Artículos
Holismo nómico
Nomic Holism
Holismo nómico
Tópicos (México), núm. 57, pp. 11-44, 2019
Universidad Panamericana, Facultad de Filosofía
Recepción: 08 Enero 2018
Aprobación: 27 Febrero 2018
Financiamiento
Fuente: Conicyt
Nº de contrato: 1160001
Descripción del financiamiento: Fondecyt 1160001 (Conicyt, Chile)
Resumen: Se ha propuesto recientemente que las leyes naturales son poderes causales. Las condiciones de identidad de los universales son los poderes causales que tales universales confieren a sus instanciaciones. Una de las objeciones principales contra esta concepción de las leyes naturales y los universales es que conduciría, o bien a un regreso al infinito, o bien a una circularidad viciosa. En efecto, si las condiciones de identidad de un universal son los poderes causales que el universal da a sus instanciaciones, entonces parece que las condiciones de identidad de un universal dependen de otros universales, porque un poder causal es el poder de producir la instanciación de algún universal u otro. Se considera en este trabajo si este problema podría ser resuelto con una relajación de algunas de las características formales de la dependencia ontológica, pero esta estrategia no resulta conveniente. Otra alternativa más promisoria es suponer que los universales son ontológicamente dependientes de la red de relaciones nomológicas a la que pertenecen. Bajo ciertos supuestos formales acerca de la estructura de teoría de grafos de la red nómica, la identidad de un universal puede estar fundada por su sola posición en ella. La concepción defendida aquí resulta una forma de holismo nómico.
Palabras clave: holismo nómico, universales, poderes causales, leyes de la naturaleza, condiciones de identidad.
Abstract: It has been lately proposed that laws of nature are causal powers. The conditions of identity of universals are the causal powers that those universals give to their instantiations. One of the main objections against this conception of laws of nature and universals is that it would lead to, either an infinite regress, or a vicious circularity. In effect, if the conditions of identity of a universal are the causal powers that the universal gives to its instantiations, then it seems that the conditions of identity of a universal depend on other universals, because a causal power is the power to produce the instantiation of some universal or other. In this work it is considered if this problem can be tackled by a relaxation of some of the formal characteristics of ontologi cal dependence, but this strategy appears inconvenient. Another more promising alternative is to suppose that universals are on tologically dependent on the network of nomological relations to which they belong. Under certain formal assumptions about the graph-theoretical structure of the nomic network the identi ty of a universal can be grounded by its sole position in it. The conception here defended results a form of nomic holism.
Key Words: Nomic holism, universals, causal powers, laws of nature, conditions of identity.
Una parte importante de quienes han estado defendiendo posiciones no-humeanas acerca de las leyes naturales han sostenido que, o son ‘construcciones’ de universales o se identifican con universales. De acuerdo a estas corrientes, las condiciones de identidad de una propiedad universal están constituidas por los poderes causales que esa propiedad confiere a los objetos que la instancian (cf. Shoemaker, 1980, 1998; Mumford, 2004; Bird, 2007; entre otros). Y qué poderes causales confiera una propiedad a los objetos que la instancian está determinado por las leyes naturales de las que esa propiedad sea un constituyente. Es esencial para un universal en estas perspectivas, entonces, integrar las leyes naturales que integra. Varios críticos han puesto de relieve, sin embargo, que una concepción de este tipo trae consigo una circularidad en las condiciones de identidad para los universales (cf. Robinson, 1982: 114-115; Blackburn, 1990; Lowe, 2006: 138; 2010; Ingthorson, 2012). En efecto, un universal es el universal que es porque está conectado nomológicamente con otros universales. Estos otros universales también son los universales que son por sus respectivas conexiones nomológicas, y así sucesivamente. Últimamente, tal como se explicará más abajo, o bien la identidad de cada uno de los universales depende de todos los restantes, o bien se genera un regreso al infinito. Para muchos, esto es sencillamente ininteligible. No es este el único problema de regreso que ha sido planteado contra una concepción de las condiciones de identidad de propiedades universales y de las leyes naturales en estos términos. También se ha planteado que en una concepción de este tipo sólo se estarían postulando potencialidades, pero nada que sea la realidad actual de una propiedad (cf. Armstrong, 1997: 80; Ellis, 2002: 171). También se ha planteado que la postulación de propiedades que son nada más que poderes causales haría a tales propiedades incognoscibles (cf. Swinburne, 1980). Y también se ha planteado que un poder causal requeriría un poder adicional para hacerse efectivo, lo que genera, nuevamente, un regreso vicioso (cf. Psillos, 2006; pero Marmodoro, 2010b). En este trabajo no se van a discutir estas otras dificultades para la concepción de las leyes naturales como poderes causales. Solo se va a examinar el primer problema respecto de la coherencia de universales con tales condiciones de identidad. Se va a defender que no hay nada incoherente en su postulación, pero sí trae consigo compromisos teóricos sustantivos. Debería admitirse una ‘red nómica’ de todos los universales. La idea de acuerdo con la cual las leyes naturales son esenciales para los universales que las integran conduce a la postulación de una estructura nómica que ha de tener prioridad ontológica respecto de los universales -que son, simplemente, nodos en esta estructura. Se trata de una forma de holismo nómico.
En lo que sigue de este trabajo, en la primera sección se van a hacer varias precisiones previas acerca de los conceptos de ‘ley natural’, ‘propiedad universal’ y ‘poder causal’ y los presupuestos teóricos que aquí se hacen. En la segunda sección se explicará con detención el problema que se ha planteado respecto de las condiciones de identidad circulares que se estarían postulando para universales y para poderes causales. En la tercera sección se explorarán un par de vías para resolver este problema que requieren modificar la naturaleza de las relaciones de dependencia ontológica. Estas vías de respuesta serán rechazadas. En la cuarta sección se va a proponer una forma de respuesta alternativa en la que hay una dirección precisa de prioridad ontológica, con universales ontológicamente fundados en la estructura nómica.
§ 1. Precisiones previas
Como es bien conocido, los últimos cincuenta años han visto el desarrollo de una profusión de teorías acerca de las leyes naturales que podrían ser calificadas en conjunto como ‘anti-humeanas’. El consenso durante buena parte del siglo XX había sido pensar en las leyes naturales como regularidades de eventos -o enunciados que describen tales regularidades-, siguiendo una tradición intelectual que puede ser rastreada, por lo menos, hasta David Hume. Se han hecho cualificaciones a esta idea central, pero respetando las intuiciones de fondo que le han prestado sustento. Se ha propuesto, por ejemplo, que una ley natural de un mundo posible es un enunciado de aquella axiomatización de la descripción de todo lo que acaece en ese mundo que consigue de mejor modo tanto simplicidad como contenido informacional (cf. Lewis, 1983: 72-77). En toda esta tradición filosófica las leyes naturales no están ‘regulando’ cómo deben acaecer los procesos, sino que están simplemente describiendo lo que sucede de hecho. Aunque uno tenga la intuición de que una ley natural debería ‘determinar’ o ‘constreñir’ lo que puede suceder, fundando hechos contrafácticos acerca de qué sería el caso bajo distintas circunstancias, en las corrientes regularistas estas intuiciones son meras apariencias.
Si, en cambio, se toma en serio la función regulativa que deben tener las leyes naturales, entonces debe buscarse para ellas un estatuto ontológico mucho más robusto. Las teorías propuestas inicialmente por David Armstrong (1978b: 148-157; 1983; 1997: 220-262), Fred Dretske (1977) y Michael Tooley (1977; 1987: 37-169) propusieron que las leyes naturales deberían ser entendidas como relaciones de segundo orden entre universales y no entre los objetos que instancien tales universales.1 La existencia de una relación nomológica o de ‘necesitación’ (sea ‘N’) entre los universales U1 y U2, sea ENT#091;N(U1, U2)ENT#093;, funda que cualquier objeto que instancie U1 luego instanciará U2. Las regularidades de eventos, entonces, deben verse como fundadas en conexiones nomológicas directamente entre universales. Es fácil ver también cómo es que las leyes naturales entendidas de este modo fundan hechos contrafácticos. En efecto, si existe la conexión nomológica ENT#091;N(U1, U2)ENT#093;, entonces lo que cabe esperar es que si algo instanciase U1, entonces instanciaría U2 -por lo menos, en mundos posibles suficientemente cercanos al mundo de evaluación del contrafáctico. No es esta la única corriente anti-humeana en lo que concierne a la ontología de las leyes naturales (por ejemplo, cf. Carroll, 1994; Maudlin, 2007: 5-49; Lange, 2009), pero ha sido el punto de partida para muchos desarrollos posteriores, y es la corriente relevante para lo que se va a discutir aquí.
Estas primeras teorías que concebían las leyes naturales como relaciones de segundo orden entre universales, sin embargo, parecían no ir suficientemente lejos en su rechazo de la tradición filosófica humeana. En efecto, en las teorías de Armstrong, Dretske y Tooley las leyes naturales seguían siendo entidades contingentes. Los universales que en un mundo posible w1 están conectados nomológicamente, no lo están en otro mundo posible w2. Los universales de ‘primer orden’ que son instanciados por objetos particulares y las relaciones de ‘segundo orden’ de necesitación entre universales son existentes diferentes y, por lo tanto, pueden darse juntos o separados. Si los universales U1 y U2 en w1 integran la ley natural [N(U1, U2)], en otro mundo posible w2 no lo hacen.2 Se sigue de esta teoría de las leyes naturales que hay mundos posibles de ‘gran coincidencia’, esto es, para todo mundo posible tal como w1 que posee ciertas leyes naturales, existe un mundo w2 que es un duplicado de primer orden de w1. Esto es, w2 coincide con w1 en poseer exactamente la misma distribución de propiedades universales de primer orden, pero sin las leyes naturales de w1. Las cosas suceden tal como en un mundo donde lo que acaece está regido por leyes naturales en lo que concierne a los universales instanciados por objetos, pero aquí, en cambio, en vez de ser eventos que suceden porque ‘deben’ suceder de acuerdo a leyes, son gigantescas casualidades. Uno puede alegar que estos mundos de gigantescas casualidades son ‘lejanos’ o ‘muy desemejantes’ respecto de nuestro mundo, pero esto no los hace metafísicamente imposibles. Hay otras consecuencias de una posición de este tipo tanto o más contraintuitivas. Por ejemplo, la forma en que llegamos a conocer una propiedad es mediante los poderes causales que tal propiedad confiere a los objetos que la instancian. La propiedad de carga electromagnética negativa, por ejemplo, se identifica porque un objeto con una carga de -q se atraerá con objetos de carga positivas +q de acuerdo a la ley de Coulomb, y se va a repeler con objetos que también tengan carga negativa. Pero si las leyes naturales son contingentes para la propiedad de carga electromagnética negativa, entonces en otros mundos posibles las cargas electromagnéticas positiva y negativa podrían tener sus roles nómicos intercambiados. Lo que actualmente es la carga negativa en otros mundos posibles actúa exactamente del mismo modo en que lo hace la carga positiva y viceversa.
La desconexión respecto de los roles nómicos obliga a sostener que la identidad de una propiedad está constituida por cierto carácter cualitativo primitivo que no puede reducirse ni fundarse en otros hechos. Este carácter cualitativo primitivo ha sido denominado la quiditas (cf. Black, 2000). Desde una perspectiva combinatoria, como cualquier universal podría estar conectado nomológicamente (o no) con cualquier otro, suponer una quiditas primitiva hace que resulte completamente misterioso cómo es que hemos llegado a tener conocimiento de las propiedades acerca de las cuales versa, por ejemplo, nuestra mejor ciencia natural. Si realmente la identidad de una propiedad no se muestra en el modo en que las instanciaciones de esa propiedad interactúan causalmente con otras instanciaciones, entonces no pareciese que tuviésemos acceso epistemológico confiable a tales propiedades. En efecto, ¿cómo saber que estamos identificando a la misma propiedad en el hemisferio norte y en el hemisferio sur, cuando creemos haber identificado la carga negativa? ¿Por qué no podría una propiedad cambiar roles nómicos en diferentes regiones del espacio? Estos motivos han parecido suficientes a una multitud de filósofos para desechar el ‘quiditismo’ y postular, por el contrario, que es esencial para una propiedad conferir ciertos poderes causales a sus instanciaciones (cf. Shoemaker, 1980, 1998; Swoyer, 1982; Black, 2000; Ellis, 2001: 203-228; Mumford, 2004; Bird, 2007: 43-131, entre otros). La discusión que se hará aquí tiene que ver precisamente con las dificultades que trae consigo postular condiciones de identidad para las propiedades vinculadas a los poderes causales que esas propiedades confieren.
Aún entre quienes defienden que las leyes naturales son esenciales para los universales que las integran o constituyen, existen diferencias importantes acerca de cómo estas deban ser entendidas. Tal como se ha explicado, la suposición inicial de filósofos como Armstrong, Dretske y Tooley fue que las leyes son estados de cosas de orden superior que involucran diferentes niveles de universales, i. e. universales de primer orden y, muy notoriamente, un universal relacional de segundo orden de ‘necesitación’ o ‘nomológico’.3 Esta forma de entender la conformación ontológica de una ley natural, sin embargo, invita a postular su contingencia. En efecto, si los universales de primer orden y la relación nomológica N son entidades diferentes entre sí parece razonable suponer que sus existencias deberían ser mutuamente independientes. La existencia de uno de estos universales no debería hacer necesaria la existencia de alguno de los otros o, excluir necesariamente la existencia de alguno de los otros.4 Se supone que lo que funda ontológicamente que un universal U1 confiera a sus instanciaciones el poder de llegar a instanciar U2 es el hecho de que tanto U1 como U2 caen bajo la relación nomológica N. ¿Por qué razón es un hecho necesario que si U1 existe debe estar conectado nomológicamente con otro universal diferente U2? Uno podría en este punto apelar simplemente a hechos brutos acerca de tales conexiones -en efecto, varios filósofos han hecho esto (cf. Swoyer, 1982; Ellis, 2001: 203-228)-, pero es más natural concebir estos hechos nomológicos como la existencia de un universal que, por su naturaleza intrínseca, es un poder causal primitivo, cuyas instanciaciones están ‘tendidas’ a la producción de ciertos efectos causales bajo ciertas circunstancias. Es más, la esencia de un universal es precisamente este ‘estar tendido a producir ciertos efectos en ciertas circunstancias’. Ha sido habitual, al menos durante el siglo XX, pensar que las propiedades han de ser -al menos en el nivel fundamental- puramente ‘categóricas’. Las propiedades por sí mismas sólo confieren a los objetos ciertas cualidades, pero no entregan ‘potencias’ o ‘poderes’ de hacer nada. Por sí mismas, son completamente inertes. Esta concepción ha estado, por supuesto, íntimamente ligada a la perspectiva humeana de acuerdo a la cual nada de lo que existe en una región espacio-temporal hace necesario que suceda algo en otra región espacio-temporal diferente. La realidad está enteramente fundada en un gran mosaico de hechos locales. Lo que consideramos ordinariamente como ‘poderes causales’ son, en esta perspectiva, lo que resulta de una distribución de propiedades ‘categóricas’ junto con ciertas leyes naturales que resultan extrínsecas para tales propiedades (cf. Armstrong, 1997: 69-84).5 La postulación de poderes causales primitivos, en cambio, obliga a invertir de arriba abajo toda esta concepción. Las ‘disposiciones’ no requieren ahora un ‘análisis’ o una ‘explicación reductiva’. Lo que ahora resulta sospechoso es la postulación de propiedades ‘categóricas’ que sean, por sí mismas, causalmente inertes.
Una vez introducidos poderes o potencias causales primitivas parece muy razonable identificarlos con las leyes naturales. En efecto, si es una ley natural que lo que instancia U1 debe instanciar U2, este hecho parece estar fundado en la esencia de U1 que consiste en ser esencialmente una potencia causal para hacer que se instancie U2 en determinadas circunstancias. No parece requerirse ninguna relación nomológica de orden superior adicional.6 Basta simplemente con U1 y su esencia, intrínsecamente tendida a la producción de efectos determinados. Stephen Mumford, sin embargo, ha sostenido en este punto la eliminación de las leyes naturales por poderes causales (cf. Mumford, 2004: 127-205). Se supone que las ‘leyes’ deberían cumplir la función de ‘regular’ como algo externo los procesos naturales, pero justamente un poder causal no es algo ‘externo’ al proceso de que se trate. Para Mumford, hablar de “leyes naturales” es una mala metáfora que pretende hacer ver la naturaleza completa como si estuviese bajo un ‘mandato’ externo que determina lo que puede o no suceder. Lo que hay realmente, en cambio, son propiedades con poderes causales que constituyen su esencia. Otros, sin embargo, han adoptado una posición más moderada en este punto (cf. Bird, 2007: 189-203). Para estos otros filósofos, no parece necesario eliminar las leyes naturales, si es que es posible reducirlas a poderes causales. De acuerdo con esta posición, las leyes naturales son idénticas a los poderes causales esenciales conferidos por una propiedad universal a sus instanciaciones. Si hay poderes causales, hay también leyes naturales. En este trabajo se seguirá esta última posición, pues no se pretende eliminar las leyes naturales de nuestra ontología, sino dar una explicación correcta de cuál es su naturaleza.
Cuando se piensa en un ‘poder causal’ se supone muchas veces que se trata de una disposición en virtud de la cual resulta necesaria la realización de un efecto, si es que se producen las circunstancias que son el ‘estímulo’ propio de tal disposición. Pero aquí se va a concebir un ‘poder causal’ de un modo más liberal. El ‘poder’ en cuestión no es sólo el poder de hacer necesaria la ocurrencia de un efecto, sino también el de hacer posible la ocurrencia de un efecto, con mayor o menor probabilidad. El poder en cuestión puede consistir perfectamente en una distribución probabilística de efectos posibles. No se requiere tampoco que el poder haga más probable la ocurrencia de cierto efecto. Basta con que haga posible su ocurrencia, sea o no muy probable. Por ejemplo, el universal U1 podría conferir la potencia de causar la instanciación de: o bien U2, o bien U3, o bien U4. Supóngase que las probabilidades condicionales respecto de la instanciación de U1 fuesen las siguientes: que se instancie U2 de 0,6; que se instancie U3 de 0,2; y que se instancie U4 de 0,2. La esencia de U1 sería precisamente abrir este espacio de posibles instanciaciones de alguno de U2, U3 ó U4. Si llegase a acaecer U4, que es menos probable que la instanciación de U2, dada la instanciación de U1, la instanciación de U1 sigue siendo la causa de la instanciación de U4, aunque no haga necesaria tal instanciación, ni tampoco la haga más probable.7
Se ha hecho notar (cf. Bostock, 2003) que, entendidas las leyes naturales de este modo, esto es, como poderes causales esenciales para los universales que los confieren, se genera una ‘red nómica’ de todas las leyes y todos los universales conectados nomológicamente entre sí y que existen como bloque en todos los mundos posibles en que uno de sus integrantes existe. Esto puede, de entrada, resultar extraño, pues se ha propuesto por muchos filósofos que los universales existen sólo en los mundos posibles en los que están instanciados (cf. Armstrong, 1978a: 113-116). Aun admitiendo que es esencial para un universal cuáles sean las leyes naturales que integra -porque ese universal es esencialmente un poder causal- esto, por sí mismo, sólo implica que las leyes naturales en cuestión existirán en todos los mundos posibles en que existan tales universales que son los mundos en que ese universal esté instanciado por algo. Sucede, sin embargo, que, si en un mundo w1 es posible que interactúen los universales U1 y U2, entonces deben existir en w1 todas las leyes que determinan tal interacción y, es más, todas las leyes esenciales para U1 y U2. Si existe en el mundo w1 la ley [N(U1, U2)], entonces deben existir también los universales U1 y U2 de los que esa ley depende ontológicamente. Si es esencial, luego, para el universal U2 entrar en la ley [N(U2, U3)], entonces también existirá en w1 tal ley y los universales de los que depende, lo que incluye a U3. Etcétera. Esto se generaliza rápidamente e implica que en un mundo posible deben existir todas las leyes naturales esenciales para los universales existentes ahí. Y en un mundo posible deben existir todos los universales de los que dependen las leyes naturales existentes en tal mundo. Se genera una ‘red nómica’ que incluye todas y sólo a los universales que están conectados nomológicamente entre sí. La existencia de uno de esos universales en un mundo posible trae consigo la existencia en ese mundo de la red nómica completa con todos sus constituyentes. Es una cuestión filosófica sustantiva cuántas redes nómicas diferentes existen. David Bostock ha sostenido que sólo existe una única red nómica (cf. Bostock, 2003) de existencia necesaria. En efecto, si hubiese más de una red nómica, entonces deberían existir regiones ‘desconectadas’ entre sí en el espacio modal de mundos posibles. Sería metafísicamente imposible que un universal de una de esas redes interactuara con algún universal de otra red. Los mundos posibles de las regiones en que existen redes nómicas diferentes deben incluir, por lo tanto, universales diferentes. Lo que se ha sostenido en este punto es que es demasiado fuerte sostener que ningún universal de una de las redes nómicas pueda interactuar con alguno de los universales de la otra.8 Principios de combinatoria imponen que para universales cualesquiera U1 y U2, es metafísicamente posible que algo instancie U1 y algo instancie U2. Esos mismos principios combinatorios parecen imponer que esas instanciaciones podrían interactuar entre sí. Sea como sea, para los propósitos de este trabajo basta con admitir la tesis más débil de acuerdo a la cual todos los universales de una misma red nómica existen de manera invariante en todos los mundos posibles en que uno de sus integrantes exista, sin necesidad de comprometernos con la tesis más fuerte de acuerdo a la cual sólo hay una única red nómica.
En lo que sigue las leyes naturales y los poderes causales con los que se identifican serán designados por el predicado diádico “X confiere el poder de causar la instanciación de Y” cuyas variables deben ser saturadas con términos que denotan universales. Este predicado será abreviado como “P”. La expresión “U1PU2” debe leerse como enunciando que el universal U1 confiere el poder de causar la instanciación del universal U2. Este predicado P parece muy semejante a la relación nomológica N postulada por Armstrong, Dretske y Tooley, pero hay entre ellos diferencias muy marcadas. “N” designa -o pretende designar- una relación de segundo orden que es numéricamente diferente de los universales que está relacionando. “P”, en cambio, es una predicación que se hace de un universal y que especifica cuál es su naturaleza intrínseca como poder tendido a causar la instanciación de otros universales. No está pretendiendo designar una entidad numéricamente diferente del universal al que se atribuye. Como un universal confiere el poder de causar la instanciación de muchos universales diferentes, el predicado “P” es multígrado en su lado derecho. Así, se pueden formar enunciados como “U1PU2, U3, …, Un”.
§ 2. El problema de las condiciones de identidad circulares
La especificación de las condiciones de identidad de un ente es la especificación de qué es lo que determina que ese ente sea ese ente y no otro. Cuáles sean las condiciones de identidad de un ente es algo que está fundado en su esencia. Tal como ha sido ya sostenido por muchos filósofos, la ‘esencia’ de x es la pluralidad de propiedades que determinan lo que x es -o, en términos generales, su ‘identidad’ (cf. Fine, 1994).9 Si una propiedad P es esencial a x, entonces se sigue que x instancia P en todos los mundos posibles en los que x existe, pero no vale la conversa. No todo lo que se dice con verdad de un objeto en todos los mundos posibles en los que ese objeto existe es constitutivo de lo que ese objeto es. La esencia, entonces, no puede ser analizada en términos modales, sino que debe admitirse como un primitivo. Es más, los hechos sobre las esencias son, probablemente, lo que funda los hechos modales. Cuando hay una especificación de las condiciones de identidad para entes del tipo F se está enunciando en qué hechos está fundada la identidad de los Fs. Formalmente, se enuncia un bicondicional necesario de este tipo:
[Identidad] Es necesario que, para todo x, y: x = y si y sólo si Rxy
Dado que la identidad es una relación de equivalencia -i. e. reflexiva, simétrica y transitiva- se requiere que la relación R entre los entes de tipo F sea también una relación de equivalencia. Todo lo que se enuncia en este principio es que hay una covariación modal entre los hechos acerca de la identidad entre los Fs y los hechos acerca de la relación de equivalencia entre los Fs.10 Lo que interesa desde un punto de vista metafísico respecto de un principio como Identidad es que los hechos expresados en el lado derecho del bicondicional son aquellos que fundan la identidad entre los Fs expresada en el lado izquierdo.11 Una especificación de condiciones de identidad para entidades del tipo F tiene interés porque la identidad de los Fs no es fundamental, sino que está fundada en hechos que son ontológicamente más básicos. No puede suponerse, entonces, que para cualquier categoría de entidades existan condiciones de identidad que puedan ser enunciadas mediante un principio con la forma de Identidad. Habrá entidades ontológicamente fundamentales, cuyas condiciones de identidad sean primitivas. Así debe suponerse, si es que la relación de fundación ontológica (grounding) es una relación ‘bien fundada’, lo que excluye círculos de fundación o cadenas de fundación descendentes infinitas.12 Toda la tradición filosófica ha entendido de este modo a la fundación ontológica y así se va a mantener aquí. Pero, si hay condiciones de identidad para una categoría de entidades, entonces, esa categoría de entidades no es ontológicamente fundamental. Considérese, por ejemplo, la forma en que se especifican las condiciones de identidad para conjuntos de acuerdo al principio de Extensionalidad:
[Extensionalidad] Para cualesquier conjuntos A, B: A = B si y sólo si, para todo x: x pertenece a A si y sólo si x pertenece a B.
La identidad entre conjuntos está fundada en hechos acerca de pertenencia. La esencia de un conjunto está dada por cuáles sean sus elementos, por lo tanto, la identidad o la diferencia entre conjuntos está fundada en los hechos acerca de si esos conjuntos poseen o no los mismos elementos. El principio de Extensionalidad, entonces, fija las identidades y diferencias entre conjuntos descansando en hechos ontológicamente más básicos acerca de la identidad y la diferencia de los elementos de tales conjuntos. Si hay condiciones de identidad para conjuntos, entonces los conjuntos son entidades no-fundamentales.
De un modo general, si las condiciones de identidad de x incluyen a y, entonces x es ontológicamente dependiente de y. En lo que sigue, la relación de dependencia ontológica se va a tomar como una noción primitiva (cf. Fine, 1995a). La idea intuitiva que se pretende enunciar cuando se introduce la dependencia de x en y es que es parte de la esencia de x la existencia de y, es decir, y es parte constitutiva de aquello que x es.13 El hecho de que x sea dependiente de y implica que es necesario que, si x existe, entonces y existe. No vale, sin embargo, la implicación estricta inversa, pues podría ser verdadera una implicación de esta forma aun cuando no exista ninguna conexión ontológica entre el ser de x y el ser de y.14 La dependencia ontológica se ha considerado tradicionalmente como un orden estricto, i. e. como una relación irreflexiva, asimétrica y transitiva.15 También se ha supuesto que es una relación bien fundada, esto es, que si hay entidades dependientes de otras es porque debe haber entidades últimamente independientes que sean básicas respecto de las restantes. Para el caso de los conjuntos, si es constitutivo de las condiciones de identidad de un conjunto cuáles sean sus elementos, entonces ese conjunto depende ontológicamente de tales elementos. Esto es, está inscrito en la esencia de tal conjunto que, si uno de sus elementos no existiese, el conjunto tampoco existiría. Ahora se puede considerar la situación que resulta para las condiciones de identidad postuladas para propiedades universales. Sea ‘C’ una variable para ‘poderes causales’. Entonces, las condiciones de identidad propuestas pueden ser enunciadas de este modo:
[Identidad de universales] Es necesario que, para universales U1, U2: U1 = U2 si y sólo si para todo C y para todo x: U1 confiere a x el poder C si y sólo si U2 confiere a x el poder C.
Los hechos acerca de la identidad o diferencia entre universales están fundados en los hechos acerca de la identidad o diferencia de los poderes causales que esos universales confieren a los objetos que los instancian.16 Se sigue del principio de Identidad de universales que los universales son ontológicamente dependientes de los poderes causales que confieren, pues un universal es el universal que es porque confiere ciertos poderes causales más bien que otros. Es crucial, entonces, clarificar qué sea un poder causal. El problema surge en este punto pues las condiciones de identidad de un poder causal remiten de vuelta a universales que los especifican. En efecto, un poder causal es esencialmente el poder de hacer que j, en donde ‘j’ es lo que resulta de estar instanciados uno o más universales.17 Tal como se ha explicado más arriba, la forma de representar este ‘estar tendido’ a producir efectos de cierto tipo de un poder causal se hace en este trabajo mediante la expresión de la relación nomológica entre dos o más universales. El hecho de que U1 es esencialmente un poder causal para producir la instanciación de U2 se representa como [U1PU2 ]. Recuérdese también que lo normal es que un universal no está tendido esencialmente a la instanciación de un único universal, sino que se trata de un estar tendido a un espacio de posibles instanciaciones, algunas más probables que otras, eventualmente. Si se adopta esta forma de representar la naturaleza de los poderes causales en el principio de Identidad de universales resulta:
[Identidad de universales*]; Es necesario que, para universales U1, U2: U1 = U2 si y sólo si para todo Ui, Ui+1, …, Ui+n: (U1PUi, Ui+1, …, Ui+n) si y sólo si (U2PUi, Ui+1, …, Ui+n).18
Se puede apreciar aquí que la dependencia de los universales en los poderes causales viene a ser, entonces, la dependencia de los universales en otros universales que son aquellos cuya instanciación sería causada. El universal U1 es el universal que es porque está conectado nomológicamente a los universales Ui, Ui+1, …, Ui+n. Tales universales Ui, Ui+1, …, Ui+n constituyen la esencia de U1 y son universales respecto de los cuales U1 es ontológicamente dependiente. ¿Cuál es ahora la esencia de los universales Ui, Ui+1, …, Ui+n? Sus respectivas condiciones de identidad están constituidas también por los poderes causales que tales universales confieren, los que -a su vez- tendrán que hacer remisión a otros universales de la forma en que ha sido ya explicado.
Esta situación genera, o bien un regreso infinito vicioso de dependencias, o bien un círculo vicioso de dependencias. Cualquiera de estas dos alternativas parece inaceptable, suponiendo que: (i) la dependencia ontológica es un orden estricto y, (ii) es una relación bien fundada. Estos dos supuestos son ampliamente aceptados en toda nuestra tradición filosófica. En primer lugar, no parece aceptable que la cadena de dependencias ontológicas sea una cadena infinita sin un primer elemento básico. Esta hipótesis se daría si es que cada uno de los universales depende ontológicamente de otros diferentes con los que está conectado nomológicamente, pero no hay ningún universal que sea ontológicamente independiente de los restantes. Se respeta así que ningún universal es dependiente de sí mismo -lo que violaría la irreflexividad de la dependencia ontológica- pero al precio de postular una cadena infinita en la que ningún elemento posee realmente condiciones de identidad determinadas. En efecto, en el caso que se estaba considerando, el hecho de que U1 posea una identidad determinada depende que los universales Ui, Ui+1, …, Ui+n con los que está nomológicamente conectado tengan una identidad determinada. Pero estos universales, a su vez, tendrán una identidad determinada si los universales con los que están nomológicamente conectados tengan una identidad determinada. Pero para estos universales se produce una remisión semejante. Esta cadena de remisiones de dependencia no termina en ningún universal independiente de otros, por lo que ningún universal de la cadena posee condiciones de identidad determinadas.19 En segundo lugar, no sería aceptable que la cadena de dependencias ontológicas entre universales fuese ‘cerrada’, esto es, que las cadenas resultasen últimamente circulares y todos los universales sean dependientes unos de otros. Dada la transitividad de la dependencia ontológica, esto implicaría que los universales deberían ser dependientes de sí mismos. Si la dependencia es irreflexiva, tal cosa sería ininteligible. Nuevamente, ninguno de los universales de la gran red de dependencias nomológicas mutuas tendría condiciones de identidad determinadas. Sean los universales U1, U2 y U3. La identidad de U1 está determinada por la identidad de U2 del que depende. La identidad de U2 está determinada por la identidad de U3 del que depende. Pero ahora la identidad de U3 está determinada por la identidad de U1. Pero U1 no tiene una identidad determinada. Entonces ninguno de U1, U2 y U3 posee una identidad determinada.
Se puede apreciar, entonces, que la postulación de universales que son esencialmente poderes causales y cuya identidad queda determinada exclusivamente por el contenido de tales poderes parece incoherente. Por lo menos, sería incoherente con supuestos ampliamente aceptados acerca de la naturaleza de la dependencia ontológica, esto es, que se trata de un orden estricto y que es una relación bien fundada. En lo que sigue se van a examinar dos estrategias para resolver este problema de coherencia.
§ 3. Una vía de escape: modificar la naturaleza de la dependencia ontológica
Una primera forma en que podría tratar de resolverse el problema de coherencia explicado sería proponer alguna modificación de la naturaleza de la dependencia ontológica. Tal como se ha indicado, la suposición de que hubiese una cadena infinita de dependencia estaría en conflicto con su carácter ‘bien fundado’. La suposición de que hubiese un círculo de dependencias estaría en conflicto con su carácter de ‘orden estricto’. Tal vez se deberían revisar estas características formales para acomodar lo postulado por el principio de Identidad de universales. Después de todo, se trata de un principio para el que parecen haber muy buenas razones. Esas mismas buenas razones pueden verse como recomendando una ampliación en nuestra forma de comprender las estructuras ontológicas de dependencia. Tradicionalmente se ha tendido a comprender tales estructuras con la metáfora de la ‘pirámide’ -o, de manera más genérica, con la metáfora del ‘edificio’- en el que hay ciertos fundamentos que aquí deberían ser entidades no dependientes de otras, pero respecto de las cuales las restantes son dependientes. Ningún componente de la pirámide depende de sí mismo. Si se trata de un componente dependiente es porque por su mismo ser se encuentra esencialmente necesitado de otra entidad que la ‘complemente’. En otras áreas es ya familiar sustituir esta metáfora de la pirámide con ‘bases’ que ‘sostienen’ todo lo restante por otras metáforas que pueden parecer más iluminativas (cf. por ejemplo, Quine, 1953: 37-46), tal como la de la ‘red’ en que cada componente está simultáneamente conectado con todos los restantes y en donde ninguno de ellos resulta una ‘base’ ‘fundamental’ o ‘independiente’. Tal vez los problemas que se han encontrado para hacer inteligible el principio de Identidad de universales sean la ocasión para concebir de un modo diferente estas estructuras de dependencia de una manera menos jerárquica.
De hecho, tales reformas al concepto de ‘dependencia ontológica’ han sido exploradas (cf. Thomson, 2016; Barnes, por aparecer; respecto de la fundación ontológica, Bliss, 2012, 2014). Considérese, en primer lugar, la hipótesis de una secuencia infinita de conexiones nomológicas entre universales, cada uno de los cuales es dependiente de otros, sin un universal ‘básico’ independiente respecto del cual todos los restantes sean derivativos. Algunos han planteado que uno no debe apresurarse a declarar como ‘vicioso’ un regreso infinito sin un examen más detenido acerca de su naturaleza. No todo regreso es vicioso. A veces, el vicio en cuestión es sólo un problema de economía teórica que debe ser ponderado respecto de otras ventajas o costes sistemáticos (cf. Nolan, 2001). Otras veces, el regreso infinito no es vicioso en lo absoluto. Nadie diría que hay algo teóricamente reprochable en el ‘regreso’ al infinito de los números naturales. Aún para quienes tienen una actitud más bien tolerante respecto de los regresos al infinito, sin embargo, cuenta como vicioso un regreso al infinito que involucra una falla en la ‘explicación’ de un hecho o entidad (cf. Bliss, 2012). Y esto es exactamente lo que sucede con una secuencia infinita de universales dependientes ontológicamente unos en otros, sin un primer universal ‘básico’. En efecto, cuando la identidad de una entidad x está constituida por otra entidad y, sucede que hay una radical precariedad ontológica en x, la entidad dependiente. Su existencia no está realmente ‘completa’ o ‘enteramente constituida’ sin la existencia de aquello de lo que depende. Esta ‘complementación’ de la existencia de lo dependiente por aquello que conforma su ‘base de dependencia’ es una forma de explicación ontológica.20 En una secuencia interminable de dependencias esta exigencia explicativa no resulta resuelta nunca. De acuerdo al principio de Identidad de universales, un universal no puede existir por sí mismo, no posee una identidad constituida sin otros con los que posea una relación nomológica. Pero estos otros universales tampoco poseen una identidad constituida, pues tampoco pueden existir por sí mismos. En la cadena de remisiones de dependencia, últimamente nada posee una identidad constituida.
¿Qué sucede ahora respecto de un círculo de dependencia? Bajo esta hipótesis todos los universales son dependientes, pero no se genera un regreso al infinito tal como el explicado. Para esto se deben postular círculos en las relaciones de dependencia. Hay varias formas en que estos ‘círculos’ en las cadenas de dependencia podrían ser acomodados: (i) se podría postular una dependencia ontológica que fuese una relación de equivalencia, esto es, una relación reflexiva, simétrica y transitiva; (ii) se podría postular una relación de dependencia que mantuviese la irreflexividad pero sin transitividad;21 o (iii) se podría postular una relación de dependencia que mantuviese la transitividad, pero sin irreflexividad.22 En cualquiera de estos casos (i) - (iii), la asimetría debería desecharse. Sucede, sin embargo, que no parece razonable dejar a un lado ni la irreflexividad, ni la transitividad de la relación de dependencia. Algo que carezca de tales rasgos formales no parece que merecería el nombre de ser una “dependencia ontológica”. Esto hace inmediatamente que la hipótesis (i) -la más radical entre (i) - (iii)- deba ser rechazada también. Considérese la irreflexividad, en primer lugar. Se supone que la dependencia es una relación de prioridad ontológica por la que ciertas entidades resultan ‘derivativas’ respecto de otras. Es sencillamente incompatible con tal prioridad ontológica la hipótesis de entes que sean dependientes de sí mismos. Nada es ‘prioritario’ de sí mismo. El hecho de que algo no dependa de otro ente no hace, por lo demás, que dependa de sí. Se trata de algo independiente, ontológicamente básico por lo que respecta a la dependencia.23 Precisamente, por ejemplo, debido a que la dependencia es una relación de prioridad ontológica es que se ha discutido si acaso las ‘sustancias’ deberían o no ser analizadas como entes ‘independientes’ -no si acaso fuesen ‘dependientes de sí mismas’.24 Si la irreflexividad no es renunciable, tal vez la transitividad pueda ser relajada. Pero no es así. Tal como se ha explicado más arriba, si un ente x depende ontológicamente de y es porque y es constitutivo de la esencia de x, lo que implica que x no podría existir sin la existencia de y. Supóngase que x depende de y y que, a su vez, y depende de z. ¿Cómo podría dejar de ser dependiente x respecto de z? Si z es, por hipótesis, constitutivo de la esencia de y, e y es constitutivo de la esencia de x, ¿cómo podría no ser z un constitutivo de la esencia de x? La dependencia ontológica sin transitividad parece sencillamente ininteligible. La cuestión es ahora que una relación que sea irreflexiva y transitiva debe ser también asimétrica25 -i. e. un orden estricto.
Esto nos devuelve al punto de inicio. Si la dependencia ontológica es como suponemos que es -y hay buenas razones para ello, tal como se ha explicado- esto es, un orden estricto bien fundado, entonces el principio de Identidad de universales parece estar requiriendo algo inaceptable, una situación en que todos los universales dependerían ontológicamente de todos los restantes. Cada uno de sus universales posee una existencia ‘incompleta’ requerida de ‘suplementación’ por su base de dependencia. Sucede, sin embargo, que aquello que habría de ser la base de dependencia -otros universales- también son entidades con una existencia ‘incompleta’ requerida de ‘suplementación’ por una base de dependencia. Pero ahora, la base de dependencia son los mismos universales que desde un inicio, poseen una existencia ‘incompleta’. El círculo de dependencias ontológicas es, entonces, incoherente.
§ 4. Otra vía de escape: prioridad de la estructura nómica
Se ha visto que no es una buena estrategia para resolver el problema del principio de Identidad de universales intentar una reforma más o menos drástica de la naturaleza de la dependencia ontológica. Esto obliga a buscar otras salidas. Y hay, por lo menos, una alternativa a la que recurrir, pero se trata de una alternativa que trae consigo consecuencias metafísicamente sustantivas. La idea central de esta estrategia alternativa es mantener la individuación de los universales por sus conexiones nomológicas con otros universales, pero en vez de postular la dependencia del universal respecto de otros universales, se postula aquí la dependencia del universal respecto de la red de relaciones nómicas a la que debe darse prioridad ontológica. Recuérdese nuevamente el principio de Identidad de universales*:
ENT#091;Identidad de universales*ENT#093; Es necesario que, para universales U1, U2: U1 = U2 si y sólo si para todo Ui, Ui+1, …, Ui+n: (U1PUi, Ui+1, …, Ui+n) si y sólo si (U2PUi, Ui+1, …, Ui+n).
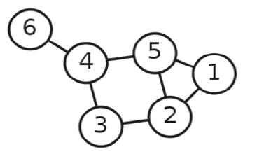
Hasta este momento se ha supuesto que un poder causal de U1 de hacer que se instancie U2 -expresado como U1PU2- es el poder que es, debido a la naturaleza de los universales U1 y U2. Lo que se propone aquí es invertir esta dependencia intuitiva. Sucede ahora que los universales U1 y U2 son los universales que son debido al lugar que ocupan en el plexo de relaciones nomológicas. Será útil para considerar esta cuestión apelar a la teoría de grafos, que es una teoría matemática acerca de estructuras que resultan de la postulación de un conjunto de relaciones entre ciertos “nodos”, “vértices” o “puntos” (cf. Balakrishnan y Ranganathan, 2012: 1-7). En teoría de grafos, una ‘relación’ entre dos nodos se representa como un conjunto de esos nodos.26 Si la relación en cuestión es asimétrica, entonces se representa como un par ordenado de los nodos. Las relaciones entre los nodos se denominan “lados” o “bordes”. Si los lados son asimétricos se denomina un “grafo dirigido”. Usualmente, cada nodo conecta a lo más dos lados. Un grafo en el que los nodos o vértices pueden conectar más de dos lados se denomina un “multígrafo”. Los grafos se pueden representar en una figura en la que cada lado es una línea y cada nodo es un punto. Considérese el siguiente grafo G1:

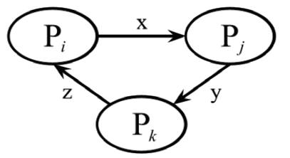
Los vértices o nodos de este grafo son los elementos del conjunto {1, 2, 3, 4, 5, 6}. Los lados de G1 son los elementos del conjunto {{1, 2}, {2, 3}, {1, 5}, {5, 4}, {4, 6}}. Lo interesante de este enfoque, tal como se puede apreciar en este grafo G1, es que no importa cómo sean rotulados los nodos o vértices de G1 pues, tal como está conformado, estos nodos pueden ser individualizados exactamente por el lugar que ocupan en tal estructura. Se puede definir un isomorfismo entre grafos Gj y Gk como una función biyectiva f que mapea a cada nodo del grafo Gj un nodo del grafo Gk, a cada lado del grafo Gj un lado del grafo de Gk, y tal que a cada lado {n1, n2} de Gj mapea el lado {f(n1), f(n2)} de Gk. Dos grafos isomórficos entre sí poseen la misma ‘estructura’.27 Es más, una ‘estructura’ puede definirse como aquello que permanece invariante por isomorfismos entre grafos. Se denomina un “automorfismo” un isomorfismo de un grafo en sí mismo. La identidad es un automorfismo trivial que mapea cada nodo y cada lado de un grafo en el mismo nodo y en el mismo lado. Lo que resulta interesante para nuestros propósitos es que hay grafos con mapeos de sus nodos que son automorfismos no-triviales, mientras que hay grafos en los que ningún mapeo de sus nodos es un automorfismo no-trivial. Esto es, hay grafos en los que se preserva la estructura, aunque uno modifique la ‘posición’ de los nodos en ella, mientras que, en otros grafos, cualquier mapeo de sus nodos hace que la estructura se pierda. Considérese este grafo dirigido G2:

Este grafo G2 está conformado por tres nodos pi, pj y pk, y tres lados x, y, z tales que: x = <pi, pj>, y = <pj, pk> y z = <pk, pi>. Supóngase un mapeo f tal que: f(pi) = pj, f(pj) = pk y f(pk) = pi. La rotación de los nodos en G2 que hace la función f no genera ninguna diferencia en su estructura. Un grafo, sin embargo, en el que ningún mapeo de sus nodos es un automorfismo no-trivial se denomina un grafo asimétrico. El grafo G1 arriba es precisamente un grafo asimétrico con esta característica. En un grafo asimétrico la identidad de cada nodo puede ser fijada por su posición en la estructura y nada más que por tal posición en la estructura. Cualquier mapeo no trivial de los nodos de G1 -esto es, un mapeo que no sea la identidad- no preservaría su estructura. Basta para esto considerar, por ejemplo, la hipótesis de un mapeo del nodo 6 en el 5, y el 5 en el 6. El nodo 6 sólo está conectado con el nodo 4, mientras que el nodo 5 está conectado con los nodos 4, 2 y 1. Estos son rasgos perfectamente generales de estas estructuras que no dependen de cuál sea la naturaleza intrínseca de los nodos, o de los lados entre los nodos. La teoría de grafos, entonces, ofrece una respuesta formal acerca de cómo es que una estructura conformada por un plexo de relaciones puede ser aquello que constituye la identidad de los relata en ella.
Podemos ahora volver a las relaciones nomológicas entre universales. Se puede contemplar la totalidad de estas relaciones entre todos los universales. Esta totalidad de relaciones puede ser representada por un grafo -tendrá que ser un multígrafo dirigido, pues las relaciones nomológicas en cuestión son asimétricas y cada universal está, en principio, tendido a la instanciación de infinitos otros universales. Si este multígrafo dirigido es asimétrico, entonces no hay ninguna dificultad en que la identidad de cada uno de los universales de la gran estructura nómica este fundada en su posición en esta estructura. El principio de Identidad de universales, entonces, debe verse como especificando cómo es que las condiciones de identidad para cada uno de los universales están fundadas en la totalidad de conexiones nomológicas o red nómica total. Ha sido tradicional suponer que las relaciones son ontológicamente dependientes de sus relata, esto es, que una relación sólo existe si es que existen los objetos o entidades que esa relación conecta (cf. Aristóteles, Categorías, cap. 7). En este caso, uno estaría inclinado a pensar que las conexiones nomológicas entre universales dependen ontológicamente de los universales conectados siguiendo esta tradición. La perspectiva que aquí se presenta, sin embargo, exige invertir esta dependencia, pues todo el ser de los universales consiste en ser ‘nodos’ en la red nómica. Esta idea ya ha sido planteada por Alexander Bird (cf. Bird, 2007: 138- 146) y ha sido criticada por varios filósofos (cf. Hawthorne, 2001; Lowe, 2010) pues -han sostenido- aunque de hecho la red nómica tenga la aptitud para fijar la identidad de sus nodos, esto no parece impedir que sea posible que tenga una configuración diferente, de manera que no pueda ‘fijar’ la identidad de los universales que la integran. Desde una perspectiva de teoría de grafos, la cuestión sería que, aunque la red nómica de hecho podría ser representada por un multígrafo dirigido asimétrico, podría tener que ser representada por un multígrafo dirigido simétrico. Si fuese así, entonces no bastaría el rol nómico para especificar las condiciones de identidad de una propiedad. Se requeriría algo adicional, un carácter cualitativo intrínseco primitivo o quiditas.
La objeción, sin embargo, descansa en una confusión importante acerca de la naturaleza de un poder causal y de la red nómica que resulta de la totalidad de estos poderes causales. La objeción parece descansar en la suposición de que la red nómica fuese diferente en diferentes mundos posibles para los mismos universales, de manera que en algunos mundos sea adecuada para fijar la identidad de los universales que la integran -y sea, correlativamente, representable por un multígrafo dirigido asimétrico- pero en otros mundos no lo sea. Pero ya se ha explicado más arriba que cada universal integra necesariamente una única red nómica. Esta red nómica existe en bloque en todos los mundos posibles en que exista al menos uno de sus integrantes. Sencillamente, no tiene sentido -entonces- sostener que un universal que de hecho integra una red nómica ‘podría’ integrar otra. Un alegato diferente es una objeción epistemológica de acuerdo a la cual no sabemos si la red nómica necesaria es adecuada para fundar las condiciones de identidad de todos los universales o no lo es. Esta es una cuestión en la que no se puede entrar aquí, pues no se puede decidir mediante mera reflexión a priori cuál será el resultado de nuestra mejor investigación empírica futura. La objeción que ha sido planteada por filósofos como Lowe o Hawthorne tiene que ver, sin embargo, con la inteligibilidad de condiciones de identidad tales como las planteadas por el principio de Identidad de universales. Lo que se ha mostrado aquí es que no hay ningún problema de coherencia, al menos, respecto de este problema.
Nuestra forma de concebir una ‘estructura’ ha estado siempre guiada por la suposición de que lo que quiera que sea que esté conformándola deben ser objetos de los que dependen ontológicamente relaciones.28 Los objetos y las relaciones entre tales objetos son los ‘ladrillos’ ontológicos básicos de los que depende la estructura que luego pueda constituirse mediante ellos. La idea de una red nómica, tal como se ha hecho notar ya, requiere una reforma radical de la perspectiva tradicional. Son ahora las relaciones las que resultan ontológicamente prioritarias. Lo que estamos inclinados a denominar un universal viene a ser un nodo de la red nómica. Todo el ser de un universal, entonces, está fundado en la red nómica. Por ejemplo, de acuerdo a la ley de gravitación universal de Newton, entre dos objetos que instancian, respectivamente, masas de G1 y de G2 localizados entre sí a una distancia d, hay una fuerza de atracción F entre tales objetos que es directamente proporcional al producto de las masas G1 y G2, e inversamente proporcional al cuadrado de la distancia d. De acuerdo al punto de vista que se ha discutido en este trabajo, la masa confiere a un objeto un poder causal para atraerse con otros objetos con masa, cuya magnitud es una función tanto de la magnitud de las masas, como de la distancia. El que un objeto posea una masa determinada no confiere sólo un poder causal de una atracción determinada, sino una pluralidad infinita de diferentes atracciones determinadas respecto de infinitas otras masas determinadas y respecto de infinitas distancias entre los objetos que posean tales masas.29 Una propiedad de masa es la propiedad que es en relación con todas las restantes masas determinadas, todas las infinitas distancias determinadas y todas las infinitas fuerzas determinadas de atracción. La perspectiva que aquí se ha presentado es que la propiedad de masa es ‘nada más’ que la totalidad de este espacio modal. Con más precisión, la masa es un nodo en este espacio modal nómico conformado por la totalidad de fuerzas de atracción. El hecho de que un objeto llegue a instanciar una propiedad universal de masa determinada puede verse como la ‘localización’ de tal objeto en este espacio modal nómico.
§ 5. Conclusiones
Se ha presentado en este trabajo cómo la postulación de condiciones de identidad para universales conformadas por los poderes causales que tales universales confieren a sus instanciaciones, trae consigo problemas importantes de regreso puestos de relieve por varios filósofos. Entre estos problemas de regreso se ha puesto la atención aquí en la cuestión que surge por el hecho de que un ‘poder causal’ debe entenderse como el poder de hacer que algún universal u otro resulte instanciado. De este modo, suponer que la identidad de un universal está fundada en los poderes causales que confiere implica que todo universal es ontológicamente dependiente de otros universales. En principio, un supuesto de este tipo o bien conduce a un regreso infinito de dependencias ontológicas, o bien conduce a un círculo de dependencias ontológicas. Pero ninguna de estas alternativas parece aceptable, al menos, desde la concepción tradicional de qué sea la dependencia ontológica. Se supone que la dependencia es un orden estricto -irreflexivo, asimétrico y transitivo- y bien fundado.
Una forma en que podría tratarse esta cuestión sería relajar los requerimientos tradicionales de la dependencia ontológica, dejando espacio ya sea para regresos al infinito de dependencia ontológica, o ya sea para círculos de dependencia ontológica. Ninguna de estas estrategias de relajamiento, sin embargo, ha parecido conveniente. La forma que se propone aquí para enfrentar la dificultad, en cambio, exige invertir la dependencia ontológica intuitiva entre los universales y las relaciones nomológicas entre estos universales. Debe entenderse que la identidad de los universales está fundada en su posición en una red nómica. Los universales son dependientes ontológicamente de esta red.
Esta misma idea ya ha sido propuesta por anterioridad por varios filósofos, pero también ha sido criticada por cuanto no impediría la posibilidad de otras redes nómicas que no sean adecuadas para fundar la identidad de los universales que la integren. La objeción, sin embargo, depende de una importante confusión respecto de la naturaleza de la red nómica. Un universal necesariamente integra una única red nómica. No es metafísicamente posible que pueda integrar otra. La posibilidad metafísica de otras redes nómicas, por lo tanto, no tiene sentido. Una cuestión diferente sería la ‘posibilidad epistémica’ de que la red nómica no sea adecuada para fundar la identidad de los universales que la integran, pero esto es otra cuestión que no puede ser resuelta por mera reflexión a priori. No hay problemas de coherencia, entonces, para postular que lo que conforma las condiciones de identidad de los universales es su posición en la red nómica. La postulación de un holismo nómico resulta perfectamente inteligible.30
Referencias
Aristóteles. (2009). Categorías. Sobre la interpretación. J. Mittelmann. (int., trad. y comentarios). Buenos Aires: Losada.
Armstrong, D. M. (1978a). Universals and Scientific Realism. Volume 1: Nominalism and Realism. Cambridge: Cambridge University Press.
Armstrong, D. M. (1978b). Universals and Scientific Realism. Volume 2: A Theory of Universals. Cambridge: Cambridge University Press.
Armstrong, D. M. (1983). What is a Law of Nature? Cambridge: Cambridge University Press.
Armstrong, D. M. (1989). A Combinatorial Theory of Possibility. Cambridge: Cambridge University Press.
Armstrong, D. M. (1997). A World of States of Affairs. Cambridge: Cambridge University Press.
Balakrishnan, R. y Ranganathan, K. (2012). A Textbook of Graph Theory. New York: Springer.
Barnes, E. (2012). Emergence and Fundamentality. Mind, 121, 873-901.
Barnes, E. (por aparecer). Symmetric Dependence. En R. Bliss & G. Priest (eds.), Reality and its Structure. Oxford: Oxford University Press.
Bird, A. (2007). Nature’s Metaphysics. Laws and Properties. Oxford: Clarendon Press.
Black, R. (2000). Against Quidditism. Australasian Journal of Philosophy, 78(1), 87-104.
Blackburn, S. (1990). Filling in Space. Analysis, 50, 62-65.
Bliss, R. (2012). Viciousness and the Structure of Reality. Philosophical Studies, 166(2), 399-418.
Bliss, R. (2014). Viciousness and Circles of Ground. Metaphilosophy, 45(2), 245-256.
Bostock, S. (2003). Are All Possible Laws Actual Laws? Australasian Journal of Philosophy, 81(4), 517-533.
Carroll, J. (1994). Laws of Nature. Cambridge: Cambridge University Press.
Cartwright, N. (1989). Nature’s Capacities and their Measurement. Oxford: Clarendon Press.
Dixon, T. S. (2016). What Is the Well-Foundedness of Grounding? Mind, 125(498), 439-468.
Dretske, F. (1977). Laws of Nature. Philosophy of Science, 44, 248-268.
Ellis, B. (2001). Scientific Essentialism. Cambridge: Cambridge University Press.
Ellis, B. (2002). The Philosophy of Nature. Chesham: Acumen.
Fine, K. (1994). Essence and Modality. Philosophical Perspectives, 8, 1-16.
Fine, K. (1995a). Ontological Dependence. Proceedings of the Aristotelian Society, 95, 269-290.
Fine, K. (1995b). The Logic of Essence. Journal of Philosophical Logic, 24(3), 241-273.
Hawthorne, J. (2001). Causal Structuralism. Philosophical Perspectives, 15, 361-378. (Reimpreso en J. Hawthorne. (2006). Metaphysical Essays. (pp. 211-227). Oxford: Clarendon Press. Se utiliza esta última versión.)
Holton, R. (1999). Dispositions All the Way Round. Analysis, 59, 9-14.
Ingthorson, R. D. (2012). The Regress of Pure Powers Revisited. European Journal of Philosophy, 23(3), 529-541.
Lange, M. (2009). Laws and Lawmakers. Science, Metaphysics, and the Laws of Nature. New York: Oxford University Press.
Lewis, D. (1983). New Work for a Theory of Universals. Australasian Journal of Philosophy, 61, 343-377. (Reimpreso en D. Lewis. (1999). Papers in Metaphysics and Epistemology. (pp. 8-55). Cambridge: Cambridge University Press. Se utiliza esta última versión.)
Jonathan Lowe, E. (2006). The Four-Category Ontology. A Metaphysical Foundation for Natural Science. Oxford: Clarendon Press.
Jonathan Lowe, E. (2010). On the Individuation of Powers. En A. Marmodoro (ed.), The Metaphysics of Powers. Their Grounding and their Manifestations. (pp. 8-26). London: Routledge.
Marmodoro, A. (ed.) (2010a). The Metaphysics of Powers. Their Grounding and their Manifestations. London: Routledge.
Marmodoro, A. (2010b). Do Powers Need Powers to Make Them Powerful? From Pandispositionalism to Aristotle. En A. Marmodoro (ed.), The Metaphysics of Powers. Their Grounding and their Manifestations. (pp. 27-40). London: Routledge.
Maudlin, T. (2007). The Metaphysics within Physics. Oxford: Oxford University Press.
Molnar, G. (2003). Powers. A Study in Metaphysics. S. Mumford (ed.), Oxford: Oxford University Press.
Mumford, S. (1998). Dispositions. Oxford: Clarendon Press.
Mumford, S. (2004). Laws in Nature. London: Routledge.
Nolan, D. (2001). What’s Wrong with Infinite Regresses? Metaphilosophy, 23(5), 523-538.
Psillos, S. (2006). What do Powers Do when They Are Not Manifested? Philosophy and Phenomenological Research, 72(1), 137-156.
Quine, W. V. O. (1953). Two Dogmas of Empiricism. En From a Logical Point of View. Nine Logico-Philosophical Essays. (pp. 20-46). New York: Harper & Row.
Robinson, H. (1982). Matter and Sense. Cambridge: Cambridge University Press.
Shapiro, S. (1997). Philosophy of Mathematics. Structure and Ontology. New York: Oxford University Press.
Shoemaker, S. (1980). Causality and Properties. En P. van Inwagen (ed.), Time and Cause. (pp. 109-135). Dordrecht: Reidel. (Reimpreso en Shoemaker, S. (2003). Identity, Cause, and Mind. Philosophical Essays. (pp. 206-233). Oxford: Clarendon Press. Se utiliza esta última versión.)
Shoemaker, S. (1998). Causal and Metaphysical Necessity. Pacific Philosophical Quarterly, 79, 59-77. (Reimpreso en Shoemaker, S. (2003). Identity, Cause, and Mind. Philosophical Essays. (pp. 407-426). Oxford: Clarendon Press. Se utiliza esta última versión.)
Swinburne, R. (1980). Properties, Causation, and Projectibility. Reply to Shoemaker. En L. J. Cohen y M. Hesse (eds.) Applications of Inductive Logic. (pp. 313-320). Oxford: Oxford University Press. Citado por Bird (2007), 133-135.
Swoyer, C. (1982). The Nature of Natural Laws. Australasian Journal of Philosophy, 60(3), 203-223.
Thompson, N. (2016). Metaphysical Interdependence. En M. Jago. (ed.), Reality Making. (pp. 38-56). Oxford: Oxford University Press.
Tooley, M. (1977). The Nature of Laws. Canadian Journal of Philosophy, 7, 667-698.
Tooley, M. (1987). Causation. A Realist Approach. Oxford: Clarendon Press.
van Fraassen, B. (1980). The Scientific Image. Oxford: Clarendon Press.
Notas