Artículo
Trayectorias del desempleo urbano en México
Urban Unemployment Paths in Mexico
Trayectorias del desempleo urbano en México
Revista Latinoamericana de Población, vol. 6, núm. 10, pp. 5-30, 2012
Asociación Latinoamericana de Población
Resumen: Desde el comienzo de la crisis económica global de 2009, los analistas laborales han prestado atención especial a lo que sucede con el desempleo abierto en México. Actualmente, el número de personas que buscan un empleo sin encontrarlo es elevado (conforme a la tendencia mexicana) y ha permanecido así por más tiempo que en otras ocasiones en el pasado reciente. En este trabajo, inicialmente, contextualizamos las cifras actuales con respecto a lo sucedido en el país en otros momentos históricos, a la vez que ofrecemos información para respaldar la validez de nuestras estimaciones sobre desempleo abierto. En un segundo momento, examinamos los niveles y factores asociados al desempleo urbano mediante la aplicación de un modelo estadístico multinivel de curvas de crecimiento, el cual permite profundizar en la trayectoria trimestral seguida por la desocupación estimando el peso de factores económicos y sociodemográficos en sus niveles y evolución.
Palabras clave: desempleo, crisis económica, análisis multinivel, trayectorias.
Abstract: Since the onset of the global economic crisis of 2009, labor analysts have paid special attention to what happens with open unemployment in Mexico. Currently, the number of people seeking a job without finding it is high (according to Mexican standards) and it has remained so for a longer period of time than in the recent past. In this article, we initially contextualize the current figures as to what happened in the country in other historical moments, while we provide information to support the validity of our estimates of open unemployment. In a second step, we examine the levels and factors associated with urban unemploment by applying a model of growth curves, which can permit to deepen our understanding of the quarterly paths followed by unemployment, estimating the weight of economic and sociodemographic factors in their levels and evolution.
Keywords: unemployment, economic crisis, multilevel analysis, trajectories.
Introducción
La crisis económica global que se instaló plenamente en México en 2009 ha llevado a los analistas laborales a prestar atención especial a lo que sucede con el desempleo abierto. Es frecuente, en nuestro caso, que el mayor interés lo despierten las condiciones laborales deficitarias, porque tradicionalmente los indicadores de desempleo abierto en México se han mantenido en niveles bajos. Esta situación ha cambiado con la crisis de finales de los años 2000, porque el número de personas que buscan un empleo sin encontrarlo es elevado (conforme a la tendencia mexicana) y ha permanecido así por más tiempo que en otras ocasiones en el pasado reciente. En este trabajo pretendemos darle fundamento a estas apreciaciones y, además, explorar la pertinencia de diversas hipótesis sobre las principales características que reviste el desempleo en el país.
En una primera sección analizamos las tendencias que ha presentado el desempleo abierto en los últimos lustros y hacemos hincapié en lo sucedido durante la crisis de 1995 en comparación con la de 2009, pues ambas se han caracterizado –entre otros aspectos– por un descenso pronunciado del producto interno bruto, pero difieren en sus orígenes y en las posibilidades que se han presentado para remontarlas. En esta parte también consideramos importante volver a discutir el punto de partida sobre la manera en que medimos el desempleo abierto en México en relación con el modo de medirlo en otras sociedades no desarrolladas y desarrolladas. Nuestro objetivo aquí es contextualizar las cifras actuales con respecto a lo sucedido en el país en otros momentos históricos, a la vez que ofrecemos información para respaldar la validez de nuestras estimaciones sobre desempleo abierto.
Un segundo apartado de este artículo está dedicado al estudio de la evolución del desempleo en las principales ciudades del país. Con datos trimestrales (años 2005-2010) de la Encuesta Nacional de Ocupación y Empleo (ENOE), examinamos los niveles y factores asociados al desempleo urbano mediante la aplicación de un modelo estadístico multinivel de curvas de crecimiento, el cual permite profundizar en la trayectoria trimestral seguida por la desocupación estimando el peso de factores económicos y sociodemográficos en sus niveles y evolución. Los factores considerados son: la especialización manufacturera, el tamaño de los establecimientos, la participación femenina en la fuerza de trabajo, la edad y la escolaridad de la mano de obra. Así, se examina hasta qué grado los factores ligados a la demanda laboral y los individuales de orden sociodemográfico juegan un papel en el desempeño del desempleo urbano.
Finalmente, en la discusión y consideraciones finales hacemos un balance sobre las características que reviste el desempleo en el momento actual y la medida en que estas se asemejan o se diferencian de las tendencias pasadas. Asimismo, buscamos resaltar la importancia de nuestros resultados en el marco de los estudios previos. Se trata de un balance necesario, no solo por su posible aporte para el conocimiento alcanzado, sino por su eventual utilidad para la evaluación de la política laboral vigente.
Tendencias históricas del desempleo abierto en México
Conocemos con regularidad el nivel que ha alcanzado el desempleo abierto en el país desde comienzos de los años 1990, cuando se estableció el inicio de la serie más comparable de encuestas de empleo en el ámbito nacional. Con anterioridad a esa fecha, las estimaciones eran más escasas y no estrictamente comparables, y muchas se referían a las principales áreas metropolitanas y a un grupo adicional de ciudades elegidas por el Instituto Nacional de Estadística y Geografía (e Informática, en ese entonces) (INEGI).
Algunos recuentos y análisis importantes de mediano y corto plazo sobre el desempleo en México pueden hallarse en Rendón y Salas, 1993; Martin, 2000; Salas, 2007; Samaniego, 2009; Calderón-Madrid, 2010; Negrete Prieto, 2011. En estos y otros estudios se abordan las principales características del desempleo mexicano, algunas de las cuales son compartidas con otros países en desarrollo. Dado que no existe en el país un seguro de desempleo (solo en el Distrito Federal se ofrece a partir de 2007 esta compensación por un reducido lapso de tiempo), es frecuente que las personas más necesitadas no puedan permanecer mucho tiempo desempleadas y que ellas mismas creen fuentes de ingreso que, la mayoría de las veces, son muy precarias. En este contexto, hay que recordar que los trabajadores con empleos más formalmente establecidos (asalariados con mejores ingresos relativos y prestaciones sociales) no alcanzan a representar la mitad de la fuerza de trabajo del país, de modo que la tradición de búsqueda de soluciones económicas por cuenta propia o sin cobertura social está muy arraigada en México (véase sobre este punto la argumentación de Bayón, 2006).
Lo anterior influye para que el desempleo en el país tenga niveles reducidos, que sea de carácter friccional o coyuntural y más característico de las áreas urbanas y que se produzcan frecuentemente movimientos hacia dentro y fuera del mercado de trabajo. Asimismo, los jóvenes, hijos e hijas en las familias residenciales, muchas veces con escolaridad media o superior, desafortunadamente están bien representados entre los desempleados/ as, puesto que son quienes a veces están en mejor posición de esperar por un empleo que corresponda a sus expectativas. Finalmente, se suele señalar que la válvula de escape que representa la migración internacional hacia los Estados Unidos tradicionalmente ha contribuido a mantener en niveles bajos nuestros niveles de desempleo abierto (véanse Salas, 2007; Samaniego, 2009; Negrete Prieto, 2011). En este contexto, nos interesa profundizar en el análisis del desempleo ante diversas coyunturas económicas; pero, primero, es importante precisar la manera en que se mide el desempleo en México y los cambios que ha experimentado esta medición en las últimas décadas.
La medición del desempleo en México
En los diferentes tipos de diagnóstico, es común que México se ubique entre los países de América Latina con más bajos niveles de desempleo abierto. En un análisis sobre desempleo urbano realizado por la Comisión Económica para América Latina (CEPAL) para los años 1990-2000, México exhibía tasas que fluctuaban entre 2.2 y 6.2%, en comparación con países como Brasil (tasas entre 4.3 y 7.6%) y Argentina (tasas entre 6.5 y 17.5%) (CEPAL, 2000-2001). En los años 2000, México ha tenido tasas de desempleo urbano que han variado entre 3.4 y 6.5%, en comparación con Brasil (entre 6.2 y 12.3%) o Argentina (entre 7.9 y 19.7%) (véase OIT, 2010, Anexo: Cuadro 1).
En vista de lo anterior, es frecuente que se conjeture sobre la validez de la comparabilidad entre nuestras fuentes de información y las utilizadas en otros países no desarrollados y desarrollados, en particular en lo que se refiere a las definiciones de empleo y desempleo de las que partimos (véanse Rendón y Salas, 1993; Martin, 2000; Negrete Prieto, 2011). En México se ha adoptado el criterio de considerar como empleada a aquella población que ha desempeñado cualquier ocupación al menos una hora en la semana anterior a los levantamientos de información. De manera complementaria, se define como desempleadas a aquellas personas que no han trabajado ni siquiera una hora en la semana de referencia, pero que, además, han buscado activamente empleo sin encontrarlo. Estos criterios expanden la posibilidad de ser considerado como ocupado –y, por consiguiente, reducen la de ser registrado como desocupado–, pero se trata de una recomendación de la Organización Internacional del Trabajo (OIT) también adoptada en muchos otros países.1 Además de lo anterior, otros criterios seguidos en las definiciones mexicanas de empleo y desempleo han causado controversia a lo largo del tiempo.
En nuestras encuestas se considera como empleada a una persona que declara tener trabajo pero que no asistió al mismo en el período de referencia por razones como huelgas, enfermedad, vacaciones, término de temporada de cultivo y otras (ausentes temporales). En las primeras series de encuestas de empleo (hasta 2004) también eran clasificadas como empleadas aquellas personas que no estaban trabajando pero que declaraban que iban a iniciar un empleo en las próximas cuatro semanas (iniciadores de un próximo trabajo). En algunas de estas situaciones resulta difícil clasificar a estos trabajadores como empleados o desempleados. Martin (2000) estimó el número de ausentes temporales y de iniciadores para los años 1990 y concluyó que la tasa de desempleo para esos años se elevaría 1.6 puntos porcentuales en caso de que a la mayor parte de ellos se los clasificara como desempleados, siguiendo los procedimientos que se utilizaban en los Estados Unidos (la estimación oficial del desempleo en México en esos años fue de 3.7%).2 No obstante lo anterior, este autor califica a los resultados de este ejercicio como un sobreajuste de la información mexicana, porque no se contaba entonces con información necesaria sobre búsqueda activa de trabajo en todos los casos, la cual resultaría necesaria para clasificar a una persona como desempleada o como fuera del mercado laboral.
A partir de 2005 se pone en marcha una nueva serie de encuestas de empleo en el país (Encuesta Nacional de Ocupación y Empleo –ENOE–) en la que ya no se consideraron como automáticamente ocupadas a las personas que iniciarían un trabajo en las próximas cuatro semanas y, además, se modificaron varios aspectos referentes a los ausentes temporales para hacer comparable la información mexicana con la de otros países, principalmente los de la Organización para la Cooperación y el Desarrollo Económicos (ENOE) (véanse Salas, 2007; Negrete Prieto, 2011). Partiendo de estas y otras modificaciones, el Instituto Nacional de Estadística y Geografía (INEGI) ha elaborado series de tasas de desempleo en las que se ajusta la información de las antiguas encuestas para hacerla comparable con las nuevas, especialmente a partir de 1995. Estas series son las que utilizamos en este trabajo.
En síntesis, algunos criterios que fueron utilizados en las encuestas mexicanas en el pasado favorecerían una estimación reducida del desempleo abierto, pero dichos criterios fueron modificados y ahora contamos con nuevas series que toman en cuenta los cambios efectuados.
El desempleo ante diversas coyunturas económicas
Un punto de partida que tradicionalmente despierta interés es la relación entre las tendencias del desempleo abierto y las del producto interno bruto (PIB), y varios autores han demostrado, para diversos países de América Latina, la importancia de esta relación.3 Por considerarlos relevantes, en esta sección de descripción inicial examinamos algunos datos sobre la evolución del producto interno bruto (PIB) y el desempleo, y también hacemos alusión a los empleos formales creados en el Instituto Mexicano del Seguro Social (IMSS) en los últimos lustros (véanse los Cuadros 1.A, 2.A y 3.A del Anexo).4
Al analizar este conjunto de datos, es importante retener que los datos del Instituto Mexicano del Seguro Social (IMSS) constituyen un registro directo de la creación (o destrucción) de empleos formales que cuentan con el respaldo de la seguridad social ante enfermedades, incapacidad o vejez. En cambio, hemos visto que las tasas de desempleo son indicadores (estimados casi siempre por medio de encuestas) de las personas que buscan activamente un empleo sin encontrarlo. En situaciones económicas y sociales particulares, puede darse el caso de algún aumento de los empleos formales sin que esto necesariamente lleve a reducir las tasas de desempleo. Esto nos estaría indicando que dicho incremento ha sido insuficiente, o también que la búsqueda infructuosa de empleos ha aumentado entre algunos sectores de la población.
Desde los años 1980, México cambia su estrategia de desarrollo económico. Como se sabe, esa fue una década de crisis y ajuste, la cual desembocó en una reestructuración económica que se centró en la apertura de los mercados, la reducción del papel del Estado en la economía y el fomento especial de las exportaciones, principalmente hacia los Estados Unidos. Los resultados de dicha estrategia tres décadas después muestran que el producto interno bruto (PIB) ha crecido de manera modesta y que su evolución ha sido inestable. En las décadas de 1990 y de 2000 destaca la ocurrencia de crisis económicas de magnitud considerable, principalmente en 1995 y 2009. En esos años el producto descendió de manera importante, aunque las causas (y consecuencias) de uno y otro episodio han sido distintas (véanse el Cuadro 2.A del Anexo y el análisis de Samaniego, 2009).5 En particular, resulta útil recordar que la crisis de 1995 tuvo un origen interno, en el marco de una economía mundial que todavía se encontraba pujante; en cambio, el epicentro de la segunda crisis tuvo lugar precisamente en los Estados Unidos, país al que se dirigen la mayor parte de nuestras exportaciones.
A pesar de la profundidad de la crisis de 1995, las diversas medidas que se pusieron en marcha para enfrentarla llevaron a una relativamente rápida recuperación del producto en los años subsiguientes (Cuadro 2.A). Por su parte, las series de tasas de desempleo ajustadas con que contamos indican que se alcanzó un nivel muy alto en 1995 (6.9%), pero que, a partir de allí, el desempleo inició una clara tendencia descendente hasta alcanzar un mínimo al final de esa década (Cuadro 3.A). Además, se crearon más de 800 mil empleos formales ya en el año 1996, aunque hay que destacar que durante todo 1995 los trabajadores registrados en el Instituto Mexicano del Seguro Social (IMSS) estuvieron por debajo de los 10 millones (Cuadro 1.A). Este importante ritmo de recuperación en todos estos indicadores después de la crisis de mediados de los años 1990 ha sido atribuido a la solidez de la economía y del consumo estadounidenses en esos años, que llevaron a que creciera de forma significativa la demanda de nuestras exportaciones (Samaniego, 2009).
Al comparar lo sucedido en los noventa con el estallido de la crisis de 2008-2009, Samaniego (2009) vaticinaba que esta última afectaría de manera más prolongada al empleo por diversas razones. Al finalizar la década de 2000, la economía de los Estados Unidos se encontraba especialmente debilitaba, y con ello la demanda de nuestros productos de exportación. Asimismo, esta difícil situación afectaría la válvula de escape de la migración internacional, por lo que esta no funcionaría de la misma manera en la que lo había hecho en el pasado. Finalmente, Samaniego sostenía que a fines de la década de 2000 el mercado interno mexicano tampoco era lo suficientemente fuerte como para contrabalancear lo que ocurría fuera del país.
Al contar nosotros actualmente con cifras del producto y del empleo para el período 2008-2010, podemos observar que se confirman algunas de las tendencias indicadas por Samaniego. La recuperación de la crisis de 2009 se advierte en las tendencias del producto afortunadamente desde el primer trimestre de 2010 (Cuadro 2.A). Por su parte, los empleos formales –que, al igual que en la ocasión anterior, se vieron especialmente afectados– también se incrementaron durante 2010 (en ese año se crearon poco más de 700 mil plazas, frente a pérdidas análogamente cuantiosas en el año precedente).6 En cambio, las tasas de desempleo no han mostrado signos igualmente alentadores de recuperación, pues han estado por encima del 5% durante todo 2009, 2010 y los primeros trimestres de 2011 (Cuadro 3.A y Gráfico 1). Estos porcentajes representan entre 2,2 y 2,9 millones de trabajadores desempleados desde que se inició la última crisis, según las cifras de la Encuesta Nacional de Ocupación y Empleo (ENOE).7 En números absolutos, nunca antes tantos mexicanos y mexicanas buscaron activamente una ocupación o empleo sin encontrarlo.
Gráfico 1. Tasas de desempleo y empleos formales en el IMSS. México. Años 1995-2011

Además, llama la atención la tendencia ascendente en la evolución del desempleo abierto en el país en los años 2000 tomados en su conjunto (Gráfico 1). Este desplazamiento hacia arriba de las tasas de desempleo tiene lugar a pesar de que durante la década de 2000 se tuvieron algunos años de relativa bonanza económica. Ha despertado interés no solo esta tendencia general, sino el hecho de que el impacto de la crisis de 2008-2009 puede haber sido más generalizado que en otras ocasiones en cuanto a los sectores de la población afectados por el desempleo. Coubès (2009) ha puntualizado que, al contrario de lo que se vio en el pasado, en estos años el desempleo masculino llegó a superar al femenino y que los desempleados se expandieron entre los jefes y no jefes de hogar y entre los trabajadores residentes en áreas menos y más urbanizadas y con diferentes niveles de escolaridad.
En resumen, el problema del desempleo abierto está recrudeciendo en el país, aunado a un aumento también muy relevante de los desocupados desalentados y de la permanencia de importantes niveles de precariedad entre los trabajadores ocupados en lo que respecta a niveles de ingresos, falta de seguridad e inestabilidad laboral (véase García, 2010). Ante esta situación, el ritmo de creación de empleos formales se insinúa como notoriamente insuficiente para la cantidad de personas que busca activamente un puesto de trabajo sin encontrarlo.
Trayectorias de desempleo en las principales ciudades mexicanas
Con el paso de los años, se ha ido gradualmente incrementando el conocimiento existente sobre los mercados de trabajo locales mexicanos. Todavía se trata de un conocimiento hasta cierto punto parcial, puesto que los estudios muchas veces se han centrado en las principales áreas metropolitanas, Ciudad de México, Guadalajara y Monterrey, o en las ciudades fronterizas con los Estados Unidos, en comparación con el resto de las áreas urbanas del país. En años más recientes se llevaron a cabo investigaciones de corte sociodemográ fico que incorporan a un mayor número de ciudades; es el caso de los trabajos de Zenteno (1999, 2002) (hasta 37 centros urbanos), de Rojas García (2004) (38 ciudades), o de García (2009, 2010) (32 áreas urbanas).8
En los análisis sobre mercados de trabajo locales se incluye la consideración del desempleo, pero el foco de interés más bien han sido las condiciones de trabajo de la población ocupada, medidas con indicadores sobre niveles de ingreso, horas trabajadas, condición de asalariados o por cuenta propia, prestaciones sociales, contratos, presencia de micronegocios, trabajo no remunerado, y otros. Si analizamos los resultados de algunas de dichas investigaciones, es posible comprobar que los niveles de desempleo no siempre guardan una relación estrecha con las demás condiciones de trabajo existentes a nivel local (véase el análisis factorial desarrollado por Rojas García, 2004). Ciudades con relativamente buenas condiciones laborales pueden tener niveles elevados de desempleo, y viceversa. Hay que recordar que el desempleo es la búsqueda activa de una ocupación sin encontrarla, y que puede ocurrir que la economía local sea dinámica y cree empleos, razones que contribuyen a atraer más mano de obra de la que puede ser incorporada.
Sin embargo, consideramos que falta mucho por hacer para conocer más a fondo las relaciones entre desempleo y condiciones económico-laborales a nivel de todo el espectro urbano nacional. Una limitación adicional es que, generalmente, se analiza información transversal para un momento o, en todo caso, se comparan dos o más puntos en el tiempo. Hasta donde sabemos, todavía no contamos con estudios que sigan la evolución de las ciudades a través de análisis longitudinales que permitan caracterizar las transformaciones en los mercados laborales locales en un período determinado.9
En lo que toca a la evolución del desempleo local en el tiempo, y en particular durante períodos de dificultades económicas severas, algunos analistas (por ejemplo, Zenteno, 1999) han indicado que su aumento durante la crisis de 1995 fue un fenómeno generalizado en las diferentes áreas urbanas del país, pero que las magnitudes de dicho incremento fueron distintas entre las ciudades. Aunque este autor no examina directamente la relación entre la especialización económica local y el ritmo de crecimiento del desempleo, muestra que la crisis de 1995 afectó más severamente a ciudades como Monterrey y la Ciudad de México (con industrias y servicios que datan del período de sustitución de importaciones y principalmente orientados hacia el mercado interno), en comparación con áreas urbanas fronterizas como Tijuana (con base económica exportadora hacia los Estados Unidos) (véase Zenteno, 1999).
En este apartado del trabajo buscamos profundizar en el impacto de la crisis económica reciente sobre el desempleo, analizando lo ocurrido en las principales áreas urbanas de México en el lustro 2005-2010. Primero, examinamos la variación en las trayectorias en las tasas de desempleo seguidas por los mercados laborales urbanos, a fin de identificar cuán heterogéneo ha sido su comportamiento. Enseguida, analizamos si las ciudades difieren tanto en el punto de arranque como en la velocidad con la que el desempleo evoluciona. Por último, estudiamos en qué medida la trayectoria del desempleo puede ser explicada en función de características asociadas a la base económica de las ciudades y/o de los rasgos sociodemográficos de su población ocupada. En este último punto retomamos las consideraciones arriba mencionadas sobre la naturaleza de la crisis económica iniciada en 2008-2009 y la manera en que afectó las exportaciones manufactureras del país (y sus ciudades).
Datos y método
Para analizar las trayectorias del desempleo en las ciudades, emplearemos un conjunto de variables que provienen de los Indicadores Estratégicos por Ciudad, generados por el Instituto Nacional de Estadística y Geografía (INEGI) trimestralmente a partir de la Encuesta Nacional de Ocupación y Empleo (ENOE). Las variables están construidas para 32 ciudades (capitales estatales o ciudades importantes en cada estado) incluidas en la muestra desde el primer trimestre de 2005 y hasta el tercer trimestre de 2010.10 La serie está completa para todas las ciudades, por lo que obtenemos una base estructurada y balanceada longitudinalmente con 736 observaciones (32 ciudades, 23 trimestres).
Empleamos el método de curvas de crecimiento, una aplicación longitudinal de los modelos multinivel donde las medidas repetidas en el tiempo están anidadas dentro de los sujetos (ciudades). Dicho de manera general, este método nos permite entender cómo cambian los niveles de desempleo en las ciudades, así como examinar qué características de las mismas permiten explicar las diferencias en sus trayectorias de desempleo (Hox, 2010). Un modelo de curvas de crecimiento provee estimaciones parsimoniosas de las tendencias de cambio de múltiples puntos en el tiempo al derivar parámetros que reflejan la trayectoria promedio del desempleo de las ciudades, sin que tengamos que reducir el análisis a comparar dos puntos en el tiempo (Raudenbush y Bryk, 2002; Curtis White, 2008). Además, tal modelo es particularmente útil para los propósitos de este artículo pues nos permite dar cuenta tanto de la evolución promedio del desempleo urbano como de la heterogeneidad en las trayectorias de las ciudades (Singer y Willet, 2003). De ahí que, a lo largo de este trabajo, empleemos estimaciones con efectos fijos y aleatorios, los cuales son explicados puntualmente en cada uno de los modelos estimados.
En estos modelos multinivel de curvas de crecimiento se examinan por separado la influencia de diversos factores explicativos, por un lado, sobre la intercepción que aquí representa el nivel inicial del desempleo promedio en el primer trimestre de 2005 y, por otro lado, sobre la pendiente del tiempo, parámetro llamado tasa de cambio. Como mencionamos con anterioridad, en la bibliografía especializada no se han elaborado argumentos detallados sobre el comportamiento esperado del desempleo a nivel de las ciudades en México, menos aún desde una perspectiva longitudinal. Pero los trabajos existentes y el comportamiento del desempleo en años recientes sugieren la necesidad de explorar el papel que juegan las condiciones de la estructura ocupacional y la composición sociodemográ fica de la fuerza de trabajo para explicar las diferencias en las trayectorias del desempleo en las urbes mexicanas. En particular, aquí examinamos los siguientes argumentos: primero, que el desempleo está asociado a la estructura de la demanda laboral, particularmente a la participación de las manufacturas en el mercado local y al grado de formalización del empleo; segundo, que factores tales como la participación económica femenina, las características educativas y la edad de la fuerza de trabajo median los efectos de la estructura ocupacional sobre los niveles de desempleo –es posible que el desempleo se incremente conforme aumenta el volumen de la oferta laboral y se tenga una oferta menos “ajustable” en términos de edad y escolaridad.
Para examinar estos argumentos estimamos, entonces, modelos de curvas de crecimiento, donde en el nivel 1 tenemos las observaciones repetidas en el tiempo para cada ciudad. En este nivel se encuentra nuestra variable dependiente, que es la tasa de desempleo para cada ciudad (j) en cada trimestre (t), en tanto que nuestra variable de tiempo son los trimestres; esta variable tiempo está recentrada de modo que el trimestre 1 de 2005 es nuestro punto de arranque (tiempo 0). La trayectoria de las ciudades está representada por dos parámetros, la intercepción (β0) y la pendiente, que está dada por β1 más las βetas asociadas a los coeficientes de las variables cambiantes en el tiempo (en la ecuación representada por el término βjxtj); en este mismo nivel tenemos un término de error Rtj. Como se puede observar, muestro modelo asume una trayectoria lineal en el tiempo.11 La ecuación siguiente ejemplifica este modelo y, por simplicidad, consideramos el efecto de una variable fija y una variable cambiante en el tiempo, pese a que nuestro modelo incluye en realidad más variables, como puede verse en el Cuadro 1 con los resultados. Las variables fijas se introducen como predictores de segundo nivel, en tanto solo dependen de la ciudad pero no del momento de observación, mientras que las variables cambiantes en el tiempo entran en el nivel 1, en tanto variantes de ocasión a ocasión y entre ciudades. Representando el modelo en un sistema de ecuaciones de dos niveles, se expresaría como sigue:
En el nivel 2, β0 y β1 ahora son estimadas en un modelo de intercepciones y pendientes como resultados de los efectos de las variables cambiantes y fijas, según explicamos a continuación:12
β0 es la intercepción que está dada por γ00, que, a su vez, representa la tasa promedio de desempleo para todas las ciudades en el trimestre inicial cuando todas las otras variables en el modelo son cero, mientras que γ01 son los efectos de las características de las ciudades sobre dicho nivel inicial. Por su parte, β1 depende de γ10, que representa el efecto de la variable tiempo; γ11 es de nuevo el efecto de la variable fija sobre la pendiente. Β2 está dada por γ20, que es el efecto de las variables cambiantes en el tiempo. Adicionalmente, en algunos modelos se estimarán U0 y U1, que son los efectos aleatorios asociados a la intercepción y a la pendiente del tiempo respectivamente. Una forma de entenderlos es que estiman cuánto varían en promedio los sujetos (ciudades) respecto del parámetro promedio de la población. En este trabajo, modelamos las intercepciones exclusivamente como una función de las características fijas de las ciudades, mientras que las pendientes son una función también de las variables cambiantes en el tiempo.13
Análisis de las trayectorias del desempleo por ciudad
La tasa promedio de desocupación de las ciudades mexicanas pasó de 4.16 en el primer trimestre de 2005 a 5.77% en el último trimestre de 2010. Esta tendencia se advierte con claridad en el Gráfico 2, que muestra la evolución del desempleo para un grupo selecto de ciudades mexicanas, las mismas escogidas para ilustrar la importante variación existente en la evolución del desempleo entre las ciudades. Por un lado, tenemos urbes con grados de desocupación notoriamente bajos pero que experimentaron un rápido aumento en el período analizado, como es el caso de La Paz y de Tampico. En contraste, ciudades como León, Tepic y Oaxaca mantuvieron bajos niveles de desocupación durante todo el período. Y finalmente, encontramos ciudades con niveles medios o altos de desempleo que sostuvieron sus agudos niveles de desocupación, como es el caso de Saltillo, Aguascalientes y la propia Ciudad de México. Estas importantes diferencias en la evolución del desempleo refuerzan nuestro argumento de que es necesario dar cuenta de dicha heterogeneidad, tanto en términos de sus niveles iniciales en el año 2005 como de su cambio a lo largo del tiempo. Sin embargo, se debe recordar que la trayectoria estimada por los modelos de curvas de crecimiento es una representación de la trayectoria promedio de todas las ciudades y todos los momentos en el tiempo, por lo que no puede compararse con ningún itinerario particular observado para alguna ciudad en específico.
Gráfico 2. Desempleo por trimestres. Ciudades seleccionadas. México. Años 2005-2010
Para examinar el peso de la estructura del mercado laboral local, en los modelos incorporamos la proporción de la población ocupada en la manufactura, y la de la ocupada en las grandes y medianas empresas para dar cuenta de la naturaleza de la estructura ocupacional y el grado de formalidad de la fuerza laboral. Como mostraremos a continuación, estas dos variables, aunque relacionadas, capturan dos componentes distintos de los mercados de trabajo locales (véase el Cuadro 1).
Cuadro 1. Modelos multinivel de curvas de crecimiento sobre la trayectoria del desempleo en las ciudades mexicanas y factores asociados. México. Años 2005-2010
| Modelo 0 | Modelo 1 | Modelo 2 | Modelo 3 | Modelo 4 | Modelo 5 | ||
| Efectos fijos | |||||||
| Intercepción (B0) | 3.35 *** | 3.67 *** | 3.63 *** | 3.48 *** | 3.36 *** | 3.57 *** | |
| Manufactura T1 | 0.23 *** | 0.16 *** | 0.15 *** | 0.16 *** | 0.17 *** | ||
| Establecimientos Medianos y Grandes T1 | 0.13 *** | 0.12 *** | 0.12 *** | 0.12 *** | |||
| PEA Femenina T1 | -0.002 | ||||||
| Edad Media T1 | -022 | ||||||
| Tasa de cambio (B1) | 0.10 *** | 0.09 *** | 0.09 *** | 0.10 *** | 0.12 *** | 0.10 *** | |
| Manufactura | -0.15 *** | -0.10 ** | -0.11 ** | -0.12 ** | -0.11 ** | ||
| Establecimientos Medianos y Grandes | -0.10 *** | -0.09 *** | -0.09 *** | -0.09 *** | |||
| PEA Femenina | -0.07 ** | -0.09 ** | -0.07 ** | ||||
| Edad Media PEA | -0.20 | ||||||
| Escolaridad mediana PEA | 0.20 ** | ||||||
| Efectos aleatorios | |||||||
| U0 | 1.104 *** | 0.522 *** | 0.724 *** | 0.889*** | 0.815 *** | 0.804 *** | |
| U1 | 0.004*** | 0.003 *** | 0.003 *** | 0.004 ** | 0.004 ** | 0.004 ** | |
| U Manufactura | 0.009 *** | 0.010 *** | 0.008 *** | 0.006 *** | 0.007 *** | ||
| Residuos nivel 1 | 0.60802 | 0.587 | 0.565 | 0.554 | 0.550 | 0.547 | |
| Devianza | 1906.21 | 1876.48 | 1837.26 | 1824.51 | 1817.24 | 1818.45 | |
| Devianza | 4 | 7 | 13 | 14 | 16 | 15 | |
~ Las variables fijas toman su valor al momento inicial (T1), mientras que las variables cambiantes en el tiempo asumen su valor en cada trimestre.
Significancia *** valor de p < 0.001, ** < p 0.05
Fuente: Elaboración propia sobre la base de los indicadores estratégicos por ciudad, ENOE, INEGI.Los resultados del Modelo 1 muestran que, en promedio, la tasa de desempleo en las ciudades fue de 3.67% en el primer trimestre de 2005, controlando por el efecto de la manufactura. Asimismo, revelan que la desocupación tuvo una tendencia creciente en el tiempo (0.09). Dichos resultados también señalan que a mayor peso de la manufactura en la estructura ocupacional local, mayor fue el desempleo inicial (al trimestre 1 de 2005), de tal forma que por cada punto de mayor tamaño de la manufactura local, el desempleo inicial se incrementó en 0.23 puntos. Sin embargo, la manufactura desacelera el crecimiento del desempleo en tanto su efecto en la pendiente es -0.15. En este sentido, las ciudades con más altos niveles de población manufacturera iniciaron una trayectoria con mayores niveles de desempleo ya para comienzos de 2005, pero la velocidad con la que aumentó el desempleo en ellas fue menor.
Ahora bien, los efectos aleatorios significativos sugieren que el impacto del peso de la manufactura varía entre las ciudades: mientras que en algunas solo tiene un efecto menor sobre la tasa de cambio del desempleo, en otras su impacto fue mayúsculo. De hecho, si observamos los estimadores bayesianos del efecto de la manufactura para cada ciudad (datos no incluidos en el Cuadro 1), observamos que mientras que en áreas urbanas como Tijuana o Chihuahua desaceleró la tasa de cambio de la desocupación (-0.22 y -0.13, respectivamente), en otras ciudades como Campeche y Colima precipitó la desocupación. Aunque estas últimas ciudades tienen bajos volúmenes de empleo manufacturero, ello se tradujo en incrementos totales de desempleo. Las diferencias en los efectos de la manufactura pueden deberse a su composición en cada urbe, a elementos como su interconexión con el sector externo o al área de producción (automotriz, textil, etc.) (Samaniego, 2009).
El Modelo 2 incorpora el efecto de la población ocupada en establecimientos medianos y grandes como una “proxy” de una estructura de empleo más formalizada en las ciudades, dado lo que estudios previos han mostrado sobre las condiciones más estables y menos precarias en esos tamaños de establecimientos (Pacheco, 2004). Aunque con cambios en el tamaño de los coeficientes, la manufactura mantiene el comportamiento antes descrito. A la par que lo anterior, los resultados sugieren que a mayor empleo en establecimientos grandes y medianos, los niveles de desempleo al momento inicial también se incrementaron de manera estadísticamente significativa (0.13); pero esta variable tiene un efecto negativo sobre la tasa de cambio trimestral del desempleo (-0.10). En este sentido, aunque la manufactura y nuestra proxy de empleo formal tienen efectos distinguibles sobre el desempleo, estos van en la misma dirección sugiriendo grupos de ciudades con trayectorias comunes: urbes con alta proporción de empleo manufacturero y empleo formal arrancaron con los niveles más altos de desempleo inicial en 2005, lo que las impulsó a trayectorias de desempleo notablemente más elevadas que otras ciudades aun cuando a lo largo del período hayan experimentado incrementos de desocupación menos rápidos.
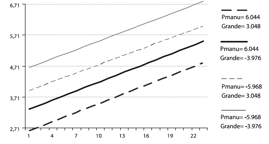
El Gráfico 3 muestra los efectos de estas dos variables, ajustadas a partir de los resultados del Modelo 2 y empleando los valores de los percentiles 25 y 75 de las variables, a fin de graficar trayectorias prototípicas estimadas por el modelo. El trazo grueso indica bajo nivel de población manufacturera y el trazo delgado indica alto nivel de población manufacturera (percentiles 25 y 75, respectivamente), mientras que el nivel de empleo en establecimientos grandes y medios se ilustra con el tipo de líneas: el trazo punteado implica bajo nivel, mientras que la línea continua señala valores altos. Si comparamos las líneas continuas pero de distinta intensidad, podemos observar el efecto del empleo manufacturero, que incrementa de manera drástica los niveles iniciales de desempleo y dirige la trayectoria en un camino ascendente. De manera similar actúa el efecto del tamaño del establecimiento, pero en el tiempo su impacto es menor que el del empleo manufacturero.
Gráfico 3. Efectos de la manufactura y formalización del empleo. México. Años 2005-2010

Claramente, las ciudades más afectadas son aquellas representadas por la trayectoria de la línea continua clara: ciudades con altos niveles de población manufacturera y alta proporción de empleo en grandes y medianos establecimientos. Estas tenderán a tener niveles de desempleo notablemente superiores que el resto y sus tasas de cambio serían tales que tendrían niveles de desocupación del doble de sus contrapartes (bajo empleo manufacturero, baja proporción de formalización). Este Gráfico 3 permite apreciar con claridad los efectos detonadores del empleo manufacturero y la formalización del mismo en el estatus inicial, toda vez que las ciudades entran en una trayectoria con tasas de desempleo marcadamente mayores y permanecen por arriba de otras trayectorias aun cuando sus tasas de cambio se reduzcan.
Si bien la estructura ocupacional se considera central para entender los niveles de desempleo, la composición de la fuerza de trabajo es también un elemento que permite explicar las diferencias en el desempeño de los mercados de trabajo locales. El Modelo 3 introduce la tasa de participación femenina como variable explicativa del estatus inicial y como pendiente. En el período observado, la participación económica femenina promedio de las ciudades aumentó de 44.3 a 48 %. Esta variable no se asocia de manera significativa con los niveles de desempleo al inicio de 2005, pero sí se asocia de manera negativa con la tasa de cambio del desempleo a lo largo del tiempo (-0.07). El resultado anterior le resta validez a las hipótesis que enfrentan a hombres y mujeres en el mercado de trabajo, compitiendo por los escasos puestos de trabajo disponibles. Un argumento alternativo es aquel que señala la importancia de estrategias de sobrevivencia económica mediante la autocreación de ocupaciones, donde las mujeres desempeñan un importante papel cuando las dificultades económicas se acentúan (véanse García y Oliveira, 1994; Parrado y Zenteno, 2001). De ser así, se podría explicar que el crecimiento del desempleo total haya sido más lento en aquellas ciudades en las que se incrementó la participación económica femenina.
En los Modelos 4 y 5 consideramos la edad promedio y la escolaridad mediana de la fuerza de trabajo. La hipótesis subyacente es que el desempleo se incrementa conforme se tiene una oferta laboral menos “ajustable”, ya sea porque dicha fuerza de trabajo tiene más edad o porque tiene mayores niveles de escolaridad. El Modelo 4 considera exclusivamente el efecto de la edad; los resultados sugieren que esta no tiene efectos significativos sobre los niveles de desempleo, ni en el estatus inicial ni sobre la tasa de cambio. Dado que la prueba de devianza sugiere una menor bondad del Modelo 4 respecto del Modelo 3, se optó por excluir esta variable del modelo final. El Modelo 5 introduce los efectos escolaridad de la fuerza de trabajo pero solo sobre la tasa de cambio, en tanto que estimaciones intermedias mostraron que esta no tenía un efecto significativo sobre la intercepción.14 Los resultados del Modelo 5 muestran que a mayor educación de la fuerza de trabajo, más rápido se incrementa el desempleo en el tiempo, controlando por otras variables en el modelo. Puesto que la escolaridad solo afecta la velocidad del cambio, pero no el nivel total, los resultados sugieren que el desempleo pudo haberse concentrado en algunos grupos poblacionales más educados, dada su localización en ciertos segmentos del mercado laboral, y aquellas ciudades cuya fuerza laboral tenía una mayor participación de estos grupos acumularon mayor desocupación a lo largo de los trimestres. Debe notarse también que en este modelo final las variables estructurales mantienen su peso explicativo, de tal forma que el peso del empleo manufacturero y la formalización del mismo siguen siendo relevantes para explicar las trayectorias del desempleo de las urbes mexicanas.
Discusión y consideraciones Finales
En este trabajo, inicialmente, hemos ofrecido información que respalda el planteamiento de que estamos ante una nueva e inquietante situación en lo que respecta al desempleo abierto en México. Durante la primera década del siglo XXI se observó un aumento gradual en la proporción que representan los desempleados dentro de la población económicamente activa (tasa de desempleo); a partir de la crisis de 2008-2009, este indicador escaló por encima de 5% y se ha mantenido allí desde entonces a la fecha (octubre de 2011). Visto en el conjunto de países latinoamericanos o del grupo de países de la Organización para la Cooperación y el Desarrollo Económico (ENOE), es cierto que México presenta todavía tasas de desempleo relativamente reducidas. Sin embargo, como ya anticipamos, estas tasas indican que entre 2,2 y 2,9 millones de mexicanos han buscado un empleo sin encontrarlo desde que se inició esta crisis global. En términos absolutos, se trata de una cifra sin precedentes en la historia del país desde la década de 1990, cuando se inicia el registro comparable y sistemático del desempleo abierto en el ámbito nacional.
La situación que enfrentamos con respecto al empleo y al desempleo recibe atención creciente en los medios de comunicación electrónicos e impresos, y diversas encuestas de opinión indican que la sociedad percibe al desempleo como uno de los principales problemas en el país, solo opacado en parte por la creciente violencia e inseguridad. Cada mes los Secretarios de Hacienda y de Trabajo y Previsión Social convocan a una conferencia de prensa para ofrecer las últimas cifras sobre los indicadores de empleo, pero resulta llamativo que allí la principal atención la recibe el crecimiento de los empleos formales registrados ante el Instituto Mexicano del Seguro Social (IMSS). Regularmente indican que estos empleos tienen nombre y apellido y que no constituyen estimaciones (como serían las tasas de desempleo). En las últimas conferencias de prensa se ha hecho mucho hincapié en la cifra sin precedentes de 15 millones de cotizantes en el Instituto Mexicano del Seguro Social (IMSS) (véase el Cuadro 1.A), pero curiosamente no se ha hecho igual énfasis en la tendencia también sin precedentes de lo que sucede con el desempleo (véase Murayama, 2011). Los empleos formales creados a partir de mediados de 2009 constituyen, sin duda, una buena noticia, pero no han resultado suficientes para reducir las tasas de desempleo. Es decir, en la actualidad tiene renovada vigencia la afirmación de que el ritmo de creación de los empleos formales es insuficiente para la cantidad de personas que buscan infructuosamente un puesto de trabajo que llene sus expectativas o calificaciones. Además, habría que puntualizar que estos empleos registrados ante el Instituto Mexicano del Seguro Social (IMSS) apenas representan alrededor de una tercera parte de la fuerza de trabajo del país, y que el salario medio de cotización solo creció de manera marginal en los últimos años.
¿Qué aspectos tendríamos que tener especialmente en cuenta para comprender la evolución y el panorama reciente del desempleo en México? ¿Cómo contribuye este trabajo a precisar nuevas aristas de la trayectoria de la desocupación y de sus factores asociados? Estudios de corte económico, a los que hemos hecho referencia en páginas anteriores, se han centrado en desentrañar la importancia de los factores macroeconómicos en el nivel del desempleo. Autores como Ros (2005), Frenkel y Ros (2006), Samaniego (2009) y Cáceres (2011) han demostrado o sugerido la importancia de la cuantía de capital, de las exportaciones manufactureras y del sector externo en general (así como de la tasa de cambio real y del déficit fiscal) para explicar las fluctuaciones en la desocupación. En los años 1990 algunos de estos autores destacaban más bien los efectos protectores sobre los niveles de desocupación de una estrategia de crecimiento basada en manufacturas intensivas en trabajo. Así se explicaba, en ese entonces, que México y algunos países centroamericanos tuviesen bajas tasas de desempleo, en comparación con varios países sudamericanos que exhibían alta desocupación y una estrategia de exportación de productos basados en recursos naturales (véase Ros, 2005). Al finalizar el primer decenio de los años 2000 la situación ha cambiado. La estrategia exportadora mexicana ha mostrado su lado vulnerable por estar estrechamente vinculada a la economía de los Estados Unidos, y algunos autores ya anticiparon los probables efectos de esta crisis sobre la desocupación en el país (Samaniego, 2009).
Los resultados de este trabajo apoyan la idea de que la especialización manufacturera que se ha puesto en práctica en México en los últimos lustros puede ser fuente de vaivenes económicos severos; en los últimos años, tal especialización se asocia de manera significativa con el incremento y la trayectoria de los niveles de desocupación. Hemos estudiado este fenómeno en el ámbito de las principales ciudades del país, utilizando información recolectada trimestralmente en las encuestas de empleo (años 2005-2010) y aplicando un modelo estadístico multinivel de curvas de crecimiento. Estos modelos permiten estimar la variación en la trayectoria seguida por el desempleo en las diferentes ciudades, así como los factores que influyen en el nivel y la evolución de la desocupación.
Entre nuestros hallazgos queremos subrayar, en primer lugar, que los modelos ajustados confirman como significativo el aumento en la desocupación urbana en el período 2005-2010, en presencia de otros factores intervinientes principalmente referidos al empleo manufacturero, a la formalización del mismo y a las características sociodemográficas de la mano de obra. Asimismo, encontramos que en el momento inicial (2005) la base manufacturera de las ciudades y el mayor tamaño de las empresas prevaleciente se asociaron de manera apreciable con el nivel de desempleo. La forma en que evolucionó la desocupación también se vio afectada por estas características, pero las trayectorias de las ciudades estuvieron fuertemente determinadas por las condiciones iniciales de las metrópolis, en tanto que estas capturan la estructura ocupacional de los mercados laborales locales. Así, las ciudades más afectadas por el desempleo fueron aquellas con más fuerza de trabajo en la manufactura y con mayor presencia de grandes establecimientos; las menos afectadas fueron las que presentaron la situación contraria; y, en el medio, se pueden apreciar distintas posibilidades (véase el Gráfico 3). Estos resultados refuerzan el planteamiento de la vulnerabilidad frente al desempleo de contextos urbanos específicos ante choques externos que afectan la base económica local, en este caso la manufactura en grandes establecimientos posiblemente ligada a la exportación a los Estados Unidos.
La trayectoria de la desocupación también puede estar vinculada a las características sociodemográficas de la mano de obra, tales como su condición de hombre o mujer, su edad o su escolaridad. En el caso mexicano ha sido frecuente que el desempleo sea más elevado entre las mujeres, entre las personas que no son jefes de hogar y entre aquellas con alguna escolaridad. Sin embargo, en el marco de la crisis de 2009 se ha indicado que su impacto ha sido generalizado y que las tasas de desempleo correspondientes a personas más directamente responsables de la manutención de sus familias (hombres y jefes/as de familia en general) se incrementaron de forma notoria (Coubès, 2009).
¿Contribuye la mayor presencia de un tipo de mano de obra a explicar la trayectoria seguida por la desocupación en las ciudades mexicanas? Nuestros resultados señalan que la mayor presencia de mujeres no contribuyó a elevar el desempleo total a medida que la crisis se profundizó, sino que más bien tendió a disminuirlo. Este resultado le resta validez a los planteamientos que enfrentan a hombres y mujeres ante la escasez de puestos de trabajo disponibles y, más bien, refuerza la importancia de las estrategias de sobrevivencia económica en tiempos de crisis, en las que, según se ha demostrado, las mujeres han tenido un papel fundamental (al respecto, véanse García y Oliveira, 1994; Parrado y Zenteno, 2001).
El resultado referido a la escolaridad es menos controversial, pero no por ello menos relevante. A medida que se eleva la escolaridad de la población activa en las ciudades mexicanas, tienden a elevarse los niveles de desempleo en el tiempo, en presencia de los demás factores controlados en los modelos. Visto de otra manera, las ciudades que fueron concentrando mayor proporción de personas escolarizadas estuvieron más expuestas a experimentar el fenómeno de la desocupación cuando se acentuaron las dificultades económicas. Esto ha podido suceder porque se destruyeron fuentes de trabajo que daban cabida a este tipo de mano de obra relativamente más calificada, y porque esta poseía los medios o los apoyos familiares que le permitieron declararse en espera por los trabajos que más se ajustasen a sus expectativas. De cualquier manera, la relación entre mayor escolaridad y mayor desocupación es inquietante, tanto en el ámbito de las ciudades como en el personal, y nos sugiere que con la crisis de 2008-2009 se pueden haber acentuado los desajustes entre el desempeño del sistema escolar y las posibilidades que brinda el mercado de trabajo en México.
El conjunto de resultados analizados se refiere a las hipótesis que exploramos con la información disponible a nuestro alcance, pero no hemos podido profundizar en este trabajo en otros aspectos que probablemente jueguen un papel importante en el incremento de la desocupación en el país, como sería lo ocurrido con la migración hacia los Estados Unidos. Es conocido –y ya existe información al respecto en ambos lados de la frontera (véanse Partida Bush, 2011; Passel, 2011)– que la migración de mexicanos a los Estados Unidos de manera indocumentada ha alcanzado niveles muy reducidos en los últimos años. Los autores difieren en la prioridad que le otorgan a la evolución de los mercados de trabajo en los dos países para entender este proceso, pues se sabe que, a la par que se desató la crisis, también recrudecieron las deportaciones y se intensificaron la violencia y los controles fronterizos. Para ahondar en la relación entre las nuevas facetas de la migración hacia los Estados Unidos y el incremento de la desocupación en el país, tendríamos que tener y analizar información sobre expectativas y antecedentes laborales de los desempleados, datos que, hasta la actualidad, no se recolectan de manera continua en las encuestas de empleo. No obstante, existe alguna información al respecto en el cuestionario que se aplica ahora en la Encuesta Nacional de Ocupación y Empleo (ENOE) en el primer trimestre del año, la cual podría arrojar alguna luz sobre la relación entre estos fenómenos en futuros estudios, junto con otros datos provenientes de fuentes alternativas.
Para finalizar, consideramos oportuno reflexionar en torno a la posible utilidad respecto de la política laboral vigente de un trabajo sobre desempleo que toma como unidad de análisis a las principales ciudades del país. Como se sabe, los trabajadores mexicanos no cuentan con seguro de desempleo en el ámbito federal; esta prestación solo existe hasta ahora en el caso del Distrito Federal. Las acciones encaminadas a combatir el flagelo del desempleo consisten en algunas medidas como becas de capacitación para desocupados, un servicio nacional del empleo –que pone en contacto a los oferentes y a los demandantes de mano de obra en ferias del empleo y eventos afines– y algunas políticas de empleo temporal en situaciones particulares de dificultades económicas como las que actualmente enfrentamos (véanse OIT, 2011; Huerta Quintanilla y Gómez Tovar, 2012). Estas medidas se evalúan periódicamente, y existe evidencia de resultados positivos, por ejemplo, en la disminución del tiempo de espera para obtener un nuevo empleo en el caso de aquellas personas que obtienen una beca de capacitación (véase Calderón-Madrid, 2010). No obstante lo anterior, se reconoce que estas acciones públicas son insuficientes ante la magnitud del problema, y nos interesa destacar que la visión que las sustenta es la de mejorar la empleabilidad de los trabajadores. Hemos aportado evidencias que permitirían complementar esta perspectiva con una que se enfocara de manera prioritaria sobre los contextos urbanos que sufren de un modo especial una situación de crisis que afecta su base económica local. No hay duda de que constituye un reto diseñar los criterios adecuados para distribuir recursos en esta dirección, pero un primer paso necesario sería reconocer el papel que juega el contexto territorial y social en el fenómeno del desempleo.
Bibliografía
Bayón, C. (2006). “Precariedad social en México y Argentina: tendencias, expresiones y trayectorias nacionales”, en Revista de la CEPAL., núm. 88, Santiago de Chile: CEPAL, pp. 133-152.
Cáceres, L. R. (2011). “¿Qué variables reducen el desempleo? Evidencia de México y Centroamérica”, en Comercio Exterior., México D.F.: Banco Nacional de Comercio Exterior SNC, en http://www.revistacomercioexterior.com/noticias/news-display.php?story_id=443. Acceso: 30 de septiembre de 2011.
Calderón-Madrid, A. (2010). Re-employment Dynamics of the Unemployed in Mexico., México D.F.: El Colegio de México.
Comisión Económica Para América Latina (CEPAL) (2000-2001). Panorama Social de América Latina., Santiago de Chile: CEPAL.
Coubés, M. L. (2009). “Efectos de la crisis financiera mundial en el empleo de las mujeres. Estudio de caso México”, reporte preparado para la OIT, Tijuana (México): El Colegio de la Frontera Norte (COLEF).
Cruz Piñeiro, R. (2004). “Evolución e inestabilidad de los mercados laborales en la frontera norte de México durante la década de los años noventa”, en F. Lozano Ascencio (coord,). El amanecer del siglo y la población mexicana., Cuernavaca (México): Universidad Nacional Autónoma de México, Centro Regional de Investigaciones Multidisciplinarias (CRIM)/ Sociedad Mexicana de Demografía (SOMEDE).
Curtis White, K. J. (2008). “Population Change and Farm Dependence: Temporal and Spatial Variation in the U.S. Great Plains, 1900-2000”, en Demography., 45(2). Seattle (Washington): Population Association of America, pp. 363-386.
Frenkel, R. y Ros, J. (2006). “Unemployment and the Real Exchange Rate in Latin America”, en World Development., vol. 34, núm. 4, Nueva York: Elsevier, pp. 631-646, abril.
García, B. (2009). “Los mercados de trabajo urbanos de México a principios del siglo XXI”, en Revista Mexicana de Sociología., año 71, núm. 1, México: Instituto de Investigaciones Sociales de la Universidad Nacional Autónoma de México, pp. 5-46.
García, B. (2010). “Inestabilidad laboral en México: el caso de los contratos de trabajo”, en Estudios Demográficos y Urbanos., vol. 25, núm. 1, México: El Colegio de México, pp. 73-101.
García, B. y Oliveira, O. de (1994). Trabajo femenino y vida familiar en México., México: El Colegio de México.
Hox, J. (2010). Multilevel Analysis: Techniques and Applications., Nueva York: Routledge Academic. (2da. edición).
Huerta Quintanilla, R. y Gómez Tovar, R. (2012). “Evaluación de las políticas activas de mercado de trabajo en México 1988-2010”, en Revista Trabajo., México: Organización Internacional del Trabajo (OIT)/ Universidad Autónoma Metropolitana, Iztapalapa (UAM- Iztapalapa). primer semestre.
Instituto Nacional de Estadística, Geografía e Informática (INEGI) (2002). “Guía de conceptos, uso e interpretación de la estadística sobre la fuerza laboral en México”, Aguascalientes (México). en http://www.inegi.com.mx. Acceso: 30 de septiembre de 2011.
Maloney, W. F. (1999). “Does Informality Imply Segmentation in Urban Labor markets? Evidence from Sectoral Transitions in Mexico”, en World Bank Economic Review., vol. 13, núm. 2, Washington: Banco Mundial, pp. 275-302.
Martin, G. (2000). “Employment and Unemployment in Mexico in the 1990s”, en Monthly Labor Review., Washington: Bureau of Labor Statistics, noviembre.
Murayama, C. (2011). “Plusmarcas de empleo…y desempleo”, en El Universal., México D.F., 3 de agosto.
Negrete Prieto, R. (2011). “El indicador de la polémica recurrente. La tasa de desocupación y el mercado laboral en México”, en Realidad, datos y espacio. Revista Internacional de Estadística y Geografía., vol. 2, núm. 1, Aguascalientes (México): INEGI, enero-abril, pp. 145-168.
Oliveira, O. de (1989). “La participación femenina y los mercados de trabajo en México: 1970- 1980”, en Estudios Demográficos y Urbanos., vol. 4, núm. 3, México D.F.: El Colegio de México, septiembre-diciembre, pp. 465-493.
Organización Internacional del Trabajo (OIT) (2010). Panorama Laboral., Lima: OIT.
Organización Internacional del Trabajo (2011). Impactos, políticas y desafíos para el crecimiento del empleo en México., (reporte preparado por Regina Galhardi). México D.F.: OIT. (Inédito).
Pacheco, E. (2004). Ciudad de México, heterogénea y desigual: un estudio sobre el mercado de trabajo., México D.F.: El Colegio de México.
Parker, S. y Pacheco, E. (1998). “Labor Market Entries, Exits and Unemployment: Longitudinal Evidence from Urban Mexico”, en Hill, K., Morelos, J. y Wong, R. (coords,). Las consecuencias de las transiciones demográfica y epidemiológica en América Latina., México D.F.: El Colegio de México.
Parrado, E. A. y Zenteno, R. M. (2001). “Economic Restructuring, Financial Crises, and Women’s Work in Mexico”, en Social Problems., Berkeley (California): Society for the Study of Social Problems, pp. 456-477.
Partida Bush, V. (2011). “¿Por qué 4 millones de diferencia?”, en SOMEDE Informa., núm. 1, Boletín Informativo, México D.F.: Sociedad Mexicana de Demografía, mayo.
Passel, J. S. (2011). “Mexico-U.S. Migration Flows 1990-2010: Preliminary Assessment based on U.S. Sources”, en Coyuntura Demográfica., México D.F.: Sociedad Mexicana de Demografía.
Raudenbush, S. W. (1989). “The analysis of longitudinal, multilevel data”, en International Journal of Educational Research., vol. 13, Issue 7, Amsterdam: Elsevier Ltd., pp. 721-740.
Raudenbush, S. y Bryk, A. (2002). Hierarchical Liner Models. Applications and Data Analysis Methods., California: Sage Publications Inc. (2da. edición).
Rendón, T. y Salas, C. (1993). “El empleo en México en los ochenta: tendencias y cambios”, en Comercio Exterior., vol. 43, núm. 8, México D.F.: Banco Nacional de Comercio Exterior SNC, pp. 717-730.
Rojas García, G. (2004). “Precariedad laboral en el México urbano de fines del siglo XX: comparación de 38 mercados locales de trabajo”, en F. Lozano Ascencio (coord,). El amanecer del siglo y la población mexicana., Cuernavaca (México): Universidad Nacional Autónoma de México, Centro Regional de Investigaciones Multidisciplinarias (CRIM)/Sociedad Mexicana de Demografía (SOMEDE)
Ros, J. (2005). El desempleo en América Latina desde 1990., México: CEPAL, Serie Estudios y Perspectivas.
Salas, C. (2007). “Empleo y trabajo en México, 2001-2006. Un balance inicial”, en Trabajo., (tercera época). año 3, núm. 4, México D.F.: Universidad Autónoma Metropolitana Iztapalapa, enero-junio, pp. 137-160.
Samaniego, N. (2009). “La crisis, el empleo y los salarios en México”, en Economía VNAM., vol. 6, núm. 16, México D.F.: UNAM, pp. 57-67.
Singer, J. y Willet, J. (2003). Applied Longitudinal Data Analysis., Nueva York: Oxford University Press.
Timberlake, J., Howell, A. J., y Staight, A. J. (2011). “Trends in the Suburbanization of Racial/ Ethnic Groups in U.S Metropolitan Areas, 1970 to 2000”, en Urban Alfairs Review., 47 (2). Thousand Oaks (California): Sage Publications, pp. 218–255.
Zenteno, R. (1999). “Crisis económica y determinantes de la oferta de trabajo femenino en México: 1994-1995”, en Estudios Demográficos y Urbanos., núm. 41, México D.F.: El Colegio de México, pp. 353-381.
Zenteno, R. (2002). “Tendencias y perspectivas en los mercados de trabajo local en México: ¿más de lo mismo?", en B. García Guzmán (coord,). Población y sociedad al inicio del siglo XXI., México D.F.: El Colegio de México, pp. 283-318.
Zunzunegui, M. V. et al. (2004). “Aplicaciones de los modelos multinivel al análisis de medidas repetidas en estudios longitudinales”, en Revista Española de Salud Pública., vol. 78, núm. 2, Madrid: Ministerio de Sanidad, Política Social e Igualdad, Gobierno de España, marzo-abril, pp. 177-188.
| Año | Enero | Febrero | Marzo | Abril | Mayo | Junio | Julio | Agosto | Septiembre | Octubre | Noviembre | Diciembre |
| 1994 | 9,887,943 | 9,990,396 | 10,035,795 | 10,060,967 | 9,999,988 | 9,967,143 | 10,09,22 | 10,121,027 | 10,097,961 | 10,243,285 | 10,301,252 | 10,136,682 |
| 1995 | 9,966,500 | 9,893,792 | 9,700,491 | 9,515,605 | 9,408,970 | 9,361,604 | 9,239,957 | 9,230,185 | 9,223,128 | 9,308,786 | 9,345,821 | 9,322,217 |
| 1996 | 9,294,213 | 9,430,922 | 9,481,681 | 9,513,922 | 9,589,167 | 9,653,897 | 9,662,317 | 9,749,209 | 9,818,447 | 9,970,893 | 10,087,860 | 10,142,167 |
| 1997 | 10,151,999 | 10,264,232 | 10,289,834 | 10,395,110 | 10,491,876 | 10,533,920 | 10,227,752 | 10,291,446 | 10,460,834 | 10,607,246 | 10,682,862 | 10,536,709 |
| 1998 | 10,650,094 | 10,748,956 | 10,885,684 | 10,971,344 | 10,955,144 | 11,28,76 | 11,120,539 | 11,186,162 | 11,283,468 | 11,376,290 | 11,422,957 | 11,243,211 |
| 1999 | 11,298,332 | 11,427,871 | 11,529,646 | 11,595,313 | 11,616,021 | 11,650,199 | 11,699,638 | 11,795,893 | 11,918,462 | 11,992,598 | 12,148,024 | 11,905,097 |
| 2000 | 12,034,089 | 12,158,418 | 12,258,824 | 12,253,993 | 12,345,055 | 12,405,535 | 12,494,628 | 12,554,701 | 12,605,642 | 12,724,477 | 12,777,502 | 12,437,740 |
| 2001 | 12,525,946 | 12,559,348 | 12,530,243 | 12,534,158 | 12,505,093 | 12,418,878 | 12,416,570 | 12,406,076 | 12,358,640 | 12,423,511 | 12,451,453 | 12,170,914 |
| 2002 | 12,195,504 | 12,275,195 | 12,221,064 | 12,352,685 | 12,338,041 | 12,288,121 | 12,368,676 | 12,340,447 | 12,400,513 | 12,457,608 | 12,472,604 | 12,232,299 |
| 2003 | 12,269,468 | 12,321,595 | 12,348,256 | 12,337,552 | 12,269,055 | 12,270,626 | 12,270,143 | 12,229,764 | 12,323,340 | 12,427,370 | 12,462,713 | 12,257,580 |
| 2004 | 12,293,999 | 12,351,664 | 12,478,528 | 12,505,271 | 12,495,167 | 12,515,338 | 12,550,851 | 12,597,253 | 12,683,726 | 12,737,398 | 12,871,388 | 12,632,875 |
| 2005 | 12,697,124 | 12,788,890 | 12,799,019 | 12,852,756 | 12,884,166 | 12,911,021 | 12,904,401 | 13,014,609 | 13,114,253 | 13,234,501 | 13,327,162 | 13,061,565 |
| 2006 | 13,174,495 | 13,285,284 | 13,392,386 | 13,402,508 | 13,486,514 | 13,550,639 | 13,604,536 | 13,676,929 | 13,756,686 | 13,894,327 | 13,981,314 | 13,678,492 |
| 2007 | 13,794,600 | 13,908,701 | 13,973,905 | 14,043,649 | 14,072,151 | 14,089,092 | 14,156,216 | 14,224,297 | 14,283,377 | 14,441,717 | 14,539,497 | 14,207,706 |
| 2008 | 14,315,318 | 14,396,101 | 14,400,376 | 14,480,066 | 14,443,848 | 14,472,908 | 14,483,011 | 14,460,993 | 14,526,347 | 14,564,569 | 14,505,253 | 14,178,117 |
| 2009 | 14,073,102 | 14,026,501 | 14,039,826 | 13,979,608 | 13,868,132 | 13,871,175 | 13,887,498 | 13,918,843 | 13,992,494 | 14,073,749 | 14,192,197 | 14,006,404 |
| 2010 | 14,076,279 | 14,204,647 | 14,341,056 | 14,408,942 | 14,433,952 | 14,480,255 | 14,518,395 | 14,593,979 | 14,701,487 | 14,829,981 | 14,965,625 | 14,738,783 |
| 2011 | 14,787,440 | 14,893,818 | 15,003,502 | 15,022,588 | 15,050,810 | 15,090,360 | 15,130,792 | _ | _ | _ | _ | _ |
Notas: permanentes y eventuales en activo, es decir no incluye a los asegurados de otras modalidades, como seguro facultativo, para estudiantes y no estudiantes, seguro de salud para la familia y los de continuación voluntaria.
Fuente: INEGI, Banco de Información Económica.
| Año | Primer trimestre | Segundo trimestre | Tercer trimestre | Cuarto trimestre |
| 1995 | _ | 6.9 | _ | _ |
| 1996 | _ | 5.3 | _ | _ |
| 1997 | _ | 4.1 | _ | _ |
| 1998 | _ | 3.6 | _ | _ |
| 1999 | _ | 2.5 | _ | _ |
| 2000 | _ | 2.6 | 2.9 | 2.3 |
| 2001 | 2.9 | 2.6 | 2.8 | 2.8 |
| 2002 | 3.2 | 2.9 | 3.1 | 2.7 |
| 2002 | -2.7 | 1.3 | 0.5 | 1.2 |
| 2003 | 3.1 | 3.0 | 4.0 | 3.6 |
| 2004 | 4.0 | 3.7 | 4.2 | 3.7 |
| 2005 | 3.9 | 3.5 | 3.8 | 3.1 |
| 2006 | 3.5 | 3.2 | 4.0 | 3.6 |
| 2007 | 4.0 | 3.4 | 3.9 | 3.5 |
| 2008 | 3.9 | 3.5 | 4.2 | 4.3 |
| 2009 | 5.1 | 5.2 | 6.2 | 5.3 |
| 2010 | 5.3 | 5.3 | 5.6 | 5.4 |
| 2011 | 5.2 | 5.2 | - | - |
| Año | Primer trimestre | Segundo trimestre | Tercer trimestre | Cuarto trimestre |
| 1994 | 2.8 | 5.8 | 5.0 | 5.4 |
| 1995 | -1.2 | -8.8 | -7.5 | -7.2 |
| 1996 | 1.1 | 6.4 | 6.7 | 7.8 |
| 1997 | 4.4 | 9.0 | 8.2 | 7.3 |
| 1998 | 8.3 | 4.4 | 4.9 | 2.5 |
| 1999 | 2.5 | 3.2 | 3.7 | 4.8 |
| 2000 | 6.8 | 6.7 | 6.4 | 4.1 |
| 2001 | 0.2 | -0.6 | -1.6 | -1.8 |
| 2002 | -2.7 | 1.3 | 0.5 | 1.2 |
| 2003 | 3.6 | 0.2 | 0.2 | 1.4 |
| 2004 | 3.4 | 3.8 | 4.5 | 4.5 |
| 2005 | 2.0 | 3.8 | 3.4 | 3.6 |
| 2006 | 6.2 | 5.3 | 5.2 | 4.0 |
| 2007 | 3.0 | 2.9 | 3.5 | 3.7 |
| 2008 | 2.3 | 2.8 | 1.7 | -0.8 |
| 2009 | -7.2 | -9.6 | -5.5 | -2.0 |
| 2010 | 4.5 | 7.6 | 5.1 | 4.4 |
| 2011 | 4.6 | 3.3 | _ | _ |
| Observaciones | Media | Desviación estándar | Mínimo | Máximo | ||
| Variantes en el tiempo | ||||||
| Desempleo | 736 | 4.5 | 1.48 | 1.3 | 11 | |
| Manufactura | 736 | 14.97 | 7.27 | 4.22 | 36.44 | |
| Medianos y grandes establecimientos | 736 | 10.84 | 4.89 | 2.45 | 27.75 | |
| PEA Femenina | 736 | 46.8 | 3.51 | 36.6 | 56.7 | |
| Escolaridad mediana PEA | 736 | 9.92 | 1.01 | 9 | 12 | |
| Edad Media PEA | 736 | 37.04 | 0.88 | 34 | 40.1 | |
| Constantes en el tiempo (al trimestre 1, 2005) | ||||||
| Manufactura T1 | 32 | 15.54 | 7.66 | 5.44 | 34.46 | |
| Establecimientos medianos y grandes T1 | 32 | 10.67 | 5.83 | 2.89 | 27.75 | |
| PEAFemenina T1 | 32 | 44.27 | 3.94 | 36.6 | 52.2 | |
| Edad Media PEA T1 | 32 | 36.48 | 0.84 | 34 | 37.7 | |
| Escolaridad mediana PEA T1 | 32 | 9.56 | 0.84 | 9 | 12 | |
Notas
Notas de autor