Artículos Originales
Grafos pesados y aplicaciones estables de 3-variedades en R 3
Weighted graphs and stable maps of 3-manifolds in R 3
Grafos pesados y aplicaciones estables de 3-variedades en R 3
Revista Integración, vol. 39, núm. 1, pp. 111-130, 2021
Universidad Industrial de Santander

Recepción: 28 Julio 2020
Aprobación: 25 Febrero 2021
Resumen:
En el presente artículo se estudia el espacio de grafos con pesos, junto con dos operaciones entre estos grafos. Los resultados que se encuentran en este espacio son usados en el estudio de aplicaciones estables de 3-variedades en
3 , en particular cuando la 3-variedad es Mn, donde esta variedad es la suma conexa de n-copias de S1 × S2 con M0 = S3 . Además, se prueban resultados importantes para la construcción de este tipo de aplicaciones.
Palabras clave: Aplicaciones estables, conjunto singular, grafos pesados, 3- variedades, 3-esfera, MSC2010: 58K15, 57R45, 57M15, 57R65.
Abstract:
In this paper we study the space of graphs with weights together with two operations between these graphs. The results found in this space are used in the study of stable maps of 3-manifolds in
3 , in particular when the 3-manifold is Mn, where this manifold is the connected sum of n-copies of S1 × S2 with M0 = S3 . In addition, important results are proven for the construction of this type of maps.
Keywords: Stable maps, singular set, weighted graphs, 3-manifolds, 3-sphere.
1. Introducción
Los grafos con pesos son una herramienta para el estudio de aplicaciones entre variedades usada por varios matemáticos [3], [4], [9], [11], [6]. En [9] introdujeron grafos con pesos en vértices y aristas, asociándolos a las aplicaciones estables de 3-variedades cerradas y orientadas en
3 , como invariantes topológicos globales. En [11] introdujeron las cirugías (operaciones) entre aplicaciones estables de 3-variedades en
3 , las cuales inducen cirugías entre los grafos asociados a estas aplicaciones. Tomando en cuenta estas cirugías en grafos con pesos, es posible estudiarlos y obtener resultados para el estudio de las aplicaciones estables.
El documento está organizado de la siguiente manera. En la Sección 2, se estudia el conjunto de los grafos bipartitos con pesos en vértices y aristas, e introducimos las cirugías en este tipo de grafos. Se estudia la estructura algebraica que tiene este espacio de grafos. Esta forma de estudiar grafos con pesos es un enfoque que nace de los grafos asociados a aplicaciones estables y sus cirugías, que se presenta en la primera sección.
En la Sección 3.1, presentamos una aplicación de los resultados que encontramos en la Sección 2. Para esto comenzamos presentando, de forma resumida, la definición, ejemplos y resultados de estos grafos para aplicaciones estables de las 3-variedades S3 y S1 × S2 en
3 . El objetivo es dar a conocer la construcción de estas aplicaciones asociadas a un grafo bipartito con pesos no negativos en los vértices y aristas, haciendo un paralelo a las construcciones de aplicaciones estables entre superficies introducidas por HaconMendes-Romero en [4] y [3], usando para esto las cirugías entre aplicaciones estables que se presentan en la subsección 3.1. Además, se estudia los efectos de estas cirugías en los grafos asociados. Finalmente, presentamos resultados en torno a la construcción de aplicaciones estables de S3 y S1 × S2 en
3 , usando los resultados de la Sección 2; además, probamos de manera sencilla el Teorema 5.5 de [11].
Cabe indicar que en [11], [5] y [6] los autores estudiaron y presentaron otras técnicas para construir aplicaciones estables, usando las transiciones de codimensión 1, presentadas en [7] y [2].
2. Grafos bipartitos pesados
Definición 2.1. Un grafo G es llamado grafo pesado si tiene asociado a cada vértice y a cada arista un entero no negativo. Un grafo es bipartito si todos los ciclos tienen un número par de aristas. Finalmente, un grafo es vacío si no tiene aristas.
Notación. Denotaremos por
al conjunto de todos los grafos pesados, bipartitos, conexos y no vacíos.
Definición 2.2. Un grafo G ∈
será representado por la cuaterna [V, E, Wv, We] = G donde V y E son, respectivamente, el número de vérticesy aristas; Wv y We son la suma de pesos en los vértices y suma de pesos en las arista, respectivamente. Puesto que G es un grafo no vacío, tenemos que V ≥ 2, E ≥ 1, Wv ≥ 0 y We≥ 0. Estos números son enteros no negativos.
2.1. Cirugías.
Cirugía es una operación que une dos grafos de
o une dos vértices en un mismo grafo (ver Figura 1). Estas cirugías se definen exactamente de la siguientes dos maneras:
Definición 2.3. Dados G = [V, E, Wv, We], H = [V ′ , E ′ , W ′ v , W ′ e ] ∈
la cirugía horizontal y cirugía vertical entre G y H denotada por G ⊕hH y G ⊕νH respectivamente, se definen como:
a) G ⊕hH se construye en tres etapas: (i) se elige una arista en cada grafo correspondiente; (ii) se identifican las aristas elegidas con sus vértices respectivos, uniendo así los grafos G y H; (iii) se suman los pesos de los vértices y aristas identificadas. El grafo obtenido por este proceso será denotado por G ⊕hH. Una representación gráfica de esta cirugía está en la Figura 1(a). Si esta cirugía se hace en el mismo grafo G, se escogen las aristas de forma que el nuevo grafo resultante al realizar la cirugía horizontal sea bipartito y será denotado por ⊕h(G), y cuya representación está dada por:

b) G ⊕νH también se construye en tres etapas: (i) se elige un vértice en cada grafo; (ii) se unen por una arista los vértices elegidos, uniendo así los grafos G y H; (iii) el peso en la arista que se creó para unir los vértices en cero y los pesos en los vértices no cambian. Finalmente, el grafo obtenido de esta forma será denotado por G ⊕νH. Si esta cirugía se hace en el mismo grafo G, se escogen los vértices de forma que el nuevo grafo resultante al realizar la cirugía vertical sea bipartito y será denotado por ⊕ν(G). Una representación gráfica de esta cirugía está en la Figura 1(b), y cuya representación está dada por:

Note que el grafo ⊕ν(G) tiene un ciclo a más que G.

Definición 2.4. El conjunto
, junto con las cirugías horizontal y vertical definidas anteriormente, es llamado el espacio de grafos pesados bipartitos y será denotado por (
, ⊕h, ⊕ν).
Definición 2.5. Los grafos básicos G = [V, E, Wv, We] en (
, ⊕h, ⊕ν) son aquellos que no pueden ser obtenidos de otros grafos usando las cirugías vertical y horizontal de grafos.
Proposición 2.6. Los grafos básicos de
son I = [2, 1, 0, 0], J = [2, 1, 0, 1], K = [3, 2, 0, 0] y L = [2, 1, 1, 0], y sus representaciones gráficas están en la Figura 2.

Demostración. Como todos los grafos con ciclos en (
, ⊕h, ⊕ν) pueden ser construidos de grafos árboles con la operación ⊕ν, entonces los grafos básicos son árboles. Así, basta buscar en el espacio (
, ⊕h), donde
es el conjunto de todos los grafos árboles con pesos no negativos en los vértices y aristas; por tanto
⊂ G. Ahora consideremos el conjunto
∗ = {(x, x, y, z) ∈
40 : x, y, z ∈
0}, donde
0 representa el conjunto de números naturales incluido el cero. Mostremos que (
∗ , +) es isomorfo a (
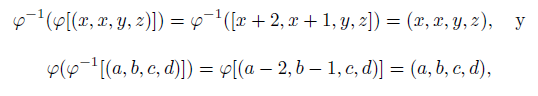
, ⊕h). Para esto, verificamos que la siguiente aplicación φ es un morfismo y, aún más, es un isomorfismo.

En primer lugar, notemos que dado [V, E, Wv, We] ∈
, se cumple que 1 − V + E = 0 ya que [V, E, Wv, We] es un árbol. Entonces, como φ[(x, x, y, z)] = [x + 2, x + 1, y, z], se tiene que x, y, z ≥ 0; lo que implica que x + 2 ≥ 2, x + 1 ≥ 1, y ≥ 0, z ≥ 0. Además, 1 − V + E = 1 − (x + 2) + (x + 1) = 0, entonces φ[(x, x, y, z)] = [x + 2, x + 1, y, z] ∈
. Ahora mostremos φ[(x, x, y, z) + (x ′ , x′ , y′ , z′ )] = φ[(x, x, y, z)] ⊕h φ[(x ′ , x′ , y′ , z′ )].

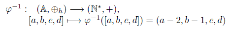
Esto implica que φ es un morfismo. Seguidamente mostremos que φ −1 dado por

es el morfismo inverso de φ. En efecto, como a ≥ 2 , b ≥ 2, c ≥ 0 y d ≥ 0, tenemos que φ −1 ([a, b, c, d]) = (a − 2, b − 1, c, d) ∈
∗ . Se verifica de manera natural que φ −1 ([a, b, c, d] ⊕h [a ′ , b′ , c′ , d′ ]) = φ −1 ([a, b, c, d]) + φ −1 ([a ′ , b′ , c′ , d′ ]). Como

concluimos que (
∗ , +)
(A, ⊕h). Ahora notemos que (
∗ , +) es generado por el conjunto {(0, 0, 0, 0),(1, 1, 0, 0),(0, 0, 1, 0),(0, 0, 0, 1)}. El elemento (0, 0, 0, 0) está en este conjunto pues no puede ser generado en función de los otros. Luego, usando el isomorfismo tenemos que (
, ⊕h) es generado por los grafos {[2, 1, 0, 0], [2, 1, 0, 1], [3, 2, 0, 0], [2, 1, 1, 0]} = {I,J , K,L}. Finalmente, como todo grafo con ciclo puede ser construido a partir de un árbol, se tiene que (
, ⊕h, ⊕ν) es generado por los grafos I,J , K y L.
Note que los grafos básicos tienen representación única como grafos con pesos.
Observación 2.7. De la demostración de la Proposición 2.6, tenemos que el monoide (
, ⊕h) (aún por demostrar) es generado por los grafos básicos I,J , K y L, es decir, (
, ⊕h) = h{I,J , K,L}i.
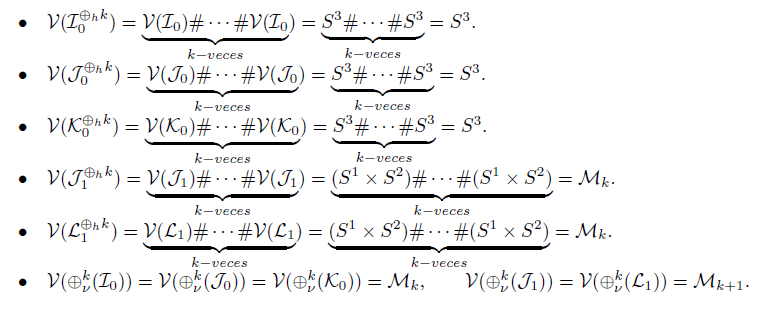
Observación 2.8. Denotamos por G⊕hk a la suma horizontal de k-copias de G, así
Proposición 2.9. Si G = [V, E, Wv, We] ∈
, entonces se cumplen las siguientes propiedades:
Demostración. Para la Propiedad 1 se tiene:

Ahora, para la Propiedad 2 se tiene:

De igual forma se muestra que G = G ⊕hI. La Propiedad 3 es evidente.
En particular se tiene que: I⊕hk = [2, 1, 0, 0], J⊕hk = [2, 1, 0, k], K⊕hk = [k+2, k+1, 0, 0] y L⊕hk = [2, 1, k, 0].
Proposición 2.10. El espacio (
, ⊕h) es un monoide abeliano y en particular (
, ⊕h) es un monoideabeliano finitamente generado.
Demostración. Para mostrar que (G, ⊕h) es un monoide abeliano basta verificar tres condiciones.
Asociativa: G ⊕h (H ⊕hT ) = (G ⊕h H) ⊕hT , para todo G, H, T ∈
. (Se verifica de manera fácil de la definición de cirugía horizontal).
Elemento identidad: Hay un elemento E ∈
tal que G ⊕hE = G = E ⊕hG, para todo G ∈
. (Basta tomar E = I = [2, 1, 0, 0] y considerar la Propiedad 2 de la Proposición 2.9).
Conmutativo: G ⊕hH = H⊕hG, para todo G, H ∈
. (Se verifica de manera natural de la definición de cirugía horizontal).
Finalmente, (
, ⊕h) es un submonoide de (
, ⊕h) pues la suma horizontal de grafos árbol sigue siendo árbol. Ahora, considerando la Observación 2.7, se tiene que (
, ⊕h) es generado por los grafos básicos I,J , K y L, por tanto, (
, ⊕h) es finitamente generado.

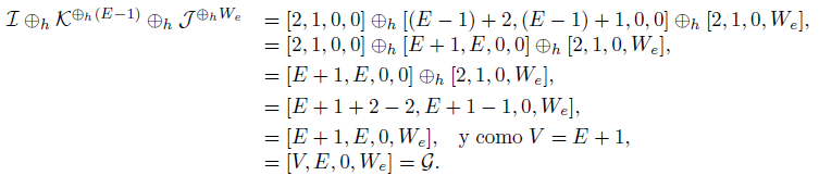
Proposición 2.11.Sea G = [V, E, 0, We] ∈
un grafo árbol (1 − V + E = 0), con peso cero en sus vértices. Entonces G puede escribirse como combinación lineal de los grafos básicos I = [2, 1, 0, 0],J = [2, 1, 0, 1] y K = [3, 2, 0, 0] y usando la cirugía horizontal ⊕h. Además, G puede escribirse como:

Demostración. Daremos una prueba por inducción sobre el número de aristas. Sea G un grafo árbol con una sola arista (es decir E = 1) y cualquier peso g en esta arista. Si g = 0, entonces G = I = [2, 1, 0, 0]. En el caso general, si g > 0, este grafo lo construimos sumando horizontalmente g veces los grafos J = [2, 1, 0, 1]; dado un grafo árbol G con E > 1 aristas y con pesos gi en sus aristas gi ∈
∀i = 1, · · · , E, haremos esto en tres pasos:
(1) Comencemos retirando todos los pesos gi de cada i-ésima arista (note que We =
de G, así obtenemos un nuevo grafo G ′ que tiene E aristas con pesos nulos (ver Figura 3).
(2) Hacemos cirugía horizontal de I = [2, 1, 0, 0] con E −1 grafos básicos K = [3, 3, 0, 0] de forma que al final obtenemos el grafo G ′ .
(3) Hacemos cirugía horizontal del grafo G ′ con We grafos básicos J = [2, 1, 0, 1] de forma que restituimos todos los pesos en las aristas hasta obtener el grafo G (ver Figura 3).
Así, G = [V, E, 0, We] puede escribirse como:

Por tanto, los grafos G y I ⊕h K⊕h(E−1) ⊕h J ⊕hWe tienen el mismo número de vértices, aristas y pesos en sus aristas.
Notación. Denotemos por ⊕kν (G) a la cirugía k-veces realizada en un mismo grafo G, es decir: ⊕kν (G) =
· · ·), y por convención, si k = 0, se tiene que ⊕0ν (G) = G.
Proposición 2.12. Sea G = [V, E, Wv, We] ∈
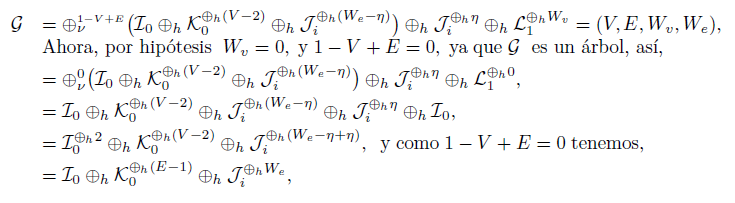
, entonces este grafo puede escribirse como combinación lineal de los grafos básicos I = [2, 1, 0, 0], J = [2, 1, 0, 1], K = [3, 2, 0, 0], y L = [2, 1, 1, 0] usando la cirugía horizontal ⊕h y cirugía vertical ⊕ν en el mismo grafo. Además, G puede escribirse como:

donde η =
gk, y gkes el peso de una arista en G de forma que si se retiran esas aristas el nuevo grafo obtenido es un árbol
Demostración. Mostraremos por construcción, dividiéndolo en siete pasos (ver Figura 4 para un esquema de la demostración)
(1) Retiramos todos los pesos (Wv) de los vértices del grafo G; obtenemos así un nuevo grafo 
(2) Del grafo
, identificamos un número mínimo de aristas E′ en
(de forma que si las retiramos obtendríamos un árbol conexo). Este número coincide con E′ = b1(G) = 1 − V + E, retirando todos los pesos gk de estas aristas identificadas (sea η =
gk la suma de todos los peso de las arista identificadas), obtenemos el grafo
, con peso 0 en todas sus aristas identificadas.
(3) Luego del grafo
, retiramos las 1 − V + E aristas identificadas, así, obtenemos el grafo
, que es un árbol con peso cero en sus vértices y sus respectivos pesos en sus aristas.

(4) Por la Proposición 2.11,
puede expresarse en términos de los grafos básicos usando las cirugías entre grafos y está dado por:
(1)
(5) Ahora, haciendo 1 − V + E sumas verticales en el mismo grafo
entre los dos vértices incidentes en cada una de las 1 − V + E aristas retiradas, obtenemos el grafo
.
(6) Haciendo sumas horizontales convenientemente entre
con η grafos básicos J = [2, 1, 0, 1] que aumentan los pesos gk de las aristas identificadas en
, obtenemos el grafo
.
(7) Por último, haciendo sumas horizontales convenientemente entre
y Wv grafos básicos L = [2, 1, 1, 0], obtenemos el grafo G, con sus pesos originales.
Así G = [V, E, Wv, We] puede escribirse como:

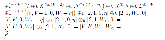
Así los grafos G y ⊕ ν1−V +E ( I ⊕hK ⊕h(V −2) ⊕hJ⊕h(We−η) )⊕hJ⊕hη ⊕hL⊕hWv , tienen el mismo número de vértices, aristas y pesos en sus aristas como en los vértices.
3. Una aplicación
3.1. Construcción de aplicaciones estables
Sea M una 3-variedad y C∞(M,
3 ) el conjunto de aplicaciones suaves de M en
3 . Dos aplicaciones f, g ∈ C∞(M,
3 ) son A-equivalentes, cuando existen dos difeomorfismos ϕ : M −→ M y ψ :
3 −→
3 tales que g = ψ ◦ f ◦ ϕ −1 . Una aplicación f ∈ C∞(M,
3 ) es estable, si todas las aplicaciones suficientemente próximas a f (en la C∞−topología de Whitney) son equivalentes a f. Según J. Mather [8], el conjunto de todas las aplicaciones estables, denotado por E(M,
3 ), es abierto y denso en C∞(M,
3 ). El complemento del conjunto E(M,
3 ) en el conjunto C∞(M,
3 ) es llamado conjunto discriminante.
Sea f ∈ C∞(M,
3 ) una aplicación de forma genérica (esto es, una aplicación general). El conjunto singular de f tiene dimensión dos y está formado por subvariedades de dimensiones cero, uno y dos [10], [2]. Ahora, si f ∈ E(M,
3 ) es una aplicación estable, un punto x en M es llamado punto regular de f, si la aplicación f es un difeomorfismo local en la vecindad del punto x; caso contrario, diremos que x es un Dpunto singular. De [1] se tiene que la forma normal de los gérmenes de los puntos singulares de f son:
A1: punto pliegue, (x, y, z) 7→ (x 2 , y, z);
A2; punto cúspide, (x, y, z) 7→ (x 3 + yx, y, z);
A3 : punto cola de golondrina, (x, y, z) 7→ (x 4 + yx2 + zx, y,

Si M es una 3-variedad compacta y orientada, el conjunto singular de f, denotado por Σf, está formado por los siguientes: (i) la unión disjunta de superficies compactas, orientadas, inmersas en M; (ii) curvas formadas de puntos de cúspide, en la cual puede haber punto de cola de golondrina aislados si existen; y (iii) puntos pliegue.
Las superficies en (i) separan las componentes regulares de f y en cuyos bordes están contenidos Σf. El conjunto de ramificación de f es la imagen f (Σf ) del conjunto singular y está formado por una colección de superficies cerradas, orientadas e inmersas en
3 , posiblemente con intersecciones transversales y singularidades correspondientes a una cantidad finita de aristas cuspidales y puntos de cola de golondrina aislados (ver Figura 5). El conjunto de ramificación de f tiene las siguientes auto intersecciones (ver Figura 6):

Cabe indicar que los conjuntos de ramificación formados por superficies que presentamos en las figuras, tienen un corte seccional para visualizar mejor las superficies (para ver si hay otra dentro o no).
3.2. Grafos de aplicaciones estables de 3-variedades en R 3
Sea f : M −→
3 una aplicación estable, donde M es una 3-variedad cerrada y orientada. Como el conjunto singular de f es un conjunto de superficies cerradas, en [11] los autores definieron el grafo pesado asociado a la aplicación f de la siguiente forma: a cada superficie Si en Σf asociaron una arista y a cada componente regular Mj de M \ Σf un vértice. A cada vértice vj (correspondiente a la región Mj ), se define su peso como cj = b2(Mj ) − sj +1, donde sj es el número de componentes conexas del borde de Mj . Intuitivamente, cj puede ser visto como el número de generadores del segundo grupo de homología H2(M) en Mj , que no son determinados por el borde de Mj . A cada arista asociamos el peso dado por el género gi de la superficie Si que él representa. Como cada región del complemento M − Σf recibe un signo ±, pueden ser atribuidos signos a los vértices de G f , donde cada vértice recibe el signo y la región correspondiente. Como Σf separa regiones de signos opuestos, cada arista de G f conecta vértices de signos opuestos. Así, el grafo asociado es bipartito.
Definición 3.1. El grafo asociado a una aplicación estable será denotado por G = (V, E, Wv, We), donde V y E son, respectivamente, el número de vértices y aristas; y Wv y We son la suma de pesos en los vértices y suma de pesos en las arista, respectivamente. Diremos que un grafo bipartito pesado G es realizable por una aplicación estable de una 3-variedad compacta y orientada M en
3 , si existe una aplicación f ∈ E(M,
3 ) tal que el grafo asociado a f es G. Además, M será llamado la variedad de G y será denotado por V(G) = M.
Notemos que el primer número de Betti de G = (V, E, Wv, We) está denotado por b1(G) y dado por b1(G) = 1 − V + E. Ahora, si denotamos por Mn a la suma conexa de n copias de S1 × S2 , con M0 = S3 por convención, entonces tenemos el siguiente resultado.
Teorema 3.2 ([11]). Cualquier grafo bipartito G = (V, E, Wv, We) es realizable por una aplicación f ∈ E (Mn,
3 ) si, y solo si,

donde b2 (Mn) es el segundo número de Betti deMn. Además, la igualdad se alcanza cuando We = 0.
En la Figura 7 presentamos dos ejemplos del conjunto de ramificación de las aplicaciones estables f1 y f2 de S3 en
3 y dos ejemplos de aplicaciones estables g1 y g2 de S1 ×S2 en
3 con sus respectivos grafos asociados, donde f1 corresponde a una aplicación con un conjunto de ramificación homeomorfa a tres esferas formada solo por puntos de pliegue. Así, su grafo asociado tiene tres aristas con todos los pesos igual a cero en aristas y vértices. En f2 tenemos una aplicación con un conjunto de ramificación homeomorfa a tres esferas, dos de ellas con una curva cúspidal envuelta por la tercera formada solo por puntos de pliegue; así, su grafo asociado tiene tres aristas con todos los pesos igual a cero en aristas y vértices, pero distinta a la de f1. En g1 tenemos una aplicación con un conjunto de ramificación formada por dos superficies, una de ellas homeomorfa a un toro y la otra que está por dentro es homeomorfa a una esfera. Así, su grafo asociado formado por dos aristas, una arista con peso 1 y los demás pesos igual a cero. Finalmente, en g2 tenemos una aplicación con un conjunto de ramificación formado por tres superficies una de ellas homeomorfa a un toro y las otras dos homeomorfas a una esfera. Así, su grafo asociado tiene tres arista con peso 1 y los demás pesos igual a cero.
En adelante, cada vez que hablemos de grafos estaremos haciendo referencia a los grafos con pesos no negativos en los vértices y aristas.

3.3. Cirugía entre aplicaciones estables con G-grafo
Presentamos aquí dos tipos de cirugía entre aplicaciones de 3-variedades en
3 y sus efectos en su grafo asociado G, que denominaremos cirugía horizontal y cirugía vertical, para más detalles revisar [10], [11].
Cirugía horizontal entre aplicaciones:
Dadas dos aplicaciones estables f ∈ E(M,
3 ) y f ′ ∈ E(M ′ ,
3 ), donde M y M ′ son 3-variedades, llamaremos cirugía horizontal entre las aplicaciones f y f ′ , a la aplicación f Sh f ′ : M #M ′ −→
3 , construida como sigue: comenzamos removiendo dos 3-bolas B1 y B2 en M y M ′ , respectivamente, tales que sus intersecciones con el conjunto singular de f y f ′ son dos discos D1 y D2 de puntos de pliegue (no interceptan curvas cuspidales o curvas de pliegues dobles). Después, conectamos las variedades M y M ′ en ∂B1 y ∂B2 por un tubo S2 × I (donde D1 y D2 son unidos por un tubo S1 × I). La proyección en
3 de este tubo no interseca parte alguna del conjunto de ramificación. El conjunto de ramificación de la aplicación resultante es la suma conexa de los conjuntos de ramificación de f y f ′ .
Si la cirugía horizontal se realiza en la misma aplicación f, entonces se realiza de manera similar como fue definida f Shf ′ (con la diferencia que las 3-bolas B1 y B2 removidas pertenecen solo a M ) y el resultado de esta cirugía está denotado y dado por la aplicación Sh (f) : M #(S1 × S2 ) −→
3 .
Además, el grafo asociado a f Shf ′ y
h (f) será denotado por GSνG ′ y Sh (G) respectivamente, donde G y G ′ son los grafos asociados a las aplicaciones f y f ′ .
Observación 3.3. Consideremos G y G ′ los grafos asociados a las aplicaciones f y f ′ , respectivamente. El efecto de esta cirugía sobre estos grafos es como en la Figura 8(a). Observemos que la cirugía horizontal entre aplicaciones induce una cirugía entre los conjuntos singulares (que no es nada más que la suma conexa de superficies) la cual resulta una superficie con género igual a la suma de las dos superficies involucradas; lo que implica que, si la cirugía se realiza en las superficies Si y Sj asociadas a la i-ésima y j-ésima aristas de G y G ′ , cuyos pesos son pi y pj , se tiene que pi#pj = pi + pj (puesto que g(Si#Sj ) = g(Si)+g(Sj )). Esto significa que, cuando se realiza la cirugía horizontal, el peso en las aristas se suman.
Por otro lado, el peso de los vértices también se suman pues, si Mi y Mj son las regiones correspondientes a dichos vértices cuyos pesos son ci y cj , siendo Mk la región resultante, tenemos ck = b2 (Mk) − sk + 1 = b2 (Mi) + b2 (Mj ) − (si + sj − 1) + 1 = ci + cj .
Cirugía vertical en aplicaciones:
Sea f ∈ E(M,
3 ) una aplicación, donde M es una 3-variedad. Remueva dos 3-bolas B1 y B2 en M en las regiones U1 y U2, correspondientes a los vértices v1 y v2, sin intersecar el conjunto singular Σf y tales que tengan la misma imagen en
3 , una de las regiones preservando orientación y la otra aplicada revertiendo orientación. Después, una los bordes M \ B1 ∪ B2 por un tubo S2 × I, de forma que tengan una superficie S2 como una superficie singular, que divide en dos partes iguales el tubo, cuyas imágenes coinciden cuando la aplicación es extendida sobre los mismos. Esta cirugía aumenta una esfera S 2 al conjunto singular, adyacente a las dos componentes del conjunto singular de la aplicación original, de donde las dos 3-bolas fueron retiradas aumentadas con parte del tubo. En el grafo corresponde a conectar una arista en los vértices v1 y v2, llamaremos a la aplicación resultante de este proceso como la cirugía vertical de f y denotada por
ν(f), que está definida en la 3-variedad (M)ν
M # (S1 × S2 ). Las dos regiones involucradas (correspondientes a los vértices v1 y v2), después de la cirugía, tienen un nuevo generador del segundo grupo de homología H2, que es la S2 adicionado al conjunto singular. Más los componentes regulares correspondientes, tienen una nueva superficie en el borde (la misma S2 ); entonces, el peso no varía. Ahora, si G es el grafo asociado a la aplicación f, entonces Sν (G) es el grafo asociado a las aplicación
ν(f). En la Figura 8 tenemos un esquema de esta cirugía.
Si f ′ ∈ E(M ′ ,
3 ), entonces la cirugía vertical entre dos aplicaciones se realiza de manera similar a como fue definida
ν(f) (con la diferencia que las 3-bolas B1 y B2 removidas pertenecen a M y a M ′ respectivamente) y el resultado de esta cirugía está denotada y dada por la aplicación f Sν f ′ : M # M ′ −→
3 .
Además, el grafo asociado a fSνf ′ y
ν(f) será denotado por G SνG ′ y Sν (G) respectivamente, donde G y G ′ son los grafos asociados a las aplicaciones f y f ′ .

La proposición siguiente se deduce inmediatamente de la definición de las cirugías en aplicaciones estables.
Proposición 3.4. La aplicación resultante de una cirugía horizontal o cirugía vertical entre dos aplicaciones estables es otra aplicación estable, lo mismo ocurre para una cirugía horizontal y vertical sobre una misma aplicación estable.
Ejemplo 3.5. En la Figura 9(a) se ilustra la cirugía horizontal entre dos aplicaciones idénticas f ∈ E(M1,
3 ) cuyo conjunto singular es homeomorfo a un toro formado solo por puntos de pliegue. Al realizar la cirugía obtenemos la aplicación f Sh f ∈ E(M2,
3 ) cuyo conjunto singular es homeomorfo a un bitoro, donde su grafo asociado tiene una arista y peso 0 en sus vértices y peso 2 en su arista, el cual es resultado de la cirugía horizontal realizada. Por otra parte, en la Figura 9(b) se ilustra la cirugía vertical en la misma aplicación g ∈ E(S 3 ,
3 ) cuyo conjunto singular es homeomorfo a una esfera formada solo por puntos de pliegue. Al realizar la cirugía obtenemos la aplicación
ν(f) ∈ E(M1,
3 ) cuyo conjunto singular está formado por dos superficies homeomorfas a una esfera, donde su grafo asociado es un ciclo con dos aristas y pesos cero en vértices y aristas.

Observación 3.6. Sean G = (V, E, Wv, We) y G ′ (V ′ , E′ , Wv ′ , We ′ ) los grafos asociados a las aplicaciones f ∈ E(M,
3 ) y f ′ ∈ E(M ′ ,
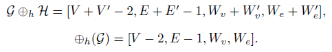
3 ), respectivamente. Entonces la cirugía horizontal y vertical entre estas dos aplicaciones inducen cirugías entre sus grafos asociados como en la Figura 8(a) y cuyos efectos en la notación del grafo es como sigue:
G Sh G ′ = (V + V ′ − 2, E + E′ − 1, Wv + Wv ′ , We + We ′ ),
G Sν G ′ = (V + V ′ , E + E′ + 1, Wv + Wv ′ , We + We ′ ).
Las cirugías vertical y horizontal realizadas en una misma aplicación inducen cirugías en su grafo asociado como en la Figura 8(b) y cuyos efectos en la notación del grafo es como sigue:
Sh (G ) = (V − 2, E − 1, Wv + Wv ′ , We + We ′ ),
Sν (G ) = (V, E + 1, Wv + Wv ′ , We + We ′ ).
Ejemplo 3.7. Sean i0, j0, k0 ∈ E(S3 ,
3 ) y j1, ℓ1 ∈ E(S1 × S2 ,
3 ), cuyas superficies en la Figura 10 son sus conjuntos de ramificación, junto con sus respectivo grafos asociados. Mas precisamente:
i0 : Es una aplicación con un conjunto de ramificación que es una superficie homeomorfa a una esfera, formada por puntos pliegue; así, su grafo asociado es I0 = (2, 1, 0, 0).
j0 : Es una aplicación con un conjunto de ramificación dado por una superficie homeomorfa a un toro que tiene tres curvas cuspidales; así, su grafo asociado es J0 = (2, 1, 0, 1).
κ0 : Es una aplicación con un conjunto de ramificación dado por dos superficies homeomorfas a una esfera y una de ellas tiene una curva cuspidal; así, su grafo asociado es K0 = (3, 2, 0, 0).
j1 : Es una aplicación con un conjunto de ramificación dado por una una superficie homeomorfa a un toro formada solo por puntos pliegue; así, su grafo asociado es J1 = (2, 1, 0, 1).
ℓ1 : Es una aplicación con un conjunto de ramificación dado por una superficie homeomorfa a una esfera la cual tiene un eje cuspidal; así, su grafo asociado es L1 = (2, 1, 1, 0).
Notemos que los grafos J0 son idénticos a J1 como grafos, lo único que les diferencia es que están asociados a aplicaciones donde sus dominios son distintos. De esta forma los sub-índices en cada grafo representa el número de Betti de su 3-variedad asociada, pues b2(V(I0)) = b2(V(J0)) = b2(V(K0)) = b2(S3 ) = 0 y b2(V(J1)) = b2(V(L1)) = b2(S1 × S2 ) = 1.
También tenemos que I0, J0, K0, J1 y L1 representan a un único grafo.

Definición 3.8. Las aplicaciones i0, j0, k0 ∈ E(S3 ,
3 ) y j1, ℓ1 ∈ E(S1 × S2 ,
3 ) serán llamados aplicaciones básicas de E(Mn ,
3 ) y sus grafos asociados I0, J0, K0, J1 y L1 del Ejemplo 3.7, serán llamados grafos básicos para las aplicaciones de E(Mn,
3 ), para n entero no negativo.
Observación 3.9. Observe que la aplicación f1 de la Figura 7 es el resultado de la cirugía vertical de dos aplicaciones i0. Por tanto, f1 puede ser expresado como: f1 = i0Sν i0. Así, las demás aplicaciones f2, h1 y h2 de la Figura 7 también se pueden expresar como: f2 = κ0Sh κ0, g1 = j0 Sh j1 y g2 = i0 Sν j1; sus grafos asociados se obtienen naturalmente usando las cirugías ya introducidas. Por tanto, construir aplicaciones a partir de otras aplicaciones es equivalente a construir grafos a partir de los grafos asociados a las aplicaciones usando las cirugías respectivas. Esta última observación será fundamental para probar resultados no triviales.
De esta forma es posible construir aplicaciones estables usando las aplicaciones básicas; equivalentemente, podemos construir aplicaciones usando solo los grafos básicos. Esto será útil para responder a la siguiente pregunta.
Pregunta: ¿Será posible que dado un grafo bipartito pesado cualesquiera, podemos construir una aplicación estable de una Mn en
3 , tal que su grafo asociado sea exactamente el grafo dado, usando cirugías entre los grafos básicos y por ende las aplicaciones básicas?
Esta pregunta será respondida afirmativamente más adelante, entre otras cuestiones, y además, solo serán necesarias la cirugía horizontal entre dos aplicaciones y la cirugía vertical en una misma aplicación. Por tal motivo en la siguiente sección usaremos los resultados introducidos en la primera sección; para ello consideremos lo siguiente:
Sea
F el conjunto de todos los grafos que son asociados a aplicaciones estables de Mn a
3 , así tenemos que:

Ahora, podemos notar que el espacio (
, ⊕h, ⊕ν) estudiado en la primera sección de este trabajo y el espacio (
F (Mn,
3 ), Sh , Sν ) tienen mucho en común. Por ejemplo, las sumas horizontal y vertical en ambos espacios son iguales (esto es evidente pues basta ver como fueron construidos), así ⊕h = Sh y ⊕ν = Sν . De aquí en adelante, para reducir la notación, escribiremos
= (
, ⊕h, ⊕ν) y
F (Mn,
3 ) = (
F (Mn,
3 ), Sh , Sν ). Así, el siguiente teorema nos muestra la igualdad de ambos espacios.
Teorema 3.10. El espacio (
, ⊕h, ⊕ν) es igual a (
F (Mn,
3 ), Sh , Sν ). Además, si G = (V, E, Wv, We) ∈
F (Mn,
3 ) e I0, J0, K0, J1 y L1 son los grafos básicos para lasaplicaciones de E(Mn,
3 ), n ∈
0, entonces G puede ser expresado
(2)donde i puede tomar i = 0, 1 pues J0 = J1como grafos y considerar ⊕h = Sh y ⊕ν = Sν.
Demostración. Mostremos que
F (Mn,
3 ) ⊂
. Así, dado G ∈
F (Mn,
3 ), entonces por construcción G es bipartito y con peso en las aristas y vértices por tanto G ∈
. Ahora, para que
⊂
F (Mn,
3 ), tomemos G = (V, E, Wv, We) ∈
. Entonces mostremos que este grafo es un grafo es realizable por una aplicación f ∈ E(Mn,
3 ), luego G ∈
F (Mn,
3 ), y por la Proposición 2.12 tenemos que
(3)donde η =
gk y gk es el peso de una arista en G, de forma que si se retiran esas aristas el nuevo grafo obtenido es un árbol.
Como I = I0, J = J0 = J1, K = K0 y L = I1, reemplazando estos grafos en 3 se tiene que:

donde i = 0 ó i = 1.
Corolario 3.11. Si G = (V, E, Wv, We) ∈
, entonces existe una aplicación estable de Mn en
3tal que su grafo asociado coincide con G, y una representación para el grafo esta dado por
(4)donde i = 1, 0 e I0, J0, K0, J1 y L1 son los grafos básicos para E(Mn,
3).
Demostración. Es una consecuencia directa de la Proposición 2.12
Corolario 3.12. Si G = (V, E, 0, We) ∈
es un grafo árbol, entonces existe unaaplicación estable de S3 en
3tal que su grafo asociado coincide con G, y una representación para el grafo esta dado por

donde I0, J0 y K0son los grafos básicos para E(Mn,
3).
Demostración. En general dado G = (V, E, Wv, We) ∈
por la ecuación (4) de la Proposición 2.12 se tiene que

donde i = 1, 0. Así, de la Proposición 3.4, se tiene que G = I0 ⊕h K0⊕h(E−1) ⊕h J i⊕hWe es el grafo de una aplicación estable de S3 en
3 , puesto que I0, Ji (cuando i = 0) y K0 son grafos de aplicaciones en E(S3 ,
3).
Observación 3.13.Sea G el grafo asociado a la aplicación f ∈ E(M,
3 ). Recordemos que M es la 3-variedad asociada de G y la denotamos por V(G) = M, y su relación con la suma horizontal y vertical entre grafos está dada por

donde # es la suma conexa entre dos variedades. Considerando los grafos básicos de E(Mn,
3 ) dados por I0, J0, K0, J1 y L1, con k entero no negativo, entonces

Proposición 3.14. Sea G (V, E, Wv, We) un grafo en
F (Mn,
3 ). Entonces el mínimoy máximo valor que puede tomar b2(Mn) es:
mín {b2(Mn)} = Wv+ 1 − V + E y máx{b2 (Mn)} ≤ Wv + We + 1 − V + E.
Demostración. Por el Teorema 3.10 tenemos que

Luego, si Mn es la 3-variedad del dominio de la aplicación cuyo grafo es G, entonces b2 (V(G)) = b2 (Mn). Primero calculemos quien es Mn por tanto:

Por tanto, b2(Mn) = b2(V(J i⊕hWe ) # MWv+1−V +E) y vemos que el mínimo valor de b2(Mn) se da cuando i = 0 pues es cuando Ji = J0 y no aporta en nada al número de Betti de Mn pues V(J0) = S3 . Así.
mín {b2(Mn)} = b2(V(J 0⊕hWe ) # MWv+1−V +E) = b2(S3 # MWv+1−V +E) = Wv+1−V +E.
De manera análoga, el valor más alto que puede tomar b2(Mn) está acotado por


con lo cual terminamos la demostración.
Corolario 3.15.Sea G (V, E, Wv, We) un grafo árbol en
F (Mn,
3 ). Entonces el mínimo y máximo valor que puede tomar b2(Mn) está dado por:

Demostración. Es inmediato de la Proposición 3.14 y teniendo en cuenta que en un grafo árbol se verifica que 1 − V + E = 0.
Como aplicación de la construcción de aplicaciones estables en E(Mn,
3 ) usando cirugías y grafos básicos introducidos en este trabajo daremos otra demostración al Teorema 5.1 de [11].
Teorema 3.16. [11] Cualquier grafo bipartitoG (V, E, Wv, We) es realizable por una aplicación f ∈ E(Mn,
3 ) si, y solo si,
(5)donde b2(Mn) es el segundo número de Betti de Mn. Además, la igualdad se alcanzacuando We = 0.
Demostración. Como mín {b2(Mn)} ≤ b2(Mn) ≤ máx {b2(Mn)}, la necesidad viene directamente de la Proposición 3.14, y la suficiencia viene del Teorema 3.10.
4. Conclusiones
El estudio del espacio de los grafos pesados, junto con operaciones entre ellas, se puede hacer de forma independiente, los resultados obtenidos pueden ayudar a comprender mejor ciertas estructuras matemáticas.
Se puede estudiar los grafos pesados analizando los grafos asociados a aplicaciones estables de 3-variedades en
3 . La intención de este trabajo es presentar de forma independiente el estudio de estos grafos.
Este trabajo puede ayudar al lector en la construcción de aplicaciones estables de 3- variedades en
3 , con un conjunto singular predeterminado, que en general no es trivial.
El Teorema 3.16 está enunciado y probado en [11]. La prueba que presentan los autores en dicho artículo hace uso de resultados de Topología Algebraica, Homología, entre otros. En este trabajo sólo usamos las cirugías entre aplicaciones estables, que introducen los mismos autores en su artículo.
Es posible establecer la igualdad en la ecuación (5) del Teorema 3.16 sin que We sea necesariamente cero. Este importante resultado está siendo estudiado por los autores.
Referencias
[1] Gibson C.G., Singular points of smooth mappings, Research Notes in Mathematics, vol. 25, Boston, 1978.
[2] Goryunov V., “Local invariants of maps between 3-manifolds”, J. Topol., 6 (2013), No. 3, 1-20. doi: 10.1112/jtopol/jtt015
[3] Hacon D., Mendes de Jesus C. and Romero Fuster M.C., “Stable maps from surfaces to the plane with prescribed branching data”, Topology Appl., 154 (2007), No. 1, 166-175. doi: 10.1016/j.topol.2006.04.005
[4] Hacon D., Mendes de Jesus C. and Romero Fuster M.C., “Topological invariants of stable maps from a surface to the plane from a global viewpoint”, in Real and complex singularities, Lecture Notes in Pure and Appl. Math., 232 (2003), 227-235,Dekker, New York.
[5] Huamaní N.B., Grafos associados às aplicações estáveis de 3-variedades fechadas e orientadas no R 3 , Dissertação de Mestrado, Universidade Federal de Viçosa, Viçosa, 2016.
[6] Huamaní N.B., Mendes de Jesus C. and Palacios J., “Invariants of stable maps from the 3-sphere to the Euclidean 3-space.”, Bull. Braz. Math. Soc., New Series, 50 (2019), No. 4, 913-932. doi: 10.1007/s00574-019-00133-4
[7] Marar W.L. and Tari F., “ On the geometry of simple germs of co-rank 1 maps from R3 to R3 ”, Math. Proc. Cambridge Philos. Soc., 119 (1996), No. 3, 469-481. doi: 10.1017/S030500410007434X
[8] Mather J.N., Stability of C ∞ mappings. VI: The nice dimensions, in Proceedings of Liverpool Singularities-Symposium, I, 192 (1969/70), 207-253, Lecture Notes in Math., Springer, Berlin.
[9] Mendes de Jesus C., Oset Sinha R. and Romero Fuster M.C., “Global topological invariants of stable maps from 3-manifolds to R3 ”, Proc. Steklov Inst. Math. , 267 (2009), 205-216. doi: 10.1134/S0081543809040178
[10] Oset Sinha R., Topological invariants of stable maps from 3-manifolds to three-space., PhD Dissertation, Universidad de Valencia, Valencia, 2009.
[11] Oset Sinha R. and Romero Fuster M.C., “Graphs of stable maps from 3-manifolds to 3- space”, Mediterr. J. Math., 10 (2013), No. 2, 1107-1126. doi: 10.1007/s00009-012-0224-2
Notas de autor
nelson.berrocal@unsch.edu.pe
Información adicional
Para citar este artículo: N. B. Huamaní and C. Mendes de Jesus, Grafos pesados y aplicaciones estables de 3-variedades en R 3 , Rev. Integr. temas mat. 39 (2021), No. 1, 109-128. doi: 10.18273/revint.v39n1-2021008