Artículos
Seis lecturas contemporáneas del Escrito de la libertad de Schelling
Six Contemporary Readings of Schelling's Freedom Essay
Seis lecturas contemporáneas del Escrito de la libertad de Schelling
Tópicos (México), núm. 55, pp. 189-229, 2018
Universidad Panamericana, Facultad de Filosofía
Recepción: 11 Octubre 2016
Aprobación: 17 Abril 2017
Resumen: El presente trabajo ofrece seis estrategias contemporáneas de lectura del Escrito de la libertad de Schelling. Se comienza presentando el problema fundamental del Escrito: la contradicción entre naturaleza y libertad y entre fundamento y existencia. La posición del fundamento es de carácter ontológico y supone una relación jerárquica y necesaria entre sus términos. La segunda es ética y supone una relación de separación, no-necesaria y horizontal entre aquellos. Entonces: ¿cómo es posible pensar este "a la vez" de dos posiciones fundamentales irreconciliables? Para abordar este problema se propone una confrontación entre Schelling y Adorno respecto a los límites y posibilidades de toda filosofía no-identitaria. Finalmente, se ofrecen seis posibilidades de lectura del texto en cuestión que pueden ser agrupadas en: a) una perspectiva lógico-topológica (incluyendo lógicas no-clásicas y la teoría de nudos) y b) una perspectiva a través de cuatro pensadores contemporáneos: Karatani, Blondel, Merleau-Ponty y Günther y tres conceptos avanzados por ellos, profundamente emparentados entre sí, de paralaje, diplopía y quiasmo.
Palabras clave: Schelling, Karatani, Merleau-Ponty, quasimo, paralaje, lógica no-clásica, topología.
Abstract: The following paper offers six contemporary readings of Schelling's Freedom essay. It begins by explaining the fundamental problem of the Essay, namely the contraction between freedom and necessity and between ground and existence. The principle of ground must be understood in ontological sense, and implies a hierarchic and necessary relationship between the elements involved. The principle of existence is rather of ethical nature and implies a separation, non-necessary and horizontal relationship of its members. Hence the question: how to think the "simultaneity" of two irreconcilable fundamental positions? To address this issue I offer a confrontation between Adorno and Schelling regarding non-identity thought. Finally I offer six contemporary readings of the Essay, which can be sorted in two groups: a) a logical-topological perspective (involving non-classical logics and topology) and b) a reading from four contem porary thinkers: Karatani, Blondel, Merleau-Ponty and Günther and three closely-related notions developed by them: that of parallax, chiasm and diplopy.
Keywords: Schelling, Karatani, Merleau-Ponty, chiasm, parallax, non-classical logic, topology.
El maestro Shóushan Shéngnián (首山省念) dijo:
"Monje, si llamas a esto un bastón de bambú, lo encasillas en una
palabra y no tienes la visión zen, que va más allá de las palabras y
percibe lo invisible en lo visible, lo infinito en lo finito, y en toda cosa la
Vía eterna. Pero si dices que no es un bastón de bambú, vas en contra
de un hecho, niegas la realidad y vas errante por el mundo falso de lo
ilusorio. Así pues, no puedes decir algo, ni no decir nada. O sea ¿qué
dices? ¿qué haces? ¡Responde rápido!" (Brunel, 2004: 19 ).
El místico hindú Ramakrishna dijo:
"Cuando pienso en el Ser Supremo como inactivo - ni creando, ni
preservando, ni destruyendo - lo llamo Brahman o Purusha, el Dios
Impersonal. Cuando pienso en Él como activo - creando, preservando
y destruyendo - lo llamo Sakti o Maya o Prakriti, del Dios Personal.
Pero la distinción entre ellos no significa una diferencia. Lo personal
y lo impersonal son la misma cosa, como la leche y su blancura"
(Nikhilananda y Mukerji, 2011).
Chesterton en Orthodoxy:
"The ordinary man [...] has always had one foot in earth and the
other in fairyland. He has always left himself free to doubt his gods;
but […] free also to believe in them. He has always cared more for truth
than for consistency. If he saw two truths that seemed to contradict
each other, he would take the two truths and the contradiction along
with them. His spiritual sight is stereoscopic [...] he sees two different
pictures at once and yet sees all the better for that" (Chesterton, 2014: 269).
I. Schelling y la filosofía positiva: El escrito sobre la libertad
a. Filosofía positiva y filosofía negativa
Dejando de lado las periodizaciones recientes de la obra de Schelling (Leyte, 1998), él mismo pretende introducir una cesura en su pensamiento con la división de la filosofía en negativa y positiva. La primera, representada por él mismo en sus primeras obras, habría sido desarrollada hasta sus últimas consecuencias por Hegel. Pero a partir de una cierta época, inaugurada por las Investigaciones filosóficas sobre la esencia de la libertad humana y los objetos con ella relacionados1y los borradores para las Edades del mundo2(Die Weltalter en alemán), se realizaría el giro hacia la filosofía positiva, cuyo acento no está puesto en la auto-aprehensión del absoluto a partir de determinaciones del pensar, sino en la voluntad y la existencia. El absoluto será pensado a partir del Escrito sobre la libertad, que aquí nos incumbe, como un proceso de despliegue de la voluntad a partir de decisiones fundamentales o hitos, que constituirán "épocas" del absoluto mismo.
La distinción entre filosofía positiva y negativa aparece formulada y desarrollada de manera explícita en las lecciones de Erlangen (impartidas en 1820-1821), pero el paso decisivo en esta dirección se da ya desde el Escrito sobre la libertad. Lo que decididamente se deja ver en este texto es el propósito de fundar una filosofía que parta de un principio distinto al de la filosofía negativa, caracterizada como de naturaleza lógica y regida por la necesidad. La filosofía positiva deberá, en cambio, desembocar en lo que Schelling llamará después un "empirismo trascendental",3 una especie de realismo no-ingenuo y no asumible por parte de la dialéctica hegeliana. El objetivo, como lo expresa Schelling con toda claridad, consiste en pensar el problema de la compatibilidad entre necesidad (propia de la lógica) y la libertad (propia de la existencia moral del hombre).4
La filosofía positiva reivindica el empirismo frente a la lógica; la voluntad frente al concepto; la personalidad del absoluto frente a su universalidad; la existencia frente al puro fundamento. Pero en ningún caso se trata de oponer lo positivo a lo negativo, ni mucho menos de denostar la ciencia en aras de un proto-existencialismo. En el Escrito sobre la libertad Schelling busca de manera decidida hacer compatibles dos direcciones que parecen excluirse en la filosofía: panteísmo (que en realidad deberíamos llamar panenteísmo, es decir, no que todo sea Dios, sino que todo esté en Dios) y trascendencia (o separación), porque ahí se decide la posibilidad de la coexistencia entre necesidad y libertad. Dicho en otras palabras, pese a la interpretación corriente de que la filosofía positiva debería ser más "originaria" que la negativa, la Freiheitsschrift parece apuntar a una coexistencia de lógica y existencia, pero que ya no tiene la forma de una síntesis absoluta. ¿Cómo podemos comprender esto?
b. La paradójica pregunta del Escrito sobre la libertad
Para comprender la empresa schellingiana en torno a una filosofía positiva, hay que retroceder al texto mismo y preguntarse por su sentido general. El Escrito sobre la libertad comienza con una discusión sobre el significado del término panteísmo. En el fondo de dicha discusión se puede reconocer la disputa del panteísmo (Pantheismusstreit) y la disputa del ateísmo (Atheismusstreit), ambos en torno a la figura de Spinoza, de quien, según Jacobi, se sigue el fatalismo y, de ahí, el nihilismo más radical.5 La pregunta de Schelling será entonces: ¿cómo puede ser posible la libertad dentro de un sistema panteísta? Entiéndase bien el problema: la sustancia spinozista provee al idealismo alemán un decidido ejemplo de lo que constituye un primer principio, absoluto, del cual se derive lo real (en Spinoza la res extensa) y lo ideal (en Spinoza la res cogitans), pero cuyo fatalismo (chez Spinoza) debe ser ubicado y extirpado. Se trata entonces de plantearse la pregunta por la naturaleza de ese primer principio, para que la libertad sea posible.
Panteísmo, dice Schelling, significa tan sólo que todo es en Dios (Schelling, 1989: 116), es decir, que descansa sobre un fundamento (Grund). Pero de esta posición no se sigue por sí misma, ninguna tesis sobre la necesidad o la libertad. Lo decisivo residirá entonces en explicar de qué modo es lo existente en Dios y en qué consiste semejante Dios. El "error" de Spinoza, afirmará Schelling, no reside en haber pensado los atributos en una sustancia (i.e., en haber defendido un panteísmo), sino en que dicha unidad haya sido precisamente una sustancia, es decir, una cosa, y no un sujeto, o mejor, una vida.6
¿Qué significa entonces ser en Dios? Si Dios fuese un ser necesario, si Dios conociese de antemano todo lo que puede suceder gracias a su omnisciencia y si Dios no actúa según capricho, sino de acuerdo a la necesidad, como las leyes de la naturaleza lo muestran, ¿cómo se puede justificar la libertad humana? La pregunta es sencilla y de raigambre kantiana: ¿cómo es posible la libertad en un mundo natural regido por leyes deterministas estrictas? La "solución", sin embargo, ya no es kantiana. No cabe separar la causalidad intramundana (empírica) de una causalidad trascendental (que tiene su origen en la subjetividad). Dicha separación entre lo empírico y lo trascendental sigue dejando sin explicar su raíz común, o, para el caso, el origen de su diferencia. La separación entre lo empírico y lo trascendental, no es ya ni empírica ni trascendental, sino que debe apelar a otro registro. Veamos cómo procede Schelling.
Para resolver este "problema", Dios, es decir, el primer principio, deberá separarse de sí mismo. Esto quiere decir claramente que el primer principio ya no puede ser "uno" sin más, o que la idea misma de unidad del principio (arché) está en juego. Más aún, para que dicho principio abandone su naturaleza meramente lógica, él mismo deberá tener una historia. La historicidad del primer principio será expuesta a partir de una teogonía, que en el fondo no dice otra cosa más que el primer principio, por paradójico que parezca, no está dado por completo ab initio. Esta es la respuesta de Schelling al "error" de Spinoza: Dios no deberá ser pensado solamente como sustancia, sino también como sujeto, sólo que ser sujeto significa aquí una "vida" y la vida se caracteriza por poseer una parte ciega o inconsciente y una parte personal. El juego entre la parte inconsciente y la parte personal irá creando diferentes estadios o épocas en el desarrollo del absoluto.
Esto significa que "principio" tiene su propia historia y su función de fundamento estará repartida según dichas épocas. De ahí que Schelling distinga entre el principio y el comienzo en sentido estricto: el principio comienza, pero también se desarrolla y se cumple históricamente en la historia humana. Sentado esto, analicemos a partir del concepto de Dios lo que Schelling entiende por primer principio. Todas las cosas deben de ser en Dios, es decir, deben tener un fundamento. Pero la existencia de un fundamento no implica una inmanencia (o continuidad simple) de las cosas y Dios:
La consideración que parte de las cosas nos lleva a la misma distinción. En primer lugar, hay que desechar completamente el concepto de inmanencia, hasta donde se quiera expresar con él un modo de comprehensión muerta de las cosas en Dios. Reconocemos más bien que el concepto de devenir es el único apropiado a la naturaleza de las cosas. Pero éstas no pueden devenir en Dios considerado de modo absoluto, puesto que son distintas de Él toto genere o, para decirlo más correctamente, son distintas de Él infinitamente. Para estar escindidas de Dios tienen que devenir en un fundamento distinto de Él. Pero como no puede existir nada fuera de Dios, esta contradicción sólo puede resolverse diciendo que las cosas tienen su fundamento en aquello que, en Dios mismo, no es Él mismo, esto es, en aquello que es el fundamento de la existencia de Dios (Schelling, 1989: 164-165 ).
Esta cita contiene la clave del argumento schellinguiano: para que las cosas estén en Dios y sean, al mismo tiempo, independientes de él, Dios debe estar escindido en sí mismo, entre su existencia (su mismidad) y su fundamento (o naturaleza). Dios posee, pues, su propia naturaleza, su parte ciega, no personal. Este mismo esquema se repetirá con el hombre. Una de las partes de Dios establecerá con él la relación de fundamento, mientras que la otra parte, la de personalidad, que será la condición de posibilidad de la libertad y del amor. Esto quiere decir que Dios debe jugar dos papeles a la vez, uno de continuidad con la creación y otro de ruptura, uno de inmanencia y otro de trascendencia o separación. Dicha distinción es decisiva porque permitirá pensar a la vez una relación ontológica (con el fundamento) y una ético-política (con otra existencia) sin subordinar a priori una función a la otra, es decir, sin hacer derivar la ética de la ontología, ni la ontología de la ética. Schelling lo expresa de la siguiente manera:
Pero éste no puede ser absoluto [el infundamento o Ungrund, A.R.] (como hemos demostrado) más que dividiéndose en dos comienzos igualmente eternos, no siendo ambos al tiempo, sino estando presente en cada uno de la misma manera, es decir, siendo en cada uno de ellos el todo o un ser propio. Pero el infundamento sólo se divide en dos comienzos igualmente eternos a fin de que los dos principios que, en tanto que infundamento, no podían ser simultáneamente, es decir, ser uno, se tornen uno gracias al amor, esto es, sólo se divide para que haya vida, amor y existencia personal; pues el amor no es ni en la indiferencia ni en los opuestos ligados que necesitan ese vínculo para ser, sino que el secreto del amor es (por repetir algo ya dicho) que une a aquellos que podrían ser cada uno para sí y que sin embargo no lo son ni pueden ser el uno sin el otro. Y por eso, del mismo modo en que la dualidad surge en el infundamento, también así surge el amor, que une a lo existente (lo ideal) con el fundamento de la existencia. Pero el fundamento permanece libre e independiente de la palabra hasta la total escisión final (Schelling, 1989: 282-283 ).
Por un lado, entonces, Dios se divide en sí mismo para poder soportar la creación y al mismo tiempo ser diferente de ella. Esa separación es la que asegura a la creación su relativa independencia. Ambos principios son igualmente originarios. Pero, si bien la separación de los principios significa un desgarramiento del absoluto, éste es la condición para el amor, que sólo puede partir de dos miembros semi-independientes.
Resaltemos el hecho de que Schelling no tiene interés en distinguir entre ética, política y derecho. Mucho se puede decir al respecto, pero baste resaltar que a la base de toda relación con el otro deberá haber una línea de continuidad y otra de separación o ruptura. Esta última constituye un elemento clave de finitud y restricción sin el cual no puede surgir una relación intersubjetiva, ni la libertad, que es su fundamento y que debe entenderse ya no como poder, ni como realización, sino precisamente como limitación. Pero analicemos esto con más detalle para poder entender cómo es que Schelling llega al argumento que se expresa en la cita que ofrecemos.
c. Grund y Existenz o la escisión de Dios
Regresemos por un momento a los términos en que se formula el Escrito sobre la libertad. Una vez que Schelling ha expuesto cómo es que debe pensarse el panteísmo, se plantea explícitamente la pregunta de cómo debe ser pensado Dios para que juegue tanto el papel de fundamento (de la existencia), como de existente (o personalidad). Antes de explicar la relación entre Dios, la naturaleza y el hombre, Schelling se detiene en el primero. Schelling anticipa ya la tarea que habría querido consagrar después en Die Weltalter, a saber, la historia del absoluto pensado como una vida libre. Sin reparar en los detalles del proceso teogónico, el Escrito sobre la libertad intenta exponer la idea de un Dios vivo antes de la creación, el cual debe tomar decisiones (determinar su voluntad, diríamos en términos kantianos).
Este Dios vivo está sujeto a una pasión, no porque él esté en el tiempo, sino porque su génesis es la génesis misma del tiempo. Schelling vuelve a invocar su concepto de indiferencia (que utilizaría en su filosofía de juventud) como Ursein, que deberá escindirse en dos fuerzas: una expansiva y otra contractiva y que corresponderán a dos principios en Dios: el fundamento (Grund) y la existencia (Existenz). Dicha división (Scheidung) responde claramente a una voluntad de manifestación, de revelación de Dios, pero a diferencia de lo que se afirma en la filosofía negativa, dicha manifestación será absolutamente libre e incluso contingente. Que haya ser en absoluto es producto de una decisión y no de una necesidad inmanente.
Ya hemos dicho que la división de Dios en existencia y fundamento de su existencia (la naturaleza en él), debe ser eterna y que ello permitirá sostener tanto la continuidad (ontológica) como la discontinuidad (ética) con el mundo. Las cosas son absolutamente diferente de Dios, pero sólo respecto a su personalidad. Porque la relación de ellas con un fundamento, pensado como mera sustancia (o naturaleza; es decir, siguiendo la fórmula de Spinoza deus sive natura), supone una diferencia fundamento-fundado, pero no una diferencia de género (pues ambos son cosas, por más que el mundo sea pensado a partir de modos de aquella sustancia).
Para comprender mejor esto, podemos recurrir a los escritos sobre filosofía de la naturaleza a los que Schelling consagra los primeros años de su carrera filosófica. Pese a los cambios radicales que sufrirá su pensamiento, la idea de naturaleza-fundamento ocupará siempre un lugar privilegiado en todas las etapas de su pensamiento y muchos de los argumentos reaparecen una y otra vez bajo nuevas perspectivas.
Ya desde la época de su Naturphilosophie Schelling había insistido en el hecho de que la razón tiene su prehistoria en la naturaleza y que aquella surge desde la oscuridad de ésta. Pero si en su Sistema del idealismo trascendental, filosofía trascendental y filosofía de la naturaleza constituían caminos inversos y complementarios, en el Escrito sobre la libertad la naturaleza, ahora entendida como fundamento (Grund) no podrá ser asumida, absorbida (o aufgehoben) por la razón. Su destino deberá consistir en ser puesta como fundamento, como basamento, pero no en ser disuelta, ni integrada en una unidad superior. Así pues, la naturaleza debe ser afirmada en su originariedad e independencia, pero al mismo tiempo, deberá poder ser sobrepasada por una parte "espiritual", que sin embargo se sostiene en aquella: "Dios sintió la voluntad del fundamento como voluntad para su revelación y porque según su providencia reconoció que tenía que haber un fundamento independiente de él (en tanto que espíritu) para su existencia, por lo que dejó actuar al fundamento en su independencia, o por decirlo de otro modo, él mismo se movió sólo según su naturaleza" (Schelling, 1989: 211 ).
De manera análoga a esta formulación de la época de su Naturphilosophie, en su Freiheitsschrift Dios deberá tener su propia naturaleza, su propia "materialidad", si se quiere, su fondo oscuro. Dios no podrá poseer personalidad, ni existencia real sin esta base. Dios es naturaleza. Pero no se cumple la disyunción inclusiva de Spinoza: deus sive natura, pues Dios es más que sólo naturaleza. Aclaremos de paso que dicha naturaleza no es todavía aquella que emergerá con la creación.
Pues bien, si la naturaleza no agota el ser de Dios, se debe a que él es también existencia (Existenz), personalidad. Dicha personalidad no es nada fuera de una naturaleza en la que reposa y sin embargo, es distinta de ella. Es "en" ella, pero distinta de ella. Éste es el argumento central. ¿Cuál es ahora la relación entre Grund y Existenz? Dios será, por un lado, unidad de fundamento y existencia, por el otro, separación de ambos (los términos son distintos, verschieden, pero relativos, aufeinander bezogen). El concepto de unidad, o mejor, de identidad, surge de principios opuestos: uno es expansivo, el otro contractivo; y dicha contradictoriedad es necesaria para que algo pueda expresarse. Separación significa, en cambio, que los principios no están definidos de manera negativa, es decir, donde uno funge como la negación del otro, como su opuesto, en una relación de simetría. Separación significa que ambas fuerzas pueden jugar entre sí, lo cual es posible sólo si ellas son semi-independientes, semi-subsistentes, es decir, si son positivas. Esto permite que la relación entre ambas fuerzas no esté decidida a priori.
Tratemos de desenmarañar un poco más este planteamiento. Una filosofía negativa piensa los términos de una relación a partir de la negación: un término no es el otro y su relación es de mera contraposición. Un término es la negación absoluta del otro y ambos están en una relación especular, simétrica. Una filosofía positiva intenta pensar los términos además como relativamente independientes, donde uno no es el otro, pero no por ello están contrapuestos. Dos cuerpos, por ejemplo, son absolutamente positivos, pero diferentes (¿diríamos en castellano que son solamente distintos?) Schelling intenta, entonces, pensar la posibilidad de que los términos de una relación lógica puedan exhibir al mismo tiempo una relación de contradictoriedad y otra de "juego" de términos positivos, como aquellos propios de un mundo empírico. Hay pues, una sobreabundancia de la existencia respecto a su expresión lógica, lo cual no quiere decir que aquella sea algo fuera de ésta.
d. Dios en busca de libertad: la trinidad
Pero todavía no hemos dicho cómo es que el hombre puede ser libre en Dios. Hemos hablado de Dios y de cómo las fuerzas en él, una contractiva y una expansiva, deben poder establecer una relación lógica (negativa) y una relación positiva (de juego). Dios tiene así una naturaleza, pero su personalidad es distinta de aquella. En los fragmentos de las Edades del mundo podrá verse con más claridad que en sí misma la fuerza expansiva de Dios, que será identificada con el amor, no puede amar nada si no hay alguien más a quién amar. Pero para que haya dos, es necesario un proceso de individuación y para ello es necesario recurrir a una fuerza que separe: la voluntad de fundamento o contractiva. Y de nuevo, una fuerza contractiva sólo puede generar diferentes centros, diferentes personalidades una vez que algo se ha expandido o expresado.
Finalmente, la separación se hunde en una voluntad de fundamento si no es de nuevo abierta por lo que Schelling llama amor. Así, la libertad sólo puede consistir en consumar lo no-necesario de una relación, que es el amor, el cual exige como condición el egoísmo del principio contractivo, como la cita que ofrecimos arriba lo muestra: el secreto del amor consiste en unir "a aquellos que podrían ser cada uno para sí y que, sin embargo, no lo son ni pueden ser el uno sin el otro", es decir, que están separados, pero no son absolutamente independientes.
Apoyándose muy probablemente en la teología cabalística luriánica, Schelling describe la creación a partir del movimiento contractivo de Dios, el cual deja un espacio vacío, un hueco, en el cual puede tener lugar la creación. Este agujero o espacio estará en Dios, pero será también distinto de él (es como si se tratara de un toro, en el sentido topológico del término). Si Dios no deja en libertad a la creación, entonces él mismo no puede ser libre. Pero la naturaleza no es todavía plenamente libre, porque aunque ella sea productividad ilimitada, no es todavía consciente. Dios sólo deviene libre hasta que se crea el hombre, como otro ser libre. Dios es libre gracias al hombre, libre de amar: "Sólo en él (en el hombre) ha amado Dios al mundo" (Schelling, 1989: 175 ), pues, como en Dios, aunque de manera limitada: "En el hombre se encuentra todo el poder del principio oscuro y a la vez toda la fuerza de la luz" (Schelling, 1989: 175 ). Y esto hace posible entonces el hecho de que: "el hombre tiene en sí un principio independiente respecto a Dios, pero debido a que precisamente tal principio -sin que por ello cese de ser oscuro en su fundamento- se transfigura en luz, surge al mismo tiempo en él algo más elevado: el espíritu" (Schelling, 1989: 175 ).
Es aquí donde se puede ver toda la relación desplegada, donde Dios ha creado ya al mundo y en él, al hombre. El hombre es en Dios, pero diferente de él. Por un lado, el hombre forma un continuum con Dios gracias al fundamento (que puede ser visto en la naturaleza). El hombre continúa y pertenece a la naturaleza, gracias a la cual es individuo; al perseverar en su singularidad, se torna egoísta. Por el otro, está separado de él debido a la personalidad de ambos (es decir, el hombre no es pura continuidad con Dios, sino que lo vive como algo separado, alejado, incluso mudo).7 Es así que, desde el punto de vista de la personalidad, surge la nostalgia porque Dios está lejos, porque se ha separado, porque no puede sino estar ahí bajo la forma de la ausencia. Por ello, sólo en el ateísmo, en la falta radical de Dios es que el hombre puede ser libre. No es lo mismo, por cierto, la falta de Dios que un dios que falta. No es lo mismo la inexistencia de Dios que su existencia en tanto que falta. En este caso Dios existe como faltando, como habiéndose retirado.
Ahora bien, esta lejanía no es una mera falta, sino la condición positiva para la emergencia del amor. Para Schelling, el amor sólo puede surgir donde no hace falta, es decir, donde no lo motiva ninguna necesidad. La relación que establece un absoluto consigo mismo puede ser llamada amor, tampoco ninguna relación de complementariedad. El amor debe tener algo de gratuito, pero sin ser capricho. Sólo hay amor donde éste puede ser retirado y entre dos seres que no dependen de ese amor para ser, es decir, que guardan su independencia. La existencia puede entrar en diferentes relaciones lógicas, pero puede "entrar" y "salir" de ellas gracias a una separación fundamental entre criaturas. Esta separación es lo que hace falta para poder pensar una relación "real" y no solamente "ideal". La consecuencia es evidente: el cumplimiento del absoluto como relación amorosa entre Dios y el hombre ya no es un paso necesario en su historia, sino algo que puede o no acontecer, así como la creación pudo o no haber ocurrido. Es así que la libertad, el alfa y omega de la filosofía, como afirmaba Schelling, sólo puede ser realizada en el amor.
II. Condiciones para una lectura contemporánea de Schelling bajo el hilo conductor del pensamiento adorniano
Al inicio del trabajo hemos puesto tres citas que pertenecen al budismo Zen, al hinduismo y al cristianismo, y hemos desarrollado a lo largo de estas líneas el pensamiento teológico cristiano de Schelling. La intención no es aquí hacer filosofía de la religión, ni misticismo. Mucho menos llamar a un ecumenismo aguado, sino, como lo hace siempre la filosofía, recobrar lo que hay de pensamiento en aquellas formaciones nebulosas, para traerlo a la claridad de un discernimiento. Schelling no fue ajeno a la filosofía hindú y siempre supo reconocer en ella el germen especulativo, especialmente en el Bhagavad Gita, de entonces reciente traducción por Friedrich Schlegel.8 No es que la filosofía vaya a la religión para encontrar lo que no puede producir, para llenarse las bolsas de citas y pensamientos y volver con un pensamiento renovado. Por el contrario, nada hay más dudoso, respecto a la estructura de los argumentos, que la separación entre filosofía y teología. Esta fue la tesis que, a su modo, sostuvieron Hegel, Feuerbach, Marx, Benjamin y el mismo Lacan.
Pero no procederemos por esa vía, baste intentar una lectura decididamente secular de los argumentos que Schelling nos presenta. Schelling es reconocido tanto como alguien que cumple el idealismo alemán (Vollendung des deutschen Idealismus), dice Janke (2008) . como el pensador que va más allá de él. Parece que Schelling ofrecería en su pensamiento maduro, anclado en la existencia y la voluntad, una crítica al "logicismo" de Hegel. Agregando el elemento de la decisión y la contingencia, la lógica sería, en ese sentido, algo derivado. De esta manera, como el mismo Schelling parece dar a entender en ciertas secciones de su Escrito sobre la libertad, la filosofía positiva buscaría un nuevo fundamento abismal (Abgrund) a la base del absoluto, una libertad incoercible y refractaria a la lógica, un "real no simbolizable", una "libertad que no puede ser objetivada", etc.9 De esta manera, por un recurso a un gesto trascendental, se volverían a reconocer los límites del pensamiento racional (la cosa en sí sería ahora la existencia, un nuevo más allá). Se afirmaría la imposibilidad de conocer la libertad y se recurriría a una suerte de "fundamentación", en el sentido de que la libertad debería ser concebida como originaria, mientras que la lógica (en el sentido de Hegel) sería derivada. De esta manera, Schelling se convertiría en el antecedente de una filosofía de la diferencia.
Sin embargo, una lectura de ese tipo no haría justicia a Schelling, en tanto que lo arrojaría a la categoría de un pensamiento pre-kantiano, desdiciéndose de todo lo que su filosofía negativa habría logrado: a) cuestionar toda idea de un principio fuera de un desarrollo;10 b) cuestionar un más allá del pensar, (i.e. una cosa en sí refractaria al pensamiento en general, lo que llevaría a una renuncia a la tarea filosófica en nombre de una mística o un "pensamiento venidero" indeterminado); c) cuestionar una jerarquía trascendental que salvara al pensamiento de sus contradicciones y paradojas (Schelling y Hegel reconocen que Kant ha encontrado en la Crítica de la Razón Pura la verdadera naturaleza de la razón, pero en la dialéctica, donde emergen las antinomias y los paralogismos).11
Como reconoce Adorno, todo pensamiento del fundamento, como sea que se le formule, descansa en una diferencia entre lo fundante y lo fundado, lo originario y lo derivado. Dicha diferencia que se concibe como absoluta, irremontable y punto de partida de toda filosofía. Y todo pensamiento de este tipo es necesariamente dualista: "Donde se predica algo absolutamente primero [absolut Erstes], se habla siempre, como su correlato consecuente, de algo desigual, absolutamente heterogéneo a aquel; prima philosophia y dualismo se corresponden [gehen zusammen]" (Adorno, 1982, c1966: 142). Consecuente con esta referencia, no debería leerse al Schelling del período intermedio como un nuevo intento trascendental, lo que traería de nuevo todos los problemas de la filosofía trascendental kantiana que él mismo combatió en su época de juventud. Un Schelling defensor de un pensamiento de lo insondable habría rehabilitado de alguna manera la cosa en sí kantiana, pero bajo la figura de la libertad divina.
Como se ha intentado mostrar, la apuesta de Schelling hace algo distinto a la rehabilitación del pensamiento trascendental y sin duda hace algo más que invertir la filosofía hegeliana, colocando a la existencia por encima de la esencia. Aquí se vuelve profundamente instructivo el pensamiento de Adorno en su Dialéctica Negativa la que, aludiendo a Hegel, parece ofrecer un sentido nuevo aplicándose a Schelling:
En cierta perspectiva la lógica dialéctica es más positiva [y es justamente esta dimensión positiva la que acerca a Adorno al pensamiento de Schelling, A.R.] que el positivismo que ésta proscribe: ella respeta, en cuanto pensamiento, lo por pensar [das zu Denkende], el objeto [Gegenstand], incluso ahí donde él no consiente las reglas del pensamiento [Denkregeln]. Su análisis afecta las reglas del pensar. El pensamiento no necesita darse por satisfecho con su propia legalidad; él puede pensar contra sí mismo sin renunciar a sí; si fuera posible dar una definición de dialéctica, se podría sugerir ésta (Adorno, 1982, c1966: 145 ).12
Si ya no debemos llamar "dialéctico" al pensamiento de Schelling, con mayor razón aplica la cita de Adorno, para quien el pensamiento debe ir incluso en contra de sus propias "reglas" (léase, la negatividad en tanto que conduce a una filosofía de la identidad). ¿No es precisamente eso lo que sucede en el Escrito sobre la libertad, en tanto que se perfilan dos perspectivas, aparentemente irreconciliables, donde la identidad-inmanencia constituye tan sólo una de ellas? Para apoyar la tesis de que Schelling no muestra ningún aferramiento a objeto filosófico alguno y, consecuentemente, tampoco al camino que éste demanda, basta recordar es siguiente pasaje: "No sólo hay que dejar a la mujer y al hijo, como suele decirse, para acceder a la ciencia, hay que abandonar todo lo existente [Seiendes] [...] hay que abandonar [verlassen] a Dios mismo".
Sin duda alguna la filosofía "positiva" de Schelling cobra su sentido por contraste con la filosofía "negativa", que en última instancia remite a Hegel. Es a este último a quien Schelling pretende responder con su nueva concepción filosófica. Pero si un pensamiento dialéctico, en el sentido de Adorno, es capaz de ir contra sí mismo ¿no debe ser capaz de ir más allá de la contradicción? Es decir ¿no debe ser capaz de ir más allá de su regla implacable de la identidad, o de la implicación negatividad -> identidad? Es en este sentido que se debe comprender la "dialéctica negativa" de Adorno, quien busca dar a la dialéctica una lectura "negativa" en contra o más allá de la función de identidad. Pero hay que preguntarse entonces si el camino de la "negatividad" es capaz de hacer justicia al llamado de Adorno.
Schelling ha sido leído, sobre todo en fechas recientes, como un pensador de la "diferencia", en tanto que su agenda parecería corresponderse con pensadores como Heidegger, para quien la diferencia ontológica (al menos en Ser y Tiempo) constituiría el centro de la metafísica (pues ella habría "olvidado" esa diferencia, haciendo del ser un ente) y, su reconocimiento (i.e. de esa diferencia), constituiría en cambio la posibilidad de una nueva filosofía. Este tipo de lecturas se basa en el Escrito sobre la libertad en cuanto en él parece que encontramos elementos para afirmar un privilegio de la existencia por encima de la lógica, parece que podemos rastrear la idea de un abismo (Abgrund) y un fondo oscuro (ein nie augehender Rest), que estaría a la base de todo lo existente y que sería refractario a la razón. Pero Schelling está muy lejos de ello. Aquí, de nuevo, parece ser Adorno quien nos da una clave esencial de lectura:
Una vez que la dialéctica se ha vuelto irrenunciable, ella no puede insistir en su principio como una ontología y una filosofía trascendental, no puede ser retenida como una estructura que soporta [tragende Struktur], como sea que se le modifique. La crítica a la ontología [léase, a todo pensamiento trascendental o cuasi-trascendental que se erige sobre la estructura jerárquica de algo "primero" "originario" y algo "segundo" o "derivado"; o, en el lenguaje de la fenomenología, entre algo absoluta y exclusivamente constituyente y algo absoluta y exclusivamente constituido, A.R.] no busca una nueva ontología, tampoco una de lo no-ontológico. Si no, simplemente colocaría algo otro [ein Anderes] como lo primero por antonomasia [das schlechthin Erste]; esta vez no como absoluta identidad, ser, el concepto, sino como lo no-idéntico, lo entitativo, la facticidad. Con ello hipostatiza el concepto de lo no-conceptualizable [Begriff des Nichtbegrifflichen] y actúa en contra de aquello que pretende.
Veamos entonces si podemos ofrecer una lectura de Schelling que sea capaz de hacer justicia a los tres puntos que hemos expuesto de la mano del pensamiento de Adorno, a saber uno que logre: a) no repetir un simple pensamiento de una diferencia ontológica, lo que llevaría aparejado, necesariamente, un dualismo; b) pensar el absoluto más allá de la dialéctica, pero sin caer detrás de ella, es decir, ofrecer un modelo de pensamiento que no responda ni a la filosofía trascendental, ni a la dialéctica hegeliana; y c) evitar una filosofía de simple "resistencia" a la lógica hegeliana, donde se afirmaría un límite abstracto al pensar, limitándose a afirmar que "algo escapa siempre" al pensar.
III. Posibles lecturas contemporáneas del Escrito sobre la libertad: espacio y lógica
Para responder a las tres exigencias que explicamos al final del apartado anterior, habrá que mostrar que el pensamiento schellinguiano no conduce a una mística, sino que expone una lógica particular y que dicha lógica no es dialéctica en sentido estricto, es decir, no se rige por la Aufhebung. En ésta sigue a un momento positivo, inmediato y abstracto, otro de negación y abstracción, para desembocar en un tercero que reestablecería lo primero, pero ahora de forma mediada por la negación. Este tercer momento se obtiene por una negación de la negación, es decir, por una determinación que no hace sino establecer la simetría entre los dos primeros momentos por medio de su absoluta contraposición. Para decirlo en términos más concretos, tomemos el ejemplo del inicio de la Ciencia de la Lógica. Ahí, lo primero para el pensamiento (no para la conciencia en general, tema que Hegel aborda en la Fenomenología del Espíritu), que se encuentra ya firme en su autosuficiencia, es el ser. El ser corresponde al concepto más general y que no supone nada más. El ser implica el todo, donde nada falta. Y sin embargo, ese ser, que se ofrece aquí de forma inmediata e indeterminada, no es absolutamente nada (entiéndase, nada concreto, por carecer de determinación). A este momento sigue su opuesto, la nada, pues el ser en abstracto es en realidad nada. Este segundo momento establece la abstracción, el distanciamiento respecto a un supuesto ser dado. El tercer momento, que Hegel identifica con el devenir (Werden) revela la verdad de ambos elementos contrapuestos (ser y nada, Sein und Nichts) a partir de su relación simétrica, porque uno es el otro invertido y lo único absoluto (a este nivel) es la relación de ambos en un tercero que los implica como momentos suyos. Es decir, los momentos no son nada fuera de la relación, no tienen independencia en absoluto.
¿Qué alternativa ofrece entonces Schelling frente a este modelo, en su Escrito sobre la libertad?
a. Primera lectura: pensando desde una lógica trinitaria
Como hemos visto en el primer apartado de este trabajo, la diferencia Grund-Existenz no es simétrica, ni tampoco posee a priori una jerarquía. Schelling no afirma que, al menos para el hombre, la existencia preceda a la esencia, o viceversa. Lo que afirma es que la potencia oscura o natural debe ser colocada como fundamento, para que pueda advenir el espíritu. Pero la libertad del hombre reside justamente en que esa potencia oscura pueda regir o ser sometida. Es así que el hombre puede hacer realmente el mal, y es así que el mal puede ser algo positivo y no un mero "olvido" u "oscurecimiento" de la potencia luminosa. A este respecto habría que precisar: para Schelling yo soy libre porque puedo matar al otro, porque puedo olvidarme de Dios, etc. Sin eso, toda libertad estaría limitada de inicio.
Entonces, la diferencia entre Grund y Existenz, funda la posibilidad del despliegue o, mejor, bifurcación de dos ramas del absoluto, una ontológica y otra ético-política. Que Dios sea para el hombre tanto el fondo natural de su existencia, como personalidad (i.e. un otro), quiere decir que la ontología no puede fundar a la ética, ni viceversa. Dicha división dará lugar a un pensamiento trinitario con profundas implicaciones.
En el Escrito sobre la libertad, en el momento en que contamos con la creación del mundo y el hombre, tenemos ya no la forma de la contraposición: finito-infinito, divino-mortal, sujeto-objeto. Tenemos más bien tres términos: Dios-personalidad, Dios-naturaleza y al hombre. Cada uno de ellos tiene su relativa independencia, lo que se puede leer en las negaciones recíprocas. La naturaleza no es ni Dios, ni el hombre (aunque ambos tengan su naturaleza); Dios no es la naturaleza, ni el hombre (aunque Dios sea de algún modo también naturaleza y sea quien sirve de modelo para la imagen y semejanza del hombre) y el hombre no es ni Dios, ni la naturaleza (aunque él sea siempre natural y a imagen y semejanza de Dios).
Y sin embargo, en su relativa independencia, ninguno es realmente libre si no existen los otros en libertad. En la lógica hegeliana, los elementos no son absolutamente nada fuera de la relación. Schelling intenta, por el contrario, pensar una relación en la que quepa una independencia relativa, sin la cual no puede haber libertad. Es decir, los tres elementos están anudados de forma indisoluble, pero cada uno de ellos puede subsistir relativamente fuera de los otros. Cada uno tiene su espacio de juego13 respecto a los otros.
La estructura triádica a la que alude Schelling y que parece confusa a primera vista, nos remite a un modo clásico de concebir y representar la trinidad en el pensamiento cristiano:14

En este esquema de la Trinidad (Regester, 1898) podemos ver en primer lugar las negaciones que fungen como relación entre los diferentes elementos. Primero atendamos a aquella entre el Padre y el Hijo: "pater non est filius". Pero este "no" no nos remite al Espíritu Santo, pues el Hijo tampoco es el Espíritu Santo. Se trata de un "no" que no nos conduce al primer término. No hay negación de la negación en este sentido. En el contexto de Schelling: Dios no es el hombre, el hombre no es la naturaleza, la naturaleza no es Dios, pero al mismo tiempo, Dios y el hombre son "semejantes" (no en balde recuerda Schelling el Génesis, donde se habla de la "imagen y semejanza" entre Dios y el hombre); y también, Dios y el hombre, son naturaleza, pero no sólo. Lo único que "es" (el ser), es el conjunto, ninguno por separado. El absoluto no está entonces en ningún sitio, sino repartido y, puesto que está repartido, no puede ser recogido en una unidad simple, ni siquiera devenida. Es decir, no se produce ninguna identidad. De otro modo, la libertad estaría comprometida.
Para darse una idea de qué tipo de relación se habla aquí podemos acudir de nuevo a otra representación clásica de la Trinidad, pero ahora en términos topológicos:
Se trata del aro borromeo, el ejemplo más simple en matemáticas de un enlace (link) bruniano, que se distingue por la siguiente cualidad: los elementos no están unidos de uno en uno, sino "de a tres", a partir del conjunto. Así, en el ejemplo de arriba, si cortamos uno de los aros, los otros dos quedan libres. La "unidad" significa más que totalidad, conectividad entre elementos relativamente independientes.
Ahora, en términos más formales y al margen de la teología, reconocemos fácilmente una estructura yo-tú-ello (que se corresponderían con Dios, el hombre y el mundo). Lo novedoso es que aquí tenemos dos tipos de negaciones, que podríamos llamar paraconsistentes, en tanto que ya no son absolutas o simétricas. Lo que aparece en este triángulo es una relación intersubjetiva e intencional a la vez, es decir, que incluye dos sujetos y un objeto. Para el yo, el tú es un no-yo, pero la negación no es la misma que se aplica a la naturaleza, que también es un no-yo16. Tenemos, pues, negaciones parciales y diferenciadas: una ontológica y una ético-política. Esto quiere decir que no sólo hay una independencia de todo sujeto frente a otro, sino también de la naturaleza, que no se corresponde sin más a su aprehensión, sea científica o poética.
Esta lógica se diferencia de la lógica hegeliana la cual, si bien es triádica, sólo se desarrolla temporalmente, a partir de momentos de un proceso. Los tres elementos nunca son simultáneos, como en el caso de Schelling. La dominación del tiempo, que obliga a todo ser a contar como mero momento, y que está a la base de un historicismo radical, da lugar, en Schelling, a una dimensión espacial, que admite tres elementos que tendrían cada uno "su lugar" y "su tiempo", es decir, su independencia relativa, pero que, a la vez, estarían remitidos entre sí, aunque ya no a partir de una relación exclusivamente lógica. O si se quiere, estaríamos justificados para afirmar que habría más de una lógica operando simultáneamente; en Schelling, una de la inmanencia y otra de la separación.
b. Segunda lectura: restricción, separación e independencia
El pensar tríadico se sostiene en una rehabilitación de la estructura que guardan recíprocamente los tres pilares de la metafísica: Dios, hombre y el mundo. Para que pueda haber relación, dichas instancias deben estar remitidas genética y lógicamente entre sí (todas forman parte de un mismo proceso temporal). Pero para que pueda haber realidad, en términos de Schelling, ellos deberán ser relativamente independientes (o subsistentes) entre sí y, así, en cierto punto del desarrollo, coexistentes. Si bien Dios crea al hombre, no lo crea como momento de su propio reconocimiento, sino que lo deja en libertad.
En este sentido, la libertad es entendida no como autodeterminación, sino a partir de la limitación, como hemos dicho. Dios se retrae para producir y el mundo y se retira para que el hombre pueda ser libre. En un sentido más amplio podemos decir que sólo hay libertad donde otro es libre. La limitación que conlleva la separación se convierte en una condición positiva de la libertad. Es por ello que Schelling insiste en que Dios debe ser personal: porque así se cumple la paradójica situación en la cual el hombre puede relacionarse con alguien diferente de sí, pero al cual puede siempre abandonar.
Esta es la definición misma del amor que da Schelling: una relación entre dos que pueden subsistir para sí, que no se necesitan. Esta posición se opone diametralmente a la doctrina del andrógino del Banquete de Platón y en general a todo el neoplatonismo que entiende el amor como complementariedad o fusión. En este punto queda claro que la metafísica no ha quedado rehabilitada en Schelling sin más. El alma no será pensada ni como sustancia, ni como mera razón (o res cogitans), ni como inmortalidad, sino como libertad en y desde el mundo (y sobre todo como libertad para hacer el bien o el mal). Dios no será el garante del summum bonum, sino sencillamente el que se ha retirado para que pueda existir la libertad y la posibilidad del amor. Y el mundo ya no podrá ser pensado tampoco como sustancia, sino como el sitio de una productividad infinita (o expansiva) ciega.
En su Naturphilosophie Schelling había ya mostrado que la determinación en el ámbito de la naturaleza debe ser comprendida como un principio de inhibición o restricción (Hemmung) y no como una negación (Schelling, 1998, I, 3: 18 ). La productividad infinita de la naturaleza llega a productos concretos gracias a una fuerza restrictiva de esa potencia absoluta. De la misma manera, Dios puede crear un mundo sólo a partir de la contracción, por medio de un vacío en sí mismo. Si en la filosofía negativa el concepto central es el de negación, en la filosofía positiva los conceptos clave son la restricción (o inhibición), la separación y la relativa independencia (o subsistencia).
Muy rápidamente esbocemos las consecuencias concretas de las ideas sugeridas hasta ahora: 1) en tanto existente, Dios establece la relación de un "otro" respecto al hombre, pero puesto que toda relación respecto a Dios se repite (en cierto modo) en el hombre, este último puede leer su relación ética esencial ya no con un Dios, sino con el prójimo a partir de una doble relación: de continuidad (ambos son un yo) y de discontinuidad (ese otro es no superable o unaufhebbar, pues la separación, o Scheidung, es constitutiva); 2) en tanto que hay dos sujetos separados, la subjetividad misma se ofrece como distribuida, ya no remite a la unidad; o en otros términos, la intersubjetividad no posee la forma de un gran sujeto; 3) habiendo dos sujetos y un mundo, queda contemplada la posibilidad de que el acceso al mundo también se encuentre diferenciada según perspectivas; 4) toda relación con el prójimo estará mediada por la relación con el mundo y viceversa; y 5) dicha lógica funciona si el prójimo y el mundo tienen una relativa independencia, es decir, un nexo tanto de necesidad, como de no-necesidad al mismo tiempo.
c. Tercera lectura: la multiplicidad ontológica en las figuras de quiasmo, paralaje y diplopía
Hemos abordado el tema de una estructura trinitaria del absoluto en Schelling. En vez de un espíritu que se despliega inmanentemente, tenemos uno que se separa de sí para que puedan existir la libertad y el amor. Pero al mismo tiempo, Schelling no desecha la filosofía negativa. De hecho, ella está en la base de su pensamiento de la naturaleza, concebida como un desarrollo inmanente. Lo que llama la atención aquí es que inmanencia y separación forman dos ontologías coexistentes. Por un lado, Schelling intentará reordenar estas dos "ontologías": una continua y otra discontinua, según una relación jerárquica: el amor debe triunfar sobre la voluntad de fundamento. Pero por otro lado, las relaciones entre unión y separación, que hemos simplificado aquí, son complejas y no parecen admitir una prioridad ontológica clara. Aun cuando la relación intersubjetiva sea el ámbito donde se realiza el amor, si se liquida el fondo material o natural, todo se destruye, nada subsiste, pero la relativa independencia de los seres debe ser mantenida a toda costa. Es por ello que debe respetarse el derecho ontológico que tiene cada instancia: el yo, el tú y el otro, pero sin considerarlas instancias sustanciales o "en sí". Ellas son elementos de una relación que admite una separación solamente relativa.
Hemos puesto hasta ahora énfasis en el hecho de que no podemos establecer una prioridad de ninguno de los tres elementos sobre los otros. Pero no hemos resaltado el hecho de que nos enfrentamos con dos ontologías incompatibles: la de la inmanencia y la de la separación. Desde la explicación teogónica, resulta difícil pensar cómo una "potencia" puede ser tanto algo negativo (una relación lógica de términos opuestos: como el principio expansivo y el principio contractivo) como algo positivo (como dos cuerpos, que pueden jugar de múltiples maneras y que son independientes). Parece que la apuesta schellinguiana, problemática como se nos presenta, anticipa una serie de ideas sobre las paradojas inherentes de la ontología en general, que nos llevan a una suerte de pluralidad, pero ya no dualista (pues ello introduciría de nuevo una lógica binaria). Revisaremos tres ideas que pueden hacer comprensible la irreconciliable empresa schellinguiana de salvar inmanencia y separación a la vez. Para ello revisaremos tres conceptos que articulan ontologías incompatibles. No se trata de principios opuestos, sino de ontologías (que a su vez pueden tener otros principios) irreductibles y que no pueden subsumirse en una "super-ontología". O bien, que dicha "super-ontología" ya no tiene la forma ni del fundamento (no hay ya una base última donde todo descanse, ni de donde todo surja), ni de la totalidad (un sistema en sentido estricto, donde las relaciones de los términos se determinan según una sola regla), ni de la identidad (donde la multiplicidad encuentra finalmente un punto de reunión o recogimiento, una suerte de unidad mediada). Estos conceptos son los de paralaje, diplopía y quiasmo. Revisémoslos brevemente.
i. Cuarta lectura. La constante transposición de perspectivas, la paralaje en Kant
Debemos al filósofo japonés Kojin Karatani el haber rescatado de un texto de Kant17, considerado menor, una clave para interpretar su filosofía en un nuevo registro, a saber, partir de lo que él ha llamado "transcrítica" y que implica una suerte de doble visión ontológica. En Traume eines Geistersehers, erlautert durch Traume der Metaphysik (traducido en castellano como Sueños de un visionario, explicado por los ensueños de la metafísica (Kant, 1989)) encontramos la cita a la que refiere Karatani:
La trampa de una balanza [...] se descubre si se cambian de platillo la mercancía y el peso; y la parcialidad [Parteilichkeit] de la balanza del entendimiento [Verstandeswaage] se revela precisamente mediante el mismo procedimiento […] He depurado mi alma de prejuicios, he destruido cada ciega sumisión que se introdujo furtivamente en mí para dar entrada a muchos saberes imaginarios […] El juicio de lo que refuta mis razones es mi juicio, una vez que lo he ponderado contra el platillo del amor propio y a continuación, en el mismo, contra mis pretendidas razones [Gründe] y he encontrado un contenido de peso en él. Antes consideraba el entendimiento [Verstand] humano en general meramente desde el punto dc vista del mío; ahora me pongo en el lugar de una razón [Vernunft] ajena y externa y considero mis juicios [Urteile] incluidas sus más secretas motivaciones, desde el punto de vista del otro [Gesichtspunke Anderer]. La comparación [Vergleichung] de ambas consideraciones da dos fuertes paralajes [Parallaxen], pero es también el único medio para evitar la ilusión óptica y para poner los conceptos [Begriffe] en el verdadero sitio en el que están en la relación de las capacidades de conocer [Erkenntnisvermógen] de la naturaleza humana (Kant, 1989: 106-107 ).
Prima facie la cita es clara: el juicio sólo puede ser validado intersubjetivamente; pero aquí debe irse mucho más lejos. Karatani propone leer la paralaje en un nivel más fundamental, donde la posición del ego trascendental queda suplementada por una posición de exterioridad: el ego no es el único que "pone", sino que él es "puesto", en el sentido del verbo alemán Setzen. Esta otra posición implica una cierta objetividad del yo, que por definición es el que funciona como condición de posibilidad de la objetividad en general. Karatani explica, que la posición del yo, como la del otro, son igualmente ilusorias tomadas por sí solas, y que sólo cuenta la pronunciada paralaje que se establece entre las dos perspectivas. Por tanto, el trabajo filosófico consiste en una constante transposición de perspectivas, lo que conduce de una crítica (pensamiento egológico de condiciones de posibilidad) a una transcrítica (donde emerge precisamente la visión de paralaje), lo que implica pasar de un sistema discursivo a otro. Así, dice Karatani de Kant:
He continuously confronted the dominant rationalism with empiricism, and the dominant empiricism with rationalism. The Kantian critique exists within this movement itself. The transcendental critique is not some kind of stable third position. It cannot exist without a transversal and transpositional movement (Karatani, 2003: 4).
Pero ¿qué es una paralaje? Se trata de un fenómeno óptico en el cual un conjunto de objetos aparecen de forma distinta dependiendo del punto de vista del observador. En otras palabras, hay diferentes puntos de vista de un mismo fenómeno que resultan igualmente válidos. He aquí un ejemplo simplificado de este fenómeno común en la observación de cuerpos celestes y en el caso de una cámara fotográfica.
En la primera imagen podemos ver dos observadores A y B (nosotros diríamos: dos sujetos o una subjetividad distribuida en dos sitios) colocados en posiciones distintas respecto a un objeto (la estrella del centro). No sólo tiene cada uno de ellos una relación particular con el mismo objeto (la perspectiva A y la perspectiva B) sino que, al involucrar un tercer elemento, el fondo, se producen diferentes alineamientos, de tal modo que las imágenes finales que los observadores A y B obtienen, resultan "incongruentes". Ambas visiones son puntos de vista de un mismo mundo, pero éste aparece de diferentes modos. Un punto de vista no es menos ilusorio (o verdadero) que el otro. De lo que se trata en este fenómeno, es de comprender la estructura de posiciones relativas: sujeto1-sujeto2-objeto-fondo, la cual rebasa la simple oposición sujeto-objeto. En la segunda imagen se puede apreciar el mismo fenómeno ejemplificado en el uso una cámara fotográfica. Lo que vemos por el agujero superior no coincide exactamente con lo que capta la lente de la cámara. El ejemplo es interesante porque muestra de forma alegórica la paralaje que se produce no sólo entre dos miradas, sino también entre el mirar y el registro de lo mirado.
Frente a este fenómeno considerado en su dimensión ontológica hay dos caminos fáciles que deben ser evitados: por un lado, una multiplicación de ontologías como la posmodernidad lo hace con las interpretaciones, produciendo una multitud de visiones o perspectivas inconexas e indiferentes entre sí. Pero, por el otro, habría que evitar también una suerte de ontología de la multiplicidad, porque no se trata aquí de pensar mundos infinitos, superabundantes e inaprehensibles, sino de la estructura compleja en la cual diferentes multiplicidades se articulan local o globalmente. Es decir, en vez afirmar algo así como una ontología de una multiplicidad de juegos de lenguaje indiferentes entre sí, o una ontología del juego (donde se renuncia a comprender todo tipo de estructuras globales), habría que pasar a la consideración de una simultaneidad de diferentes juegos "anudados" o implicados entre sí.
Puesto todavía en otros términos. El salto que opera aquí es el siguiente: ya no se trata de pensar cómo la relación entre "elementos" genera (o impide la consolidación de) una estructura o sistema. El objetivo reside en concebir la relación y la conexión entre diferentes sistemas, de tal modo que el agregado final ya no tiene la forma de un sistema de primer orden. Si lo expresáramos en términos de la teoría matemática de categorías tendríamos que describir el primer caso como el modo en que diferentes objetos son puestos en relación (por medio de morfismos) para producir una categoría, mientras que en el segundo tendríamos categorías de categorías o funtores. Pero regresemos a Karatani.
Dentro de la filosofía kantiana, el punto más problemático para la tradición reside en su consideración de la cosa en sí. Parece que ella no alcanza ni para desarrollar un realismo (pues la cosa permanece inaccesible e indeterminada), ni para un idealismo (que ve en la cosa en sí un reducto innecesario de positivismo). En términos generales la cosa en sí sólo remite a un punto fuera del sujeto, es decir, que nos conecta con el problema del "otro" (sea como cosa, sea como libertad del otro).
Según Karatani, las tres críticas, KrV, KpV, KU se corresponden con tres ámbitos de la experiencia: ciencia, ética y arte; y con tres instancias trascendentales: la cosa en sí, el fenómeno y la ilusión trascendental, que, además, Lacan habría "retomado" en su tríada de lo real, lo simbólico y lo imaginario. La referencia a Lacan es importante, porque Karatani argumenta que aquello que Kant nos presenta es un "nudo borromeo" - es decir, tres elementos interdependientes, pero que no forman un "sistema", pues cada elemento retiene su relativa independencia. De este modo, escribe Karatani, "cognitive, moral, and aesthetic domains are all constituted by a change of attitude (i.e., transcendental reduction); and in the beginning these domains do not exist in and of themselves" (Karatani, 2003: 41). Este anudamiento lo hemos visto en los diagramas de la trinidad a propósito de la filosofía trinitaria de Schelling presentada en el Escrito sobre la libertad. Es así que la visión de paralaje aparece en consonancia con una "distribución ontológica" como la que vemos en los aros borromeos, es decir, con una "poliarquía", en tanto que el principio (arché) no se encuentra ni en un sujeto, ni en el otro, ni en el mundo, sino que se reparte y se juega entre ellos, en un punto genérico que le corresponde a los tres y a ninguno en particular.
Más allá de Karatani, podemos argumentar que a la luz de esta concepción de las Críticas y sus "objetos", el proyecto de fundamentación absoluta de la experiencia y la verdad en un ego, comportaría solamente una de las perspectivas, pero no sería ni la única, y por tanto, tampoco la fundamental. De hecho, la noción misma de fundamento, es decir, de una base que soporte a manera de edificio las condiciones de posibilidad (de la experiencia, de la conducta ética o del juicio de gusto), queda relativizada. Queda relativizada pues ya no es posible asegurar la jerarquía que supone toda posición trascendental (entre lo fundante y lo fundado o lo originario y lo derivado, lo trascendental y lo empírico) y el dualismo que se desprende de ella (lo fundante es lo otro de lo fundado, lo trascendental lo otro de la sensibilidad), que analizamos en las citas de Adorno.
De la cita de Kant ofrecida al principio de esta sección (extraída de los Sueños de un visionario), leída desde la perspectiva de la "transcrítica", se puede colegir lo siguiente: la posición que incorpora a un solo ego en la ecuación del entendimiento conlleva necesariamente un engaño (Betrug) o ilusión óptica, lo que no significa un error, sino más bien una perspectiva unilateral. La unilateralidad de esta posición ya no puede ser englobada en una unidad superior, digamos, que tuviera la forma de un gran yo, ahora no individual, sino intersubjetivo o colectivo. No hay aquí ningún todo superior en el cual las posiciones pudieran ser reconocidas como momentos de un único proceso (como en Hegel), pero tampoco hay "raíz común" alguna, lo llamásemos razón o ser, que fungiera como terreno común de las tres posiciones involucradas. Se sigue de aquí que entre mi posición y la del otro no hay una simetría, sino una relación de paralaje por efecto de un tercero. No lo dice Karatani, pero se sigue de su posición, que yo no me encuentro en una relación sujeto-objeto, ni tampoco sujeto-sujeto, sino en una tríada sujeto1-objeto-sujeto2.
Karatani no explora a fondo la estructura del nudo borromeo, ni tampoco cómo funciona una paralaje, menos aún la relación entre uno y otro, es decir, entre una explicación de tipo "topológico" y una de tipo "óptico". Lo que él defiende, sin embargo, es la posibilidad de transitar de una ontología a otra y de un punto de vista a otro, en un mismo esquema, y sin recaer en un "relativismo" o en una grosera inconsistencia. Es así que Kant lograría ser fiel tanto a su "radical materialismo", como a su "ocupación con la metafísica" (Karatani, 2003: 45 ). Entonces, los tres diferentes "registros" de la crítica no obedecerían a regiones o espacios existentes en sí mismos, sino que serían más bien distintas arenas en las que aparecen distribuidos los mismos problemas, pero obteniendo una "solución" diferente en cada uno de ellos. Lo "otro" tomaría en la Crítica de la Razón Pura la figura de un objeto no producido por el intelecto, en la Crítica de la Razón Práctica aparecería como la libertad (tan insondable como la cosa en sí) y en la Crítica del Juicio, finalmente, aparecería como el prójimo (con el cual se constituye el sensus communis del gusto) y como la naturaleza (que aseguraría un mundo hecho para la libertad).
La visión de paralaje permitiría entonces poner a jugar tanto la posición subjetivista (caracterizada por una mirada introspectiva y un mundo interior que se desprende de ella) y una visión objetivista (que puede leerse en dos sentidos: a partir del otro, y por medio del cual yo dejo de ser el centro de la experiencia; y a partir de lo otro, que nos conduce a un cierto realismo y a la aceptación de una cierta "naturaleza"). Pero lejos de tener que decidir entre posiciones o de considerarlas a conveniencia y bajo un radical eclecticismo, la lección de Karatani consiste en leer el conjunto de "ontologías" o de perspectivas ontológicas, que se presentan en la filosofía, de manera simultánea y articulada. Así, de lo que se trata es de suplementar, por medio de una visión de paralaje, la posición de una egología trascendental, con la perspectiva de la cosa en sí, entendida como "the alterity of the other that we can never take for granted and internalize just on our whim or at our convenience" (Karatani, 2003: 51).
ii. Quinta lectura. Diplopía y quiasmo
La lectura que hace Karatani de Kant no debe ser leída de manera aislada. Ella nos liga a una conceptualidad que ha emergido en la filosofía del siglo XX de manera dispersa, pero contundente. Basta recordar el concepto de "diplopía ontológica" de Maurice Blondel, a través del cual nos advierte de los derechos irreductibles de ontologías contradictorias, que resisten tanto su unificación, el decantarse por una rechazando la otra, como finalmente el subordinar una a la otra. Dicha diplopía se manifestaría en el hecho de que las antinomias regresan una y otra vez en la filosofía Cfr. (Blondel, 1934). Sin embargo, dichas antinomias no serían un defecto de "nuestro entendimiento", más bien "[...]cette diplopie [...] est peut-étre aussi [...] une dichotomie subsistante dans la réalité comme dans notre vision des choses" (Blondel, 1934: 14).
En las cosas mismas y en nuestro pensamiento, dicha diplopía produce la constante oscilación entre pensamientos, pero también exige no su conciliación, sino una cierta igualdad de derechos. Blondel advierte entonces: "Puisque toujours nos pensées sont atteintes d'une sorte de diplopie incurable, ni l'une ni l'autre des deux visions ne peut s'imposer exclusivement, pas plus que l'une et l'autre, quoique n'étant pas contradictoires dans leur incommensurabilité, ne peuvent fusionner complétement"(Blondel, 1934: 58). La figura de la diplopía es, como la de la paralaje, óptica. No es gratuito, pues el campo privilegiado de la filosofía ha sido el de la visión, desde el concepto platónico de idea, hasta la idea de manifestación común a la fenomenología y la hermenéutica. Es sólo que ahora la visión aparece duplicada, desajustada de sí misma.
Retomando y expandiendo el concepto de diplopía ontológica de Blondel, Merleau-Ponty acuña otro par de ellos: el de entrelazo (entrelacs) y el de quiasmo (quiasme). En la obra póstuma Le visible et l'invisible (Merleau-Ponty, 1964), argumenta Merleau-Ponty sobre la dificultad de establecer una relación de prioridad ontológica entre mundo y sujeto de experiencia. Es verdad que para la fenomenología todo lo que cuenta con sentido, todo lo que es, es para alguien, es decir, que aparece (i.e., es fenómeno) como correlato de una relación intencional (conciencia es siempre conciencia de algo). Todo sentido se constituye en y para un ego o una comunidad de egos. Pero hay un punto en el que el mundo percibido reclama su propio derecho, su relativa independencia. El cuerpo propio, que Husserl había reconocido bajo el nombre alemán de Leib (y que Merleau-Ponty traduce como carne: chair en francés) no es un mero objeto de constitución fenomenológica como el resto de los otros cuerpos (Kórper). Ese cuerpo-carne constituye más bien el soporte material del ego y su eterno pasado (expresión que proviene de Schelling, del cual se ocupará Merleau-Ponty en sus últimos años de vida) Vid. (Merleau-Ponty, 1995).
Merleau-Ponty ofrece el ejemplo de la mano: su piel es la que toca el mundo, es el vehículo de la percepción táctil, pero ella misma existe en el mundo, como algo que puede a su vez ser tocado, de modo que lo que toca resulta lo tocado (Merleau-Ponty, 1964: 175). Es así que se produce un cruce (recroisement), donde el mundo juega ora como percipiente, ora como percibido. Merleau-Pontu aduce también que dentro de mi propia experiencia de objetos, es decir, dentro de la constitución de objetividades y contenidos (Sachverhalte), hay una sobreabundancia de lo intencionado respecto a mi representación. Retomando un ejemplo sobre el color, que constantemente diera Husserl, dice Merleau-Ponty: "La couleur est d'ailleurs variante dans une autre dimension de variation, celle de ses rapports avec l'entourage : ce rouge n'est ce qu'il est qu'en se reliant de sa place á d'autres rouges autour de lui, avec lesquels il fait constellation [...] Bref, c'est un certain in nceud dans la trame du simultanée et du successif"(Merleau-Ponty, 1964: 174). Se trata de un nudo, de un lazo peculiar entre lo sucesivo y lo simultáneo, entre el tiempo y el espacio. El nudo es un entrecruzamiento, un entrelazo (entrelacs) de perspectivas reversibles, de tal modo que no se puede establecer ya la prioridad del sujeto sobre el mundo, o del mundo sobre el sujeto. Pero, nótese, tampoco se defiende una correlación ego-mundo, pues el primero desborda, con su experiencia al mundo (lo "posible", por ejemplo, ya no pertenece al mundo) y el mundo a la experiencia que un ego (individual o colectivo) puede tener de él. Los conceptos de entrelazo, diplopía y de paralaje son de naturaleza fundamentalmente espacial y contrastan con el privilegio del que ha gozado el tiempo como el éter de la subjetividad y del sentido en general. Al menos de Kant a Heidegger el tiempo ha fungido como el médium propio de la subjetividad, trátese del "sentido interno" o de la "temporalidad del Dasein".20
De este modo, siguiendo a Blondel y a Merleau-Ponty, no se trata de hacer del sujeto la base o fundamento de la experiencia, ni tampoco de concebirlo como algo mera y absolutamente producido, sino de pensar ambas posiciones a la vez: "Dés que je vois, il faut (comme l'indique si bien le double sens du mot) que la vision soit doublée d'une vision complémentaire ou d'une autre vision : moi-méme vu du dehors, tel qu'un autre me verrait, installé au milieu du visible, en train de le considérer d'un certain lieu" (Merleau-Ponty, 1964: 177).
Es de aquí que se desprende el concepto de quiasmo, este entrecruzamiento entre lo subjetivo y lo objetivo, entre la posición en primera persona del ego y su "encontrar lugar" en el mundo, como algo existente para un tercero. Podemos representarnos el quiasmo fácilmente como una banda de Moebius, donde el interior forma un continuo con el exterior, aunque en cada punto podamos siempre señalar un interior y un exterior que no se tocan. El quiasmo es entonces una suerte de entrelazamiento visible, como hemos dicho, a través del cuerpo (como Leib o chair):
Mon corps comme chose visible est contenu dans le grand spectacle. Mais mon corps voyant sous-tend ce corps visible, et tous les visibles avec lui. Il y a insertion reciproque et entrelacs de l'un dans l'autre. Ou plutót, si, comme il le faut encore une fois, on renonce á la pensée par plans et perspectives, il y a deux cercles, ou deux tourbillons, ou deux sphéres, concentriques quand je vis naivement, et, dés que je m'interroge, faiblement décentrés l'un par rapport á l'autre (Merleau-Ponty, 1964: 180 ).
Cada perspectiva solicita a la otra, pero no de una forma complementaria, sino a partir de un entrelazamiento complejo. De otro modo convertiríamos a la naturaleza en un sujeto y al sujeto en una naturaleza, sin atender los niveles de organización, los planos y las perspectivas. Lo esencial aquí es atender al hecho de cómo las perspectivas se desplazan: cuando miro de forma ingenua, veo círculos concéntricos, es decir, al sujeto englobado dentro del objeto o viceversa; pero a partir de una interrogación particular, dichos círculos aparecen "descentrados". Como en el caso de la paralaje de Karatani, cada posición es ilusoria por sí sola y el único modo de "atravesar" la fantasía y la ilusión es poniendo a jugar simultáneamente diferentes puntos de vista ontológicos.
iii. Sexta lectura. Paralaje lógica
Finalmente, me quiero referir a Gotthard Günther, un lógico alemán de la segunda mitad del siglo XX, quien descubre la necesidad de pensar una paralaje lógica, para hacer frente a las exigencias del pensamiento contemporáneo y sus paradojas, muy especialmente aquellas que emergen de la autoreferencia.21 Si en Merleau-Ponty se cuestiona el principio de identidad (es decir, que exista una única perspectiva ontológica y no un desplazamiento constante de perspectivas), Günther cuestionará el principio de tercero excluido (tertium datur) y, en conexión con ello, el de no-contradicción.
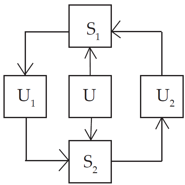
El siguiente diagrama22 presenta la estructura de la experiencia a partir de una subjetividad que podríamos llamar dividida o distribuida. S1 y S2 corresponden a dos subjetividades que miran el mismo mundo U (o el universo mismo), pero obteniendo de él, debido a las posiciones relativas que ocupan, dos perspectivas de éste: U y U2. No hay una relación directa entre las subjetividades, sino por medio del mundo, y más específicamente, a través de su visión del mundo. Podríamos cuestionar el hecho de que Günther no desarrolla propiamente una explicación para las relaciones representadas por las flechas, pero dejaremos eso de lado, pues no afecta la idea principal.

Günther explica el argumento que subyace al diagrama ofrecido aquí de esta otra manera:
I, the present writer, say: "the Universe." This concept contains besides everything else my own body -including my brain - but, strange to say, it does not include my consciousness - whatever that may be. It simply cannot do so, because it is a content of my consciousness. [...] We thus arrive at three different meanings for the term "the Universe." Let "U" represent the meaning of the concept without any reference to any thought process and "US" my idea of the universe, and "UO" that of any other person - for instance, Einstein. You can then postulate the simple equations: (1) U = US; (2) U = UO. These equations mean that I claim my idea of the universe is correct, and the other person makes exactly the same claim. It follows that, if we use the equations 1 and 2 as premises of a syllogism, we should be entitled to the conclusion: (3) US = UO (3). But equation (3) is false. Instead, it holds: US ¥= UO (4). [...] The situation is not entirely new. It has its corollary in astronomy. If we speak offhandedly of the location of a star, three different meanings of the term "location" are implied. A, The objective location of the star with reference to the galactic system it belongs to; B, my visual location of it; and C, the visual location for a second observer at a different point in space. The difference between B and C is called the parallax of the star. All observers agree as to the hypothetical data of A. But A is not an observational fact. Its value can only be deduced from the observed data of B and C. [...] We therefore have to conclude that the universe is given us only under the condition of a logical parallax (Günther, 1953: 126-128).
IV. A modo de conclusión
Las seis posibles lecturas contemporáneas que he ofrecido del Escrito sobre la libertad se basan en ideas espaciales y lógicas. Todas ellas, la diplopía, el quiasmo y la paralaje parten de una intuición esencial, a saber: que la ontología no puede ser formulada desde un no-lugar sino que exige necesariamente un posicionamiento, una suerte de referencia o perspectiva (subjetiva u objetiva); pero de forma más específica, no basta una sola perspectiva, sino varios puntos de vista simultáneos, que en principio son incompatibles entre sí. Ahora, si se radicaliza este punto de vista, ya no sólo afirmamos la multiplicidad de posiciones dentro de una estructura ontológica, sino una multiplicidad de posiciones ontológicas. En otras palabras, ya no se trata de elegir tal o cual ontología, sino de aceptar la necesidad de articular varias ontologías a la vez.
Digamos que si el "pluralismo" acepta una diversidad de "mundos posibles", la visión de paralaje o la "multitopía" ontológica exige una diversidad de ontologías. El reto es, desde luego, no conformarse con yuxtaponer diferentes ontologías entre sí, sino encontrar la estructura misma de la pluralidad: quiasmo, paralaje, diplopía. A la par, resulta evidente que no podemos penetrar semejantes terrenos si no hacemos espacio a la diferencia, la contradicción y la proliferación de valores (lo que en la lógica se llama multivaluación) por medio de lógicas no-clásicas. Esta es la aportación de Gotthard Günther a la discusión.
Volviendo a Schelling, y reteniendo las ideas que hemos esbozado hasta aquí en torno a una multiplicidad ontológica o "poliarquía", podemos decir que es gracias a un pensamiento en primera instancia paradójico y gracias a una lógica tolerante a la contradicción y a la proliferación de valores, que podemos comenzar a hacer pensable la simultaneidad de la relación ontológica y la relación ética, desde un pensamiento teológico, pero que aquí intentamos esbozar en su desnudez laica. Estas seis lecturas seguramente podrán permitirnos comenzar a avanzar de manera renovada por el denso bosque de la filosofía positiva.
Referencias bibliográficas
Adorno, T. (1982). Negative Dialektik. Frankfurt am Main: Suhrkamp.
San Agustín. (1956). Obras de San Agustín en edición bilingüe. Vol. V. Tratado sobre la santísima Trinidad. Fr. L. Arias (trad. intr. y notas). Biblioteca de Autores Cristianos. Madrid: La Editorial Católica.
Blondel, M. (1934). La Pensée. Vol. II. Les responsabilités de la pensée et la possibilité de son achévement. París: Félix Alcan.
Brunel, H. (2004). La felicidad Zen. Los más bellos cuentos Zen. J. Sahagún (trad.) Barcelona: El barquero.
Chesterton, G.K. (2014). G.K. Chesterton: The Dover Reader. Mineola, Nueva York: Dover Thrift Editions.
Derrida, J. (1972). Marges de la Philosophie. París: Les Editions de Minuit.
Günther, G. (1980). Beitrage zur Grundlegung einer operationsfahigen Dialektik: Vol. III: Philosophie der Geschichte und der Technik. Wille, Schópfung, Arbeit. Hamburgo: Meiner.
______ (1953). The Logical Parallax. Astounding Science Fiction, LII (3), 123 133.
Janke, W. (2008). Die Dreifache Vollendung des deutschen Idealismus: Schelling, Hegel und Fichtes ungeschribene Lehre. Fichte-Studien, Supplemementa (Vol. 22). Ámsterdam y Nueva York: Rodopi.
Kant, I. (1998). Crítica de la Razón Pura. P. Ribas (prol., trad., notas e índices). Madrid: Alfaguara.
______ (1989). Sueños de un visionario, explicado por los ensueños de la metafísica. C. Canterla. (ed., intr., trad. y notas). Cádiz: Universidad de Cádiz.
______ (1956). Kritik der reinen Vernunft. Philosophische Bibliothek, Vol 37a. Unveránderter Neudruck der von Raymund Schmidt besorgten Ausgabe (nach der zweiten durchgesehenen Auflage von 1930). Hamburgo: Felix Meiner.
Karatani, K. (2003), Transcritique. On Kant and Marx. S. Kohso (trad.) Cambridge, Massachusetts y Londres, Inglaterra: The MIT Press.
Lafont, C. (1993). La razón como lenguaje. Madrid: Visor.
Leyte, A. (1998). Las épocas de Schelling. Madrid: Akal.
Merleau-Ponty, M. (1995). La nature: Cours du Collége de France, notes. París: Éditions du Seuil.
______ (1964). Le visible et l'Invisible. Suivi de notes de trvail. C. Lefort (ed.) París: Gallimard.
Nikhilananda, S. y Mukerji, D.G. (2011). Sri Ramakrishna. The face of silence. S. Adiswaranda (ed.) Mumbai: Jaico Publishing House.
Priest, G. (1995). Beyond the Limits of Thought. Cambridge: Cambridge University Press.
Regester, J. A. (1898). The Worship of the Church and The Beauty of Holiness. (2a Ed.) Nueva York: James Pott. Disponible online: Disponible online: http://www.gutenberg.org/files/26136/26136-h/26136-h.htm Consultado el 21 de abril de 2016.
Rosenzweig, F. (1997). La Estrella de la Redención. M. García-Baró (ed. y trad.) Salamanca: Sígueme.
Schelling, F. W. J. (2002). Las edades del mundo. Textos de 1811 a 1815. J. Navarro Pérez (ed.) Madrid: Akal .
______ (1998). Schelling's sammtliche Werke (Edición en CD-Rom). E. Hahn (ed.) Berlin: Total Verlag.
______ (1989). Investigaciones filosóficas sobre la esencia de la libertad humana y los objetos con ella relacionados. H. Cortés y A. Leyte (eds. y trads.). Barcelona: Anthropos y Madrid: Ministerio de Educación y Ciencia.
______(1948). Die Weltalter. M. Schróter (ed). Múnich: Biederstein.
Notas