Resumo: Este estudo investigou as vantagens e desvantagens do teletrabalho na administração pública na percepção de 98 teletrabalhadores e 28 gestores do Serviço Federal de Processamento de Dados (Serpro) e da Receita Federal. Trata-se de pesquisa qualiquantitativa, composta por questionários aplicados aos teletrabalhadores e entrevistas com os gestores, que abordou aspectos estruturais, físicos, pessoais, profissionais e psicológicos. Os resultados evidenciaram como vantagens: melhoria da qualidade de vida; maior equilíbrio na relação trabalho x família; maior produtividade; flexibilidade; criação de métricas; redução de custo; estresse; tempo de deslocamento; exposição à violência; e conhecimento da demanda de trabalho. Já as desvantagens foram: não adaptação; falta de comunicação; perda de vínculo com a empresa; problemas psicológicos; infraestrutura; e controle do teletrabalhador. Conclui-se que o teletrabalho necessita de um modelo de gestão que o torne mais aderente à esfera pública.
Palavras-chave: TeletrabalhoTeletrabalho,Home-officeHome-office,Relações de trabalhoRelações de trabalho,Administração públicaAdministração pública.
Abstract: This study investigates the advantages and disadvantages of teleworking in public administration from the perception of 98 teleworkers and 28 managers at the Brazilian Federal Data Processing Service (SERPRO) and the Federal Revenue Service. Qualitative-quantitative research, consisting of questionnaires applied to teleworkers and interviews with managers, dealt with structural, physical, personal, professional, and psychological aspects. The results showed advantages such as better quality of life, work-family balance, greater productivity and flexibility, the possibility of creating standard metrics, better assessment of the workload, and reduction of costs, stress, commuting time, as well as less exposure to violence. As for disadvantages, the study identified elements such as non-adaptation, lack of communication and connection with the company, psychological problems, lack of infrastructure and control of the teleworker. The research concludes that teleworking requires a management model that makes it more adherent to the public sphere.
Keywords: Telework, Home-office, Labor relations, Public administration.
Resumen: Este estudio investigó las ventajas y desventajas del teletrabajo en la Administración Pública en la percepción de 98 teletrabajadores y 28 gestores del Serviço Federal de Processamento de Dados (SERPRO) y de la Receita Federal. La encuesta cuali-cuantitativa compuesta por cuestionarios aplicados a los teletrabajadores y entrevistas con los gestores abordó aspectos estructurales, físicos, personales, profesionales y psicológicos. Los resultados evidenciaron como ventajas: calidad de vida, equilibrio trabajo-familia, mayor productividad, flexibilidad, creación de métricas, reducción de costo, estrés, tiempo de desplazamiento, exposición a la violencia, y conocimiento de la demanda de trabajo. Por otro lado, las desventajas fueron: no adaptación, falta de comunicación, pérdida de vínculo con la empresa, problemas psicológicos, infraestructura, y control del teletrabajador. Se concluye que el teletrabajo necesita un modelo de gestión que lo haga más adherente a la esfera pública.
Palabras clave: Teletrabajo, Home office, Relaciones de trabajo, Administración pública.
Artigo
Vantagens e desvantagens do teletrabalho na administração pública: análise das experiências do Serpro e da Receita Federal
Advantages and disadvantages of teleworking in Brazilian public administration: analysis of SERPRO and Federal Revenue experiences
Ventajas y desventajas del teletrabajo en la administración pública brasileña: análisis de la expe-riencia del SERPRO y la Receita Federal
Recepção: 09 Abril 2018
Aprovação: 13 Novembro 2018
No Brasil, a administração pública se tornou tema de crescentes debates sobre tamanho, legitimidade, eficiência e desempenho do Estado. A sociedade exige serviços públicos cada vez mais rápidos e de qualidade e o uso de tecnologias da informação e comunicação (TICs) tem contribuído nesse processo. Uma das demandas aos administradores públicos é encontrar novos métodos para que os serviços prestados pelo Estado tenham a maior eficiência possível (FREITAS, 2008).
O Plano Diretor da Reforma do Aparelho do Estado (BRASIL, 1995) traz o conceito de eficiência da administração pública - necessidade de reduzir custos e aumentar a qualidade dos serviços - e afirma que ela é essencial. Bresser-Pereira (2008)menciona, ainda, que um dos objetivos clássicos da administração pública é proteger o patrimônio público, defender a res publica contra sua captura por interesses privados. Portanto, a administração pública, ao longo das últimas décadas, vem sendo cada vez mais relacionada à necessidade de aumentar sua eficiência, diminuir seus custos, enxugar sua estrutura, aumentar sua agilidade e torná-la mais transparente e democrática (FARIA, 2009).
Nesse contexto, o teletrabalho se desenvolveu recentemente no âmbito das empresas privadas, com aumento do uso da tecnologia da informação (TI), que contribuiu para a flexibilidade organizacional e de processos de gerenciamento (BOONEN, 2008), gerando maior eficiência na gestão. Ademais, segundo a Sociedade Brasileira de Teletrabalho e Televendas (SOBRATT, 2016), entre as vantagens de adotar o teletrabalho se encontram a economia de recursos naturais gerada pelo menor consumo nos locais de trabalho, a melhoria da qualidade de vida para os trabalhadores e a melhoria da mobilidade urbana, devido ao esvaziamento das vias públicas. Dados do Instituto Brasileiro de Geografia e Estatística (IBGE, 2010) mostram que cerca de 20 milhões de trabalhadores têm sua residência como local de exercício de seu trabalho principal.
No entanto, embora seja possível encontrar pesquisas sobre teletrabalho no setor privado, na esfera pública ainda não existem muitas. Assim, este estudo investigou e aprofundou a análise do teletrabalho na administração pública com base na percepção dos gestores e dos teletrabalhadores de órgãos públicos do Brasil. Foram convidados o Serviço Federal de Processamento de Dados (Serpro), o Tribunal de Contas da União (TCU), o Tribunal Regional do Trabalho da Paraíba (TRT-PB), o Tribunal de Justiça de São Paulo (TJ-SP) e a Receita Federal do Brasil - somente o Serpro e a Receita Federal responderam os questionários e as entrevistas.
A contribuição desta pesquisa consiste em aprofundar o conhecimento sobre os resultados da adoção do teletrabalho na administração pública, sob a ótica dos gestores e teletrabalhadores, com vistas à implantação em outros órgãos públicos, adequação nos órgãos pesquisados e definição de políticas públicas acerca do tema.
Atualmente, a TI é a principal ferramenta de apoio às empresas em suas atividades administrativas e operacionais, sendo um dos elementos fundamentais na melhoria da qualidade de produtos, serviços e resultados das organizações. Ela proporciona maior agilidade em processos burocráticos e bem definidos, o que impulsionou o teletrabalho no Brasil. O termo telecommuting ou home-office, conhecido no Brasil como teletrabalho, foi apresentado pela primeira vez por Nilles (1975).
Para Rabelo (2000), entende-se por teletrabalho fazer com que o trabalho chegue até o trabalhador, ao invés do trabalhador ir até o local de trabalho. Já Pérez, Sánchez e Carnicer (2007) veem o teletrabalho como forma alternativa de organização do trabalho que tem como características permitir o uso total ou parcial da informação e das telecomunicações pelos trabalhadores a partir de seu domicílio ou de lugares remotos. Além disso, Boonen (2008) define o teletrabalho como forma de trabalho descentralizado que nasceu como uma resposta do Ocidente à crise econômica mundial. E, por fim, outra definição foi dada por Sakuda e Vasconcelos (2005), que dizem que teletrabalho é o uso de computadores e telecomunicações para mudar a estrutura de trabalho já consolidada, envolvendo vários aspectos econômicos, sociais, organizacionais, ambientais e legais.
Neste estudo, definimos teletrabalho como todo trabalho realizado à distância, ou seja, fora do local de trabalho, com uso das TICs, com computadores, telefonia fixa e celular e toda tecnologia que permita trabalhar em qualquer lugar, receber e transmitir informações, arquivos, imagens ou som relacionados à atividade laboral (SOBRATT, 2016).
A partir do estudo de Dunleavy, Margetts, Bastow et al. (2006), uma série de discussões sobre o papel da governança na era digital apontou a flexibilização do trabalho nas organizações públicas. Dentre as questões apontadas, uma das inovações organizacionais que tem sido adotada nas organizações públicas é o teletrabalho. O tema tem sido abordado recentemente por autores como Dahlstrom (2013), Caillier (2012, 2013), Eom, Choi e Sung (2016) e De Vries, Tummers e Bekkers (2017, 2018).
Internacionalmente, é possível encontrar diversos estudos relacionados ao teletrabalho. De acordo com Nilles (1994), o teletrabalho inclui mais do que apenas trabalhar em casa e comunicar-se com o escritório via telecomunicação, também inclui trabalhar em centros de trabalho na vizinhança ou em centros satélites.
Nesse contexto de amplo uso das telecomunicações, é importante entender inicialmente a adaptação dos usuários e os antecedentes da implementação desse tipo de trabalho. Por exemplo, Eom, Choi e Sung (2016) pesquisaram sobre as características e o comportamento dos usuários das TICs do governo da Coreia do Sul e analisaram os efeitos dos antecedentes com a intenção de usá-los, revelando que os trabalhadores mais jovens e com posições mais baixas têm maior intenção no uso dessas tecnologias e que o isolamento social e a falta de comunicação, liderança e gerenciamento têm efeitos negativos. Já Pérez, Sánchez e Carnicer (2007) estudaram os benefícios e as barreiras do teletrabalho para o teletrabalhador e para o empregador em companhias industriais e de serviços da Espanha, identificando que as empresas que adotaram programas de treinamento para o teletrabalho tiveram menos barreiras a enfrentar.
Em relação aos benefícios para o trabalhador, Tremblay (2002) realizou uma pesquisa em Quebec (Canadá) com empresas públicas e privadas e teve como objetivo perceber as vantagens e desvantagens entre os teletrabalhadores da região, concluindo que há significativas diferenças de gênero nessa percepção, apesar de homens e mulheres concordarem que a flexibilidade do horário de trabalho e o fato de não gastar tempo no tráfego são as principais vantagens dessa forma de trabalho. Já Troup e Rose (2012) fizeram uma pesquisa comparativa entre o teletrabalho formal e informal do setor público de Queensland (Austrália) e encontrou diferenças de satisfação no trabalho e na distribuição de tarefas entre homens e mulheres com crianças, o que sugere que o teletrabalho pode afetar as relações de trabalho e família.
No entanto, embora haja diversos benefícios do uso do teletrabalho, também existem pontos negativos. Cooper e Kurland (2002), em estudo comparativo do impacto do teletrabalho no isolamento profissional dos empregados de organizações públicas e privadas, concluíram que o isolamento está intimamente ligado às atividades que eles desenvolvem. Além disso, Hislop, Axtell, Collins et al. (2015) estudaram como o uso de TICs com celulares para trabalhadores autônomos afetam sua experiência de trabalho, enfocando sua localização, como é gerenciado e as experiências de isolamento social e profissional. O resultado mostrou que o uso de celulares proporcionou maior flexibilidade espaço-temporal e ajudou as pessoas a lidarem com o isolamento social, mas provocou a sensação de estar o tempo todo disponível para o trabalho.
No Brasil, os estudos recentes sobre o teletrabalho na iniciativa privada evidenciam uma tendência das empresas incorporarem essa nova forma de trabalho. Mello, Santos, Shoiti et al. (2014) demonstraram que o teletrabalho tem por finalidade reduzir custos, melhorar a produtividade e a qualidade de vida dos teletrabalhadores com a eliminação do tempo de deslocamento e atuar no âmbito da responsabilidade social pela inclusão social e digital de pessoas com deficiência.
Segundo Gaspar, Bellini, Donaire et al. (2014), em estudo com teletrabalhadores do conhecimento, o incentivo ao teletrabalho espontâneo, a análise prévia do ambiente em que será desenvolvido, o estilo de vida do teletrabalhador, a capacitação do teletrabalhador, a promoção de atividades de confraternização, o estímulo à criatividade, proatividade e inovação e a implantação gradativa aumentam as possibilidades de êxito na adoção e gestão do teletrabalho.
Em relação às vantagens e desvantagens do teletrabalho, o estudo de caso de Barros e Silva (2010) trouxe a percepção dos indivíduos acerca desses fatores do teletrabalho na Shell Brasil, contribuindo para identificar potenciais dificuldades experimentadas por seus colaboradores (Quadro 1). Nohara, Acevedo, Ribeiro et al. (2010) também abordaram as percepções de teletrabalhadores quanto à qualidade de sua vida profissional - eles mostraram que os principais aspectos positivos do teletrabalho são: autonomia; flexibilidade de horários; vida com a família; e redução do estresse.
No entanto, ainda existem desafios para a implementação do teletrabalho, quais sejam: dificuldades com as avaliações de desempenho e o controle de metas e resultados, além da definição do perfil do teletrabalhador, uma vez que, para os autores, nem todos os colaboradores têm perfil compatível com o teletrabalho (NOGUEIRA e PATINI, 2012).
Costa (2013), em estudo com teletrabalhadores da iniciativa privada, questiona não apenas a preocupação com a boa gestão, mas também a construção desses cidadãos e as limitações de liberdade ocasionadas pelo teletrabalho. Em pesquisa sobre discurso e prática do teletrabalho, Costa (2007) aponta um discurso otimista e empreendedor, mas que, na prática, configura invasão do ambiente familiar e transferência de custos das empresas. Já Soares (1995) mostra como desvantages do teletrabalho a falta de comunicação e socialização.
Mais recentemente, Aderaldo, Aderaldo e Lima (2017) reforçam a dicotomia prazer/sofrimento no teletrabalho; por um lado, pode trazer amadurecimento profissional aos jovens e por outro pode levar à precarização e ao descontrole da carga de trabalho.
O Estado brasileiro, considerando o elevado nível de utilização de tecnologias de informação e comunicação em suas atividades, já se mostra maduro para discutir e aprovar normas para promover a introdução do teletrabalho na administração pública (SILVA, 2015). No setor público brasileiro, o Serpro foi pioneiro ao adotar o teletrabalho de modo abrangente e estruturado com um projeto-piloto, em 2005 (VILLARINHO e PASCHOAL, 2016).
No campo legal, apesar do projeto piloto iniciado em 2006, somente em 2011, com a alteração da Consolidação das Leis do Trabalho (CLT) pela Lei n. 12.551/2011 foram garantidos ao teletrabalhador os mesmos direitos do empregado tradicional. No entanto, essa lei afirma que o exercício do teletrabalho requer uma prática, uma estrutura física e uma postura diferenciada das pessoas envolvidas, mas deixa em aberto, por exemplo, como seria a avaliação da assiduidade do servidor, já que esse é um requisito para sua avaliação de desempenho anual. Assim, a questão da regulamentação do teletrabalho no Brasil permanece embrionária, cabendo refinamento da legislação que gere maior segurança em sua adoção.

Neste contexto, as organizações públicas estabeleceram normas internas para o teletrabalho, por exemplo, as Portarias nº 139/2009 e 99/2010 do TCU, que regulamentaram os trabalhos realizados fora de suas dependências.
Do mesmo modo, outros órgãos públicos acompanharam e propuseram a implantação do teletrabalho: Receita Federal (2012), Advocacia Geral da União - AGU (2011), Tribunal Superior do Trabalho - TST (2012) e Tribunal de Justiça do Estado do Rio de Janeiro - TJRJ (2016).
Ao final da revisão da literatura foi elaborado o Quadro 1, que serviu de aporte teórico para esta pesquisa.
Este estudo buscou aprofundar a análise do teletrabalho na administração pública brasileira. A escolha do tema se deu pela expansão do teletrabalho no Brasil nas últimas décadas, mas especialmente pela constatação do reduzido número de pesquisas sobre o tema na administração pública, reforçando a lacuna de pesquisa.
A metodologia de pesquisa adotada foi de natureza qualiquantitativa, que se mostra adequada quando se trata de fenômenos sociais complexos. Enquanto a pesquisa quantitativa traz dados e indicadores representativos do aglomerado de dados disponíveis, a qualitativa a complementa, aprofundando as informações que podem explicar uma realidade social (CRESWELL e CLARK, 2017).
A seleção dos órgãos públicos participantes da pesquisa foi realizada a partir de uma lista divulgada pela Sobratt (2016) dos órgãos que têm o teletrabalho há pelo menos dois anos. Com o intuito de dar maior abrangência e representatividade à pesquisa, foram selecionados e contactados órgãos públicos de todas as regiões do país, quais sejam: Serpro, com sede em Brasília e presente em 11 capitais; TCU, do Distrito Federal; Tribunal Regional do Trabalho da Paraíba (TRT-PB); Tribunal de Justiça de São Paulo (TJSP); e Receita Federal, com sedes em Brasília e no Rio de Janeiro. Todos os órgãos selecionados solicitaram um pedido formal para a realização da pesquisa, todavia, somente o Serpro e a Receita Federal se disponibilizaram a participar da pesquisa efetivamente, enviando os questionários respondidos e participando das entrevistas.
Apresentando os órgãos estudados, temos o Serpro, que é uma empresa pública criada pela Lei n. 4.516/1964 que presta soluções em tecnologia e tem sede em todas as cinco regiões do território nacional. Atualmente, possui cerca de 10.000 funcionários, conforme Relatório de Administração (SERPRO, 2017). Esse modelo de trabalho começou com um projeto piloto em 2005, com 18 pessoas, e expandiu-se, contando com 87 pessoas no teletrabalho.
Já a Receita Federal é um órgão criado pelo Decreto nº 63.659/1968 que busca executar procedimentos de fiscalização, isto é, atividades conceitualmente externas à instituição. Em 2012 foi regulamentado o projeto piloto de teletrabalho por meio da Portaria RFB nº 947/2012, expandindo essa forma de trabalho para as áreas de desenvolvimento de sistemas corporativos e de análise e julgamento de processos administrativos fiscais, nas quais há teletrabalhadores em Brasília e no Rio de Janeiro. Possui cerca de 23.000 funcionários e conta com cerca de 120 teletrabalhadores (RECEITA FEDERAL, 2017).

De um universo de cerca de 210 teletrabalhadores foram recebidos 98 questionários: 70 do Serpro e 28 da Receita Federal. Os gestores responderam 28 questionários, sendo 25 do Serpro e 3 da Receita Federal. Foram realizadas posteriormente 4 entrevistas com gestores que forneceram e-mail e telefone na terceira seção do questionário: 3 com gestores do Serpro e 1 da Receita Federal.
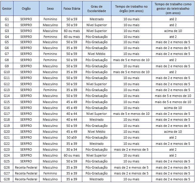
O Quadro 3 apresenta uma visão geral do perfil dos 28 gestores que responderam à pesquisa, onde se verifica que 22 participantes são do sexo masculino e 6 do sexo feminino. A maior parte dos gestores (39%) tem entre 50 a 59 anos, seguida pelos que têm 35 a 39 anos (28%). Quanto à escolaridade, 93% têm pelo menos o Ensino Superior, o que reforça o perfil de maior experiência e maior escolaridade.

A partir das vantagens e desvantagens apresentadas na Quadro 2, buscou-se elaborar questionários para os dois grupos, teletrabalhadores e gestores, visando a obter uma percepção mais ampla dos aspectos ligados ao teletrabalho nos órgãos estudados. Foi realizado um teste piloto para validação do questionário com dois servidores do Serpro, os quais sugeriram alterações que foram incorporadas.
Após ajustes, os questionários foram disponibilizados por meio digital e foram organizados em três seções, sendo que a primeira seção se destinou a identificar o perfil do entrevistado: órgão de atuação, sexo, idade, escolaridade, tempo de trabalho como teletrabalhador ou gestor e tempo de trabalho no órgão de forma tradicional. Já a segunda seção trouxe afirmativas sobre custos para o teletrabalhador e gestor, infraestrutura e ambiente do teletrabalho, exposição à violência e poluição, relação de trabalho com o gestor e os colegas, produtividade, flexibilidade, desenvolvimento no órgão, isolamento social e profissional, controle e gerenciamento do teletrabalhador e adequação ao teletrabalho. Por fim, a terceira seção buscou deixar o entrevistado à vontade para expor informações complementares de seu cotidiano relacionado ao teletrabalho. Aos gestores foi solicitado, ainda, o e-mail e o telefone para a realização das entrevistas.
Das 24 vantagens e 24 desvantagens identificadas (Quadro 2), apenas 40 afirmações foram apresentadas aos teletrabalhadores, sendo excluídos itens cuja avaliação foi feita somente pelos gestores, como custo de equipamentos, dificuldades organizacionais, oportunidade de emprego para portadores de deficiência, dificuldade de controle, erro na seleção de tarefas, falta de supervisão, isolamento profissional e problemas psicológicos. Além disso, a vantagem relativa ao equilíbrio entre trabalho e vida pessoal foi avaliada de forma complementar à desvantagem “conflito entre trabalho e vida familiar”. Já os gestores avaliaram 20 afirmações com itens não avaliados pelos teletrabalhadores e mais os itens que poderiam ser avaliados pelos 2 perfis de respondentes, com ênfase nos indicadores estruturais e profissionais.
Para os teletrabalhadores foram 8 afirmações relativas aos indicadores estruturais, 3 aos indicadores físicos/bem-estar, 9 aos indicadores pessoais, 15 aos indicadores profissionais e 5 aos indicadores psicológicos, totalizando 40 afirmações avaliadas. Para os gestores foram 6 afirmações relativas aos indicadores estruturais, 1 aos indicadores físicos/bem-estar, 12 aos indicadores profissionais e 1 aos indicadores psicológicos, totalizando 20 afirmações avaliadas. Como obtivemos 98 respostas dos teletrabalhadores, quantidade suficiente para um estudo mais avançado, empreendemos uma análise fatorial por componentes principais, além da estatística descritiva.
A segunda parte da pesquisa contou com entrevistas com os gestores, conduzidas com base em um roteiro semiestruturado que abordou suas percepções de acordo com as seguintes categorias: a) implantação do teletrabalho no órgão público; b) processo de seleção do teletrabalho; c) vantagens e desvantagens do teletrabalho para o gestor e o teletrabalhador; d) vantagens e desvantagens do teletrabalho para o órgão público; e) supervisão dos teletrabalhadores; e f) sistema de avaliação de desempenho dos trabalhadores.
A estatística descritiva possibilitou uma análise quantitativa dos dados, onde foram verificadas as informações de perfil dos entrevistados, buscando dar uma visão geral dos 98 teletrabalhadores que responderam à pesquisa, bem como observar as afirmações propostas no questionário em relação às vantagens e desvantagens do teletrabalho na administração pública.
Verificou-se que, dos 98 teletrabalhadores participantes, 58 são do sexo masculino e 40 do sexo feminino e que 41% dos teletrabalhadores têm entre 50 e 59 anos, seguidos pela faixa dos 45 aos 49 anos (15%), dos 40 aos 44 anos (13%), dos 35 aos 39 anos (13%), dos 60 anos ou mais (12%) e dos 30 aos 34 anos (6%). Os dados sugerem que o perfil do teletrabalhador privilegia a maturidade aliada à experiência dos 68% que têm 10 anos ou mais de tempo de trabalho no órgão, deixando menos oportunidades aos mais jovens. Quanto à escolaridade, apenas 17 teletrabalhadores (17,4%) têm Ensino Médio, sendo que 81 (82,6%) têm pelo menos o Ensino Superior, mostrando que a maior escolaridade parece ser requisito para atuar como teletrabalhador nos órgãos públicos estudados.
A Tabela 1 apresenta os percentuais de discordância/concordância das afirmações dos teletrabalhadores sobre os indicadores classificados na Quadro 2 e, para efeitos de análise, em alguns casos foram somados os resultados das alternativas “concordo parcialmente” e “concordo totalmente”, assim como “discordo parcialmente” e “discordo totalmente”.

Portanto, sobre os indicadores estruturais, a análise revela que, no tocante à redução de custos, os teletrabalhadores ficaram divididos, já que 41,8% concordam que houve redução no custo de água e luz, mas o mesmo percentual discorda desta redução, sendo que o ganho mais notável na percepção deles foi a redução do gasto com transporte, com 91,9% de concordância.
Em relação à infraestrutura, 81,6% responderam que discordam da falta de estrutura para o teletrabalho. No entanto, na questão do treinamento específico, apesar de 50% concordarem que houve treinamento para o teletrabalho, outros 33,6% discordam, o que revela um ponto de atenção já que o treinamento pode ajudar a reduzir a insegurança gerada pela nova forma de trabalho adotada. Já sobre a tecnologia disponível, 85,7% a consideram adequada.
No que diz respeito aos indicadores físicos e de bem-estar, os teletrabalhadores concordam em grande medida que se sentem mais seguros trabalhando em casa (85,7%), e estão menos expostos à violência e à poluição, ambos com 87,8%. Já a análise dos indicadores pessoais revela que, apesar de 62,2% discordarem, 21,4% concordam que atividades domésticas são uma fonte de distração no teletrabalho, o que pode contribuir para queda no desempenho profissional. E isso é reforçado quando se constata que 25,5% dos teletrabalhadores concordam que conseguem fazer outros trabalhos por conta própria, sendo que 24,5% preferiram não responder, o que quer dizer que esse número pode ser ainda maior, desvelando desvirtuamento dos objetivos originais do teletrabalho.
Ainda com referência aos indicadores pessoais, os aspectos de flexibilidade de horário, menor deslocamento, menos interrupções, mais privacidade, refeições em casa, melhor qualidade de vida e silêncio no ambiente de trabalho tiveram altos índices de concordância, entre 80 e 95%, despontando como principal bloco de benefícios percebidos pelos teletrabalhadores.
Já no tocante aos indicadores profissionais, os aspectos de autonomia, motivação, flexibilidade, produtividade e qualidade do trabalho apareceram com nível de concordância elevado, entre 74 e 94%, evidenciando que os teletrabalhadores consideram que, nesses quesitos obtiveram ganhos. Entretanto, no que diz respeito ao crescimento e desenvolvimento no órgão, chama a atenção os 23,4% e 14,3% que, respectivamente, concordam que crescer e desenvolver-se ficou mais difícil depois do teletrabalho. Além disso, 12,3% concordam que não têm reconhecimento dos colegas, 26,6% acham que a cobrança dos resultados é maior para os teletrabalhadores, 15,3% percebem que tiveram perda de status com o teletrabalho e 14,3% têm receio de má avaliação. Apesar de não serem números elevados, justamente nesses achados é que se revelam cuidados a tomar no sentido de criar mecanismos de isonomia e suporte para os trabalhadores remotos.
Finalmente, observando os indicadores psicológicos, revela-se que os teletrabalhadores dos órgãos públicos estudados não sentem dificuldades de concentração, prejuízo da vida social, nem conflito trabalho versus vida familiar, já que os resultados desses aspectos ficaram acima dos 80% de concordância. Ademais, afirmam que têm maior interação com a família e menos estresse, com concordância acima dos 85%, o que diverge em parte dos achados de Soares (1995), apontando uma possível readequação do profissional ao cenário de trabalho do novo milênio, e também diverge dos resultados encontrados por Rocha e Amador (2018), que ressaltam riscos quanto à intensificação do trabalho, à dificuldade de separação do espaço e tempo de vida laboral, familiar e pessoal, e o risco do trabalho se estender indefinidamente por meio dos dispositivos digitais móveis.
De maneira complementar, a Tabela 2 apresenta todos os percentuais de discordância/concordância das afirmações dos gestores na pesquisa e será analisada pelas categorias estabelecidas no item “Instrumentos de coleta de dados”.
Sobre a implantação do teletrabalho, apesar de mais de 70% dos gestores citarem que houve economia de espaço e 46,1% afirmarem que houve redução de custos, 28,6% relataram dificuldades para implantar o teletrabalho.
Para 64,3% dos gestores não houve mudança na estrutura organizacional e para 82,1% foi disponibilizada a infraestrutura necessária. No entanto, 25% acreditam que faltou treinamento específico para os servidores públicos migrarem para o teletrabalho, o que pode ter tornado a transição menos suave. Ainda, 28,6% declaram que não há deficientes no programa de teletrabalho, comprometendo uma inclusão mais abrangente na seleção dos teletrabalhadores.
No tocante às vantagens e desvantagens, 85,7% dos gestores acreditam que os teletrabalhadores têm autonomia para organizar tarefas, 82,2% afirmam que eles se sentem motivados para o teletrabalho e 64,3% que eles têm flexibilidade nas relações de trabalho. Por outro lado, 21,5% acham que o desenvolvimento dentro do órgão ficou prejudicado e 14,1% acreditam que eles não são reconhecidos pelos colegas de trabalho.
Por fim, em relação à supervisão e avaliação, 71,4% afirmam que os teletrabalhadores são gerenciados por metas e 53,6% os consideram mais produtivos. Entretanto, 17,9% dizem ter dificuldades de controlar e fazer a supervisão do trabalho deles, mostrando que alguns ajustes ainda precisam ser feitos para que a ferramenta possa ser plenamente aproveitada no âmbito das empresas públicas.

Além desses resultados, os achados da pesquisa identificaram que 29,3% dos gestores citaram que há pessoas que não se adaptaram ao teletrabalho e 7,1% citaram que há casos que ocasionaram problemas psicológicos, sendo este o aspecto com maior abstenção de resposta (28,6%), revelando um dado preocupante sobre a saúde física e mental do teletrabalhadores e apontando a necessidade de uma cuidadosa seleção de quem está apto e, sobretudo, disposto a trabalhar nesse regime.
Neste estudo foi utilizado o software SPSS para realizar a análise fatorial com as avaliações das 40 afirmações feitas aos teletrabalhadores em escala Likert, com o objetivo de verificar se as vantagens e desvantagens identificadas na revisão da literatura poderiam ser agrupadas na forma do Quadro 2. A escala de cada afirmação possuía os seguintes valores: Discordo totalmente (1), Discordo parcialmente (2), Nem concordo nem discordo (3), Concordo parcialmente (4), Concordo totalmente (5).
A análise quantitativa deste estudo consistiu em avaliar o questionário aplicado aos 98 teletrabalhadores, de modo a agrupar as afirmações de vantagens e desvantagens do teletrabalho em fatores gerados pela análise fatorial. Tal análise teve por objetivo a redução dimensional do número de variáveis, com a menor perda possível de informação, que explicaram as principais vantagens e desvantagens do teletrabalho para os teletrabalhadores do Serpro e da Receita Federal.
Essa abordagem foi realizada com o pacote de análise fatorial do software SPSS, no qual verificamos os seguintes critérios: a matriz anti-imagem de correlação, que traz os valores relativos à medida de adequação da amostra (MSA); as comunalidades dos fatores; e as cargas fatoriais observadas com valores maiores que 1.
Na análise fatorial pelo método de componentes principais, avaliaram-se os valores de MSA e das cargas fatoriais. Para essa amostra de 40 variáveis, obteve-se medida de adequação de Kaiser-Meyer-Olkin (KMO) de 0,751, indicando que a análise fatorial é adequada. O teste Barlett de esfericidade, usado para examinar a hipótese de que as variáveis não sejam correlacionadas na população, mostrou-se adequado no nível de significância de 1%. Nesse resultado foram gerados 12 fatores, que correspondeu a 73,84% da variância dos dados.
O primeiro fator é representado por 17 variáveis, que correspondeu a 25,87% da variância explicada, e o segundo fator é representado por 5 variáveis, correspondendo a 9,93%. Quando comparamos os resultados obtidos pela análise fatorial com o agrupamento efetuado no Quadro 2, verificamos que os 5 indicadores elencados podem ser mais detalhados nos fatores encontrados, de modo a captar mais precisamente as variações de opinião dos respondentes. A partir da estatística descritiva apresentada, podemos analisar os fatores assim:
Fator 1 - Qualidade de vida no trabalho: Foi representativo de todos os indicadores do Quadro 2, com exceção dos indicadores psicológicos. Um indicador de desvantagem “Tecnologia ainda sem a performance esperada” não foi confirmado como desvantagem neste estudo, ou seja, para os participantes a tecnologia disponível é adequada.Fator 2 - Indicadores profissionais do teletrabalho: Concentrou-se nas afirmações sobre o teletrabalhador e seu crescimento profissional. Os indicadores de desvantagens evidenciados no fator não foram confirmados neste estudo, a maioria dos respondentes não considera um problema o crescimento profissional nos órgãos.Fator 3 - Indicadores pessoais do teletrabalho: Trouxe as facilidades/dificuldades entre vida pessoal e profissional do teletrabalhador. O indicador de desvantagem “Isolamento social” não foi confirmado como desvantagem neste estudo.Fator 4 - Indicadores estruturais do teletrabalho: Representou as infraestruturas material e técnica do teletrabalho. Os indicadores de desvantagens evidenciados no fator não foram confirmados, pois a maioria dos respondentes disse que não há falta de infraestrutura nem erro na seleção de tarefas.Fator 5 - Equilíbrio entre trabalho e família: Trouxe a parcimônia entre melhor assiduidade e maior interação com a família. Os resultados validam esses itens como vantagens do teletrabalho.Fator 6 - Relação com o gestor: Trouxe dois indicadores profissionais de cobrança e entrega de trabalhos. O indicador de desvantagem “Maior cobrança” não foi confirmado como desvantagem neste estudo, pois a maior parte (43%) afirma que não há maior cobrança para os teletrabalhadores, mas esse resultado foi influenciado pelo maior número de respondentes do Serpro. Para a Receita Federal, os teletrabalhadores têm metas de desempenho 15% maiores do que os trabalhadores tradicionais, que, se não cumpridas, podem ocasionar o retorno do servidor ao trabalho tradicional, conforme a Portaria RFB n. 947/2012.Fator 7 - Fatos internos ao trabalho: Segregou em um único fator a afirmação sobre a flexibilidade nas relações de trabalho, como uma vantagem confirmada do teletrabalho.Fator 8 - Fatores externos ao trabalho: São indicadores pessoais que podem influenciar positiva ou negativamente na opção do teletrabalho. O indicador de desvantagem “Distração com atividades domiciliares” não foi confirmado como desvantagem neste estudo, enquanto o indicador de vantagem “Empregado por conta própria” não foi confirmado como vantagem neste estudo, ou seja, a maioria dos teletrabalhadores não consegue/quer fazer outros trabalhos por conta própria.Fator 9 - Estrutura domiciliar: São indicadores estruturais da própria condição de trabalhar em casa. Os resultados validam esses itens como desvantagens do teletrabalho.Fator 10 - Adequação ao teletrabalho: Segregou em um único fator a afirmação sobre a adequação ao teletrabalho como um item importante a ser avaliado separadamente. Neste estudo, 86,7% discordaram da afirmativa de não adequação ao teletrabalho, mas 3 respondentes não se adequaram a ele.Fator 11 - Estrutura do órgão: A mudança na estrutura organizacional foi vista como uma desvantagem originalmente, mas esta pesquisa mostrou que, para esses órgãos, não houve grandes mudanças.Fator 12 - Treinamento: A falta de treinamento foi vista como uma desvantagem originalmente. Esta pesquisa mostrou que 50% tiveram treinamento específico para o teletrabalho, mas 33,6% não tiveram treinamento, o que mostra que ainda há uma lacuna a desenvolver no sentido de garantir maior segurança ao teletrabalhador.A análise de conteúdo partiu de uma organização inicial das informações das quatro entrevistas com os gestores, que tiveram duração média de 40 minutos, a fim de identificar as principais vantagens e desvantagens sobre o teletrabalho relatadas por eles. Posteriormente foi feita uma categorização das perguntas abertas. Essas categorias de análise auxiliaram na triangulação e inferência dos resultados.
Para trabalhar com os dados foi utilizada a análise de conteúdo (BARDIN, 2011), isto é, os dados foram preparados, codificados e categorizados para que, finalmente, pudessem ser analisados. O roteiro de entrevistas aplicado aos 4 gestores foi dividido entre as seguintes categorias de análise: a) implantação do teletrabalho no órgão público; b) processo de seleção do teletrabalho; c) vantagens e desvantagens do teletrabalho para o gestor e o teletrabalhador; d) vantagens e desvantagens do teletrabalho para o órgão público; e) supervisão dos teletrabalhadores; e f) sistema de avaliação de desempenho dos trabalhadores.
Para os gestores do Serpro e da Receita Federal, a implantação do teletrabalho no órgão público foi vista com certa desconfiança, como descrito nas seguintes falas:
Houve um primeiro movimento de adesão, alguns servidores entraram, outros ficaram observando como seria isso, porque eles tinham receio de perder o contato com a empresa. (G1)
Eles tinham uma dificuldade muito grande de querer metrificar e botar metas nos funcionários, mas agora que eles estão vendo esse possível benefício do teletrabalho, eles estão aceitando. (G2)
As seleções lexicais “receio” e “dificuldade” sinalizam uma mudança organizacional que as pessoas não estavam preparadas para aceitar. Isso corrobora o Relatório de Administração de 2016, em que o Serpro (2017) coloca o teletrabalho como parte de seu plano de benefícios, como um incentivo para os servidores aderirem ao programa.
Quanto ao processo de seleção do teletrabalho, pôde-se verificar que são abertos editais internos com muitos critérios para seleção que focam no interesse e aumento do desempenho, mas há preocupação com as condições de trabalho, como descrito nos seguintes depoimentos:
Consultaram os colegas que tinham interesse dentro das Unidades, aqueles que tiveram interesse, eles ranquearam de modo que as pessoas com baixo desempenho queriam aumentar com o teletrabalho e criaram um grupo inicial. (G2)
Eles recebem uma ficha de inscrição, [...] fazem pergunta se a pessoa tem deficiência física, perguntam das condições socioambientais, se mora sozinho, se possui cômodo na residência que possa servir como escritório, se existem pessoas coabitando o “local de trabalho”, se possui animais [...]. (G3)
No Serpro (2017) foram abertos 3 editais: um para 18 vagas em 2005, 50 vagas em 2007 e 110 vagas em 2012 e, hoje, esse órgão possui ao todo 87 teletrabalhadores. Já a Receita Federal implementou em 2014 a experiência piloto na atividade de análise e julgamento de processos administrativos, conforme o Relatório Anual de Atividades (RECEITA FEDERAL, 2014).
Na percepção dos gestores entrevistados dos dois órgãos, as vantagens identificadas para o gestor e o teletrabalhador são: qualidade de vida e do trabalho, produtividade, flexibilidade de horários e criação de métrica padronizada, como se descreve aqui:
Você ganha na qualidade de vida do cara, você ganha na qualidade do trabalho porque aí ele pode se dedicar da melhor maneira possível. (G1)
Para o servidor, é uma única vantagem muito grande: é o ajuste da saúde e qualidade de vida dele, de poder fazer sua própria agenda. O maior benefício é quando eu consigo criar uma métrica, e com essa métrica eu mensuro tanto os colegas que estão em teletrabalho quanto os colegas que estão na repartição, porque o ganho de performance é comparado com outros. (G2)
No entanto, na percepção dos gestores entrevistados, as desvantagens evidenciadas são: não adaptação; perda de vínculo com a empresa; problemas psicológicos; isolamento social; e falta de comunicação imediata - como se indica aqui:
A desvantagem eventual é que ele pode não estar imediatamente disponível, né, este aspecto da pessoa estar do lado ou não estar. (G4)
Algumas pessoas foram aprovadas e não se adaptaram [...] tiveram princípio de depressão, por estarem isoladas dentro de um ambiente domiciliar. [...] Ele perde um pouco este vínculo emocional com a empresa. Isso é um fator que deveria ser revisto. (G3)
Pode-se inferir dos discursos que há indícios de isolamento profissional, indicando que os mecanismos de comunicação e envolvimento dos teletrabalhadores devem ser intensificados, de modo a deixá-lo mais próximo da organização.
Já no tocante às principais vantagens identificadas para o órgão, na percepção dos gestores entrevistados, são elas: diminuição do custo com o empregado; maior produtividade; conhecer a real demanda de trabalho; e a menor exposição a riscos como estresse, violência e doenças - conforme os seguintes discursos:
Um ponto de vantagem seria o custo de manutenção do funcionário nas instalações da empresa [...] Existe uma tendência dele produzir melhor em casa, e dele estar menos exposto ao risco de assaltos ou de estresse ao se deslocar. (G3)
Então este benefício de conhecer a real demanda de trabalho é até maior do que o ganho de produtividade que os colegas trouxeram. (G2)
A Portaria RFB n. 947/2012, da Receita Federal (2012), diz que as metas de desempenho dos teletrabalhadores são no mínimo 15% superiores àquelas previstas para os trabalhadores tradicionais. Logo, para esse órgão o conhecimento da real demanda de trabalho é o maior benefício, confirmando a fala do entrevistado.
Na percepção dos gestores entrevistados do Serpro e da Receita Federal, as principais desvantagens para o órgão são: problemas de infraestrutura tecnológica; controle do teletrabalhador; diferenças na relação trabalhador tradicional x teletrabalhador; e não ter definição de como trazer o teletrabalhador de volta ao trabalho tradicional, como descrito nos seguintes depoimentos:
A grande questão é criar um mecanismo rápido para você poder entrar em contato como se na empresa o cara estivesse. Eles têm problemas em acessar alguns sistemas de gestão e de serviços internos. (G1)
O teletrabalho dá muito trabalho para a gestão... para um colega que saía em teletrabalho, eu tinha na retaguarda quase dois para controlar o trabalho dele. (G2)
Às vezes você não tem muitos mecanismos de... “desfazer” um teletrabalhador. (G3)
Vários gestores enxergavam isso como um privilégio e não conseguiam lidar com o “ciúme” de pessoas que não puderam entrar nessa modalidade. (G4)
De fato, a Portaria RFB n. 947/2012, prevê gerentes de projeto para controle das atividades do teletrabalhador e as formas de desligamento do teletrabalho, enquanto que no Serpro não há esta previsão.
Em relação à supervisão, os gestores entrevistados afirmam que há pouca diferença nas atividades de supervisão do teletrabalhadores, sendo as principais a nomeação de um gerente de projetos de teletrabalho, e a obrigatoriedade de comparecer ao Serpro de 15 em 15 dias, conforme os seguintes fragmentos:
Você pode convocá-lo, mas não é uma habitualidade. De 15 em 15 dias ele é obrigado a vir aqui. (G3)
O Serpro tem um sistema de gerenciamento de desempenho, então, ele exige que você tenha um plano de trabalho formal para avaliar durante um período de tempo. Então, a gente pega esse plano e usa para essas atividades como se dentro da empresa ele estivesse. (G1)
Produtividade [...] toda área que tem um servidor em teletrabalho, tem alguém que a gente chamou de gerente do projeto de teletrabalho, que é responsável por passar o serviço para este servidor, cobrar o resultado e aferir a produtividade [...]. (G2)
Finalmente, sobre a avaliação de desempenho, os órgãos buscam isonomia de tratamento. Fica claro que para os gestores entrevistados, não há diferença no sistema de avaliação dos teletrabalhadores, conforme os seguintes discursos:
[...] São tratados igualmente, inclusive a norma prevê isso. Não existe diferenciação entre um servidor que está dentro da empresa e um que está fazendo teletrabalho. (G1)
As métricas são iguais. Eles fazem a mesma coisa, a diferença é a meta que é a performance do teletrabalho tem que ser no mínimo 15% maior, mas o processo de trabalho é idêntico. (G2)
Os resultados encontrados sustentam que os teletrabalhadores consideram como principais vantagens do teletrabalho a redução do custo com transporte e alimentação, maior segurança, menos exposição à violência e poluição, mais privacidade, maior interação com a família e mais qualidade de vida, focando fortemente em sua individualidade. Nos aspectos relacionados à atividade profissional, autonomia, motivação, produtividade, flexibilidade de horário, menos interrupções e qualidade do trabalho foram considerados ganhos. Nesse sentido, nossos resultados corroboram os estudos de Costa (2013) e Mello, Santos, Shoiti et al. (2014), que identificaram ganhos para o modelo do teletrabalho, como melhor qualidade de vida, autonomia e motivação.
Por outro lado, nossos achados evidenciam como desvantagens: problemas de infraestrutura tecnológica, especialmente a falta de treinamento específico, não adaptação ao teletrabalho, perda de vínculo com a empresa, isolamento profissional, falta de comunicação imediata, perda de status, receio de má avaliação e falta de reconhecimento, comprometendo o crescimento e o desenvolvimento na empresa. Nesse sentido, nosso estudo corrobora estudos anteriores de Caillier (2012) e De Vries, Tummers e Bekkers (2017, 2018), que identificaram efeitos bastante negativos do teletrabalho, incluindo desmotivação, maior isolamento profissional e menor comprometimento organizacional nos dias em que trabalhavam inteiramente em casa. Além disso, pôde-se constatar que as atividades domésticas atrapalham, há necessidade de conscientizar a família e existe a tentação de realizar outros trabalhos por conta própria. Esses aspectos negativos configuram pontos de atenção que devem ser considerados no processo de implantação do teletrabalho de acordo com as características do órgão público.
Na investigação junto aos gestores, a pesquisa revelou como vantagens do teletrabalho a economia de tempo, a redução de custos, a criação de métricas padronizadas e o conhecimento da real demanda de trabalho. As principais desvantagens identificadas por eles foram: dificuldade de comunicação e controle do teletrabalhador, diferenças na relação trabalhador tradicional x teletrabalhador, trabalhadores que não se adaptam, problemas psicológicos e processo de retorno do teletrabalhador ao trabalho tradicional.
Analisados os diversos aspectos que envolveram esta pesquisa, os resultados apontam um caminho de desenvolvimento das práticas de teletrabalho por meio de dois vetores de atuação: a) criar mecanismos que ajudem a balancear as atividades profissionais e a vida pessoal dos teletrabalhadores, dando maior atenção à infraestrutura, tecnologia e ao suporte psicológico; e b) introduzir ferramentas de gestão e controle que visem a minimizar a falta de prática dos gestores em administrar pessoas nesse modelo de trabalho, buscando a isonomia no reconhecimento e na avaliação dos teletrabalhadores.
A administração pública vem buscando formas de acelerar a eficiência em suas diversas atividades e, nesse contexto, o teletrabalho tem sido adotado com maior frequência em busca de redução de custos, melhor aproveitamento do tempo e aumento da produtividade, mas as evidências deste estudo mostram que, apesar dos notáveis avanços, ainda existem desafios a superar para que essa forma de trabalho possa alcançar plenamente seu potencial.
Freitas (2008) lembra que há uma burocracia estatal que deve ser superada para dar lugar a novos processos de gestão que não podem ser pensados somente em momentos de crise ou reestruturação institucional. Já temos várias instituições aderindo ao teletrabalho, mas esse assunto ainda é pouco difundido em instituições públicas estaduais e municipais.
Este estudo teve como limitação sua abrangência, visto que, das 5 instituições públicas contatadas, apenas 2 órgãos públicos foram estudados. Ainda assim, este artigo aponta aspectos sobre o teletrabalho pouco discutidos na literatura e deixa como sugestão para futuros trabalhos a ampliação do estudo junto a outros órgãos públicos e em outros estados, para que se tenha maior compreensão dos impactos da introdução do teletrabalho na administração pública brasileira.




