Original articles
A new sum of graphs and caterpillar trees
Una nueva suma de grafos y árboles oruga
A new sum of graphs and caterpillar trees
Revista Integración, vol. 40, no. 1, pp. 77-85, 2022
Universidad Industrial de Santander
Received: 05 May 2021
Accepted: 18 January 2022
Abstract
MSC2010: 05C30, 05C76, 05C05, 05C60.
Keywords: Graph+ Caterpillar trees+ tree graphs+ sum of graphs.
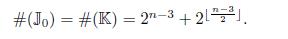
Resumen: Árboles oruga, o simplemente oruga, son árboles tales que cuando les quitamos todas sus ramas (o arista final) obtenemos un camino. La cantidad de orugas no isomorfas con n ≥ 2 aristas es 2n−3 + 2⌊(n−3)/2⌋ . Usando una nueva suma de grafos, introducida en este artículo, proporcionamos una nueva prueba de este resultado.
Palabras clave: Grafo, árboles oruga, grafo árbol, suma de grafos.
1. Introduction
The Caterpillar trees were initially studied by F. Harary and A. J. Schwenk [1] in a series of articles. The name was introduced by Arthur Hobbs, an American mathematician. In 1973, F. Harary and A.J. Schwenk [1] showed that the number of nonisomorphic caterpillars with n ≥ 2 edges is 2n−3 + 2⌊(n−3)/2⌋. They found this formula in two ways: first, derived as a special case of an application of Pólya’s enumeration Theorem which counts graphs with integer-weighted points; secondly, by an appropriate labelling of the lines of the caterpillar. In this paper, we gave a new proof of this result using a new sum of graphs, introduced in [3, 2] and studied with great attention in [4].
The paper is organized as follows. In Section 2, we study a combinatorial problem which will be used in the proof of the main Theorem (see Theorem 3.7). In Section 3, we introduce the sum of graphs and use it to build the caterpillar trees, and, thus, give a new proof of the formula enumerating caterpillar trees on n ≥ 2 edges.
2. Combinatorial lemma
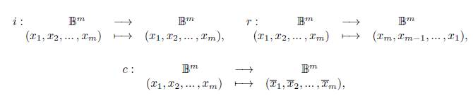
Let 𝔹 = {0, 1} and Bm = 𝔹× · · · × 𝔹 the m-times Cartesian product of 𝔹. We define the following functions:

where, for k = 1, . . . , m,

Here, we consider for all f, g: 𝔹m−→ 𝔹m the composition f ◦ g: 𝔹m−→ 𝔹m .
Proposition 2.1. Let i, r, c: 𝔹m−→ 𝔹mbe the functions defined above and take x ∈ 𝔹m. Then, the following properties hold:
(1) i(x) = x,
(2) r2 = i,
(3) c2 = i,
(4) c _ r = r _ c,
(5) (c _ r)2 = i,
where c2 = c _ c.
Proof. By definition of i, r and c, it is clear that (1), (2), (3) and (4) follows. And (5) follows from (4), (2) and (3).
Definition 2.2. Let x, y ∈ 𝔹m . We will say that x is related to y when i(x ) = y or r(x ) = y or c(x ) = y or (c ◦ r)(x ) = y , and it will be denoted by x ∼ y .
Remark 2.3. The relation defined in Definition 2.2 is an equivalence relation.
In this section we prove the following combinatorial lemma for the equivalence classes associated with points in 𝔹m .
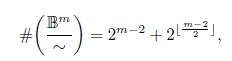
Lemma 2.4 (Combinatorial Lemma). Let x ∈ 𝔹mand set [x ] = {y ∈ 𝔹m| x ∼ y}. Then,

Where
and ⌊z⌋ is the largest integer smaller than or equal to z.
Proof.First, let’s show the following: The class [x ]
has 2 or 4 representatives.
Indeed, if x , r(x ), c(x ) and (c ◦ r)(x ) = (r ◦ c)(x ) are different from each other, we will get that the class [x ] has 4 representatives, namely

On the other hand:
i) If x = r(x), then c(x) = (c _ r)(x) and, thus, [x] = fx, c(x)g.
ii) If x = (r _ c)(x), then r(x) = c(x) and, thus, [x] = fx, r(x) = c(x)g.
The cases i) and ii) have only 2 representatives for the class [x ] and the affirmation follows.
Remark: x # c(x ) by definition.
Now, let
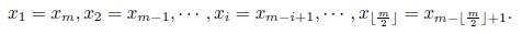
be a class that only has 2 representatives. Set x = (x1, x2, · · · , xm). We have the following cases:
I) If x = r(x ) then

II) If x = (r ◦ c)(x ) then

In case (I), if m is even, we have to know the
first entries of x = (x1, x2, · · · , xm ), that is, we can form
elements. Now, as pairwise elements belong to the same class, we have that
belong to the same class, and, therefore, we will have two representatives. On the other hand, if m is odd, we first delete the central coordinate
of x , to obtain the m − 1 even case, which leads us to have
classes with two representatives. Now, considering the central coordinate
of x , we see that it can take the values 0 or 1, and thus, when m is odd there are 
classes with two representatives.
Analogously, we have a similar result in case (II) when m is even. Note that when m is odd there are no representatives, since no x with m odd entries satisfies this case.
So, from (I) and (II), if m is even, we get
classes with two representatives each. If m is odd, we get
. Therefore, in both cases we have the same number of representatives.
The next step consists of computing
. It follows from the Affirmation that
ismade up of classes that have 2 or 4 elements. Thus, we can divide 𝔹m into a collectionof disjoint classes of 2 or 4 elements each. Thus, one gets

where μ is the number of classes of
with two representatives, namely 
and η is the number of classes of
with four representatives. Then, substituting these values in (1), one gets

Therefore,

3. Sum of graph and Caterpillar tree
Let us denote by A the set of all tree graphs.
The sum of graphs in A is an operation that is performed between two graphs of 𝔸. This sum is defined as follows:

Definition 3.1. Let G = (V, E) and ℋ = (V′, E′ ) be distinct graphs in A and let e = (a, b) ∈ E and e′ = (a′, b′ ) ∈ E′ be edges. Then,

is a new graph such that e and e′ and their respective vertices, connecting G and ℋ, are identified. The graph G ⊕{e,e′} ℋ is the sum between G and ℋ. This sum will be denoted by G ⊕ H if there is no confusion in the identification of the edges. See Figure 1 for a graphical representation of this sum.
Definition 3.2. Consider the path P3 and J = P3. We denote by J+ the graph derived of J with two positive signs in the extreme vertices and a negative sign in the middle vertex, and by J− to the graph derived of J with two negative signs in the extreme vertices and a positive sign in the middle vertex. See Figure 2.

Definition 3.3. Let {Ji}ki=1 be a family of graphs, where Ji∈ {J+, J−}. We define J1 ⊕ J2 ⊕… ⊕ Jk, as follows:
For k = 1, we have J1.
For k = 2, we choose an edge in J1 and add with J2 in the chosen edge. Thus, we obtain J1 ⊕ J2. Finally, we mark in J1 ⊕ J2 the edge of J2 where the addition was not performed. (See part (i) of Figure 3).
For k = j, we add J1 ⊕ · · · ⊕ Jj−1 with Jj on the marked edge of J1 ⊕ · · · ⊕ Jj−1 , and, thus, obtaining J1 ⊕ · · · ⊕ Jj−1 ⊕ Jj . Finally, we mark J1 ⊕ · · · ⊕ Jj−1 ⊕ Jj in the edge of Jj , where the addition was not performed.
We note that the identification of edges should be done while preserving the signs.
Notation. Given {Ji}ki =1, where Ji∈ {J+,J−}, we will denote by ⊕ki=1Ji the sum J1⊕ .. ⊕ Jk in Definition 3.3. Thus: ⊕ki=1Ji = J1⊕ … ⊕Jk. By convention,⊕0i=1Ji = I, where I, is the graph of one edge.
Example 3.4.InFigure 3 (i), we have the construction of J+ ⊕ J+ and J− ⊕ J−, according to the Definition 3.3, where we can see that J+ ⊕ J+ ≈ J− ⊕ J−, as graphs. Similarly, inFigure 3 (ii) we have the construction of J+ ⊕J− and J− ⊕J+, where we can see that J+ ⊕ J−⊕=J− ⊕ J+.
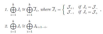
Proposition 3.5.Let {Ji}ki =1be a family of graphs such that Ji 2 {J+,J−}. Then, the following statements holds:

Proof. For (1), since J+≅J− we have Ji ≅Ji for all i = 1, … , k. Then, if we replace Ji by Ji in ⊕ki=1Ji we get ⊕ ki=1Ji and since the sums of the graphs continue to beperformed on the same edges, we have ⊕ki=1Ji ≅⊕ki=1Ji, see Figure 4.


For (2), we note that the sum ⊕ki=1Ji = J1⊕J2⊕ … ⊕Jk−1 ⊕Jk is built starting from J1 which is added to J2 to obtain J1 ⊕ J2, latter we added J3 to obtain J1 ⊕ J2 ⊕ J3, and, thus, until we get the sum of J1 ⊕ J2 ⊕ … ⊕ Jk−1 and Jk to finally get J1 ⊕J2⊕ …⊕Jk−1 ⊕ Jk = ⊕ki=1Ji , but we also noted that this same sum is built as the sum of Jk and Jk−1 , and, thus, until we get to add Jk ⊕ … ⊕J2 with J1 to get Jk ⊕Jk−1 ⊕ … ⊕J2 ⊕J1 = ⊕ki=1Jk+1−i . Thus, ⊕ki=1Ji ≅ ⊕ki=1Jk+1−i .
Example 3.6. The graphs J+ ⊕J− ⊕J+ ⊕J+and J− ⊕J+ ⊕J− ⊕J−are built in (i) and (ii) ofFigure 4, respectively. Furthermore,
and, thus:

The following Theorem is the main result of the paper (it was initially showed by F.
Harary and A.J. Schwenk in [1]), for which we gave an alternative proof.
Theorem 3.7. Let 𝕁 = {J1 ⊕ · · · ⊕ Ji ⊕ · · · ⊕ Jm∈ 𝔸 | Ji = J+or Ji = J−,∀i = 1, · · · , m, and m ∈ ℕ }. Then, the number of different nonisomorphic graphs with n ≥ 2 edges in 𝕁, is given by

Proof. Given m ∈ ℕ, we define the functions ι, φ, ψ : 𝕁 → 𝕁 by

We say that ⊕mi=1Ji and ⊕mi=1Li are ∼m related in 𝕁, denoted by

if

Now, we affirm that the relation ∼m is an equivalence relation. Indeed, it follows immediately by the combinatorial Lemma (Lemma 2.4), where we take Ji = xi , J+ = 1, J− = 0, ⊕mi=1Ji = (x1, …, xm ) and ι = i, φ = f, ψ = g, ∼m=∼. Furthermore,

Thus, we have
different graphs of the form ⊕mi=1Ji , where Ji∈ {J+,J−}. Since the graphs ⊕mi=1Ji have m + 1 edges, making n = m + 1 and substituting in (3) we have that the number of nonisomorphic different graphs, with n ≥ 2 edges in 𝕁, is given by

Given a Caterpillar tree fixed, the following result allows us to obtain a family {Ji}ki =1 , where Ji∈ {J+,J−}, such that K≅⊕ki=1Ji .
Proposition 3.8. Let n be a positive integer and K be a Caterpillar tree with n + 1 edges, then there exists a family {Ji}ni=1, where Ji∈ {J+, J−}, such that

Proof. By induction on the number E of edges of K.
For a graph with 1 edge, then by convention we have K≅⊕0i=1Ji.
For a graph with 2 edges, we take K≅⊕1i=1Ji , where Ji = J+ or Ji = J− .
Suppose that it is true for a graph with n edges, then K≅⊕n−1i=1Ji .
Now, we show that it is true for a graph with n + 1 edges. Indeed, K′ is the graph that is obtained when deleting an end edge from K. Thus, K′ has E′ = edges. Then, by induction, we have that K′ ≅⊕n−1i=1Ji. Now, in ⊕n−1i=1Ji we insert an end edge by adding conveniently J+ or J−, so that ⊕ni=1Ji ≅K as follows: first, we identify the sign of the vertex where the edge will be inserted (it is clear that said vertex is positive or negative). Then there will be a j such that ⊕n−1i=1Ji = (⊕n−1−ji=1Ji ) _ (⊕n−1i=n−jJi ) so that the last vertex to the right of⊕n−1−ji=1Ji become the vertex where the missing edge will be inserted. If the vertexis positive (resp. negative) we immediately add⊕n−1−ji=1Ji with J− (resp. J+), andadding ⊕n−1i=n−jJi , we get (⊕n−1−ji=1Ji ) ⊕ J− ⊕ (⊕n−1i=n−jJi ) (resp. (⊕n−1−ji=1Ji ) ⊕ J+ ⊕ (⊕n−1i=n−jJi )). As was inserted the missing edge to ⊕n−1i=1Ji to be isomorphic to K, we have that

where J = J− , if the last vertex created in ⊕n−1−ji=1Ji has a positive sign and J = J+, if the last vertex created in ⊕n−1−ji=1Ji has a negative sign.
An example for Proposition 3.8 is given in Figure 5.

Theorem 3.9. Let 𝕁0be the set of all different nonisomorphic graphs in 𝕁 and let 𝕂 be the set of nonisomorphic Caterpillar trees, then

Proof. By Definition 3.3 we have that the graphs in 𝕁0 are Caterpillar trees (thus 𝕁0⊆ 𝕂) then, by Proposition 3.8, we get that every Caterpillar tree is isomorphic to an element of J0, thus 𝕂 ⊆ 𝕁0 and therefore 𝕁0 = 𝕂. Furthermore,

Acknowledgements
The first author thanks the Vicerrectorado de Investigación of the Universidad Nacional de San Cristóbal de Huamanga.
References
Frank H. and Schwenk A.J., “The number of caterpillars”, Discrete Mathematics, 6 (1973), No. 4, 359-365. doi:10.1016/0012-365X(73)90067-8.
Hacon D., Mendes de Jesus C. and Romero Fuster M.C., “Stable maps from surfaces to the plane with prescribed branching data”, Topology and Its Appl., 154 (2007), No. 1, 166-175. doi:10.1016/j.topol.2006.04.005.
Huamaní N. B., Mendes de Jesus C. and Palacios J., “Invariants of stable maps from the 3-sphere to the Euclidean 3-space”, Bull Braz Math Soc, New Series, 50 (2019), 913-932. doi:10.1007/s00574-019-00133-4.
Huamaní N. B. and Mendes de Jesus C., “Grafos pesados y aplicaciones estables de 3-variedades en ℝ3”, Rev. Integr. temas mat., 39 (2021), No. 1, 109-128. doi:10.18273/revint.v39n1-2021008.
Notes