Artículos de investigación
Received: 11 October 2022
Revised document received: 11 July 2023
Accepted: 01 December 2023
DOI: https://doi.org/10.14718/revfinanzpolitecon.v16.n1.2024.2
Resumen:
El objetivo del presente trabajo es medir el grado de eficiencia del mercado bursátil chileno en el período 2001-2018. Se utiliza la metodología de estudio de eventos (event studies) para comprobar la eficiencia en forma semifuerte del mercado de acciones en Chile, por medio de anuncios de adquisiciones y de fusiones realizados por las empresas componentes del Índice de Precios Selectivo de Acciones (IPSA), de la Bolsa de Comercio de Santiago de Chile. Dicha metodología es la apropiada para medir este tipo de eficiencia. Específicamente, se usan datos diarios y se aplica el modelo de mercado como modelo generador de retornos. Los resultados muestran que el mercado de acciones no se comporta de manera eficiente en forma semifuerte en ese período.
Clasificación JEL:G14; D52; C01.
Palabras clave: Hipótesis de mercados eficientes, estudio de eventos, eficiencia de mercados, mercado financiero, Chile.
Abstract: This work aims to measure the efficiency of the Chilean stock market between 2001-2018. Event Studies methodology was utilized to evaluate the semi-strong efficiency of the stock market, through fusions and/or acquisitions advertisement of IPSA (Selective Stock Price Index) listed companies. This methodology is considered appropriate to measure this efficiency type. Daily data updates were gathered and organized under a return generating market model. The results show that the abnormal returns are not statically significant, so, it is possible to conclude that, in this period, stock market did not behave in an efficient way in semi-strong form.
Keywords: Efficient market hypothesis, event studies, market efficient, financial markets, Chile.
INTRODUCCIÓN
La eficiencia de los mercados bursátiles es un tema siempre presente en el área financiera y también de plena actualidad. Un mercado es eficiente si los precios reflejan completamente la información disponible (Fama, 1970). Por lo tanto, un mercado es eficiente con respecto a un conjunto de información si el precio refleja en su totalidad ese conjunto de información. La definición de eficiencia de los mercados ha evolucionado en el tiempo. Así, Fama (1970) definía la eficiencia clasificándola en tres niveles: 1) Eficiencia en forma débil: los precios de los activos financieros reflejan toda la información histórica. 2) Eficiencia en forma semifuerte: los precios de los activos financieros reflejan toda la información histórica y la información públicamente disponible (por ejemplo, estados financieros, anuncios de fusiones y de adquisiciones, anuncios de división de acciones, anuncios de emisión de acciones, etc.). 3) Eficiencia en forma fuerte: los precios de los activos financieros reflejan toda la información públicamente disponible y la información privada. Además, la hipótesis de los mercados eficientes tiene implicaciones para los inversionistas y las empresas debido a que la información se refleja en los precios de mercado en forma inmediata, los inversionistas solo deben esperar obtener una tasa de retorno normal o de equilibrio considerando la relación entre riesgo y retorno, es decir, a mayor riesgo mayor retorno y viceversa. La información, cuando esta se da a conocer al mercado, no implica ningún beneficio anormal permanente para el inversionista, debido a que el precio se ajustará rápidamente. Así mismo, las empresas deben esperar recibir el valor justo o valor intrínseco por los activos financieros que transan en el mercado bursátil. Es decir, el precio de los activos financieros no debe estar subvalorado ni sobrevalorado. El precio se ajusta cuando llega aleatoriamente al mercado nueva información relevante. En los años noventa, Fama planteó que un mercado era eficiente si los precios reflejaban apropiadamente la información disponible, en un contexto de modelo de precios.
Las investigaciones sobre la hipótesis de los mercados eficientes en países poco desarrollados o a nivel latinoamericano son escasas. El análisis se centra en Chile, debido a la escasez de artículos relacionados con el tema, tal como se muestra en la revisión de la literatura. Además, es un país en vías de desarrollo, con fuerte apertura al comercio internacional, con una de las mayores tasas de crecimiento del producto interno bruto (PIB) en ese periodo y con una gran integración a los mercados financieros globales impulsada por la evolución de las administradoras de fondos de pensiones (AFP). Por tanto, esta investigación trata de cubrir ese vacío de investigación que existe sobre el comportamiento del mercado chileno. De esta manera, se trata de obtener evidencia empírica sobre el mercado bursátil chileno para determinar si se comporta como un mercado eficiente informativamente y qué tipo de eficiencia alcanza. Ese análisis ayudará a la toma de decisiones de todos los participantes en el mercado de acciones chileno: emisores, inversionistas, especuladores, analistas, reguladores, etc. Según afirmaba Fama (1991), la metodología de estudio de eventos es menos controvertida en la investigación de mercados eficientes de forma semifuerte y que ha tenido un uso creciente en el tiempo. Además, entrega la mayor evidencia directa sobre eficiencia semifuerte. La contribución de esta investigación radica en el cuestionamiento que se hizo a las AFP en el estallido social ocurrido en Chile en octubre de 2019, en el cual se solicitó su eliminación y que se reemplazaran por un sistema de reparto de pensiones. Esta solicitud se basa en las bajas pensiones que actualmente entrega el sistema de las AFP a los jubilados, situación que aún no se ha resuelto. Si los resultados de este estudio indican que el mercado no se comporta en forma eficiente, sería altamente recomendable que las AFP reorientaran sus inversiones hacia activos financieros cotizados únicamente en mercados eficientes, ya que solo en estos los precios reflejan su valor justo, lo que puede influir positivamente en mayores pensiones.
Dado lo anterior, el objetivo general que nos hemos propuesto en este trabajo es medir el grado de eficiencia informacional del mercado de valores chileno. A su vez, el objetivo específico es comprobar la eficiencia informacional en forma semifuerte del mercado de acciones en Chile, durante el período 2001-2018, por medio de eventos o hechos como los anuncios de adquisiciones y fusiones informados por las empresas componentes del Índice de Precios Selectivo de Acciones (IPSA) del año 2018, de la Bolsa de Comercio de Santiago de Chile (BCS). En este período, el PIB de Chile creció a una tasa promedio del 3,9% anual según datos del Banco Central de Chile (2021). Esto permitió que las empresas del IPSA llevaran a cabo la mayor cantidad de adquisiciones y fusiones registradas en décadas, tanto en Chile como en Argentina, Brasil, Colombia, Perú, entre otros, que en su mayoría corresponde a empresas que no transan en el mercado bursátil respectivo. Por tanto, en este estudio se analiza el impacto en el precio y retorno de la acción en la empresa que adquiere o en la empresa que absorbe. Es decir, se mide la eficiencia informacional del mercado bursátil chileno y no el éxito o fracaso de las adquisiciones y fusiones.
REVISIÓN DE LA LITERATURA
El análisis del marco teórico y de las investigaciones sobre la eficiencia del mercado en sus diferentes formas debe contextualizarse por zonas geográficas debido a las características de los respectivos mercados y la problemática de estos. Así, la evidencia empírica en Norteamérica se muestra en investigaciones tales como la realizada en Estados Unidos, en el período 1994-2003, que evalúa la eficiencia del mercado por medio del estudio de eventos (event studies) aplicado a los anuncios de fusiones o adquisiciones de empresas listadas en NYSE, AMEX o NASDAQ. Se concluye que el mercado se comporta de manera eficiente en forma semifuerte, según los autores Yang et al. (2010).
Con el objetivo de probar el efecto de un recorte en la tasa de la Reserva Federal anunciado el 22 de enero de 2008 se analiza un estudio realizado en Estados Unidos en una muestra de 50 bancos que transan en la NYSE; también se usa del índice de mercado S&P 500. Para ello se evalúa la eficiencia del mercado por medio del estudio de eventos aplicado a este anuncio. Se concluye que los resultados no soportan la hipótesis de mercados eficientes en forma semifuerte, según los autores Young y Bacon (2012). Al mismo tiempo, para desarrollar y evalúan estrategias de momentum exploradas inicialmente por George y Hwang (2004), se llevó a cabo una investigación entre 1960 y 2009, la cual concluyó que determinadas estrategias generan excesos de retornos y esto no se encuentra en línea con la hipótesis de mercados eficientes en forma semifuerte, según Yu (2012). Otro estudio llevado a cabo en los mercados internacionales del azúcar en Estados Unidos e Inglaterra, en el período de enero de 2001 a octubre de 2011, en el cual se llevan a cabo pruebas que permiten determinar si existe cointegración o no entre ambas series de precios de los activos, concluye que el mercado internacional del azúcar es eficiente en forma semifuerte, según Alonso & Arcila (2014).
La investigación sobre la eficiencia del mercado frente a los anuncios de fusiones de líneas aéreas de Estados Unidos, llevada a cabo en entre 1985 y 2013, aplicando el estudio de eventos, concluye que el mercado tiene una reacción positiva a los anuncios y que las fusiones aportan valor. Esto es consistente con la hipótesis de eficiencia en forma semifuerte, según Jackson (2015). Otra investigación realizada en Estados Unidos, entre enero de 2012 a septiembre de 2014 sobre las reacciones de precios a corto plazo, después de cambios anormales de precios de un día y usando un enfoque robótico de negociación concluyó que una estrategia que explota la anomalía de inercia no produce beneficios en la bolsa estadounidense, pero sí lo hace en el caso de Forex y de los mercados de materias primas, lo que va en contra de los mercados eficientes, según Caporale et al. (2018).
Los mercados de países emergentes han sido objeto de estudio por autores como Bhagat et al. (2011), que estudian cuáles son las características importantes de las adquisiciones transfronterizas por parte de empresas de países emergentes y si estas adquisiciones crean valor para los adquirentes. También, Kinateder et al. (2017) encuentran que existen retornos anormales, así como las variables que explican estas reacciones anormales del mercado; concretamente, se relacionan negativamente con el tamaño de la empresa y los rendimientos previos al anuncio, pero se relacionan positivamente con el crecimiento reciente del PIB de los países estudiados.
Los estudios que incorporan la variación en los volúmenes de intercambio o el análisis de los volúmenes transados también han sido significativos en las últimas décadas, entre los que cabe señalar: Cready & Hurtt (2002), Barron et al. (2005), Hong & Stein (2007), Ali et al. (2008) y Bajo (2010) y Bamber et al. (2011).
Por su parte, la evidencia empírica en Europa en los años noventa está representada por estudios tales con una investigación realizada en España, entre febrero de 1990 y diciembre de 2004, con el objeto de estudiar el impacto que produce en los retornos de los distintos sectores de la economía, representados en las acciones transadas en el Sistema de Interconexión Bursátil Español (SIBE), el componente no esperado del anuncio de la cifra del índice de precios al consumidor (IPC). Se utiliza la metodología de estudio de eventos, y se concluye con la aceptación de la hipótesis de mercado eficiente en forma semifuerte, según Jareño (2009). Además, en el Reino Unido, de junio de 1990 a diciembre de 2005, se realizó un estudio para evaluar si con las anomalías de incremento se puede implementar una estrategia de porfolio que sea rentable, descontados los costos de transacción, usando la metodología de Sloan (1996), el cual concluyó que el mercado bursátil es eficiente en forma semifuerte, según los autores Soares y Stark (2009).
Los autores Mazzoli y Barducci (2009) realizaron un estudio en el mercado eurodólar, entre enero de 2000 y enero de 2008, con el objeto de medir la eficiencia semifuerte, a través de la metodología que va de lo general a lo específico y concluyeron que en el mercado del eurodólar se rechaza la hipótesis de mercados eficientes en forma semifuerte. También, un estudio efectuado en España y Reino Unido, en el periodo 1999-2003, con el propósito de evaluar la eficiencia de los mercados respectivos mediante la metodología de estudio de eventos, usa como generador del evento la información que deben entregar al mercado los directivos de empresas que cotizan en bolsa sobre las operaciones realizadas con valores de su propia empresa. Las conclusiones van en contra de la hipótesis de eficiencia del mercado en su forma semifuerte en ambos países, según Del Brío et al. (2010). En Dinamarca, en el período de octubre de 2010 a mayo de 2012, para analizar el impacto en el mercado, específicamente en el precio de las acciones de la empresa, de la exigencia legal de revelar las transacciones propias de los gerentes generales o Chief Executive Officer (CEO) y de los presidentes del directorio, aplicando el estudio de eventos, Rose y Søpstad (2015) concluyen que el mercado bursátil danés, Nasdaq OMX Copenhagen, se comporta de manera eficiente en forma semifuerte.
Gomes et al. (2018) realizan una investigación con los principales índices que conforman la plataforma Euronext (CAC-40 de la Bolsa de Paris, AEX de la Bolsa de Amsterdam, BEL-20 de la Bolsa de Bruselas y PSI-20 de la Bolsa de Lisboa), desde enero de 1993 a febrero de 2016, con el propósito de evaluar la memoria a largo plazo de estos índices; se muestran las evidencias de debilitamiento de la persistencia en esos mercados, especialmente después de las crisis internacionales de 2000, 2002 y 2010. Además, se aplicaron pruebas de coeficiente de Hurst de análisis de fluctuación modificado de escala-rango lo que permitió demostrar que, con el tiempo, los mercados pueden haber madurado volviéndose más eficientes después de estos acontecimientos.
La investigación empírica realizada en varios países de Latinoamérica tiene como referente la que se llevó a cabo en Argentina, Brasil, Chile, Colombia, México y Perú, en el período 2003-2010, con el propósito de evaluar si los mercados bursátiles reaccionan a los anuncios macroeconómicos sorpresa del país, de acuerdo con la hipótesis de mercados eficientes en forma semifuerte. Los anuncios evaluados son de tasa de inflación, tasa de interés del banco central, PIB, balanza comercial y desempleo; para ello se usó el modelo de Flannery y Protopapadakis (2002). Dicha investigación concluye que los mercados de los países involucrados reaccionan en forma parcial y no con total eficiencia a los anuncios de información macroeconómica, según Agudelo & Gutiérrez (2011). Un estudio llevado a cabo en Argentina, Brasil y Chile, entre octubre de 1995 y agosto de 2008, verifica la eficiencia de los mercados por medio del estudio de eventos aplicado a anuncios al mercado acerca de fusiones y adquisiciones. Se concluye que la hipótesis de mercados eficientes en forma semifuerte se cumple en Brasil, pero no se cumple en Argentina y Chile, según Simões et al. (2012). En otra investigación llevada a cabo en Brasil, en el período 2009-2013, se prueba la eficiencia del mercado por medio del estudio de eventos, considerando como hecho esencial los anuncios de distribución de dividendos de empresas que transan sus acciones en la fusionada Bolsa Mercantil y Futuros de Brasil y Bolsa de Valores de São Paulo (BM & F Bovespa). El estudio concluye que se rechaza la hipótesis de mercados eficientes en su forma semifuerte, según Melo & Fonseca (2015). Sierra et al. (2015) evaluaron la predictibilidad del mercado colombiano, usando la prueba Ratio de varianza automática en ventanas móviles de tiempo para comprobar si es eficiente, y si la eficiencia es una característica estática o dinámica de este mercado, y concluyeron que los índices accionarios de Colombia presentan periodos de predictibilidad y periodos de alta incertidumbre que son consistentes con un mercado adaptativo.
Así mismo, Mamede & Malaquias (2017) realizan otra investigación en Brasil, desde enero de 2005 hasta marzo de 2014 para estudiar el efecto del día lunes en los fondos de cobertura brasileños que no tienen restricciones de reembolso. Para ello se utiliza test de raíz unitaria con datos de panel. Los resultados muestran que, en promedio, los retornos del lunes son menores que los otros días de la semana, lo cual no está de acuerdo con la hipótesis de mercados eficientes en su forma semifuerte. También, la investigación de Fuenzalida et al. (2006) concluye que existen tasas de retorno positivas inusuales antes, durante y después de la fecha de anuncio de la primera oferta de adquisición.
En Chile, González & Roca (2012) realizaron una investigación entre enero de 2001 a agosto de 2011, con objeto de determinar el efecto del cambio del presidente del directorio o gerente general en el valor de mercado y volúmenes de transacción de empresas listadas en la Bolsa de Comercio de Santiago, por medio de la metodología de estudio de eventos. Los resultados señalan que se producen retornos anormales estadísticamente significativos, lo que va en línea con los mercados eficientes en su forma semifuerte. Igualmente, Acuña y Álvarez (2017) realizaron una investigación entre enero de 2002 y diciembre de 2014, para determinar si el mercado bursátil chileno, representado por el Índice de Precios Selectivo de Acciones (IPSA), presenta memoria de largo plazo, por medio del coeficiente de Hurst y Hurst ajustado y del análisis de características de estructuras caóticas; los resultados indicaron que las series temporales no siguen una caminata aleatoria o de ruido blanco por lo que van en contra de los mercados eficientes en su forma débil. También, en el periodo 2010-2014, Améstica et al. (2017) realizaron una investigación para determinar si hubo uso de información reservada en los anuncios de fusiones y adquisiciones de las empresas componentes del Índice de Precios General de Acciones (IGPA) y concluyeron que sí la hubo, lo que va en contra de los mercados eficientes en su forma semifuerte.
METODOLOGÍA, DATOS E HIPÓTESIS
De acuerdo con los objetivos propuestos y para contrastar las hipótesis de mercado eficiente en su forma semifuerte, se examina la metodología de estudio de eventos, cuyos elementos fundamentales para este tipo de estudios han sido analizados por diferentes autores como Ball y Brown (1968) y Fama et al. (1969). La metodología planteada es la misma que se usa actualmente según Campbell et al. (1997) y según lo aplicado por MacKinlay (1997).
En general, se entiende que el precio de las acciones refleja información re- levante conocida acerca del futuro de las empresas. Por tanto, cuando una nueva información relevante llega al mercado, el precio de la acción debería cambiar. Si el mercado es eficiente podríamos ver que el precio de la acción cambia de manera instantánea para reflejar esta información reciente, pero este no siempre es el caso. A veces, es usual observar que en el mercado hay una sobrerreacción a la nueva información y, posteriormente, trata de ajustarse a un nivel de precios adecuado. También podría ser que el mercado se tome varios días en interpretar completamente la nueva información, es decir, el mercado reacciona con rezago. En resumen, esta metodología busca determinar si esta nueva información origina retornos anormales significativos en los activos financieros de las empresas que transan en los mercados bursátiles.
Etapas del estudio de eventos y la muestra
El periodo de estudio elegido es el anterior a la controversia y discusión sobre el papel de las AFP en Chile a finales de 2019, con el objeto de comprobar si el mercado es eficiente o no. Por tanto, para comprobar la eficiencia informacional en forma semifuerte del mercado de acciones en Chile, durante el período 2001-2018, por medio de eventos o hechos como los anuncios de adquisiciones y fusiones informados por las empresas componentes del IPSA el año 2018, se han seguido las siguientes etapas:
En el caso de una misma empresa solo se considera un hecho esencial por mes.
La empresa debe tener, al menos, 299 días de transacciones antes de la ventana de evento.
Al aplicar el Modelo de Mercado como modelo generador de retornos en la regresión por mínimos cuadrados ordinarios (MCO), la prueba F de Fisher debe indicar que el modelo es estadísticamente significativo, al igual que el parámetro beta (β) medido por medio de la prueba t de Student.
En el caso de las adquisiciones solo se consideran los casos en los cuales se adquiere más del 50% de la participación accionaria.


3. Determinación de la fecha y ventana del evento. La fecha del evento corresponderá al día, entre las 9:30 y las 16:00 horas, en el cual la empresa comunica oficialmente y en forma simultánea, como hecho esencial, el anuncio acerca de la fusión o adquisición al ente regulador del mercado de valores chileno que es la Superintendencia de Valores y Seguros (SVS) (que en diciembre de 2017 fue reemplazada por la Comisión para el Mercado Financiero [CMF]), a la Superintendencia de Bancos e Instituciones Financieras (SBIF) y a la BCS.
Posteriormente, y como las transacciones son diarias, vamos a trabajar con la ventana de evento de más menos 5 días de transacción (-5, +5), donde cero es definido como la fecha del evento, en total 11 días de transacción.
Gráficamente, la ventana o período de estimación, la ventana o período de evento y la fecha de evento se pueden representar mediante una línea de tiempo:
Ventana de estimación Ventana del evento previa t = 0

T0 L1 T1 L2 T2
Donde:
Fecha del evento: t = 0
Período de evento: día T1 + 1 hasta T2
Ventana de estimación previa: día T0 + 1 hasta T1 Las dimensiones de cada una de estas ventanas son: Estimación previa: L1 - T1 - T0
Ventana del evento: L2 - T2 - T1
4. Retornos normales o retornos esperados. El retorno normal es definido como el retorno esperado de la acción si el evento no ocurre. Por tanto, usaremos como modelo generador de retornos el Modelo de Mercado (Market Model) planteado por Sharpe (1963), el cual es usado ampliamente en el mundo financiero. Para cada caso vamos a usar una ventana de estimación de 299 días previos al inicio de la ventana de evento.
Por tanto, el Modelo de Mercado se explicita como:

Donde:
Rit: retorno de la empresa i en el día t (85 adquisiciones y 11 fusiones)
Rmt: retorno de mercado o retorno de un índice de precios de mercado en el día t (IGPA)
eit: términos de error
αi: intercepto o parte no explicada por el retorno de un índice de precios de mercado
βi: sensibilidad del retorno de la acción i frente al retorno de un índice de precios de mercado
Posteriormente, en la ventana de estimación por medio de MCO se realiza la regresión de los retornos accionarios con los retornos del IGPA, y se obtienen los parámetros y . Por medio de este modelo generador de retornos se calcula el retorno esperado o normal en la ventana del evento como:

Donde:
E (t): retorno diario esperado o normal de la acción de la empresa i (85 adquisiciones y 11 fusiones), en el día t de la ventana del evento (-5, +5).
𝚤: parámetro alfa estimado o parte no explicada por el retorno del índice de precios del mercado.
𝑖: parámetro beta o sensibilidad estimados del retorno de la acción de la empresa i frente al retorno del índice de precios del mercado.
Rmt: retorno diario de mercado o retorno del IGPA, en el día t de la ventana del evento (-5, +5).
Por otro lado, el modelo clásico de regresión lineal supone lo siguiente con respecto a los términos de error o perturbación aleatoria (eit), explicitados anteriormente en el Modelo de Mercado, lo cual se aplica en la ventana de estimación de cada uno de los eventos.
Primero, los errores están normalmente distribuidos. En este supuesto aplicamos el Teorema Central del Límite (TCL), ya que en cada regresión lineal se utilizan más de 30 datos en la ventana de estimación.
Segundo, los errores tienen media cero. En esta investigación esto se cumple en todos eventos señalado anteriormente.
Tercero, los errores tienen varianza constante o varianza homoscedástica. Para testear este supuesto aplicamos la prueba de heterocedasticidad de White. Como resultado, esto se cumple solo en forma parcial. Para corregir la heterocedasticidad de los errores estándar de MCO se aplica el método de heterocedasticidad de White, también conocido como errores estándar robustos de White y se realiza la inferencia estadística basada en estos errores estándar.
Cuarto, los errores no están autocorrelacionados. Para testear este supuesto usamos la prueba o test de Durbin-Watson. Aquí también esto se cumple solo en forma parcial. Para corregir la presencia de autocorrelación, conservamos los mínimos cuadrados ordinarios (MCO) pero con los errores estándar corregidos por autocorrelación, mediante un procedimiento desarrollado por Newey y West. Se trata de una generalización de los errores estándar consistentes con heterocedasticidad de White. Los errores estándar corregidos se conocen como errores estándar CHA (consistentes con heterocedasticidad y autocorrelación), o errores Newey y West, este método puede también abordar ambos casos conjuntamente.
Una vez corregido lo anterior, con los parámetros obtenidos de cada regresión se logra estimar los retornos normales o esperados para cada día de la ventana de eventos: (-5, +5) y para cada uno de los 96 eventos.
En resumen, una vez se corrige la presencia de heterocedasticidad o autocorrelación de los errores estándar, se obtienen de nuevo los parámetros y se verifica que se cumplan las pruebas F de Fisher y t de Student. Posteriormente, se estiman los retornos normales o esperados usando como modelo generador de retornos el Modelo de Mercado.
Se debe mencionar que se asume la no presencia de valores atípicos. Cuando esto ocurre, la estimación por medio de MCO es más eficiente que la estimación por Theil-Sen según Shah et al. (2016).
5.Cálculo de los retornos anormales (AR) o abnormal returns. El retorno anormal es definido como el retorno actual ex post de la empresa en la ventana del evento menos el retorno normal o esperado de la empresa para cada día de la ventana del evento y para cada uno de los eventos.
Por lo tanto, los retornos anormales (ARit) se calculan como:

Donde:
ARit: retorno anormal para la empresa i en cada día en la ventana del evento
Rit: retorno de la empresa i en cada día t de la ventana del evento y para cada evento
E (): retorno esperado o normal de la empresa i en el día t, en la ventana del evento

6. Cálculo de los retornos anormales promedio (AAR) (average abnormal returns) y retornos anormales promedio acumulados (CAAR) (cumulative average abnormal returns). Esta metodología se centra en medir el impacto en los AAR en los días cercanos a la fecha del anuncio (t = 0), en la ventana del evento.
Los retornos anormales promedio del día t (AARt), para cada día en la ventana del evento, se calculan mediante la fórmula siguiente:

Donde:
AARt: retorno anormal promedio del día t para cada día de la ventana del evento
ARit: retorno anormal para la empresa i en cada día t de la ventana del evento N: número de eventos
Los retornos anormales promedio acumulados del día t (CAARt), para cada día en la ventana del evento, se calculan mediante la fórmula siguiente:

Donde:
CAARt: retorno anormal promedio acumulado hasta el día t en la ventana del evento
AARt: retorno anormal promedio del día t para cada día de la ventana del evento
Formulación de las hipótesis
Por tanto, según los objetivos planteados, la revisión del marco teórico y a partir de las variables consideradas como determinantes para definir los hechos esenciales, se formulan las siguientes hipótesis:
H1: no existen AAR estadísticamente significativos distintos de cero en el día del anuncio (t = 0), y sí existen retornos anormales promedio estadísticamente significativos distintos de cero en los días posteriores al día del anuncio.
H2: no existen CAAR estadísticamente significativos distintos de cero en el día del anuncio (t = 0), y sí existen retornos anormales promedio estadísticamente significativos distintos de cero en los días posteriores al día del anuncio.
Herramientas estadísticas para la contratación de las hipótesis
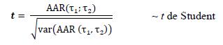
Para determinar la significancia estadística de los resultados en modelos generadores de retornos que utilizan mínimos cuadrados ordinarios (MCO), se aplica una prueba paramétrica planteada por MacKinlay (1997). Para probar la significancia estadística de los AAR se utiliza el estadígrafo (t), y se calcula para cada día de la ventana del evento, de acuerdo con la fórmula siguiente:

Donde los AAR son los calculados en la ventana del evento y la desviación estándar de los AAR se calcula con los datos obtenidos en la ventana de estimación.
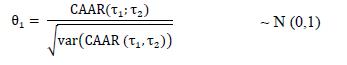
Ahora bien, para probar la significancia estadística de los CAAR se utiliza el estadígrafo (θ1), y se calcula a lo largo de la ventana del evento, de acuerdo con la fórmula siguiente:

La fórmula del estadígrafo (θ1) se puede explicar en términos simples como:
El numerador CAAR (T1; T2) corresponde a la suma de los AARt en la ventana del evento.
El denominador corresponde a la raíz cuadrada de la varianza de los retornos anormales promedios acumulados, CAAR (T1; T2), la cual se calcula de manera especial y se explica en detalle a continuación.
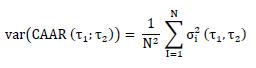
La varianza de los CAAR (T1; T2) se calcula de acuerdo con la siguiente fórmula:

A su vez, la varianza σ2(τ1, τ2) se calcula de acuerdo con la fórmula siguiente:

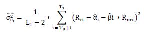
En el Modelo de Mercado, la varianza de los retornos anormales de cada evento-empresa en la ventana de estimación o varianza de los errores de estimación (σ2 ) se calcula de acuerdo con la siguiente fórmula:

Donde:
L1: número de datos de la ventana de estimación para cada evento
: sumatoria al cuadrado del retorno anormal de cada evento-empresa en la ventana de estimación
Al trabajar con la varianza de los errores de estimación (σ2 ), se mejora el desempeño de las pruebas estadísticas.
Cuando el número de eventos es pequeño (menor a 30), se recomienda aplicar pruebas no paramétricas adicionales a las pruebas paramétricas anteriores. Corrado (1989) desarrolla una prueba estadística no paramétrica denominada prueba de rangos (rank test), en la cual se asigna un rango a cada retorno anormal diario para cada empresa asociada a cada evento. Para probar la significancia estadística de los AAR se utiliza el estadígrafo (T2), que se calcula para cada día de la ventana del evento, de acuerdo con la fórmula siguiente:

Donde:
Kit: es el rango del retorno anormal ARit de la acción i en el periodo t, en la ventana de estimación más la ventana del evento.
N: número de eventos
L1: ventana de estimación L2: ventana del evento
S(K): desviación estándar, se calcula usando todos los retornos anormales ARit, transformados en rangos, tanto de la ventana de estimación como de la ventana del evento

Posteriormente, Cowan (1992) amplía la prueba de rangos para su aplicación a lo largo de la ventana del evento. Para probar la significancia estadística de los CAAR se utiliza el estadígrafo (ZR), y se calcula a lo largo de los días de la ventana del evento, de acuerdo con la siguiente fórmula:

Donde:
: el rango promedio a lo largo de los eventos y los d días de la ventana del evento
L1: ventana de estimación
L2: ventana del evento
d: día de la ventana del evento
S(K): desviación estándar, se calcula usando todos los retornos anormales ARit, transformados en rangos, tanto de la ventana de estimación como de la ventana del evento.
Incluir pruebas no paramétricas complementarias a las pruebas paramétricas ayuda a evidenciar la robustez de los resultados entregados por las pruebas para- métricas (MacKinlay, 1997), tal como han evidenciado Campbell & Wasley (1993).
RESULTADOS Y DISCUSIÓN
El hallazgo principal corresponde en determinar si el mercado accionario chileno se comportó o no de manera eficiente informacionalmente en forma semifuerte, en el período estudiado.
Aunque la ventana del evento es de (-5, +5), esta investigación se focaliza en una ventana (0, +5), la cual parte en el día del anuncio (t = 0), y termina en el día cinco (t = +5).
Sobre las adquisiciones
En la Gráfica 1 se observa la ventana de evento (-5, +5) de anuncios de adquisiciones, la cual muestra la relación entre los retornos anormales promedio (AARt) y retornos anormales promedio acumulados (CAARt). Se puede apreciar que el mayor AAR corresponde al día del anuncio (t = 0), lo que sugiere que la información enviada al mercado por medio de los anuncios tuvo en promedio una respuesta positiva en el precio de esas acciones, lo que crea en promedio valor en el mercado bursátil.

A continuación, se exponen los resultados obtenidos para la muestra de adquisiciones en la ventana del evento (0, +5) aplicando pruebas paramétricas, los cuales se resumen en la Tabla 3.

Tal como se muestra en la Tabla 3, en la ventana (0, +5) los AAR son positivos y estadísticamente significativos en el día del anuncio, día 0, pero también en el día inmediatamente posterior, día 1. Tal y como señala MacKinlay (1997), esto es probable que ocurra cuando algunos de los anuncios son realizados en el día del anuncio, día 0, pero cuando el mercado está cerrado, por tanto, el impacto en los retornos se refleja al día siguiente, día 1. Lo anterior fue verificado y no ocurre en este caso. También en el día 4 hay retornos anormales promedio negativos y estadísticamente significativos. En consecuencia, todo lo anterior indica que hubo una sobrerreacción y posterior ajuste del mercado bursátil ante estos anuncios. Por tanto, se acepta la hipótesis H1, lo cual no era lo que se esperaba, debido a que existen retornos anormales promedio estadísticamente significativos distintos de cero en los días posteriores al día del anuncio.
Por su parte, los CAAR positivos y crecientes después de la fecha del evento significan que el valor todavía se está creando a través de aumentos de precios, lo que apunta a la ineficiencia del mercado en términos de la asimilación completa de las buenas noticias sorpresivas (Fama, 1970). Si el mercado es eficiente, la nueva información debería ser internalizada rápidamente en los precios de mercado. Por lo tanto, los CAAR también deberían estabilizarse con rapidez.
La Tabla 3 también muestra que los CAAR son positivos y estadísticamente significativos en el día del anuncio o día 0, como también desde el día +1 hasta el día +4. Por tanto, no se rechaza la hipótesis H2, lo cual no que era lo que se esperaba, debido a que existen retornos anormales promedio acumulados estadísticamente significativos distintos de cero en los días posteriores al día del anuncio.
Sobre las fusiones
En la Gráfica 2 se muestra la ventana de evento (-5, +5) de anuncios de fusiones, al igual que en la gráfica anterior se muestra la relación entre los AARt y CAARt. Se observa claramente que el mayor AAR corresponde al día del anuncio (t = 0), lo que sugiere que la información enviada al mercado por medio de los anuncios de fusiones también tuvo una percepción en promedio positiva en el precio de esas acciones, y creó en promedio valor en la cotización bursátil.

Ahora bien, los resultados obtenidos para la muestra de fusiones en la ventana del evento (0, +5), aplicando pruebas paramétricas, se resumen en la Tabla 4.

Tal como se presenta en la Tabla 4, en la ventana (0, +5) los AAR son positivos y estadísticamente significativos en el día 0, además son negativos y estadísticamente significativos en el día 3. Todo lo anterior indica que hubo una sobrerreacción y posterior ajuste del mercado bursátil ante estos anuncios, al igual que en el caso de las adquisiciones. En un mercado eficiente se espera encontrar AAR estadísticamente significativos solo en el día del anuncio, es decir en el día 0. Por tanto, no se rechaza H1, lo cual no era lo que se esperaba, debido a que existen retornos anormales promedio estadísticamente significativos distintos de cero en los días posteriores al día del anuncio.
En cuanto a los CAAR, son positivos y estadísticamente significativos en el día del anuncio, día 0, pero también desde el día +1 al día +4. Por ende, tampoco se rechaza H2, lo cual no era lo que se esperaba, debido a que también existen retornos anormales promedio acumulados estadísticamente significativos distintos de cero en los días posteriores al día del anuncio. Este resultado no va en la misma línea que un mercado eficiente en forma semifuerte.
Por otro lado, se debe reconocer que la muestra de 11 anuncios o eventos de fusiones es pequeña. Por tanto, se recomienda aplicar pruebas no paramétricas adicionales a las pruebas paramétricas anteriores. En consecuencia, vamos a aplicar la prueba de rangos de Corrado (1989) para los AAR y la prueba de rangos de Cowan (1992) para los CAAR.
A continuación, se presentan los resultados obtenidos para la muestra de fusiones en la ventana del evento (0, +5) aplicando pruebas no paramétricas, esto se resume en la Tabla 5.

Como se muestra en la Tabla 5, según la prueba de rangos de Corrado (1989), en la ventana (0, +5) los retornos anormales promedio (AAR) son positivos y estadísticamente significativos, en el día del anuncio, día 0, y negativos y estadísticamente significativos en el día 3 y día 5. Al igual que en los casos anteriores, el mercado muestra una sobrerreacción en el día del anuncio y posteriormente un ajuste de precios. Por lo tanto, tampoco se rechaza H1, lo cual no era lo que se esperaba, debido a lo explicado. Lo anterior indica que el mercado no se comportó eficientemente en el caso de anuncios de fusiones, aplicando una prueba no paramétrica.
Analizando los retornos anormales promedio acumulados (CAAR), estos son positivos y estadísticamente significativos en el día del anuncio, día 0; además son negativos y estadísticamente significativos en el día +3, día +4 y día +5. Lo cual indica que el mercado estaba tratando de regularse a un nivel de precios apropiado. Aquí tampoco se rechaza H2, lo cual no era lo esperable. Para que el mercado sea eficiente, se espera encontrar CAAR estadísticamente significativos solo en el día 0, que es el día del anuncio. Lo cual aquí no ocurre.
CONCLUSIONES
Según los objetivos planteados, en este estudio se investigó la eficiencia informacional del mercado bursátil chileno en el periodo 2001-2018. La muestra ha sido de 85 anuncios de hechos esenciales o eventos de adquisiciones y de 11 anuncios de hechos esenciales o eventos de fusiones llevados a cabo por las empresas que componen el Índice de Precios Selectivo de Acciones (IPSA) de la Bolsa de Comercio de Santiago (BCS) en el año 2018. Tal y como se ha contrastado por la doctrina académica, se aplicó la metodología de estudio de eventos y se utilizó como modelo generador de retornos el modelo de mercado. En ambas muestras se aplicaron pruebas paramétricas. En el caso de las fusiones, adicionalmente se aplicó una prueba no paramétrica debido al pequeño tamaño de la muestra, la cual reforzó los resultados de la prueba paramétrica.
Los resultados de contraste de las hipótesis mediante la prueba estadística t de Student indican que el mercado no se comportó de manera eficiente en forma semifuerte, en el caso de anuncios de adquisiciones y los retornos anormales promedios acumulados (CAAR) también deberían estabilizarse rápidamente.
Así mismo, los CAAR son positivos y estadísticamente significativos en el día del anuncio o día 0 hasta el día 4+ lo que corrobora la hipótesis H2 y, por tanto, se puede afirmar que el mercado sigue asimilando la información de los anuncios en forma parcial en esos días, y no de una sola vez. Lo anterior refuerza la idea de que el mercado no se comportó de manera eficiente en forma semifuerte en el caso de anuncios de adquisiciones.
En el caso de las fusiones, se ha demostrado que el mercado no se comportó eficientemente en forma semifuerte en el caso de anuncios de fusiones y los CAAR son positivos y estadísticamente significativos en el tiempo por lo que el mercado sigue asimilando la información de los anuncios de fusiones en forma parcial en esos días.
A la vista de los resultados se aplicaron pruebas paramétricas que han reforzado el contraste de las dos hipótesis formuladas, por lo que cabe concluir que en el caso de los anuncios de fusiones, aplicando pruebas paramétricas y posteriormente pruebas no paramétricas, se llega a similar conclusión; el mercado bursátil no fue eficiente en su forma semifuerte. Por tanto, de acuerdo con los objetivos planteados y contrastadas las hipótesis, los resultados obtenidos en esta investigación permiten afirmar que, en ambas muestras, el mercado bursátil chileno no se comportó de manera eficiente informacionalmente en forma semifuerte en el período estudiado. En este sentido, se produce una sobrerreacción y posteriormente un ajuste en el precio de las acciones cuando la nueva información contenida en los hechos esenciales, acerca de las adquisiciones y fusiones es comunicada al mercado bursátil. Lo que significa que el precio de los activos financieros no refleja el valor justo o valor intrínseco, por tanto, los activos transados pueden estar sobrevalorados o infravalorados. Lo anterior va en línea con los trabajos de Agudelo & Gutiérrez (2011), de Simões et al. (2012), y Améstica et al. (2017).
En relación con la metodología aplicada, es posible que el evento haga aumentar la volatilidad de los retornos en la fecha del anuncio. Por tanto, en futuros estudios se propone usar el Test BMP, desarrollado por Boehmer et al. (1991).
Por otro lado, en el mercado bursátil chileno, los principales inversionistas de tipo institucional son las administradoras de fondos de pensiones (AFP), las cuales son empresas privadas que gestionan los recursos aportados por los trabajadores durante su vida laboral destinados a financiar futuras pensiones de jubilación, las cuales actualmente son muy bajas. Por lo tanto, en consonancia con los resultados de esta investigación, es altamente recomendable que las AFP reorienten sus inversiones hacia activos financieros cotizados únicamente en mercados eficientes, ya que solo en estos los precios reflejan su valor justo, lo que puede influir positivamente en mayores pensiones y con ello resolver un descontento social latente.
Cabe señalar como futura línea de investigación la aplicación del modelo de tres factores de Fama & French (1993) y del modelo de cinco factores de Fama y French (2015) como modelos generadores de retornos que suponen una mejor predictibilidad de estos, tanto a este y a otros tipos de eventos a nivel país y entre países. Como también analizar la eficiencia por subperíodos, lo que contribuye a evaluar la evolución de la eficiencia del mercado bursátil en el tiempo. Finalmente, una proposición para mejorar la eficiencia de los mercados accionarios es promover un mayor crecimiento del mercado de instrumentos derivados en Chile.
AGRADECIMIENTOS, CONFLICTOS DE INTERÉS Y FINANCIACIÓN
Se agradecen los comentarios oportunos de los evaluadores que han mejorado el trabajo. Esta investigación no ha recibido ninguna financiación. Doctora Herenia Gutiérrez-Ponce, autor de correspondencia. Los autores declaran no tener ningún conflicto de interés potencial.
REFERENCIAS
Acuña, C., & Álvarez, A. (2017). Dependencia serial de largo plazo en el índice bursátil chileno, a través del coeficiente de Hurst y Hurst ajustado. Journal of Economics, Finance and Administrative Science, 22(42), 37-50. https://doi.org/10.1108/jefas-02-2017-0047
Agudelo, D., & Gutiérrez, A. (2011). Anuncios macroeconómicos y mercados accionarios: el caso latinoamericano. Academia. Revista latinoamericana de Administración, (48), 46-60. https://doi.org/10.2139/ssrn.2407178
Ali, A., Klasa, S., & Li, O. (2008). Institutional stakeholdings and betterinformed traders at earnings announcements. Journal of Accounting and Economics, 46(1), 47-61. https://doi.org/10.1016/j.jacceco.2008.06.001.
Alonso, J., & Arcila, A. (2014). Semi-strong efficiency in the International Sugar Market during the period 2001-2011. Cuadernos de Economía, 33(62), 145-161. https://doi.org/10.15446/cuad.econ.v33n62.43670
Améstica, L., Campos, D., & Cornejo, E. (2017). Anuncio de fusiones y adquisiciones y su efecto en los retornos accionarios: Chile, 2010-2014. Cuadernos de Administración, 30(54), 39-64. https://doi.org/10.11144/javeriana.cao30-54.afae
Bajo, E. (2010). The information content of abnormal trading volume. Journal of Business Finance and Accounting, 37(7-8), 950-978. https://doi.org/10.1111/j.1468-5957.2010.02197.x
Ball, R., & Brown, P. (1968). An empirical evaluation of accounting income numbers. Journal of accounting research, 6(2), 159-178. https://doi.org/10.2307/2490232
Banco Central de Chile (2021). Cuentas Nacionales de Chile. https://www.bcentral.cl/web/banco-central/areas/estadisticas/cuentas-nacionales-anuales
Bamber, L., Barron, O., & Stevens, D. (2011). Trading volume around earnings announ- cements and other financial reports: Theory, research design, empirical evidence, and di- rections for future research. Contemporary Accounting Research, 28(2), 431-471. https://doi.org/10.1111/j.1911-3846.2010.01061.x
Barron, O., Harris, D., & Stanford, M. (2005). Evidence that investors trade on private event-pe- riod information around earnings announcements. The Accounting Review, 80(2), 403-421. https://doi.org/10.2308/accr.2005.80.2.403
Bhagat, D., Malhotra, S., & Zhu, P. (2011). Emerging country cross-border acquisitions: Characteristics, acquirer returns, and cross-sectional determinants. Emerging Markets Review, (12), 250-271. https://doi.org/10.2139/ssrn.1571349
Boehmer, E., Musumeci, J., & Poulsen, A.B. (1991). Event-study methodology under con- ditions of event-induced variance. Journal of financial economics, 30, 253-272. https://doi.org/10.1016/0304-405X(91)90032-F
Campbell, J., Lo, A., & Mackinlay, A. (1997). The econometrics of financial markets. Princeton University Press. https://doi.org/10.1515/9781400830213
Campbell, C., & Wesley, C. (1993). Measuring security price performance using daily NASDAQ returns. Journal of financial economics, 33(1), 73-92. https://doi.org/10.1016/0304-405x(93)90025-7
Caporale, G., Gil-Alana, L., & Plastun, A. (2018). Short-term Price overreactions: Identification, testing, exploitation. Computational Economics, 51(4), 913-940. https://doi.org/10.2139/ssrn.2526817
Corrado, C. (1989). A nonparametric test for abnormal security-price performance in event studies. Journal of Financial Economics, 23(2), 385-395. https://doi.org/10.1016/0304-405x(89)90064
Cowan, A. (1992). Nonparametric event study tests. Review of Quantitative Finance and Accounting, 2(4), 343-358. https://doi.org/10.1007/bf00939016
Cready, W., & Hurtt, D. (2002). Assessing investor response to information events using return and volume metrics. The Accounting Review, 77(4), 891-909. https://doi.org/10.2308/accr.2002.77.4.891
Del Brío, E., De Miguel, A., & Tobar, J. (2010). Efectos de la regulación bursátil sobre la eficiencia de los mercados de valores. Comparación entre España y Reino Unido. Revista Española de Financiación y Contabilidad, 39(146), 321-348. https://doi.org/10.1080/02102412.2010.10779684
Fama, E. (1970). Efficient capital markets: A review of theory and empirical work. The Journal of Finance, 25(2), 383-417. https://doi.org/10.2307/2325486
Fama, E. (1991). Efficient Capital Markets: II. Journal of Finance, 46(5), 1575-1617. https://doi.org/10.1111/j.1540-6261.1991.tb04636.x
Fama, E., Fisher, L., Jensen, M., & Roll, R. (1969). The adjustment of stock prices to new information. International economic review, 10(1), 1-21. https://doi.org/10.2307/2525569
Fama, E., & French, K. (1993). Common risk factors in the returns on stocks and bonds. Journal of Financial Economics, 33(1), 3-56. https://doi.org/10.1016/0304-405x(93)90023-5
Fama, E., & French, K. (2015). A five-factor asset pricing model. Journal of Financial Economics, 116(1), 1-22. https://doi.org/10.1016/j.jfineco.2014.10.010
Flannery, M. J., & Protopapadakis, A. A. (2002). Macroeconomic factors do influence aggregate stock returns. The Review of Financial Studies, 15(3), 751-782. https://www.jstor.org/stable/2696720
Fuenzalida D., Mongrut, S., Nash, M., & Tapia, J. (2006). Tender offers in South America: Are abnormal returns really high? Estudios Gerenciales, (101), 13-36. http://www.scielo.org.co/scielo.php?script=sci_arttext&pid=S0123-59232006000400001&lng=en&tlng=en.
George, T. J., & Hwang, C. Y. (2004). The 52-week high and momentum investing. The Journal of Finance , 59(5), 2145-2176. https://ssrn.com/abstract=1104491
Gomes, L., Soares, V., Gama, S., & Matos, J. (2018). Longterm memory in Euronext stock indexes returns: An econophysics approach. Business and Economic Horizons, 14(4), 862-881. https://doi.org/10.15208/beh.2018.59
González Araya, M., & Roca Vera, A. (2012). Efecto de cambios de gerentes generales y presidentes de directorio en el valor de la firma para el mercado chileno, periodo 2001-2011. Estudios de Administración, 19(2), 69-112. https://repositorio.uchile.cl/handle/2250/140471
Hong, H., & Stein, J. C. (2007). Disagreement and the stock market. Journal of Economic Perspectives, 21(2), 109-128. https://doi.org/10.1257/jep.21.2.109
Jackson, L. (2015). Market reaction to bidder announcements of horizontal mergers in an oligopolistic industry: Evidence from the US airline industry. Tourism Economics, 21(6), 1255-1271. https://doi.org/10.5367/te.2014.0401
Jareño, F. (2009). El impacto de la publicación del IPC sobre el mercado bursátil español. Información Comercial Española, Revista de Economía, 851, 109-120. https://dialnet.unirioja.es/servlet/revista?codigo=677&info=open_link_revista
Kinateder, H., Fabich, M., & Wagner, N. (2017). Domestic mergers and acquisitions in BRICS countries: Acquirers and targets. Emerging Markets Review, 32, 190-199. https://doi.org/10.1016/j.ememar.2017.06.005
MacKinlay, A. (1997). Event studies in economics and finance. Journal of Economic literature, 35(1), 13-39. http://www.jstor.org/stable/2729691.
Mamede, S., & Malaquias, R. (2017). Monday effect in Brazilian hedge funds with immediate redemption. Research in International Business and Finance, 39, 47-53. https://doi.org/10.1016/j.ribaf.2016.07.032
Mazzoli, M., & Barducci, C. (2009). Testing exchange rate efficiency: The case of eurodollar. International Review of Applied Economics, 23(4), 521-540. https://doi.org/10.1080/02692170902954817
Melo, F., & Fonseca, M. (2015). Política de dividendos no Brasil: uma análise na reação do mer- cado a anúncios de distribuição de proventos. Revista Contemporânea de Contabilidade, 12(27), 137-164. https://doi.org/10.5007/2175-8069.2015v12n27p137
Rose, C., & Søpstad, N. (2015). Reactions to corporate insider’s transactions: Do legal stock market disclosure rules have an impact? European Journal of law and Economics, 40(2), 247-272. https://doi.org/10.1007/s10657-014-9475-7
Shah, S. H., Rehman, A., Rashid, T., Karim, J., & Shah, S. (2016). A comparative study of ordinary least squares regression and Theil-Sen regression through simulation in the presence of outliers. lasbela, U. J. Sci. Technol., V, 137-142.
Sharpe, W. (1963). A simplified model for portfolio analysis. Management Science, 9(2), 277-293. https://doi.org/10.1287/mnsc.9.3.498
Sierra, K., Duarte, J., & Rueda, V. (2015). Predictability of returns in the Colombian stock market and the adaptive market hypothesis. Estudios Gerenciales, 31(137), 411-418. https://doi.org/10.1016/j.estger.2015.05.004
Simões, M., Macedo-Soares, T., Klotzle, M., & Pinto, A. (2012). Assessment of market efficien- cy in Argentina, Brazil and Chile: An event study of mergers and acquisitions. BAR-Brazilian Administration Review, 9(2), 229-245. https://doi.org/10.1590/s1807-76922012000200007
Sloan, R. G. (1996). Do stock prices fully reflect information in accruals and cash flows about future earnings? Accounting Review, 289-315. https://www.jstor.org/stable/248290
Soares, N., & Stark, A. (2009). The accruals anomaly-can implementable portfolio strategies be developed that are profitable net of transactions costs in the UK? Accounting and Business Research, 39(4), 321-345. https://doi.org/10.1080/00014788.2009.9663371
Yang, S., Lin, L., Chou, D., & Cheng, H. (2010). Merger drivers and the change of bid- der shareholders' wealth. The Service Industries Journal, 30(6), 851-871. https://doi.org/10.1080/02642060801911110
Young, M., & Bacon, F. (2012). The federal open market committee and the Federal funds rate: A test of market efficiency. Academy of Banking Studies Journal, 11(2), 81-120.
Yu, S. (2012). New empirical evidence on the investment success of momentum strategies based on relative stock prices. Review of Quantitative Finance and Accounting, 39(1), 105-121. https://doi.org/10.1007/s11156-011-0242-3
Notes