Artículo Original
Existence of periodic solutions for seasonal epidemic models with quarantine
Existencia de soluciones periódicas para modelos epidemiológicos estacionales con cuarentena
Existence of periodic solutions for seasonal epidemic models with quarantine
Revista Integración, vol. 36, no. 1, pp. 37-47, 2018
Universidad Industrial de Santander
Received: 12 February 2018
Accepted: 21 June 2018
Abstract:
In this work, we establish the existence of periodic orbits for a seasonal saturated epidemiological model of a population consisting of susceptible, infectious and quarantined individuals (an SIQS model). To do so, we use Leray-Schauder degree theory. We also provide numerical examples of these solutions.
MSC2010: 37J45, 34C25, 92D30, 34D23.
Keywords: Leray-Schauder degree, SIQS models, periodic orbits, reproductive number.
Resumen: En este trabajo establecemos la existencia de órbitas periódicas para un modelo epidemiológico estacional con cuarentena y tasa de incidencia saturada. Para realizar lo anterior, usamos un esquema variacional basado en la teoría de grado de Leray-Schauder. También presentamos algunos ejemplos numéricos para ilustrar nuestros resultados analíticos.
Palabras clave: Grado de Leray-Schauder, modelos SIQS, órbitas periódicas, número reproductivo básico.
1. Introduction
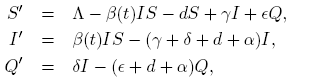
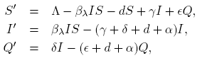
In epidemiological models it is of importance the consideration of possible ways of controlling infectious diseases, such as vaccination or quarantine. Hence the addition of a compartment consisting of quarantined individuals gives a way of exploring possible mitigation effects for controlling or eliminating the disease. We consider a disease model in a population in the following way. At any given time, t, the total population N is divided into three compartments with N(t) = S(t)+I(t)+Q(t) where S is the number of individuals in the susceptible class, I is the number of individuals who are infectious but not quarantined, and Q is the number of individuals who are quarantined. Based in the autonomous bilinear model with quarantine of [5], we formulate a quarantined models with seasonally-dependent saturated incidence rate given by
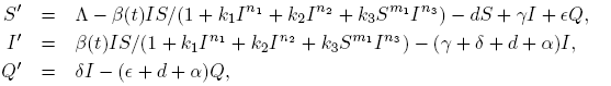
(1)where parameters Λ, δ, d and α are positive constants; γ, ki, ∊ are non-negative constants, and ni,m1 ≥ 1, i = 1, 2, 3. The constant Λ is the recruitment rate of susceptibles corresponding to births and immigration, d is the per capita natural mortality rate, δ is the rate constant for individuals leaving the infective compartment I for the quarantine compartment Q, α is the disease-related death rate constant in compartments I and Q, and γ and ǫ are the rates at which individuals recover and return to susceptible compartment S from compartments I and Q, respectively. In short, we call these models as SIQS models.
The case of a bilinear autonomous SIQS model with β-constant was considered in [5], where thresholds, equilibria, and their stability are studied. In [10] a bilinear nonautonomous epidemic model with quarantine was studied and some conditions for thresholds and eradication of the infectious disease were obtained. In this work, we assume that the interactions between susceptible and infected individuals are modeled by the incidence function β(t)IS/(1 +k1In1 +k2In2 +k3Sm1In3 ), where β(t) is a non constant non-negative continuous T -periodic function. Since several time-dependent factors are very important for the spread of diseases, with the use of a periodic incidence function we can take into account the variability of diseases according to climate seasons, school calendars, etc. Besides with the saturated term 1+k1In1+k2In2+k3Sm1In3 , we measure the inhibition effect from the behavioral change of the susceptible or infected individuals when the number of infected increases. In the case autonomous (with β-constant), several different saturated incidence rates have been proposed by authors, for example: Capasso and Serio [2] introduced a saturated incidence function
in an epidemic model when they studied the cholera epidemic in 1973. Xiao and Ruan [12] proposed an SIRS epidemic model with non-monotonic incidence function
. A general saturation incidence function
was proposed by Liu and coworkers [8], [9] and used by a number of authors. A incidence function with form
was studied in [6]. In [1] was introduced a model with incidence function
. So with our incidence rate can analyze similar situations, but in the non-autonomous case.
In this paper we are interested in the existence of periodic orbits for system (1). To do so, we shall use the Leray-Schauder degree theory, we reformulate the problem in a functional setting, in our development we generalize the Katriel’s frame [7] to our context of quarantined system with saturated incidence rate making appropriate adjustments. In particular, we must adapt its scheme to three dimensional systems, use a Hurwitz condition to control the roots of a characteristic polynomial, also we need use a second homotopy to deal with the term of saturation. In the study of epidemiological models the analysis of periodic solutions is seen as an important goal as this periodicity reveals the recurrence of an epidemic in a population. Hence, determining existence of such solutions under different parameter configurations and incidence functions is crucial.
2. Existence of periodic orbits
The total population size N is variable with N′ = Λ − dN − α(I + Q). Following [5] we can see that, in the absence of disease, the population size N approaches the carrying capacity Λ/d. The differential equation for N implies that solutions of (1) starting in the positive orthant R3+ either approach, enter, or remain in the subset of R3 defined by

Thus it suffices to consider solutions in the region Σ.
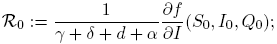
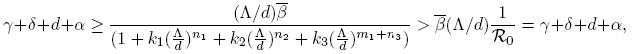
The system (1) always has the disease-free equilibrium (S0, I0,Q0) = (Λ/d, 0, 0). The basic reproductive number R0 has been defined as the average number of secondary infections that occur when one infective is introduced into a completely susceptible host population. When β is constant, it is easily computed by the van den Driessche and Watmough approach [11]: for system (1) we have that

a direct calculation yields

Motivated by this, we consider R0 for system (1) as follows:

We write

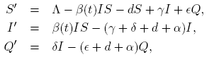
The proof of the existence of periodic orbits for systems of type (1) will be done in two steps. First, we consider the bilinear case ki = 0,
(2)and prove the existence of solutions on this system. Then, we construct an homotopy between (2) and (1).
For λ ∈ [0, 1] we define the homotopy
(3)where βλ: = β̅ + λβ0(t).
To show the existence of a positive periodic solution, we shall use the Leray-Schauder degree theory. To do so, we need to reformulate our system as a functional problem defined on an adequate Banach space where periodic solutions correspond to the zeroes of convenient family of operators. Then, we need to find an open bounded subset on the Banach space such that the family of operators does not support zeroes on the boundary of such open set. After that, we can proceed to determine the Leray-Schauder degree and, if applicable, establish the existence of periodic solutions. In our methods, we are following the approach used in [7], but we establish suitable modifications for the nonlinear incidence case, in particular, we need to use a double homotopy, in the first we work with the linear incidence case, so, we must adapt its scheme to three dimensional systems unlike [7] where it was possible to reduce the problem to a two-dimensional system; after that, for to estimate the Leray-Schauder degree we use a Hurwitz condition to control the roots of a characteristic polynomial; later in our context, we shall use a second homotopy to deal with the saturation term.
We start the proof by introducing for l = 0, 1 the Banach spaces
ClT: = {(S, I,Q) : S, I,Q ∈ Cl(R,R), S(t + T ) = S(t), I(t + T ) = I(t),Q(t + T ) = Q(t)}.
Let L: C1T → C0T and Nλ: C0T → C0T be the operators given by
(4)and

Since L is invertible we define
(5)Since C1T is compactly embedded in C0T , we can think of L−1 as going from C0T to C0T ; therefore, L−1 ◦ Nλ: C0T → C0T is a compact operator. In a similar fashion, we can consider Fλ: C0T → C0T . Thus, (5) is a functional reformulation of problem (3); in particular, periodic solutions of (3) correspond to zeroes of Fλ.
We consider the open sets

and

for a fixed r.
Recall that the existence of a solution for F1 in G via Leray-Schauder degree is guaranteed if deg(F0,G) ≠ 0 and Fλ is an admissible homotopy, i.e., 0 ∉ Fλ(∂G), ∀λ ∈ [0, 1]. The next result says that Fλ is admissible.
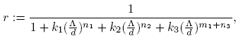
Lemma 2.1.If R0 > 1 and r is such that
< r < 1, then for any λ ∈ [0, 1] there are no solutions (S, I,Q) of (3) on ∂G.
Proof. First note that (S0, I0,Q0) is the only solution of (3) on ∂D for any λ ∈ [0, 1]. If (S, I,Q) ∈ ∂G, then (S, I,Q) ∉ ∂D, so
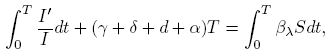
(6)By integrating the second equation in (3) on the interval [0, T ], we have that

but
because I is T -periodic; using the inequality (6) one gets

Now, from our hypothesis,
(7)which is a contradiction. ☑
By Theorem 2 in [5], when λ = 0, the system (3) has exactly two periodic orbits in Σ being these: S0 = Λ/d, I0 = 0,Q0 = 0 and

which in fact are critical points.
We recall that a polynomial is Hurwitz if its eigenvalues have negative real parts. It is well known that if the characteristic polynomial of a linear differential equation is Hurwitz, then any solution converges to the origin, therefore the unique possible periodic solution that a linear system with Hurwitz characteristic polynomial can have is the origin. The following lemma, which is a direct consequence of the Routh-Hurwitz stability criterion, gives us a characterization so that a cubic polynomial is Hurwitz.
Lemma 2.2.The polynomial p(z) = a0z3 + a1z2 + a2z + a3is Hurwitz if and only if ai have the same sign anda1a2 − a3a0 > 0.
The following result determine the degree of F0 on G.
Proposition 2.3.For the open set G, we have that deg(F0,G) ≠ 0.
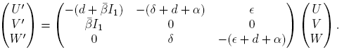
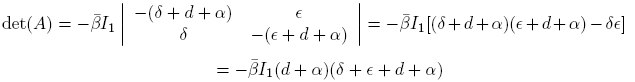
Proof. Note that if R0 > 1, then (S1, I1,Q1) is the unique periodic solution of F0(S, I,Q) = 0 in G. So, to establish the degree deg(F0,G) ≠ 0 we need only to prove that DF0(S1, I1,Q1) is invertible. We have that F0 is a compact perturbation of the identity, so by the Fredholm alternative it is enough to prove that
(8)Consider (U, V,W) ∈ C0T so that (U, V,W) ∈ Ker(DF0(S1, I1,Q1)); by the definition of F0, we get that L(U, V,W) = DN0(S1, I1,Q1)(U, V,W), since

Then, we obtain

Using the definition of

we get

Rewriting and substituting S1, we have
(9)Thus any possible periodic element (U, V,W) ∈ Ker(DF0(S1, I1,Q1)) is in fact a solution of the linear system (9). Therefore it would be enough for us to see that the characteristic polynomial of (9) is Hurwitz.
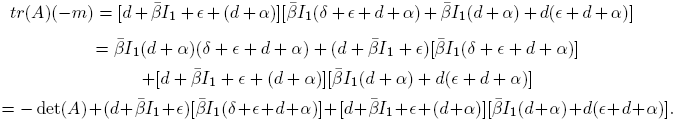
Denoting by A = (aij) the above matrix, we have that its characteristic polynomial is given by
(10)where m: = M11 + M22 + M33, the sum of the minors for the elements of the main diagonal. We have
(11)
(12)and

hence,
(13)Note that tr(A),−m and det(A) are negative, thus all coefficients of the characteristic polynomial are negative; therefore, to apply Lemma 2.2 we need to verify that
(14)So,
(15)Thus the inequality (14) is valid, and by Lemma 2.2 the characteristic polynomial of system (9) is Hurwitz. So the periodic element (U, V,W) is solution of (9) and as any solution of this system converges to the origin by having a characteristic Hurwitz polynomial, then the only option is that (U, V,W) = (0, 0, 0), which proves the result. ☑
Thus we have established our first result
Theorem 2.4.If R0 > 1, then the system (2) admits a non-trivial periodic solution.
Proof. Using the invariance of the Leray-Schauder degree under homotopy by Lemma 2.1 and Proposition 2.3 we obtain that deg(F1,G) ≠ 0, then the system (2) admits a non-trivial periodic solution, which proves Theorem 2.4. ☑
2.1. Saturated case
We now establish the existence of periodic solutions in the case of saturated system (1), when k > 0. Assume that
; then, by taking (and for the rest of the work) in Theorem 2.4

we obtain that deg(F1,G) ≠ 0.
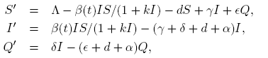
For τ ∈ [0, 1] we define the homotopy
(16)where B: = k1In1 + k2In2 + k3Sm1In3 . We consider the operator Mτ: C0T → C0T given by

Taking L as (4), we define
(17)Thus, (17) is a functional reformulation of problem (1); in particular, periodic solutions of (1) correspond to zeroes of Hτ . Note that H0 = F1, therefore deg(H0,G) ≠ 0. Recall that the existence of a solution for H1 in G is guaranteed via Leray-Schauder degree if deg(H0,G) ≠ 0 and Hτ is an admissible homotopy, i.e., 0 ∉ Hτ (∂G), ∀τ ∈ [0, 1]. So we need only establish that Hτ is an admissible homotopy.
Lemma 2.5.If
, then for any τ ∈ [0, 1] there are no solutions (S, I,Q) of (16) on ∂G.
Proof. Note that if (S, I,Q) ∈ ∂G, then (S, I,Q) ∉ ∂D; therefore,
(18) recall that
.
Multiplying by (1 + τB)/I and integrating the second equation in (16) on the interval [0, T ], we have that

Now, from our hypothesis,
(19)which is a contradiction. Hence Hτ is an admissible homotopy. ☑
By combining our observations we get:
Theorem 2.6.If
, then there is at least one T -periodic orbit of (1) whose components are positive.
2.2. Examples
We now provide numerical evidence of the existence of periodic solutions.
Example 2.7.
(20)where parameters are determined by Λ = 22, d = 0.0001, γ = 15, δ = 0.095, ∊ = 0.28999 and α = 0.026. The incidence function is determined by β(t) = 0.15 (1 + 0.92 cos(2πt)).

Example 2.8.
(21)where parameters are determined by Λ = 22, d = 0.001, γ = 0.8, δ = 0.2, ∊ = 0.19, k = 0.8 and α = 0.029. The incidence function is determined by β(t) = 0.8 (1 + 0.92 cos(2πt)).

Example 2.9.
(22)where parameters are determined by Λ = 1.5, d = 0.0001, γ = 0.2, δ = 0.199, ∊ = 0.19, k = 0.0009 and α = 0.005. The incidence function is determined by β(t) = 0.5 (1 + 2 cos(2πt)).

3. Conclusions
Public health policies have consequences in the behaviour of infectious diseases; in particular, the strategy of quarantine. Feng and Thieme pointed out in [3], [4], that the quarantine process could contribute to sustained oscillations in diseases by combining with other factors such as seasonal variation in the contact rates, stochastic effects, and density dependent demographics.
In our work, we establish analytically the occurrence of sustained oscillations in the some epidemiological model with the quarantine and periodic contact rate. We exhibit numerical evidence of the existence of such periodic solutions by means of numerical simulations of convenient SIQS epidemiological models.
Acknowledgements
The authors would like to thank the anonymous referees for their helpful comments.
References
[1] Adnani J., Hattaf K. and Yousfi N., “Stability Analysis of a Stochastic SIR Epidemic Model with Specific Nonlinear Incidence Rate”, Int. J. Stoch. Anal. (2013), Art. ID 431257, 4 pp.
[2] Capasso V. and Serio G., “A generalisation of the Kermack-McKendrick deterministic epi- demic model”, Math. Biosci. 42 (1978), 43–61.
[3] Feng Z. and Thieme H. R., “Endemic models with arbitrarily distributed periods of infection II: Fast disease dynamics and permanent recovery”, SIAM J. Appl. Math 61 (2000), No. 3, 983–1012.
[4] Feng Z. and Thieme H. R., “Recurrent outbreaks of childhood diseases revisited: the impact of isolation”, Math. Biosci. 128 (1995), 93–130.
[5] Hethcote H., Zhien M. and Shengbing L., “Effects of quarantine in six endemic models for infectious diseases”, Math. Biosci. 180 (2002), 141–160.
[6] Kar T. and Batabyal A., “Modeling and Analysis of an Epidemic Model with Non- monotonic Incidence Rate under Treatment”, J. Math. Res. 2 (2010), No. 1, 103–115.
[7] Katriel G., “Existence of periodic solutions for periodically forced SIR model”, J. Math. Sci. (N.Y.) 201 (2014), No. 3, 335–342.
[8] Liu W., Levin S. and Iwasa Y., “ Influence of nonlinear incidence rates upon the behaviour of SIRS epidemiological models”, J. Math. Biol. 23 (1986), 187–204.
[9] Liu, W., Hethcote H. and Levin S., “Dynamical behaviour of epidemiological models with nonlinear incidence rates”, J. Math. Biol. 25 (1987), 359–380.
[10] Shang L., Meng F. and Xinmiao R., “Global threshold dynamics of SIQS epidemic model in time fluctuating environment”, Int. J. Biomath. 10 (2017), No. 4, 1750060.
[11] Van den Driessche P. andWatmough J., “Reproduction numbers and sub-threshold endemic equilibria for compartmental models of disease transmission”, Math. Biosci. 180 (2002), 29–48.
[12] Xiao D. and Ruan S., “Global analysis of an epidemic model with non monotone incidence rate”, Math. Biosci. 208 (2007), 419–429.
Additional information
To cite this article: S. Guerrero-Flores, O. Osuna, G. Villavicencio-Pulido, Existence of periodic solutions for seasonal epidemic models with quarantine, Rev. Integr. temas mat. 36 (2018), No. 1, 37-47. doi: 10.18273/revint.v36n1-2018003.