Artículos
El teorema de Dirichlet sobre F q [t]
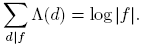
Theorem of Dirichlet on F q [t]
El teorema de Dirichlet sobre F q [t]
Revista Integración, vol. 35, núm. 2, pp. 163-187, 2017
Universidad Industrial de Santander
Recepción: 29 Junio 2017
Aprobación: 29 Noviembre 2017
Resumen:
En este artículo se prueba la existencia de infinitos polinomios primos irreducibles unitarios sobre el cuerpo finito Fq según Pollack a través de caracteres y series-L.
MSC2010: 11C02, 11N32, 12E10, 12Y02.
Palabras clave: Caracteres, Series-L, fórmula de la inversión de Möbius.
Abstract: In this paper we prove the existence of infinite unit irreducible prime polynomials on the finite field Fq by Pollack through of characters and L-series
Keywords: Characters, Series-L, Möbius inversion formula.
1. Introducción
La progresión aritmética de números impares 1, 3, 5, . . . , 2k + 1, . . ., contiene infinitos números primos. Es natural preguntar si otras progresiones aritméticas tienen esta propiedad. Una progresión aritmética con el primer término a y diferencia común m consiste de todos los números de la forma
(1)Si a y m tienen un factor común d, cada término de la progresión es divisible por d y no puede haber más de un primo en la progresión si d > 1. En otras palabras, una condición necesaria para la existencia de infinitos números primos en la progresión aritmética (1) es que (a,m) = 1. JohannP. G. L.Dirichlet fue el primero en probar que esta condición es también suficiente. Esto es, si m > 0 y a son enteros con (a,m) = 1, entonces hay un número infinito de primos p en la progresión aritmética (1), es decir, un número infinito de primos p con p ≡ a mód m. Este resultado es conocido como el teorema de Dirichlet.
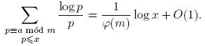
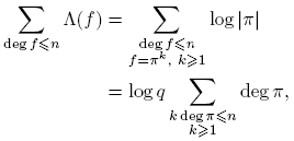
De hecho, Dirichlet estableció que, en cierto sentido, los primos se distribuyen por igual en las progresiones. Euler probó la existencia de infinitos números primos mostrando que la serie Σpp−1, extendida sobre todos los primos, diverge [4]. La idea de Dirichlet era probar una afirmación correspondiente cuando los primos están limitados a estar en la progresión dada (1). En una memoria famosa [3], publicada en 1837 realizó esta idea por ingeniosos métodos analíticos. En 1950, Harold N. Shapiro publicó una prueba elemental del teorema de Dirichlet [7]. Esta también la puede ver en [2]. La prueba de Shapiro realmente obtiene una estimación para
cuando (a,m) = 1, m > 0:

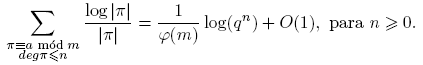
El análogo del teorema de Dirichlet en el caso de un anillo polinomial sobre Fq fue, primero, probado en 1919 por Heinrich Kornblum [6, Capitulo 4]. La estructura de esta demostración es en gran parte la misma como en el caso clásico, y culmina con el análogo de la ecuación
(2)Donde se puede ver que, en cierto sentido, los primos se distribuyen por igual en las progresiones.
Nuestro propósito es mostrar que la prueba de Shapiro y su estimación pueden ser adaptadas para el caso del anillo de polinomios Fq[t] (demostración basada a la mostrada por Paul Pollack en [5]). Es decir, probar que, dado un cuerpo finito Fq y polinomios a,m ∈ Fq[t] con (a,m) = 1, m ≠ 0, se tiene

El argumento de Shapiro puede ser considerado ligeramente más elemental, comparado con el de Kornblum, pues las series L que se necesitan son sumas finitas.
Para ello, se estudiaron las funciones aritméticas definidas sobre el monoide M(q;t). En particular, se usaron los análogos en M(q;t) de la función de vonMangoldt y de la función de Möbius conocidos en Z. Empleamos las propiedades de los caracteres de grupos abelianos finitos (caracteres de Dirichlet módulo m(t)) y sus relaciones de ortogonalidad en el estudio de la funciones L o L-funciones (llamadas series o funciones de Dirichlet ), L(s, χ), asociadas con un carácter χ módulo m(t). Se demuestra, usando un argumento bastante sencillo, uno de los pasos más difíciles de la prueba del teorema de Dirichlet: el poder establecer la no anulación de L(χ) para χ real no principal.
2. Preliminares
Fq denota a un cuerpo de característica p y cardinal q = pk, con p un número entero primo y k un número entero con k ≥ 1. P(q;T ) denota el conjunto de los primos de Fq[t], es decir, de los polinomios irreducibles unitarios. M(q;T ) denota el monoide de los polinomios unitarios con coeficientes en Fq.
Proposición 2.1.El conjuntoU(Fq[t]/(m(t))), conm(t) ∈ Fq[t], definido por

es un grupo multiplicativo de ordenφ(m(t)), dondeφes la función de Euler para los polinomios. En particular, sim(t) es un polinomio primo de gradok, entoncesU(Fq[t]/(m(t))) = (Fq[t]/(m(t)))∗, los elementos no nulos deFq[t]/(m(t)), es un grupo multiplicativo de ordenφ(m(t)) = qk − 1.
Teorema 2.2 (Análogo del teorema de Euler). Si (a,m) = 1 conm(t) ∈ M(q;t), entonces

Véase la prueba en [1, Lección II, Sección 4] o en [6, Capítulo I].
Una consecuencia del teorema anterior es el siguiente:
Corolario 2.3 (Análogo del teorema pequeño de Fermat). Sip(t) ∈ P(q; t) tiene grado d yp(t) ∤ a(t), entonces

Definición 2.4. Una función con valor complejo definida en el monoide M(q;t) se llama una función aritmética. Una función aritmética f ≠ 0 es multiplicativa si f(mn) = f(m)f(n) siempre que (m, n) = 1, y es completamente multiplicativa si f(mn) = f(m)f(n) para todo par m, n ∈ M(q;t).
Definición 2.5. La función aritmética I dada por

se llama la función identidad.
Definición 2.6. El análogo de la función de Möbius μ está definida por

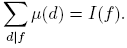
Teorema 2.7.[1, Lección VII, Proposición 6 (a)], [2, Capítulo 2, Sección 2] La función de Möbius satisface la relación

Teorema 2.8.La función de Möbius μ es multiplicativa.
Demostración. Sean a, b ∈ M(q; T ), y escribamos a = p1α1 · · · prαr y b = q1β1 · · · qsβs tales que pi, qj ∈ P(q;T ). Si (a, b) = 1, entonces los pi son distintos de los qj . Si algunos de los αi o de los βj es mayor que 1, entonces a o b tiene algún divisor cuadrado que también lo será de ab. Por lo tanto, μ(ab) = 0 = μ(a)μ(b). Por el contrario, si α1 = · · · = αr = β1 = · · · = βs = 1, entonces μ(a) = (−1)r, μ(b) = (−1)s y μ(ab) = μ(p1α1 · · · prαrq1β1 · · · qsβs) = (−1)r+s. Por lo tanto, μ(ab) = μ(a)μ(b). 
Definición 2.9. La norma | · | de un polinomio unitario de Fq[t] es una función | · | : M(q;t) → N tal que |a(t)| = qn con n = deg(a(t)). Como tal, esta función tiene las siguientes propiedades:
(I). |1| = 1,
(II). si p(t) ∈ P(q;t), entonces |p(t)| > 1, y
(III). |a1(t)a2(t)| = |a1(t)||a2(t)| para a1(t), a2(t) ∈ M(q;t).
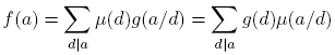
Proposición 2.10 (Fórmula de la inversión de Möbius). Sean f y g dos funciones aritméticas. Suponga que para cadaa ∈ M(q; t) la función

es multiplicativa. Entonces,

y la función f es multiplicativa.
Véase la prueba en [1, Lección VII, Proposición 9] o en [2, Capítulo 2, Sección 7].
Definición 2.11. El análogo de la función de von Mangoldt está definida por

Como Λ(1) = 0, esta función no es invertible y mucho menos multiplicativa.
Definición 2.12. Sea G un grupo abeliano finito, denotado multiplicativamente. Un homomorfismo f: G → C* se llama un carácter de G si f tiene la propiedad multiplicativa

para todo g1, g2 en G, y f(1G) = 1, donde 1G es el elemento unidad de G. El conjunto de todos los caracteres de G se denota con Ĝ, esto es

Todo grupo admite, por lo menos, un carácter fo(g) := 1, para todo g ∈ G. A este carácter se le llama principal. Si f1, f2 ∈ Ĝ, podemos definir una ley de composición interna sobre Ĝ, de la siguiente manera:
(3)para cualquier g de G. Además, fof = ffo = f, para cualquier f ∈ Ĝ.
Definición 2.13. Sea m ∈ Fq[t] un polinomio no constante fijo. Sea χ′ : (Fq[t]/(m(t)))* → C* un homomorfismo. Dado χ′, definamos χ: Fq[t] → C* de la siguiente forma:

Las funciones χ definidas de esta manera son llamadas caracteres de Dirichlet módulo m. El carácter principal χo es el que tiene las propiedades:

Definición 2.14. Sea m ∈ Fq[t]. Una función χ: Fq[t] → C* se llama un carácter multiplicativo módulo m si para cada a, b ∈ Fq[t] se tiene:
(I). χ(a) = 0, si (a,m) ≠ 1.
(II). χ(1) ≠ 0.
(III). χ(ab) = χ(a)χ(b).
(IV). a ≡ b mód m, entonces χ(a) = χ(b).
Los caracteres de Dirichlet (que están definidos en Fq[t]) inducen y están inducidos por elementos en el grupo de caracteres de (Fq[t]/(m(t)))*. Por consiguiente, hay exactamente φ(m) caracteres de Dirichlet módulo m(t). Los caracteres módulo m(t) de un grupo abeliano finito satisfacen ciertas relaciones de ortogonalidad. Aquí tomamos G = (Fq[t]/(m(t)))*. Para nosotros, estas relaciones toman las siguientes formas:
Lema 2.15.[1, Lección VII, Proposición 13] o en [2, Teorema 6.16]. Sean χ1, · · · , χo(Ĝ)caracteres de Dirichlet módulo m (asumiendo χ1como el carácter principal) y u, v ∈ Fq[t] con (v,m) = 1. Entonces,

donde

3. Teorema de Dirichlet en Fq[t], forma fuerte
Antes de proceder, introducimos un poco de notación: para p ∈ Fq[t] se define φ(p) como el cardinal del grupo de unidades de Fq[t]/(p). De aquí en adelante, π siempre denota un mónico irreducible de Fq[t], d, f siempre denotan polinomios mónicos, n siempre denota un entero no negativo. Las sumas de polinomios siempre se entiende que deben tomarse solo sobre polinomios mónicos. Con estos acuerdos, el principal resultado de este trabajo se puede expresar de la siguiente manera:
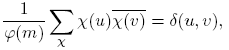
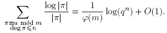
Teorema 3.1.Sean Fq un cuerpo finito, a,m ∈ Fq[t] con (a,m) = 1 ym ≠ 0. Entonces, para n ≥ 0,

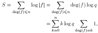
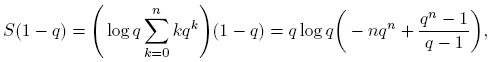
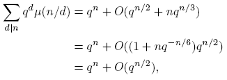
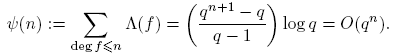
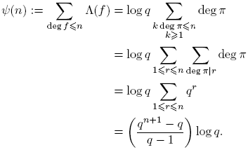
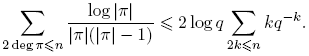
En primer lugar demostraremos un análogo de la estimación log[x]! = x log x − x + O(log x).
Lema 3.2.Para n ≥ 0,

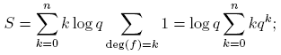
Demostración. Sea S: = Σdeg(f)≤n log |f|. Puesto que |f| = qdeg(f), entonces

tomando k = deg(f). Puesto que Σdeg(f)=k 1 = qk para f(t) ∈ Fq[t], entonces

por lo tanto,

pues Σnk=1qk es una progresión geométrica. Entonces,

También necesitaremos algunos resultados elementales sobre la distribución de primos en Fq[t]. Estos serán consecuencias sencillas de los siguientes:
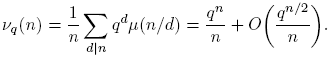
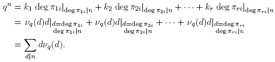
Teorema 3.3 (Teorema del número primo para Fq[t]). SeaFqun cuerpo finito. Seavq(n) el número de polinomios primos (mónicos) de gradonenFq[t]. Paran ≥ 1, Σd|ndvq(d) = qn. Así,

Demostración. Consideremos la factorización prima de tqⁿ − t en Fq[t] y sea π(t) un primo mónico de grado d. Si d|n, entonces
(4)por el análogo del teorema pequeño de Fermat. Por consiguiente,

Recíprocamente, si π(t)|(tqⁿ − t), escogemos
como un generador del grupo multiplicativo (Fq[t]/(π(t)))*. Entonces, dado que, tqⁿ ≡ t mód π(t), tenemos tqⁿ = t+h(t)π(t) con h(t) ∈ Fq[t]. Si g(t) = g0 + g1t + · · · + gktk, donde cada gi ∈ Fq, tenemos g(tqⁿ) ≡ g(t) mód π(t). Por otro lado,

y, además,

puesto que Fq es un dominio de integridad con q − 1 unidades y de característica p. Entonces,

es decir,
. Como
∈ (Fq[t]/(π(t)))*, existe
∈ (Fq[t]/(π(t)))* tal que
. Además, puesto que o((
)) = qd − 1, entonces qd − 1|qn − 1, lo que obliga a que d|n. Sea
(5)la factorización única de tqⁿ − t en polinomios mónicos irreducibles. Por lo que se probó anteriormente, cada irreducible mónico de grado divisor de n debe ser o aparece como uno de los πi, y cada πi es un irreducible mónico de grado divisor de n (pues, πi| tqⁿ −t). Además, ningún πi aparece más de una vez. De esto, se deduce que

Como

entonces, comparando grados, se tiene

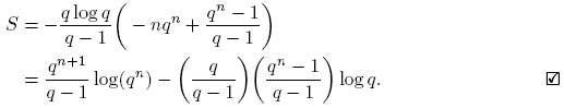
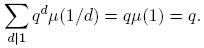
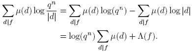
La fórmula para νq(n) se sigue de la fórmula de la inversión de Möbius (Proposición 2.10), así: tomando g(n) = qn y f(d) = dνq(d), se tiene

entonces

Por lo tanto, 
Por otro lado, veamos que
(6)Si n = 1, entonces d = 1. Por lo tanto,

Pero, q = q + 0 = q + O(q1/2 + q1/3). Por consiguiente,

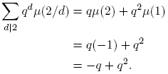
Si n = 2, entonces d = 1 o d = 2. Por lo tanto,

Pero, | − q| = q < q2/2 + 2q2/3. Es decir, −q = O(q2/2 + 2q2/3). Entonces,

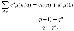
Si n es un número primo > 2, entonces d = 1 o d = n. Por lo tanto,

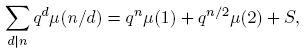
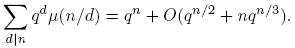
Como n > 2, entonces qn/2 > q, pues n/2 > 1. Entonces, |−q| = q < qn/2 < qn/2+nqn/3. Es decir, −q = O(qn/2 + nqn/3). Luego, (6) se verifica para un primo n > 2. Suponga que n es un número con las siguientes formas: Si n = 2t, con t = 2, 3, · · · , entonces,

donde

Por otro lado, como
, entonces qd < qn/3 y, además, |μ(n/d)| ≤ 1; por consiguiente,
donde t1, t2, · · · , tr son los divisores de n menores que n/4. Por lo tanto,

Entonces,

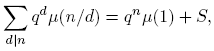
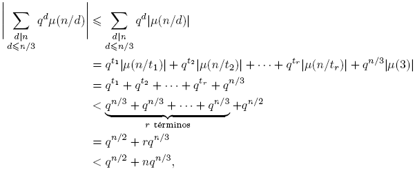
Si n = 3t, con t = 2, 3, · · · , entonces,

donde

Por otro lado,

donde t1, t2, · · · , tr son los divisores de n menores que n/3. Así, de esta forma, se verifica (6). Análogamente, (6) se verifica si n = pt, donde p es un entero primo y t ∈ Z+. De acuerdo con lo anterior, (6) se cumple para n ≥ 1.
De (6) se tiene

concluyendo así lo deseado. 
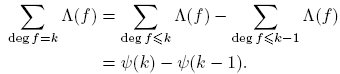
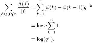
Lema 3.4.Para cada f,

También,

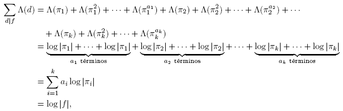
Demostración. Sea f = π1a1π2a2 · · · πkak con πi primo, para 1 ≤ i ≤ k. Entonces,

Por lo tanto,
(7)Por otro lado, si d ∈ {π1, π21, · · · , π1a1 , π2, π22, · · · , π2a2 , · · · , πk, π2k, · · · , πkak }, entonces Λ(d) ≠ 0, por lo cual

debido a (7). La segunda afirmación se sigue por una generalización apropiada de la fórmula de la inversión de Möbius. Podemos dar una prueba directa de la siguiente manera:
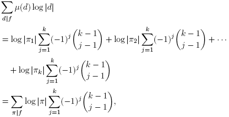
Para evaluar el lado izquierdo es suficiente restringir la suma a divisores libres de cuadrados d. Expandiendo log |d| formalmente, tenemos

donde π son los divisores primos de f distintos mutuamente, y k es el número de divisores primos de f distintos mutuamente. De esta manera,

Nótese que para k = 0, de modo que f = 1, la suma de la derecha es vacía. Si k = 1, entonces f = π1a1 , y el lado derecho se evalúa como −log |π1|. Si k ≥ 2, la suma interior es igual a −(1−1)k−1 = 0. Por lo tanto, en cualquier caso el resultado se demuestra. 
Del Teorema 3.3 podemos inferir lo siguiente:
Afirmación 3.5. La suma de los grados de todos los polinomios primos π(t) en Fq[t] que dividen al entero positivo r es qr. Esto es,

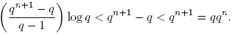
Lema 3.6.Para n ≥ 0,

Observación 3.7. Esta es otra forma del teorema del número primo para Fq[t]. Aquí tenemos una fórmula exacta y simple para esta suma.
Demostración.

pues deg πk = k deg π. Si r = k deg π con k ≥ 1, entonces 1 ≤ deg π ≤ r ≤ n. Por lo tanto, por la Afirmación 3.5, tenemos

Por otro lado, como log q < q − 1, entonces

Es decir,

Considerando los resultados anteriores, se sigue la igualdad deseada. 
Lema 3.8.Para n ≥ 0,

También,

Demostración. La primera igualdad se sigue por la reordenación de la suma, al igual que cuando se prueba la afirmación análoga sobre Z. De esta forma tenemos

Entonces,

Por otro lado, si r = deg π, tenemos

Por consiguiente,
(8)Por otro lado, nótese que para k ≥ 2, se tiene

Entonces, multiplicando ambos lados de la desigualdad anterior por log q, se tiene

Lo anterior implica que

Luego, de (8), tenemos

También, 2qk ≤ q2k para k ≥ 1. Por consiguiente,

Si k = deg π, tenemos

Como consecuencia,

Entonces,

pues, existe M > 0 tal que
. De aquí resulta

Finalmente, puesto que

obtenemos,

De esta manera, se tiene

De la prueba del Lema 3.6, ψ(k) − ψ(k − 1) = qk log q, cuando k ≥ 1; por tanto,

Refiriéndonos a la primera parte del lema, tenemos

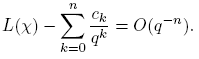
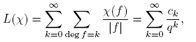
Definición 3.9. Sea s = σ + iγ un número complejo. Para un carácter no principal χ módulo m(t), con m(t) ∈ Fq[t], definamos
(9)como la función L asociada a χ.
Definición 3.10. Para un carácter no principal χ módulo m(t), con m(t) ∈ Fq[t], hagamos
(10) donde
.
Aparentemente, la suma anterior es infinita. Sin embargo, más adelante vamos a demostrar que cuando k ≥ deg m, ck = 0, de manera que en la definición de L(χ) solo se necesita la suma hasta k = deg m− 1.
Proposición 3.11.Para cualquier carácter χ módulo m sobre Fq[t], la serie

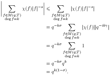
es absolutamente convergente paraσ = Re(s) > 1.
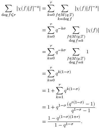
Demostración. Tomemos σ = R(s) > 1. Como |f| = qk, donde k = deg f, y existen qk polinomios mónicos de grado k, tenemos, para todo k = 0, 1, 2, . . ., lo siguiente:

Luego,

Por lo tanto,

Ahora podemos establecer la no anulación de L(χ) para χ real no principal. Considerando que la próxima afirmación es uno de los pasos más difíciles de la prueba del teorema de Dirichlet sobre Z, aquí se trabaja un argumento bastante sencillo.
Teorema 3.12. Siχ ≠ χoes un carácter de Dirichlet real módulom, entoncesL(χ) ≠ 0.
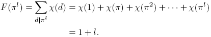
Demostración. Definamos
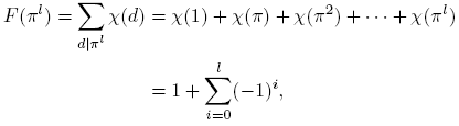
, la cual es una función multiplicativa, pues χ es una función multiplicativa. Ahora, como χ es real, tenemos: si χ(π) = 0, entonces F(πl) = χ(1) = 1; si χ(π) = 1, entonces

Finalmente, sea χ(π) = −1. Como

concluimos que

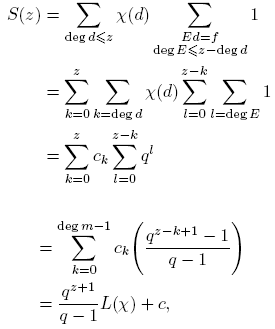
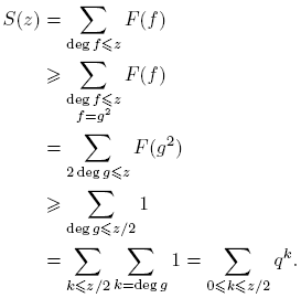
Por lo tanto, siempre se tiene F(πl) ≥ 0, con F(πl) ≥ 1 si l es par. Consecuentemente, siempre se tiene F(f) ≥ 0, y en particular, F(f) ≥ 1 si f es un cuadrado (es decir, f es de la forma π2i, con i = 0, 1, · · · ). Para un número natural z, definamos
.
Entonces,
(11)De donde tenemos que
(12)Por otro lado,

Por consiguiente,

Luego para z ≥ deg m− 1,

donde
es constante. De esta manera, si L(χ) = 0, S(z) = c para z ≥ deg m−1, contradiciendo lo probado en (12). Esta contradicción completa la prueba. 
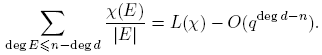
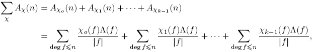
Ahora, estamos listos para movernos a la parte principal del argumento: Estudiaremos las funciones
.
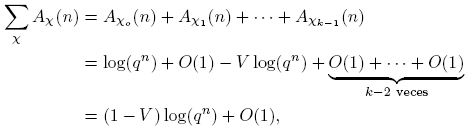
Teorema 3.13.Para n ≥ 0, Aχo (n) = log(qn) + O(1).
Demostración. Nótese que, si (gk,m) = 1, para k ≥ 1, con g y m en M(q;T ), entonces (g,m) = 1. De lo anterior se tiene

donde

Por otro lado, como

para k ≥ 2, entonces

con la ayuda de la prueba del Lema 3.8. Por lo tanto,

por las propiedades de O-grande, y por el Lema 3.8. 
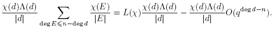
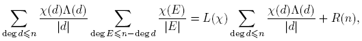
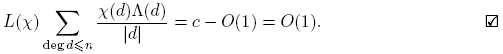
El resto de esta sección está dedicada a mostrar que para χ ≠ χo, Aχ(n) = O(1). El Teorema 3.1 se seguirá de este resultado, del Teorema 3.13 y las relaciones de ortogonalidad.
Lema 3.14.Sea χ un carácter no principal. Paran ≥ 0,

Demostración. Como se demostró anteriormente, la función de la izquierda se anula para k ≥ deg m. También se anula para n ≥ deg m − 1. Por otro lado, supóngase que n ≤ deg m − 2. Nótese que

Entonces,

concluyendo así el lema. 
Lema 3.15.Sea χ un carácter no principal. Para n ≥ 0,
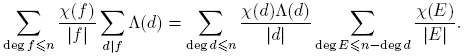
Demostración. Por el Lema 3.4,

Además,

puesto que, para f = Ed,
(13)Ahora, por el Lema 3.14,

Por lo tanto,

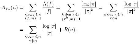
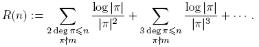
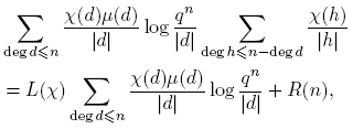
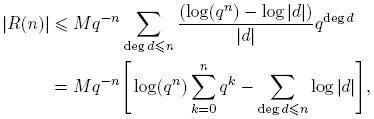
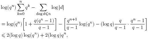
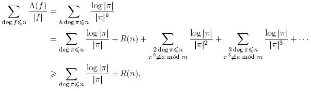
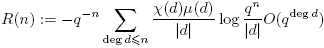
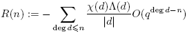
Entonces,

donde
. Nótese que
para M > 0. O sea, R(n) = O(q−nΣdeg d≤n Λ(d)) = O(q−nqn) = O(1), por Lema 3.6. Puesto que para n ≥ deg m, ck = 0, se sigue que

donde c es una constante. Entonces,

Luego,

De lo anterior deducimos inmediatamente el
Corolario 3.16.SiL(χ) ≠ 0 para el carácter no principal χ, entonces Aχ(n) = O(1).
Lema 3.17.Sea χ un carácter no principal. Para n ≥ 0,

En particular, si L(χ) = 0, Aχ(n) = −log(qn) + O(1).
Demostración. Evaluemos
de dos maneras diferentes. Nótese que, por Lema 3.4

Por Teorema 2.7, se tiene

Luego, por un lado,

pues, f = 1 cuando deg f = 0, y f ≠ 1 cuando 0 < deg f. Por otro lado, invirtiendo el orden de la suma, tenemos

donde f = hd (prueba análoga a (13)). Además, por Lema 3.14,

Luego la expresión que está a la derecha se convierte en

donde
. Nótese que

para M > 0. Después, expandiendo la progresión geométrica y restando la expresión obtenida en el Lema 3.2, vemos que

puesto que
. Es decir,

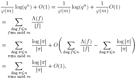
Entonces, R(n) = O(1), pues |R(n)| ≪ q−nqn = 1. Comparando las dos expresiones obtenidas, tenemos

demostrando, así, el teorema. 
Juntando este resultado con el del Corolario 3.16, vemos que hemos demostrado el
Lema 3.18.Sea χ un carácter no principal. Entonces, para n ≥ 0

Demostración. Del Lema 3.17 tenemos, para n ≥ 0,

Si L(χ) = 0, entonces Aχ(n) = O(1) + log(qn)(−1). Por otro lado, del Corolario 3.16 tenemos, si L(χ ≠ 0,

De esta forma concluimos la afirmación del lema. 
Corolario 3.19 (No anulación de L(χ) para χ no real). Si χ es un carácter que toma al menos un valor no real, L(χ) ≠ 0.
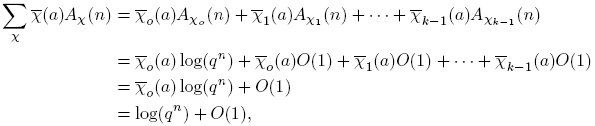
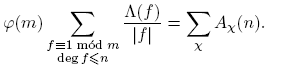
Demostración. Por Lema 2.15, si f ≡ 1 mód m, entonces Σχχ(f) = φ(m). Además,

pues G
Ĝ, tomando o(G) = k. Entonces,

Es decir,
(14)Por otro lado, del Teorema 3.13 y del Lema 3.18 tenemos

donde V es el número de caracteres χ tales que L(χ) = 0, es decir, 1 ≤ V ≤ k−1. Nótese que log |π| = deg π log q > 0, pues log q ≥ log 2 y deg π ≥ 1. Entonces,

Puesto que el lado izquierdo de (14) es no negativo para todo n, debemos tener V ≤ 1. Pero si L(χ1) = 0 para un carácter no real χ1, entonces
. Dado que χ1 toma, al menos, un valor no real, χ1 ≠ χ̅1 y, por tanto, V ≥ 2, hay al menos dos caracteres χ diferentes tales que L(χ) = 0, contradiciendo lo anterior. 
Puesto que por el Corolario 3.19 y el Teorema 3.12, L(χ) ≠ 0 para cada χ no principal, el Corolario 3.16 implica el esperado
Corolario 3.20.Si χ es un carácter no principal, Aχ(n) = O(1).
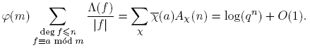
Demostración del Teorema 3.1. Por Lema 2.15, Teorema 3.13, y Corolario 3.20, tenemos:

Como G
Ĝ, tomando o(G) = k, se tiene

Por otro lado,

pues (a,m) = 1. Por lo tanto,

Ahora,

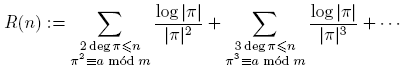
donde

Como

entonces

Por consiguiente,

Por tanto, como m ≠ 0,

por Lema 3.8. Reorganizando, resulta el teorema. 
Referencias
[1] Albis V.S., Lecciones sobre la Aritmética de Polinomios, Policopiado, Universidad Nacional de Colombia, 2002.
[2] Apostol T.M., Introduction to Analytic Number Theory, Springer-Verlag, New York, 1998.
[3] Dirichlet P.G.L., “Beweis des Satzes dass jede unbegrenzte arithmetische Progression, deren erstes Glied und Differenz ganze Zahlen ohne gemeinschlaftichen Factor sind unendliche viele Primzahlen enthglt”, Abhand. Ak. Wiss. Berlin, 1 (1837), 45–81, [Werke, 1: 315–342].
[4] Ireland K. and Rosen M., A Classical Introduction to Modern Number Theory, Springer-Verlag, New York, 1990.
[5] Pollack P., An Elementary Proof of Dirichlet’s Theorem in the Polynomial Setting, Preim-preso.
[6] Rosen M., Number Theory in Function Fields, Springer-Verlag, New York, 2002.
[7] Shapiro H.N.,“On primes in Arithmetic progression II”, Ann. of Math. (2) 52 (1950), No. 1, 231–243.
Información adicional
Para citar este artículo: H. Gamero, J. Blanco, G. Vergara, El teorema de Dirichlet sobre Fq[t], Rev. Integr. temas mat. 35 (2017), No. 2, 163–188.