Artículos originales
Una nueva prueba para una conjetura de Özban
A new proof for a Özban conjecture
Una nueva prueba para una conjetura de Özban
Revista Integración, vol. 39, núm. 2, pp. 129-135, 2021
Universidad Industrial de Santander
Recepción: 08 Septiembre 2020
Aprobación: 23 Marzo 2021
Resumen.:
En este artículo presentamos una prueba corta y elemental de la siguiente desigualdad algebraico-trigonométrica de tipo Laub-Ilani: cos(xy) + cos(yx) ≥ cos(xx) + cos(yy) para x,y ∈ [0, π/2] que fue conjeturada por Özban ['New algebraic-trigonometric inequalities of Laub-Ilani type', Bull. Aust. Math. Soc. 96 (2017), 87-97] y recientemente probada por Matejícka ['Proof of one open inequality of Laub-Ilani type', Journal of Mathematical Inequalities, 14 (2020), 83-98]. La prueba se basa en las propiedades de las funciones potenciales-exponenciales y trigonométricas.
MSC2010: 26D05, 26D07, 26D20.
Palabras clave: Desigualdad de Laub-Ilani, desigualdad trigonométrica, desigualdad algebraica-trigonométrica, desigualdad potencial-exponencial.
Abstract.: In this paper, we present an elementary short proof of the following algebraic-trigonometric inequality of Laub-Ilani type: cos(xy )+cos(yx) ≥ cos(xx) + cos(yy) for x,y ∈ [0,π/2] which was conjectured by Ozban ['New algebraic-trigonometric inequalities of Laub-Ilani type', Bull. Aust. Math. Soc. 96 (2017), 87-97] and recently proved by Matejička ['Proof of one open inequality of Laub-Ilani type', Journal of Mathematical Inequalities, 14 (2020), 83-98]. The proof is based on the properties of the power-exponential and trigonometric functions.
Keywords: Laub-Ilani inequality, trigonometric inequality, algebraic-trigonometric inequality, power-exponential inequality.
1. Introducción
La siguiente desigualdad

fue conjeturada por Özban en [15] y fue probada recientemente por Matejíčka [11]. Se recuerda que la introducción de varias desigualdades algebraico-trigonométricas por Özban [15], se inspiró en la siguiente desigualdad exponencial-potencial

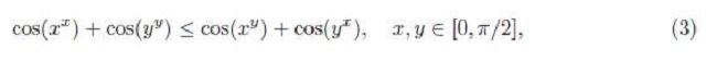
que fue probada de forma independiente por Laub-Ilani [6, 5] y Zeikii-Cîrtoaje-Berndt [17, 2]. Para obtener detalles importantes sobre generalizaciones, extensiones y desigualdades relacionadas con (2), consultar las referencias [4, 3, 1, 7, 8, 9, 10, 12, 13, 14, 16]. Además, se observa que la prueba de (1) desarrollada por Matejícka en [11] se basa en métodos de análisis matemático y numérico. Sin embargo, se puede construir una prueba alternativa basada en las propiedades elementales de las funciones exponencial, potencial y trigonométricas. Así, el objetivo de este artículo es presentar una prueba alternativa de (1) y extender la desigualdad al caso x,y ∈ [0, π/2], es decir, se demostrará el siguiente teorema:
Teorema 1.1. La siguiente desigualdad

es válida.
2. Prueba del Teorema 1.1
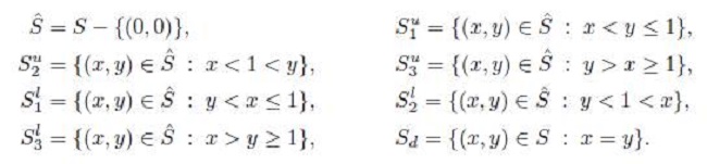
Se introduce la notación S = [0, π/2] × [0, π/2] y los siguientes conjuntos

Se observa que la familia de conjuntos {Sd, Su1, Su2, Su3, Sl1, Sl2, Sl3} es una partición de S.
Además, se considera la función G : S → ℝ definida por

Entonces, para probar la desigualdad (3), demostraremos G(x,y) ≥ 0 en cada conjunto de la partición.
Caso (x, y) Є Sd. La desigualdad (3) se satisface en Sd, dado que (3) en Sd es equivalente a la identidad: cos(xx) + cos(xx) = cos(xx) + cos(xx).
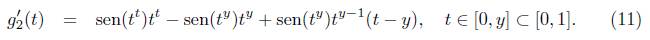
Caso (x,y) Є Su1. En este caso se sigue un procedimiento análogo a la demostración del Teorema 2.3 en [15]. Seleccionamos arbitrariamente y Є (0,1] y se define la función g : [0, y] → ℝ mediante la relación g(t) = G(t,y) siendo G la función dada en (4). Note que x < y ≤ 1 implica que 0 ≤ t ≤ y ≤ 1, es decir [0, y] ⊂ [0,1]. Así la función g es definida explicitamente por

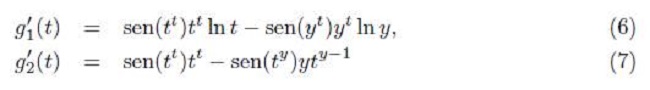
la cual se estudiará en lo que sigue. Más precisamente, se demostrará que la función g, es decreciente sobre su intervalo de definición [0,y]. Para ello se observa que la derivada de g se puede escribir como g'(t) = g’1 (t) + g’2 (t) con las funciones g'1 y g’2 dadas por las reglas de correspondencia

y se analiza el signo de cada una de estas funciones sobre [0, y], demostrando que ambas son negativas sobre [0, y].
Para estudiar el signo de g’1 nos apoyamos en la función ϕ (s) = st sen(st) ln s definida para s Є [t, y], cuya derivada sobre [t, y] es expresada de la siguiente manera

Observando que las siguientes desigualdades se cumplen

deducimos que φ’1(s) = tst-1 cos(st)(t ln s + 1) + s-1t sen(st) > 0 y en consecuencia la función φ1 es creciente sobre [t, y]. En el caso de la función p2 se tiene

debido a que el primer término es positivo por la primera desigualdad dada en (8) y el segundo término por el hecho que ln(s) ≤ 0 para s ≤ 1. Así, tenemos que la función φ2 es creciente sobre [t, y]. Equivalentemente, se tiene que la función - φ2 es decreciente sobre [t, y].
El crecimiento de φ1 y el decrecimiento de - φ2 implican que las siguientes desigualdades

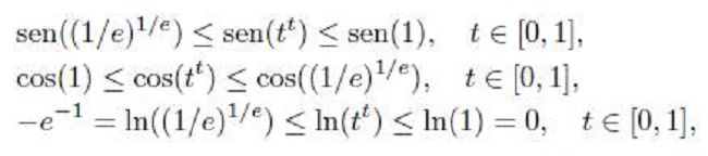
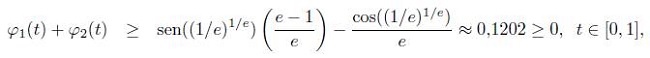
sean válidas para t ≤ s ≤ y. Además, es posible demostrar que φ1 ( t) > - φ2 ( t) para t Є [0,1]. Observemos que para t Є [0,1] el recorrido de la función tt es [(1/e)1/e, 1], es decir ttЄ [(1/e)1/e, 1], lo cual conduce a la validez de las siguientes desigualdades

por aplicación directa de las propiedades de crecimiento o decrecimiento de las funciones seno, coseno y logaritmo natural sobre el intervalo [1/e, 1] ⊂ [0,1] ⊂ [0,7r/2]. Luego, es posible deducir las siguientes cotas inferiores

para t Є [0,1]. Así, tenemos que

es decir,

Luego, de (9) y (10) deducimos la cadena de desigualdades φ1(s) ≥ φ1 (t) > 0 ≥ - φ2 (t) ≥ - φ2 (s), lo cual demuestra que φ2(s) + φ2 (s) > 0 para s Є [t, y] ⊆ [0,1]. En consecuencia Ф'(s) > 0 sobre [t, y], implicando que Ф es creciente sobre [t, y]. De esta manera t ≤ s ≤ y implica Ф (t) ≤ Ф (s) ≤ Ф (y) o equivalentemente tenemos que la función g’1(t) = Ф (t) - Ф(y) es negativa sobre [0, y].
Para analizar el signo de la función g2, se observa que g’2 se puede reescribir como

Para s Є [t,y] ⊂ [0,1] definimos la función φ3(s) = sen(ts)ts. Observamos que la derivada de φ3 es tal que φ’3(s) = sts-1(ts cos(ts) + sen(ts)) > 0 y así φ3 es creciente sobre [t, y]. Luego, t ≤ s ≤ y implica que φ3(t) ≤ φ3(s) ≤ φ3(y), es decir,

Ahora, utilizando esta última desigualdad y el hecho que sen(ty)yty-1(t - y) para t ≤ y, por la relación (11) deducimos que la función g’2(t) es negativa sobre [0, y].
Habiendo demostrado que tanto g’1(t) como g’2(t) son negativas sobre [0, y], deducimos g'(t) = g’1(t) + g’2(t) ≤ 0 y claramente g(t) es decreciente sobre [0,y]. Ahora, el decrecimiento de g y el hecho que g(y) = 0 implican que g(0) ≥ g(t) ≥ g(y) = 0 para 0 ≤ t ≤ y. Demostrando así que la desigualdad g(t) = G(t,y) ≥ 0 se satisface para cada t Є [0, y], es decir, G(x, y) ≥ 0 sobre Su1.
Caso (x,y) Є Su2. Fijando y Є (1,7π/2], se define la función h : [0,1] → ℝ mediante la relación h(t) = G(t,y) con G dado en (4). Aplicando las identidades trigonométricas de suma-producto se tiene

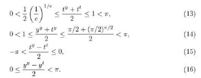
Se observa que

Las estimaciones en (13) son consecuencia de los siguientes hechos: la función definida de [0,1] a R por t → ty es creciente, y la función definida de [0,1] a ℝ por t → t* tiene un mínimo global en t = 1/e. En efecto, de cada uno de estos comportamientos se deduce que 0 ≤ t < 1 implica 0y- ty≤ 1y y que (1/e)1/e≤ tt≤ 1, respectivamente. En consecuencia de las desigualdades 0 ≤ ty< 1 y (1/e)1/e≤ t* ≤ 1 se deduce (13). Ahora, (14) se deduce del hecho que la función definida de [1,n/2] a ℝ por y → (yt + yy )/2 es creciente y así la restricción para y dada por 1 < y - π/2 implica

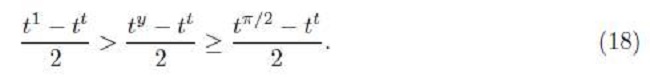
En la penúltima desigualdad de (17) se utilizó el hecho que t → ( π/2)t es creciente y t Є [0,1]. Para demostrar (15) se observa que la función definida de [1,π/2] a ℝ por y → ( ty- tt ) /2 es decreciente y por lo tanto del hecho que 1 < y ≤ π/2 se deduce

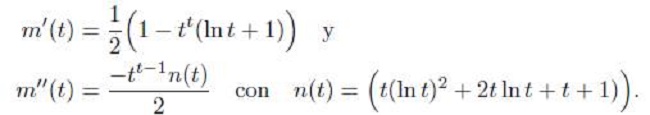
Ahora, hay que obtener una cota superior para (t →tt)/2 y una cota inferior para (tπ/2- tt)/2 y para ello utilizamos la función m : [0,1] → ℝ definida por m(t) = (t -tt)/2. La primera y segunda derivadas de la función m son dadas por

Se tiene que m’’ (t) < 0 sobre [0, 1] debido a la positividad de n la cual se deduce como sigue: n(t) → 1 cuando t → 0+, n(1) = 2, n(1/e) = 1, n(1/e3) = (16 + e3)/e3, n tiene un máximo en t = 1/e3 y un mínimo en t = 1/e3 lo cual implica que n(t) Є [1, 2] para cada t G [0,1]. Luego, m'(t) es decreciente sobre [0,1] y así m'(t) ≥ m'(1) = 0, es decir m es creciente sobre [0, 1]. En consecuencia la cota superior para m sobre [0, 1] es m(1) = 0 o equivalentemente

Ahora de la desigualdad tπ/2 + 1 > 1 > tt, la cual se cumple para t Є [0,1], se deduce que

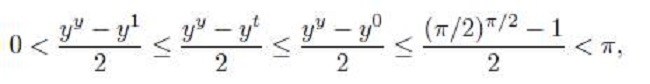
Luego, de (18), (19) y (20), obtenemos (15). Las estimaciones en (16) son consecuencia de que la función definida de [0,1] a ℝ por t → (yy- yt)/2 es decreciente, y así se tiene que (yy- y0)/2 > (yy- yt)/2 > (yy- y1)/2 sobre [0,1]. Ahora para y Є (0, π/2] se tiene que yy≤ (π/2)π/2 lo cual implica la desigualdad (yy-y0)/2 ≤ ((π/2)π/2-1)/2 < π y además dado que y es la tangente en y = 1 de la función estrictamente convexa yy se deduce que yy> y y en consecuencia (yy- y1)/2 > 0. Luego, resumiendo las desigualdades obtenidas se tiene la siguiente cadena

de donde claramente se deduce (16).
Ahora, mediante la aplicación de las propiedades de la función seno sobre [-π, π ], se tiene que las desigualdades en (13)-(16) implican

Al utilizar los signos de (21) en (12) se deduce que h(t) ≥ 0 para todo t Є [0,1] y cada y Є (0, π/2], concluyendo la prueba de la desigualdad (3) para (x, y) Є Su2.
Caso (x, y) Є Su3. En este caso se fija arbitrariamente y Є (1, π/2] y se define la función ω : (1, y] → ℝ mediante la relación ω(t) = G(t, y) con G definida en (4), es decir

Se observa que ω es decreciente sobre ]1,y] dado que ty,yt,ttЄ [0, (π/2)n/2] ⊂ [0,π) implican

Luego ω (t) ≥ ω (y) = 0 para todo t Є (1, y] y similarmente a los casos anteriores se concluye que la desigualdad (3) es satisfecha sobre Su3.
Caso (x,y) Є Su1 U Su2 U Su3. Para probar la desigualdad (3) sobre Sli para i = 1, 2, 3, se observa que (x, y) Є Sli si, y solo si, (y, x) Є Sui, entonces intercambiando (x, y) por (y, x) en la prueba para (x, y) Є Su se concluye que la desigualdad (3) es tambien válida sobre S¡.
Agradecimientos:
Los autores agradecen al Departamento de Ciencias Básicas de la Universidad del Bío-Bío de Chile. Además agradecen las observaciones muy importantes hechas por el revisor anónimo.
Referencias
[1] Cîrtoaje V., "Proofs of three open inequalities with power-exponential functions", J. Nonlinear Sci. Appl., 4 (2011), No. 2, 130-137. doi: 10.22436/jnsa.004.02.05.
[2] Cîrtoaje V., "On some inequalities with power-exponential functions", J. Inequal. Pure Appl. Math., 10 (2009), No. 1, 1-6.
[3] Coronel A. and Huancas F., "The proof of three power-exponential inequalities", J. Inequal. Appl., 509 (2014), No. 1, 1-10. doi: 10.1186/1029-242X-2014-509.
[4] Coronel A., Korus P., Lozada E., and Irazoqui E., "On the Generalization for Some Power-Exponential-Trigonometric Inequalities", Mathematics., 7 (2019), No. 10, 1-6. doi: 10.3390/math7100988.
[5] Laub M. and Ilani I., "A subtle inequality", Amer. Math. Monthly., 97 (1990), 65-67.
[6] Laub M., "Elementary Problems: E3111-E3116", Amer. Math. Monthly., 92 (1985), 666. doi: 10.2307/2323718.
[7] Matejička L., "Solution of one conjecture on inequalities with power-exponential functions", J. Inequal. Pure Appl. Math., 10 (2009), No. 3, 1-5.
[8] Matejička L.,"Some remarks on Cîrtoaje's conjecture", J. Inequal. Appl., 269 (2016), No. 1, 1-11. doi: 10.1186/s13660-016-1211-0.
[9] Matejička L., "On the Cîrtoaje's conjecture", J. Inequal. Appl., 152 (2016), No. 1, 1-6. doi: 10.1186/s13660-016-1092-2.
[10] Matejička L., "Next generalization of Cîrtoaje's inequality", J. Inequal. Appl., 159 (2017), No. 1, 1-10. doi: 10.1186/s13660-017-1436-6.
[11] Matejička L., "Proof of one open inequality of Laub-Ilani type", Journal of Mathematical Inequalities., 14 (2020), No. 1, 83-98. doi: 10.7153/jmi-2020-14-07.
[12] Miyagi M. and Nishizawa Y., "A short proof of an open inequality with power-exponential functions", Aust. J. Math. Anal. Appl., 11 (2014), No. 1, 1-6.
[13] Miyagi M. and Nishizawa Y., "Extension of an inequality with power exponential functions", Tamkang J. Math., 46 (2015), No. 4, 427-433. doi: 10.5556/j.tkjm.46.2015.1831.
[14] Miyagi M. and Nishizawa Y., "A stronger inequality of Cîrtoaje's one with power exponential functions", J. Nonlinear Sci. Appl., 8 (2015), No. 3, 224-230. doi: 10.22436/jn-sa.008.03.06.
[15] Özban A., "New algebraic-trigonometric inequalities of Laub-Ilani type", Bull. Aust. Math. Soc., 96 (2017), No. 1, 87-97. doi: 10.1017/S0004972717000156.
[16] Qi F. and Debnath L., "Inequalities of power-exponential functions", J. Inequal. Pure Appl. Math., 1 (2000), No. 2, 1-5.
[17] Zeikii A., Cîrtoaje V. and Berndt W., Mathlinks. Forum, Forum, http://www.mathlinks.ro/Forum/viewtopic.php?t=118722. [cited 11 November 2006].
Notas