Artículos de Investigación
Recepción: 30 Junio 2017
Recibido del documento revisado: 04 Septiembre 2017
Aprobación: 05 Octubre 2017
DOI: https://doi.org/10.14718/revfinanzpolitecon.2018.10.1.3
Resumen:
Este artículo analiza las posibles consecuencias, para los países de la Alianza del Pacífico (AP), de la entrada en vigor del Acuerdo de Asociación Transpacífico (TPP) sin Estados Unidos. Para ello, se desarrolla un análisis descriptivo de la evolución del comercio de los países de la AP con el resto de los países miembro del TPP durante el periodo 1980-2015. También se estiman modelos gravitacionales para examinar empíricamente los determinantes de los flujos comerciales de estos países. Se encuentra que el TPP puede favorecer los flujos comerciales de los países de la AP y que la salida de Estados Unidos del TPP no afectaría estos flujos comerciales.
JEL: F10, F13, F14, F15, F17
Palabras clave: comercio internacional, Alianza del Pacífico, Acuerdo de Asociación Transpacífico, ventajas comparativas, modelo gravitacional.
Abstrac: This article analyzes the possible consequences of the entry into force of the Trans-Pacific Partnership Agreement (TPP) without the United States for the countries of the Pacific Alliance (PA). It develops a descriptive analysis of the evolution of trade between PA countries and TPP member countries during the period 1980-2015. Gravitational models are also estimated to empirically examine the determinants of trade flows in these countries. As a result, the paper shows that TPP may favor trade flows in PA countries, and that the withdrawal of the U.S. from TPP would not affect these trade flows.
Keywords: international trade, Pacific Alliance, Trans-Pacific Partnership, comparative advantage, gravity model.
Resumo: Este artigo analisa as possíveis consequências, para os países da Aliança do Pacífico (AP), da entrada em vigor do Acordo Transpacífico de Cooperação Econômica (TPP, na sigla em inglês) sem os Estados Unidos da América. Para isso, desenvolve-se uma análise descritiva da evolução do comércio dos países da AP com os demais países-membros do TPP durante o período 1980-2015. Também são estimados modelos gravitacionais para avaliar empiricamente os determinantes dos fluxos comerciais desses países. Constata-se que o TPP pode favorecer os fluxos comerciais dos países da AP, e que a saída dos Estados Unidos do TPP não afetaria esses fluxos.
Palavras-chave: Acordo Transpacífico de Cooperação Econômica, Aliança do Pacífico, comércio internacional, modelo gravitacional, vantagens comparativas.
Introducción
En este artículo se analizan las relaciones comerciales de los países miembro de la Alianza del Pacífico (México, Perú, Chile y Colombia; en adelante, AP) con los países que suscribieron el Acuerdo de Asociación Transpacífico (en adelante, TPP) en febrero de 2016, considerando además la retirada de Estados Unidos del Tratado. El objetivo general es analizar las consecuencias que podría tener la entrada en vigor del TPP sin Estados Unidos para los flujos comerciales de los países de la Alianza del Pacífico.
Para alcanzar este propósito, se plantean algunos objetivos específicos: en primer lugar, examinar la evolución de los flujos comerciales de Colombia, Chile, Perú y México con los países firmantes del TPP1 y con Estados Unidos; en segundo lugar, especificar y estimar una serie de regresiones gravitacionales para explicar el comercio de los cuatro países latinoamericanos durante el periodo 1980-2015, incluyendo variables dicotómicas para captar el impacto que puede tener la implementación del TPP; en tercer lugar, plantear algunas predicciones sobre las posibles consecuencias de la entrada en vigor del TPP en el futuro para los países de la AP; finalmente, formular algunas recomendaciones de política para los países latinoamericanos que son objeto de análisis. Este artículo retoma el análisis realizado en Raffo, Díaz y Casas (2016), pero a diferencia de ese trabajo, contempla la reciente salida de Estados Unidos del TPP y actualiza el análisis empírico hasta 2015.
La firma del TPP el 4 de febrero de 2016 en Nueva Zelanda por parte de algunos países de Suramérica, América del Norte, Asia y Oceanía consolidaba lo que sería el tratado comercial más grande del mundo; sin embargo, en la actualidad hay posiciones encontradas por parte de diferentes gobiernos respecto a los posibles beneficios y riesgos que conllevaría la entrada en vigor del TPP. Prueba de ello es el retiro del acuerdo comercial de Estados Unidos por parte de su presidente Donald Trump, el 23 de enero de 2017. Entre tanto, otras potencias como Japón, Malasia, Australia, Nueva Zelanda y Canadá aún están a la espera de ratificarlo. Lo mismo sucede para economías emergentes como Malasia y Australia, y desde otro ángulo para las economías latinoamericanas de la AP, como México, Perú y Chile. El caso de Colombia es distinto, pues este país no ha concretado formalmente con los países actualmente suscritos la posibilidad real de adherirse al acuerdo comercial.
Ahora bien, la discusión sobre los posibles beneficios y amenazas del TPP es también controvertida. Los defensores de los beneficios aducen que los Tratados de Libre Comercio permiten que se amplíe la frontera de posibilidades del consumo mediante la importación de mayor variedad de bienes, pero también para los exportadores se incrementa el tamaño de los mercados y la posibilidad de generar mayores ingresos. Asimismo, la competencia internacional induce en muchos casos mayores niveles de especialización según las ventajas comparativas de los países (Heckscher, 1949; Ohlin, 1933; Samuelson, 1948, 1949; Jones 1965), lo que redunda en mayores flujos de exportación y producción en el corto plazo. Pero también resulta relevante el aprovechamiento de las economías de escala, la mayor diversificación productiva y el descenso en los precios de los bienes (Krugman, 1979, 1980; Grossman y Helpman, 1990) a medida que se profundiza la integración económica.
Algunos autores consideran que, en general, los acuerdos comerciales tienen efectos diversos sobre la desigualdad y la pobreza. Winters, McCulloch y McKay (2004) aseguran que la liberalización comercial tiene efectos positivos sobre la pobreza en el corto plazo, mientras que en el largo plazo la relación tiende a ser negativa, dado el ajuste que tienen la productividad y las tasas de retorno de los factores (Ravallion, 2006). Por su parte, Rodríguez y Gill (2006) argumentan que las brechas regionales se incrementan cuando se tienen cambios en la composición del comercio, y este incremento tiene un efecto en contra de las regiones productoras de materias primas.
Una década más tarde, Vallejo (2016) explica que el TPP da vía libre para que los monopolios y las multinacionales de los países desarrollados controlen la propiedad intelectual, generen patentes y tengan la exclusividad de explotación de recursos de países menos desarrollados, concentrando así más ingreso y no permitiendo que por mucho tiempo nuevos competidores entren al mercado. Estos argumentos son relevantes si se tiene en cuenta que economías como las de México, Colombia, Perú y Chile exportan bienes del sector primario con bajo contenido tecnológico a los demás países del TPP, mientras estos últimos tienden a exportar bienes del sector manufacturero intensivos en capital, mano de obra calificada y tecnología.
Por su parte, algunos autores demuestran que, en general, los efectos de las asociaciones comerciales implican disminuciones en la magnitud del comercio bilateral de bienes y servicios. Péridy (2005) estudia los efectos potenciales del acuerdo comercial entre Jordania, Marruecos, Egipto y Túnez mediante técnicas estáticas y dinámicas de la ecuación de gravedad; encuentra que los flujos comerciales entre estos países disminuyeron significativamente debido a los altos costos de transporte entre ellos.
Armstrong (2015) analiza las exportaciones entre Australia y Estados Unidos durante 1970 y 2008, y concluye que estas han disminuido a causa del Tratado de Libre Comercio entre los dos países. En contraste, Martínez y Nowak (2003) estudian los efectos de los acuerdos realizados entre la Unión Europea y Mercosur, a partir de lo cual encuentran, con un modelo de gravedad, que el flujo bilateral de comercio ha aumentado entre los dos bloques. Años después, Serrano, Martínez, Rodríguez y Salazar (2015) analizan el acuerdo comercial entre México y la Unión Europea; identifican que los sectores productivos de México aumentaron considerablemente sus exportaciones e importaciones gracias al Tratado de Libre Comercio. Recientemente, Bolívar, Cruz y Pinto (2015) evalúan el impacto potencial de los acuerdos comerciales de Colombia; concluyen que estos tienen un impacto positivo sobre los flujos bilaterales de comercio.
Las predicciones disímiles de trabajos anteriores sobre el impacto de los acuerdos comerciales develan la urgente necesidad de estudiar a fondo los efectos potenciales comerciales del TPP para los países de la AP, con el propósito de evaluar los posibles incentivos para estos países a la hora de entrar a negociar este acuerdo. En adelante, se entiende por efectos comerciales potenciales del TPP para los países de la AP los posibles efectos que podría conllevar la entrada en vigor de este acuerdo sobre los flujos comerciales de los países de la AP, estimando el efecto neto que genera sobre sus flujos comerciales el comercio con los países que hasta ahora han suscrito el TPP o los interesados en hacerlo en el futuro, controlando otros factores que influyen de forma significativa en su comercio.
Cabe observar que en trabajos anteriores se han hecho análisis sobre los posibles efectos del TPP en los países de la AP (Raffo, Díaz y Casas, 2016); sin embargo, en aquel trabajo no se utilizan series actualizadas sobre el comercio exterior para esos países y no se tiene en cuenta la retirada de Estados Unidos del acuerdo, lo que ha transformado completamente las perspectivas e implicaciones de su probable entrada en vigor en el futuro. Por otro lado, en Raffo, Hernández, Díaz y Casas (2017) se hace un análisis empírico de las posibles consecuencias de la entrada en vigor del TPP, pero solo para el caso de la economía colombiana.
Por lo tanto, una de las mayores contribuciones de este trabajo a la literatura en la materia es un análisis empírico lo más actualizado posible hasta la fecha de hoy, utilizando series de datos recientes. Adicionalmente, tiene en cuenta a países como China e India al examinar el impacto del comercio potencial neto de algunos países interesados en suscribir este acuerdo en el futuro. Por último, el modelo econométrico incorpora variables de abundancia relativa de los factores productivos (de capital por trabajador y tierra por trabajador), lo que permite examinar el cumplimiento de la teoría neoclásica del comercio internacional y, en particular, del teorema Heckcher-Ohlin para el caso de los países de la AP.
El artículo se ha organizado de la siguiente manera, aparte de la presente introducción: en la primera sección se exponen algunos antecedentes de los acuerdos comerciales examinados; en la segunda sección se desarrolla un análisis descriptivo de los flujos comerciales de Colombia, Chile, México y Perú para el periodo 1980-2015; en la tercera se presenta el modelo gravitacional estimado; en la cuarta parte se exponen las estimaciones y se interpretan los resultados obtenidos; finalmente, se plantean algunas conclusiones y recomendaciones de política económica.
Los acuerdos comerciales
El TPP se consolidaba para 2016 como el Tratado de Libre Comercio más grande del mundo con doce países miembro, como Australia, Brunéi Darussalam, Canadá, Chile, Estados Unidos, Japón, Malasia, México, Nueva Zelanda, Perú, Singapur y Vietnam. En ellos se generaba aproximadamente el 40% de la producción de todo el mundo, el 25% de las exportaciones y el 28% de las importaciones tanto de bienes como de servicios de todo el globo; tenían un PIB per cápita aproximado, para 2015, de 30.587 dólares constantes de 2010 y el 11 % de la población mundial. A pesar de la salida de los Estados Unidos del TPP en enero de 2017, por decreto presidencial, sigue siendo un acuerdo comercial importante con el 17% del PIB mundial, el 15% del flujo comercial (importaciones y exportaciones) mundial, una renta per cápita promedio, para 2015, de 28.674 dólares constantes de 2010 y el 7% de la población mundial (Banco Mundial, 2017).
Por su parte, las economías asiáticas han transformado la evolución de los flujos comerciales internacionales; por ejemplo, en el Informe sobre el Comercio Mundial 2015, la Organización Mundial del Comercio (OMC) señala que desde 2010 la región de Asia ha mostrado una tendencia creciente y superior respecto a otras zonas como América del Norte, América del Sur, Europa, Oriente Medio y África.
Con relación a la AP, esta es una iniciativa de integración regional conformada por Chile, Colombia, México y Perú, constituida el 28 de abril de 2011 y formalizada el 6 de junio de 2012 (Cancillería de Colombia, 2016). Según Coutin y Terán (2016), desde sus inicios, la AP se pensó como un bloque económico con vocación de integración intrarregional en América Latina y también con enfoque de integración exógena, es decir, con proyección de integración con otras regiones del mundo, particularmente con la región Asia-Pacífico.
En sus relaciones con Asia, Chile y Perú son los países de la AP con más acuerdos comerciales, lo que les permite tener posiciones privilegiadas, en la medida en que sus tratados llevan muchos años madurándose, no solo sobre los flujos comerciales, sino también sobre las temáticas relativas a la inversión y la cooperación tributaria, aduanera y fitosanitaria (Coutin y Terán, 2016). Perú ha derivado ganancias significativas de las relaciones económicas y políticas con países del Foro de Cooperación Económica Asia-Pacífico (APEC), las cuales han jalonado mayores flujos comerciales, y se ha convertido en foco de inversión asiática, tendencia creciente del turismo, entre otras (Chan, 2016).
En general, la mayor parte del flujo comercial de los países de la AP con las economías de la región Asia-Pacífico se ha basado en las ventajas comparativas. Por ejemplo, las exportaciones de Chile y Perú para 2016 hacia los países asiáticos se encontraban en su mayoría concentradas en productos del cobre, aleaciones de cobre bruto, minerales de cobre y sus derivados (46% y 38%, respectivamente2), en tanto México y Colombia exportan petróleo; es decir, la mayor parte de las exportaciones de los países de la AP son del sector primario. Por su parte, los países de la región Asia-Pacífico exportan bienes del sector secundario (Roldán, Castro y Eusse, 2013; Coutin y Terán, 2016).
En lo relativo al TPP para Colombia, este último es el único miembro de la AP que no fue invitado como negociador de dicho tratado. Hasta la fecha, con respecto a sus relaciones comerciales con Asia, este país solo tiene un acuerdo vigente con Corea del Sur. En curso de negociación, en la actualidad hay un tratado con Japón, otro con Turquía y el Acuerdo sobre el Comercio de Servicios (Trade in Services Agreement [TiSA]), en el que también participan países de Oriente Medio como Turquía e Israel, de Asia del Sur como Paquistán y de Asia Oriental como Japón, Corea del Sur, Hong Kong y Taiwán.
El comercio exterior de Colombia, Chile, México y Perú, 1980-2015
A lo largo de todo el periodo de estudio, la mayor parte de las exportaciones de los países de la AP se han dirigido hacia Estados Unidos. La figura 1 muestra de forma contundente que la proporción de las exportaciones de estos países hacia Estados Unidos con respecto al total es alto y exhibe una tendencia promedio creciente en el largo plazo. En contraste, la proporción de sus exportaciones hacia los actuales miembros del TPP (sin Estados Unidos) es mucho más pequeña durante el periodo 1980-2015: esta representa en promedio alrededor del 11% con respecto al total de sus exportaciones.
Dada la alta participación de ese país como destino de las exportaciones de la AP, podría pensarse que el TPP sin él presenta hacia futuro una historia diferente al escenario antes de su retirada del TPP; pero ¿realmente sería así? Esta inquietud es algo que conviene discutir más adelante.

Con respecto a las importaciones, la situación no es muy diferente. La proporción de estas, realizada desde los actuales miembros del TPP, representa un valor promedio del 13% a lo largo del periodo examinado, nivel que se ha mantenido más o menos constante durante este periodo. Entre tanto, la fracción de sus importaciones desde Estados Unidos representa un valor promedio del 49% para el mismo periodo, con un valor máximo del 61 % a finales de los noventa, momento en que esta descendió levemente (figura 2).

Con estas figuras queda claro que durante los noventa y a principios de la década siguiente se presentó un incremento en la participación del comercio de los países de la AP como bloque con Estados Unidos respecto a los totales transados. Esta estructura del comercio exterior de los países de la AP se explica en buena medida por la evolución del comercio internacional mexicano, el país más grande entre los cuatro países latinomericanos pertenecientes a la AP. Para 2015, en México el 79% de las exportaciones totales y el 46% de sus importaciones totales se orientaba hacia y desde Estados Unidos. La hegemonía de México con respecto a Chile, Perú y Colombia en el flujo comercial bilateral con Estados Unidos se mantiene a lo largo de todo el periodo de análisis.
La participación promedio de las exportaciones mexicanas hacia ese país, a lo largo de todo el periodo, es del 74%, mientras que la de sus importaciones desde el mismo país es del 61%. Para los otros países, la participación de las exportaciones e importaciones de Estados Unidos con respecto al comercio total es también alta, pero menor que para México. Las figuras 3 y 4 ilustran la estructura del comercio por socios comerciales agrupados (para Estados Unidos y TPP) para los cuatro países latinomericanos.
Como puede constatarse en estas figuras, la proporción de las exportaciones e importaciones de los cuatro países hacia los socios del TPP es relativamente menos alta para México; a lo largo de todo periodo de estudio, el valor promedio de la participación de las exportaciones e importaciones hacia el TPP de ese país (con respecto a sus exportaciones e importaciones totales) es del 8% y el 10%, respectivamente. Las mismas proporciones para Chile alcanzan el 20% y el 10%, respectivamente, mientras que para Perú dan valores del 18% y el 17%, respectivamente. Para Colombia, las mismas proporciones dan valores del 10% y el 19%, respectivamente.


Nota: cifras en miles de millones de dólares, año base 2010.

La mayor escala del comercio mexicano se corrobora al comparar sus exportaciones e importaciones totales con las de Chile, Perú y Colombia. La figura 5 muestra que el comercio de los países de la AP se dinamizó durante los años noventa y la primera década del presente siglo. La figura 6 confirma lo anterior en términos de las tasas de crecimiento de los flujos de exportaciones e importaciones por décadas. Se destacan las altas tasas de crecimiento promedio de las exportaciones e importaciones mexicanas durante los noventa (11% y 19%, respectivamente), al igual que las altas - aunque mucho menores- tasas de crecimiento promedio de las exportaciones e importaciones de Colombia y Chile durante la misma década. En el caso de México, la entrada en vigor del TLCAN en 1994 explica en buena medida la dinamización del comercio exterior. Por su parte, para Perú, durante los noventa, las exportaciones crecieron menos que las importaciones (2% frente a un 12%).

Durante la década siguiente se observan altas tasas de crecimiento para los cuatro países de la AP, tanto para las exportaciones como para las importaciones. Esto es especialmente notorio en los casos de Perú, Colombia y Chile. Todas estas tendencias son consistentes con los procesos de globalización que se consolidaron en América Latina durante la década de los noventa.
Los índices de apertura económica calculados para los cuatro países3 revelan que Chile, México y Perú han mantenido niveles relativamente altos, en especial con la llegada del siglo XXI (figura 7, panel A). Sin embargo, el país con mayor incremento sostenido en su nivel de apertura económica es México, cuyo índice pasó del 18% en 1980 al 61% en el 2015. No obstante, de acuerdo con el valor promedio del índice a lo largo de todo periodo, el país más abierto es Chile, con un valor medio del 40%, seguido de México, con un valor medio del 37%. Los dos países con menores niveles promedio de apertura a lo largo de todo el periodo son Perú, con un valor del 29%, y Colombia, con un valor del 21%.

Sin embargo, cuando se examinan los niveles de apertura teniendo en cuenta únicamente las interacciones comerciales de los países de la AP con los miembros del TPP4, el ordenamiento de los países cambia, en los casos de Perú y México. Mientras Perú pasa al segundo lugar de apertura, con un índice del 4,9%, México pasa al tercer lugar, con un índice del 3,4%. En este caso, Chile sigue siendo el país más abierto, con un índice que alcanza el 7,1%, y Colombia es el país menos abierto, con un índice del 3,1% (figura 7, panel B).
METODOLOGÍA Y MODELO ECONOMÉTRICO
Fuentes de información
La muestra analizada está conformada por los países miembros de la Alianza del Pacífico y sus socios comerciales. En concreto, se estudia el comercio bilateral de Chile con 78 países, el de Colombia con 84 países, el de México con 85 países y el de Perú con 83 socios comerciales5. El periodo investigado es el comprendido entre 1980 y 2015; por tanto, se tiene una muestra para Chile, Colombia, México y Perú de 2476, 2717, 2682 y 2643 observaciones, respectivamente.
El modelo gravitacional: antecedentes e hipótesis en juego
Antes de presentar el modelo, cabe discutir brevemente algunas investigaciones relevantes sobre el modelo gravitacional posteriores al trabajo seminal de Tinbergen (1962). Durante décadas, las ecuaciones de gravedad se han utilizado como el modelo de trabajo para relacionar los flujos comerciales bilaterales con características específicas de cada socio comercial, como el tamaño de las economías y las características bilaterales (p. e., las fricciones comerciales entre exportadores e importadores). Por lo regular, la ecuación log-line especifica que el flujo originado en el país i y dirigido al país j puede ser explicada por las fuerzas de la economía, donde los orígenes de las mercancías y el destino de estas pueden contribuir o truncar movimientos comerciales. Sin embargo, Novy (2013) señala que el mayor aporte que se ha hecho desde la literatura empírica se relaciona con la comprensión del impacto de las fricciones comerciales en el comercio internacional.
Linnemann (1966) propuso una base teórica basada en el sistema de equilibrio general walra-siano, ya que planteó que el modelo de gravedad es una forma reducida de un modelo de equilibrio general de cuatro ecuaciones de la oferta de exportaciones y la demanda de importaciones. Es necesario aclarar que los precios no forman parte de la ecuación ya que siempre se ajustan para igualar la oferta y la demanda. Por esa misma vía, Anderson (1977) también desarrolló otro de los primeros trabajos sobre la fundamentación teórica del modelo: partir de sistemas lineales de gasto.
Con base en los avances teóricos de Linnemann (1966), Bergstrand (1985) busca determinar la ecuación de gravedad como forma reducida de un subsistema de equilibrio parcial, derivada de un modelo de equilibrio general del comercio mundial con bienes diferenciados. Este autor afirma que toda ecuación de comercio bilateral -como el modelo gravitacional- debe incluir, por definición, ingresos de los exportadores e importadores como variables exógenas. Sugiere también que se debe suponer perfecta sustituibilidad de bienes internacionales en la producción y el consumo, arbitraje perfecto en commodities, cero tarifas y cero costos de transporte, ya que solo de esta manera se lograrán excluir los precios de intercambio en el modelo gravitacional.
Los resultados que obtiene Bergstrand (1985) en el estudio realizado al comparar dos modelos -el primero con mayor agregación de variables y el segundo con menor agregación buscando incluir precios y tipo de cambio- revelan empíricamente que las variables de precios y del tipo de cambio tienen efectos significativos sobre los flujos comerciales. Pero la diferenciación de productos se da gracias al origen nacional, y el arbitraje de los productos básicos es imperfecto.
Por otro lado, se ha asociado el teorema Heckscher-Ohlin (H-O) con la ecuación gravitacio-nal, pues históricamente se ha demostrado que un país exporta el bien que hace uso intensivo del factor de producción relativamente abundante en ese país e importa el bien que hace uso intensivo del factor de producción relativamente escaso, como lo afirma el teorema H-O. Sin embargo, Sanso, Cuairan y Sanz (1989) manifiestan que los hechos empíricos corroboran dicho teorema, pero desde el planteamiento de la ecuación se infringen supuestos clave que soportan el teorema H-O. Sanso, Cuairan y Sanz (1989) deducen también una forma funcional a partir de un sistema de gasto, teniendo en cuenta los planteamientos de Bergstrand (1989), donde todos los países tienen funciones de utilidad idénticas y existe diferenciación de productos por países de origen. No obstante, los autores critican esta fundamentación, ya que se requiere de otros supuestos adicionales para llegar a una forma funcional correcta de la ecuación de gravedad; acusan que dichas suposiciones no permiten llegar a una deducción directa a partir de los planteamientos del sistema de gasto, lo cual deja ver que no es una fundamentación estrictamente teórica de la ecuación.
En los resultados del ejercicio planteado por Sanso, Cuairan y Sanz (1989), con el modelo gravitacional clásico se espera que las dos rentas (la del país exportador y la del importador) afecten positivamente en los flujos comerciales, al tiempo que las poblaciones de los dos países influyan negativamente en dichos flujos. Por su parte, en la ecuación gravitacional no convencional que plantean Sanso, Cuairan y Sanz (1989) las dos rentas y poblaciones influyen en sentidos contrarios, pues la renta de un país relativamente abundante en trabajo influye negativamente, mientras que el país relativamente abundante en capital influye positivamente en el flujo monetario sin coste de transporte. Respecto a la población del país relativamente abundante en trabajo, esta influye positivamente en el valor de los flujos comerciales; entre tanto, la población del país relativamente abundante en capital influye negativamente, pues todo aquello que hace aumentar la divergencia en la dotación de factores estimula el comercio entre dos países, mientras que la similitud en dotación disminuye el comercio. Por otra parte, la distancia entre los dos países influye negativamente, ya sea para el modelo teórico o la ecuación de gravedad.
El estudio realizado por Sanso, Cuairan y Sanaz (1989) concluye que no existe compatibilidad entre la ecuación de gravedad y la teoría H-O, gracias a la discordancia en la influencia esperada por las variables de renta y de población de los dos países. No obstante, el modelo estimado por los autores para contrastar la ecuación de gravedad convencional no permite generalizar los resultados, pues los autores aportan un caso donde no existe compatibilidad entre la ecuación de gravedad y la teoría H-O; lo que sí se puede generalizar es que no siempre es compatible esta teoría con la ecuación.
Los modelos anteriores dan lugar a ecuaciones de gravedad con una elasticidad constante del comercio con respecto a los costos comerciales. Novy (2013) sostiene que esta característica significa que, ceteris paribus, una reducción de los costos comerciales -como lo es un recorte arancelario uniforme- tiene el mismo efecto proporcional en el comercio bilateral, independientemente de si los aranceles eran inicialmente altos o bajos, o si un par de países comerciaba poco o mucho. El autor sugiere trabajar con preferencias translogarítmicas, en vez de tipo CES, gracias a su flexibilidad, cualidad que ayuda a romper el vínculo constante entre los flujos comerciales y los costos comerciales, porque el impacto de la distancia y la geografía, las uniones monetarias y los acuerdos de libre comercio afectan de diversas formas el comercio internacional.
Este autor construye una base de datos compuesta por las exportaciones de 28 países de la Organización para la Cooperación y el Desarrollo Económicos (OECD) para el 2000; después de estimar su ecuación clásica de gravedad, concluye que, en igualdad de condiciones, cuanto menos los dos países comercien entre sí y más pequeñas sean sus cuotas bilaterales de importación, más sensibles serán a los costos comerciales bilaterales. Además, sugiere que las elasticidades variables del costo comercial pueden ser una característica distintiva de los datos del comercio internacional también en el plano de la industria.
Con regularidad, en los trabajos donde se aplica el modelo gravitacional log-line, se asegura que los costos incrementen con la distancia. Sin lugar a dudas, la tecnología, los impedimentos políticos del comercio, la naturaleza de los bienes comerciados y la importancia de los países comer-cializadores de estos bienes han tenido cambios al pasar los años. En resumen, los parámetros profundos identificados han ido cambiando a lo largo del tiempo, mientras que en las estimaciones de la ecuación gravitacional el coeficiente de la distancia se ha mantenido esencialmente constante. Chaney (2013) afirma que regularmente la proxy de la distancia más utilizada en los modelos gravitacionales hace referencia a los costos directos de crear contactos en el exterior. Este costo es esencialmente análogo al costo comercial asimilado en los modelos de comercio internacional. Sin embargo, existe una mejor manera de aproximarse a la variable distancia: la plantea Chaney (2013) como el costo de crear contactos a través de los contactos existentes.
En el modelo de Chaney (2013), la distribución geográfica de las exportaciones de una firma depende de cuánto le cuesta a la firma crear contactos directos. Pero en el agregado, la esencia de la ecuación de gravedad se mantiene. El primer aporte del modelo es construir un modelo manejable de cadenas verticales de producción, donde las empresas combinan el capital y la mano de obra con los insumos intermedios suministrados por las empresas que se encuentran en el nivel superior. El autor retoma el problema de la variable distancia y concluye que los avances tecnológicos en transporte o en comunicación afectan las barreras físicas, los costos directos de información e incluso la frecuencia de las interacciones, pero no eliminan la necesidad de las interacciones directas. Por lo tanto, el impacto de la distancia en el comercio agregado depende de la forma de la distribución del tamaño de las empresas. Mientras los individuos que integran las firmas establezcan una comunicación directa con sus clientes y proveedores, y en tanto la información se introduzca a través de estas interacciones directas, se debe esperar que el comercio agregado sea cercanamente proporcional al tamaño del país e inversamente proporcional a la distancia.
Por otra parte, Mejía y Hassan (2014) proponen un índice de distancia basado en el análisis estadístico multivariado para utilizarlo como proxy de la distancia, en tanto el producto interno bruto (PIB) se toma como proxy de la masa o el tamaño del país. Para el ejercicio empírico, recolectan información con datos panel para diez economías latinoamericanas entre 1995 y 2000. El objetivo principal de Mejía y Hassan (2014) es proponer una medida de distancia que involucre aspectos geográficos, culturales, sociales y económicos, para utilizarla posteriormente en un modelo gravitacional y así comparar con un modelo gravitacional tradicional. Dentro de los resultados obtenidos en el estudio se afirma que el modelo que incluye el índice construido como proxy de la distancia presenta mejor ajuste a la muestra.
De igual manera, estos autores analizan que, en relación con las variables numéricas, una distancia más larga, las diferencias más altas en el tipo de cambio real y las mayores discrepancias políticas implican una mayor distancia comercial. Por otra parte, en relación con las variables dummy, compartir una frontera y un idioma común implica menos distancia, mientras que tener una isla como socio comercial implica una mayor distancia comercial. En conclusión la distancia geográfica e los costos de transporte son relevantes. Pero, además, los costos de sincronización, los costos de transacción o las distancias culturales también deben ser considerados en los modelos gravitacionales.
En el trabajo de Díaz (2014) se introducen al modelo las dotaciones relativas de factores de capital por trabajo y tierra por trabajo. Por ello, en el presente estudio, además de estimar un modelo con las variables que constituyen el esqueleto del modelo (la distancia entre los países, así como el PIB de los países analizados -en este caso, los miembros de la AP- y de sus socios comerciales), se pone a prueba la teoría neoclásica del comercio internacional y, en concreto, en teorema Heckacher-Ohlin, al examinar el posible impacto que pueden tener las dotaciones relativas de factores sobre los flujos de comercio exterior de los países de la AP. En ese sentido, interesa poner a prueba como hipótesis el cumplimiento de este teorema: que los países tienden a exportar los bienes intensivos en los recursos relativamente abundantes.
La otra hipótesis por examinar, que constituye el objetivo principal del artículo, es examinar si el P4 ha generado y puede generar un impacto potencial positivo sobre el comercio exterior de estos países, y lo mismo respecto al comercio con los países que hasta ahora han suscrito el acuerdo y con otros países interesados en adherirse en el futuro. Para poner a prueba esta hipótesis, se incorporaron tres variables dummy que capturan el efecto neto potencial del comercio de los países de la AP con estos países, las cuales se describen a continuación.
El modelo econométrico de base
La ecuación gravitacional en términos logarítmicos que se empleará como referente para analizar los flujos comerciales de los países de la AP es la siguiente:

Donde i representa a los países de la AP; j son los países socios; t = 1980, 1981,..., 2015; ln( ) es la transformación del logaritmo natural para cada una de las variables de la ecuación [1]; su uso permite interpretar los coeficientes como elasticidades.
Flujo bilateral comercial (Fijt): promedio entre las exportaciones y las importaciones del país y el país j en el año t, o sea, X+M/2. Las cifras de exportaciones e importaciones se miden en dólares constantes de 2010 de la fuente de datos Comtrade. Las series se deflactaron mediante los deflactores implícitos de precios de las series del PIB de cada país, extraídas del Banco Mundial.
Producto interno bruto real (Yit, Yjt): variable tomada de los datos del Banco Mundial; corresponde al PIB real de cada país a precios constantes de 2010. Y¡t es el producto interno bruto del país i en el año t. Por su parte, Yjt es el producto interno bruto del país j en el año t.
Distancia (Dij): es la distancia entre la capital6 del país i y el país j, la cual se calcula en kilómetros a partir de los valores de latitud y longitud de los respectivos centros geográficos (distancia geodésica). Los datos fueron obtenidos del Centro de Estudio e Investigación en Economía Internacional de Francia (CEPII, 2017).
Capital (Kit, Kjt): el capital fue estimado bajo la metodología de Lora (1994) y para su construcción se utilizaron las estadísticas del Banco Mundial. Las series de capital se deflactaron mediante los deflactores implícitos de precios de las series del PIB de cada país, extraídas del Banco Mundial.
Tierra (Tit, Tjt): es el área de tierras cultivables y está medida en kilómetros cuadrados; los datos se obtuvieron, para todos los países, de la muestra de la base de indicadores del Banco Mundial.
Población económicamente activa (Lit, Ljt): es el número de personas económicamente activas y la fuente de datos corresponde al Banco Mundial.
Dadas las tres variables de factores de producción (capital, tierra y trabajo), se pueden hacer las combinaciones de capital por trabajador y tierra
por trabajador. Donde:




Por otra parte, las variables categóricas son: frontera, lenguaje y una genérica que se nombrará como dummy. Fronteraij es una variable dicotómica que denota si el país i comparte frontera con el país j. Lenguajeij es una variable dicotómica que denota si el país i comparte el mismo idioma con el país j. Dummyij es la variable dicotómica genérica que, dependiendo del modelo, puede ser una de las siguientes variables específicas:
P4jt: países miembro del Acuerdo Transpacífico inicial. Esta variable mide el impacto neto que tiene el comercio de los miembros de la AP con los países miembro del P4, cuando se controla por los demás determinantes del comercio. Esta variable tomará el valor de 1 si el país objeto de estudio (i) comercia con Chile, Nueva Zelanda y Singapur, y 0 en caso contrario.
TPPjt: países que actualmente conforman el TPP. Esta variable mide el impacto neto que tiene el comercio de los miembros de la AP con los actuales miembros del TPP después de controlar por los demás determinantes del comercio. Esta variable tomará el valor de 1 si el país objeto de estudio comercia con Australia, Canadá, Chile, Japón, Malasia, México, Nueva Zelanda, Perú, Singapur y Vietnam; y 0 en otro caso. Se excluye a Estados Unidos de los países firmantes del TPP. Teniendo en cuenta el trabajo de Raffo, Díaz y Casas (2016), donde se tenía a Estados Unidos dentro del TPP, se podrán comparar los efectos marginales y entonces poder afirmar, con base en los modelos econométricos estimados, si la salida de este país es o no significativa como incentivo de los países de la AP para estar en el TPP actualmente.
Posiblesjt: países que actualmente conforman el TPP, más los países que han mostrado interés por fomar parte del acuerdo, aunque no lo están negociando. Esta variable tomará el valor de 1 si el país objeto de estudio comercia con Australia, Bangladesh, Canadá, Chile, China, Colombia, Corea del Sur, Costa Rica, Filipinas, India, Indonesia, Japón, Malasia, México, Nueva Zelanda, Perú, Singapur, Tailandia y Vietnam; y 0 en otro caso.
RESULTADOS DE LAS ESTIMACIONES
Para la escogencia del estimador de efectos fijos para los cuatro países de la AP, se procedió de la siguiente manera: primero, mediante el test de Breusch-Pagan, se rechazó la hipótesis nula de estimar por datos agrupados a favor de la estimación por datos de panel de efectos aleatorios; luego, mediante el test F, se rechazó la hipótesis nula de estimar por datos agrupados a favor de la estimación por datos de panel de efectos fijos; finalmente, entre el estimador de efectos aleatorios y efectos fijos se hizo el test de Hausman, de manera tal que este estuviera a favor del estimador de panel con efectos fijos.
Asimismo, se hicieron las pruebas para conocer si las especificaciones presentaban problemas de autocorrelación y heterocedasticidad. Las tablas 1, 2, 3 y 4 presentan cada una de las pruebas. En el caso de la autocorrelación para todos los modelos y países, se aplicó la prueba de Wooldridge, de donde se obtuvo en todos los casos el rechazo de la hipótesis nula y, por lo tanto, la existencia de autocorrelación de primer orden. Para la heterocedasticidad se aplicó la prueba de Wald, de donde se encontró que se rechazaba la hipótesis nula de homocedasticidad. Dados los problemas mencionados, las estimaciones se llevaron a cabo mediante el estimador de efectos fijos corregidos por autocorrelación y heterocedasticidad, por medio de los errores estándar corregidos para panel (PCSE) (Beck y Katz, 1995; Beck, 2001). Todos los cálculos se realizaron en el software Stata versión 13.




Interpretación de resultados
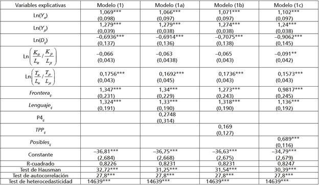
Las estimaciones de las tablas 1 a 4 muestran que el PIB tanto de los países domésticos (Colombia, México, Perú y Chile) como de los países extranjeros (socios comerciales de los miembros de la AP) inciden, tal como lo predicen las ecuaciones gravitacionales. Por ejemplo, el coeficiente que acompaña al PIB de los países AP muestra que por 1 % del incremento en el PIB, el flujo comercial se incrementa en 1,2% para Colombia, 2,3% para México, 1,1 para Perú% y 1,1% para Chile. Era de esperarse que el coeficiente de México fuera el más elevado porque fue el país que más bienes exportó e importó entre 1980 y 2015. Por su parte, ante incrementos del 1% en el PIB de los demás países (socios comerciales de cada miembro de la AP), el flujo comercial se incrementa en 1,2% para Colombia, 1,2% para México, 1,3% para Perú y 1,3% para Chile. En todos los casos, los coeficientes resultaron significativos.
Con relación a la otra variable canónica en las ecuaciones gravitacionales, la distancia, las estimaciones muestran que se cumplen los efectos esperados para las cuatro economías, es decir, parámetros negativos y significativos: para Colombia, alrededor de -1,6, México alrededor de -1,3, Perú alrededor de -1,2 y Chile alrededor de -0,7. Tales resultados son consistentes con la teoría del comercio internacional, es decir, a mayor distancia -que, por cierto, tiende a asociarse con mayores costos económicos, como seguros y fletes-, menor flujo comercial. Lo que explica que en el caso de Chile el impacto sea menor es que este país tiene una gran cantidad de acuerdos comerciales y es el país más abierto de los cuatro, por lo que logra compensar en alguna medida el efecto de la distancia sobre los flujos comerciales.
Por otro lado, la variable que representa la dotación relativa de capital por empleado resultó tener un impacto negativo para Colombia, Chile y México, y significativo en algunos modelos. En el caso de Perú, la variable no resultó ser significativa. Dado que las cuatro economías son tierra-abundantes, intensivas relativamente en la explotación de recursos naturales no renovables, materias primas y alimentos, es de esperarse una relación negativa o de poca consistencia y significancia del capital relativo por trabajador. Por esta razón, la siguiente variable explicativa, dotación relativa de tierra por empleado, sí resulta ser significativa y además positiva en todos los modelos estimados para los cuatro países. Así es como ante el incremento del 1% en la dotación de tierra por empleado, el flujo comercial de Colombia crece alrededor de 0,28%, en México 0,24%, en Perú 0,14% y en Chile 0,17%. Estos resultados favorecen empíricamente el teorema Heckscher-Ohlin para los países de la AP.
Con relación a la variable categórica que hace referencia a si el país de la AP comparte frontera común con sus socios comerciales o no, se encuentra, en el caso del modelo 1, que México comercia un 106% de más con países vecinos que con aquellos con los que no comparte frontera terrestre, Perú un 271% y Chile un 285% de más con sus países vecinos. Para Colombia, el efecto marginal de esta variable no es significativo. Los demás modelos presentan parámetros estimados similares. Por su parte, la otra variable categórica de idioma común muestra, en el modelo 1, que en promedio Colombia comercia un 164% de más con países de habla castellana o español, México un 277% de más, Perú un 161 % y Chile un 276% de más; los demás modelos presentan parámetros estimados similares.
Respecto a la variable categórica que reúne los países miembros del P4 (Chile, Nueva Zelanda y Singapur), los parámetros estimados de cada país de la AP resultan positivos y significativos. En promedio, para Colombia se encuentra que hay un crecimiento en el comercio del 92% con países que iniciaron el Acuerdo Transpacífico, para México un crecimiento del 236%, Perú con 177% y Chile con un 32%, dado que la variable P4 solamente incluye Nueva Zelanda y Singapur.
Asimismo, cuando el control de la variable dummy se hace con países firmantes del TPP, para Colombia, México y Perú los resultados son positivos y significativos; indican que Colombia intercambia un 86% de más con dichos países firmantes del TPP, México comercia en un 153% de más y Perú en un 105%, de tal manera que hay incentivos para estos países de comercializar con los actuales países que integran el TPP. En el caso de Chile, el parámetro no es significativo, de modo que el efecto neto del comercio de ese país con los miembros del TPP no influye en su flujo comercial; por tal razón, este país no tendría ningún incentivo al suscribir el TPP con los negociadores actuales del acuerdo. Este resultado obtenido para Chile se explica porque dicho país tiene tratados comerciales vigentes con países que integran el TPP, además de sus altos grados de apertura con economías asiáticas.
Adicionalmente, dado que las estimaciones en términos de los signos estimados y la significancia de los parámetros son iguales al trabajo de Raffo, Días y Casas (2016), investigadores que tenían en su momento a los Estados Unidos dentro de la dummy del TPP, es posible afirmar que la salida de los Estados Unidos del acuerdo del TPP no tiene efectos sobre los flujos comerciales de la AP, básicamente porque estos países ya tienen tratados de libre comercio con esta potencia económica.
Finalmente, la variable dummy asociada a posibles miembros del TPP resulta ser positiva y significativa para cada uno de los países de la AP, de forma tal que se generan incentivos de pertenecer a un acuerdo mayor que el actual, en caso de adherirse a las negociaciones otros países como Corea del Sur, Bangladesh, China, Filipinas, Costa Rica, India, Tailandia, Japón, Indonesia, Malasia y Colombia. Aproximadamente el flujo comercial se incrementa en un 60% para Colombia al tener un TPP que incluya a las economías antes mencionadas, un 137% de más para México, un 124% de más para Perú y un 99% de más para Chile.
CONCLUSIONES
Se encontró que la mayor parte de los flujos comerciales por parte de los países de la AP han sido realizados con Estados Unidos y en menor medida con los actuales países negociadores del TPP, de donde México es el país que tiene la mayor participación con la potencia económica del Norte. Sin embargo, con el bloque de países de Asia-Pacífico, Chile y Perú son los integrantes de la AP que mantienen mayores relaciones comerciales, derivadas del aprovechamiento de los acuerdos de libre comercio con los países de la APEC. Esto último explica que los países de Chile y Perú tengan índices de apertura económica superiores que México y Colombia con los países negociadores del TPP.
Por su parte, las ecuaciones gravitacionales estimadas en el periodo 1980-2015 presentan buen ajuste y resultados esperados en términos de los efectos marginales y niveles de significancia. Los resultados confirman hallazgos de trabajos anteriores, donde las ventajas comparativas - explicadas en buena medida por la abundancia relativa de recursos naturales y mano de obra no calificada- son un factor clave para explicar los patrones comerciales de Chile, Colombia, México y Perú (Díaz, 2014; Raffo, Díaz y Casa, 2016; Raffo et al., 2017).
Asimismo, los resultados obtenidos revelan las potencialidades que entrañan las relaciones comerciales entre América Latina y Asia. Se encontró evidencia empírica de que el efecto neto (controlado por otras variables relevantes) del comercio de los países de la AP con los países miembros del P4 ha incidido de forma significativa en los flujos comerciales de los países miembros de la AP durante el periodo analizado. Se obtuvieron los mismos resultados, a excepción de lo ocurrido en el caso de Chile, al examinar el efecto neto del comercio de estos países con los actuales miembros del TPP.
Lo anterior da indicios de que la consolidación del P4 ha tenido un impacto positivo importante sobre los flujos comerciales de Colombia, Chile, Perú y México. También revela que la entrada en vigencia del TPP entre los países de la AP puede redundar en un impacto positivo e importante sobre los flujos comerciales de los países del primer grupo. Adicionalmente, se ha demostrado comparativamente con el trabajo de Raffo, Díaz y Casas (2016) que la salida del TPP de los Estados Unidos no afectaría los flujos comerciales de los países de la AP, en caso de que finalmente se concrete el acuerdo. Los mismos resultados se sostienen en la dummy que captura los efectos potenciales netos a otros países interesados en adherirse al TPP, como Bangladesh, Corea del Sur, Costa Rica, China, Filipinas, India, Indonesia y Tailandia.
Con relación a las posibles consecuencias de la entrada en vigor del TPP en el futuro para los países de la AP, se presentan dos grandes posibilidades. La primera de ellas es la explotación de las complementariedades comerciales, dadas por la exportación de bienes intensivos en mano de obra no calificada, tierra y recursos naturales por parte de los países de la AP, mientras que los países de la región Asia-Pacífico que suscribieron el TPP exportarían bienes intensivos en capital, capital humano y tecnología. A largo plazo sería beneficioso para los países de la AP adquirir bienes de alta tecnología a menores precios, los cuales permitirían generar mayor valor agregado a los procesos productivos, además de coadyuvar a formar sectores industriales productores de bienes intensivos en tecnología en el largo plazo.
La segunda posibilidad -menos optimista- es que, dadas las diferencias de dotaciones relativas de factores, los países de la AP se queden en el largo plazo exportando bienes primarios con bajo contenido tecnológico, mientras que las economías asiáticas continúen exportando hacia la AP bienes de sectores que generan mayor valor agregado, como automóviles, electrodomésticos, hardware, software, microcomponentes, etc., sin que dichos bienes entren a la cadena de producción de las industrias, sino al consumo final de los hogares, individuos e instituciones, que no generan valor agregado en términos de la producción y exportación de mercancías. Esto haría que los flujos comerciales de los países de la AP con el bloque Asia-Pacífico del TPP, tal como ha sido suscrito hasta ahora o en una versión ampliada con nuevos miembros, se caractericen por los fuertes desbalances comerciales a favor de los países asiáticos tanto en el corto como en el largo plazo.
En este sentido, la recomendación de política económica va en la dirección de ahondar en la primera posibilidad identificada, es decir, que si los países de la AP concretan el acuerdo comercial con los países de la región Asia-Pacífico y Canadá, lo ideal sería comprar bienes de alto contenido tecnológico que entren a la cadena de producción de las industrias. De esta manera, en el largo plazo se puedan generar economías de escala en la producción de manufacturas, diversificación productiva, diferenciación de productos a nivel vertical y horizontal, de modo tal que las economías de la AP puedan alcanzar una senda estable y sostenida de crecimiento económico.
Por otra parte, de forma consistente con investigaciones anteriores que usan modelos gravitacionales, se encontró que la producción agregada de los países influye positivamente en los flujos comerciales y que la distancia, variable proxy de los costos, influye negativamente; así, a mayor distancia (mayores costos de transporte internacional), menores son los flujos de comercio internacional.
Con relación a la abundancia relativa de los factores de producción para cada uno de los países de la AP, se encontró que el factor tierra, abundante relativamente en México, Chile, Perú y Colombia, incide de forma positiva y significativa en los flujos comerciales de cada uno de estos países. Por el contrario, el factor capital no explica de manera significativa los flujos comerciales de los países de la AP, dado que estos no poseen abundancia relativa de este factor de producción. Estas evidencias se encuentran en dirección de la teoría neoclásica del comercio internacional y, en particular, del teorema Heckscher-Ohlin-Samuelson. Asimismo, estos hallazgos son consistentes con los trabajos empíricos de Díaz (2014) y Raffo, Díaz y Casas (2016) para la economía colombiana.
Finalmente, y como era de esperarse, las variables dicotómicas como lenguaje común y la presencia de socios comerciales que comparten la misma frontera geográfica explican positivamente y de forma significativa el comportamiento de los flujos comerciales.
REFERENCIAS
1. Anderson, J. (1979). A theoretical foundation for the gravity equation. The American Economic Review, 69(1), 106-116.
2. Anzola, M. (2015). Colombia y el Acuerdo Transpacífico de Asociación Económica (TPP) ¿Nos conviene firmar más acuerdos comerciales? Razón Pública: Economía y Sociedad. Recuperado de http://www.razonpublica.com.
3. Armstrong, S. (2015). The economic impact of the Australia-United States Free Trade Agreement. Recuperado de https://crawford.anu.edu.au/pdf/ajrc/wpapers/2015/201501.pdf.
4. Banco Mundial (2017). Indicadores del Desarrollo Mundial. Recuperado de http://databank.bancomundial.org/data/reports.aspx?source=indicadores-del-desarrollo-mundial.
5. Beck, N. (2001). Time-series-cross-section data: What have we learned in the past few years? Annual Review of Political Science, 4(1), 271-293.
6. Beck, N. y Katz, J. N. (1995). What to do (and not to do) with time-series cross-section data. American Political Science Review, 89(3), 634-647.
7. Belloni, IP y Peinado, G. (2013). Inserción externa, capitales transnacionales e intercambio ecológicamente desigual en la América del Sur posneoliberal. Sociedad y Economía, 25, 15-38.
8. Bergstrand, J. H. (1985). The Gravity Equation in International Trade: Some microeconomic foundations and empirical evidence. The Review of Economics and Statistics, 67(3), 474-481.
9. Bergstrand, J. H. (1989). The gravity equation, monopolistic competition, and the factor-proportions theory in international trade. The Review of Economics and Statistics , 71 (1), 143-153.
10. Bolívar, L., Cruz, N. y Pinto, A. (2015). Modelo gravitacional del comercio internacional colombiano, 1992-2012. Economía y Región, 9(1), 245-270.
11. Cancillería de Colombia (2016). Alianza del Pacífico. Recuperado de http://www.cancilleria.gov.co/international/consensus/pacific-alliance.
12. CEPII (2017). Databases. Recuperado de http://www.cepii.fr/cepii/en/bdd_modele/bdd.asp.
13. Chan, J. (2016). El Perú y el Foro de Cooperación Económica Asia-Pacífico. Agenda Internacional, 23(34), 125-153.
14. Chaney, T (2013). The gravity equation in international trade: An explanation (NBER Working Paper n.° 19285). Recuperado de https://econpapers.repec.org/paper/nbrnberwo/19285.htm.
15. Comisión Económica para América Latina y el Caribe (CEPAL) (2012). La inversión extranjera directa en América Latina y el Caribe. Recuperado de http://repositorio.cepal.org/bitstream/handle/11362/1151/1/S2013381_es.pdf.
16. Coutin, R. y Terán, J .M. (2016). La Alianza del Pacífico : ¿apuesta estratégica de la política exterior colombiana? Icesi, Estudios Gerenciales, 32, 346-357.
17. De Nardis, S., De Santis, R. y Vicarelli, C. (2008). The Euro's effects on trade in a dynamic setting. European Journal of Comparative Economics, 5(1), 73-85.
18. Díaz, V. (2014). ¿Se cumple la teoría neoclásica del comercio internacional?: el caso colombiano entre 1980 y 2012. Sociedad y Economía , 27, 177-206.
19. Echavarría, J. J. y M. Villamizar (2007). El proceso colombiano de desindustrialización. En J. Robinson y M. Urrutia (Eds.), Economía colombiana del siglo XX: un análisis cuantitativo (pp. 173-237). Bogotá: Fondo de Cultura Económica y Banco de la República.
20. Fôldvári, P (2006). The economic impact of the European Integration on the Netherlands. A quantitative analysis of foreign trade and foreign direct investments. Recuperado de https://dspace.library.uu.nl/handle/1874/8528.
21. Gayá, R. y Michalczewsky, K. (2014). El comercio intrarregional sudamericano: patrón exportador y flujos intraindustriales. Recuperado de https://publications.iadb.org/handle/11319/6486.
22. Grossman, G. y Helpman, E. (1990). Comparative advantage and long run growth. American Economics Review, 80(4), 796-815.
23. Heckscher, E. (1949). The effect of foreign trade on the distribution of income 1919. En H. S. Ellis y L. A. Metzler (Eds.), Readings in the theory of international trade (pp. 272-300). Filadelfia: Blakiston.
24. Hommes, R. (2015, 5 de julio). La relevancia del TPP. El Tiempo. Recuperado de http://www.eltiempo.com/opinion/columnistas/la-relevancia-del-tpp-rudolf-hommes-columnista-el-tiempo/16046776.
25. Jones, R. (1965). The structure of simple general equilibrium models. Journal of political Economy, 73(6), 557-571.
26. Krugman, P. (1979). Increasing returns, monopolistic competition, and international trade. Journal of International Economics, 9(4), 469-479.
27. Krugman, P (1980). Scale economics, product differentiation, and the pattern of trade. American Economic Review, 70(5), 950-959.
28. Linnemann, H. (1966). An econometric study of international trade flows. Amsterdam: North Holand Pub.
29. Lora, E. (1994). Técnicas de medición económica: metodología y aplicaciones en Colombia. Bogotá: Tercer Mundo Editores.
30. Martínez, I. y Nowak, F. (2003). Augmented gravity model: An empirical application to Mercosur-European Union Trade Flows. Journal of Applied Economics, 6(2), 291-316.
31. Mejía, J. F. y Hassan, A. R. (2013). Solving the puzzle: A new measure of trade distance in the gravity equation. Medellín: EAFIT.
32. Novy, D. (2013). International trade without CES: Estimating translog gravity. Journal of Interntational Economics, 89, 271-282.
33. Ohlin, B. (1933). Interregional and international trade. Cambridge: Harvard University Press.
34. Organización Mundial del Comercio (OMC)(2015). Informe sobre el comercio Mundial 2015. Acelerar el comercio: ventajas y desafíos de la aplicación del Acuerdo sobre Facilitación del Comercio de la OMC. Recuperado de https://www.wto.org/spanish/res_s/booksp_s/world_trade_report15_s.pdf.
35. Ortiz, C. H. (2009). La desaceleración económica colombiana: se cosecha lo que se siembra. Revista de Economía Institucional, JJ (21), 107-137.
36. Ortiz, C. H., Uribe, J. S. y Vivas, H. (2009). Transformación industrial, autonomía tecnológica y crecimiento económico: Colombia 1925-2005. Archivos de Economía, 352.
37. Péridy, N. (2005). Toward a Pan-Arab Free Trade Area: Assessing trade potencial effects of The Agadir Agreement. The Developing Economies, 43(3), 329-345.
38. Raffo, L., Díaz, A. y Casas, J. (2016). Retos y oportunidades del Acuerdo de Asociación Transpacífico para los países de laAlianza del Pacífico . En M. De Miranda y J. T. Peláez (Eds.), Las relaciones Económicas entre América Latina y Asia. Hacia la construcción de una nueva inserción internacional (pp. 159-211). Cali: Pontificia Universidad Javeriana.
39. Raffo, L., Hernández, E. A., Díaz, A. y Casas, J. (2017). ¿Cómo podría afectarse el comercio exterior colombiano con el Acuerdo de Asociación Transpacífico? Revista Perfil de Coyuntura Económica (en prensa).
40. Ravallion, M. (2006). Looking beyond averages in the trade and poverty debate. World Development, 34(8), 1374-1392.
41. Rodríguez, A. y Gill, N. (2006). How does trade affect regional disparities? World Development , 34(7), 1201-1222.
42. Roldán, A., Castro, A. y Eusse, M. (2013). Comercio intraindustrial entre las economías de Asia y el Pacífico y laAlianza del Pacífico , 2007-2011. Santiago de Chile: CEPAL. Recuperado de http://repositorio.cepal.org/bitstream/handle/11362/4348/1/LCL3672_es.pdf.
43. Samuelson, P. A. (1948). International Trade and the equalisation of factor prices. Economic Journal, 58(230), 163-184.
44. Samuelson, P A. (1949). International factor price equalisation once again. Economic Journal , 59(234), 181-96.
45. Sanso, M., Cuairan, R. y Sanz, F. (1989). Flujos bilaterales de comercio internacional, ecuación de gravedad y teoría Heclscher-Ohlin. Investigaciones Económicas (segunda época), J3(1), 155-166.
46. Serrano, C., Martínez, A., Rodríguez, A. y Salazar, S. (2015). Evaluación de los efectos del Tratado de Libre Comercio entre la Unión Europea y México en el Comercio Bilateral y la Inversión. Recuperado de https://www.bbvaresearch.com/wp-content/uploads/2015/05/DT15-13_TLCUEM.pdf
47. Tinbergen, J. (1962). Shaping the World Economy: Suggestions for an international economic policy. Nueva York: Twentieth Century Fund.
48. UN Comtrade. (2005). Comtrade database. Recuperado de: https://comtrade.un.org/.
49. Vallejo, L. E. (2016). El tratado comercial más grande del mundo. Apuntes del Cenes, 35(61), 9-10.
50. Winters, L., McCulloch, N. y McKay, A (2004). Trade liberalization and poverty: The evidence so far. Journal of Economic Literature, 42, 72-115.
Notas