:
Sweeping net: Sequential sampling by net blows was carried out to capture the insects that inhabit the aerial part of the vegetation, walking through the field and passing the net over the vegetation. The movement with the net was performed with an angle of approximately 90°. Twenty net strokes were made at each sampling site. The captured insects were placed in transparent jars with 70% ethanol.
Pitfall trap: These traps were used to capture epigeous walking insects. They consisted of 220 ml white plastic containers (diameter: 10 cm; depth, 12 cm), buried and placed at ground level, with 100 ml of a solution of 70% ethanol, 20% water and 10% liquid petroleum jelly. The material obtained by each sampling method was separated for subsequent determination by the authors: Hemiptera: Auchenorrhyncha: Fulgoroidea and Membracidae by A.M. Marino de Remes Lenicov; Hemiptera: Auchenorrhyncha: Cicadellidae by S.L. Paradell and B.S. Defea; Heteroptera by P. M. Dellapé and E. Minghetti; Coleoptera: Curculionidae by M.G. del Río and A.A. Lanteri, and Hymenoptera by L.J. Álvarez. The specimens were identified through the use of keys, specialized bibliography and by comparison of primary types and reference specimens from the Museo de La Plata. The material examined was deposited in the entomological collection of the Museo de La Plata, Buenos Aires, Argentina (MLP).
Sampling design
The agricultural landscape was defined as a heterogeneous land area made up of a group of ecosystems, repeated across length and width in similar ways (Forman & Godron, 1986). The landscape represents a mosaic of farms, semi-natural habitats, human infrastructure and, occasionally, natural habitats (Marshall & Moonen, 2002). For this reason, the selected sites included not only tomatoes and pepper crops, but also feral plant communities located on the margins of these crops: abandoned pear orchards, spontaneous vegetation and poplar shelterbelts. Sampling stations were established within each sampling site. The number of stations was based on the site's surface. Each station consisted of the locations where each pitfall trap was placed.
Vegetation sampling
For vegetation sampling we applied quadrat method (Goodall, 1952). At each sampling station a 1 m x 1 m quadrat was randomly placed and all plants within the quadrat were recorded and identified at species level (Kennedy & Addison, 1987), when possible.
RESULTS
Characterization of sites
Peri-urban farm. Tomato and pepper crop. Accompanied by low coverage of herbaceous species (Table I).
Rural farm. Tomato and pepper crop. These crops are accompanied by a low coverage of herbaceous species (Table I).
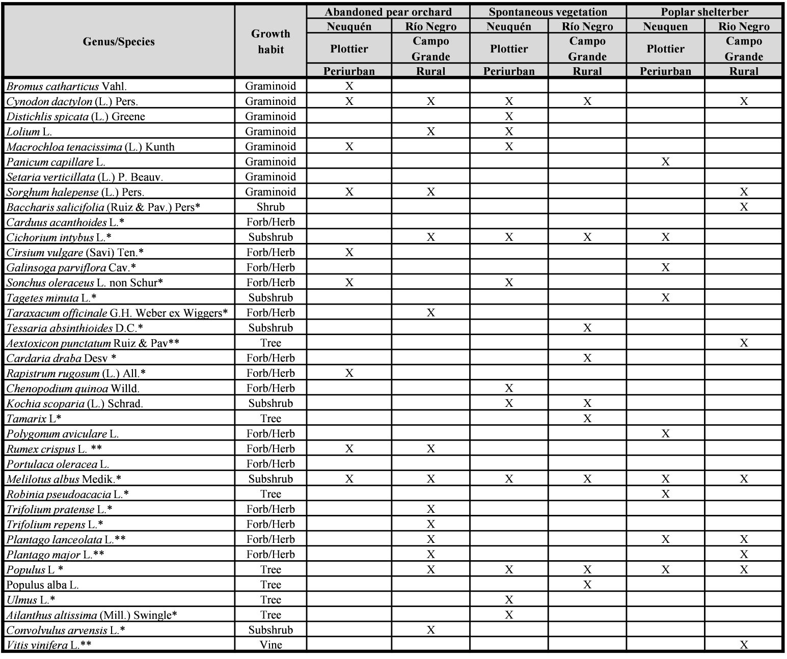
Abandoned pear orchard. It contains pear, rosehip and wild vine plants within a plantation frame of 6 m x 4 m. Accompanied by an herbaceous stratum where grasses predominate (Table II).

* = Species pollen and nectar source. **= Species pollen source.
Spontaneous vegetation. It shows the greatest complexity in vegetation structure, with herbaceous, shrub and tree layers (Table II).
Poplar shelterbelt. It is characterized by dominant arboreal species and a medium coverage of herbaceous layer (Table II).
Abandoned pear orchard. It is characterized by a herbaceous layer (Table II).
Spontaneous vegetation. It is characterized by a predominant shrub and herbaceous layers (Table II).
Poplar shelterbelt. The arboreal layer of Populus L. "Poplar" is accompanied by a herbaceous shrub layer of medium to low coverage (Table II).

* = Genus and species pollen and nectar source. **= Species pollen source.
Inventary of insects
Order Hemiptera
Suborder Auchenorrhyncha
Superfamily Fulgoroidea
Family Delphacidae
Subfamily Asiracinae
Tribe Idiosystanini
Idiosystatus Berg
Geographic distribution. Native to Chile, Argentina: Río Negro and Santa Cruz (Patagonia) (Bourgoin, 2019). Río Negro is a new province record.
Feeding habits. Phytophagous.
Plant associations. Schoenoplectus californicus (C.A. Mey.) Soják (Cyperaceae) in the Metropolitan Region of Chile (Campodonico, 2017). The traps were placed under the tomato plants on the ridges, in addition, feral vegetation cover was very low, so we consider that tomato is a new crop association.
Economic importance. Unknown.
Material studied: Río Negro. Campo Grande. Tomato (pitfall), 06-I-2017, (1 male). Bernardis-Gittins-López Armengol, cols. (Table III).
Subfamily Delphacinae
Tribe Delphacini
Metadelphax propinqua (Fieber)
Geographic distribution. Pantropical. In Argentina it is widely distributed north of 33° S (Remes Lenicov & Tesón, 1989; Remes Lenicov & Paradell, 2012).
Feeding habits. Phytophagous.
Plant associations. Mostly cultivated and wild Poaceae, including "barley", "maize", "oat", "rice", "sorghum", and "sugarcane" (Remes Lenicov & Virla, 1999). New crop associations with tomato and pepper. It also occurs in abandoned pear orchard.
Economic importance. It is a vector of viruses that affects various crops: Cynodon Chlorotic Streak Nucleorhabdovirus (CCSV), Maize Rough Dwarf Virus (MRDV), and Barley Yellow Striate Mosaic Cytorhabdovirus (BYSMV) (Harpaz, 1972). In Argentina it is the vector of the Mal de Río Cuarto Virus (MRCV), affecting "maize" and "wheat" (Remes Lenicov et al., 1985; Velazquez et al., 2017).
Material studied. Neuquén. Plottier. Pepper (pitfall), 3-III-2017, (1 male, 1 nymph). Río Negro. Campo Grande. Tomato (pitfall), 03-III-2017, (2 males, 4 females, 1 nymph). Pepper (pitfall), 03-II-2017, (1 male, 1 female); 31-III-20172 (2 females). Abandoned pear orchard (sweeping net), 31-III-2017, (1 male). Bernardis-Gittins-López Armengol, cols. (Table III and IV).
Delphacodes kuscheli Fennah
Geographic distribution. Native to Chile, Argentina and Uruguay. Widespread in Argentina (32° to 39° S). Its northern expansion occurred with gramineae such as "oat", "barley", "wheat" and "maize" (Remes Lenicov & Tesón, 1978; Remes Lenicov & Paradell, 2012).
Feeding habits. Phytophagous.
Plant associations. "Maize", outbreak populations of "oat", breeds of "wheat", "barley" and several wild grasses, most of them reservoirs of MRCV (Remes Lenicov & Virla, 1999).
Economic importance. It is a major pest of "maize" in Argentina as vector of MRCV (Remes Lenicov & Paradell, 2012).
Material studied. Río Negro. Campo Grande. Tomato (pitfall), 06-I-2017, (1 female); 03-II-2017, (1 female). Pepper (pitfall), 03-II-2017, (1 male). Bernardis-Gittins-López Armengol, cols. (Table III).
Neodelphax fuscoterminata (Berg)
Geographic distribution. Native to Argentina, where it is widely distributed in the humid Pampean region (Remes Lenicov & Virla, 1999).
Feeding habits. Phytophagous.
Plant associations. It is common and abundant in maize and "rice" agrosystems, and several grasses: "johnson grass", "bermuda grass", Bromus sp., Setaria sp., "dandelion" and "ribwort" plantain (Remes Lenicov, 1996). Associated with "apple" in the main cultivated area of Río Negro province (D’Hervé et al., 2017). Tomato and pepper are new crop associations. It also occurs on poplar shelterbelt.
Economic importance. It is probably another vector of MRCV in central Argentina (Remes Lenicov & Brentassi, 2017).
Material studied. Neuquén. Plottier. Poplar shelterbelt (pitfall), 03-III-2017, (1 female). Pepper (sweeping net), 03-III-2017, (1 nymph). Río Negro. Campo Grande. Tomato (pitfall), 03-II-2017, (1 male). Pepper (sweeping net), 31-III-2017, (1 nymph). Abandoned pear orchard (pitfall), 03-II-2017, (1 female); (sweeping net), 03-II-2017, (2 females); (sweeping net), 03-III-2017, (1 female). Spontaneous vegetation (pitfall), 06-I-2017 (1 nymph). Bernardis-Gittins-López Armengol, cols. (Table III and IV).
Family Acanalonidae
Acanalonia chloris (Berg)
Geographic distribution. Native to Uruguay and Argentina: Misiones, Corrientes, Córdoba, Mendoza and Buenos Aires (Berg, 1879). Neuquén is a new province record.
Feeding habits. Phytophagous.
Plant association. It is associated with spontaneous vegetation.
Material studied. Neuquén. Plottier. Spontaneous vegetation (sweeping net), 03-II-2017, (2 males, 3 females); spontaneous vegetation (pitfall), 31-III-2017, (1 male). Bernardis-Gittins-López Armengol, cols. (Table IV).
Superfamily Membracoidea
Family Membracidae
Subfamily Smilinae
Tribe Ceresini
Ceresa brunnicornis (Germar)
Geographic distribution. Native to South America between 15º and 39º S. It occurs in Northern and Central Argentina, and in Brazil (Remes Lenicov, 1973).
Feeding habits. Phytophagous.
Plant associations. Acacia sp., "vine", "wheat", "alfalfa" and "potatoes" (Remes Lenicov, 1973). It is associated with abandoned pear orchards and spontaneous vegetation.
Economic importance. Mechanical damage caused by feeding on Acacia spp. and "vine" canes (Torres, 1946; Remes Lenicov, 1973).
Material studied. Río Negro. Campo Grande. Abandoned pear orchard (sweeping net), 03-III-2017, (3 females); spontaneous vegetation (pitfall), 03-III-2017, (1 female). Bernardis-Gittins-López Armengol, cols. (Table IV).
Family Cicadellidae
Subfamily Cicadellinae
Syncharina punctatissima (Signoret)
Geographic distribution. It occurs in Argentina, Bolivia, Brazil and Uruguay. In Argentina, it is widespread: Salta, Jujuy, Corrientes, Entre Ríos, Santa Fe, Buenos Aires, Mendoza, Córdoba, Catamarca, Tucumán, and San Juan (Defea, 2018). Neuquén is a new province record.
Feeding habits. Phytophagous.
Plant associations. "Pangola grass", "maize", "whet", "oat", "barley", Trifolium sp., "alfalfa", "rice", "rye", "sorghum", "winter vetch" (Young, 1977; Remes Lenicov & Tesón, 1985; Remes Lenicov et al., 2006; Paradell et al., 2014), Citrus sp., "parsley and “radish root” (Defea, 2018). It was only associated with spontaneous vegetation.
Phytosanitary importance. Unknown.
Material studied. Neuquén. Plottier. Spontaneous vegetation (sweeping net), 3-II-2017, (1 female). Bernardis-Gittins-López Armengol, cols. (Table IV).
Tapajosa rubromarginata (Signoret)
Geographic distribution. Native to Argentina (Young, 1968), Brazil (Azevedo-Filho & Carvalho, 2004, 2006) and Paraguay (Dellapé et al., 2011). In Argentina, it is widespread in Salta, Catamarca, Tucumán, Santa Fe, Córdoba, Mendoza, San Luis, San Juan, Santiago del Estero, Formosa, Chaco, Misiones, Corrientes, Entre Ríos, Buenos Aires, Neuquén and Río Negro (Dellapé et al., 2011; Paradell et al., 2012).
Feeding habits. Phytophagous.
Plant associations. "Onion", Eryngium sp., Baccharis sp., "garden dahlia", Conyza sp., "lapacho", "whitemouth day flower", Ipomea sp., "soybeen", "alfalfa", "burclover", "cowpea", "mint", Chorisier sp., "arrowleave sida", "black mulberry", Plantago sp., "oat", Paspalum sp., "sugarcane", Setarea sp., "bermuda grass", "johnson grass", "sorghum", "maize", "wheat", "rescue grass", Populus sp., Cardiospermum sp., "black nightshade", "common lantana", "chinese ibiscus", "sweet orange" and "vine" (Costilla et al., 1972; Paradell, 1995; Remes Lenicov et al., 1998, 2006; Azevedo-Filho & Carvalho, 2004, 2006; Virla et al., 2007; Azevedo-Filho et al., 2008; Paradell et al., 2012), "blueberry" (Dellapé, 2013). It is associated with abandoned pear orchards.
Phytosanitary importance. Species positive for Xylella fastidiosa Wells et al. (Xanthomonadales: Xanthomonadaceae) in Argentina (Dellapé et al., 2016).
Material studied. Río Negro. Campo Grande. Abandoned pear orchard (sweeping net), 31-III-2017, (1 male). Bernardis-Gittins-López Armengol, cols. (Table IV).
Subfamily Deltocephalinae
Amplicephalus dubius Linnavuori
Geographic distribution. Native to Argentina: Salta, San Juan, Mendoza, Córdoba, Santa Fe and Buenos Aires (Paradell, 1995). Neuquén and Río Negro are new provinces records.
Feeding habits. Phytophagous.
Plant associations. "Maize", "wheat", "rice", "barley", "oat", Cynodon sp., Digitaria sp. and "cebadilla" (Paradell et al., 2001). New crop association with tomato. It also occurs in abandoned pear orchards and spontaneous vegetation.
Phytosanitary importance. Unknown.
Material studied. Neuquén. Plottier. Spontaneous vegetation (sweeping net), 3-II-2017, (1 male). Río Negro. Campo Grande. Tomato (pitfall), 3-II-2017, (2 females). Abandoned pear orchard (sweeping net), 3-II-2017, (1 nymph). Bernardis-Gittins-López Armengol, cols. (Tables III and IV).
Amplicephalus marginellanus Linnavuori
Geographic distribution. Native to Brazil, Bolivia, Paraguay and Argentina: Jujuy, Chaco, Misiones, Corrientes, Entre Ríos, Santa Fe, Tucumán, San Luis, Córdoba and Buenos Aires (Paradell, 1995). Río Negro is a new province record.
Feeding habits. Phytophagous.
Plant associations. Spontaneous vegetation with "pangola grass" and "bahiagrass" (Zanol & Menezes, 1982); "maize", "wheat", "gramon", "cebadilla" and "oat" (Paradell, 1995). New crop association with tomato. It is also in abandoned pear orchard.
Phytosanitary importance. Unknown.
Material studied. Río Negro. Campo Grande. Tomato (pitfall), 6-I-2017, (1 female). Abandoned pear orchard (pitfall), 6-I-2017, (1 female). Bernardis-Gittins-López Armengol, cols. (Tables III and IV).
Circulifer tenellus (Baker)
Geographic distribution. Almost cosmopolitan (Nearctic, Palearctic, Oriental and Neotropical regions). In America it is present in Canada, USA, Central American and Caribbean countries, Brazil, Peru, Suriname, Colombia, Venezuela and Argentina (Zanol, 2006). Río Negro is a new province record.
Feeding habits. Phytophagous.
Plant associations. "Potato" and "carrot" (Creamer et al., 2003; Munyaneza et al., 2010). New crop association with pepper. It also occurs in abandoned pear orchard, spontaneous vegetation and poplar shelterbelt.
Phytosanitary importance. It is a vector of phytoplasma in Mexico, especially on horticultural plants such as "radish root" and "pepper". It is also vector of Beet curly top virus (BCTV) that produces the Carrot purple leaf (Weintraub & Beanland, 2006; Lee et al., 2006).
Material studied. Río Negro. Campo Grande. Pepper (pitfall), 3-III-2017, (4 males, 9 nymphs). Abandoned pear orchard (pitfall), 3-II-2017, (1 female). Spontaneous vegetation (pitfall), 6-I-2017, (4 males, 7 females); 3-II-2017, (2 males, 2 females, 14 nymphs); 3-III-2017, (3 nymphs); 31-III-2017, (1 male, 2 females, 5 nymphs). Spontaneous vegetation (sweeping net), 3-III-2017, (1 female, 1 nymphs); 31-III-2017, (1 male, 2 females, 5 nymphs). Poplar shelterbelt (pitfall), 3-III-2017, (2 males). Bernardis-Gittins-López Armengol, cols. (Tables III and IV).
Exitianus obscurinervis (Stål)
Geographic distribution. Peru, Brazil, Paraguay, Uruguay and Argentina, where it is widespread in several provinces: Jujuy, Salta, Catamarca, Formosa, Chaco, Tucumán, Santiago del Estero, Misiones, Corrientes, Entre Ríos, Santa Fe, Córdoba, Mendoza, Buenos Aires and Río Negro (Paradell, 1995). Neuquén is a new province record.
Feeding habits. Phytophagous.
Plant associations. Cereals, mainly "maize", "wheat" and "rice", "cotton", "castor been", "oat", "rescue grass", "bermuda grass", "hairly crabgrass", "pangola grass", "barnyard grass", "bahia grass", "sugarcane", "big blue stem" and "creeping vegetation", "barley", "bean", "sorghum" and "citrus" (Cordo et al., 2004). Tomato and pepper and new crop associations. It is also in abandoned pear orchards and spontaneous vegetation.
Phytosanitary importance. This species transmits the bacteria Spiroplasma kunkelii (Entomoplasmatales: Spiroplasmataceae) under experimental conditions, suggesting that may be a vector of the disease called “Corn Stunt Spiroplasma” in Argentina (Carloni et al., 2011).
Material studied. Neuquén. Plottier. Tomato (pitfall), 3-II-2017, (1 female); 3-III-2017 (2 males, 1 nymph); 31-III-2017, (4 nymphs). Pepper (pitfall), 3-III-2017, (1 male, 1 female, 1 nymph). Río Negro. Campo Grande. Tomato (pitfall), 6-I-2017, (1 male); 3-II-2017, (4 males); 3-III-2017, (1 male); 31-III-2017, (5 males, 1 female, 2 nymphs). Pepper (pitfall) 6-I-2017, (1 male); 3-III-2017, (5 males, 1 nymph); 31-III-2017, (6 males, 1 nymph). Abandoned pear orchard (pitfall), 6-I-2017, (1 female); 3-II-2017, (4 males, 1 female, 1 nymph); 3-III-2017, (2 males); 31-III-2017, (1 male). Spontaneous vegetation (pitfall), 31-III-2017, (1 nymph). Bernardis-Gittins-López Armengol, cols. (Tables III and IV).
Paratanus exitiosus (Beamer)
Geographic distribution. Native to Chile and Argentina: Jujuy, Chaco, San Luis, Córdoba, Buenos Aires, San Juan, Mendoza and Río Negro (Paradell et al., 2014).
Feeding habits. Phytophagous.
Plant associations. "Maize", "rice", "wheat", "sugar beet", "sorghum", "garlic", "alfalfa" and "hairy vetch" (Paradell et al., 2014). Tomato is a new crop record. It occurs in abandoned pear orchard and spontaneous vegetation.
Phytosanitary importance. It is a vector of “Virus Sugar Beet Yellow-Wilt” causing the disease “Yellow Wilt” of "sugar beet". This is also a potential vector of fitoplasma 16SrIII X-disease, that causes “Garlic decline” disease (Paradell et al., 2014).
Material studied. Río Negro. Campo Grande. Tomato (pitfall), 6-I-2017, (2 males); 31-III-2017, (1 male). Abandoned pear orchard (pitfall), 3-III-2017, (1 male); 31-III-2017 (2 males). Spontaneous vegetation (pitfall), 6-I-2017, (1 female); 3-II-2017 (1 female, 1 nymph); 3-III-2017, (1 male). Bernardis-Gittins-López Armengol, cols. (Tables III and IV).
Subfamily Idiocerinae
Rhytidodus decimusquartus (Schrank)
Geographic distribution. Australian, Palearctic, Nearctic and Neotropical regions. In Argentina occurs in Mendoza, Neuquén, Río Negro and Chubut (Paradell & Dellapé, 2015).
Feeding habits. Phytophagous.
Plant associations. Poplar used as wind curtain and porrum (Paradell & Dellapé, 2015).
Material studied. Neuquén. Plottier. Poplar shelterbelt (pitfall), 6-I-2017, (1 male). Bernardis-Gittins-López Armengol, cols. (Table IV).
Subfamily Ledrinae
Tribe Xerophloeini
Xerophloea viridis (Fabricius)
Geographic distribution. Nearctic and Neotropical regions (Jones & Deitz, 2009). USA, Mexico, Peru Venezuela, Brazil, Bolivia, Chile, Argentina: Salta, Tucumán, Catamarca, La Rioja, Misiones, Entre Ríos, Córdoba, Mendoza, San Juan, Santa Fe, Buenos Aires and Neuquén (Paradell et al., 2014). Río Negro is a new province record.
Feeding habits. Phytophagous.
Plant associations. "Weeds", "wheat", "maize", "barley", "sweet potato", Ipomoea sp., "yams", "tomato", "lettuce", "San Jose weed", "broom jute", "pangola grass", "citrus", "alfalfa", Poaceae (Jones & Deitz, 2009), "garlic", "hairy vetch" (Paradell et al., 2014). New records for pepper crop, abandoned pear orchard, spontaneous vegetation and poplar shelterbelt.
Phytosanitary importance. Vector of “Virus Sugar Beet Yellow- Wilt” to sugarcane in Argentina (Bennet & Munck, 1946).
Material studied. Neuquén. Plottier. Tomato (pitfall), 6-I-2017, (2 females); 3-II-2017, (1 male); 3-III-2017, (3 males). Pepper (pitfall), 3-II-2017, (1 male, 1 nymph); 3-III-2017, (1 nymph). Spontaneous vegetation (pitfall), 6-I-2017, (1 female); 3-III-2017, (1 male, 2 nymphs). Spontaneous vegetation (sweeping net), 31-III-2017 (1 male). Poplar shelterbelt (sweeping net), 6-I-2017, (1 male, 1 nymph); 3-II-2017, (1 male, 1 female). Río Negro. Campo Grande. Tomato (pitfall), 6-I-2017, (1 male); 3-III-2017, (1 female). Pepper (pitfall), 3-II-2017 (1 female); 3-III-2017, (1 female). Abandoned pear orchard (pitfall), 6-I-2017, (1 male, 1 female); 3-III-2017, (1 male). Spontaneous vegetation (pitfall), 6-I-2017, (2 males, 1 female); 3-II-2017 (3 males); 3-III-2017, (1 male); 31-III-2017 (1 male, 1 nymph). Bernardis-Gittins-López Armengol, cols. (Tables III and IV).
Subfamily Megophtalminae
Tribe Agallini
Agalliana ensigera Oman
Geographic distribution. Neotropical. Argentina: Jujuy, Salta, Tucumán, La Rioja, Catamarca, Santiago del Estero, Chaco, Misiones, Entre Ríos, San Juan, Mendoza, Santa Fe, La Pampa, Buenos Aires and Río Negro (Paradell et al., 2014). Neuquén is a new province record.
Feeding habits. Phytophagous.
Plant associations. "Pumpkin", "potato", "pepper", "tomato", "fababean", "zucchini", "berrie", "cotton", "wheat", "maize", "alfalfa", "soybean", "sugarbeet", "sorghum", "tobacco", "sunflower", "oat", "prairie grass" and "weeds", "garlic", "citrus", "carrot", "hairy vetch" (Paradell et al., 2014). New records for abandoned pear orchard and spontaneous vegetation.
Phytosanitary importance. Vector “Argentine Curly Top Virus” on sugar cane and “Brazilian Curly Top Virus” tomato. Possible vector of “Witches-Broom Disease” alfalfa. Potential vector of phytoplasma 16SrIII X-disease “Garlic decline” (Paradell et al., 2014).
Material studied. Neuquén. Plottier. Tomato (pitfall), 31-III-2017, (1 male). Pepper (pitfall), 31-III-2017, (1 female). Pepper (sweeping net), 31-III-2017, (1 male, 1 female). Río Negro. Campo Grande. Pepper (pitfall), 6-I-2017, (1 female); 31-III-2017, (1 male). Abandoned pear orchard (pitfall), 6-I-2017, (5 males, 3 females); 3-II-2017 (2 males, 1 female); 3-III-2017, (5 males). Spontaneous vegetation (pitfall), 6-I-2017, (1 male, 1 nymph). Bernardis-Gittins-López Armengol, cols. (Tables III and IV).
Bergallia signata (Stål)
Geographic distribution. Argentina: Jujuy, Tucumán, Chaco, Misiones, San Juan, Mendoza, Buenos Aires and Río Negro (Paradell et al., 2014). Neuquén is a new province record.
Feeding habits. Phytophagous.
Plant associations. "Maize", "wheat", "pririe grass", "potato", "beet", "radish root", "turnip", "purslane", "pepper", "tomato", "carrot", "hairy vetch" (Paradell et al., 2014). It is also in abandoned pear orchards and spontaneous vegetation.
Phytosanitary importance. Unknown
Material studied. Neuquén. Plottier. Tomato (pitfall), 31-III-2017, (1 male). Pepper (sweeping net), 31-III-2017, (1 male, 3 females). Río Negro. Campo Grande. Tomato (pitfall), 6-I-2017, (1 male); 3-II-2017, (1 female). Pepper (pitfall), 6-I-2017, (1 female); 3-II-2017, (1 male); 31-III-2017, (4 males, 1 female). Abandoned pear orchard (pitfall) 6-I-2017, (3 males, 3 females); 3-III-2017, (1 female); 3-III-2017 (4 males). Spontaneous vegetation (pitfall), 6-I-2017, (1 male, 1 nymph). Bernardis-Gittins-López Armengol, cols. (Tables III and IV).

* = new records.
Suborder Heteroptera
Infraorden Cimicomorpha
Superfamily Cimicoidea
FamilyAnthocoridae
Orius sp.
Feeding habits. Predator.
Comments: Various species of Orius Wolff are important predators of Thysanoptera, mites, and eggs of Lepidoptera, both in greenhouse and field crops situations (Schuh & Weirauch, 2020).
Material studied. Neuquén. Plottier. Abandoned pear orchard (sweeping net), 03-II-2017, (2 males). Bernardis-Gittins-López Armengol cols. (Table IV).
Superfamily Naboidea
Family Nabidae
Subfamily Prostemmatinae
Tribe Prostemmatini
Pagasa (Lampropagasa) fuscipennis Reuter & Poppius
Geographic distribution. Argentina: Buenos Aires, Chaco, Chubut, Córdoba, La Pampa, Misiones, Río Negro, Salta, San Luis, Santa Fe and Santiago del Estero. This species is also known from Brazil, Paraguay and Uruguay (Cornelis & Coscarón, 2013; Melo et al., 2020).
Feeding habits: Predator. Species in the genus are known predators of other Heteroptera, particularly Blissidae, Geocoridae, and Rhyparochromidae (Lattin, 1989). Economic importance. Although the members of Nabidae are generalist predatory species, and some species are frequently present in agroecosystems, the role of nabids in regulation of pest populations of importance to urban agriculture remains largely unknown (Braman, 2000).
Material studied. Río Negro. Campo Grande: abandoned pear orchard (pitfall), 03-II-2017, (2 males). Bernardis-Gittins-López Armengol, cols. (Table IV).
Superfamily Miroidea
Family Miridae
Subfamily Bryocorinae
Tribe Dicyphini
Tupiocoris cucurbitaceus (Spinola)
Geographic distribution. Buenos Aires, Catamarca, Corrientes, Entre Ríos, Jujuy, Mendoza, Salta and Tucumán (Carpintero & Carvalho, 1992; Carpintero & De Biase, 2011; Carpintero et al., 2014, 2016; Melo et al., 2020). Río Negro is a new province record.
The North American records of this species are misidentifications as was shown by Kelton (1980), so its distribution has been restricted to the Neotropical Region (Fiúza Ferreira & Henry, 2011). These records include Brazil, Chile, Colombia, Costa Rica, Ecuador, Mexico, Panama, Peru and Uruguay (Spinola, 1852; Carvalho, 1958; Carvalho & Fiúza Ferreira, 1972; Carvalho & Afonso, 1977; Melo et al., 2020).
Feeding habits. Although T. cucurbitaceus is a zoophytophagous insect, it has a limited phytophagy, which is restricted to its nymphal instars (Orozco-Muñoz et al., 2012). Until now, no crop damage has been observed due to this mirid species, however, these observations need verification (Polack et al., 2017).
Plant associations. "Tobacco", "bean", "potato", Cucurbita sp., "geranium" (Carpintero & Carvalho, 1992), Rubus sp., "eupatoire", Adesmia sp. (Carpintero & De Biase, 2011), "tomato" (Fiúza Ferreira et al., 2001).
Economic importance. This species has been used as a biological control agent of Tuta absoluta Meyrick (Lepidoptera; Gelichiidae) in South America (Salas Gervasio et al., 2019). In Argentina the Instituto Nacional de Tecnología Agropecuaria (INTA) has raised and tested this mirid species as a predator of Trialeurodes vaporariorum Westwood and Bemisia tabasi (Gennadius) (Hemiptera: Aleyrodidae) and Mysus persicae (Sulzer) (Hemipetara: Aphididae) in "tomato" crops (Polack et al., 2017). A recent study indicated that T. cucurbitaceus can successfully prey on different tomato pests, such as B. tabaci, T. vaporariorum, Sitotroga cerealella Olivier (Lepidoptera; Gelichiidae), T. absoluta, M. persicae and Tetranychus urticae Koch (Acari: Tetranychidae) (López et al., 2019).
Material studied. Río Negro. Campo Grande. Tomato (sweeping net), 31-III-2017, (1 female). Bernardis-Gittins-López Armengol, cols. (Table III).
Superfamily Reduvioidea
Family Reduvidae
Subfamily Harpactorinae
Tribe Harpactorini
Atrachelus (Atrachelus) cinereus (Fabricius)
Geographic distribution. Argentina: Buenos Aires, Catamarca, Chaco, Córdoba, Corrientes, Entre Ríos, Formosa, Jujuy, La Pampa, La Rioja, Mendoza, Misiones, Salta, San Juan, San Luis, Santa Fe, Santiago del Estero and Tucumán (Dellapé et al., 2015, 2020; Melo et al., 2017, 2020). Río Negro and Neuquén are new provinces records. This species has been also recorded for Chile, Cuba, Guatemala and Uruguay (Maldonado Capriles, 1990).
Feeding habits. Predator.
Economic importance. No economic damages registered.
Material studied. Neuquén. Plottier. Spontaneous vegetation (pitfall), 06-I-2017, (1 nymph). Poplar shelterbelt (sweeping net), 03-III-2017, (1 nymph). Pepper (sweeping net), 31-III-2017 (2 males). Río Negro. Campo Grande. Spontaneous vegetation (sweeping net), 06-I-2017 (1 nymph). Abandoned pear orchard (pitfall), 31-III-2017, (3 nymphs). Poplar shelterbelt (sweeping net), 31-III-2017, (1 male, 1 female). Bernardis-Gittins-López Armengol cols. (Tables III and IV).
Infraorden Pentatomomorpha
Superfamily Pentatomoidea
Family Pentatomidae
Tribe Carpocorini
Dichelops furcatus (Fabricius)
Geographic distribution. Argentina: Buenos Aires, Chaco, Córdoba, Jujuy, Mendoza, Misiones, Salta, San Juan, Santa Fe, Santiago del Estero and Tucumán (Grazia & Schwertner, 2008). This species is widely distributed in the Neotropical region (Pannizi et al., 2016, 2018). Río Negro is a new province record.
Feeding habits. Polyphagous.
Plant associations. This species feeds on 27 host plants including cultivated and wild species, such as "soybean", "sunflower", "maize", "oat", "wheat" (Pannizi et al., 2016, 2018).
Economic importance. This species can cause an important damage in "soybean" and "maize" (Chocorosqui & Pannizi, 2004; Roza-Gomes et al., 2011).
Material studied. Río Negro. Campo Grande. Abandoned pear orchard (pitfall), 03-III-2017, (3 nymphs). Abandoned pear orchard (sweeping net), 03-III-2017, (2 nymphs). Tomato (sweeping net), 31-III-2017, (1 male). Bernardis-Gittins-López Armengol, cols. (Table III and IV).
Superfamily Coreoidea
Family Rhopalidae
Subfamily Rhopalinae
Tribe Harmostini
Harmostes (Harmostes) prolixus Stål
Geographic distribution. Argentina: Buenos Aires, Catamarca, Chaco, Córdoba, Corrientes, Entre Ríos, Jujuy, La Pampa, La Rioja, Mendoza, Misiones, Salta, San Luis, Santa Fe, Santiago del Estero and Tucumán (Melo & Montemayor, 2015; Dellapé et al., 2020). Río Negro and Neuquén are new province records. This species is also known from Bolivia, Brazil, Paraguay, Peru and Uruguay (Göllner-Scheiding, 1978, 1983; Melo & Montemayor, 2015; Dellapé et al., 2020).
Feeding habits. Phytophagous.
No plants association recorded.
Economic importance. No economic damages registered.
Material studied. Neuquén. Plottier. Spontaneous vegetation (sweeping net), 03-II-2017, (1 female). Río Negro. Campo Grande. Abandoned pear orchard (sweeping net), 03-III-2017, (1 female). Bernardis-Gittins-López Armengol, cols. (Table IV).
Harmostes (Neoharmostes) procerus Berg
Geographic distribution. Argentina: known from all provinces (Melo & Montemayor, 2015; Dellapé et al., 2020). It has been also recorded for Brazil, Peru, and Uruguay (Melo & Montemayor, 2015).
Feeding habits. Phytophagous.
Plant associations. Seepwillow, “romerillo”, "pichana" (Melo & Montemayor, 2015).
Economic importance. No economic damages registered.
Material studied. Río Negro. Campo Grande. Spontaneous vegetation (pitfall), 03-II-2017, (1 male). Bernardis-Gittins-López Armengol, cols. (Table IV).
Superfamily Lygaeoidea
Family Geocoridae
Subfamily Geocorinae
Geocoris sp.
Feeding habits. Predator.
Comments: All species in this genus are predators, and can be abundant in agroecosystems. Some species in the genus are considered to be of value in biological control of crop pests.
Material studied. Neuquén. Plottier. Tomato (sweeping net), 06-I-2017, (1 nymph). Pepper (pitfall), 03-III-2017, (1 male). Río Negro. Campo Grande. Abandoned pear orchard (pitfall), 3-II-2017, (1 male, 1 female). Bernardis-Gittins-López Armengol, cols. (Table III and IV).
Family Lygaeidae
Subfamily Orsillinae
Tribe Nysiini
Nysius simulans Stål
Geographic distribution. Argentina: Buenos Aires, Catamarca, Chaco, Chubut, Córdoba, Corrientes, Entre Ríos, La Pampa, La Rioja, Mendoza, Misiones, Neuquén, Río Negro, Salta, San Juan, San Luis, Santa Fe, Santiago del Estero and Tucumán (Dellapé, 2014; Pall et al., 2016; Dellapé et al., 2020).
This species has been also recorded for Brazil, Paraguay, and Uruguay (Dellapé & Henry, 2020).
Feeding habits. Phytophagous.
Plant associations. According to Pall et al. (2016) the following list of plants are associated with the attack by N. simulans in Argentina: Gramineae: "maize", Linaceae: "flax", Poaceae: "wheat", Malvaceae: "cotton", Asteraceae: "lettuce", Solanaceae: "tobacco" and "potato", Rosaceae: "plum", Vitaceae: "vine", Fabaceae: "soybean" (Di Iorio, 2004). Also, other plants, Asteraceae: Gamochaeta sp., Brassicaceae: "capsella", "field mustard", "rapeseed" and "giant mustard" (Aragón & Flores, 2006); more recently, it has been found in "sunflower", and exotic plants as "wild rocket" and "barnaby thistle" all Asteraceae (Carmona et al., 2015).
Economic importance. Nysius simulans is abundant in most of the country and frequently present on many cultivated plants. This species has been recently a problem to "soybean" (Aragón & Flores, 2006; Igarzábal et al., 2009; Molinari & Gamundi, 2010), "quinua" (Dughetti et al., 2015; Rivas & Dughetti, 2015) and "sunflower" (Carmona et al., 2015; Renzi Pugni et al., 2015).
Comments: Although N. simulans is an almost ubiquitous species in Argentina, it is commonly confounded or mixed with populations of other species in the genus, and with species of the closely relative genus Xyonysius.
Material studied. Neuquén. Plottier. Spontaneous vegetation (pitfall), 06-I-2017, (20 males, 19 females); 03-II-2017, (1 male, 1 female). Spontaneous vegetation (sweeping net), 06-I-2017, (5 males, 3 females); 03-II-2017, (17 males, 10 females); 31-III-2017, (2 males). Pepper (pitfall), 06-I-2017 (1 females); 31-III-2017, (1 female). Tomato (pitfall), 06-I-2017, (1 males), (sweeping net), (1 male, 2 females); 03-II-2017, (2 females); 03-III-2017, (1 male); 31-3-2017 (1 male). Poplar shelterbelt, 06-I-2017, (sweeping net) (2 females). Poplar shelterbelt (pitfall), 03-II-2017, (1 specimen). Río Negro. Campo Grande. Spontaneous vegetation (pitfall), 06-I-2017, (43 males, 44 females); 3-II-2017, (1 male, 2 females); 31-III-2017, (1 female). Spontaneous vegetation (sweeping net), 06-I-2017, (1 male); 3-II-2017, (1 female); 31-III-2017, (2 males, 3 females). Abandoned pear orchard (pitfall), 06-I-2017, (6 males, 6 females); 3-II-2017, (1 female). Pepper (pitfall), 06-I-2017, (3males, 4 females); 3-II-2017, (1 males). Tomato (pitfall), 06-I-2017, (4 males, 4 females). Tomato (sweeping net), 06-I-2017, (2 males). Poplar shelterbelt (pitfall), 06-I-2017, (1 female). Abandoned pear orchard (sweeping net), 31-III-2017, (2 females). Bernardis-Gittins-López Armengol, cols. (Tables III and IV).

* = new records.
Order Coleoptera
Family Curculionidae
Subfamily Ceutorhynchinae
Hypurus bertrandi (Perris)
Common name. Portulaca leaf mining weevil.
Geographic distribution. Native to the Mediterranean region of Europe and Africa, and introduced in North America and South America (Chile and Argentina). In Chile was reported for the Maule region. Neuquén is a new province record.
Feeding habits. Phytophagous.
Plant associations. It shows preference for "portulaca". The larvae mine in Portulaca sp. leaves and adults also feed on leaves. Considered a pest in several countries, it is a potential pest in Argentina.
Material studied. Neuquén: Plottier. Spontaneous vegetation (pitfall), 06-I-2017, (2 specimens). Tomato (pitfall), 03-II-2017, (3 specimen); 03-III-2017, (11 specimens). Pepper (pitfall), 06-I-2017, (4 specimens); 03-II-2017, (12 specimens); 03-III-2017, (12 specimens); 31-III-2017, (1 specimen). Bernardis-Gittins-López Armengol cols. (Tables III and IV).
Subfamily Cyclominae
Listroderes costirostris Schoenherr species complex
Common name. Vegetable weevil.
Geographic distribution. Native to South America, where it was recorded in Argentina, Bolivia, Brazil, Chile (including Easter Island and Juan Fernández Islands). In Argentina it is widespread in several provinces: Buenos Aires, Catamarca, Chaco, Chubut, Córdoba, Corrientes, Entre Ríos, Formosa, Jujuy, La Pampa, La Rioja, Mendoza, Misiones, Neuquén, Río Negro, Salta, San Juan, San Luis, Santa Fe, Santiago del Estero and Tucumán. It has been introduced into Australia, France, New Zealand, Portugal, Spain, South Africa, USA and Japan (Lanteri et al., 2002).
Feeding habits. Phytophagous.
Plant associations. It is a primary pest of vegetables, found in many wild and cultivated hosts (more than 80).
It is frequent especially on cruciferous. In Argentina it was reported on "pale dock" (Polygonaceae), Senecio sp. (Asteraceae), Stellaria sp. (Caryophyllaceae) and several legumes (Fabaceae), "field mustard", "rapeseed", "cabbage", "radish" and Nasturtium sp. (Brassicaceae); "sunflower", "camomile" (Asteraceae); "soybean" (Fabaceae); "tobacco", "potato" (Solanaceae); "celery" and "carrots" (Apiaceae) (Lanteri et al., 2002).
Larvae destroy the tender young crown leaves of carrots and turnips. Adults often cause extensive damage by feeding on the leaves of small "tomato" and "potato" plants (Solanaceae), by cutting off the stems of plants at ground level. Females reproduce by parthenogenesis.
Material studied. Río Negro. Campo Grande. Abandoned pear orchard (pitfall), 31-III-2017, (1 female). Bernardis-Gittins-López Armengol cols. (Table IV).
Subfamily Entiminae
Tribe Naupactini
Aramigus tessellatus (Say)
Geographic distribution. Native to South America (Argentina, southern Brazil and Uruguay). In Argentina it is widespread in several provinces: Buenos Aires, Chaco, Córdoba, Corrientes, Entre Ríos, Jujuy, La Pampa, Misiones, Neuquén, Río Negro, Santa Fe, Santiago del Estero and Tucumán. Introduced in Chile, Mexico and USA (Lanteri & del Río, 2020).
Feeding habits. Phytophagous.
Plant associations. Harmful for roots of cereals as "wheat", "oat" and "barley". It causes damage on "alfalfa" (Fabaceae), "sunflower" (Asteraceae), "potato" (Solanaceae), "weat", "oat" and "barley" (Poaceae) (Lanteri et al., 2002). In Chile it affects "raspberry", "sweet cherry", "apple" (Rosaceae), and Lupinus sp. (Fabaceae) (Elgueta, 1993).
Lifecycle. Males are unknown or scarce and the species reproduces by parthenogenesis in most of its range. It is common in pastures, shrubs and crops of the Pampean biogeographic province.
Material studied. Neuquén. Plottier. Spontaneous vegetation (sweeping net), 06-I-2017, (2 females); 02-III-2017, (1 female). Bernardis-Gittins-López Armengol cols. (Table IV).
Naupactus cervinus Boheman
Common names. Fuller’s rose weevil, Fuller’s rose beetle.
Geographic distribution. Native to Argentina, southern Brazil, Paraguay and Uruguay. Introduced in Chile, Australia, New Zealand, Japan and several Pacific Islands, as well as other countries of Central America, North America, Europe, and South Africa. In Argentina it is widespread in several provinces: Buenos Aires, Catamarca, Chaco, Chubut, Córdoba, Corrientes, Chubut, Entre Ríos, Jujuy, Mendoza, Misiones, Salta, Santa Fe and Tucumán (Lanteri & del Río, 2020).
Feeding habits. Phytophagous.
Plant associations. It is a major pest of Citrus spp. (Rutaceae), other fruit plants and ornamental plants. Examples of fruit plants are Musa sp. (Musaceae), “avocado” (Lauraceae), "walnut" (Juglandaceae), "strawberry", "apple", "plum" (Rosaceae). Among ornamentals there are Rosa sp. (Rosaceae), Begonia sp. (Begoniaceae), Gardenia sp. (Rubiaceae), Hibiscus sp. (Malvaceae), Hydrangea sp. (Hydrangeaceae), Lilium sp. (Liliaceae) and others. Other crops are "potato" (Solanaceae), "alfalfa", Phaseolus sp. (Fabaceae), and Cucurbita sp. (Cucurbitaceae) (Lanteri et al., 2002).
Lifecycle. Adults of N. cervinus feed on foliage and larvae feed on roots. Under severe infestations, these weevils can consume the entire leaf, leaving only the midrib. Plants with severe root damage are more vulnerable to other biotic and abiotic factors (e.g., fungal infections with Phytopthora spp.) and may die during periods of drought. Larval damage can be serious on vegetable crops but relatively minor in citrus. Reproduction occurs without fertilization, a phenomenon known as parthenogenesis, except in small native areas of Argentina and Brazil.
Material studied. Neuquén. Plottier. Abandoned pear orchard (pitfall), 31-III-2017, (1 female). Bernardis-Gittins-López Armengol cols. (Table IV).
Naupactus leucoloma Boheman
Common names. White-fringed weevil, white-fringed beetle.
Geographic distribution. Native to South America: Argentina, southern Brazil and Uruguay. Introduced in Chile (including Easter Island and Juan Fernández Islands), Peru, Mexico, USA, Australia, New Zealand and South Africa. In Argentina it is widespread in several provinces: Buenos Aires, Catamarca, Chaco, Chubut, Córdoba, Corrientes, Entre Ríos, Formosa, Jujuy, La Pampa, La Rioja, Mendoza, Río Negro, Salta, San Juan, San Luis, Santa Fe, Santiago del Estero and Tucumán (Lanteri & del Río, 2020). Neuquén is a new province record.
Feeding habits. Phytophagous.
Plant associations. It shows a broad host range, of about 385 plant species worldwide, including ornamentals, fruit trees, horticultural and industrial crops and forage. The major crop species are: Brassica sp. (Brassicaceae), "carrots" (Apiaceae), "strawberry", Rubus sp. and Prunus sp. (Rosaceae), "peanut", "soybean", "alfalfa", "beans", "pea", "cowpea" and Trifolium spp. (Fabaceae), "onion" (Amarydillaceae), "potato" and "pepper" (Solanaceae), "maize" (Poaceae), "sweet potato" (Convolvulaceae). Fabaceae are major hosts in Argentina, Brazil, Chile and Uruguay (Lanteri et al., 2002). Pastures can be seriously damaged in Australia and New Zealand.
Lifecycle. Adults feed at the bases of leaf margins, leaving characteristic “notching”. This feeding behavior injures plants seriously only if adults are very numerous. Larvae gnaw at tap roots, the basal parts of stems and the small lateral roots. When feeding is severe, plants turn yellow, wilt and die. Plants on which only a small amount of the cambium layer is eaten usually survive, but produce little or no crop. In lucerne, the larvae usually chew into the taproot, make a furrow along it and these results in the death of young plants. In "potatoes" damage is more spectacular, as larvae tunnel inside the tubers. The nitrogen fixation rate of Trifolium repens L. is reduced by 92% by N. leucoloma in New Zealand.
Except in some small areas of Argentina, populations of N. leucoloma include only parthenogenetic females.
Material studied. Neuquén. Plottier. Poplar shelterbelt (pitfall), 06-I-2017, (1 female). Spontaneous vegetation (pitfall), 03-III-2017, (1 female). Abandoned pear orchard (pitfall); 03-III-2017, (1 female). Bernardis-Gittins-López Armengol cols. (Table IV).
Naupactus xanthographus (Germar)
Common names. Grapefruit weevil, peach-tree weevil, fruit weevil, grape snout beetle.
Geographic distribution. Native to South America (Argentina, southern Brazil, Paraguay and Uruguay). Introduced in Chile, being prevalent in the central zone. The current distribution in Argentina includes several provinces: Buenos Aires, Catamarca, Chaco, Chubut, Córdoba, Corrientes, Entre Ríos, Jujuy, La Pampa, La Rioja, Mendoza, Misiones, Salta, San Juan, San Luis, Santa Fe, Santiago del Estero, Neuquén and Tucumán (Lanteri & del Río, 2020). Río Negro is a new province record.
Feeding habits. Phytophagous. The adults feed on shoots and leaves, being particularly injurious to young plants. The larvae live in soil during the whole year, eating the plant's roots.
Plant associations. The major crop species include "vine" (Vitaceae), other fruit plants, mainly "pear", "apple",Rubus sp., Prunus sp., (Rosaceae), Ribes sp. (Grossulariaceae), "cherries" and "berries" (del Río et al., 2010); "kiwifruit" (Actinidiaceae), "tangerine" (Rutaceae), "avocado" (Lauraceae) and "walnut" (Juglandaceae). It also causes damage in "alfalfa", Trifolium spp. and "bean" (Fabaceae), "maize" (Poaceae), horticultural plants such as "potato", "tomato" (Solanaceae), "asparagus" (Liliaceae) and "beet" (Chenopodiaceae); and garden plants as Ligustrum sp. (Oleaceae) and Rosa sp. (Rosaceae) (Lanteri et al., 2002).
Material studied. Neuquén. Plottier. Abandoned pear orchard (pitfall), 03-III-2017, (1 male). Poplar shelterbelt (sweeping net), 06-I-2017, (1 female); (pitfall), 03-III-2017, (1 female). Tomato (pitfall), 06-I-2017, (1 male); 03-II-2017, (1 female). Río Negro. Campo Grande. Tomate (pitfall), 03-II-2017, (1 male). Abandoned pear orchard (pitfall), 03-II-2017, (1 male). Bernardis-Gittins-López Armengol cols. (Tables III and IV).
Tribe Otiorhynchini
Otiorhynchus ovatus (L.)
Common names. Strawberry Root Weevil
Geographic distribution. It is native to Europe and has been introduced in Canada, USA, Australia, New Zealand, Chile and Argentina: Chubut, Neuquén, Río Negro and Santa Cruz. It is considered invasive due to its parthenogenetic reproduction and associations with many plant species.
Feeding habits. Phytophagous.
Plant associations. It was found associated with "strawberry", Fragaria sp. (Rosaceae) and "blueberry" (Ericaceae) (del Río et al., 2010). In other countries, it causes damage to various ornamental, fruit and forest species.
Material studied. Neuquén. Plottier. Abandoned pear orchard (pitfall), 06-I-2017, (7 female). Bernardis-Gittins-López Armengol cols. (Table IV).
Otiorhynchus rugosostriatus (Goeze)
Common names. Rough Strawberry Root Weevil, “Otiorrinco de la frutilla”.
Geographic distribution. It is native to Europe and North Africa (Palaearctic region), and introduced in New Zealand, Australia, Tasmania, Canada, USA, Chile and Argentina. In Argentina, it was first cited in Río Negro province associated with red fruits (del Río et al., 2010). Neuquén is a new province record. It is considered invasive due to its parthenogenetic reproduction and associations with many plant species.
Feeding habits. Phytophagous.
Plant associations. Mainly, fruits, ornamentals and "berries". In Argentina, it was found associated with "strawberry" and in Chile, it causes damage to "blueberries", "raspberries", "strawberries" Fragaria sp., "apples", "redcurrant" and "vine" (del Río et al., 2010).
Material studied. Neuquén. Plottier. Abandoned pear orchard (pitfall), 06-I-2017, (1 female). Río Negro. Campo Grande. Poplar shelterbelt (pitfall), 31-III-2017, (1 female). Bernardis-Gittins-López Armengol cols. (Table IV).
Otiorhynchus sulcatus (Fabricius)
Common names. Black Vine Weevil, Greenhouse weevil.
Geographic distribution. It is native to Europe (Palaearctic region) and introduced in several places around the world, North America (broadly distributed), Hawaii, Australia, New Zealand, Japan, Malaysia and Russia. In South America it is present in Chile and Argentina: Chubut, Neuquén and Río Negro provinces. In Argentina it was registered for the first time in 2000 (Lanteri et al., 2002). It is considered invasive due to its parthenogenetic reproduction and associations with many plant species.
Feeding habits. Phytophagous.
Plant associations. Numerous host plants of economic importance have been cited in Europe and North America, mainly ornamental, forest, horticultural and fine fruit plants. In Argentina, it causes damage to "strawberry" and "raspberry" (Lanteri et al., 2002; del Río et al., 2010). In Chile, it causes damage in fruit trees (Elgueta, 1993) such as "strawberry", "raspberry", "vine" and "blackberry" (Rosaceae).
Material studied. Neuquén. Plottier. Abandoned pear orchard (pitfall), 06-I-2017, (3 females); 03-II-2017, (1 female); 31-III-2017, (1 female). Bernardis-Gittins-López Armengol cols. (Table IV).
Tribe Sitonini
Sitona discoideus Gyllenhal
Common names. Alfalfa root weevil.
Geographic distribution. Native to southern Europe and northern Africa, introduced in North America, Australia, New Zealand, Tasmania, South Africa, Chile and Argentina: Río Negro. Neuquén is a new province record.
Feeding habits. Phytophagous.
Plant associations. It prefers legumes such as "alfalfa", other Medicago sp. and Trifolium sp. It is a pest of pastures in Australia and New Zealand.
Lifecycle. Larvae feed on roots and root nodules, resulting in stunting and yellowing of the plants due to nitrogen deficiency, adults feed on leaves, usually of the same plant species (del Río et al., 2019).
Material studied. Neuquén. Plottier. Spontaneous vegetation (pitfall), 06-I-2017, (1 female). Bernardis-Gittins-López Armengol cols. (Table IV).
Order Hymenoptera
Family Apidae
Subfamily Eucerinae
Tribe Emphorini
Diadasia pereyrae (Holmberg)
Geographic distribution. Neotropical. Uruguay and Argentina: Buenos Aires, Catamarca, Córdoba, Mendoza, Salta, San Juan, San Luis, Santiago del Estero and Tucumán (Moure, 2007). Río Negro is a new province record.
Biological comments. Pollinator. Diadasia pereyrae nests in the soil and has a solitary life behavior (Jörgensen, 1909). In Mendoza, Jörgensen (1909, 1912) reported that this species visited 32 plant species belonging to 11 families, including Asteraceae, Malvaceae, Convolvulaceae and Solanaceae.
Material studied. Río Negro. Campo Grande. Poplar shelterbelt (pitfall), 03-III-2017, (2 males). Abandoned pear orchard (pitfall), 03-III-2017, (1 male). Bernardis-Gittins-López Armengol, cols. (Table IV).
Subfamily Xylocopinae
Tribe Xylocopini
Xylocopa (Neoxylocopa) augusti Lepeletier
Geographic distribution. Neotropical. Southeastern Brazil, Chile, Paraguay, Uruguay and Argentina: Buenos Aires, Chaco, Corrientes, Córdoba, Entre Ríos, Formosa, Jujuy, La Pampa, Mendoza, Misiones, Río Negro, San Luis, Santa Fe and Tucumán (Lucia et al., 2014). Neuquén is a new province record.
Biological comments. Pollinator. This species nests in solid wood and has a parasocial life behavior (Lucia et al., 2017). Xylocopa augusti is a polilectic species, the presence of 18 pollen types from 11 families of brood cells of several artificial nests was recorded (Lucia et al., 2017). This species presents buzzing behavior to collect pollen and was recorded visiting eggplant crops (Álvarez et al., 2014).
Material studied. Neuquén. Plottier. Tomato (sweeping net), 03-II-2017, (1 female). Bernardis-Gittins-López Armengol, cols. (Table III).
Family Halictidae
Subfamiliy Halictinae
Tribe Halictini
Dialictus autranellus (Vachal)
Geographic distribution. Neotropical. Paraguay and Argentina: Buenos Aires (Dalmazzo et al., 2014). Río Negro is a new province record.
Biological comments. Pollinator. Species of Dialictus nest in the soil and present life habits from solitary to eusocial (Michener, 2007; Dalmazzo et al., 2014).
Material studied. Río Negro. Campo Grande. Tomato (pitfall), 03-III-2017, (1 female). Pepper (pitfall), 31-III-2017, (1 female). Bernardis-Gittins-López Armengol, cols. (Table III).
Tribe Caenohalictini
Pseudagapostemon (Neagapostemon) singularis Jörgensen
Geographic distribution. Neotropical. Argentina: Buenos Aires, La Rioja, Mendoza, Río Negro and San Luis (Dalmazzo et al., 2014). Neuquén is a new province record.
Biological comments. Pollinator. Species of Pseudagapostemon nest in the soil (Michener, 2007). Jörgensen (1912) reported this species on P. alpataco Phil.
Material studied. Neuquén. Plottier. Abandoned pear orchard (pitfall), 03-III-2017, (1 female). Pepper (pitfall), 31-III-2017, (2 females). Bernardis-Gittins-López Armengol, cols. (Tables III and IV).
Pseudagapostemon (Pseudagapostemon) pampeanus (Holmberg)
Geographic distribution. Neotropical. Brazil, Uruguay and Argentina: Buenos Aires, La Rioja, Neuquén, Río Negro, Salta and Santa Fe (Dalmazzo et al., 2014).
Biological comments. Pollinator. Species of Pseudagapostemon nest in the soil (Michener, 2007).
Material studied. Neuquén. Plottier. Tomato (pitfall), 03-III-2017, (1 female). Río Negro. Campo Grande. Tomato (pitfall), 06-I-2017, (1 female). Pepper (pitfall) (1 female). Bernardis-Gittins-López Armengol, cols. (Table III).
Family Vespidae
Subfamily Vespinae
Vespula germanica (Fabricius)
Geographic distribution. Native to the Palaearctic, and introduced in Australia, New Zealand, North America, South America, South Africa, Ascencion Island, Madeira, Canary Islands and Iceland (Beggs et al., 2011). In Argentina it was registered by Willink (1980), and it is distributed from the north of the province of Mendoza to the south of the province of Tierra del Fuego and from the Andes to the Atlantic Ocean (Masciocchi & Corley, 2013; Sola et al., 2015).
Biological comments. Eusocial and with generalist predator behavior, it can negatively affect natural ecosystems and economic activities, including beekeeping, horticulture and tourism (Masciocchi & Corley, 2013).
Material studied. Neuquén. Plottier. Spontaneous vegetation (pitfall), 06-0I-2017, (3 males); 03-II-2017, (1 male); 31-III-2017 (1 male). Pepper (pitfall), 03-II-2017, (1 male); 03-III-2017, (1 male). Tomato (sweeping net), 03-III-2017; 31-III-2017 (1 male); (pitfall), 31-III-2017, (1 male). Poplar shelterbelt (sweeping net), 03-II-2017, (1 male); (pitfall), 31-III-2017 (1 male). Río Negro. Campo Grande. Poplar shelterbelt (pitfall), 31-III-2017, (1 male). Abandoned pear orchard (pitfall), 31-III-2017, (1 male). Bernardis-Gittins-López Armengol, cols. (Tables III and IV).
DISCUSSION
Among the species listed in the present work, 74% are herbivorous, of which 55% are pests, but within this percentage only 35% correspond to horticultural species and the rest to cereals and fruit trees. The remaining 45% of herbivourous species are not pests and can act as alternative prey for predator populations with interest for biological control. Among the non-herbivores (26%) three species are of interest for biological control and five for pollination. It is worth mentioning that only some of the insect families captured in the study are published in the present work. Even so, the species listed herein show the importance of the vegetation areas surrounding the crops. The predatory species were found mainly in the patches of vegetation with greater complexity in their structure since there are herbaceous, shrub and arboreal species (abandoned fruit orchard in the rural area and spontaneous vegetation patch in the peri-urban area), and which also present a greater number of species that represent a source of pollen and / or nectar for insects. Other studies analysing bees, true bugs, and carabids separately in each landscape confirmed that diversity patterns in mosaic agricultural landscapes are strongly determined by the interplay of species’ dispersal abilities and landscape structure (Steffan-Dewenter & Tscharntke, 2002; Thomas, 2000). Something similar is observed with species that are pollinators. Floral resource availability is considered a major driving force that directly regulates the abundance and diversity of wild bees’ communities (Potts et al., 2003; Roulston & Goodell, 2011).
ACKNOWLEDGMENTS
The authors thank Instituto Nacional de Tecnología Agropecuaria (INTA), Consejo Nacional de Investigaciones Científicas y Técnicas (CONICET) and Comisión de Investigaciones Científicas de la Provincia de Buenos Aires (CIC). This work was supported by INTA and was performed under a specific agreement between INTA- Facultad de Ciencias Naturales y Museo, Universidad Nacional de La Plata.
LITERATURE CITED
Álvarez, L.J., Lucia, M., Ramello, P.J., & Abrahamovich, A.H. (2014) Abejas asociadas a cultivos de Berenjena (Solanummelongena L, Solanaceae) en invernadero del Cinturón Hortícola de La Plata, Buenos Aires, Argentina. Revista de la Facultad de Agronomía, La Plata, 113(2), 211-217.
Aquino, D.A., Cichón, L., Garrido, S., Lago, J., Amún, E., & D'Herve, F. (2013) First record of Acerophagus griseus (Hymenoptera: Encyrtidae) as parasitoid of Pseudococcus viburni (Signoret) (Hemiptera: Pseudococcidae) in Alto Valle of Río Negro, Argentina. Revista de la Sociedad Entomológica Argentina, 72(1-2), 35-39.
Aragón, J., & Flores, F. (2006) Control Integrado de Plagas en Soja en el Sudeste de Córdoba. INTA Marcos Juárez. Argentina. Available at: http://www.inta.gov.ar/mjuarez [May-2020]
Azevedo-Filho, W.S., & Carvalho, G.S. (2004) Guia para coleta e identificação de cigarrinhas em pomares de citros no Río Grande do Sul. Edipucrs, Porto Alegre.
Azevedo-Filho, W.S., & Carvalho, G.S. (2006) Cigarrinhas de citros no Río Grande do Sul: Taxonomia. Edipucrs, Porto Alegre.
Azevedo-Filho, W.S., Botton, M., Paladini, A., Carvalho, G.S., Ringenberg, R., & Lopes, J.R.S. (2008) Egg brochosomes of Proconiini (Hemiptera: Cicadellidae, Cicadellinae) species associated with cultivation of grapevines. Scientia Agricola, 65(2), 209-213.
Beggs, J.R., Brockerhoff, E.G., Corley, J.C., Kenis, M., Masciocchi, M., Muller, F., Rome, Q., & Villemant, C. (2011) Ecological effects and management of invasive alien Vespidae. BioControl, 56, 505-526.
Bennett, C.W., & Munck, C. (1946) Yellow Wilt of sugar beet in Argentina. Journal of Agricultural Research, 73, 45-64.
Berg, C. (1879) Hemiptera. Argentina (Continuación). Anales de la Sociedad Científica Argentina, 8, 209-226.
Bourgoin, T. (2019) FLOW (Fulgoromorpha Lists on The Web): a world knowledge base dedicated to Fulgoromorpha. Version 8, updated [2020-03-05]. http://hemiptera-databases.org/flow/
Braman, S.K. (2000) Damsel bugs (Nabidae). Heteroptera of Economic Importance (ed. Schaefer, C.W., & Panizzi, A.R.), pp. 639-656. CRC Press, Boca Raton.
Buck, L., Lassoie, J., & Fernandes, E. (1999) Agroforestry in Sustainable Agricultural Systems. CRC Press, Boca Raton, FL.
Campodónico, J.F. (2017) A new species of Pentagramma Van Duzee (Hemiptera: Delphacidae: Asiracinae) from Chile, with notes on the host relations of the Idiosystatini Emeljanov. Zootaxa, 4291(3), 588-594.
Carloni, E., Virla, E., Paradell, S., Carpane, P., Nome, C., Laguna, I., & Gimenez Pecci, M.P. (2011) Exitianus obscurinervis (Hemiptera: Cicadellidae), a new experimental vector of Spiroplasma kunkelii. Journal of Economic Entomology, 104(6), 1793-1799.
Carmona, D., Dughetti, A., Rodriguez, G., Quiroz, F., & Manetti, P. (2015) La “chinche diminuta”, Nysius simulans Stål, problema emergente en cultivo de girasol. Informe Técnico INTA.
Carpintero, D.L., & Carvalho, J.C.M. (1992) An annotated list of the Miridae of the Argentine Republic (Hemiptera). Revista Brasileira de Biologia, 53, 397-420.
Carpintero, D.L., & De Biase, S. (2011) Los Hemiptera Heteroptera de la Isla Martín García (Buenos Aires, Argentina). Historia Natural, 1(2), 27-47.
Carpintero, D.L., De Biase, S., & Konopko, S.A. (2014) Hemiptera-Heteroptera de la Reserva Ecológica Costanera Sur (Ciudad Autónoma de Buenos Aires), Argentina. Revista del Museo Argentino de Ciencias Naturales, n. s., 16(1), 67-80.
Carpintero, D.L., De Biase, S., Damer, L., & Konopko, S.A. (2016) Chinches (Hemiptera: Heteroptera) de la Reserva Ecológica Vicente López. Historia Natural, Tercera Serie, 6(1), 61-74.
Carvalho, J.C.M. (1958) A catalogue of the Miridae of the world. Part II. Arquivos do Museu Nacional, Río de Janeiro, 45, 1-216.
Carvalho, J.C.M., & Afonso, C.D.S. (1977) Mirideos Neotropicais, CCVIII: Sobre uma coleção enviada para estudo pela academia de ciências da Califórnia (Hemiptera). Revista Brasileira de Biologia, 37, 7-16.
Carvalho, J.C.M., & Fiúza Ferreira, P.S. (1972) Mirideos Neotropicais, CXLV: Estudo de duas Colecoes da Republica do Peru (Hemiptera). Revista Brasileira de Biologia, 32, 177-183.
Catalano, M.I., Paradell, S.L., & Remes Lenicov, A.M.M. de (2009) Consideraciones taxonómicas y biológicas sobre Edwardsiana froggatti (Baker), la chicharrita amarilla del manzano (Hemiptera-Auchenorrhyncha- Cicadellidae). Interciencia, 34(6), 424-427.
Chocorosqui, V.R., & Panizzi, A.R. (2004) Impact of cultivation systems on Dichelops melacanthus (Dallas) (Heteroptera: Pentatomidae) population and damage and its chemical control on wheat. Neotropical Entomology, 33(4), 487-492.
Cordo, H.A., Logarzo, G., Braun, K., & Di Iorio, O.R. (2004) Catálogo de insectos fitófagos de la Argentina y sus plantas asociadas. South American Biological Control Laboratory, USDA-ARS, Buenos Aires, Argentina.
Cornelis, M., & Coscarón, M.C. (2013) The Nabidae (Insecta, Hemiptera, Heteroptera) of Argentina. Zookeys, 333, 1-30.
Costilla, M.A., Basco, H.J., & Osores, V.M. (1972) Primera cita para Tucumán del bicho llovedor de la caña Tapajosa rubromarginata (Signoret) (Homoptera - Cicadellidae), en cultivos de caña de azúcar. Revista de Investigaciones Agropecuarias,28, 126-129.
Creamer, R., Carpenter, J., & Rascon, J. (2003) Incidence of the beet leafhopper, Circulifer tenellus (Homoptera: Cicadellidae) in New Mexico. Southwestern Entomologist, 28(3), 177-182.
Dalmazzo, M., González Vaquero, R.A., Debandi, G., & Roig Alsina, A. (2014) Halictidae. Biodiversidad de Artrópodos Argentinos (Vol. 4) (ed. Roig-Juñent, S., Claps, L.E., & Morrone, J.J.), pp. 203-219. Ed. INSUE, Universidad Nacional de Tucumán, San Miguel de Tucumán, Argentina.
Dapoto, G.A., & Giganti, H. (1994) Bioecología de Nematus desatisi Smith (Hymenoptera: Tenthredinidae: Nematinae) en las provincias de Río Negro y Neuquén (Argentina). Bosque,15(1), 27-32.
Dapoto, G.A., Giganti, H., Bondoni, M., & Olave, A. (2010) Primer registro de Hypercompe indecisa (Lepidoptera: Noctuidae: Arctiinae) en perales y álamos en la Patagonia. Revista de la Sociedad Entomológica Argentina, 69(1-2), 137-139.
De Leijster, V., Santos, M.J., Wassen, M.J., Ramos-Font, M.E., Robles, A.B., Díaz, M., Staal, M., & Verweij, P.A. (2019) Agroecological management improves ecosystem services in almond orchards within one year. Ecosystem Services, 38(38), 1-12.
Defea, B. (2018) Biodiversidad de Cicadellini en las regiones norte y centro de la Argentina (Insecta-Hemiptera-Cicadellidae). Tesis Doctoral. Facultad de Ciencias Naturales y Museo. Universidad Nacional de La Plata.
del Río, M.G., Klasmer, P., & Lanteri, A.A. (2010) Gorgojos (Coleoptera: Curculionidae) perjudiciales para “frutos rojos” en la Argentina. Revista de la Sociedad Entomológica Argentina, 69(1-2), 101-110.
del Río, M.G., Lanteri, A.A., Gittins López, C.G., Rivero, V.I., González, D.A., & López Armengol, M.F. (2019) First record of the exotic pest Sitona discoideus Gyllenhal 1834 (Coleoptera: Curculionidae) in Argentina. Revista de la Sociedad Entomológica Argentina, 78(2), 30-33.
Dellapé, G. (2013) Cicadelinos potenciales vectores de patógenos en cultivos citrícolas del NE argentino. Estudios taxonómicos y moleculares (Insecta: Hemiptera: Cicadellidae). Tesis Doctoral. Facultad de Ciencias Naturales y Museo. Universidad Nacional de La Plata.
Dellapé, G., Logarzo, G.A., Virla, E.G., & Paradell, S.L. (2011) New records on the geographical distribution of South American Sharpshooters (Cicadellidae: Cicadellinae: Proconiini) and their potential as vectors of Xylella fastidiosa. Florida Entomologist, 94(2), 364-366.
Dellapé, G., Paradell, S., Delfederico, L., & Semorile, L. (2016) The potential vectors of Xylella fastidiosa from Argentina: a study of leafhoppers and treehoppers (Hemiptera: Auchenorrhyncha) on citrus agroecosystems. Entomologia Experimentalis et Applicata, 161(2), 92-103.
Dellapé, P.M. (2014) Lygaeoidea. Biodiversidad de Artrópodos Argentinos (Vol. 3) (ed. Roig-Juñent, S., Claps, L.E., & Morrone, J.J.), pp. 421-438. Editorial INSUE - UNT, Argentina.
Dellapé, P.M., & Henry, T.J. (2020) Lygaeoidea Species File. Version 5.0/5.0. [May-2020]. http://Lygaeoidea.SpeciesFile.org
Dellapé, P.M., Melo, M.C., Montemayor, S.I., Dellapé, G., & Brailovsky, H. (2015) Terrestrial Heteroptera (Hemiptera) from Moconá Provincial Park (Misiones, Argentina). Check List, 11(3), 1662.
Dellapé, P.M., Melo, M.C., Dellapé, G. & Olivera, L. (2020) Pentatomomorpha (Hemiptera: Heteroptera) species from Argentina and Uruguay. [December 2020]. https://biodar.unlp.edu.ar/pentatomomorpha/
D'Hervé, F.E., Remes Lenicov, A.M.M. de, & Aquino, D.A. (2017) Neodelphax fuscoterminata (Hemiptera: Fulgoroidea: Delphacidae) y su enemigo natural Anagrus incarnatosimilis (Hymenoptera: Mymaridae), primer registro sobre frutos de manzano. Revista del Museo Argentino Ciencias Naturales, n.s. 19(1), 85-90.
Di Iorio, O. (2004) Hemiptera. Lygaeidae. Catálogo de Insectos Fitófagos de la República Argentina y sus Plantas Asociadas (ed. Cordo, H.A., Logarzo, G., Braun, K., & Di Iorio, O.), 249-253. South American Biological Control Laboratory, USDA-ARS, Buenos Aires, Argentina.
Dieköter, T., Billeter, R., Thomas, O., & Crist, T.O. (2007) Effects of landscape connectivity on the spatial distribution of insect diversity in agricultural mosaic landscapes. Basic and Applied Ecology, 9(3), 298-307.
Dughetti, A.C., Zárate, A.O., & Rivas, J.C. (2015) La chinche diminuta Nysius simulans: plaga emergente en quinua y otros cultivos en el valle bonaerense del Río Colorado. Informe Técnico de la E.E.A. Hilario Ascasubi No46.
Elgueta, M. (1993) Las especies de Curculionoidea (Insecta: Coleoptera) de interés agrícola en Chile. Santiago, Chile. Museo Nacional de Historia Natural, Publicación Ocasional, 48, 1-79.
FAO (2015a) Horticultura y otros cultivos en la Provincia de Río Negro. Informe de diagnóstico de los principales valles y áreas con potencial agrícola en la provincia de Río Negro. Documento de Trabajo N°6. Proyecto FAO UTF ARG 017. Desarrollo Institucional para la Inversión. Organización de las Naciones Unidas para la Alimentación y la Agricultura.
FAO (2015b) Horticultura y otros cultivos Provincia de Neuquén. Informe de diagnóstico de los principales valles y áreas con potencial agrícola en la provincia de Neuquén. Documento de Trabajo N°12. Proyecto FAO UTF ARG 017. Desarrollo Institucional para la Inversión. Organización de las Naciones Unidas para la Alimentación y la Agricultura.
Fernández Lozano, J. (2012) La producción de hortalizas en Argentina. Mercado Central de Buenos Aires.
Fiúza Ferreira, P.S., & Henry, T.J. (2011) Synopsis and keys to the tribes, genera, and species of Miridae (Hemiptera: Heteroptera) of Minas Gerais, Brazil Part I: Bryocorinae. Zootaxa, 2920(1), 1-41.
Fiúza Ferreira, P.S., da Silva, E.R., & Coelho, L.B. (2001) Miridae (Heteroptera) fitófagos e predadores de Minas Gerais, Brasil, com ênfase em espécies com potencial econômico. Iheringia, Série Zoologia, 91, 159-169.
Forman, R.T.T., & Godron, M. (1986) Landscape ecology. Wiley, New York.
Garrido, S., Cichón, L., & Fernández, D. (2007) Control biológico de Carpocapsa. Revista Fruticultura y Diversificación, 54, 26-33.
Garrido, S.A., Cichón, L.I., Lago, J.D., Aquino, D.A., Vallina, C., & Luna, M.G. (2017) Primer registro de Pseudapanteles dignus (Hymenoptera: Braconidae) como parasitoide de Tuta absoluta (Lepidoptera: Gelechiidae) en el Alto Valle de Río Negro, Argentina. Revista de la Sociedad Entomológica Argentina, 76(1-2), 46-49.
Giganti, H.E., Dapoto, G.L., & Delfino, M.A. (2004) Chaitophorus leucomelas Koch hemiptera, aphid(idae) en Río Negro y Neuquén (Argentina). Características morfológicas y biológicas. Revista de Investigaciones Agropecuarias, 33(2), 27-39.
Gili, P., Marando, G., Irisarri, J., & Sagardoy, M. (2004) Efecto de las técnicas de lavado y fertilización sobre la salinidad en suelos del Alto Valle de Río Negro y Neuquén, Argentina. Agricultura Técnica, 64(3), 295-304.
Göllner-Scheiding, U. (1978) Revision der Gattung Harmostes Burm., 1835 (Heteroptera, Rhopalidae) und einige bemerkungen zu den Rhopalinae. Mitteilungen aus dem Zoologischen Museum in Berlin, 54(2), 257-311.
Göllner-Scheiding, U. (1983) General-Katalog der Familie Rhopalidae (Heteroptera). Mitteilungen aus dem Zoologischen Museum in Berlin, 59(1), 37-189.
González, E.V., Heredia, J.F., Cichón, L., & Fernández, D. (2011) Crisópidos (Insecta: Neuroptera) asociados a frutales de pepita en el Alto Valle de Río Negro y Neuquén (región Patagonia Norte Argentina). Horticultura Argentina. Revista Asociación Argentina de Horticultura, 30(73), 5-8.
Goodall, D.W. (1952) Some considerations in the use of point quadrats for the analysis of vegetation. Australian Journal of Scientific Research (Series B: Biol. Sciences), 5(1), 1-41.
Grazia, J., & Schwertner, C.F. (2008) Pentatomidae e Cyrtocoridae. Biodiversidad de Artrópodos Argentinos (Vol. 2) (ed. Claps, L.E., Debandi, G., & Roig-Juñent, S.), pp. 223-234. Sociedad Entomológica Argentina, Tucumán, Argentina.
Harpaz, I. (1972) Maize Rough Dwarf. A planthopper virus disease affecting maize, rice, small grains and grasses. Israel Universities Press, Jerusalem.
Igarzábal, D., Fichetti, P., Gálvez, M.C., M. Laguzzi, M.A., Lábaque, M. & Weissbein, A. (2009) Reconocimiento y Manejo Práctico de Plagas. Manual de manejo del cultivo de Soja. 1ra ed. (ed. García, F., Ciampitti, I., & Baigorri, H.), pp. 129-150. IPNI, Buenos Aires.
Jones, J., & Deitz, L. (2009) Phylogeny and systematics of the leafhopper subfamily Ledrinae (Hemiptera: Cicadellidae). Zootaxa, 2186(1), 1-120.
Jörgensen, P. (1909) Beobachtungen über Blümenbesuch, Biologie, Verbreitung usw. dier Bienen von Mendoza (Hymenoptera). Deutsch Entomologish Zeitschrift, 53(1), 53-65.
Jörgensen, P. (1912) Los crisídidos y los himenópteros aculeatos de la Provincia de Mendoza. Anales del Museo Nacional de Historia Natural de Buenos Aires, 22, 267-338.
Kelton, L.A. (1980) Lectotype designation for Idolocoris agilis, and descriptions of three new species of Dicyphus Fieber from North America (Heteroptera: Miridae). Canadian Entomologist, 112(4), 387-392.
Kennedy, K.A., & Addison, P.A. (1987) Some considerations for the use of visual estimates of plant cover in biomonitoring. Journal of Ecology, 75(1),151-157.
Kremen, C., Colwell, R.K., Erwin, T.L., Murphy, D.D., Noss, R.F., & Sanjayan, M.A. (1993) Terrestrial arthropod assemblages - Their use in conservation planning. Conservation Biology, 7(4), 796-808.
Lanteri, A.A., & del Río, M.G. (2020) Naupactini (Coleoptera: Curculionidae) species from Argentina and Uruguay. [May 2020]. https://biodar.unlp.edu.ar/naupactini/
Lanteri, A.A., Marvaldi, A.E., & Suárez, S.M. (2002) Gorgojos de la Argentina y sus plantas huéspedes. Tomo I: Apionidae y Curculionidae. Sociedad Entomológica Argentina.
Lattin, J.D. (1989) Bionomics of the Nabidae. Annual Review of Entomology, 34, 383-440.
Lee, I-M., Bottner, K.D., Munyaneza, J.E., Davis, R.E., Crosslin, J.M., du Toit, L.J., & Crosby, T. (2006) Carrot purple leaf: a new spiroplasmal disease associated with carrots in Washington State. Plant Disease, 90(8), 989-993.
López, S.N., Orozco Muñoz, A., Andorno, A., Cuello, E.M., & Cagnotti, C.L. (2019) Predatory capacity of Tupiocoris cucurbitaceus (Hemiptera Miridae) on several pests of tomato. Bulletin of Insectology, 72(2), 201-205.
Lucia, M., Álvarez, L.J., & Abrahamovich, A.H. (2014) Large carpenter bees in Argentina: systematics and notes on the biology of Xylocopa subgenus Neoxylocopa (Hymenoptera: Apidae). Zootaxa, 3754(3), 201-238.
Lucia, M., Tellería, M.C., Ramello, P.J., & Abrahamovich, A.H. (2017) Nesting ecology and floral resource of Xylocopa augusti Lepeletier de Saint Fargeau (Hymenoptera, Apidae) in Argentina. Agricultural and Forest Entomology, 19(3), 281-293.
Maldonado Capriles, J. (1990) Systematic catalogue of the Reduviidae of the World (Insecta: Heteropera). Caribbean Journal of Sciences, Special edition, Puerto Rico.
Marshall, E.J., & Moonen, A.C. (2002) Field margins in northern Europe: Their functions and interactions with agriculture. Agriculture Ecosystems & Environment, 89(1-2), 5-21.
Masciocchi, M., & Corley, J.C. (2013) Distribution, dispersal and spread of the invasive social wasp (Vespula germanica) in Argentina. Austral Ecology, 38(2), 162-168.
Melo, M.C., & Montemayor, S.I. (2015) Biodiversity of the scentless plant bugs (Hemiptera: Rhopalidae) in southern South America. Journal of Natural History, 50(3), 163-200.
Melo, M.C., Dellapé, G., Olivera, L., Varela, P.S., Montemayor, S.I., & Dellapé, P.M. (2017) Diversity of true bugs from Iguazú National Park, Argentina. Check List, 13(5), 479-511.
Melo, M.C., Montemayor, S.I., Minghetti, E., Varela, P.S., & Dellapé, P.M. (2020) Cimicomorpha (Hemiptera: Heteroptera) species from Argentina and Uruguay. [December 2020]. https://biodar.unlp.edu.ar/cimicomorpha/
Michener, C.D. (2007) The Bees of the World, 2nd ed. Johns Hopkins University Press, Baltimore.
Molinari, A.M., & Gamundi, J.C. (2010) La “chinche diminuta” Nysius simulans en soja. Para Mejorar la Producción 45 (ed. INTA Oliveros), pp. 117-119. Argentina.
Moure, J.S. (2007) Augochlorini. Catalogue of Bees (Hymenoptera, Apoidea) in the Neotropical Region (ed. Moure, J.S., Urban, D., & Melo, G.A.R.), pp. 677-691. Sociedade Brasileira de Entomologia, Curitiba.
Munyaneza, J.E., Crosslin, J.M., Upton, J.E., & Buchman, J.L. (2010) Incidence of the beet leafhopper-transmitted virescence agent phytoplasma in local populations of the beet leafhopper, Circulifer tenellus, in Washington State. Journal of Insect Science, 10, 18.
Orozco-Muñoz, A.O., Velásquez, V.V., & López, S.N. (2012) Desarrollo de Tupiocoris cucurbitaceus (Hemiptera: Miridae) sobre Bemisia tabaci (Hemiptera: Aleyrodidae) en diversas hortalizas. Fitosanidad, 16(3), 147-153.
Pall, J.L., Kihn, R.G., Diez, F., & Coscarón, M. del C. (2016) A review of genus Nysius Dallas in Argentina (Hemiptera: Heteroptera: Orsillidae). Zootaxa, 4132(2), 221-234.
Panizzi, A.R., Agostinetto, A., Lucini, T., & Pereira, P.R.D.S. (2016) Effect of green-belly stink bug, Dichelops furcatus (F.) on wheat yield and development. Crop Protection, 79, 20-25.
Panizzi, A.R., Lucini, T., & Possebom, T. (2018) Development of Dichelops furcatus (Hemiptera: Heteroptera: Pentatomidae) reared on spring cereals versus soybean. Journal of Insect Science, 18(5), 17.
Paradell, S. (1995) Especies argentinas de homópteros Cicadelidos asociados al cultivo de maiz Zea mays L. Revista de la Facultad de Agronomía, La Plata, 71(2), 213-234.
Paradell, S., & Dellapé, G. (2015) The Idiocerinae in Argentina (Hemiptera: Cicadellidae). Characters for easy identification of Rhytidodus decimusquartus and new records. Revista de la Sociedad Entomológica Argentina, 74(1-2), 61-66.
Paradell, S., Virla, E., & Toledo, A. (2001) Leafhoppers species richness and abundance on crops in Argentina (Insecta-Hemiptera-Cicadellidae). Boletín Sanidad Vegetal Plagas, 27, 465-475.
Paradell, S.L., Virla, E.G., Logarzo, G.A., & Dellapé, G. (2012) Proconiini Sharpshooters of Argentina, with notes on its distribution, host plants, and natural enemies. Journal of Insect Science, 12(1), 116.
Paradell, S., Defea, B., Dughetti, A., Zárate, A., & Remes Lenicov, A.M.M. de (2014) Diversity of Auchenorrhyncha (Hemiptera: Cicadellidae: Delphacidae) associated with Vicia villosa in southern Buenos Aires province, Argentina. Florida Entomologist, 97(2), 674-684.
Polack, L.A., López, S.N., Silvestre, C., Viscarret, M., Andorno, A., del Pino, M., Peruzzi, G., Gomez, J., & Iezzi, A. (2017) Control biológico en tomate con el mírido Tupiocoris cucurbitaceus. Comunicación INTA.
Potts, S.G., Vulliamy, B., Dafni, A., Ne’eman, G., & Willmer P. (2003) Linking bees and flowers: how do floral communities structure pollinator communities? Ecology, 84(10), 2628-2642.
Remes Lenicov, A.M.M. de (1973) Contribución al estudio de los membrácidos neotropicales I. Revisión del género Ceresa Amyot et Serville. Acta Zoologica Lilloana, 30, 53-134.
Remes Lenicov, A.M.M. de (1996) El género Dicranotropis Fieber, 1866, en la República Argentina y Chile (Insecta-Homoptera-Delphacidae). Acta Entomológica Chilena, 20, 123-128.
Remes Lenicov, A.M.M. de, & Brentassi, E. (2017) New taxa and combinations in Neotropical Delphacini (Hemiptera: Fulgoroidea). Zootaxa, 4281(1), 280-290.
Remes Lenicov, A.M.M. de, & Paradell, S. (2012) Morfología y biología de especies vectoras de virus y mollicutes al maíz en la Argentina (Insecta-Hemiptera-Cicadomorpha-Fulgoromorpha). Enfermedades del maíz producidas por virus y mollicutes en Argentina. (ed. Giménez Pecci, M.P., Laguna, I.G., & Lenardón, S.L.), pp. 125-152. Ediciones INTA, Buenos Aires.
Remes Lenicov, A.M.M. de, & Tesón, A. (1978) Contribución al estudio de los fulgóridos argentinos I (Homoptera-Fulgoroidea-Delphacidae). Revista de la Sociedad Entomológica Argentina, 37(1-4), 17-22.
Remes Lenicov, A.M.M. de, & Tesón, A. (1989) Contribución al estudio de los fulgoroideos argentinos IV (Homoptera-Fulgoroidea). Observaciones sobre tres especies halladas en cultivos de maíz (Zea mays L.). Revista de la Sociedad Entomológica Argentina, 47(1-4), 101-107.
Remes Lenicov, A.M.M. de, & Virla, E.G. (1999) Delfácidos asociados al cultivo de maíz en la República Argentina (Insecta-Homoptera-Delphacidae). Revista Facultad Agronomía, La Plata, 104(1), 1-15.
Remes Lenicov, A.M.M. de, Tesón, A., Dagoberto, E., & Huguet, N. (1985) Hallazgo de uno de los vectores del "Mal de Río Cuarto" del maíz. Gaceta Agronómica, 5, 251-258.
Remes Lenicov, A.M.M. de, Virla, E.G., & Manca, M.E. (1998) Difusión de Tapajosa rubromarginata (Homoptera: Cicadellidae) sobre cultivos cerealeros de la Argentina. Revista de la Sociedad Entomológica Argentina, 57(1-4), 18.
Remes Lenicov, A.M.M. de, Paradell, S., & Catalano, M.I. (2006) Hemípteros auquenorrincos perjudiciales al cultivo de sorgo en la Argentina (Insecta-Hemiptera). Revista de Investigaciones Agropecuarias, 35, 3-20.
Renzi Pugni, J.P., Reinoso, O.J., Bruna, M., Vasicek, J.P., Ávalos, M., Oquiñena, A., & Cantamutto, M.A. (2015) Impacto de la “chinche diminuta” (Nysius sp.) sobre el cultivo de girasol del valle bonaerense del Río Colorado 2014/15. Informe Técnico E.E.A. INTA Ascasubi Nº 43.
Rivas, J.C., & Dughetti, A.C. (2015) Incidencia de la chinche diminuta Nysius simulans Stål (Hemiptera: Lygaeidae) en la calidad de la semilla de tres cultivares de quinua, en el valle bonaerense del Río Colorado. Informe Técnico de la E.E.A. Hilario Ascasubi Nro. 47.
Roulston, T.H., & Goodell, K. (2011) The role of resources and risks in regulating wild bee populations. Annual Review of Entomology, 56, 293-312.
Roza-Gomes, M.F., Salvadori, J.R., Pereira, P.R.V.D.S., & Panizzi, A.R. (2011) Injúrias de quatro espécies de percevejos pentatomídeos em plântulas de milho. Ciência Rural, 41(7), 1115-1119.
Salas Gervassio, N.G., Luna, M.G., Minardi, G.M., & Sánchez, N.E. (2019) Assessing inoculative releases of Pseudapanteles dignus (Hymenoptera: Braconidae) for the biological control of Tuta absoluta (Lepidoptera: Gelechiidae). Crop Protection, 124, 1-5.
Santadino, M.V., Riquelme Virgala, M.B., Ansa, M.A., Bruno, M., Di Silvestro, G., & Lunazzi, E.G. (2015) Primer registro de Drosophila suzukii (Diptera: Drosophilidae) asociado al cultivo de arándanos (Vaccinium spp.) de Argentina. Revista de la Sociedad Entomológica Argentina, 74(3-4), 183-185.
Schuh, R.T., & Weirauch, C. (2020) True Bugs of the World (Hemiptera: Heteroptera): Classification and Natural History. Monograph Series Vol 8. Siri Scientific Press, UK.
Sola, F.J., Valenzuela, A.E.J., Anderson, C.B., Martínez Pastur, G., & Lencinas, M.V. (2015) Reciente invasión del Archipiélago de Tierra del Fuego por la avispa Vespula germanica (Hymenoptera: Vespidae). Revista de la Sociedad Entomológica Argentina, 74(3-4), 197-202.
Spinola, M. (1852) Hemípteros. Historia física y política de Chile, Vol. 7 (ed. Gay, C.), pp. 113-320. Zoología, Paris.
Steffan-Dewenter, I., & Tscharntke, T. (2002) Insect communities and biotic interactions on fragmented calcareous grasslands - A mini review. Biological Conservation, 104(3), 275-284.
Stupino, S., Iermanó, M.J., Gargoloff, N.A., & Bonicatto, M.M. (2014) La biodiversidad en los agroecosistemas. Agroecología: bases teóricas para el diseño y manejo de agroecosistemas sustentables. Colección libros de cátedra (ed. Sarandón S.J., & Flores, C.C.), pp. 131-158. Ed. UNLP, La Plata.
Thomas, C.D. (2000) Dispersal and extinction in fragmented landscapes. Proceedings of the Royal Society of London Series B - Biological Sciences, 267(1439), 139-145.
Torres, B.A. (1946) Homopteros (Auquenorrincos) perjudiciales en nuestro país. Boletin de Laboratorio de Zoología Agricola, Facultad de Ciencas Agrarias, La Plata, 9, 1-38.
Tscharntke, T., Klein, A.M., Kruess, A., Steffan-Dewenter, I., & Theis, C. (2005) Landscape perspectives on agricultural intensification and biodiversity-ecosystem service management. Ecology Letters, 8(8), 857-874.
Velazquez, P.D., Remes Lenicov, A.M.M. de, & Truol, G.A. (2017) Caenodelphax teapae (Fowler) (Hemiptera: Delphacidae): nuevo vector natural del Mal de Río Cuarto virus (MRCV, Fijivirus) en Argentina. Agriscientia, 34(1), 39-45.
Vera, D., Garrido, S., Amún, E., Lago, J., & Cichón, L. (2012) Determinación del umbral de detección de Pseudococcus viburni (Hemiptera: Pseudococcidae) por PCR. Revista de la Sociedad Entomológica Argentina, 71(1-2), 151-154.
Virla, E.G., Cangemi, L.C., & Logarzo, G.A. (2007) Suitability of different host plants for nymphs of the sharpshooter Tapajosa rubromarginata (Hemiptera: Cicadellidae: Proconinii). Florida Entomologist, 90(4), 766-769.
Weintraub, P.G., & Beanland, L. (2006) Insect vectors of phytoplasmas. Annual Review of Entomology, 51(1), 91-111.
Willink, A. (1980) Sobre la presencia de Vespula germanica (Fabricius) en la Argentina (Hymenoptera: Vespidae). Neotropica, 26, 205-206.
Young, D.A. (1968) Taxonomic study of the Cicadellinae (Homoptera: Cicadellidae), Part 1, Proconiini. Bulletin of the United States National Museum, 261, 1-287.
Young, D. (1977) Taxonomic study of the Cicadellinae (Homoptera: Cicadellidae), Part 2, New World Cicadellini and the genus Cicadella. Technical Bulletin of the North Carolina Agricultural Experiment Station, 239.
Zanol, K. (2006) Catalogue of the neotropical (including north of Mexico) Deltocephalinae (Hemiptera, Cicadellidae). Part I Athysanini and Deltocephalini excluded. Acta Biológica Paranaense, 35, 89-161.
Zanol, K., & Menezes, M. (1982) Lista preliminar dos cicadeloideos (Homoptera: Cicadellidae) do Brasil. Iheringia, Serie Zoologica, 61, 9-65.
Author notes
m.lopezarmengol@conicet.gov.ar