Artículos
Recepción: 05 Enero 2023
Aprobación: 23 Mayo 2023
Abstract: Urutaú Natural Reserve is a protected area in the southwest of Misiones province, Argentina. Regarding the mosquito fauna, 194 species have been recorded for Misiones province so far. It is known that many of them are vectors of pathogens and parasites that cause human and animal diseases. The objective of this work is to understand the mosquito community in order to consider their importance in pathogens and parasites transmission and compare different capturing techniques for mosquito diversity. Larvae, pupae and adults were collected. Comparing the number of species and individuals captured as adult with different methodologies, Net /insect hand aspirator was the most effective methodology capturing diversity of species while CDC light trap captured significantly higher number of individuals. We confirmed the presence of 30 mosquito species belonging to nine genera, of which 12 are suspected of being involved in pathogen transmission. Among them, Sabethes (Sabethes) albiprivus Theobald, the only mosquito from which the Yellow fever virus has been isolated in Argentina. Additionally, we recorded Culex (Culex) lahillei Bachmann & Casal for the first time in Misiones province, and Aedes (Protomacleaya) terrens (Walker) and Culex (Melanoconion) ribeirensis Forattini & Sallum are new citations for Capital Department, Misiones.
Keywords: Culicidae, Sabethes albiprivus, Vectors.
Resumen: La Reserva Natural Urutaú está ubicada en el suroeste de la provincia de Misiones, Argentina, entre los departamentos de Candelaria y Capital. Dicha provincia tiene un registro general de 194 especies de mosquitos incluyendo vectores de patógenos y parásitos que causan enfermedades al humano y animales. El objetivo de este trabajo es conocer la comunidad de mosquitos particularmente en el área de la reserva, comparar el desempeño de las técnicas de muestreo de adultos utilizada y considerar la importancia sanitaria de dicha comunidad. Se colectaron larvas, pupas y adultos. Comparando el número de especies e individuos adultos capturados con diferentes metodologías, red/aspirador fue la más eficaz para capturar diversidad de especies, mientras que la trampa de luz CDC lo fue para la variable número de individuos. Confirmamos 30 especies de mosquitos pertenecientes a nueve géneros, estando 12 de ellas implicadas en la transmisión de patógenos o parásitos. Entre ellas, Sabethes (Sabethes) albiprivus Theobald, la única especie de mosquito de la cual se ha aislado el Virus de la fiebre amarilla en Argentina. Adicionalmente, registramos Culex (Culex) lahillei Bachmann & Casal por primera vez en la provincia de Misiones, y tanto Aedes (Protomacleaya) terrens (Walker) como Culex (Melanoconion) ribeirensisForattini & Sallum son nuevas citas para el Departamento Capital, Misiones.
Palabras clave: Culicidae, Sabethes albiprivus, Vectores.
INTRODUCTION
Misiones province is located biogeographically in the Paraná eco-region characterized by warm and humid climate that promote great flora and fauna diversity (Morrone, 2014). Considering only mosquitoes, from 246 species cited in Argentina (Rossi, 2015; Stein et al., 2018),194 of them have already been recorded in Misiones, belonging to the 21 genera that are present in the country. It is known that many of them are vectors of pathogens and parasites that cause human and animal diseases. Among parasites, species of Plasmodium Laveran that cause Malaria disease are transmitted by mosquitoes belonging to Anopheles Meigen genus. However, Argentina has been officially recognized by the World Health Organization as malaria-free (Pan American Health Organization, 2019). Among pathogens, most of them are RNA viruses belonging to families with potential to produce epidemic outbreaks. Flaviviridae includes the species Dengue virus (DENV), Zika virus (ZIKV), Yellow fever virus (YFV), West Nile virus (WNV) and Saint Luis encephalitis virus (SLEV) (Simmonds et al., 2017). Togaviridae family includes important virus species such as Chikungunya virus (CHIKV) and Venezuelan equine encephalitis virus (VEEV) (Chen et al., 2018). Moreover, Peribunyaviridae with species including in Orthobunyavirus genus like Oropouche virus (OROV) and Bunyamwera virus (BUNV) are the cause of relevant diseases (Diaz et al., 2015; Tauro et al., 2015;). The most important vectors in the transmission of some of these viruses (e.g. DENV, ZIKV and CHIKV) are Aedes (Stegomyia) aegypti (Linnaeus) and Ae. (Ste.) albopictus (Skuse), but other viruses (e.g. WNV and SLEV) are vectored mainly by ornithophilic/anthropophilic Culex Linnaeus species and, generally spread by infected migratory birds that act as hosts and reservoirs (Díaz et al., 2008). Moreover, species of genera Haemagogus Willinston and Sabethes Robineau-Desvoidy are important in the sylvatic cycle of YFV transmission, and others could be involved in it, like Psorophora Robineau-Desvoidy and Aedes (Ochlerotatus) Lynch Arribálzaga (Cardoso et al., 2010). In Argentina, there is evidence about circulation of these viruses in both, reservoirs (Díaz et al., 2008; Beltrán et al., 2015; Morales et al., 2017) and mosquitoes (Mitchell et al., 1985; Díaz et al., 2006, 2012; Pisano et al., 2010). Moreover, two epizootics of yellow fever (YF) occurred between 2007 and 2008 in Misiones province, seriously affecting the population of howler monkeys (Alouatta caraya (Humboldt) and A. guariba Humboldt) (Holzmann et al., 2010). In Garupá city, nine black howlers (A. caraya) were affected by YF and the YFV was isolated from Sabethes (Sabethes) alviprivus Theobald collected in this location (Holzmann et al., 2010; Goenaga et al., 2012). Currently, YF is increasing in importance due to outbreaks in neighboring countries such as Brazil and Paraguay that cover almost the totality of the Misiones province border. From 2016 to the present, the number of cases in human and non-human primates (NHP) in thestates of São Paulo, Paraná and Santa Catarina in Brazil has been the highest recorded in several decades. It is expected an expansion of historic transmission area to areas previously considered without risk, reaching Misiones border from Santa Catarina State of Brazil (Ministério da Saúde, Brasil, 2021). For this reason, YFV is actually getting attention from researchers in this field. Several factors contribute to viral emergence or re- emergence. Population growth brings people closer to nature, increasing the chance that the virus will pass from wild viral cycles to humans that live or work near to sylvatic habitat. Moreover, the globalization of transport, together with the tropicalization of temperate zones, is favoring the distribution of viruses and vectors (Gould et al., 2017). In this sense, Misiones has many tourist attractions that receive a high number of visitors from inside and outside Argentina who travel nearby and enter the habitat of mosquitoes, increasing the risk of transmission (Muehlenbein & Ancrenaz, 2009). One of those places is the protected area Urutaú Natural Reserve (UNR) located between the Capital and Candelaria Departments, adjacent to Posadas city, capital of Misiones. It has been created with the purpose of protecting the flora and fauna from unsustainable agriculture and livestock. This area has a great diversity of fauna that could be a host and reservoir of arboviruses, a great variety of birds and a high population of non-human primates (Torresin & Bertolini, 2018). The importance of this protected area lies in the diversity of environments that range from grasslands to tropical forests (Torresin & Bertolini, 2018), suitable sites for breeding mosquitoes with different requirements.
Our goal is to get to know the mosquito fauna that currently breeds within the UNR and compare methodologies for capturing adult diversity. For this, we carry out samplings using different capture techniques. The presence of potential vectors of important pathogens for humans and wild/domestic animals is discussed. This knowledge could be important for health organisms in the future.
MATERIAL AND METHODS
Studied area
Urutaú Natural Reserve (27°29'45.8"S, 55°45'37.6"W) is a 1200 ha protected area within Misiones Province, in northeast Argentina. It is located in Candelaria Department, covering part of Candelaria and Profundidad Municipalities and the Capital Department including part of Garupá Municipality (Fig.1).
Misiones province is characterized by subtropical climate, with frequent precipitation throughout the year (annual mean of 1706 mm). The annual mean humidity is 79.98% and the annual mean temperature is 21°C (Torresin & Bertolini, 2018). Near the studied area, the mean of temperature and humidity during the sampling periods were 21.7 ± 5.5 °C and 69.8 ±18.3%, respectively, in spring days while they were 21 ± 4.2 °C and 77.4 ± 18.5% in fall days. Meteorological data used to characterize the study days were obtained from Posadas Aero Meteorological Station, SARP 201300Z (27°21´36”S, 55°57´36”W) located 22 km from the study site (National Weather Service).
Six from seven environments described in UNR management plan were sampled (Fig. 2). The sampling sites were chosen considering their accessibility and the possibility of covering almost all the environments described in the Uruatú Natural Reserve management plan (Torresin & Bertolini, 2018). The sites are described according the locations and the vegetable composition as follows: a) Gallery forest (site 1.1 (27°29´25.25”S, 55°44´24.8”W), site 1.2 (27°29´7.1”S, 55°44´25.7”W), site 1.3 (27°30´27.5”S, 55°47´22.5”W), site 1.4 (27°29´48.5”S, 55°47´24”W)) is located at the edge of Garupá, Big Pindapoy streams and other little streams, it is the environment with the greatest diversity of plants, highlighting trees like “anchico colorado” (Parapiptadenia rigida (Benth.) Brenan) or “ibirapitá” (Peltophorum dubium (Spreng.) Taub) and frequently “pindó palms” (Arecastrum romanzoffianum (Cham.) Glassman). These vegetations accumulate water in their trunks providing habitats for mosquito rearing.; b) Plain grasslands (sites 2.1 (27°29´20.5”S, 55°46´22.3”W), site 2.2 (27°29´29.1”S, 55°46´47.5”W), site 2.3 (27°29´41.9”S, 55°47´39.3”W)); c) Floodable grasslands (site 3 (27°31´10.5”S, 55°47´38.2”W)) are temporary flooded soils at the edge of Big Pindapoy stream in which vegetation varies according to the season and occasional events such as fires, floods and frosts; d) Anacardiaceas’ forest (sites 4.1 (27°30´27.3”S, 55°47´26.6”W), site 4.2 (27°30´15.4”S, 55°47´8”W)) is an open and heterogeneous forest characterized by groups of isolated trees belonging mostly to the Anacardiaceae family with zones of grasslands; e) Multi-layered forest (sites 5.1 (27°29´46”S, 55°47´38.9”W), site 5.2 (27°30´4.6”S, 55°47´31.3”W)) is a well conserved area with hills and slopes cover with at least three layers of vegetation; and f) Sloping grassland (site 6 (27°31´0.8”S, 55°47´9.1”W)) on the access route, is characterized by herbs and shrubs adapted to dry soils.

Sampling methodology
We conducted the study between September 2018 and May 2019. Samplings had two spring surveys on September and November 2018, and two fall surveys on March and May 2019.
Larvae and pupae were collected using dipper and tray in breeding sites above-ground and pipette in tree holes and plants containing water. Some fourth instar larvae were stored in 70% alcohol and the rest of collected pupae and larvae were reared to adult for future taxonomic identification. Adults were collected using different methodologies in order to capture mosquitoes with different host seeking activity. During the day, mosquitoesthat were attracted by collector bodies were captured using entomological nets and insect hand aspirators (Net/Asp) during two hours’ time per sampling day. At night, two different kinds of light traps were used. Traps similar to CDC (Centers for Disease Control) with light as attractant were installed on tree branches about 2 m high in sites 1.3, 4.1 and 6. They were turned on between 18:00 h and 20:00 h and were turned off between 7:00 h and 9:30 h the next day. On the other hand, we used lighted fabric trap (FT) only in site 6, it was made of a white piece of vertically extended fabric with a LED brilliant white light illuminating it. The mosquitoes that rested on it were captured using a hand aspirator between 19:30 h and 21:30 h.

Taxonomic identification
Fourth instar larvae were cleared in potassium hydroxide and mounted in Canada balsam over a slide. Adults belonging to different genera were grouped and few specimens showing differences were identified until species level. Additional microscopic studies were carried out for adults of Culex due to the difficulty in being identified by general morphological characters. The female head or male genitalia of these specimens were removed and cleared before they were mounted on microscope slides following standard procedures. Fourth instar larvae and pin-mounted adults were identified using general dichotomous keys (Lane, 1953; Darsie, 1985) and group of specific keys: Linthicum (1988) for Anopheles; Lane & Antunes (1937) and Castro & Bresanello (1952) for Coquillettidia Dyar; Lane & Cerqueira (1942) for Sabethini; Arnell (1977) for Aedes, Guedes & De Souza (1964) for Psorophora; and Forattini & Sallum (1985) for Culex. Original descriptions, re-descriptions and revisions were used when it was necessary.
Data analysis
To characterize the biodiversity of mosquito species, we calculated the Margalef diversity index (S- 1)/lnN, where S= total number of genera and N= total number of individuals (Margalef, 1995; Nikookar et al., 2015; Manzoor et al., 2020).
To compare the percentage of species captured (as adult individuals) between the different trapping techniques, we used a Chi Square test (Maciel-de-Freitas et al., 2006). The numbers of captured adult individuals (at genus level) between the different trapping techniques were compared using a Linear Regression Model (ML).
Because the time in which each methodology was used was different, we did a correction in order to compare the number of individuals by genus and number of species considering the sampling effort, so we compared the number of individuals or species captured by hour of active sampling. We set the significance level for all statistical tests at 0.05. All tests were conducted using R software (R Core Team 2016).
RESULTS
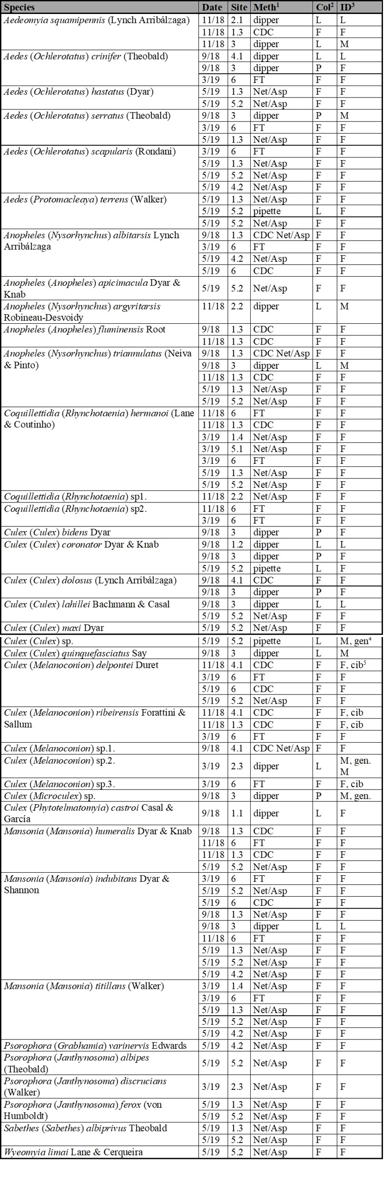
A total of 2541 adult mosquitoes and 24 larvae/pupae were collected during the study. We identified nine genera (Table I), 30 species and seven specimens until subgenera level only (Table II). The Margalef index calculated from these results were 3.7.
From the species identified in the adult stage, six were collected only at night, 11 during the day and eight both day and night (Fig. 3). Psorophora, Sabethes and Wyeomyia Theobald were the genera captured only at daytime while the others had mixed behavior. In particular, An. (Nyssorhynchus) albitarsis s.l. Lynch Arribálzaga, Mansonia (Mansonia) humeralis Dyar & Knab and Cq. (Rhynchotaenia) hermanoi (Lane & Coutinho) were broadly distributed in the UNR and collected using all applied methodologies.

FT, fabric trap. Net/Asp, collecting with nets and hand aspirators).
Comparing the number of species captured as adult with different methodologies, Net/Asp was the most effective method, while there was no significant difference between FT and CDC (Chi Square test: Net/Asp vs CDC: χ2 = 12.803, df = 1, P = 0.0003, Net/asp vs FT: χ2 = 6.9444, df= 1, P = 0.008, CDC vs FT: χ2 = 0.97826, df = 1, P = 0.322). Regarding the number of individuals collecting with different methodologies, CDC light trap was more efficient than the others (LM results: CDC: Std. error = 184, T = 51.5, P = 0.0009, Net/asp: Std. error = 7.9, T = 36.5, P =0.83, FT: Std. error = 25.8, T = 59.54, P = 0.43) (Fig. 4).

1 Sampling methodology (Meth), Center for Disease Control light trap (CDC), Fabric trap (FT), net or aspirator (Net/Asp).
2 Stage in which the specimen was collected (col), larva (L), pupa (P), female (F).
3 Stage in which the specimen was identified (ID), male (M), female (F).
4 Morphological studies of the male genitalia were carried out for specimen identification (gen).
5 Morphological studies of the female cibarium were carried out for specimen identification (cib).


Larvae and pupae were collected from different larval habitats: foliar axils (Cx. (Phytotelmatomyia) castroi Casal & García); temporary pools (Cx. (Cx.) coronator Dyar & Knab, Cx. (Melanoconion) sp.2, Ae. (Ochlerotatus) crinifer (Theobald)); floodable grasslands (Ae. crinifer, Ae. (Och.) serratus (Theobald), Aedeomyia squamipennis (Lynch Arribálzaga), An. (Nys.) triannulatus (Neiva & Pinto), Cx. (Cux.) bidens Dyar, Cx. coronator, Cx. (Cux.) dolosus (Lynch Arribálzaga), Cx. (Cux.) lahillei Bachmann & Casal, Cx. (Cux.) quinquefasciatus Say); at the edge of streams (Ad. squamipennis, An. (Nys.) argyritarsis Robineau- Desvoidy) and tree hole (Ae. (Pro.) terrens (Walker), Cx. coronator).
DISCUSION
Urutaú Natural Reserve is a little disturbed area with medium to high diversity of mosquitoes. This is favored by different environments that provide a diversity of larval habitats, like temporary or permanent pools, tree holes and foliar axils. From 66 species that are actually recorded for Candelaria and 88 for Capital Department, we were able to confirm the presence of 30 of them. In addition, it is the first record for Cx. (Cux.) lahillei in Misiones province. Even more, Ae. (Pro.) terrens and Cx. (Mel.) ribeirensis Forattini & Sallum have not been cited for Capital Department so far.
Among 30 species recorded in the UNR, 12 of them are important for the transmission of pathogens to human and wild/domestic animals. Excluding two species collected as larvae, the other 10 were captured as adults using Net/Asp and only two with both, Net/Asp and CDC light trap. Our results show that Net/Asp is a more accurate methodology for collecting mosquito’s diversity than CDC, including sanitary important species.
Since Culex members are mainly ornithophilic, many of them are known for their involvement in the transmission of viruses that cause encephalitis in human and other mammals. In this sense, virus belonging to VEEV complex have been detected in Cx. delpontei (Mitchell et al., 1985; Contigiani et al., 1999), Cx. maxi and Cx. coronator (Díaz et al., 2006; Pisano et al., 2010), in Argentina. Moreover, Cx. quinquefasciatus has been implicated in the transmission of SLEV (Mitchell et al., 1985; Diaz et al., 2006, 2012), BUNV (Peribunyaviridae) (Tauro et al., 2015) and WEEV (Mitchell et al., 1985). Furthermore, Cx. quinquefasciatus is involved in OROV transmission in Brazil (Pinheiro et al., 1981). Species of Mansonia genus are implicated in WEEV transmission as well as VEEV complex transmission (Mitchell et al., 1985; Mullen & Durden, 2009). Particularly, Ma. titillans was found infected with VEEV (Mitchell et al., 1985), SLEV and BUNV in Argentina (Beranek et al., 2018) and OROV in Brazil (Pinheiro et al., 1981). Aedes species are well known due to their role in virus transmission in the world, causing many important diseases like Dengue, Zika and Chikungunya. Although the primary vectors Ae. Aegypti and Ae. albopictus have not been found in UNR, we identified other species belonging to this genus that could be implicated in pathogen transmission. Aedes (Och.) scapularis (Rondani) is an abundant and broadly distributed species and has been associated to the transmission of many viruses like VEEV, WEEV (Mitchell et al., 1985), SLEV (Diaz et al., 2012); BUNV (Tauro et al., 2015) and along with Ae. serratus and Ae. terrens are suspected YFV vectors (Antunes & Whitman, 1937; Vasconcelos, 2003; Cardozo et al., 2010).
Among Anopheles species found during the study, An. albitarsis is considered a secondary vector in the transmission of Plasmodium vivax Grassi & Feletti that caused Malaria in Argentina due to the absence of An. darlingi Root (primary vector), its anthropophilic behavior and its presence during epidemic events (Dantur Juri & Zaidenberg, 2016). Moreover, this species was found infected with WEEV (Mitchell et al., 1985).
Regarding pathogens transmitted by mosquitoes, a big cause of concern currently in Argentina is the YF, an emerging disease that is important for public health due to the possibility of epidemics. It also has consequences on wild amplifying hosts, for example non-human primates (NHP) in which YF has serious population consequences, which is a substantial problem for their conservation (Agostini et al., 2014). In Argentina, the only mosquito species that was found infected with YFV is Sa. albiprivus from Garupá, Misiones, near UNR, in the context of an epizootic that affected NHP (Goenaga et al., 2012). In this study we have recorded Sa. albiprivus in the UNR, the importance of this lies in the presence of susceptible monkey groups (Torresin & Bertolini, 2018) and the nearness to the place where the virus circulation was proved (Goenaga et al., 2012). In addition, we found other mosquito species that are also classified as important species for YFV transmission in Argentina and America (Cano et al., 2022), like Ps. (Janthinosoma) ferox (von Humbolt) (Cardoso et al., 2010; Moreno et al., 2011) and Ps. (Jan.) albipes (Theobald) (Vasconcelos, 2003). Finally, some of the mosquitoes recorded in this study are vectors of Dirofilaria immitis (Leidy), the undisputed cause of both canine dirofilariasis and human pulmonary dirofilariasis in America, Cx. quinquefasciatus (Labarthe et al., 1998; Vezzani & Eiras, 2016) and Ae. scapularis (Rondani) (Lourenço-de-Oliveira & Deane, 1995).
The importance of knowledge about vector mosquitoes and the pathogens they transmit lies in their potential circulation in the native fauna, being a latent focus of possible future epidemic outbreaks in humans.
Acknowledgments
This study was financed by the Binational Entity Yacyretá (EBY) and was carried out within the framework of an agreement with the National University of La Plata (UNLP). We thank Javier Capli (EBY), Jerónimo Torresin (Temaiken Fundation), Mariela Morales (Temaiken Fundation), Juan Ignacio Muscardín, Gabriel Alberto Gómez, Oriana Arriola and Facundo Rodríguez for their valuable assistance during the field and administrative work. We thank Laura Morote for her assistance with the figure realization. Muttis E. and Micieli M.V. are members of Carrera de Investigador Científico CONICET.
REFERENCES
Agostini, I., Holzmann, I., Di Bitetti, M.S., Oklander, L.I., Kowalewski, M.M., Beldomnico, P.M., Goenaga, S., Martínez, M., Moreno, E.S., et al. (2014) Building a species conservation strategy for the brown howler monkey (Alouatta guariba clamitans) in Argentina in the context of yellow fever outbreaks. Tropical Conservation Science, 7(1), 25-34. doi: 10.1177/194008291400700107.
Antunes, P.C.A., & Whitman, L. (1937) Studies on the capacity of various brazilian mosquitoes, representing the genera Psorophora, Aedes, Mansonia, and Culex, to Transmit Yellow Fever. American Journal of Tropical Medicine, 17, 825.
Arnell, J.H. (1977) Mosquito studies (Diptera, Culicidae). xxxiii. A revision of the Scapularis group of Aedes ochlerotatus. Contribution of the American Entomological Institute, 13(3), 1-144.
Beltrán, F.J., Diaz, L.A., Konigheim, B., Molina, J., Beaudoin, J.B., Contigiani, M., & Spinsanti, L.I. (2015) Evidencia serológica de circulación del virus de la encefalitis de San Luis en aves de la Ciudad Autónoma de Buenos Aires, Argentina. Revista argentina de microbiología, 47(4), 312-316.
Beranek, M.D., Gallardo, R., Almiron, W.R., & Contigiani, M.S. (2018) First detection of Mansonia titillans (Diptera, Culicidae) infected with St. Louis encephalitis virus (Flaviviridae: Flavivirus) and Bunyamwera serogroup (Peribunyaviridae. Orthobunyavirus) in Argentina. Journal of Vector Ecology, 43(2), 340-343.
Cano, M.E., Marti, G.A., Alencar, J., Olsson, S., Silva, F., & Micieli, M.V. (2022) Categorization by score of mosquito species (Diptera, Culicidae) related to Yellow Fever epizootics in Argentina, Journal of Medical Entomology. doi.org/10.1093/jme/tjac079.
Cardoso, J.C., Almeida, M.A.B., Santos, E., Fonseca, D.F, Sallum, M.A.M., Noll, C.A., Monteiro, H.A.O., Cruz, P.F.C. (2010) Yellow fever virus in Haemagogus leucocelaenus and Aedes serratus mosquitoes, Southern Brazil. Emerging Infectious Diseases, 16(12), 1918-1924.
Castro, M., & Bressanello, M. (1952) Revisión de las especies de "Taeniorhynchus.Rhynchotaenia)" (Dipt. Cul.). Revista brasileira de Biologia, 12, 229-246.
Chen, R., Mukhopadhyay, S., Merits, A., Bolling, B., Nasar, F., Coffey, L.L., Powers, A., Weaver, S.C., & ICTV Report Consortium, (2018) ICTV Virus Taxonomy Profile: Togaviridae. Journal of General Virology, 99, 761-762.
Contigiani, M., Cámara, A., Spinsanti, L., & Dıaz, G. (1999) Caracterización bioquímica y biológica de cepas del virus del complejo Encefalitis Equina Venezolana (familia Togaviridae). Anales de la Fundación Alberto J. Roemmers, 12, 119-123.
Dantur Juri, M.J., & Zaidenberg, M. (2016). Malaria en Argentina. Investigaciones sobre mosquitos de Argentina (eds. Berón, C.M., Campos, R.E., Gleiser, R.M., Díaz-Nieto, L.M., Salomón, O.D., & Schweigmann, N.) pp 378. Universidad Nacional de Mar del Plata. Argentina. 378p.
Darsie, R.F., (1985). Mosquitoes of Argentina. Part I. Keys for identification of adult females and fourth stage larvae in English and Spanish (Diptera, Culicidae). Mosquito Systematics, 17, 153-253.
Diaz, L.A., Ré V., Almirón, W.R., Farías, A., Vázquez, A., Sanchez-Seco, M.P., Aguilar, J., Spinsanti, L., Konigheim, B., et al. (2006) Genotype III Saint Louis encephalitis virus outbreak, Argentina, 2005. Emerging Infectious Diseases, 12(11), 1752.
Diaz, L.A., Occelli, M., Ludueña Almeida, F., Almirón, W.R., & Contigiani, M.S. (2008) Eared dove (Zenaida auriculata, Columbidae) as host for St. Louis encephalitis virus .Flaviviridae, Flavivirus). Vector Borne Zoonotic Diseases, 8(2), 277-82.
Díaz, L.A., Albrieu Llinás, G., Vázquez, A., Tenorio, A., & Contigiani, M.S. (2012) Silent circulation of St. Louis encephalitis virus prior to an encephalitis outbreak in Cordoba, Argentina (2005). PLoSNeglected Tropical Diseases, 6(1), 1-6.
Diaz, L.A., Almiron, W.R., Nunes, M.R., Contigiani, M.S. (2015) Detection of Orthobunyavirus in mosquitoes collected in Argentina. Medical and Veterinary Entomology, 29, 338-343.
Forattini, O.P. & Sallum, M.A.M. (1985) A new species of Culex .Melanoconion) from Southern Brazil (Diptera: Culicidae). Revista de Saúde Publica, 19(2), 171-182.
Goenaga, S., Fabbri, C., Rondan Dueñas, J., Gardenal, C., Rossi, G., Morales, M.A., Calderon, G., Garcia, J., Enria, D. & Levis, S. (2012) Isolation of Yellow fever virus from mosquitoes in Misiones Province, Argentina. Vector-borne and Zoonotic Diseases, 12(11), 986-993.
Gould, E., Pettersson, J., Higgs, S., Charrel, R., & De Lamballerie, X. (2017) Emerging arboviruses: why today?. One health, 4, 1-13.
Guedes, A.S., & De Souza, M.A. (1964) Psorophora albigenu and P. albipes. Revista Brasileira de Malariologia, 16(4), 471-86.
Holzmann, I., Agostini, I., Areta, J.I., Ferreyra, H., Beldomenico, P., & Di Bitetti, M.S. (2010) Impact of Yellow Fever outbreaks on two howler monkey species (Alouatta guariba clamitans and A. caraya) in Misiones, Argentina. American Journal of Primatology, 71, 1–6.
Labarthe, N., Serrão, M., Melo, Y., Oliveira, S., & Lourenço de Oliveira, R. (1998) Potential vectors of Dirofilaria immitis (Leidy, 1856) in Itacoatiara, oceanic region of Niterói Municipality, state of Rio de Janeiro, Brazil. Memorias Do Instituto Oswaldo Cruz. 93(4), 425-32. doi: 10.1590/s0074-02761998000400001.
Lane, J., (1953) Neotropical Culicidae. Vol I y II. Sao Paulo: University of São Paulo, Brazil.
Lane, J., & Antunes, P.C.A. (1937) Nota sobre o gênero Mansonia sub-genero Rhynchotaenia, com a descrição de uma nova espécie. Revista do Museu Paulista, 23, 227-232.
Lane, J., & Cerqueira, N.L. (1942) The Sabethines of America. Archivos de Zoologia do Estado de São Paulo, 3(IX), 473-849.
Linthicum, K.J., (1988) A revision of the argyritarsis section of the subgenus Nyssorhynchus of Anopheles (Diptera, Culicidae). Mosquito Systematics, 20(2), 99-270.
Lourenço-de-Oliveira, R., & Deane, L.M. (1995) Presumed Dirofilaria immitis infections in wild-caught Aedes taeniorhynchus and Aedes scapularis in Rio de Janeiro, Brazil. Memórias do Instituto Oswaldo Cruz, 90, 387-388.
Maciel-de-Freitas, R., Eiras, Á.E., & Lourenço-de-Oliveira, R. (2006) Field evaluation of effectiveness of the BG- Sentinel, a new trap for capturing adult Aedes aegypti (Diptera, Culicidae). Memórias do Instituto Oswaldo Cruz, 101(3), 321-325.
Manzoor, F., Shabbir, R., Sana, M., Nazir, S., & Khan, M.A. (2020) Determination of species composition of mosquitoes in Lahore, Pakistan. Journal of Arthropod- Borne Diseases, 14(1), 106-115.
Margalef, R. 1995. Ecología. Omega Ediciones, Barcelona, España.
Ministério da Saúde. (2021). Secretaria de Vigilância em Saúde. Ministério da Saúde. Brasil. Boletim Epidemiológico 4, 52, 4.
Mitchell, C.J., Monath, T.P., Sabattini, M.S., Cropp, C.B., Daffner, J.F., Calisher C.H., Jakob, W.L., & Christensen, H.A., (1985) Arbovirus investigations in Argentina, 1977-1980. II. Arthropod collections and virus isolations from Argentine mosquitoes. The American Journal of Tropical Medicine and Hygiene, 34(5), 945-955.
Morales, M.A., Fabbri, C.M., Zunino, G.E., Kowalewski, M.M., Luppo, V.C., Enría, D.A., Levis, S.C., & Calderon, G.E. (2017) Detection of the mosquito-borne flaviviruses, West Nile, dengue, Saint Louis encephalitis, Ilheus, Bussuquara, and yellow fever in free-ranging black howlers (Alouatta caraya) of northeastern Argentina. PLoS Neglected Tropical Diseases, 11(2), e0005351.
Moreno, E.S., Rocco, I.M., Bergo, E.S., Araujo Brasil, R., Mascheratti Siciliano, M., Suzuki, A., Silveira, V.R., Bisordi, I., & Pereira de Souza, R. (2011) Reemergence of yellow fever: detection of transmission in the State of São Paulo, Brazil, 2008. Revista da Sociedad De Brasileira de Medicina Tropical, 44(3), 290-296.
Morrone, J.J. (2014) Biogeographical regionalization of the Neotropical region. Zootaxa, 3782(1), 1-110.
Muehlenbein, M.P., & Ancrenaz, M. (2009) Minimizing pathogen transmission at primate ecotourism destinations: the need for input from travel medicine. Journal of Travel Medicine, 16(4), 229-232.
Mullen, G.R., & Durden, L.A. (2009) Medical and Veterinary Entomology. Elsevier. San Diego, USA.
Nikookar, S.H., Moosa-Kazemi, S.H., Oshaghi, M.A., Vatandoost, H., Yaghoobi-Ershadi, M.R., Enayati, A.A., Motevali-Haghi, F., Ziapour, S.P. & Fazeli-Dinan, M. (2015) Biodiversity of culicid mosquitoes in rural Neka township of Mazandaran province, northern Iran. Journal of Vector Borne Diseases, 52(1), 63.
Pan American Health Organization (2019) Argentina certified malaria-free by WHO. https://www.paho.org. (Accessed 5 of December, 2022).
Pinheiro, F.P., Travassos da Rosa, A.P., Travassos da Rosa, J.F., Ishak, R., Freitas, R.B., Gomes, M.L., Le Duc, J.W., & Oliva, O.F. (1981) Oropouche virus. I. A review of clinical, epidemiological and ecological findings. American Journal of Tropical Medicine and Hygiene, 30(1; Pt 1), 149-160.
Pisano, M.B., Dantur. M.J, Ré, V.E., Díaz, L.A., Farías, A., Sánchez Seco, M.P., Tenorio A., Almirón W.R., & Contigiani M.S. (2010) Cocirculation of Rio Negro virus (RNV) and Pixuna virus (PIXV) in Tucumán province, Argentina. Tropical Medicine & International Health, 15, 865-868.
R Core Team (2016) R: A Language and Environment for Statistical Computing. R Foundation for Statistical Computing, Vienna, Austria.
Rossi, G.C. (2015) Annotated checklist, distribution, and taxonomic bibliography of the mosquitoes (Insecta, Diptera, Culicidae) of Argentina. Check list, 11(4), 1712.doi: http://dx.doi.org/10.15560/11.4.1712.
Simmonds, P., Becher, B., Bukh, J., Gould, E.A., Meyers, G., Monath, T., Muerhoff, S., Pletnev, A., Rico-Hesse, R., Smith, D.B., Stapleton, J.T., & ICTV Report Consortium. (2017) ICTV Virus Taxonomy Profile: Flaviviridae. Journal of General Virology, 98, 2-3.
Stein, M., Alvarez, C.N., Alonso, A.C., Bangher, D.N., Willener, J.A., & Campos, R. E. (2018) New records of mosquitoes (Diptera, Culicidae) found in phytotelmata in Northern Argentina. Zootaxa, 4399(1), 87-100.
Tauro, L.B., Batallan, G.P., Rivarola, M.E., Visintin, W.R., Berrón, C.I., Sousa, E.C., Diaz, L.A., Almirón, W.R., & Nunes, M.R. (2015). Detection of Orthobunyavirus in mosquitoes collected in Argentina. Medical and Veterinary Entomology, 29, 338-343.
Torresin, J.A. & Bertolini, M.P. (2018) Plan de Gestión de la Reserva Natural Urutaú (Entidad Binacional Yacyretá). Fundación Temaikèn. Misiones, Argentina.
Vasconcelos, P.F. (2003) Febre Amarela. Revista Da Socieda de Brasileira de Medicina Tropical, 36(2), 275- 293.
Vezzani, D., & Eiras, D.F. (2016) Actualización sobre Dirofilariasis en Argentina y el contexto en América. In: Investigaciones sobre Mosquitos de Argentina. Universidad Nacional de La Plata, Buenos Aires, Argentina.
Notas de autor
emuttis@cepave.edu.ar