Construction and coupling of frames in Hilbert spaces with W-metrics
Construcción y acoplamiento de marcos en espacios de Hilbert con W-métricas
Construction and coupling of frames in Hilbert spaces with W-metrics
Revista Integración, vol. 34, no. 1, pp. 81-93, 2016
Universidad Industrial de Santander
Received: 18 August 2015
Accepted: 08 March 2016
Abstract: A definition of frames unitarily equivalent in Hilbert spaces with W-metric is stated, and a characterization is given in terms of their respective analysis operators. From a Hilbert space with a frame we construct a Hilbert space with W-metric and a frame unitarily equivalent to the given one. Finally, we prove that the coupling of two frames is a frame.
Keywords: Krein spaces, W-spaces, W-metrics, construction of frames, coupling of frames, similar frames.
Resumen: Se definen marcos unitariamente equivalentes en espacios de Hilbert con W-métricas, y se da una caracterización de ellos comparando sus respectivos operadores de análisis. A partir de un espacio de Hilbert con un marco se construye un espacio de Hilbert con W-métrica y un marco unitariamente equivalente al dado. Finalmente, se muestra que el acoplamiento de dos marcos es un marco.
Palabras clave: Espacios de Krein, W-espacios, W-métricas, construcción de marcos, acoplamiento de marcos, marcos similares.
1. Introduction
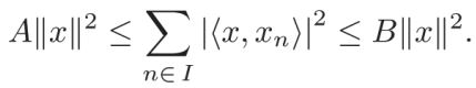
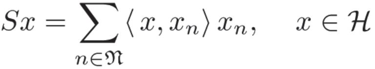
Let H be a separable Hilbert space. A countable family of vectors {xn}n€I in H is a frame if there are constants O < A ≤ B < ∞ such that for every x € H

In frame theory the most important result is the Decomposition Theorem [8], [9], [10], [11], [12], [18], [13], [15], [21]. It states that if {xn}n€I in a frame for H, then every vector x € H can be written as

where the coefficients cn are computed explicitly by cn (S—1x, xn). Here S—1 is the inverse of the linear operator Sx=∑n∊I (x, xn) xn. Observe that the elements of the frame are not necessarily orthogonal, therefore frames can be thought of as over-complete bases.
The possible over-completeness of frames makes them more flexible than orthonormal bases, and therefore a powerful tool in several branches of mathematics [8], [9], [11], [12], [18], [13], [15], [21] and physics [2], [3], [4], [12], [13], [20]. For this reason it is natural to consider frame theory in Hilbert spaces with W-metrics and Krein spaces [1], [14], [17], [16], [20].
A Hilbert space with W-metric (or simply W-space) Hw is the completion of (H, (VV. , .), where W* = VV € B(H), and ker W={0} [5], [6]. In [14] frames in Hilbert spaces with W-metrics were introduced and it was showed that the behavior of the frames depends on the boundedness of the linear operator W, and whether or not 0 € spec(W). Independently of this, the Decomposition Theorem for frames in Hilbert spaces with W-metrics still holds. Similar ideas have been developed independently in [17] and [20].
In [9], [19], [18] there are methods to construct frames in a Hilbert space. Our approach follows the results obtained in [9], [19], [18], [14] in order to construct frames in Hilbert spaces with W-metrics. We present some characterization of frames unitarily equivalent in terms of their respective analysis operators. Furthermore we show that if {xn}n€N and {Yn}n€N are frames for the W-spaces KG and Hw, respectively, then the coupling of these families is a frame. That is, {Xn}n€N U {yn}n€N is a frame for the Hilbert space with W-metric KW = KG ⊕ HW.
We have organized this paper as follows: In Section 2 basic aspects of the Hilbert spaces with W-metrics and frame theory in such spaces are given. In Section 3 we prove the main results of this paper, introduce similar and unitarily equivalent frames and show that two frames are similar if and only if their respective analysis operators have the same range. In addition, we construct frames from a positive and J-adjoint operator (Subsection 3.4). Finally we show that the coupling of two frames is a frame (Subsection 3.3).
2. Preliminares
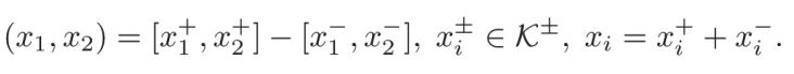
Let K be a vector space over C. Consider a sesquilinear [. , .] : K X K → C. The vector space (K, [. , .]) is a Krein space if K = K+ ⊕ K- , where (K+ , [. , .]), (K-, - [. , .]) are Hilbert spaces, and K+ , K- are orthogonal with respect to [. , .].
On K, define the following inner product:

This inner product turns (K, (. , .)) into a Hilbert space, which is called the Hilbert space associated to K. Moreover, there exist unique orthogonal projections onto K+ and K-, which are denoted by P+ and P- respectively. The linear bounded operator J = P+ — P- is called Fundamental Symmetry. It satisfies

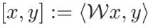
The Hilbert space (K, [. , .]j) is used to study linear operators acting on Krein space (K, [. , .]). Topological concepts such as continuity, closedness of operators, spectral theory and so on, refer to the topology induced by the J-norm given in (1). Therefore, we may apply the same definitions as in the operator theory of Hilbert spaces. For instance, the adjoint of an operator T in Krein spaces (T[*]) satisfies [T (x), y] = [x, T [*] (y)], but we must take into account that T also has an adjoint operator in the Hilbert space (K, [. , .] J), denoted by T*J where J is the fundamental symmetry in K. The relation between T*J and T[*] is T[*] = JT*JJ. Moreover, let K and K be Krein spaces with fundamental symmetries JK and JK, respectively. If T € B(K, K), then T[*] JKT*JKJK. An operator T € B(K) is said to be self-adjoint if T T[*], and J-self-adjoint if T T[*] Furthermore, a linear operator T is said to be invertible if its range and domain are the whole space.
Definition 2.1 Let V be a closed subspace of K. The subspace

Is called the J-orthogonal complement of V with respect [. , .] (or simply J-orthogonal complement of V).
Definition 2.2 A closed subspace V of K such that V ∩ V[⊥] = {0} and V + V[⊥] = K, where V[⊥] is given in (2). Is called projectively complete.
Proposition 2.3 ([6, Theorem 7.16]). Let (K, [. , .]) be a Krein space and let V be a closed subspace of K. The following statements are equivalent:
i) V is projectively complete.
ii) V is a Krein space.
iii) Any vector y ε K has at least one J-orthogonal projection onto V.
For more details on Krein spaces, see [6],[7].
2.1. Hilbert spaces with W-metrics
Definition 2.4. Let H be a separable Hilbert space with scalar product (. , .) and induced norm || . || = √(. , .). Consider an operator W = W* є B(H) with ker W = {0}. The sesquilinear form Hw

Defined on H is called W-metric, or W-inner product, and the operator W is called Gram operator.
Remark 2.5 (Consequences induced from the Gram operator), Let W be a Gram operator on H.
i). If 0 ∉ spec (W), then
||w-1||-1||x||2 ≤||x||2J ≤||w|| ||x||2, ⋁x € H (4)
Therefore,
Hw:= (H, [. , .]J)||.||J = (H, [. , .]J). (5)
ii). If 0 ∈spec (W), then
||x||J ≤ √||W|| ||x||, ⋁x € H (6)
In this case,
Hw := H||.||J ≠ H. (7)
Definition 2.6. Let (H, (. , .)) be a separable Hilbert space. The Krein space HW is said to be regular if the Gram operator W is such that 0 ∈ p(W). Otherwise, it is said to be singular.
In what follows all the Hilbert spaces are separable. For more details about the regular and singular Krein spaces see [5].
Remark 2.7. Consider the polar decomposition of W,

Where the linear operator J : (ker |W|)⊥ = H Rang |W| = H → Rang W = H is a partial isometry. However, ker J = {0}, thus J = J* is a unitary operator.
Definition 2.8. The space HW is the Krein space (H||.||J, [. , .]) with the sesquilinear form

And the J-norm ||.||J given by the scalar product

Where J is the symmetry of Hilbert space H defined by W = J|W|.
Proposition 2.9. If HWi is a family of Hilbert spaces with W-metrics indexed by i є I, then the direct sum of the HWi, denoted

Is a Hilbert space with W-metric, where the Gram operator W is given by

Proof. It is well known if Hi is a family of Hilbert spaces indexed by i є I, then the direct sum

Is a Hilbert space with scalar product given by (. , .) ҡ = ∑iєI(. , .) Hi. Thus, if W = ⊕iЄI Wi, then W-metric

Is well defined and bounded. Therefore, the completion ҡW of (ҡ, (W . , .)) is a Hilbert space with W-metric and ҡw = ⊕iЄI HWi.
2.2 ℓ2(N) as a Hilbert space with W-metric
On ℓ2 (N) consider the following sesquilinear form [. , .] ℓ2(N):

where (an)n€N is a sequence of non zero real numbers belonging to c0(N). Let {δn}n€N be such that δn,m = 1 if m = n, and δn,m = 0 for m ≠ n. It is well known that {δn}n€N is a orthonormal basis of ℓ2 (N), and that the diagonal operator ϐ:ℓ2(N) → ℓ2(N) given by

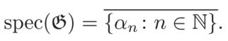
Is bounded, self-adjoint and has the spectrum

Thus, the sesquilinear form [. , .] ℓ2(N) is a W-metric on ℓ2(N) and satisfies

Since ϐ = J|ϐ|, where Jδn = sign (an)δn for each n € N, we have by Definition 2.8 that
[z, w]J = (|ϐ|)z, w, z,w € ℓ2(N)
Defines a scalar product on ℓ2(N). Hence, t2,w (N) :=( ℓ2(N)), (ϐ . , .) ||.||J is a Hilbert space with W-metric with Gram operator ϐ. Up to unitary equivalence, we may write

Remark 2.10. Since an n → ∞ 0, one gets 0 € spec (ϐ) and ℓ2(N) ⊊ t2,w (N) by Theorem 4.2 in [14].
Proposition 2.11. Let t2.w (N) be the Hilbert space with W-metric with Gram operator ϐ given in [14]. Then U := √|ϐ| is a unitary operator U from the Hilbert space (t2,w (N), [. , .]J) onto (ℓ2 (N), (. , .)).
Proof. Let U = √|ϐ| : t2,w (N) →ℓ2 (N), where the operator ϐ is given in (13). Hence U is an isometry, since

Moreover, the inverse operator U-1 = (√|ϐ|)-1 : ℓ2 (N) → t2,w (N) is well defined, In fact, since {an}N €N is not identically zero and belongs to C0(N), one gets

2.3. Frames in Hilbert spaces with W-metrics
The next results are based on the frame theory in Krein spaces studied in [14].
Definition 2.12. Let Hw be a Hilbert space with W-metric. A countable sequence {Xn}n€n ⊂ Hw is called a frame for Hw, if there exist constants 0 < A ≤ B < ∞ such that

Since we are mostly interested in infinite-dimensional spaces, and since one can always fill up a finite frame with zero elements, we assume that n=N whenever the finiteness of n is of no importance
Proposition 2.13 ([4]). Let Hw be a Hilbert space with W-metric. The family {Xn}n€n is a frame for Hw, if and only if {xn}n€n is a frame for the associated Hilbert space (Hw, [. , .]J).
Definition 2.14. Let Hw be a Hilbert space with W-metric and t2,w (N) be the Hilbert space with W-metric (ϐ . , .) given in (14). If {xn}n€n is a frame for Hw, the linear map

Is called pre-frame operator.
Remark 2.15. Let {xn}n€n be a frame for a Hilbert space Hw(⋀) with a W-metric.
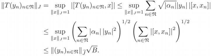
Then, for every {Yn}n€n € t2,w (N) we have

Thus, ||T|| ≤ √B.
The following result provides a criterion for a family {xn}n€n to be a frame for Hw (see [14]) and is an analogue to the Hilbert case.
Proposition 2.16 ([14]). Let Hw be a Hilbert space with W-metric. The family {xn}n€n is a frame for HW, if and only if T is well defined (i.e., bounded) and surjective.
Remark 2.17. It is easily seen that for all (yn)n€n € t2,w(N)

Thus, the adjoint operator T[*] of T is given by

Definition 2.18. ([14]). Let Hw be a Hilbert space with W-metric, (t2,w (N), (ϐ . , .)) be a Hilbert space with W-metric given in (14), and {kn}n€n ⊂ Hw a frame for Hw. The operator.

Is called frame operator.
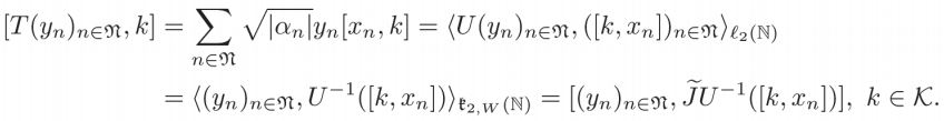
Let {xn}n€n be a frame for Hw. The linear operator T0 : ℓ(N) → Hw given by the rule

is well defined, and its adjoint operator is T0[*]k = ([k, xn])n€n. Observe that the preframe operator T given in (18) is such that

It follows immediately from (21), (22), and J2 = UU-1 = idℓ2(N) that

Furthermore, S is self-adjoint and invertible. If we put an = 1 for each n € N in (12), then
(t2,w (N),[. , .]) = (ℓ2(N), (. , .)), and the frame operator is S — T T* , exactly as in the Hilbert space case.
Proposition 2.19. Let Hw be a Hilbert space with W-metric. If {xn}n€n is a frame for Hw, then the image of the analysis operator, denoted by Rang T[*], is a Krein subspace of t2,w (N).
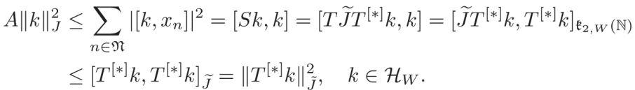
Proof. Since {xn}n€n is a frame for Hw(⋀), there is A > such that

Thus, A||k||J ≤ ||T[*]k||J for each k € Hw; therefore, Rang T[*] is a closed subspace of t2,w (N). On the other hand, if x € Rang T[*] ⋂ (Rang T[*])[⊥], then [x,x]t2,w(N) =0.
Since x = T[*] y for some y € Hw, we have that y € ker T[*], and by injectivity of T[*] (Proposition 2.16), one gets that x = 0. Hence, Rang T[*] is a Krein subspace of t2,w (N).
3. Main results
3.1. Similar frames Hilbert spaces with W-metrics
Definition 3.1. Let (Hw, [. , .]H) and (KG, [. , .]K) be Hilbert spaces with W-metrics and Gram operators VV and G, respectively. Two frames {xn}n€n and {yn}n€n for Hw and KG, respectively, are said to be similar if there exists an invertible operator u : Hw → KG such that Uyn = xn for n € n. The frames are called unitarily equivalent if U is a unitary operator from Hw onto KG.
In [14] it was proven that the behavior of frames in Hilbert spaces with W-metrics depends on whether the Gram operator is bounded or not. However, for any unitary operator U: H → Hw, {xn}n€n is a frame for H if and only if (Uxn)n€n is a frame for Hw.
Remark 3.2. Note that H and Hw are unitarily equivalent, since both are separable.
The following result provides a criterion for a couple of frames to be similar. It is an analogue to Deguang and Larson's result [19] for Hilbert spaces.
Theorem 3.3. Let {xn}n€n, and {Yn}n€n be frames for Hilbert spaces with W-metrics (Hw, [. , .]H) and (KG, [. , .]K), respectively. Let T[*]HW and TKG[*]KG be the analysis operators for {xn}n€n and (yn)n€m, respectively. The frames {xn}n€n and {Yn}n€n are similar if and only if THw[*]HW and TKG[*]KG have the same range.
Proof. Let THw[*]HW and TKG[*]KG be the analysis operator for {xn}n€n and {Yn}n€n, respectively. Suppose that {xn}n€n and {Yn}n€n are similar; then, there is an invertible operator U : Hw → KG such that Uxn = Yn. Hence,

Now, since U[*] is invertible, we concluded that TKG[*]KG (KG) =THW[*]HWU[*] (KG). Thus, Rang TKG[*]KG = Rang THw[*]HW.
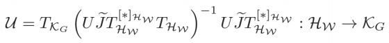
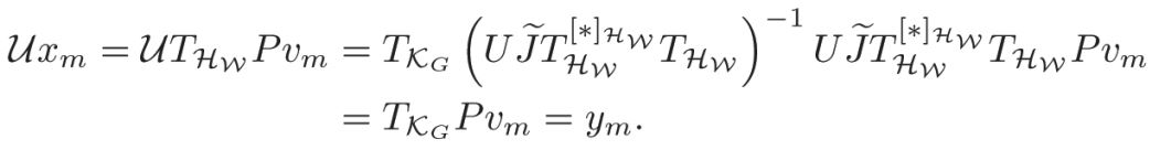
Conversely, supone that Rang TKG[*]KG = Rang THW[*]HW =V. Ley U be the unitary operator in (16). Note that THW|UJV Y TKG|UJV are invertible. Thus, the operator

Is well defined and invertible. By Proposition 2.19 the closed subspace V is projectively complete, so there exists a unique J-orthonal projection P from t2,w(N) on V. If yЄ V(⊥)t2,w(N), then for every z ∊KG and TKG[*]KG Z ∊ V, we got

Since y was arbitrary, we conclude that TKG (V[⊥]t2,w(N)) = {0}. Analogously, we have THW (V[⊥]t2,w(N)) = {0}. Now, consider {Vm}mЄn, where Vm,j =δm,j. By the definition of pre-frame operator (18), we get THW PVm =THWVm = ∑jЄnδm,Jxm. On the other hand, it also satisfies that ym = TKGVm = TKG Pvm. Hence,

3.2. Construction of frames
Proposition 3.4 (Construction of frames with an operator on finite-dimensional Krein spaces). Let (K, [. , .]) be a N -dimensional Krein space with fundamental symmetry J, and S0 be a J-self-adjoint positive operator with respect to [. , .]. Let λ1 ≥ λ2 ≥ . . . ≥λN > 0 be the eigenvalues of S0. Fix k ≥ N and real numbers a1 ≥ a2 ≥ . . . ≥ aK > 0. The following statements are equivalent:
(i) For every 1 ≤ j ≤ N,
∑jn=1 a2n ≤ ∑jn=1 λn, ∑kn=1 a2n ≤ ∑Nn=1 λn. (24)
(ii) There is a frame {xn}kn=1 for the Hilbert space (K, [. , .]J) with frame operator S0 and ||xn||J = an, for all n = 1, …, k.
(iii) There is a frame {xn}kn=1 for the krein space K with frame operator S0J and ||xn||J = an, for all n = 1,…, k.
(iv) There is a frame {Jxn}kn=1 for the Krein space K with frame operator JS0 and ||Xn||j = an, for all n = 1,…, k.
(v) There is a frame {Jxn}kn=1 for the Hilbert space (K, [. , .]J) with frame operator JS0J and ||xn||J = an, for all n = 1, …, k.
Proof. The equivalence between (i) and (ii) is proved in [9]. By Proposition 2.13 and the remarks following Theorem 3.6 in [14], we have the equivalences (ii) ↔ (iii) ↔ (iv) ↔ (v). Now we only need to find the relationship of the respective frame operators with the operator S0.
Since S0 is the frame operator corresponding to the family {xn}kn=1, we have for every x Є K

Therefore, S1:= S0J is the frame operator for the frame {xn}kn=1 in the Krein space K.
Next, for every x € K, one gets

Thus, S2 := JS0 is the frame operator for the frame {Jxn}kn=1 in the Krein space K.
Finally, for every x € K we have that

Hence, S3 := JS0J is the frame operator for the frame {Jxn}kn=1 n in the Hilbert space (K, [. , .]J).
Consider a Hilbert space (H, (. , .)), with a frame {xn}n€n and frame bounds 0 < A ≤ B.
The operator frame S : H → H given by

is bounded, invertible and A Id ≤ S ≤ B Id (see for example [10]). Therefore, the Hilbert space with W-metric Hw = (H, ll.llJ) is a regular Krein space with frame {xn}n€n, where the norm ll.ll J is given by ll.llJ √(S.,.) and satisfies (4).
Now we pose the following problem: find a Hilbert space with W-metric Hw such that H ⊊ Hw, and construct a frame {yn}n€n for Hw unitarily equivalent or similar to (xn)n€m. The next lemma solves the problem.
Lemma 3.5. Let (H, (. , .)) be a Hilbert space and {en}n€n be a orthonormal basis for H.
If ϐ is the linear operator defined in (14), then the linear operator Wϐ: H → H given by

is well defined, bounded, Wϐ* = Wϐ, ker Wϐ = {0} and 0 € spec (Wϐ).
Proof. Let x = ∑n€nxnen. Then x € ker (Wϐ) and only if a e ∑n€nanxnen =0. Therefore anxn = 0 for all n € N, i.e., xn = 0 for all n € N. Thus, x 0. Moreover 0 € spec (Wϐ), since spec (Wϐ) = {an : n €N} and an n→∞ 0.
Proposition 3.6. If (H, (. , .)) is a Hilbert space and {xn}n€n is a frame for H, then there exist a Hilbert space with W-metric Hw such that H ⊊ Hw, and a frame {yn}n€n for Hw which is unitarily equivalent to {xn}n€n.
Proof. Let (H, (. , .)), be a Hilbert space and {xn}n€n be a frame for H. If {en}n€n is a orthonormal basis for H, then by Lemma 3.5 the operator Wϐ given in (25) is well defined, bounded, Wϐ* = {0}. Thus, we may consider Hw, the
Hilbert space with W-metric with Gram operator Wϐ. Now H ⊊ Hw and this is an equality if and only if 0 ∉spec (Wϐ) (see [14, Theorem 4.2]). On the other hand, the existence of a frame unitarily equivalent to {xn}n€n follows from the facts that H and Hw are unitarily equivalent (since both are separable), and that the unitary operators transfer frames into frames with the same frame bounds.
3.3. The coupling of frames
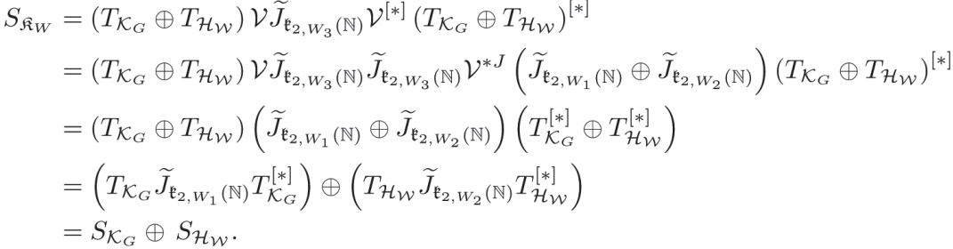
Proposition 3.7. Let KG and Hw be Hilbert spaces with W-metrics, and {Yn}n€n, be frames for KG, Hw, respectively.
Denote by SKG, SHw their corresponding frame operators. Then {xn}n€n ⋃ {Yn}n€n is a frame for KW := KG ⊕ Hw , and the corresponding frame operator is given by

Proof. Set Kw = KG ⊕ Hw. By Proposition 2.9, KG is a Hilbert space with W-metric, where the Gram operator is given by W = G ⊕ W. Now, consider the pre-frame operators

as defined in (18). Let V:t2,w3 (N) →t2,w1(N) ⊕ t2,w2 (N) be any unitary isometry, i.e., VV*J = Idt2,w3(N) and V*J V = Idt2,w1 (N)⊕ t2,w2 (N). Then

is bounded and surjective, hence it is a pre-frame operator for the frame {xn}n€n ⋃{Yn}n€n for Kw = KG ⊕ Hw. Then, by Definition 2.18,

Acknowledgements
The second author is grateful to the coauthors, to Ricardo Cedeño (R.I.P.) and to the Universidad Surcolombiana for their hospitality during his stay in the city of Neiva. The authors wish to express his gratitude to the Universidad de Sucre. The work on the paper was partially supported by the project Extensión de Frames en espacios de métrica indefinida. We also thank an anonymous referee for constructive comments, recommendations and useful suggestions.
References
[1] Acosta-Humánez P., Esmeral K. and Ferrer 0., "Frames of subspaces in Hilbert spaces with W -metrics", An. Stiint. Univ. Ovidius Constanta Ser. Mat. 23 (2015), No. 2, 5—22.
[2] Ali S. T., Antoine J.P. and Gazeau J.P., Coherent states, wavelets and their generalizations, Springer-Verlag, New York, 2000.
[3] Ali S. T., Antoine J.P. and Gazeau J.P., "Continuous frames in Hilbert space", Ann. Physics 222 (1993), No. 1, 1-37.
[4] Ali S. T., Antoine J.P. and Gazeau J.P., "Square integrability of group representations on homogeneus spaces. I. Reproducing triples and frames", Ann. Inst. H. Poincaré Phys. Théor. 55 (1991), No. 4, 829-855.
[5] Azizov T.Y. and Iokhvidov I.S., "Linear operators in Hilbert spaces with G-metric", Russian Math. Surveys 26 (1971), No. 4 45-97.
[6] Azizov T. Y. and Iokhvidov I.S., Linear operator in spaces with an indefinite metric, John Wiley & Sons Ltd., Chichester, 1989.
[7] Bognár J., Indefinite inner product spaces, Springer-Verlag, New York-Heidelberg, 1974.
[8] Casazza P.G., "The art of frame theory", Taiwanese J. Math. 4 (2000), No. 2, 129—201.
[9] Casazza P.G. and Leon M.T. "Existence and construction of finite frames with a given frame operator", Int. J. Pure Appl. Math. 63 (2010), No. 2, 149-157.
[10] Christensen O., An introduction to frames and Riesz bases, Applied and Numerical Harmonic Analysis, Birkhãuser Boston Inc., Boston, MA, 2003.
[11] Daubechies I., “The wavelet transform, time-frequency localization and signal analysis”, IDEE Trans. Inform. Theory 36 (1990), No. 5, 961-1005.
[12] Daubechies I., Grossmann A. and Meyer Y., "Painless nonorthogonal expansions", J. Math. Phys. 27 (1986), No. 5, 1271-1283.
[13] Duffin R.J. and Schaeffer A.C., "A class of nonharmonic Fourier series", Trans. Amer. Math. Soc. 72 (1952), 341-366.
[14] Esmeral K. Ferrer O. and Wagner E., "Frames in Krein spaces arising from a non-regular W-metric", Banach J. Math. Anal. 9 (2015), No. 1 , 1-16.
[15] Gávruta P., "On the duality of fusion frames", J. Math. Anal. Appl. 333 (2007), No. 2, 871-879.
[16] Giribet J.I., Maestripieri A., Martínez Pería F. and Massey P.G., "On a family of frames for Krein spaces", arXiv:1112.1632v1.
[17] Giribet J.I., Maestripieri A., Martínez Pería F. and Massey P.G., "On frames for Krein spaces", J. Math. Anal. Appl. 93 (2012), No. 1, 122-137.
[18] Han D., Kornelson K., Larson D.R. and Weber E. , Frames for undergraduates, American Mathematical Society, Providence, RI, 2007.
[19] Han D. and Larson D.R., "Frames, bases and group representations", Mem. Amer. Math. Soc. 147 (2000) No. 697, 94 pp.
[20] Peng I. and Waldron S., "Signed frames and Hadamard products of Gram matrices", Linear Algebra Appl. 347 (2002), 131-157.
[21] Rahimi A., Najati, A. and Dehghan Y.N., "Continuous frames in Hilbert spaces", Methods Funct. Anal. Topology 12 (2006), No. 2, 170-182.