Artículos originales
Esqueleto Homoto-Homológico en la Categoría de los Grupos Abelianos
Homoto-Homological Skeleton in the Category of Abelian Groups
Esqueleto Homoto-Homológico en la Categoría de los Grupos Abelianos
Revista Integración, vol. 39, núm. 2, pp. 137-176, 2021
Universidad Industrial de Santander
Recepción: 26 Agosto 2020
Aprobación: 23 Marzo 2021
Resumen.:
En este artículo, se presenta la construcción de una teoría de homología general en la categoría de los grupos abelianos en el sentido de R. Ruiz, definida en su texto Introducción a la Teoría de Homología General [22], para categorías en general, la cual satisface una axiomática similar a la presentada por Eilenberg y Steenrod para teorías de homología en categorías admisibles de parejas de espacios topológicos (X, A) [3]. Esta teoría de homología general en los grupos abelianos se construyó por medio de un Esqueleto Homoto-Homológico, definido en este trabajo, mostrando sus conexiones con categorías monoidales y categorías simpliciales.
MSC2010: 55N10, 20K40.
Palabras clave: Conjuntos simpliciales, grupos abelianos simpliciales, homotopía, homología, sistemas homotópicos, funtor singular, categorías admisibles, objeto modelo.
Abstract.: In this paper, we present the construction of a general homology theory in the category of abelian groups in the sense of the textbook Introducción a la Teoría de Homología General by R. Ruiz [22], to general categories, meeting axioms similar to those presented by Eilenberg and Steenrod in homology theories for admissible categories of topological pairs (X, A) [3]. We built this general homology theory in abelian groups through what we called Homoto-Homological Skeleton, showing the connections with monoidal categories and simplicial categories.
Keywords: Simplicial sets, simplicial abelian groups, homotopy, homology, homotopic system, singular functor, admissible categories, model object.
1. Introducción
En el trabajo doctoral de R. Ruiz, Change of Models In Algebraic Topology [21], se evidenció que la topología algebraica estaba determinada por un funtor Λ : Δ - Top, que el autor denominó objeto modelo sobre la categoría Top, en el cual Λ ([n]) es el n-simplejo topológico Δn para n = 0,1,..., con el cual se determina la homotopía en Top y por medio del funtor singular del objeto A se obtiene la homología singular la cual cumple el axioma de homotopía de teorías de homologías dado por Eilenberg-Steenrod [9, pág. 111]. Además se mostró que cambiando el modelo A por un funtor covariante F : Δ → Top con la condición de que F([0]) sea un punto, se producen resultados paralelos, algo así como otra topología algebraica. De este trabajo quedó abierta la pregunta de si estos modelos producen, por medio del correspondiente funtor singular, teorías de homología
Posteriormente en el artículo Overview on Models in Homotopical Algebra [20], se extiende y se estudia el concepto de objeto modelo para categorías en general. De nuevo queda abierta la pregunta si con estos objetos modelos se pueden hacer teorías de homología. Sin embargo para definir un concepto análogo al de teoría de homología en categorías no topológicas, es decir en categorías donde sus objetos no son espacios topológicos, era necesario determinar qué es una teoría de homología, para categorias en general, comenzando por el concepto de categoría admisible para homología, tal como se tiene en las teorías de homología en los espacios topológicos [12, pág. 1]. En particular era necesario axiomatizar el concepto de categoría admisible para homología, trabajo desarrollado en el texto Introducción a la Teoría de Homología General [22] en el cual se demuestran las principales consecuencias y está abierto el problema de precisar cuándo un objeto modelo realmente produce una teoría de homología general. Este problema puede enfrentarse de manera general pero las bondades de la categoría misma producen diferencias significativas en la necesidad de la construcción de dicha teoría. Es por esta razón que este trabajo se enfoca en la categoría de los grupos abelianos (Ab), además de la posibilidad de extenderlo a categorías abelianas.
Así pues en este artículo presentamos una teoría de homología general, en el sentido de R. Ruiz [22], en la categoría de los grupos abelianos, definida por medio de lo que llamamos Esqueleto Homoto-Homológico.
2. Preliminares
Definición 2.1. Consideremos ModR la categoría que tiene por objetos ñ-módulos y por morfismos a los homomorfismos de ñ-módulos, los cuales llamamos ñ-homomorfismos. Una sucesión finita de ñ-homomorfismos

es exacta si Ker(fi+1) = Im(fi) para i = 1, 2,... ,n - 1. Una sucesión infinita

es exacta si Ker(fi+1) =Im(fi) para todo i Є ℤ.
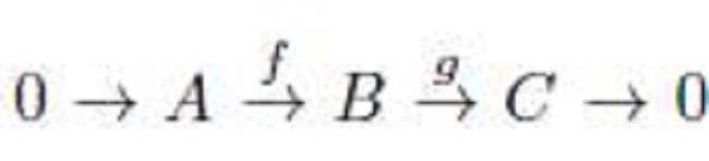
Una suceción exacta de la forma
es llamada sucesión exacta corta.
Teorema 2.2 ([11, Tma 1.18. pág. 177]). Consideremos en ModRla siguiente sucesión exacta corta

entonces las siguientes condiciones son equivalentes.

en particular, B ≅ A ⊕ C.
Una sucesión exacta corta que cumpla las condiciones equivalentes del Teorema 2.2 se dice que se descompone.
Definición 2.3. Se define el funtor Hom(A, -), para A un R-módulo, como sigue:

donde Hom(A,f )(α) = fα, para α Є HomR(A, X).
Proposición 2.4 ([11, Prop. 4.4, pág. 201]). Sea
una sucesión exacta de R-módulos que se descompone, entonces la sucesión

es exacta y se descompone, para todo R-módulo D.
Definición 2.5. La categoría Δ es aquella en la cual sus objetos son los conjuntos ordenados [n] = {0,1... ,n}, para n ≥ 0. Los morfismos en Δ son las funciones no decrecientes, esto es funciones f : [n] - [m] tales que i < j implica que f (i) ≤ f (j), para 0 ≤ i,j ≤ n.
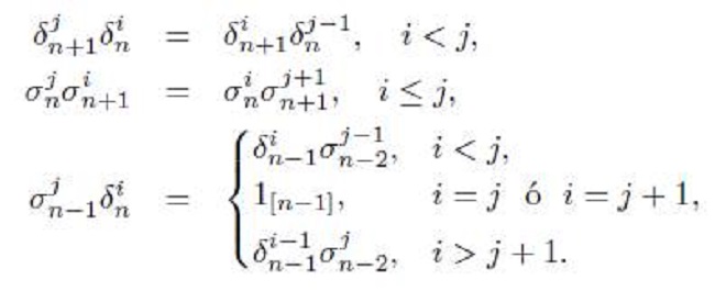
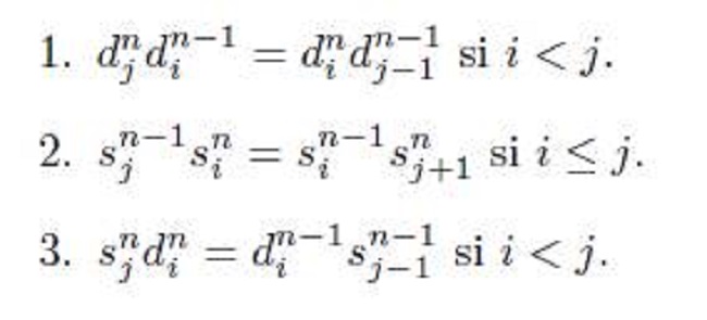
En la categoría Δ se tienen los monomorfismos δin: [n - 1] - [n], para i = 0,... ,n y los epimorfismos σjn: [n + 1] → [n], para j =0,... ,n dados por

los cuales satisfacen las siguientes propiedades:

Teorema 2.6 ([5, Lema 2.2, pág. 24]). Todo morfismo φ Є HomΔ ([m], [n]) puede ser escrito como composición de epimorfismos y monomorfismos de forma única como sigue:

donde n = m - t + s y n ≥ is> ... > i1≥ 0, 0 < jt< ... < j1< m.
Definición 2.7.
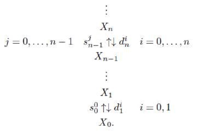
La Definición 2.7 es lo que P. May en [18, pág. 4], denomina como objeto simplicial. Los objetos de la categoría de los Conjuntos Simpliciales (Grupos Abelianos Simpliciales), también pueden ser vistos como una sucesión [Xn}n≥o de conjuntos (grupos abelianos) junto con funciones (homomorfismos) entre ellos como sigue

donde Xn= X([n]), din= X(δin) y sjn= X(σnj ), para X un conjunto simplicial (grupo abeliano simplicial), es decir X : Δ → Set (X : Δ → Ab) un funtor contravariante. Estas funciones (homomorfismos) satisfacen las siguientes propiedades, llamadas propiedades combinatorias:

El subíndice n de din y sjn se omitirá en la mayoría de los casos, siempre que no haya confusión.
Definición 2.8. Si X y Y son conjuntos simpliciales, se define como función simplicial, digamos f : X → Y, a una familia de funciones

tal que los siguientes diagramas conmutan

para todo n Є ℕ, i = 0,...,n y j =0,...n-1.
Definición 2.9. Denotamos como Δ[n] al conjunto simplicial el cual para q Є ℕ se define Δ [n]q= HomΔ ([q], [n]), y para f : [p] → [q] un morfismo en la categoría Δ, el morfismo Δ [n](f) : Δ[n]q → Δ[n]p está definido por Δ[n](f)(α) = αf.
Definición 2.10.
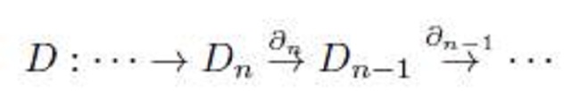
1. Un complejo de cadenas D de grupos abelianos, es una familia de grupos abelianos [Dn}nЄ ℤ junto con homomorfismos de grupos como sigue

tales que ∂n-1o ∂n= 0 para todo n Є ℤ. El subíndice n de ∂n se omitirá en la mayoría de los casos, siempre que no haya confusión.
2. Si C y D son complejos de cadenas de grupos abelianos, una transformación de cadenas f : C → D es una familia de homomorfismos {fn: Dn → Cn}n Єℕ tal que el siguiente diagrama conmuta para todo n

3. La categoría Ch(Ab) es aquella en donde los objetos son complejos de cadenas de grupos abelianos y los morfismos son transformaciones de cadenas.
Denotamos como Ch+(Ab) a la categoría la cual sus objetos son complejos de cadenas C positivas, es decir Cn = 0 si n < 0 y (Ch+ (Ab))d=0 a la categoría de cadenas positivas tales que dn : Cn → Cn-i son homomorfismos nulos para todo n Є ℤ.
Existe en la literatura una definición más general de complejos de cadenas sobre R-módulos, para R un anillo, la cual denotan por Ch(R) o ChainR (ver [10, pág. 40]), más en este trabajo nos enfocamos en el caso de complejos de cadenas sobre ℤ -módulos.
Definición 2.11 (Grupos de Homología). Sea C un complejo de cadenas, entonces los grupos de homología de C están definidos por Hn(C) = Ker∂n/Im∂n+i para n Є ℤ.
Sea f : C → D una transformación de cadenas, entonces f induce un homomorfismo

como sigue: Sea Cn+∂ (Cn+1) Є Hn(C), entonces fn* (cn + ∂ (Cn+1)) = fn(cn)+ ∂ (Dn+1). El subíndice n generalmente se omite de fn* para dar la notación f* : Hn(C) → Hn(D) siempre que no haya confusión.
3. Objetos modelo para homotopía y homología
Los objetos modelo en una categoría C que se presentan en [20] son importantes en el estudio de homotopía y homología, pues ellos bajo ciertas condiciones, que se presentan en esta sección, pueden generar grupos de homología y una relación de homotopía en la categoría C, por medio de un sistema homotópico en el sentido de [14] y [15].
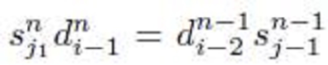
Definición 3.1. Sea C una categoría. Un objeto modelo sobre la categoría C es un funtor covariante Y : Δ → C, es decir un objeto cosimplicial en la categoría C, para el cual usaremos la notación Y([n]) := Yn, Y(δin : [n - 1] → [n]) := dni y Y(σnj : [n +1] → [n]) := snj, similar a conjuntos simpliciales, donde los morfismos δin y , para i, j = 0,1,... ,n, son los monomorfismos y epimorfismos, respectivamente, que generan a todos los morfismos de la categoría Δ. Los morfismos dni y snj satisfacen las siguientes identidades combinatorias:


El superíndice n de dni y snj se omitirá en la mayoría de los casos, siempre que no haya confusión.
Definición 3.2. Un sistema homotópico en una categoría C, es una cuádrupla η = (I,Є0, Є1,μ) donde I : C → C es un funtor covariante, y Єi : 1c- I, μ : I → 1c son transformaciones naturales tales que μ◦ Єi = 1 para i = 0, 1, donde 1 denota la transformación idéntica 1c → 1c. Sean f,g : A → B dos morfismos en C, entonces decimos que f es η-homótopo a g (f ~η g) si existe un morfismo ∅ : I (A) → B en C tal que el siguiente diagrama conmuta

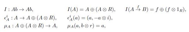
Ejemplo 3.3. Sea Ab la categoría en donde sus objetos son grupos abelianos y los morfismos son los homomorfismos de grupos abelianos. Dado un anillo unitario R, entonces en Ab existe un sistema homotópico, presentado en [8], dado por

para i = 0,1 y donde ⊗ denota el producto tensorial como ℤ -módulos.
Un objeto modelo sobre una categoría C puede generar un sistema homotópico en C bajo ciertas condiciones que presentamos a continuación.
Sea Y : Δ → C un objeto modelo y supongamos que existe un bifuntor (-)⊗ ( -) : C xC → C y existe un isomorfismo pC : C → C⊗ Y0 natural en C, entonces los siguientes diagramas son conmutativos


Se puede generar entonces un sistema homotópico en la categoría C por medio de un objeto modelo Y : Δ → C como sigue.
Definición 3.4. Sea Y Δ →C un objeto modelo en la categoría C, ( - ) ⊗ (-) : C xC → C un bifuntor y p : (-)→ ( - ) ⊗ Y0 un isomorfismo natural. Entonces la terna (Y, ⊗,p) induce un sistema homotópico ηY= (I,Є°, Є1,μ) como sigue:
1. I : C → C; donde I(C) = C ⊗ Y1 y I(f) = f ⊗ 1y1 .
2. Єi: 1c →I, definido para i = 0,1 por

para C Є ObjC.
3. μ : I → 1c , definido por

para C Є ObjC.
Ejemplo 3.5 (Homotopía en Categorías Monoidales). En una categoría monoidal (M, ⊗, 1) se tiene un bifuntor ⊗: M x M → M, llamado producto tensorial y un objeto identidad 1 el cual cumple que M ⊗ 1 ≅ M naturalmente para todo objeto M en M (ver [4, pág. 21]). Así pues, si se tiene un objeto modelo Y : Δ → M tal que Y0 = 1, entonces Y genera un sistema homotópico en M.
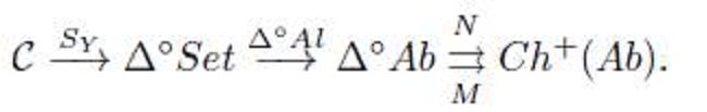
Los objetos modelos también juegan un papel importante para la construcción de funtores de homología de la forma H : C → (Ch+(Ab))∂=0, los cuales se generan por medio de los grupos de homología en la categoría Ch(Ab) (ver Definición 2.11) y a partir del funtor singular SY que definimos a continuación.
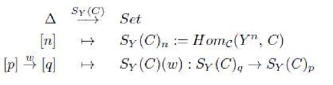
Definición 3.6 (Funtor Singular). Sea C una categoría y Y : Δ → C un objeto modelo sobre C, entonces el Funtor Singular SY está dado por

donde
1. Para C un objeto en C, se define el funtor contravariante Sy(C) por

y para α Є Sy (C)q se define Sy (C)(ω)(α) = α o Y(ω).
2. Para
un morfismo en C, la función simplicial Sy(f) : Sy(C1) 4 Sy(C2) se define por la siguiente familia de funciones

Puesto que para un objeto de Ch(Ab) existen sus grupos de homología y el funtor singular de un objeto modelo Y : Δ → C asigna a un objeto C de C un conjunto simplicial1, para definir grupos de homología de C es necesario un funtor desde la categoría Δ °Set a la categoría Ch(Ab), el cual se construye pasando primero por una categoría que es equivalente a Ch+(Ab), la cual es la categoría de los grupos abelianos simpliciales Δ °Ab.
Para pasar de Δ °Set a Δ ° Ab, considere el funtor Set
Ab tal que para B un conjunto, Al(B) es el grupo abeliano libre generado por los elementos de B, y para f : A → B una función entre conjuntos, Al(f) : Al(A) 4 Al(B) es el homomorfismo definido por Al(f)( α) = f(α) para todo a perteneciente al conjunto generador A. Así, si X es un conjunto simplicial, es decir un funtor contravariante de Δ a Set, entonces Al o X es un grupo abeliano simplicial, con esto se define un funtor desde la categoría Δ ° Set a Δ ° Ab, denotado por Δ°Al, el cual puede ser presentado también de la forma de sucesión, en donde cada nivel del grupo abeliano simplicial es de la forma Al(Xn) y los morfismos que cumplen las propiedades combinatorias son Al(di) y Al(si).
Así pues tenemos el funtor
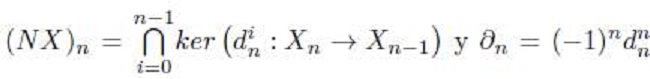
. Ahora para un objeto X en Δ °Ab se tiene la sucesión {Xn}n≥0 donde cada Xn con n ≥ 0 es un grupo abeliano y también para cada n > 0 se tienen homomorfismos din: Xn → Xn-1, para i = 0,1, 2,... ,n, con esto formamos los complejos de cadenas N(X) y M(X), conocidos en la literatura como Complejo de Moore y Complejo Normalizado, respectivamente, dados por

Donde 
donde
. Por tanto obtenemos dos
funtores desde la categoría C a la categoría Ch+(Ab) (un funtor tomando N y otro funtor tomando M) de la siguiente forma

Observación 3.7. El morfismo inclusión i : N(X) → M(X) es una transformación de cadenas la cual es una equivalencia de cadenas (ver [6, Tma 2.4, pág. 150]), entonces los grupos de homología de los complejos M(X) y N(X), para X un grupo abeliano simplicial, son isomorfos (ver [17, Cor 2.2, pág. 40]).
Notación. Denotaremos por CyN a la composición N o Δ ° Al o Sy y CyM a la composición M o Δ° Al o Sy , por lo tanto, para un objeto X en la categoría C, se pueden definir grupos de homología de X por medio de los grupos de homología del complejo de cadenas (X), los cuales por la Observación 3.7 son iguales a los grupos de homología del complejo de cadenas Cy1(X). Así pues, en algunos casos realizaremos cálculos de grupos de homología por medio del funtor y en otros por medio del funtor CyM por conveniencia. En particular para objetos modelos Y : Δ → Ab, puesto que S llega a la categoría de los grupos abelianos simpliciales, es decir S : Ab → Δ°Ab, entonces para estos objetos modelos denotamos por CyN al funtor N o Sy y CyN a la composición M o Sy .
En particular para objetos modelos Y : Δ → Ab sobre la categoría de los grupos abelianos, al aplicar el funtor singular S a una sucesión exacta que se descompone en Ab, es decir que satisface una de las condiciones del Teorema 2.2, se obtiene por cada nivel n ≥ 0 una sucesión exacta. Este resultado es de interés en este trabajo puesto que por medio de él se define una transformación natural necesaria para teorías de homología general la cual se presenta posteriormente en la sección 8 en la Observación 8.8.
Corolario 3.8. Sea Y : Δ → Ab un objeto modelo y
una sucesión exacta en Ab que se descompone, entonces la sucesión
es exacta para todo n ≥ 0.
Demostración. La sucesión
es por definición
la cual es exacta por la Proposición 2.4, puesto que
es exacta y se descompone.
Definición 3.9. Sea Y : Δ → C un objeto modelo sobre una categoría C, entonces el funtor Hy: C → (Ch+(Ab))∂=0, que llamaremos el funtor de homología generado por Y, está definido como sigue:
1. Para un objeto en C, H ( ) es el complejo de cadenas siguiente

donde ∂n= 0 para todo n.
2. Para f : X → Z un morfismo en la categoría C, Hy(f) : Hy (X) → Hy (Z) es la transformación de cadenas tal que Hy(f)n= Hn(Cp(f)).2
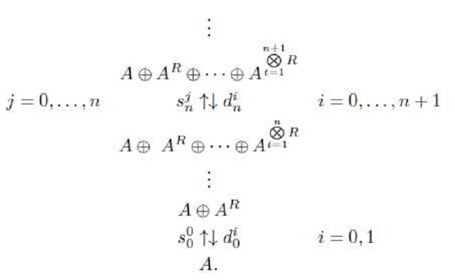
4. Objeto modelo en los grupos abelianos
En esta sección definimos el objeto modelo ΨR en la categoría de los grupos abelianos, la relación de homotopía y grupos de homología que genera, donde la relación de homotopía es igual a la presentada por L. Hernández en su tesis doctoral [13].
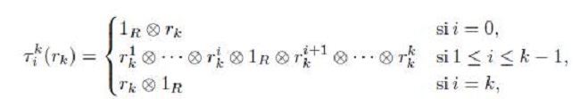
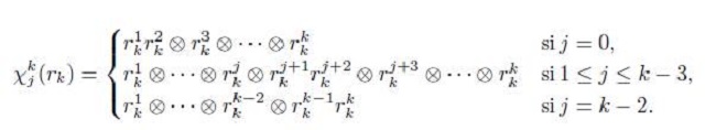
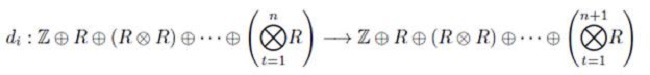
Sea R un anillo unitario y consideremos los siguientes homomorfismos de grupos abelianos
definidos como sigue. Sea
entonces

Y

Estos homomorismos satisfacen unas identidades las cuales son de importancía para la construcción de el objeto modelo ΨR.
Proposición 4.1 ([7, Prop. 1.39 pág. 57]). Los homomorfismos Tiky xkjsatisfacen las siguientes identidades:

A continuación presentamos la aplicación ΨR que posteriormente en el Teorema 4.4 se prueba que es, en efecto, un objeto modelo sobre la categoría Ab.
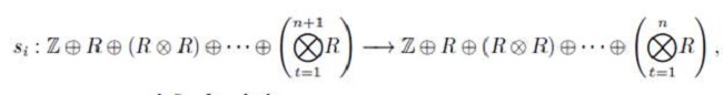
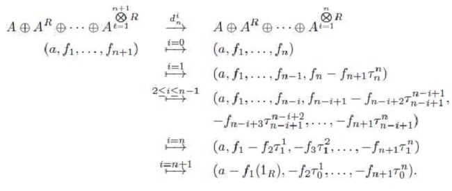
Definición 4.2. Sea ΨR: Δ → Ab, donde R es un anillo unitario, la aplicación tal que

2. La imagen de los morfismos δi y σi presentados en la categoría A son

Y

respectivamente, definidos de la siguiente manera:
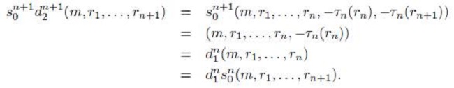
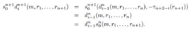
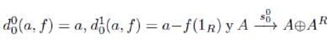
a) Para n = 0 definimos di0: ℤ - ℤ ⊕ R, donde di0(m) = (m, (-m i)1R) para i = 0,1 y s00: ℤ ⊕ R → Z, donde s0(m, r) = m.
b) Para n ≥ 1, se define

por casos como sigue:

c) Para n ≥ 1, se define

por casos como sigue:

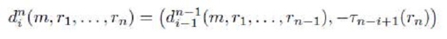
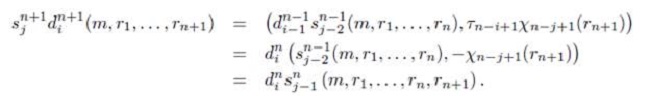
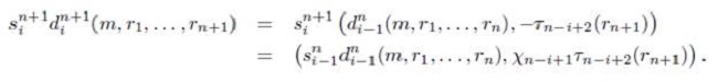
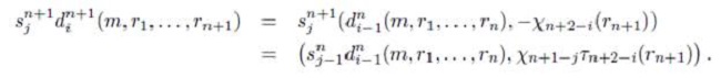
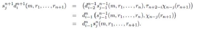
Observación 4.3. Nótese que para 2 ≤ i ≤ n + 1 y n ≥ 1 se tiene que

y para 1 ≤ j ≤ n se tiene que

sn(m,rk,...,rn+k) = (sn-^(m,rk,. .. ,rn), -xVji (rn+k)) .
Ahora, con esta observación y la Proposición 4.1, podemos demostrar que la aplicación ΨR de la Definición 4.2 es un objeto modelo sobre la categoría Ab.
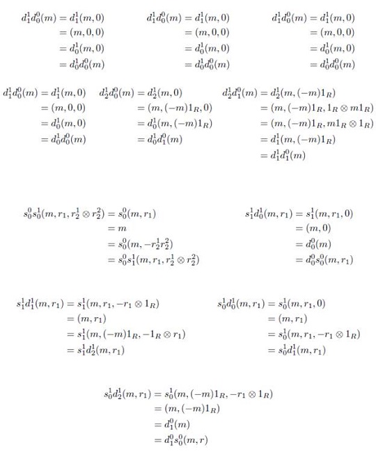
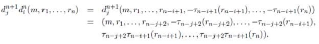
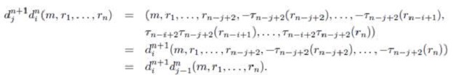
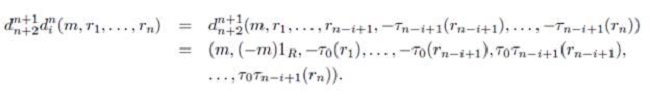
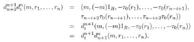
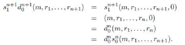
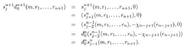
Teorema 4.4. Los morfismos diny snjde 4-2 satisfacen las identidades combinatorias presentadas en 3.1.
Demostración. Actuemos por inducción sobre n.
I. Sea n = 1, entonces

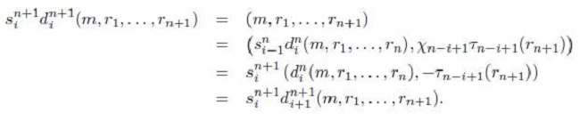
II. Supongamos que se cumple para algún n Є ℕ, verifiquemos para n + 1.
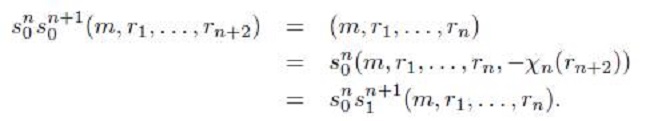
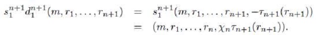
1. Sea j = 1 y i = 0, entonces

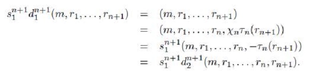
Sea i = 0 y 1 < j ≤ n + 1, entonces

Sea i = 0 y j = n + 2, entonces

Sea 0 < i < j ≤ n + 1, entonces

Puesto que i < j, entonces n - i + 1 ≥ n - j + 2, por tanto por el ítem 1 de la Proposición 4.1 se tiene que Tn-j+2Tn-i+i = Tn-i+2Tn-j+2. Luego

Sea 0 < i < j = n + 2, entonces

Puesto n - i + 1 ≥ 0, entonces por el ítem 1 de la Proposición 4.1 se tiene que T0Tn-i+i = Tn-i+2T0, entonces

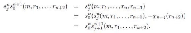
2. Sea i = 0 = j, entonces

Sea i = 0 < j, entonces

Sea 0 < i < j, entonces

Por hipótesis de inducción
y por el ítem 2 de la Proposición 4.1 se tiene que Xn-jXn+i-i= Xn-iXn-j, puesto que j > i implica que n+1 - i > n - j, entonces

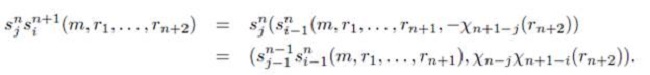
3. Sea i = 0 y j = 1, entonces

Sea 0 = i < j, entonces

Sea 1 = i < j, entonces

Ahora, puesto que j > 1, tenemos que n > n +1 - j, por lo tanto, por el ítem 3 de la Proposición 4.1, se obtiene que Xn+1-jTn+1= TnXn+1-j. Luego,

Sea 2 ≤ i < j < n + 2, entonces

Por hipótesis de inducción
y por el ítem 3 de la Proposición 4.1 se tiene que Xn_j+1Tn-i+2 = Tn_i+1Xn_j+1. Ya que i < j, tenemos que n - i + 1 > n - j + 1 y luego

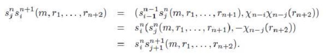
4. Sea i = 0, entonces

Sea i = 1, entonces

Por el ítem 4 de la Proposición 4.1 se tiene que XnTn+1= identidad = XnTn. Luego

Sea 2 ≤ i ≤ n + 1 , entonces

Por hipótesis de inducción sni-1dni-1= identidad = sni-1dni y por el ítem 4 de la Proposición 4.1 se tiene que Xn_i+1Tn_i+2 = identidad = Xn_i+1Tn_i+1. Luego

5. Sea i = 2 y j = 0, entonces

Sea i > 2 y j = 0, entonces

Sea i > j + 1 y j > 1, entonces

Por hipótesis de inducción
y por el ítem 5 de la Proposición 4.1 se tiene que Xn+1_jTn+2_j =Tn+2_iXn_j. Ya que i > j + 1, tenemos que n + 2 - i < n + 1 - j y luego

Así pues la propiedad se cumple para n + 1. Entonces las identidades se cumplen para todo n Є ℕ.
Teorema 4.5. Consideremos el bifuntor (-)⊗ (-) : Ab x Ab → Ab dado por A ⊗ B := A⊗ ℤ B, donde (&% denota el producto tensorial como ℤ -módulos. La relación de homotopía que genera el objeto modelo Ψr, junto con el bifuntor (-)⊗ (-), por el proceso descrito en 3.4, es la relación de homotopía en Ab descrita en [13].
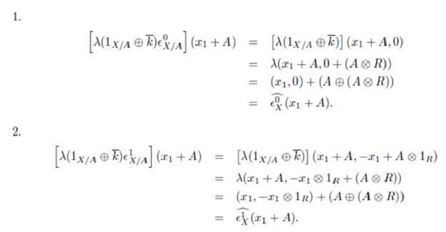
Demostración. Puesto que (Ψr)0= ℤ, entonces X⊗(Ψr)0 ≅ X naturalmente para todo grupo abeliano X, por lo tanto Ψr genera un sistema homotópico ηФR= (I,Є0,Є1,μ), donde I(X) = X ⊗ (ℤ ⊕ R) ≅ X ⊕ (X ⊗R) ,Є0X(x) = (x, 0),Є1x(x) = (x, -x ⊗1r) y μX(x,y ⊗r) = x, el cual es el sistema homotópico descrito en el Ejemplo 3.3, donde la relación de homotopía que genera es la homotopía en la categoría de los grupos abelianos, no trivial, descrita por L. Hernández en su tesis doctoral [13]. 0
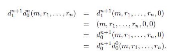
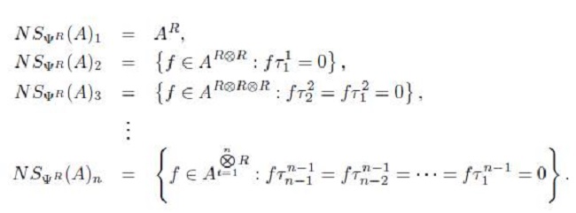
A continuación explicitamos la construcción dada en la Definición 3.6 asociada al objeto modelo Y = Ψr definido en 4.2, para ello utilizaremos la notación de tipo exponencial, HomAb(A,B) = BA: Sea A un grupo abeliano y R un anillo unitario, entonces 
, por tanto obtenemos que SΨR(A) es el siguiente grupo abeliano simplicial

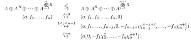
donde los morfismos din para i = 0,...,n +1 y sjn para j = 0,..., n son como sigue:
1. Para
, donde
, donde s00(α) = (α, 0).
2. Para n ≥ 1

Y

Por la Definición 3.9 tenemos que el objeto ΨR modelo definido en 4.2, genera al funtor de homología HΨr donde HΨr (A)n: = Hn(CΨNR(A)) = Ker(∂n)/Im(∂n+1), donde ∂n: = ( -1)ndnn para dnn definido por el grupo abeliano simplicial SΨr (A) el el ítem 1 al inicio de esta sección. Veamos pues los grupos de homología que genera el objeto modelo para un grupo abeliano A, grupos de homología introducidos en este trabajo, los cuales presentamos en el siguiente teorema.
Teorema 4.6. Sea A un grupo abeliano y R un anillo unitario, entonces

Demostración. Sea A un grupo abeliano y R un anillo unitario, entonces aplicando el funtor N : Δ°Ab → Ch+(Ab) al grupo abeliano simplicial SФ,r(A), se obtiene el siguiente complejo de cadenas

Donde

y
para todo n ≥ 3, con lo cual se tiene el resultado.
Ejemplo 4.7.
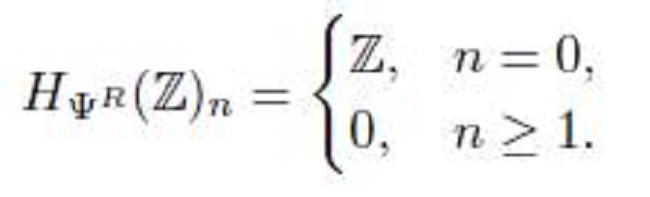
1. Sea R un cuerpo, entonces

2. Consideremos R = ℚ y A = ℚ / ℤ. Afirmación: todo objeto en ℚ ⊗ ℚ es de la forma r ⊗ 1 para r Є ℚ. En efecto, consideremos p(g> J un elemento del conjunto generador de ℚ ⊗ ℚ, entonces
. Análogamente también se prueba que en ℚ ⊗ ℚ se tiene que r ⊗ 1 = 1 ⊗ r, para todo r Є ℚ. Así pues, si un homomorfismo g : ℚ ⊗ ℚ → ℚ / ℤ satisface que gt11= 0, entonces gt10= 0, por lo tanto HΨr (ℚ / ℤ)1= {f Є ( ℚ / ℤ) ℚ: f (1) = 0} con lo cual obtenemos HΨr (ℚ / ℤ)1= 0, puesto que la proyección canónica π : ℚ → ℚ / ℤ dada por π(r) = r + ℤ, para r Є ℚ, está en el conjunto {f Є (ℚ / ℤ)ℚ: f (1) = 0} y no es el homomorfismo nulo.
Observación 4.8. En [13] se define lo siguiente: Sea i : ℤ → R el homomorfismo de grupos abelianos dado por i(1 ℤ)= 1r y sea S = Coker(i), por tanto S = R/i(ℤ), donde i(ℤ) es el grupo abeliano generado por 1R, es decir i(ℤ) = {n1R\n Є ℤ }. Se define

y con esto el n-ésimo grupo de homotopía πn(A) = [⊗nS, A]R para un grupo abeliano A, donde [A, B]R= HomAb(A, B)/ η para η el sistema homotópico presentado en el ítem 3 del Ejemplo 3.3. Así pues tenemos que π0(A) = [ℤ, A]R . Posteriormente en este trabajo, en el Teorema 6.8, se demuestra que HΨr (A)0 ≅ π0(A).
5. Esqueletos homoto-homológicos
Definición 5.1. Un Esqueleto Homoto-Homológico en una categoría A consiste de lo siguiente:
1. Un objeto modelo Y : Δ → A.
2. Una relación de homotopía ~ que sea compatible con la composición; es decir, si f, g : A → A' y f', g' : A → A" son tales que f ∼ g y f' ∼ g', entonces f’f ∼g'g.
3. Un funtor H: A → (Ch+ (Ab))∂=0 tal que si dos morfismos f, g son tales que f ∼ g, entonces H(f) =H(g).
Por ejemplo, la relación ∼ puede ser definida por medio del sistema homotópico nY presentado en 3.4, si existe, o definida por medio del funtor Hy: A → (Ch+(Ab))∂=0 definido en 3.9. 3. Como funtor H podemos considerar H= Hy: A → (Ch+(Ab))∂=0 definido en 3.9, en el caso que este funtor sea invariante bajo la relación ∼, es decir que cumpla la condición exigida en 3 de la Definición 5.1. Usaremos la abreviación (A,Y, ∼ , H) para referirnos a esqueletos homoto-homológicos sobre la categoría A.
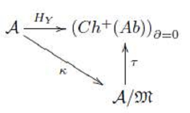
En [2] se deine una relación de homotopía en una categoría A por medio de la categoría de cocientes (A/ ℳ, k) (o llamada también en [5] como categoría de fracciones de A por M), donde A/ ℳ es una categoría con los mismos objetos de A y k : A → A/ ℳ es un funtor covariante que preserva los objetos de A y satisface las siguientes dos condiciones:
1. Si α Є ℳ, entonces K(α) es invertible en A/ ℳ, es decir K(α) es un isomorfismo en A/ ℳ.
2. Si T : A →K es un funtor, donde K es una categoría cualquiera, tal que T(α) es invertible para todo α Є M, entonces existe un único funtor t : A/ ℳ → K tal que T = t o k, es decir que el siguiente diagrama conmuta

Dada una categoría A cualquiera y ℳ una clase arbitraria de morfismos en una categoría A, entonces en [2, Tma 1.1, pág. 240] demuestran que la categoría cociente (A/ ℳ,k) existe. Con esto, definen M-homotopía en A como sigue: Dos morfismos f,g : A → B en A son llamados M-homótopos (f ℳ g) si y sólo si n(f) = n(g).
Observación 5.2. Si F : A → C es un funtor covariante cualquiera, se define la familia de morfismos ℳ (F) := {f Є A | F(f) es invertible en C}, por tanto existe la categoría cociente (A/ ℳ (F), k) la cual genera la relación ℳ(F) en A. Ahora, dado un objeto modelo Y : Δ → A, entonces por la Definición 3.9 existe el funtor de homología
(Ch+(Ab))∂=0 el cual genera entonces la relación
en la categoría A.
Veamos que el funtor HY es invariante bajo la relación
en A.
Teorema 5.3. Dado un objeto modelo Y sobre la categoría A y f,g : A → B morfismos en A tales que f es ℳ (Hy)-homótopo a g, entonces Hy(f) = Hy(g).
Demostración. Por definición ℳ (HY) = {f G A | Hy(f) es invertible en (Ch+ (Ab))d=0], entonces existe un único funtor t : A/ ℳ - (Ch+(Ab))∂=0 tal que el siguiente diagrama conmuta

Luego, por otro lado, puesto que f es ℳ (Hy)-homótopo a g, entonces K(f) = K(g) y por tanto TK(f) = TK(g), es decir, Hy(f) = Hy(g).
Así pues, dado un objeto modelo Y sobre A, entonces
es un Esqueleto Homoto-Homológico.
5.1. Esqueletos homoto-homológicos en categorías simpliciales
En [6, pág. 81] se define categoría simplicial, a una categoría C para la cual existe un bifuntor Homc: C x C → Δ° Set con las siguientes propiedades para A y B objetos en C:
1. HomC(A,B)0= HomC(A, B).
2. Cada funtor Homc(A, •) : C → Δ° Set tiene un adjunto a izquierda A⊗C• : Δ°Set → C el cual es asociativo en el sentido que existe un isomorfismo A⊗C(K x L) ≅ (A ⊗CK) ⊗CL natural en A ЄC y K, L Є Δ°Set.
3. Cada funtor Homc(•, B) : Cop → A°Set tiene un adjunto a izquierda homc(•, B) : Δ°Set → Cop.
Ahora, si una categoría simplicial C tiene objeto final *, entonces en C se puede obtener un Esqueleto Homoto-Homológico, como lo muestra el siguiente corolario.
Corolario 5.4. Sea C una categoría simplicial con objeto final * y Y : Δ → C el objeto modelo definido por Yn= *⊗CΔ[n]4, Y(δin) = 1* ⊗Cdnie Y(σjn) = 1* ⊗Csnj, para dniy snjdefinidas por (dni)p(α) = δniα y (sjn)p(β) = σnjβ, donde α Є HomΔ([p], [n - 1]) y β Є HomΔ([p], [n +1]), entonces
es un Esqueleto Homoto-Homológico.
Demostración. Dado que Y es un objeto modelo en C, entonces por el Teorema 5.3 se obtiene el resultado. 0
Por lo visto en la Observación 5.2 se tiene que un objeto modelo Y : Δ→ A genera una relación de homotopía por medio de la categoría cociente A/M y con lo visto en la Definición 3.4, Y genera bajo ciertas condiciones un sistema homotópico en A, el cual a su vez define una relación de homotopía. Queda aquí pues abierta la pregunta de que tipo de relación hay entre estas dos relaciones de homotopía.
6. Esqueleto homoto-homológico en Ab
En la categoría de los grupos abelianos, existe la relación de homotopía presentada por L. Hernández en su tesis doctoral (ver [13]), la cual utilizó para definir los grupos de homotopía para un grupo abeliano, entre otras cosas. Por tanto, dada la importancia de esta relación de homotopía, en este trabajo se presentará un Esqueleto Homoto-Homológico en Ab para el cual la relación ~ de la propiedad 2 de la Definición 5.1, sea la descrita en [13], la cual es generada por medio del objeto modelo ΨR, definido en 4.2. Ahora, este modelo genera el funtor de homología HΨr (ver Definición 3.9), al cual se le hizo una modificación a los objetos de la categoría de partida, es decir a los grupos abelianos.
Para R un anillo unitario, en [8, pág. 163] se define una relación de homotopía en la categoría de los grupos abelianos dada como sigue: Sean f,g : A → B homomorfismos de grupos abelianos, entonces se dice que f es nulo-homótopo
si existe una función bilineal F : A x R → B tal que F(α, 1R) = f (α), para todo α Є A. Luego f es homótopo a g (f ≅Rg) si y sólo si
.
Ahora, sea A un grupo abeliano, entonces A ≅HomAb(ℤ, A), así pues se puede definir una relación en A por medio de la relación ≅R en HomAb(ℤ, A) como sigue.
Definición 6.1. Sea A un grupo abeliano y αi,α2Є A, entonces
si y solo si ψa1 ≃Rψa2 , donde ψai: ℤ → A es el homomorfismo de grupos abelianos dado por ψai(n) = nαi, para i = 1, 2. Así pues
si y sólo si existe una función bilineal F : ℤ x R → A tal que F(n, 1R) = n(α1- α2), para todo n Є ℤ.
Puesto que la relación ≃R es de equivalencia, entonces
también lo es. Usaremos la notación ∿R en cambio de
, cuando se entienda el grupo abeliano A.
Tomando la operación del grupo A, el conjunto {f(1R) : f Є HomAb(R,A)} es un subgrupo de A. Este subgrupo es de interés aquí, pues él es el que determina la relación ∿R , lo cual mostramos en la siguiente proposición:
Proposición 6.2. Sea A un grupo abeliano y α1, α2Є A, entonces α1 ∿Rα2si y sólo si α1- α2Є{f (1r) : f Є HomAb(R A)}. Así pues A/ ∿r ≅ A/{f (1r) : f Є HomAb(R A)}.
Demostración. (⇒) Supongamos α1 ∿Rα2, entonces existe una función bilineal F : ℤ x R → A tal que F(n, 1R) = n(α1- α2), para todo n Є ℤ, la cual induce un homomorfismo f : R → A dado por f(r) = F(1ℤ,r). Puesto que F es bilineal, entonces f es homomorfismo de grupos. Así pues f (1R) = F(1ℤ, 1R) = α1- α2. Por lo tanto α1- α2Є {f (1r) : f Є HomAb(R, A)}.
(⇐) Supongamos ahora α1- α2Є A tales que α1- α2Є {f(1R) : f Є HomAb(R,A)}, entonces existe un homomorfismo de grupos abelianos f : R → A tal que f (1R) = α1- α2. Considere la aplicación F : ℤ x R → A dada por F(n, r) := nf (r). Así pues F es bilineal y F(n, 1r) = nf (1R) = n(α1- α2), por lo tanto α1 ∿R. 0
De la Proposición 6.2 podemos ver que para el caso que HomAb(R, A) = 0 entonces el grupo abeliano A/ ∿R es el mismo grupo abeliano A.
La relación de homotopía ≃R en HomAb(A, B), presentada en [13], induce el grupo HomAb(A, B)/ ≃R , el cual en [13, pág. 37] lo denotan por [A, B]R. Por otro lado, puesto que HomAb(A, B) es un grupo abeliano entonces tenemos el grupo abeliano HomAb(A, B)/ ∿R . El siguiente teorema nos muestra que estos grupos abelianos son isomorfos.
Teorema 6.3. Sean A y B grupos abelianos y f,g Є HomAb(A, B), entonces f ≃Rg si y sólo si f ≅r g. Así pues [A,B]r = HomAb(A,B)/ . ∿R.
Demostración. (⇒) Supongamos que f ≃Rg, entonces
, es decir que existe una función bilineal F : A x R → B tal que F(α, 1R) = (f - g)(a). Considere ahora la función G : ℤ x R → HomAb(A, B) donde G(n,r) = F o inr, donde inr: A → A x R es la función definida por inr(α) := (n a, r). La función G es bilineal. Ahora G(n, 1R)(α) = F(n α, 1R) = (f - g)(n a) = n(f - g)(a), para todo α Є A, entonces G(n, 1R) = n(f - g), es decir f ∿Rg.
(⇐ ) Supongamos que f ∿Rg, entonces existe una función bilineal G : ℤ x R → HomAb(A, B) tal que G(n, 1R) = n(f - g). Considere ahora la función F : A x R → B definida por F(α, r) = G(1Z, r)( α). La función F es bilineal. En efecto, F (α1+ α2,r) = G(1ℤ,r)( α1+ α2) = G(1ℤ,r)( α1) + G(1ℤ,r)( α2) = F (α1,r) + F (α2,r) y F(α,r1+ r2) = G(1 ℤ, r1 + r2)( α) = [G(lz,n) + G(1 ℤ,r2)]( α) = G(1 ℤ,n)( α) + G(lz,r2)( α) = F (α,r1) + F (α,r2).
Así pues se obtiene que el homomorfismo identidad l : HomAb(A, B) → HomAb(A, B) pasa al cociente 1 : [A, B]R → HomAb(A, B)/ ∿R , es decir [A, B]R= HomAb(A, B)/ ∿R .
Teorema 6.4. Sea f : A → B un homomorfismo de grupos abelianos. Si α1 ∿Rα2, entonces f (α1) ∿Rf (α2).
Demostración. Si α1 ∿Rα2, entonces ψα1 ≃Rψ α2, luego puesto que la relación ≃R es representada por un sistema homotópico, entonces fψ α1 ≃Rfψ α2 es reflexiva (ver [19, Lema 2.3, pág. 4]). Ahora ψf(ai)(n)= nf (α1) = f (n α1) = f (ψai,(n)) = fψai,(n), asípues, si ai ∿r α2 entonces ψf(α1) ≃r ψf(α2), por lo tanto f (α1) ∿r f (α1).
Con lo anterior tenemos que todo homomorfismo de grupos abelianos f : A → B pasa al cociente por ∿R , por tanto se tiene el homomorfismo de grupos abelianos [f]R: A/ ∿R → B/ ∿R donde [f]R ([α]A) = [f (α)]B . Entonces definimos el siguiente funtor.
Definición 6.5. Se define el endofuntor CR: Ab →Ab por CR(A) = A/ ∿R , para A un grupo abeliano y CR(f) = [f]R, para f un homomorfismo de grupos abelianos.
Teorema 6.6. Sean f,g : A → B homomorfismos de grupos abelianos. Si f ∿Rg, entonces CR(f) = CR(g).
Demostración. Supongamos f ≃Rg, entonces existe una función bilineal F : A x R → B tal que F(α, 1R) = (f - g)(α), para todo a Є A. Consideremos la función
, para cada α Є A, donde Tα(n,r) = (n α,r). La función FTa es bilineal, más aún, se tiene que FTa(n, Ir) = F (n α, Ir) = (f - g)(na) = nf (α) - ng(α) = n(f (α) - g(α)), por tanto f(a) ∿ g(α) para cada a Є A, es decir CR(f)(a) = CR(g)( α) en B/ ∿, entonces CR(f )= CR(g). 0
Observación 6.7. Para el objeto modelo ΨR sobre la categoría Ab, se obtuvo por el Teorema 4.6 que HΨr (A)0= A/{f (Ir) : f Є HomAb(R, A)}, es decir que HΨr (A)0 ≅ CR(A), para todo grupo abeliano A y en [13] se define el grupo cero de homotopía por π0(A) = [ℤ,A]r, para A un grupo abeliano. Veamos que π0(A) = HΨr(A)0.
Teorema 6.8. Sea A un grupo abeliano, entonces no(A) ≅ HΨr(A)0.
Demostración. En [13] definen π0(A) = [ℤ,A]R , luego por el Teorema 6.3 tenemos que [ℤ, A]R ≅ HomAb(ℤ, A)/ ∿. Por otro lado, existe un isomorfismo φ : A → HomAb(ℤ, A), luego puesto que CR es un funtor entonces CR(φ) : A/ ∿ → HomAb(ℤ, A)/ ∿ es un isomorfismo, es decir A/ ∿ ≅ HomAb(ℤ, A)/ ∿. Por último, por la Observación 6.7 tenemos que CR(A) = HΨr(A)0. Así pues con lo anterior obtenemos n0(A) = [ℤ,A]R = HomAb(Z,A)/ ∿ ≅ A/ ∿≅ HyR (A)0.
El funtor CR preserva sucesiones exactas que se descomponen en Ab, propiedad que mostramos en la siguiente proposición.
Proposición 6.9. Consideremos una sucesión exacta corta en
que se descompone, entonces la sucesión corta en
CR(D) → 0 es exacta y se descompone.
Demostración. Para la exactitud hay tres cosas por demostrar:
1. (CR(f) es monomorfismo) Puesto que la sucesión se descompone, entonces f es una sección y por tanto CR(f) es una sección, además toda sección es un monomorfismo. Así pues CR(f) es un monomorfismo.
2. (CR(g) es epimorfismo) Afirmación; si g es epimorfismo, entonces CR(g) es también un epimorfismo. En efecto, sea [d] Є D/ ~, donde d Є D, puesto que g es sobreyectiva, entonces existe un b Є B tal que g( b) = d, por tanto [g(b)] = [d], luego CR(g)(b) = [g(b)], asípues CR(g)(b) = [d].
3. (Ker (CR(g))= Im((CR(f))) Puesto que la sucesión
se descompone, entonces por el corolario 3.8 la sucesión

es exacta para todo n ≥ 0 . Ahora al aplicar el funtor M : Δ°Ab → Ch+(Ab) obtenemos la sucesión

en Ch+(Ab), la cual es exacta por niveles para cada n ≥ 0. Así pues obtenemos que la sucesión

es exacta para todo n ≥ 0 (ver [1, Theorem 1.3, pág. 6], la cual por la Observación 3.7 es igual a la sucesión

Así pues Ker ((NSY(g))n*) = Im ((NSY(f ))n*). Ahora si tomamos Y = ΨR y n = 0, entonces por la Observación 6.7 obtenemos que KerCR(g) = ImCR(f).
Puesto que CR(f) es una sección, entonces la sucesión exacta 
se descompone.
Así pues con el funtor CR y Hy para un objeto modelo Y : Δ → Ab (ver Definición 3.9) se tiene el funtor
, este funtor satisface que si f ≃Rg en Ab, lo cual es equivalente a que
(Teorema 4.5), entonces HyCR(f) = HyCR(g) (Teorema 6.6), para R un anillo unitario. Así pues tomando a Y como el objeto modelo ΨR , entonces tenemos el siguiente teorema.
Teorema 6.10. Sea ΨRel objeto modelo definido en 4.2, entonces
es un Esqueleto Homoto-Homológico en Ab.
7. Teoría de homología general
En [22] se define lo que es una Teoría de Homología General, empezando con lo que es una Categoría Admisible para Homología en una categoría C, con objeto inicial 0 y con un sistema homotópico n. Con ello muestra los resultados que se obtienen para teoría de homología general. Para dar claridad al artículo, presentamos en esta sección las definiciones fundamentales para teoría de homología general presentadas en [22], para con esto mostrar posteriormente una teoría de homología general en la categoría de los grupos abelianos, utilizando el esqueleto homoto-homológico
del Teorema 6.10. Si para el lector es de interés el conocer más propiedades de las teorías de homología general, se pueden consultar en [22].
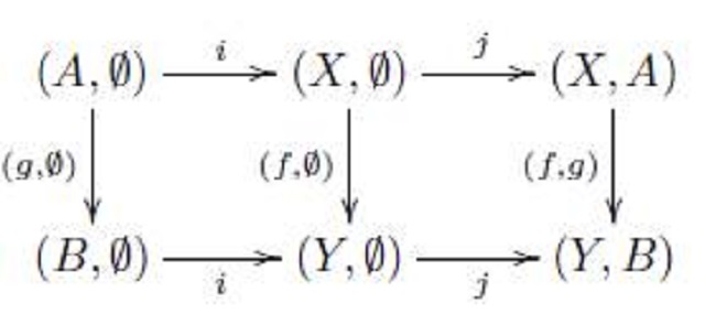
Definición 7.1. Consideremos C una categoría. Se define la categoría Mor (C) por:
1. Los objetos de Mor (C) son los morfismos de C,
2. Un morfismo entre f y g es una pareja (β, α), donde α : A → C y β : B → D son morfismos en C tales que el siguiente diagrama conmuta

3. Sean (β1, α1) : f → g y β2, α2) : g → h, morfismos en Mor (C), la composición está dada por (β2, α2) (β1, α1): = (β2β1,α2α1).
Consideremos de ahora en adelante a (C, η) como una categoría C con objeto inicial 0 único y η = (I, Є0, Є1, μ) un sistema homotópico en C tal que I(0) = 0.
Definición 7.2 (Categoría de Parejas). Llamaremos por categoría de parejas V a una subcategoría cualquiera de Mor (C) que cumpla lo siguiente:
1. Para cada par de objetos A y B de C, existe a lo más un único morfismo α : A → B, es decir no existe otro morfismo de C como objeto en V con el mismo dominio y codominio de a.
2. V es cerrada para composiciones, es decir si α Є Home (A, B) y β Є Home (B, C) son objetos en V, entonces βα es un objeto en V.
3. Para cada objeto X en C, se tiene que el morfismo identidad 1X: X → X y el morfismo 0 → X (el cual es único por 0 ser objeto inicial) son objetos en V.
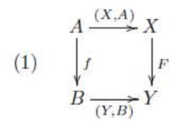
Notación. Sea α : A → X un objeto de V. Puesto que solo existe un morfismo en V con dominio A y codominio X, entonces denotamos este objeto como (X,A). Así pues con esta notación tenemos que para dos objetos (X, A) y (Y, B) en la categoría V, un morfismo (F, f) : (X,A) → (Y, B) en V es una pareja F : X → Y, f : A → B de morfismos de C tales que el siguiente diagrama conmuta

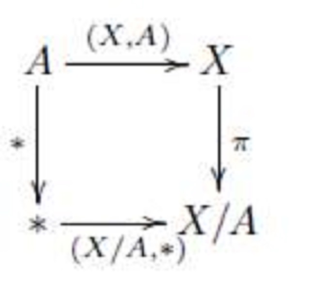
Definición 7.3 (Diagrama de (X, A)). Sea (X, A) un objeto en V, entonces se define el diagrama de (X,A), denotado por D(X,A), a

en donde los morfismos del 1 al 6 son los evidentes. Por ejemplo, (X, A) es un morfismo α : A → X en C, entonces el morfismo 5 es (α, 1a).
Con las definiciones anteriores se abre paso a la definición de Categoría Admisible.
Definición 7.4 (Categoría Admisible para Homología). Sea V una categoría de parejas sobre una categoría (C,n). Se dice que V es una categoría esencialmente admisible para homología si satisface las siguientes condiciones:
(AC1) Si (X,A) es un objeto en V, entonces V contiene a D(X,A).
(AC1) Si (X,A), (Y,B) GV y (F, f) : (X,A) → (Y, B) es un morfismo en V, entonces todos los morfismos inducidos por (F, f), desde los miembros de D(X,A) a los correspondientes miembros de D(Y, B) están en V.
(AC1) Si (X,A) Є V, entonces I(X, A) = (I(X),I(A)) está en V, donde I es el funtor del sistema homotópico n que acompaña a C.
Si V es una categoría esencialmente admisible para homología y además admite al menos un objeto (*, 0), donde * es un objeto final y 0 el objeto inicial en la categoría C, entonces se dice que V es una categoría admisible para homología.
Para V una categoría admisible para homología, a los objetos de V se les llama admisibles y a los morfismos de V morfismos admisibles.
Ejemplo 7.5 (La categoría de pares topológicos). Consideremos la categoría de los espacios topológicos con la homotopía usual. Sea Toppar la categoría en la cual los admisibles son las parejas topológicas (X,A), es decir las inclusiones A → X, para A un subespacio de X. Los morfismos entre dos admisibles (X,A) y (Y, B) son todas las funciones continuas f : X →Y que satisfacen f (A) ⊆ B. Así pues Toppar satisface las condiciones (AC1)-(AC3) y admite el morfismo 0 → *, donde * es un espacio singleton, por tanto Toppar es un categoría admisible para homología.
Con la relación de homotopía generada por el sistema homotópico n en la categoría C, se puede definir también una relación de homotopía en una categoría admisible V sobre la categoría (C,η), la cual presenta [22] de la siguiente manera.
Definición 7.6 (Homotopía en Categorías Admisibles). Sean V una categoría admisible para homología sobre una categoría (C, η) y (F, f), (G,g) : (X,A) → (Y, B) morfismos admisibles en V, entonces decimos que (F,f) es n homótopo a
si existe un morfismo admisible (T, t) : I(X, A) → (Y, B) tal que el siguiente diagrama conmuta

es decir, que los siguientes diagramas son conmutativos

En [22] se define el objeto cociente en una categoría como sigue.
Definición 7.7. Sea V una categoría de parejas sobre una categoría C con objeto final * y (X, A) un objeto en V, entonces definimos el cociente X/A por medio del siguiente diagrama cocartesiano

siempre y cuando exista.
Observación 7.8. En la categorías de parejas Toppar del Ejemplo 7.5, el cociente definido en 7.7 coincide con el cociente de espacios topológicos.
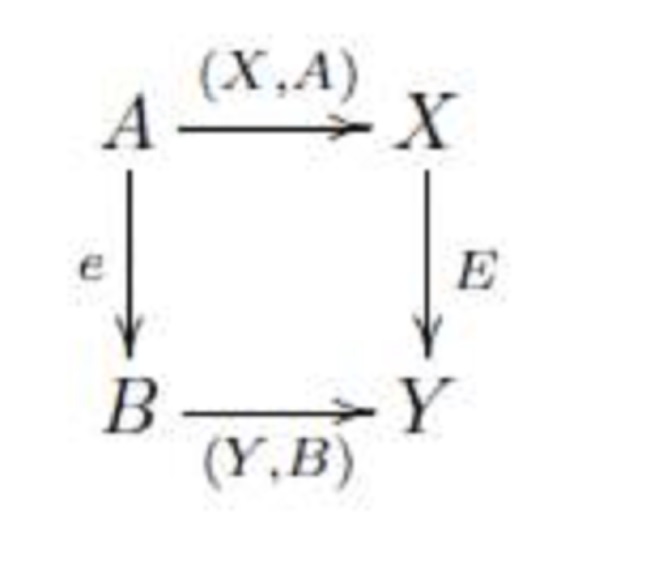
Para el caso de un morfismo (F, f) : (X, A) → (Y, B) en una categoría de parejas se cumple una propiedad de isomorismo entre cocientes, propiedad demostrada en este trabajo y presentada en la siguiente proposición.
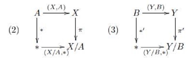
Teorema 7.9. Sea V una categoría de parejas sobre una categoría C con objeto final * y supongamos el siguiente diagrama es cocartesiano

entonces X/A ≅ Y/B, siempre y cuando existan estos cocientes.
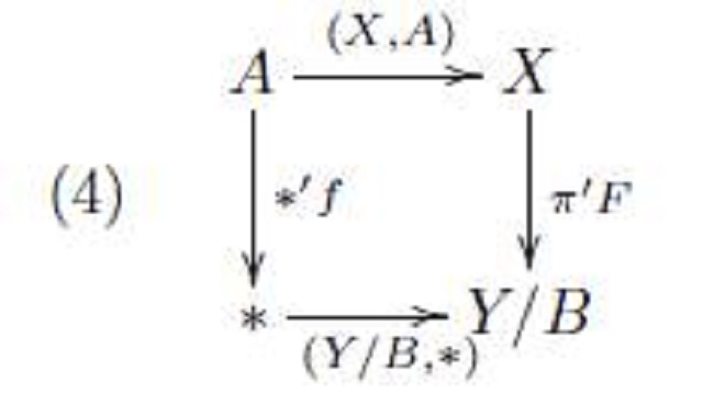
Demostración. Por la Definición 7.7 tenemos que los siguientes diagramas son cocartesianos

luego componiendo el diagrama (1) con el diagrama (3) obtenemos el siguiente diagrama

el cual es cocartesiano. Por tanto tenemos que (2) y (4) son cocartesianos, entonces X/A ≅ Y/B. 0
Definición 7.10 (Escisión Categórica). Un morfismo (E,e) : (X,A) → (Y,B) en V es una escisión categórica si el siguiente diagrama es cocartesiano

Definición 7.11. En D(X,A), definido en 7.3, la composición
será llamada la descomposición esencial de (X,A) con notación genérica 
y que denotaremos por E(X,A). Para un morfismo (f,g) : (X,A) → ( Y, B) su diagrama esencial es el siguiente

el cual denotaremos por E(f,g).
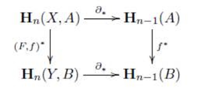
Ahora, consideremos una categoría admisible para homología V sobre (C ,η) y H: V → Ch(Ab) un funtor covariante, entonces H induce los funtores Hn: V → Ab y PRn: V - Ab, donde Hn(X,A) = H(X,A)n, PRn(X,A) = H(A, 0)n, para (X,A) un objeto en V y Hn(F,f) = (F,f )n, PRn(F,f) = (f, 10)n, para (F,f) un morfismo en V, para cada n Є ℤ, donde H(X, A)n es n-ésimo grupo abeliano del complejo de cadenas H(X, A) y (F, f )n = H(F, f)n. Al funtor PRn lo llamaremos proyección n-ésima deH.
Para las teorías de homología generales, como en las teorías de homología en espacios topológicos, se pide la existencia de una transformación natural ∂n: Hn → PRn_1 para cada n Є ℤ, para la cual tenemos entonces la siguiente sucesión

Así pues con el anterior breve resumen se abre paso a la definición de teoría de homología general, presentada en [22].
Definición 7.12 (Teoría de Homología General). Sea V una categoría admisible para homología sobre una categoría (C, η) y H: V → Ch(Ab) un funtor covariante. Decimos que H es una teoría de homología general si satisface los siguientes axiomas:
1. Axioma de Exactitud. Si (X,A) es un objeto en V, entonces

es una sucesión exacta.
2. Axioma de Homotopía. Sean (F, f), (G,g) : (X,A) → (Y, B) morfismos en P tales que
, entonces H(F,f) =H(G,g).
3. Axioma de Dimensión. Si n = 0, entonces Hn(*, 0) = 0, para todo admisible (*, 0), donde * es un objeto final en C.
4. Axioma de Escisión. Si (E,e) : (X,A) → (Y,B) es una escisión categórica, entonces H(E,e) es un isomorfismo. Más aún H(X/A) ≅ H(Y/B), si X/A y Y/B existen.
Nota. Toda categoría C con objeto inicial y final se puede cambiar para todo propósito en C igual que
pero con un solo objeto inicial 9 y un solo objeto final * y trabajar con
.
8. Teoría de homología general en Ab
Presentaremos una categoría de parejas en la categoría de los grupos abelianos (Ab) desarrollada en este trabajo, la cual utilizaremos posteriormente para mostrar una teoría de homología general en la categoría Ab.
Definición 8.1. Definimos la categoría Abinj como sigue:
1. Consideramos como objetos admisibles los siguientes morfismos
a) Para todo grupo abeliano A, consideramos el morfismo 0 → A y el morfismo identidad 1a : A → A.
b) Las inclusiones A → X, donde A es un ℤ -módulo inyectivo.
c) Para las inclusiones i : A → X del ítem anterior, consideramos también como admisibles a In(i : A → X), para n Є ℤ +, donde

para I el funtor cilindro del sistema homotópico en Ab mostrado en el ítem 4 del Ejemplo 3.3, el cual I(f : X → Y) = f ⊕ (f ⊗1r), para f un homomorfismo de grupos abelianos.
2. Como morfismos entre objetos admisibles (X, A) y (Y, B), consideramos los morfismos en la categoría Mor(Ab) entre estos objetos, es decir una pareja de homomor-fismos de grupos abelianos (F, f) : (X, A) → (Y, B) tal que f (A) ⊂ B y f = F|a.
Consideremos el funtor H:Abinj → (Ch+(Ab))∂=0 definido por medio del funtor de homología HΨr, presentado explícitamente en el Teorema 4.6, como H(X,A) = HΨr (CR(X/A)), donde CR es el funtor definido en 6.5. Para (F, f) : (X, A) → (Y, B) un morfismo en Abinj definimos H(F, f) := HΨr (Cr(F)), el cual denotamos por (F, f )*, donde el homomorfismo F : X/A - Y/B es dado por F(x + A) = F(x) + B.
Nótese que H(X, 0) = HΨr (C(X)), por tanto a las parejas de la forma (X, 0) las denotaremos solo por X, para X un grupo abeliano. Así pues un morfismo f : X → (Y,B) es un morfismo de la forma (f, 0) : (X, 0) → (Y,B), donde f es un homomorfismo de X a Y. Por lo visto en la sección 7 tenemos los funtores Hn y PRn.
8.1. Dimensión
Teorema 8.2. Hn(0) = 0 para todo n ≥ 0.
Demostración. Por definición Hn(0) = HΨr(CR(0))n, luego CR(0) = 0 y por el Teorema 4.6 tenemos que HΨr (0)n= 0 para todo n ≥ 0, entonces Hn(0) = 0 para todo n ≥ 0.
Toda teoría de homología general H debe satisfacer que Hn(X,X) = 0 para todo n (ver [22, pág. 47]), luego en Ab se tiene que Hn(*) = Hn(*, 0) = 0 puesto que * = 0 = 0, donde * es el objeto final y 0 es el objeto inicial, lo cual quiere decir que toda teoría de homología H en Ab sería una homología reducida. En busca de una teoría de homología general no reducida en Ab nos vemos en la necesidad de cambiar el axioma de dimensión en el sentido de que * no sea el objeto final pero sin alterar lo establecido en teorías de homología en la categoría Top. Nótese lo siguiente; el funtor olvido UT: Top → Set es representable (ver [16, Proposición 4.1.11, pág. 87]) puesto que tiene como adjunto a izquierda al funtor

donde V( X) denota partes de X, es decir la topología discreta, así pues tenemos que UT(X) ≅ Top(D(l), X), para X un espacio topológico y donde 1 es un conjunto uni-puntual y en Top el objeto D(1) coincide con el objeto inicial, lo cual no sucede en la categoría Ab. El funtor olvido Ua : Ab → Set tiene como adjunto a izquierda el funtor abeliano libre

así pues tenemos

por tanto en Ab, tomamos * = ℤ, luego por el ítem 1 del Ejemplo 4.7 tenemos que la homología no es reducida, en el caso que R sea un cuerpo. Por otra parte, pensando en el cálculo de los grupos de homotopía, tomando * = Z, se presenta una diicultad en la construcción de las esferas por suspensión, puesto que se requiere de un morfismo único Sn-1 → * para generar Sn, partiendo de S0= * + * = ℤ ⊕ ℤ, donde + denota la suma categórica, así pues estudiamos actualmente la categoría Ab ℤ, en donde
es el objeto inal, el cual es diferente al objeto inicial el cual es el morismo 0 - ℤ.
8.2. Exactitud y escisión
Lema 8.3. Sea X un grupo abeliano y A un subgrupo de X, entonces
1. I(X/A) ≅ I(X)/I(A).
2. Si A es un ℤ -módulo inyectivo, entonces I(i : A → X) = i : I(A) → I(X), donde i es el monomorfismo inclusión.
Demostración.
1. Consideremos la aplicación h : (X ⊗R)/(A ⊗ R) → (X/A) ⊗ R, donde h(x ⊗ r +(A ⊗ R)) = (x+A) ⊗r. Veamos que h está bien definida. Supongamos x\⊗r\ + (A⊗ R) = x2 ⊗r2+ (A ⊗R), entonces tenemos los siguientes casos:
a) Si r1= r2, entonces x1- x2Є A, por tanto (x1+ A) ⊗ r1= (x2+ A) ⊗r2.
b) Si r1= r2, entonces x1,x2Є A, por tanto (x1+ A) ⊗ r1= 0 = (x2+ A) ⊗ r2.
Por otro lado, consideremos la aplicación k : (X/A) x R - (X ⊗ R)/(A ⊗ R), donde k(x + A, r) = x ⊗ r + (A ⊗ R). Veamos que k está bien definida. Supongamos (x1+ A,ri) = (x2+ A,r2), entonces tenemos que x1+ A = x2+ A y r1= r2, por tanto (x1- x2) ⊗ r1+ (A ⊗ R) = 0 + (A ⊗ R), es decir x1 ⊗ r1+ (A ⊗ R) = x2 ⊗ r2+ (A ⊗ R).La función k es una función bilineal. En efecto, k((x1+ A) + (x2+ A), r) = k((x1+ x2) + A,r) = (x1+ x2) ⊗ r + (A ⊗R) = (xi ⊗r + x2 ⊗r) + (A ⊗ R) = (x1 ⊗ r +(A ⊗ R)) + (x2 ⊗ r + (A ⊗ R)) = k((xi + A),r) + k((x2 + A),r) y k(x + A,r1+ r2) = x ⊗ (r1+ r2) + (A ⊗ R) = (x ⊗ r1+ x ® r2) + (A ⊗ R) = (x ⊗ri + (A ⊗ R)) + (x ® r2 + (A ⊗R)) = k(x + A, ri) + k(x + A,r2).
Así pues, existe un homomorfismo de grupos abelianos k : (X/A) ⊗ R → (X ⊗ R)/(A ⊗ R), tal que k((x + A) ⊗ r) = k(x + A, r). Ahora

y

Por lo tanto k es un isomorfismo, es decir (X/A) ⊗ R ≅ (X ⊗ R)/(A ⊗ R). Entonces tenemos lo siguiente

2. Puesto que la inclusión i : A → X es monomorfismo, entonces la sucesión 0 → A X es exacta, ahora puesto que A es inyectivo, entonces existe un homomorfismo de grupos abelianos h : X → A tal que el siguiente diagrama conmuta

Así pues i : A → X es una sección, por lo tanto i ⊕ (i ⊗ 1r) es una sección, luego toda sección es monomorfismo, entonces i ⊕ (i ⊗ 1r) es un monomorfismo, más aún I (i)(a, b ⊗ 1r ) = [i ⊕ (i ⊗ 1r )] (a, b ⊗ r) = (a,b ⊗ r), para (a,b ⊗ r) Є A ⊕ (A ® R), por tanto I(i) : A ⊕ (A ⊗ R) → X ⊕ (X ⊗ R) es el monomorfismo inclusión. 0
Teorema 8.4. Sea (X,A) un objeto en Abinj, entonces la sucesión exacta

se descompone, donde i es el monomorfismo inclusión y π la proyección canónica.
Demostración. Sea (X,A) un objeto en Abinj, entonces tenemos los siguientes casos:
1. Si A = 0, entonces tenemos la sucesión
, la cual es exacta y se descompone.
2. Si A = X, es decir (X,A) = (A, A) = 1a, entonces tenemos la siguiente sucesión
, la cual es exacta y se descompone.
3. Si A = 0 es un ℤ -módulo inyectivo, entonces la sucesión exacta 
se descompone (ver [11, Prop. 3.13, pág. 197]).
4. Si (X,A) = In(X',A'), para algún n ≥ 0, donde A' es un ℤ -módulo inyectivo y X un grupo abeliano que contiene a A , entonces tenemos por el ítem 3 que la sucesión exacta
se descompone, entonces existe un homomorfismo z : X' → A' tal que zi = 1a' . Luego por el ítem 2 del lema 8.3, puesto que A es un Z-módulo inyectivo, tenemos que I(i : A' → X') = i : I(A') - I(X'), entonces In(i : A' → X') = i : In(A') - In(X'), por tanto In(z)i = In(z)In(i) = 1¡n(x). Así pues tenemos que la sucesión exacta 
se descompone, es decir que la sucesión exacta
se descompone.
Observación 8.5. Sea
una sucesión exacta en Ch(Ab). Entonces un conjunto de homomorfismos ∂n* : Hn(C) → Hn-1(A) es definido en [1, pág. 5] como sigue: Los elementos de Hn(C) tienen la forma cn+ ∂Cn+1, donde ∂cn= 0. Puesto que jn es un epimorfismo, existe un b Є Bn tal que jn(bn) = cn. Así pues jn-1(∂bn) = ∂ (jnbn) = ∂cn= 0 y por la exactitud en la n-ésima posición existe un an-1Є An-1, para el cual in-1(an-i) = ∂bn. Por tanto definimos ∂n* (cn+ ∂Cn+1) = an-1+ ∂An. El símbolo ∂* será escrito en lugar de ∂n*
Teniendo en cuenta este conjunto de homomorfismos ∂n* : Hn(C) → Hn-1(A), en [1] demuestran los dos siguientes teoremas (8.6 y 8.7), los cuales son de importancia en este trabajo, puesto que definen la transformación natural a utilizar para la teoría de homología general que estamos construyendo en la categoría Ab.
Teorema 8.6. Si
es una sucesión exacta en Ch(Ab), entonces la sucesión

es exacta en Ab.
Teorema 8.7. En el diagrama de complejos de cadenas

sean las sucesiones exactas y cada diagrama conmutativo, entonces el siguiente diagrama
en Ab

es conmutativo.
Observación 8.8. Sea (X,A) un objeto en Abinj . Entonces, por el Teorema 8.4, la sucesión exacta
se descompone. Luego, por la Proposición 6.9, la sucesión
es exacta y se descompone en Ab y, por el Corolario 3.8, la sucesión

es exacta para todo n ≥ 0. Así pues, al aplicar el funtor M obtenemos la sucesión exacta en Ch+ (Ab)

entonces por la Observación 8.5 se tiene un conjunto de homomorfismos ∂* :Hn(X,A) →Un-1(A, 0).
Veamos que efectivamente ∂* : Hn(X,A) →Hn-1(A) es transformación natural.
Proposición 8.9. Sea (F, f) : (X,A) → (Y,B) un morfismo en Abinj, entonces el siguiente diagrama es conmutativo

Demostración. Puesto que (F, f) es un morfismo en Abinj , entonces tenemos en Ab el siguiente diagrama conmutativo

en el cual las flechas horizontales forman sucesiones exactas. Aplicando el funtor MSΨrCR obtenemos en Ch+(Ab) el siguiente diagrama conmutativo

donde las flechas horizontales forman sucesiones exactas (Obs. 8.8), y por el Teorema 8.7 el siguiente diagrama es conmutativo

A continuación mostramos que el funtor H : Abinj → Ch+(Ab) satisface el axioma de exactitud y posteriormente el axioma de escisión.
Teorema 8.10. Considere (X,A) un objeto en Abinjy E(X,A), definido en 7.11, entonces

es una sucesión exacta.
Demostración. Para (X, A) tenemos que E(X, A) es la sucesión
(X, A), donde i es el homomorfismo inclusión de A a X y j es el homomorfismo identidad del objeto X. Así pues i* = HΨr (CR(i))n y j* = HΨr (CR(n))n, para los morfismos i y π del Teorema 8.4. Luego por la Observación 8.8 tenemos que la sucesión

es exacta en Ch+ (Ab), por tanto, aplicando el Teorema 8.6, obtenemos que la sucesión

es exacta en Ab. 0
Teorema 8.11. Si (E, e) : (X, A) → (Y, B) es una escisión categórica en Abinj, entonces H(E,e) es un isomorfismo.
Demostración. Por definición tenemos que
- Y/B es dado por E(x + A) = E(x) + B, por otro lado por la Definición 7.10 tenemos el siguiente diagrama cocartesiano

Ahora, por la Proposición 7.9 tenemos que X/A ≅ Y/B, donde el isomorfismo h : X/A → Y/B es definido por medio del siguiente diagrama conmutativo

es decir h(x + A) = hπ(x) = π'E(x) = E(x) + B, entonces h =
. Por lo tanto
es un isomorfismo, entonces HΨrCr(
) es un isomorfismo, es decir H(E, e) es un isomorfismo.
8.3. Invarianza homotópica del funtor H
El objeto modelo Ψr genera un sistema homotópico η = (I,Є0,Є1,μ) por medio de la Definición 3.4, utilizando como bifuntor ⊗: CxC → C el producto tensorial de Z-módulos, entonces I(X) = X ⊕ (X ⊗ R), Є0X(x) = (x, 0), Є1X(x) = (x, -x⊕ 1R) y μX(x, y ⊗ r) = x) y este sistema homotópico define la relación de homotopía en Ab descrita en [13] (Teorema 4.5). Así pues (Ab, η) define una relación de homotopía en Abinj por medio de la Definición 7.6, la cual cumple el siguiente teorema.
Teorema 8.12. Sean (F, f), (G,g) : (X,A) → (Y,B) morfismos en la categoría Abinj, tales que
, entonces H(F, f) =H(G,g).
Demostración. Por hipótesis tenemos que
, entonces existe un morfismo admisible (T,t) : I(X,A) → (Y,B) en Abinj tal que los siguientes diagramas conmutan

entonces el siguiente diagrama conmuta

Ahora, de la teoría de grupos tenemos que el homomorfismo λ : X1/A1 ⊕ X2/A2- (X1⊕X2)/(A1⊕A2) dado por A(x1+A1,x2+A2) = (x1,x2) + (A1⊕A2) es un isomorfismo, donde Ai es un subgrupo del grupo abeliano Xi para i = 1, 2. Por tanto

es un isomorfismo. En la prueba del ítem 1 del lema 8.3 se mostró que el homomorfismo
es un isomorfismo, por lo tanto

es un isomorfismo. Ahora nótese lo siguiente

Por lo tanto el siguiente diagrama es conmutativo

donde
. Entonces
, luego puesto que
es un Esqueleto Homoto-Homológico (Teorema 6.10) entonces
, por lo tanto Hn(F, f) =Hn(G,g), para todo n ≥ 0, es decir H(F, f) =H(G,g).
Agradecimientos:
Quiero expresar mis más sinceros agradecimientos al profesor Roberto Ruiz Salguero, director de mi tesis doctoral de donde surge este artículo, por sus grandes enseñanzas, dedicación y orientación, los cuales han sido fundamentales en la formación para mi vida profesional. A los evaluadores de este artículo que con sus observaciones y sugerencias contribuyeron al mejoramiento del contenido y presentación inicial del documento. Al programa de Doctorado en Ciencias Matemáticas y a la Vicerrectoría de Investigaciones de la Universidad del Valle por su financiación por medio de sus ayudas Asistencias de Docencia y Apoyo a Estudiantes de Doctorado respectivamente, las cuales facilitaron el tiempo y la culminación para esta investigación. Finalmente, agradezco a los profesores externos a la Universidad del Valle que con sus sugerencias y aportes ayudaron a la elaboración de este trabajo.
Referencias
[1] Artin E. and Braun H., Introduction to Algebraic Topology, Merrill Publishing Company, 1st ed., 1969.
[2] Bauer F.W. and Dugundji J., "Categorical homotopy and fibrations", Trans. Amer. Math. Soc., 140 (1969), 239-256. doi:10.2307/1995135.
[3] Eilenberg S. and Steenrod N.E., "Axiomatic Approach to Homology Theory", Proc. Natl. Acad. Sci. USA., 31 (1945), No. 4, 117-120. doi: 10.1073/pnas.31.4.117.
[4] Etingof P., et. al., Tensor Categories, American Mathematical Soc, vol. 205, Providence, 2016.
[5] Gabriel P. and Zisman M., Calculus of Fractions and Homotopy Theory, Springer Science & Business Media, vol. 35, New York, 2012.
[6] Goerss P.G. and Jardine J.F., Simplicial Homotopy Theory, Springer Science & Business Media, 2009.
[7] Gaitan R., "Esqueleto Homoto-Homológico En La Categoría De Los Grupos Abelianos", Tesis (Ph.D.), Universidad del Valle, 2018, 112p.
[8] Hernández L.J., "Un ejemplo de teoría de homotopía en los grupos abelianos", Collect. Math., 33, 161-176, 1982.
[9] Hatcher A., Algebraic topology, Cambridge University Press, 1st ed., 2002.
[10] Hovey M., Model categories, Mathematical Surveys and Monographs, vol. 63, 1999.
[11] Hungerford T.W., Algebra, Springer-Verlag, 1st ed., vol. 73, New York, 1974.
[12] Hu S.T., Homology Theory: a first course in Algebraic Topology, Holden-Day, 1st ed., 1966.
[13] Hernández L.J., "Un Ejemplo de Teoría de Homotopía en los Grupos Abelianos", Tesis (Ph.D.), Universidad de Zaragoza, España, 1980, 232 p.
[14] Kan D.M., "Abstract Homotopy. I", Proc. Natl. Acad. Sci. USA., 41 (1955), No. 12, 1092-1096.
[15] Kan D.M., "Abstract Homotopy. II", Proc. Natl. Acad. Sci. USA., 42 (1956), No. 5, 225-228. doi:10.1073/pnas.42.5.255.
[16] Leinster T., Basic Category Theory, Cambridge University Press, 1st ed., vol. 143, 2014.
[17] MacLane S., Homology, Classics in mathematics, Springer-Verlag, Berlin, 1995.
[18] May P.J., Simplicial Objects in Algebraic Topology, University of Chicago Press, vol. 114, Chicago, 1992.
[19] Porter T. and Kamps K.H., Abstract Homotopy and Simple Homotopy Theory, World Scientific, 1st ed., Singapore, 1997.
[20] Ruiz R., "Overview on models in Homotopical Algebra", Rev. Acad. Colombiana Cienc. Exact. Fís. Natur., 28 (2004), No. 106, 100-121.
[21] Ruiz R., "Change of Models in Algebraic Topology", Thesis (Ph.D), Temple University, Pennsylvania, 1977, 311 p.
[22] Ruíz R., "Introducción a la teoría de homología general", , "Introducción a la teoría de homología general", https://n9.cl/hdk6, [citado 4 de agosto 2021].
[23] Vick J.W., Homology Theory: an introduction to algebraic topology, Springer-Verlag New York, 2nd ed., vol. 145, New York, 1994.
Notas