Abstract: A family of constructs is proposed that generalizes the notion of closure operator associated to a partial order. The constructs of the family (and some of its sub constructs) hold adjoint relations with Gconv which ensure a topological resemblance; furthermore, it is shown that the constructs are topological categories.
Keywords:Topological categoriesTopological categories,constructsconstructs,adjunctionsadjunctions,MSC2010: 18D35MSC2010: 18D35,18B3018B30,18A4018A40.
Resumen: Se propone una familia de constructos que generaliza la noción de operador clausura asociado a un orden parcial. Los constructos de la familia (y algunos de sus subconstructos) cumplen relaciones de adjunción con Gconv lo que nos asegura un símil topológico; aún más, se demuestra que los constructos son categorías topológicas.
Palabras clave: Categorías topológicas, constructos, adjunciones.
Artículos Originales
Topological Relations
Relaciones Topológicas

Recepción: 15 Junio 2020
Aprobación: 28 Octubre 2020
In [5] it is said that familiarity with categorical techniques can help those who are confronted with a new field to detect analogies and connections to familiar fields, to organize the new field properly, and to separate the general concepts, problems and results from the specials ones which deserve special investigation. Thus, categorical knowledge can help us to direct and organize our thoughts.
Closure operators have had multiple uses and applications. These applications have used finite set models [3, 4, 6], endorsing a pretopological structure to the relationships obtained from modelling the interactions between the elements (relationships that represent nearness, academic influence, domination, etc.).
A categorical approach to the definitions of previously cited works helps to achive the goals stated at the beginning of this section. Therefore, we propose structures that generalize the closure operator used in those works.
Moreover, Blass [2] says that a useful methodological principle in modern mathematics is that, when a kind of mathematics structures are defined, the corresponding morphism between two of such structures should be defined. Therefore, not only new structures are defined but also the morphisms among them.
The constructs proposed in this work have been defined in such a way that adjunctions to classical topological structures (Gconv and some of its full subconstructs) are obtained. We expect that analogous topological concepts can be defined in the future.
First, we determine the nature of the spaces to work as mathematical structures in the sense of [1]. Then our mathematical structures are laid inside a construct in the sense of [1, 5, 7]. As our main concern is to work with generalized forms of pretopological spaces, we endowed our constructs with the properties needed to be topological in the sense of [7]. We proceed to verify the “correct” behavior of our structures settling adjunctions with familiar topological constructs.
Following [7], a construct is a category
whose objects are structured sets, i.e. pairs (X, ε) where X is a set and ε is
-structure on X, whose morphisms f : (X, ε) → (Y, η) are suitable maps between X and Y and whose composition law is the usual composition of maps.
We call X the underlyingset of (X, ε) and f : X → Y the underlying map of f : (X, ε) → (Y, η). As an abuse of notation, we say a map f : (X, ε) → (Y, η) to refer to the underlying map f. An example of this is the following definition:
If (X, ε) and (X, η) are
-constructs, we say that η is coarser than ε (or ε is finer than η) if the identity map 1X : (X, ε) → (X, η) is a
-morphism.
Again, according to [7], a construct
is called topological if it satisfies the following conditions:
(1) Existence of initial structures: For any set X, any family (Xi , εi) i∈I of
- objects indexed by a class I and any family (fi : X → Xi) i∈I of maps indexed by I there exists a unique
-structure ε on X which is initial with respect to X, fi ,(Xi , εi , I ) ; i.e., such that for any
-object (Y, η) a map g : (Y, η) → (X, ε) is a
-morphism iff for every i ∈ I the composite map fi O g : (Y, η) → (Xi , εi) is a
-morphis
(2) For any set X, the class {(Y, η) ∈ Ob(
) : X = Y } of all
-objects with underlying set X is a se
(3) For any set X with cardinality at most one, there exists exactly one
-object with underlying set X.
We mainly work with the construct Gconv and some of its full subcategories. Recall that Gconv denotes the category of generalized convergence spaces (and continuous maps), that is:
For each set X let F(X) be the set of all filters on X. Then a generalized convergence space is a pair (X, q) where X is a set and q ⊆ F(X) × X such that the following axioms are satisfied:
, x) ∈ q for each x ∈ X, where
= {A ⊆ X : x ∈ A};A map f : (X, q) → (Y, p) between generalized convergence spaces is continuous provided that (f(F), f(x)) ∈ p for each (F, x) ∈ q.
Now, we recall some important subcategories of Gconv: A generalized convergence space (X, q) is called
a Kent convergence space provided that the following condition is satisfied:
(F ∩ x,
) ∈ q whenever (F, x) ∈ q,
a limit space provided that the following condition is satisfied:
(F ∩ G, x) ∈ q whenever (F, x) and (G, x) ∈ q
a pretopological space provided that the following condition is satisfied:
(
q(x), x) ∈ q for all x ∈ X, where
q(x) = T {F ∈ F (X) : (F, x) ∈ q}.
A pretopological space (X, q) is called a topological space provided that the following condition is satisfied:
For each U ∈
q(x) there is some V ∈
q(x) such that U ∈
q(y) for all y ∈ V .
The corresponding full subcategories of Gconv are denoted by Kent, Lim, Prtop and Top, respectively.
In this section the concept of topological relation is defined. Also, interesting properties of these relations are proved. Constructs are built with them, we show that those constructs are topological.
Let X be a set and R ⊆ X × P (X). We say that R is a R1-relation onX if:
(RT0) ∀x ∈ X [(x, ∅) ∈/ R ] ,
(RT1) ∀x ∈ X [(x, {x}) ∈ R ] .
If R is a R1-relation on X, we call the pair (X, R) a R1-space. A function f : (X, R) → (Y, Q) between R1-spaces is R1-continuous if:
∀(x, U ) ∈ R ∃V (f(x), V ) ∈ Q ∧ f[U] ⊆ V .
The class of R1-spaces, and R1-continuous functions forms a construct. This construct is denoted by
1. Observe that the identity map 1X : (X, R ) → (X, R1) is an
1- morphism between the
1-objects (X, R ) and (X, R1) if R ⊆ R1. We denote by xR the set {U ⊆ X | (x, U) ∈ R }. The union of this set,
xR is denoted by
xR or just
x when it is clear from context what relation we are referring to.
The following association can be made:
We associate to each (X, R ) ∈
1 an object (X, qR) ∈ Gconv as follows:

We associate each R1-continuous f : (X, R) → (Y, Q) the Gconv-morphism f : (X, qR) → (Y, qQ), with the same underlying function.
Remark 3.1. The above association is a functor:
Given that x R {x} for all x, and x˙ = {x}↑, we have that ( ˙x, x) ∈ qR for all x ∈ X.
If G ⊇ F and (F, x) ∈ qR, then ∃U [x R U ∧ F ⊇ U↑]. Thus we obtain that (G, x) ∈ qR since G ⊇ U↑.
Suppose f : (X, R ) → (Y, Q) is R1-continuous and (F, x) ∈ qR. It follows that ∃U [x R U ∧ F ⊇ U↑]. This implies that U ∈ F and f[U] ∈ f(F); by the R1 continuity we have that, for some V , f(x)QV where f[U] ⊆ V . All the aforementioned implies that f(F) ⊇ f[U]↑ ⊇ V ↑, and also f(F), f(x) , which proves that f : (X, qR) → (Y, qQ) is continuous.
The remaining properties to verify that the association is a functor are easily derived from the construct structure. We denote the previous functor by T1.
The following association can also be made:
We associate to each (X, q) ∈ Gconv an R1-space, (X, Rq) as follows

We associate each Gconv-morphism f : (X, q) → (Y, p) the
1-morphism f : (X, Rq) → (Y, Rp), with the same underlying function.
Remark 3.2. The previous association is also a functor:
By construction we have (RT0). Given that (
, x) ∈ q for all x, in any Gconv space, we have that (RT1), therefore (X, Rq) is an
1-object.
Suppose that f : (X, q) → (Y, p) is a Gconv-morphism and that x RqU. Then ∃ (F, x) ∈ q such that U =
T F. By continuity of f we have that f(F), f(x) ∈ p. Also, construction, f[U] ⊆ V , for all V ∈ f(F). Thus
f(F) ⊇ f[U]. Observe that f[U]↑ ⊇ f(F), this implies that f[U]↑, f(x) . By construction f[U] =
f[U]↑, which implies that f(x) Rp f[U], which makes f an
1-morphism.
Equally, the remaining properties are easily derived from properties of the construct.
We will denote the previous functor by W1.
The following properties will be used to define different constructs.
Definition 3.3. Let X be a set and R ⊆ X × P(X):
(RT2) ∀x ∈ X [x R U ⇒ x R U ∪ {x}].
(RT3) ∀x ∈ X [x R U ∧ x R V ⇒ x R (U ∪ V )].
(RT4) ∀x ∈ X [x R
x]
(RT5) ∀x ∈ X [x R U ∧ y ∈ U ⇒
y ⊆
x].
With these properties it is possible to define
n constructs as the full subconstructs of
1 such that their objects satisfy the RTi properties with i ≤ 5
Remark 3.4. Let (X, R) ∈
1. We define
as (x, U) ∈
⇔ ∃(x, V ) ∈ R [U ⊆ V ].
Then
));
the

This means that if we are interested in studying
n constructs through the functors T1 and W1, then we may assume R =
. Furthermore, we can replace (RT0) by

We will now see that the constructs
n, with 1 ≤ n ≤ 5, are topological. First, we will show this for
1 and then for the others.
And
Theorem 3.5.Let {(Xi , Ri)}i∈Iand {fi : X → (Xi , Ri)}i∈I be a family of
1-spaces and maps, respectively. Thestructure R over X defined as

is an initial structure.
Proof. Because fi(x) Ri {fi(x)} for all x ∈ X and all i ∈ I, we obtain that x R {x}. Therefore we obtain RT1; the verification of RT0 is straightforward. The previous shows that (X, R) is an
1 structure. Next we are going to verify the initiality.
Let g : (Y, Q) → (X, R) a map such that fi o g : (Y, Q) → (X, Ri) is an
1-morphism. We have to prove that g is an
1-morphism. Let y Q V . We will prove that ∃U ⊆ X g(y) R U ∧ g[V ] ⊆ U . Because fi o g is an
1 morphism for each i ∈ I, then

By the construction of R, we have that g(y) R g[V ]. Now we will show that R is the coarsest structure that makes each fi R1-continuous. Suppose that R´ does it too. Let 1X : (X, R ´ ) → (X, R ) be the identity map and (x, U) ∈ R ´ . We will prove that

but this is equivalent to fi : (X, R ´ ) → (X, Ri) being
1-continuous, which is true by hypothesis.
To show that
i is also topological for 1 < i ≤ 5, it is enough to prove that the structure R defined in Theorem 3.5 is an
i-structure when {fi : X → (Xi , Ri )}i∈I is an
i-source.
Theorem 3.6.The constructs
iwhen 1 < i ≤ 5 are topological.
Proof. 1)
4 is topological. Indeed, let {fi : X → (Xi , Ri)}i∈I with {(Xi , Ri)}i∈I ⊆
4. Let (X, R) be defined as in indeed, Theorem 3.5. We shall prove that (x,
xR) ∈ R. ∀U ∈ xR ∃VU fi(x) Ri VU ∧ fi [U] ⊆ VU . Because each (Xi , Ri) is an
4-object, then (fi(x),
fi(x)Ri) ∈ Ri . It follows that

which concludes that x R
xR.
The proof that
2 and
3 are topological constructs is similar.
2)
5 is topological. To see this, let {fi : X → (Xi , Ri)}i∈I with {(Xi , Ri)}i∈I ⊆
5; (X, R) as defined in Theorem 3.5; (x, U) ∈ R and y ∈ U. We shall prove that
y ⊆
x. Since (x, U ) ∈ R, we have that ∀i ∈ I ∃Vi fi(x) RiVi ∧ fi [U] ⊆ Vi . It follows that fi(y) ∈ fi [U] ⊆ Vi for each i and, since each (Xi , Ri) is
5, we obtain
fi(y) ⊆
fi(x) . Let z ∈
y then ∃A [y R A ∧ z ∈ A]. Observe that z ∈
x is equivalent to ∃U ´ x R U ´ ∧ z ∈ U ´ . By construction we have that ∀i ∈ I ∃Wi fi(y) Ri Wi ∧ fi [A] ⊆ Wi . From this it follows that fi(z) ∈ fi [A] ⊆ WA ⊆
fi(y) ⊆
fi(x) . So, we obtain that x R {z}.
From an
1-object, (X, R), we can construct
n-objects as follows:
By letting Rk = R ∪ R ∗ , with R ∗ = {(x, U ∪ {x}) | x RU }, we obtain an
2-object. Defining Rl = R ∪R∗ , with R ∗ = {(x, ∪A) | A ⊆ xR ∧|A| < ℵ0}, we obtain an
3-object. And RC = R ∪ R ∗ , with R ∗ = {(x, ∪A) | A ⊆ xR }, is an
4-object.
We define recursively over ω the following sets for each x ∈ X: xR0 = xR, xRn+1 = {V ∈ yRn | ∃U ∈ xRn [y ∈ U]} ∪ xRn, xRω = S {xRn | n ∈ ω}. Hence, (X,(Rω)C ) is an
5-object.
Theorem 3.7.
4is a reflective subcategory of
1.
Proof. Let (X, R) be an
1-object and let RC be as previously defined. Let us see, in fact, that (X, RC ) is an
4-object. It is enough to show that
xRC =
xR. One inclusion follows by definition. Let x ∈
xRC , if x ∈ U ∈ R we have finished. Suppose that x ∈ U ∈ R ∗ . This implies that ∃V ∈ R [x ∈ V ∈ xR], so x ∈
xR, which shows that (X, RC ) is an
4-object.
We will see that the identity map 1x : (X, R ) → (X, RC ) is a morphism and serves as a reflector; for which we shall prove that the following diagram commutes if
has f as an underlying map.

Let f : (X, R) → (Y, Q) and (x, U ) ∈ RC . If U ∈ R, we have finished. Suppose that U ∈ R∗ ; then U =
A. By the
1-continuity of f, we have that ∀W ∈ A∃VW f(x)QVW ∧ f[W] ⊆ VW ; all this implies that

The proofs that
2 and
3 are reflective are similar to that for
4.
Theorem 3.8. Let (X, R ) ∈
1and Rω as previously defined. Then:
(X, Rω) satisfies RT5,
for any
1-morphism f : (X, R) → (Y, Q) with (Y, Q) an
5-object, the diagram

commutes if
and f have the same underlying map.
Proof. a) Let (x, U) ∈ Rω and y ∈ U. We shall prove that
y ⊆
x. Let z ∈
y =
yRω, then ∃V ⊆ X ∃n ∈ ω z ∈ V ∧ V ∈ yRn ; let
be the least n ∈ ω which satisfies the property. Since U ∈ xRω we have that ∃m ∈ ω [U ∈ xRω]; let
be the least m ∈ ω which satisfies the property. Let l = max(
,
). With this we obtain that z ∈ V ∈ xRl+1 ⊆xRω ⊆
x.
b) Let (x, U) ∈ Rω. Let n ∈ ω the least natural number such that (x, U) ∈ Rn. We shall prove by induction over n that, if 0 < n, there are N ∈ ω, {Ai}i∈N+1 ⊆ P(X) and {xi}i∈N+1 ⊆ X such that:

Base case, n = 1. By definition we have that

Letting N = 0, A1 = V and x0 = y we obtain what is required.
Inductive step. Let (x, U) ∈ RM+1 (remark our hypothesis, M + 1 is the least natural number which satisfies that membership). By definition we have that ∃V ⊆ X ∃ y ∈ X (y, U) ∈ RM ∧ y ∈ V ∧ (x, V ) ∈ RM. Using the induction hypothesis with (y, U) ∈ RM and (x, V ) ∈ RM we obtain that there are N ∈ ω, {Ai}i∈N+1 ⊆ P(X), {xi}i∈N+1 ⊆ X and, N ´ ∈ ω, {A´i }i∈N0+1 ⊆ P(X) y {x´i }i∈N +1 ⊆ X, respectively. For j ∈ N + N ´ + 2 we define

This construction satisfies what is required: B0 = A0 = U, zN+N0+1 = x´ N´ = x and that zN = y ∈ V = A´0 = BN+1.
Let M = N + N ´ + 1. By construction and the
1-continuity of f we have that there is a family {Vj}j∈M+1 ⊆ P (Y ) which satisfies that f(zj ) Q Vj and f[Bj ] ⊆ Vj for each j ∈ M + 1. The previous and that (Y, Q) is an
5-object implies that:

Since f(x)QVM and from RT4, we have that f(x)Q
f(x) , which ends the proof.
Remark 3.9. To prove that
: (X,(Rω)C ) → (Y, Q) is continuous, the case when U =
A with A ⊆ xRω remains. In this case we proceed in the same way as Theorem 3.7, where the existence for each VW is obtained in the same way as it done in Theorem 3.8.
To prove that (X,(Rω)C ) satisfies the property RT5, observe that
xR ω =
xRωc .
From the previous observation we can deduce the following:
Theorem 3.10.
5is reflexive in
1.
Example 3.11.Let X = ω.
1-space but not an
2-space.
2-space but not an
3-space.
3-space but not an
4-space.
4-space but not an
5-space.
5-space.
Remark 3.12. We said that these constructs generalize the closure operators generated by a reflexive poset. Indeed: If ≤ is a reflexive partial order over X, define an
4-object, (X, R), as x R U ↔ U = {y ∈ X | x ≤ z}. Then, the canonical closure constructed from (X, ≤) coincides with the canonical closure constructed from T1((X, R)).
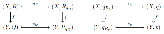
We will show that the functors T1 y W1 are adjoints; since the functors assign the same underlying map to the morphism, it will be enough to show that the unity and co-unity must have the identity map as their underlying maps.

Having proved that the identity maps works as unity and co-unity, we get that T1(η(X,R)) : (X, qR) → (X, qRqR ) has an identity as their underlying map. Since the identity map ε(X,qR) : (X, qRqR ) → (X, qR) is a morphism and by definition of the Gconv continuity we can conclude that qR = qRqR . Those structures being equal, ε(X,qR) and T1(η(X,R)) are the identity morphism over (X, qR). This trivializes the triangular identity εT1 o T1η = 1T1 , since both maps from the left side are 1T1 . Analogously this can be shown for W1ε o ηW1 = 1W1 .
Theorem 4.1.The identity map εq : (X, qRq ) → (X, q) is Gconvcontinuous.
Proof. Let (F, x) ∈ qRq . By construction we have the following

and ∃(G, x) ∈ q [U =
G] . Then U↑ ⊇ G, which implies that (U↑, x) ∈ q. Since F ⊇ U↑ ⊇ G, we conclude (F, x) ∈ q.
Theorem 4.2. The identity map ηR : (X, R) → (X, RqR ) is
1-continuous.
Proof. Let x RU. By definition, (U↑, x) ∈ qR. Since U =
U↑, we conclude that x RqR U.
Example 4.3.Let (X, R) be an
1-object.
If (X, R) is an
1-object such that X ∈ xR, then (F, x) ∈ qR for all F ∈ F (X). In this case we get the properinclusion R
RqR .
Let X = (0, 1] ⊆
. Define V as the filter generated by the family {(0, δ] | 0 < δ ≤ 1} and let q(x) denote the set {F ∈ F (X) | (F, x) ∈ q}. Let (X, q) be such that q (1) has 1˙, Vand all the superfilters of V as members. Then qRq (1) = {1˙}. In this case we get the proper inclusion qRq
q.
The following observation will be useful to prove Theorem 4.5 below.
Remark 4.4. Let I be a non empty set, M = {Fi}i∈I ⊆ F(X) and N = { S {g(i)}i∈I | g ∈ Q i∈I Fi}. Therefore,
M = N.
Fi | i ∈ I} then 
M =
L.1) For
M ⊆ N, if U ∈
M, it is enough to choose g such that g(i) = U for all i ∈ I. For N ⊆
M it is enough to see that for each
∈ I, g(
) ⊆
{g(i)}i∈I .
2) For 
M ⊇
L, observe that
M ⊆ Fi for each i ∈ I. For 
M ⊆
L, let us see
M as N = {
{g(i)}i∈I | g ∈
i∈I Fi}. Let z ∈ 
M. This means that for each g ∈
i∈I Fi , there is an i such that z ∈ g(i). Suppose that z /∈
L. This implies that, for each i ∈ I, we can select an Ai ∈ Fi such that z /∈ Ai . If we define
(i) as Ai we have that z /∈
{
(i)}i∈I , a contradiction.
Restricting the functor T1 over
i and W1 over Kent,Lim, Prtop and Top (which will be denoted by Tn and Wn, respectively) we obtain the following:
Theorem 4.5. The following constructs are adjoints:
2andKent,
3andLim,
4andPrtop,
5andTop.
Proof. (a) T2 is well defined: Let (X, R ) ∈
2, (F, x) ∈ qR. By construction ∃U[x RU ∧ F ⊇ U↑]. By the (RT2) property we have x R U ∪ {x}. Since F ∩ x˙ ⊇ (U ∪ {x})↑, we conclude that (F ∩ x,
) ∈ qR.
W2 is well defined: Let (X, q) ∈ Kent, x Rq U. By construction ∃(F, x) ∈ q [U =
F ‡ ∅] . By the Kent property, we have that (F ∩
, x ) ∈ q. By Remark 4.4 (choosing M = {F,
}) we have
(F ∩
) = U ∪ {x}, and, by the functor definition, we have that x RqU ∪ {x}.
(b) T3 is well defined: Similar to (a), it can be easily proven that if F,G ∈ qR(x), we get that there are U, V ⊆ P (X) such that F ⊇ U↑,G ⊇ V ↑, x R U and x R V . Finally, by F ∩ G ⊇ (U ∪ V ) ↑ (Remark 4.4) we conclude that F ∩ G ∈ qR(x).
W3 is well defined: Again, using the technique from (a) and by Remark 4.4, we have that if x RqU and xRqV , then there are F, G ∈ q(x) such that
F = U‡ ∅ and
G = V = ∅. But
F ∩ G = U ∪ V , which implies that xRqU ∪ V .
(c) T4 is well defined: Let (X, R) ∈
4. By Remark 4.4 we have
F∈qR(x) F Э
x.
W4 is well defined: Let (X, q) ∈ Prtop. By Remark 4.4 we have that 
x = 
q(x) =
{
Fi | i ∈ I} =
x.
(d) T5 is well defined: Let (X, R) ∈
5. Let U ∈
x and take V as
x. If y ∈ V , then

From this and (RT5), we have that
y ⊆
x. Thus Ux ∈
y and U ∈
y. This shows that (X, qR) is a topological space; observe that
x =
x↑ for all x, then (X, qR) is always an Alexandroff space.
W5 is well defined: Let (X, q) ∈ Top, xRqU and y ∈ U. By (c) it is known that 
x =
x. y ∈ U, then there exists (F, x) ∈ q such that y ∈
F = U. Thus ∀V ∈
x[y ∈ V ]. Let V ∈
x. Since (X, q) ∈ Top, we have that ∃V ´ ∈
x [∀z ∈ V ´ [V ∈
z]] . In particular V ∈
y. Therefore
y ⊆ V . Since V was arbitrary,
y ⊆ 
x =
x.
It remains to determine which properties the functor W1 preserve, and how they will be stated in an
1 construct.
To cite this article: E. Angulo-Perkins and J. Angoa-Amador, Topological Relations, Rev. Integr. temas mat. 39 (2021), No. 1, 79-89. doi: 10.18273/revint.v39n1-2021006
The authors wish to thank the referees for their valuable observations and comments, which helped improve greatly this paper.
eapmat@yandex.com