Artículos
Larval development of Argia joergenseni (Odonata: Coenagrionidae) at two different latitudes in Argentina
Desarrollo larval de Argia joergenseni (Odonata: Coenagrionidae) en dos diferentes latitudes en Argentina
Larval development of Argia joergenseni (Odonata: Coenagrionidae) at two different latitudes in Argentina
Revista de la Sociedad Entomológica Argentina, vol. 82, núm. 4, 2023
Sociedad Entomológica Argentina
Recepción: 30 Agosto 2023
Aprobación: 30 Septiembre 2023
Abstract: Our aim was to investigate the larval development of Argia joergenseni Ris in three streams located at different latitudes and ecoregions (Yungas and Chaco) in Argentina. We measured the head width and the metathoracic wing sheath length, and classified larvae into five size classes. Our results showed different patterns of larval growth between the three study sites. At the Yungas sites (latitude 26º S), larvae exhibited a high proportion of small individuals throughout the year, suggesting a multivoltine life cycle. In contrast, larvae in the Chaco region (latitude 32º S) showed marked seasonality in growth. The findings indicate a negative correlation between voltinism and latitude in A. joergenseni. The species exhibited an almost continuous flight season in the Yungas, while at the southern limit of its distribution (Chaco), the flight season was limited to the warmest months. This study provides important information on the larval ecology of A. joergenseni, contributing to a better understanding of the dynamics of damselfly communities and facilitating the development of effective conservation measures.
Keywords: Flying season, Growth dynamics, Life cycle strategy, Seasonality, Temporal patterns.
Resumen: Nuestro objetivo fue investigar el desarrollo larval de Argia joergenseni Ris en tres arroyos ubicados en diferentes latitudes y ecorregiones (Yungas y Chaco) en Argentina. Medimos el ancho de la cabeza y la longitud de la pteroteca del ala metatorácica de las larvas mensualmente y se las clasificó en cinco clases de tamaño. Nuestros resultados mostraron distintos patrones de crecimiento larval entre los sitios de estudio. En los sitios de Yungas (latitud 26º S) se registró una alta proporción de individuos pequeños durante todo el año, lo que sugiere un ciclo de vida multivoltino. En contraste, las larvas en la región del Chaco (latitud 32º S) mostraron una marcada estacionalidad en el crecimiento. Los hallazgos indican una correlación negativa entre el voltinismo y la latitud en A. joergenseni. La especie exhibió una época de vuelo casi continua en las Yungas, mientras que en el límite sur de su distribución (Chaco), la época de vuelo se limitó a los meses más cálidos. Este estudio proporciona información importante sobre la ecología de las larvas de A. joergenseni, contribuyendo a una mejor comprensión de la dinámica de las comunidades de caballitos del diablo y facilitando el desarrollo de medidas de conservación efectivas.
Palabras clave: Ciclo de vida, Dinámica del crecimiento, Época de vuelo, Estacionalidad, Patrones temporales.
Introduction
Many aspects of the ecology and the biology of odonates remain largely unknown or poorly understood (Miguel et al., 2017). The New World genus Argia Rambur is not an exception, since information on the ecological characteristics is scarce particularly at the larval stage (Gomez-Tolosa et al., 2022), despite being one of the most specious genus of damselflies globally (Garrison & von Ellenrieder, 2017).
While the larval development of damselflies in this genus has been studied in temperate zones of North America (Legott & Pritchard, 1985; Pritchard, 1989), it is important to note that Odonata are assumed to have originated in tropical regions and retained warm adaptation components in their life cycles (Corbet et al., 2006; Kalkman et al., 2008). In higher latitudes, seasonal regulation is primarily influenced by the survival of cold-intolerant stages, such as adults, early-stage larvae, and often eggs, during the warmer seasons (Pritchard, 1989). The occurrence of diapause at one or more cold-resistant stages plays a crucial role in interpreting voltinism and its regulation through the complex interaction of temperature and photoperiod (Corbet, 1999).
Latitude has a significant impact on Odonata voltinism, particularly in species inhabiting temperate zones with life cycles that are not phylogenetically restricted to obligatory univoltinism (e.g., Lestes Leach) (Corbet et al., 2006). Argia vivida Hagen, for example, exhibits varying life cycle lengths influenced by exogenous factors related to latitude, even in geothermal areas with relatively constant water temperatures (Pritchard, 1989). Three types of voltinism have been observed in this species: univoltinism, semivoltinism, and partivoltinism, completing one generation in one, two, and three years, respectively. The flexibility of voltinism in A. vivida is attributed to the regulation of larval diapause, which is influenced by photoperiod and temperature (Pritchard, 1989).
In Argentina, the genus Argia is represented by twelve species, with Argia joergenseni Ris having the broadest distribution range in the country (Lozano et al., 2020). It inhabits four ecoregions, including the Yungas cloud forest and the Chaco dry forest at the northern and southern limits of its distribution, respectively (Lozano et al., 2020). Although the last instar larva of A. joergenseni has been described by von Ellenrieder (2007), there is no available ecological information about this stage.
Understanding the larval ecology of species with developmental polymorphism, such as Odonata, is crucial for comprehending community dynamics and implementing effective conservation measures (Miguel et al., 2017; Palacino-Rodriguez et al., 2018). The conservation status of A. joergenseni has not been assessed (Lozano et al., 2020). However, due to its large populations and wide latitudinal and altitudinal ranges, it is likely of least concern.
The objective of this study was to provide basic life history information on Argia joergenseni by describing its larval development in two different ecoregions (Yungas and Chaco) at different latitudes.
Material and methods
Study area
The study was carried out in three streams (Fig. 1). Yerbabuenita (YB) is a first order stream in a rural area with modified vegetation, mostly formed by ecotonal Yungas-Chaco forest in Raco, Tucumán. The stream receives the impact of domestic animals (cattle, pigs), mainly in the dry season (September to November). Stream width varies between 0.5 and 1.5 m, water depth between 5 cm in riffles and 30 cm in pools; marginal vegetation is open, direct sunlight reaches the bottom most part of the day. Bed substrate is composed of metamorphic rocks and gravel. Leaves, twigs and filamentous algae (Cladophora Kütz) are abundant in the river bed. The study site (26°39′57″S, 65°24′50″W) is at 950 m.a.s.l. Seasonality is evident in precipitation (from an annual mean of 1000 mm, 80% fall between December and March, and in temperature (mean Summer temperature 19 °C, Winter 11 °C).

Las Conchas (LC) is a third-order stream, flowing through subtropical rainforest in NW Argentina (Tucumán, Sierra de San Javier). This humid evergreen forest, Austral Yungas, is part of the mountain rain forests ranging from Northern South America to Tucumán and Catamarca provinces in Argentina (Cabrera & Willink, 1973; Brown et al., 2001). Almost the entire stream basin is protected by a natural reserve. Stream width varied between 0.5 and 1 m, marginal vegetation prevented direct sunlight reaching the stream except around midday. Abundant allochthonous plant material is present in the stream. Metamorphic boulders and rocks (>100 mm) dominate the bed substrate. Water depth is 10 cm in riffles, and 30 cm in pools. The study site (26°47′9″S, 65°20′13″W) is at 700 m.a.s.l. Seasonality is evident in precipitation (from an annual mean of 1500 mm, 80% fall in the six warmest months, and in temperature (mean Summer temperature 28 °C, Winter 12 °C).
The Vaca Muerta stream (VM) belongs to the Chocancharava river upper basin, Córdoba, Argentina. This river is one of the main tributaries of the Carcaraña river and belongs to La Plata river basin. VM flows through upland grasslands of the Comechingones mountains that belong to the Chacoan biogeographic province (Oyarzabal et al., 2018). This stream receives direct sunlight during the day and allochthonous plant material is scarce in the streambed. The lithology is dominated by granitic rocks but localised patches of metamorphic rocks (gneiss, schist, migmatite) can also be found. Annual precipitation in the region reaches 1,000 mm occurring mostly between spring and the end of summer (Austral region: October–March) determining a relatively dry mountainous landscape. The study site (32°51′8″S, 64°49′50″W) is at 751 m.a.s.l., with a mean Summer temperature 22 °C, Winter 10 °C. Air temperature and precipitation of the three streams during the study period were obtained from nearby meteorological stations.
Photoperiod: In the summer solstice, around December 21st, at latitude 26º south (Yungas sites), the day has a duration of approximately 13 hours and 20 minutes of sunlight. In contrast, during the winter solstice, around June 21st, the day presents a duration of 10 hours and 40 minutes of sunlight. Similarly, at latitude 32º south (Chaco site), during the summer solstice, there are approximately 14 hours and 50 minutes of sunlight. During the winter solstice, the day presents 9 hours and 50 minutes of sunlight.
Larval measurementsLarval measurements
Argia joergenseni larvae (Fig. 2) were identified using regional keys (von Ellenrieder & Garrison, 2007) and original description (von Ellenrieder, 2007).

In Yerbabuenita (YB) and Vaca Muerta (VM) streams, larvae were captured with an entomological water hand net (mesh 0.3 mm). Larvae were measured in vivo in the field, except the larvae from March to November of VM, and a few voucher specimens from YB, which were collected and preserved in ethanol 96° (deposited in the collection of Instituto de Biodiversidad Neotropical, Tucumán, Argentina). Larval head width (HW: the maximum distance between the outer margins of the compound eyes) and metathoraxic wing sheaths length (WSL) of each larva were measured to the nearest 0.1 mm, using a micrometer eyepiece in a binocular microscope. Both streams were visited monthly (YB: May 2021 to March 2022; VM: January to December 2020) with the expectation of capturing 50 larvae at each visit. That was not always possible because the recurrent flooding of the streams during summer (January to March) washed away most of benthic organisms.
Las Conchas stream (LC) was surveyed with a Surber sampler (0.3 mm pore) every two weeks from April 1994 to June 1996. Samples (3 replicates) were fixed and preserved in ethanol 96°. Not all samples contained A. joergenseni larvae, thus samples taken in the same month, were combined for further analysis. In the laboratory HW (head widths) were measured and wing sheaths were classified into three categories (1: very small or inexistent, 2: medium, 3: large= ready to emerge individuals).
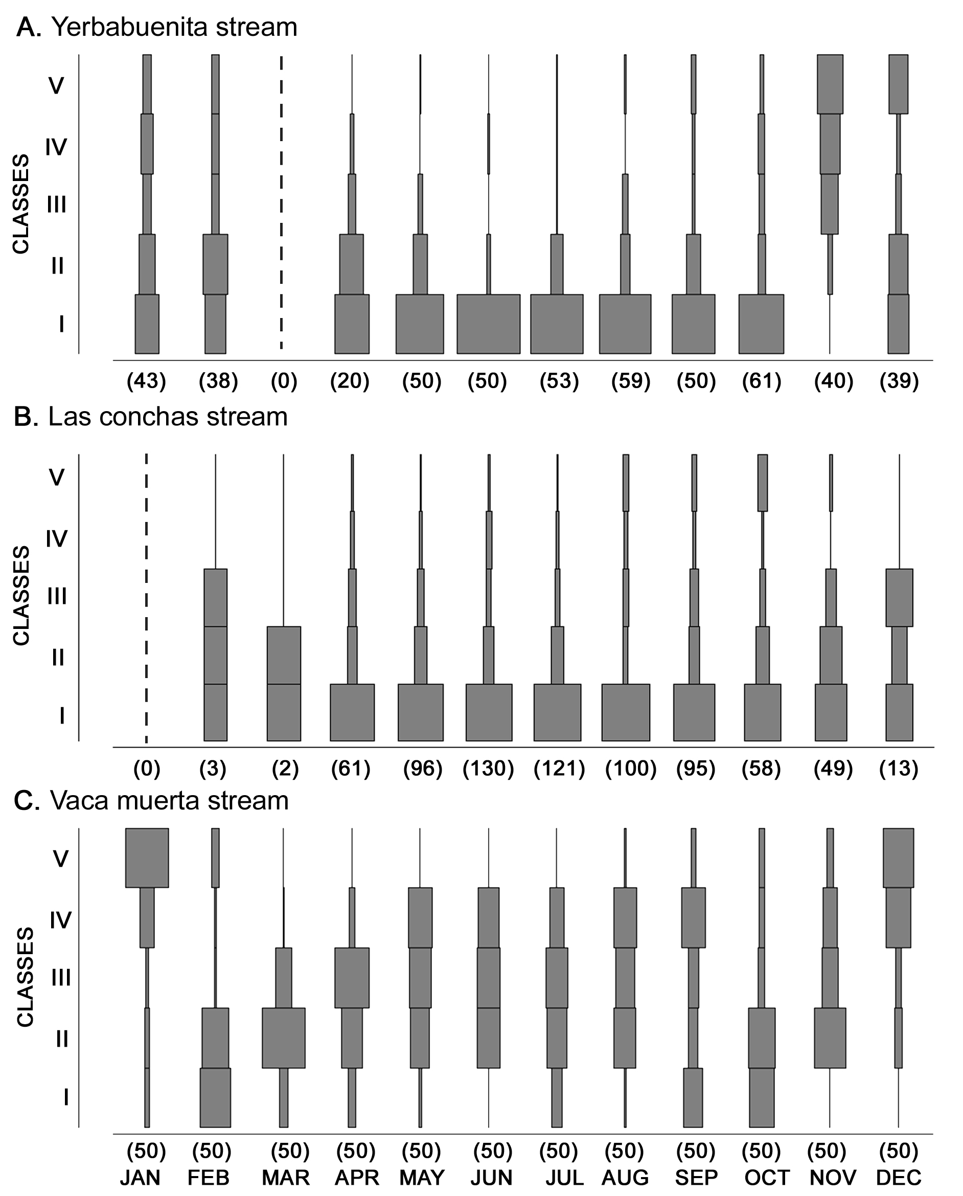
Larvae of the three streams were assigned into five size classes (I-V), where class I include very small individuals and class V those ready to emerge (F-0). For YB and VM we use the relationship between WSL/HW (Tennessen, 2017) which is strongly linked to larval development, to differentiate the five larval size classes: I (0-25% WSL/HW), II (25-50% WSL/HW), III (50- 75% WSL/HW), IV (75 – 100% WSL/HW) and V (>100% WSL/HW). In the case of LC stream individuals within the wing sheath category 3 were assigned to the size class V with the ready to emerge individuals, and smaller individuals according to their HW to the other size class categories. Individuals inside wing sheath category 1 were allocated into the size class categories I (HW ≤ 1.6 mm) and II (HW: 1.7-2.4 mm), and individuals inside wing sheath category 2 were allocated into the size class categories III (HW: 2.5-3.0 mm) and IV (HW: 3.1-3.4 mm).
Results
Seasonality
During the study period, the three streams exhibited pronounced seasonality in mean monthly temperature and precipitation (Fig. 3).

Air temperature generally showed a slightly higher trend at the LC stream, while it was lower at the VM stream throughout most months (Fig. 3a). Notably, the VM stream recorded the lowest temperature among the studied years (-8 ºC) and also experienced a greater number of freeze days (30) compared to the other streams (-2 °C lowest temperature and 7 freeze days for YB, and -1.8 °C lowest temperature and 4 freeze days for LC). Freeze days at the VM stream extended from May to September, while at LC and YB streams, they were limited to June, July, and August. Moreover, precipitation levels were consistently lower at the VM stream, particularly during the spring months (Fig. 3b).
Larval measurements
Larval size patterns were examined based on measurements of 1831 A. joergenseni larvae, with 503 individuals collected from YB, 728 from LC, and 600 from VM. The analysis of mean head width (HW) size revealed distinct growth patterns among the larvae at the three sites, as depicted in Fig. 4.

At LC, the HW size remained predominantly small, indicating a high proportion of small larvae throughout the year in the population. Similarly, the YB population exhibited a comparable pattern, although a large mean head width was observed in November. In the VM population, the mean head size displayed seasonal variation. Small larvae appeared in February and continued to grow until the onset of winter's low temperatures. From May to September, the mean HW remained relatively stable at around 2.6 mm. However, at the beginning of spring, there was a drastic decrease in HW, indicating a higher proportion of small larvae. Subsequently, HW increased, reaching a peak of F-0 (class V) larvae in December and January (Fig. 4).
During autumn and winter, the most abundant size class at YB and LC was class I larvae, followed by class II larvae (Fig. 5).
At both sites, there were only a few larvae in classes III, IV, and V during these seasons. In contrast, at VM, larvae were primarily in class II in March and class III in April. As autumn progressed into winter, classes II, III, and IV became the most abundant and were equally represented, indicating the presence of diapause. Many larvae from VM observed in winter had Rheotanytarsus sp. (Chironomidae, Diptera) cases attached to their bodies, further suggesting quiescence and the absence of molting. Towards the end of winter and the beginning of spring, the number of class V larvae began to increase at both latitudes (Fig. 5). This increase was particularly noticeable in VM, where no class V larvae were recorded during winter, but they reached their highest abundance in January (early summer). Interestingly, a high abundance of small larvae appeared in September and October (early spring), coinciding with the rise in temperature. These individuals seemingly grew faster, reaching class V in December/January (Fig. 5).

F-0 larvae were present throughout the four seasons in YB, with a density peak occurring during middle spring in November (Fig. 6).
A similar pattern was observed in LC, except that no mature larvae were found in summer, although a low number of larvae (n=18) were collected during that season. Field observations indicate that the flight season for A. joergenseni extends almost year-round in both Yungas sites, with the exception of the two coldest months, June and July.
At the higher latitude of VM, the flight season is limited from middle spring to the beginning of autumn (November to April). Consequently, the percentage of F-0 larvae began to increase from late winter and reached its peak during summer (January), when the majority of the cohort emerged (Figs. 5 and 6).

Discussion
In this study, our aim was to investigate the larval growth of A. joergenseni by continuously sampling larvae over the course of one year in streams located at different latitudes. Our research provides valuable insights from the Southern subtropical and temperate zones, which are understudied compared to the northern hemisphere from where most available publications on Coenagrionidae voltinism stem.
We discovered a negative correlation between voltinism (number of generations per year) and latitude in A. joergenseni, which aligns with the general pattern observed in many other odonate species (Corbet et al., 2006). In the Yungas streams of northern Argentina, A. joergenseni was found to be multivoltine, with a significant proportion of small larvae present throughout the year. The species displayed a flight season that extended for most of the year, indicating a lack of seasonal regulation in its life history (Pritchard, 2008).
However, in the southern range of distribution, specifically in VM, we observed a distinct seasonality in larval growth and a flight season that is restricted to the warmest months of the year. This finding highlights the influence of latitude on the species' life cycle dynamics, with the environmental conditions in the southern region leading to a more pronounced seasonal pattern.
Seasonal regulation has been documented in several Zygoptera species that inhabit middle and high latitude habitats, including the closely related species A. vivida. This species exhibits larval diapause to survive at 50º N latitude, strategically placing the cold-intolerant adult stage during the warmest months of the year. Depending on temperature and photoperiod, A. vivida can display life cycles of varying lengths, ranging from one to three years (Pritchard, 1989).
In temperate regions, three main groups of life cycles are classified based on seasonal regulation (Corbet, 1999). The population of VM stream aligns with the Type 2 life cycle, which is characteristic of summer species according to Corbet (1999). These species enter diapause during winter at one or more larval stages prior to the final instar, resuming growth in spring and resulting in a late asynchronous emergence. Size class histograms clearly demonstrate that a significant portion of the VM population enters diapause at stages II, III, and IV, thus avoiding the winter as early-stage larvae.
However, interestingly, we observed a high proportion of class I larvae in late winter and early spring. This phenomenon can be interpreted in two ways. One possibility is that these class I larvae represent a new recruitment peak. However, it is worth noting that although the proportion of F-0 larvae increased in September, this month falls outside the species' flight season. Furthermore, if reproduction and oviposition begin in early spring, we have no explanation for the near absence of class I larvae during November and December.
Alternatively, another explanation is that these class I larvae overwinter as eggs and hatch with the rise in temperature. This idea is supported by the fact that these early-stage larvae appear when the entire population emerges from diapause and resumes growth. To the best of our knowledge, egg diapause has not been documented yet in A. joergenseni. Eggs typically hatch quickly, and early instar larvae have been observed in winter for North American populations of the congener species A. vivida (Leggott & Pritchard, 1985; Pritchard, 1989). Future studies are needed to investigate whether A. joergenseni is capable of entering winter diapause as eggs.
Another important observation regarding the class I larvae in September/October from VM is that they exhibit rapid growth and reach the F-0 larval stage in December/January, appearing to emerge synchronously. It has been observed that Type 2 species can utilize a system of increasing lower temperature thresholds, allowing slower-developing larvae to catch up with more advanced individuals (Corbet, 1957; Lutz, 1968). This mechanism aids in improving the synchronization of emergence among individuals (Corbet, 2003).
In the other two streams studied, which are located in northern localities (YB and LC), population depletion is typically caused by spates (Molineri, 2010). The larvae measured from January to March in these streams represent a random sample of those that survived, mainly consisting of smaller larvae. However, teneral adults are commonly observed during these months, indicating the presence of F-0 larvae (although they were not specifically sampled in our study).
In the southern site (VM), temperatures well below 0 °C are common from May to August, with approximately 30 freeze days per year. In contrast, in the northern sites, freezing temperatures are rare, with fewer than 7 freeze days per year and never dropping below -2 °C. This difference in temperature patterns may explain why the southern population hibernates as medium-sized larvae, while the northern populations do not. The photoperiod does not differ significantly between the two latitudes, as there is only a 6° difference (1 to 1.5 hours of difference in daily light). Future research efforts aimed at understanding the life cycles of A. joergenseni and other Coenagrionidae species in the area should include testing temperature resistance at different larval stages and exploring potential relationships with photoperiod.
Our study provides essential information about the basic life history of A. joergenseni, which is valuable for interpreting community studies of Odonata, particularly in human-altered environments, since other Argia species were seen to be good indicators of well-preserved aquatic ecosystems in northern Argentina (Schröder et al., 2020).
Acknowledgments
We thank our colleagues from IBN, and Facundo Properzi and Micaela Bedano for helping during field work, and to the National Council of Scientific and Technological Research (CONICET) for permanent support. Frederico F. Salles kindly permitted us to use his photograph of the larva. This project was partially supported by CONICET (PIP845 to CM).
References
Brown, A.D., Grau, H.R., Malizia, L.R., & Grau, A. (2001) Argentina. Bosques Nublados del Neotrópico (eds Kapelle, M., & Brown, A.D.), pp. 623–659. INBio.
Cabrera, A.L., & Willink, A. (1973) Biogeografía de América Latina. OEA (OEA series; 13), Washington, USA.
Corbet, P.S. (1957) The life-histories of two summer species of dragonfly (Odonata: Coenagriidae). Proceedings of the Zoological Society of London,128, 403-418.
Corbet, P.S. (1999). Dragonflies: behaviour and ecology of Odonata. Harley books, Colchester, UK.
Corbet, P.S. (2003). A positive correlation between photoperiod and development rate in summer species of Odonata could help to make emergence date appropriate to latitude: a testable hypothesis. Journal of the Entomological Society of British Columbia, 100, 3-17.
Corbet, P.S., Suhling, F., & Soendgerath, D. (2006) Voltinism of Odonata: a review. International Journal of Odonatology, 9, 1-44.
Garrison, R.W., & von Ellenrieder, N. (2017) New species of the damselfly genus Argia from Mexico, Central America and Ecuador with an emphasis on Costa Rica (Insecta: Odonata: Coenagrionidae). Zootaxa, 4235, 1-93.
Gómez-Tolosa, M., González-Soriano, E., Mendoza-Cuenca, L.F., Pérez‑Munguía, R.M., Rioja‑Paradela, T.M., Espinoza‑Medinilla, E.E., Ortega‑Salas, H., Rivera‑Velázquez, G., Penagos‑García, F.E., & López S. (2022) The use of highly diverse clades as a surrogate for habitat integrity analysis: Argia damselflies as a practical tool for rapid assessments. Environmental Science and Pollution Research, 29, 24334-24347.
Kalkman, V.J., Clausnitzer, V., Dijkstra, K.D.B., Orr, A.G., Paulson, D.R., & Van Tol, J. (2008). Global diversity of dragonflies (Odonata) in freshwater. Hydrobiologia, 595, 351–363.
Leggott, M., & Pritchard, G. (1985) The life cycle of Argia vivida Hagen: developmental types, growth ratios and instar identification (Zygoptera: Coenagrionidae). Odonatologica, 14, 201-210.
Lozano, F., del Palacio, A., Ramos, L., & Muzón, J. (2020). The Odonata of Argentina: state of knowledge and updated checklist. International Journal of Odonatology, 23, 113-153.
Lutz, P.E. (1968) Life-history studies on Lestes eurinus Say (Odonata). Ecology,49, 576-579.
Miguel, T.B., Calvão, L.B., Vital, M.V.C., & Juen, L. (2017) A scientometric study of the order Odonata with special attention to Brazil. International Journal of Odonatology,20, 27-42.
Molineri, C. (2010) The influence of floods on the life history of dominant mayflies (Ephemeroptera) in a subtropical mountain stream. Studies on Neotropical fauna and environment,45, 149-157.
Oyarzabal, M., Clavijo, J., Oakley, L., Biganzoli, F., Tognetti, P., Barberis, I., Maturo, H.M, Aragón, R., Campanello, P.I., et al. (2018) Unidades de vegetación de la Argentina. Ecología Austral,28, 40–63.
Palacino-Rodríguez, F., Palacino, D.A., Rache-Rodríguez, L., Cordero-Rivera, A., Penagos, A.C., & Lamelas-López, L. (2018) Larval development and behavior of Rhionaeschna marchali Rambur (Anisoptera: Aeshnidae) under captivity conditions. International Journal of Odonatology,21(1), 1-16.
Pritchard, G. (1989) The roles of temperature and diapause in the life history of a temperate‐zone dragonfly: Argia vivida (Odonata: Coenagrionidae). Ecological Entomology, 14, 99-108.
Pritchard, G. (2008) The life history of a temperate zone dragonfly living at the edge of its range with comments on the colonization of high latitudes by Neotropical genera of Zygoptera (Odonata). International Journal of Odonatology,11, 209-223.
Schröder, N.M., Rippel, C.G., Walantus, L.H., Zapata, P.D., & Pessacq, P. (2020) Odonata assemblages as indicators of stream condition-a test from northern Argentina. North-western Journal of Zoology,16: 117-124.
Tennessen, K. (2017) A method for determining stadium number of late stage dragonfly nymphs (Odonata: Anisoptera). Entomological News,126, 299-306.
von Ellenrieder, N. (2007) The larva of Argia joergenseni Ris (Zygoptera: Coenagrionidae). Odonatologica,36, 89-94.
von Ellenrieder, N. & Garrison, R.W. (2007) Dragonflies and Damselflies (Insecta: Odonata) of the Argentine Yungas: Species composition and identification. Scientific Reports, Società Zoologica ‘La Torbiera’, Italy, 7, 1-103.
Notas de autor
javier.marquez.zoologia@gmail.com