Artigo
Recepção: Abril 2015
Aprovação: Dezembro 2015
DOI: 10.1590/1807-0191201622118
Resumo: Este artigo testa a hipótese de que a redução na maioridade penal diminui a violência. Metodologicamente, o desenho de pesquisa utiliza análise espacial, estatística descritiva e multivariada para analisar um banco de dados original elaborado a partir de fontes secundárias. O foco repousa sobre o sistema de justiça juvenil em perspectiva comparada a partir de duas variáveis: (1) maioridade penal e (2) responsabilidade criminal. A média de maioridade penal global converge para 18 anos, enquanto a média de responsabilização criminal se aproxima de 11 anos. Os resultados sugerem uma correlação negativa entre a idade de imputabilidade penal e a taxa de homicídios, ou seja, quanto menor o patamar de maioridade penal, maior o nível de violência. Com este artigo, esperamos contribuir com o debate sobre a redução da maioridade penal no Brasil e, consequentemente, com o aprimoramento de políticas públicas específicas de combate à violência.
Palavras chave: redução da maioridade penal, responsabilidade criminal, justiça juvenil.
Abstract: This paper tests the hypothesis that decreasing the age of criminal majority will reduce violence. Methodologically, the research design uses spatial analysis, descriptive and multivariate statistics to examine an original dataset created based on secondary sources. We focus on juvenile judicial system in comparative perspective centering in two variables: (1) age of criminal majority and (2) age of criminal responsibility. The general average of criminal majority tends to 18 years, while the average age of criminal responsibility tends to 11 years. The result shows a negative correlation between the age of criminal majority and homicides rates. That means that countries with lower age of criminal majority have higher rates of violence. With this paper we hope to contribute in the discussion regarding criminal majority reduction in Brazil and in the development of specific public policies to reduce violence.
Keywords: criminal majority reduction, criminal responsibility, juvenile judicial system.
Resumen: Este trabajo pone a prueba la hipótesis de que la reducción de la edad legal disminuye la violencia. El diseño de la investigación utiliza análisis espacial, descriptivo y estadística multivariante para analizar una base de datos original compilada a partir de fuentes secundarias. El enfoque se basa en el sistema de justicia juvenil en perspectiva comparada con énfasis en dos variables: (1) la edad legal y (2) la responsabilidad penal. El promedio coincide en los 18 años de edad legal en el mundo, mientras que el promedio de la responsabilidad penal es aproximadamente a los 11 años. Los principales resultados sugieren una correlación negativa entre la edad de la responsabilidad penal y la tasa de homicidios, o sea, cuanto menor la edad, mayor es el nivel de violencia. Con este artículo, esperamos contribuir al debate sobre la reducción de la edad legal en Brasil y, en consecuencia, mejorar las políticas públicas específicas sobre el tema.
Palabras clave: reducción de la edad penal, responsabilidad criminal, justicia de menores.
Résumé: Ce travail teste l'hypothèse selon laquelle l'abaissement de l'âge de la majorité pénale fait diminuer la violence. Sur le plan méthodologique, l'esquisse de cette recherche a utilisé l'analyse spatiale, l'analyse descriptive et la statistique multivariée pour analyser une base de données originale compilée à partir de sources secondaires. L'étude se concentre sur le système de justice pour mineurs dans une perspective comparée mettant l'accent sur deux variables: (1) la majorité pénale et (2) la responsabilité pénale. La moyenne de l'âge légal dans le monde converge vers les 18 ans, tandis que la responsabilité pénale, en moyenne, est proche des 11 ans. Les résultats suggèrent une corrélation négative entre l'âge de la responsabilité pénale et le taux d'homicides, c'est-à-dire que plus le seuil de l'âge légal est bas, plus le niveau de violence est élevé. Avec cet article, nous espérons contribuer au débat sur la réduction de l'âge pénal au Brésil et, par conséquent, l'amélioration des politiques publiques spécifiques sur ce sujet.
Mots clés: abaissement de la majorité pénale, responsabilité pénale, justice pour mineurs.
A juventude deve ser domada com a razão, não com a força.
Públio Siro
Introdução
Estimar em que medida a legislação penal produz os efeitos esperados é um dos principais desafios enfrentados por pesquisadores e gestores governamentais. Esse problema é maior em países que não possuem tecnologias de coleta, processamento e divulgação de informações2. A falta de dados dificulta a implementação de políticas públicas eficazes já que o processo de elaboração depende do conhecimento sistemático da realidade (Khandker, Koolwal e Samad, 2010). Em segundo lugar, inibe a produção de estudos comparados, limitando a difusão de práticas institucionais eficientes (Gertler et al., 2011). Terceiro, a falta de informação reduz a transparência das ações públicas e viola o princípio da publicidade3. Em conjunto, esses obstáculos comprometem o aprimoramento da legislação e o funcionamento do próprio sistema judicial.
Especificamente no que diz respeito à maioridade penal, Soares (2007) afirma que a maior parte do debate é baseada em "achismos". Na ausência de dados, o que sobra para informar a elaboração de políticas públicas são elementos como ideologia e emoções. O efeito disso é que a produção das políticas públicas acaba sendo guiada por critérios não técnicos, violando a tendência contemporânea de evidence-based policy. Ou seja, a necessidade de seguir estudos científicos robustos no processo de elaboração e implementação das ações governamentais (Stol, 2009; Solesbury, 2001).
Dentro dessa perspectiva, este artigo analisa o sistema de justiça juvenil em perspectiva comparada, concedendo especial atenção ao caso do Brasil4. O foco repousa sobre duas variáveis: (1) a maioridade penal e (2) a responsabilidade criminal. Substantivamente, testamos a hipótese de que a redução na maioridade penal diminui os níveis de violência. Em termos metodológicos, o desenho de pesquisa combina os dados de Hazel (2008) e Cipriani (2009), do United Nations Office on Drugs and Crime –UNODC – (2012) e da Grand Valley State University (2012) para elaborar um banco original. Tecnicamente, combinam-se estatística descritiva, correlação de Pearson, análise espacial e um modelo de regressão linear de mínimos quadrados ordinários (MQO).
O restante do artigo está dividido da seguinte forma: as duas próximas seções apresentam os argumentos favoráveis e os contrários à redução da maioridade penal, respectivamente. Após isso, discutimos os conceitos de maioridade penal e responsabilidade criminal. Na quarta seção, descrevemos as características do desenho de pesquisa. Depois disso, na quinta seção, sintetizamos os resultados, e, por fim, sumarizamos as conclusões.
Argumentos favoráveis à redução da maioridade penal
Uma vez constatada a maturidade intelectual e emocional do agente, ele deve ser penalmente responsabilizado por suas ações e/ou omissões. Esse é o principal argumento favorável à redução da maioridade penal (Cunha, Ropelato e Alves, 2006). Para o senador Almir Lando, os menores são plenamente conscientes de suas ações e a atual legislação ignora suas características, protegendo-os das consequências de seus atos (Agência Senado, 2003). Em relação ao caso de Champinha – que assassinou Liana Friedenbach e Felipe Caffé em 2003 –, o deputado federal Jair Bolsonaro afirmou que "não se pode dizer que ele [o acusado] não sabia o que estava fazendo. Ele a estuprou cinco vezes"5.
Saraiva (2002) faz analogia entre maioridade política e penal para justificar o tratamento isonômico entre adultos e adolescentes. Como um adolescente de 16 anos pode votar, ele também poderia responder criminalmente como adulto. Tem-se ainda o argumento de que a redução da maioridade penal pode dissuadir o comportamento criminoso e diminuir os níveis de violência. Essa ideia é utilizada pelo fato de que muitos adultos recrutam menores para praticar atividades ilegais, uma vez que os adolescentes recebem proteção especial6.
No Brasil, alguns defensores da redução da maioridade penal apostam em um argumento histórico-cultural. Quando o patamar de 18 anos foi criado, a realidade do país era diferente, com limitado acesso à informação e práticas sociais distintas (Sankievicz, 2007). Defende-se que, atualmente, o amadurecimento ocorre mais rápido em função da facilidade de acesso e do aumento no volume de informações. Por fim, diferentes pesquisas de opinião apontam que a maior parte da população brasileira é a favor da redução da maioridade penal7.
Argumentos contrários à redução da maioridade penal8
A literatura identifica duas tendências contra a redução da maioridade penal. Em primeiro lugar, os dados sobre vitimização apontam que os jovens são o grupo etário que mais morre por causas externas, especificamente homicídios e acidentes de trânsito. Por exemplo, Waiselfisz (2013) mostra que a participação relativa das causas de mortalidade por homicídios entre jovens (39,3%) é bem maior do que entre não jovens (3%). Ao se considerar as mortes por causas violentas de forma geral, observa-se uma proporção de 63,4% entre jovens versus 6,8% entre não jovens. Para Souza e Campos (2007), "apesar da relevância que há na questão do jovem que comete violência, no Brasil, a posição do jovem como vítima é muito mais grave do que como sujeito que comete ato infracional" (Souza e Campos, 2007, p. 8).
Em segundo lugar, existe uma forte disparidade entre a incidência de práticas infracionais cometidas por adolescentes e a cobertura dada pelos meios de comunicação. Rolim (2006) afirma que:
embora o número de negros seja mais comum, esses casos aparecem com menos frequência na mídia. Brancos assassinados merecem mais atenção, assim como homicídios de pessoas de classe média, ricas. Os assassinatos de mulheres e crianças sempre são tratados com muito mais destaque que o de homens adultos. Os homicídios, tipo de crime noticiado em todo o mundo, são eventos excepcionais se comparados com as demais condutas tipificadas na legislação (Rolim, 2006, p. 190).
Os delitos realizados por pessoas com mais de 18 anos representam mais de 90% do total. Os dados de Adorno, Bordini e Lima (1999) indicam que os homicídios cometidos por adolescentes correspondem a 1,3%. Para Sankievicz (2007), "a preocupação com a violência juvenil nas sociedades modernas é desproporcional à gravidade e à incidência dos atos infracionais praticados pelos adolescentes" (Sankievicz, 2007, p. 7).
Especificamente contra a analogia entre maioridade política e penal, os defensores do patamar de 18 anos destacam que o sufrágio aos 16 anos é facultativo, enquanto a imputabilidade é compulsória. Contra o argumento cultural-histórico com ênfase nos meios de comunicação, os defensores do sistema atual afirmam que o aumento da oferta de informação não é sinônimo de qualidade, nem tampouco de capacidade de absorção. O que ocorre na verdade é que "o adolescente pode até se prejudicar em razão do excessivo número de mensagens com valores contraditórios" (Sankievicz, 2007, p. 9)9.
Por fim, outro argumento recorrente contra a redução da maioridade penal é a incapacidade do sistema prisional brasileiro de cumprir efetivamente com os seus propósitos. Diversos estudos apontam a existência de um déficit generalizado de vagas10. Dessa forma, a redução da maioridade penal tenderia a agravar a situação11.
Maioridade penal e responsabilidade criminal12
A imputabilidade penal é formada por dois elementos: (1) o intelectual e (2) o volitivo. A dimensão intelectual diz respeito à capacidade de compreender integralmente o caráter ilícito da ação, ou seja, o indivíduo entende a ilegalidade do fato. A dimensão volitiva refere-se à vontade intencional de produzir determinado resultado. Dessa forma, a imputabilidade diz respeito à condição psicológica de compreender integralmente – ao tempo da ação ou omissão – o caráter ilícito do ato. Por outro lado, inimputável é o indivíduo que não pode ser legalmente responsabilizado por suas ações/omissões13. No Brasil, o art. 26 do Código Penal determina que:
é isento de pena o agente que, por doença mental ou desenvolvimento mental incompleto ou retardado, era, ao tempo da ação ou da omissão, inteiramente incapaz de entender o caráter ilícito do fato ou de determinar-se de acordo com esse entendimento (Brasil, 1940).
O vocábulo "penal" aparece 14 vezes na Constituição Federal de 1988. O art. 228 determina que menores de 18 anos são inimputáveis, mas sujeitos às normas de legislação especial (art. 228/CF 88).
Em que medida crianças e adolescentes possuem plena compreensão intelectual e volitiva de suas ações? Diferentes ordenamentos jurídicos oferecem respostas distintas a esse questionamento. De acordo com Hazel (2008), as características mais importantes para diferenciar os sistemas judiciais são a maioridade penal e a responsabilidade criminal.
A maioridade penal é a idade em que o acusado é tratado como adulto para fins processuais (Hazel, 2008)14. Ou seja, é a idade na qual um indivíduo pode ser responsabilizado pelos seus atos. Por sua vez, a responsabilização criminal refere-se ao patamar mínimo etário em que o sistema judicial pode responsabilizar um indivíduo por suas ações/omissões. Para Hazel (2008), "the age of criminal responsibility is the point at which jurisdiction can prosecute a child for a crime. It is the age at which the child is considered capable of understanding what they did wrong" (Hazel, 2008, p. 30). Em síntese, todos aqueles indivíduos que possuem compreensão integral do caráter ilícito das suas ações ou omissões podem ser responsabilizados. E, a depender da idade, será tratado como adulto (maioridade penal) ou por legislação especial (responsabilização criminal)15.
Metodologia16
Esta seção descreve os procedimentos metodológicos com o objetivo de aumentar a transparência e garantir a replicabilidade dos resultados (King, 1995; Dafoe, 2014; Janz, 2015). O Quadro 1 sumariza as principais características do desenho de pesquisa:

A população de interesse é formada por 197 países. O banco de dados original foi elaborado a partir da agregação das seguintes fontes: Hazel (2008), Cipriani (2009), UNODC (2012) e da Grand Valley State University (2012). Tecnicamente, o desenho de pesquisa combina estatística descritiva, análise espacial, correlação de Pearson e um modelo de regressão linear de mínimos quadrados ordinários (MQO). A hipótese de trabalho sustenta que a redução na maioridade penal diminui os níveis de violência. Ou seja, espera-se observar que países com patamares mais reduzidos de maioridade penal apresentem, em média, menores níveis de violência. A variável dependente foi operacionalizada a partir da taxa de homicídios por 100 mil habitantes e as variáveis independentes foram mensuradas de acordo com a idade de maioridade penal e de responsabilidade criminal de cada país. Computacionalmente, os dados foram analisados com auxílio do Statistical Package for Social Science (SPSS), versão 20, Stata, versão 12, QGis 2.8 e GeoDa 1.6.6.
Resultados17
O primeiro passo é descrever a variação da variável dependente. O Mapa 1 ilustra a distribuição da taxa de homicídio por 100 mil habitantes em perspectiva comparada:
Não existem dados disponíveis para 74 países, o que representa 37,6% do total. Geograficamente, observa-se que a África é um grande deserto informacional. Levando em conta os 123 casos remanescentes, observa-se uma taxa média de 9,2, patamar muito próximo dos 10, considerado como epidêmico pela Organização Mundial da Saúde (OMS). Em termos de variabilidade, o desvio-padrão de 14 indica que a distribuição da taxa de homicídio é bastante heterogênea. Ou seja, existem nações muito violentas e outras que praticamente não sofrem com esse problema. Assumindo que não existem erros sistemáticos e aleatórios de mensuração, El Salvador (70,9), Honduras (70,7) e Jamaica (61,6) são os mais violentos. Em contrapartida, Liechtenstein (0), Islândia (0,3) e Japão (0,4) são os mais seguros. O Brasil ocupa o 14° no ranking dos países mais violentos, com uma taxa de 23.
O Mapa 2 apresenta a distribuição das idades de maioridade em perspectiva comparada no mundo:

De acordo com a legenda, os casos em branco representam os países que prescindem de informação. Observa-se novamente que o continente africano é um grande deserto informacional. Levando em conta que existem dados disponíveis apenas para 54 países, observa-se uma média de 17,76 anos. Em termos de variabilidade, o desvio-padrão é de 2,05, sugerindo uma distribuição mais homogênea. A China possui o maior patamar de maioridade penal (25 anos). Em seguida aparecem Croácia, Espanha, Grécia, Holanda e Romênia – todos com 21 anos. Por outro lado, Cingapura (12) e Jamaica (14) possuem o patamar mais baixo. O Brasil aparece bastante próximo da média global, com 18 anos.
A Tabela 1 e a Figura 1 apresentam a estatística descritiva da idade de maioridade penal, levando em conta duas fontes: Hazel (2008) e a Grand Valley State University (2012):


As médias de maioridade penal para as duas fontes utilizadas são bastante semelhantes. Enquanto a média estimada a partir dos dados da Grand Valley State University (2012) é de 18,29, para os dados de Hazel (2008) é de 17,76 anos, ou seja, uma diferença residual de 0,53. Cingapura segue com a menor maioridade penal (12), mesmo depois de introduzir a nova fonte de dados, da mesma forma a China (25) se mantém com a maioridade penal mais alta. O Mapa 3 ilustra a dispersão da responsabilidade criminal:
Os dados de Hazel (2008) englobam 97 países, com uma média de 11,71 anos. O desvio-padrão é de 3,98. Colômbia e Luxemburgo, ambos com 18 anos, possuem o maior patamar de responsabilidade criminal. Arábia Saudita, Brunei, Panamá e Paquistão, no entanto, têm o número mais baixo possível: zero. A Tabela 2 e a Figura 2 apresentam a estatística descritiva da responsabilidade criminal a partir de duas fontes: Cipriani (2009) e Hazel (2008).


A distribuição de responsabilidade criminal pelo mundo tem as seguintes características: (1) média de aproximadamente 11 anos e desvio-padrão de quase 4. O Brasil está muito próximo do padrão internacional, já que estabeleceu 12 anos como critério de responsabilidade criminal18.
Comparativamente, de 18 a 21 anos, o sistema alemão admite o que se convencionou chamar de sistemas de jovens adultos, no qual mesmo após os 18 anos, a depender do estudo de discernimento, podem ser aplicadas as regras do sistema de justiça juvenil. Após os 21 anos, a competência é exclusiva da jurisdição penal tradicional. Os códigos penais da Rússia (art. 16) e da China (art. 14) fixam a maioridade penal em 16 anos, mas reduzem para 14 em casos de homicídio, lesões graves, roubos e crimes correlatos. Na Argélia, entre os 13 e 16 anos, o adolescente está submetido a um regime especial com ênfase em sanções educativas a depender de uma avaliação psicossocial. O sistema austríaco prevê até os 19 anos a aplicação da Lei de Justiça Juvenil (JGG), e entre 19 e 21 anos as penas são atenuadas.
Longitudinalmente, a tendência mundial é elevar a idade mínima de responsabilidade criminal. Por exemplo, em 1977, Israel aumentou de 9 para 13 anos. Similarmente, em 1979, Cuba elevou de 12 para 16 anos. Em 1983, a Argentina mudou de 14 para 16 anos. Um ano depois, em 1984, o Canadá aumentou de 7 para 12 anos. Seguindo essa tendência, a Noruega elevou de 14 para 15 em 1987. Mais recentemente, em 2001, a Irlanda mudou a idade de responsabilidade criminal de 7 para 12 e a Espanha elevou de 12 para 14 anos (Muncie, 2005). O objetivo é conceder uma proteção maior às crianças e aos adolescentes. De acordo com o comentário da seção 4.1, intitulada Idade de Responsabilidade Penal, da Carta de Pequim:
A idade mínima e os efeitos de responsabilidade penal variam muito segundo as épocas e as culturas. A atitude moderna consiste em perguntar se uma criança pode suportar as consequências morais e psicológicas da responsabilidade penal; isto é, se uma criança, dada a sua capacidade de discernimento e de compreensão, pode ser considerada responsável por um comportamento essencialmente antissocial. Se a idade da responsabilidade penal for fixada em nível demasiado baixo ou se não existir um limite mínimo, a noção de responsabilidade deixará de ter qualquer sentido. Em geral, existe uma estreita ligação entre a noção de responsabilidade por um comportamento delituoso ou criminal e outros direitos e responsabilidades sociais (tais como o estado de casado, a maioridade civil etc.) (ONU, 1985, seção 4.1).
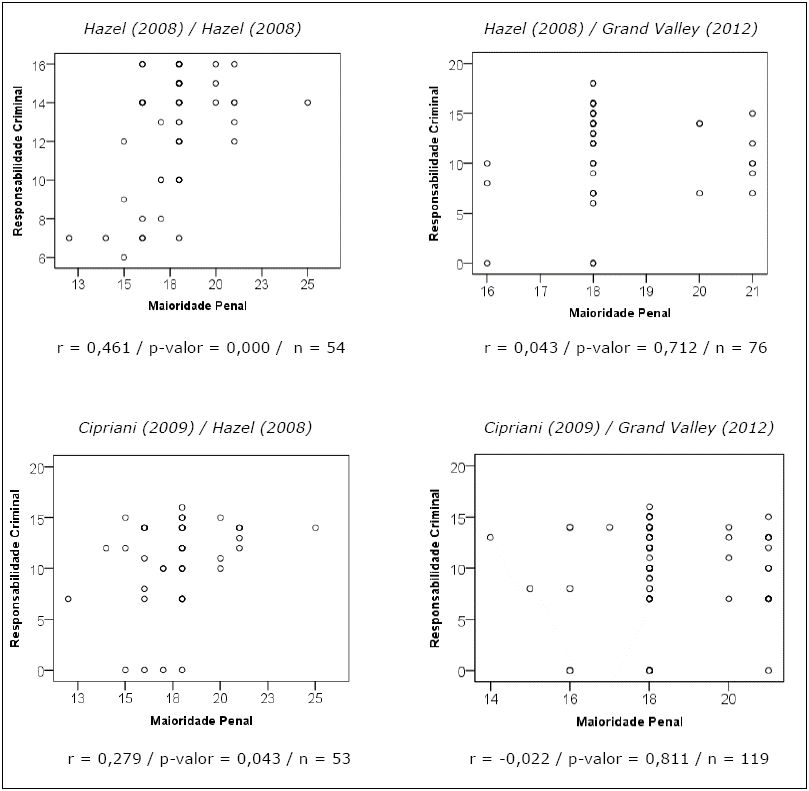
Depois de analisar descritivamente a variação da maioridade penal e da responsabilidade criminal, o próximo passo é verificar o grau de associação entre elas. A Figura 3 ilustra essas informações:

Ao observar os dados de Hazel (2008), verifica-se uma correlação positiva moderada (r = 0,461) e estatisticamente significativa (p-valor = 0,000; n = 54). Ou seja, países que apresentam valores altos de maioridade penal também tendem a apresentar valores altos de responsabilidade criminal. Entre os dados de Hazel (2008) e da Grand Valley (2012), não é possível rejeitar a hipótese nula de que a correlação é igual a zero (p-valor = 0,712; n = 76). Isso enfraquece a confiabilidade dos dados utilizados. Teoricamente, se as duas fontes estivessem medindo o mesmo fenômeno, seria de esperar que os valores apresentados fossem semelhantes. Isto é, os dados seriam correlacionados. Levando em conta os dados de Cipriani (2009), a correlação com maioridade penal de Hazel (2008) foi fraca (r = 0,279), mas estatisticamente significativa (p-valor = 0,043; n = 53). Com os dados da Grand Valley (2012), novamente não foi possível rejeitar a hipótese nula (p-valor = 0,811; n = 119).
O próximo passo é testar a hipótese de que quanto menor a maioridade penal, menor o nível de violência. Para tanto, será estimado o seguinte modelo:

Y representa a taxa de homicídio por 100 mil habitantes; X1, a maioridade penal/responsabilidade criminal; X2 representa o Índice de Desenvolvimento Humano (IDH); X3 representa o Índice de Gini; e X4, o desemprego de longo termo. As Tabelas 3 e 4 sintetizam as principais estatísticas do modelo.

Diferentemente do teoricamente esperado, os resultados indicam que, em média, quanto maior o patamar legal da maioridade penal, menor é a taxa de homicídios por 100 mil habitantes. Em particular, o aumento de um ano na maioridade penal está associado à redução de 0,365 na taxa de homicídio (erro-padrão = 0,197; t = -1,851 e p-valor = 0,077), controlando pelas demais variáveis. Isso quer dizer que o aumento do nível de proteção legal está correlacionado com uma menor incidência de violência. Em conjunto, o modelo explica 36,4% da variação da variável dependente.
Para garantir resultados mais robustos, estimamos novamente o modelo utilizando outra fonte em relação à distribuição da maioridade penal. A Tabela 4 sumariza os resultados:

Similarmente ao que foi observado no primeiro modelo, os resultados indicam que quanto maior a maioridade penal, menor é o nível de violência. Em particular, o aumento de um ano na maioridade penal está associado a uma redução de 0,224 na taxa de homicídio, mantendo-se os outros fatores constantes. Ainda que o resultado não tenha sido estatisticamente significativo (t = -0,171 e p-valor = 0,865), o importante é observar o sinal do coeficiente. O modelo explica 38,2% da variação da variável dependente.
Reproduzimos os modelos, mas agora utilizando outra variável independente, no caso, a responsabilidade criminal. A Tabela 5 sintetiza as estimativas do modelo:

Mudamos a variável independente e os resultados continuam consistentes. Em média, quanto maior o patamar legal da responsabilidade criminal, menor é a taxa de homicídios por 100 mil habitantes. Em termos menos técnicos, isso quer dizer que países com limites etários mais altos de responsabilização criminal também apresentam menores níveis de violência (β = -0,271; t = -1,953 e p-valor = 0,060). O modelo explica 44,7% da variação da taxa de homicídios por 100 mil habitantes. A Tabela 6 reproduz a análise com os dados de Cipriani (2009).

Mais uma vez os dados desafiam a noção de que redução de responsabilidade criminal resulta em menor violência (β = -0,048; erro-padrão = 0,093; t = -0,515 e p-valor = 0,610). O modelo explica 38,7% da variação na variável dependente.
Conclusão
No final da década passada, Soares (2007) afirmou que o debate sobre maioridade penal no Brasil era guiado por "achismos", produzindo o que ele denominou de "perímetro da ignorância". Este artigo apresenta a primeira análise empírica a respeito do efeito da redução da maioridade penal.
Metodologicamente, o desenho de pesquisa utilizou dados secundários, estatística descritiva, análise espacial, correlação de Pearson e um modelo de regressão linear de mínimos quadrados ordinários. Essas ferramentas serviram para testar a hipótese de que a redução na maioridade penal diminui os níveis de violência.
Os resultados sugerem que: (1) a média da maioridade penal global converge para 18 anos; (2) a média da responsabilidade criminal no mundo se aproxima de 11 anos; finalmente, (3) existe uma correlação negativa entre a idade de maioridade penal e a taxa de homicídio.
Substantivamente, esses resultados sugerem que a redução da maioridade penal não está associada a diminuições nos indicadores de violência. Pelo contrário, em média, países com limites mais reduzidos de maioridade penal e responsabilidade criminal são mais violentos. Os coeficientes de determinação dos modelos reportados sugerem um nível moderado de ajuste. Em particular, conseguimos explicar cerca de 40% da variação na taxa de homicídio. Isso quer dizer que ainda existe 60% de variabilidade para ser explicada.
Nossa principal limitação diz respeito à confiabilidade da mensuração da variável independente, pois foi preciso usarmos diferentes fontes que não necessariamente mediam a mesma coisa. Ainda, a qualidade dos dados sobre a taxa de homicídio também varia bastante. Não é crível acreditar que as informações fornecidas pela Suécia têm o mesmo nível de precisão dos dados da Argentina, por exemplo. No entanto, acreditamos ter contribuído com a literatura pelo esforço empreendido na catalogação, sistematização e disponibilização transparente de todos os dados. Dessa forma, outras pesquisas podem aprofundar, ou até mesmo refutar, as nossas conclusões.
Com este artigo, esperamos contribuir com o debate sobre a redução da maioridade penal no Brasil e, consequentemente, com o aprimoramento de políticas públicas específicas de combate à violência.
APÊNDICE

Entre as características dos menores, é possível perceber que a escolaridade da grande maioria é de nível fundamental incompleto. Ou seja, eles sequer alcançam o ensino médio. Mulheres e homens aparecem de forma equilibrada, com uma leve maioria masculina. Já em termos de raça, os dados apontam que os negros superam os brancos em pouco mais do que 15 pontos percentuais. Já em área, a maioria é esmagadoramente pertencente às zonas urbanas.

Nos três anos disponibilizados, vemos que roubo e tráfico são os tipos de delito mais comuns entre os menores. O primeiro gira em torno de 39% do total, enquanto o segundo está próximo dos 25%. No terceiro delito mais comum – homicídio – o percentual, em torno de 9%, fica bem abaixo dos dois primeiros tipos de delito (Tabela 7).
Referências bibliográficas
Adorno, S.; Bordini, E.; Lima, R. S. "O adolescente e as mudanças na criminalidade urbana". São Paulo em Perspectiva, vol. 13, n° 4, 62-74, 1999.
Agência Senado. “CCJ analisa a redução da maioridade penal para 16 anos”, 2003. Disponível em: <http://www12.senado.leg.br/noticias/materias/2003/03/10/ccj-analisa-reducao-da-maioridade-penal-para-16-anos>. Acesso em: 15 mar. 2014.
Alvarez, M. C. "A emergência do Código de Menores de 1927: uma análise do discurso jurídico e institucional da assistência e proteção aos menores". Dissertação de Mestrado em Sociologia. Faculdade de Filosofia, Letras e Ciências Humanas, Departamento de Sociologia. Universidade de São Paulo, São Paulo, 1989.
Amaro, J. W. F. "O debate sobre a maioridade penal". Revista de Psiquiatria Clínica, vol. 31, n° 3; p. 142-144, 2004.
Andi. Os jovens na mídia – Violência: a escola na fronteira do inferno. 6ª ed. Brasília: Andi, 1999. Disponível em: <http://www.andi.org.br/file/50168/download?token=gu3UP-4Y>. Acesso em: 5 mar. 2015.
Babbie, E. Métodos de pesquisas de survey. Belo Horizonte: Editora UFMG, 1999.
Boyer, M. A. "Symposium on replication in international studies research". International Studies Perspectives, n° 4, p. 72-107, 2003.
Brasil. Constituição da República Federativa do Brasil. Brasília, DF: Senado Federal, 1988.
Brasil. Decreto-Lei n° 2.848, de 7 de dezembro de 1940. Diário Oficial [da] República Federativa do Brasil, Rio de Janeiro, RJ, 7 dez. 1940.
Campos, M. S. "Mídia e política: a construção da agenda nas propostas de redução da maioridade penal na Câmara dos Deputados". Opinião Pública, vol. 15, n° 2, p. 478-509, 2009.
Cipriani, D. Children's right and the minimum age of criminal responsibility: a global perspective. Farnhan: Ashgate, 2009.
Cunha, P. I.; Ropelato, R.; Alves, M. P. "A educação da maioridade penal: questões teóricas e empíricas". Psicologia, Ciência e Profissão, vol. 26, n° 4, p. 646-659, 2006.
Dafoe, A. "Science deserves better: the imperative to share complete replication files". PS: Political Science & Politics, vol. 47, n° 1, p. 60-66, 2014.
Gertler, P. J., et al. Impact evaluation in practice: ancillary material. Washington: The World Bank, 2011. Disponível em: <www.worldbank.org/ieinpractice>. Acesso em: 20 maio 2014.
Grand Valley State University. G-9: HRRC Guidance on age of majority/adulthood in USA & other countries, 2012. Disponível em: https://www.gvsu.edu/cms3/assets/E122C984-F34A-F437-8340DB5CD900C177/procedures/g-9._guidance_on_age_of_majority_in_us_and_foreign_countries._0725.2012.pdf. Acesso em: 15 abr. 2015.
Hazel, N. Cross-national comparison of youth justice. London: Youth Justice Board for England and Wales, 2008. Disponível em: <http://www.yjb.gov.uk/publications/resources/downloads/cross_national_final.pdf>. Acesso em: 17 set. 2013.
Herrnson, P. S. "Replications, verifications, secundary analysis, and data collections in political science". PS: Political Science and Politics, vol. 28, n° 3, p. 452-455, 1995.
Janz, N. "Bringing the gold standard into the classroom: replication in university teaching". International Studies Perspectives, mar. 2015.
Khandker, S. R.; Koolwal, H. A.; Samad, H. A. Handbook on impact evaluation: quantitative methods and practices. Washington: The World Bank, 2010. Disponível em: <https://openknowledge.worldbank.org/bitstream/handle/10986/2693/520990PUB0EPI1101Official0Use0Only1.pdf?sequence=1>. Acesso em: 20 maio 2014.
King, G. "Replication, replication". PS: Political Science and Politics, n° 28, p. 443-499, 1995.
Muncie, J. "The globalization of crime control – The case of youth and juvenile justice: neoliberalism, policy convergence and international conventions". Theoretical Criminology, vol. 9, n° 1, p. 35–64, 2005.
Onu. Regras mínimas das Nações Unidas para a administração da justiça de menores (Regras de Beijing), 1985. Disponível em: <http://www.gddc.pt/direitos-humanos/textos-internacionais-dh/tidhuniversais/dhaj-NOVO-regrasBeijing.html>. Acesso em: 16 jun. 2014.
Paranhos, R., et al. "Corra que o survey vem aí: noções básicas para cientistas sociais". Revista Latinoamericana de Metodología de la Investigación Social, vol. 3, n° 6, p. 7-24, 2013.
Rolim, M. A síndrome da rainha vermelha. Policiamento e segurança pública no século XXI. Rio de Janeiro: Jorge Zahar; Oxford: Centre for Brazilian Studies, University of Oxford, 2006.
Sankievicz, A. Breve análise sobre a redução da maioridade penal como alternativa para a diminuição da violência infantil. Brasília: Consultoria Legislativa, 2007. Disponível em: <http://bd.camara.gov.br/bd/bitstream/handle/bdcamara/1201/breve_analise_sankievicz.pdf?sequence=1>. Acesso em: 2 maio 2013.
Saraiva, J. B. C. Direito penal juvenil – Adolescente e ato infracional: garantias processuais e medidas socioeducativas. 2ª ed. Porto Alegre: Livraria do Advogado, 2002.
Silva, E.; Oliveira, R. O Adolescente em conflito com a lei e o debate sobre a redução da maioridade penal: esclarecimentos necessários. 2015. Disponível em: <http://repositorio.ipea.gov.br/bitstream/11058/5696/1/NT_n20_Adolescente-conflito_Disoc_2015-jun.pdf>. Acesso em: 10 dez. 2015.
Soares, G. "A idade mínima penal e a redução do achismo". Correio Braziliense, 22 fev. 2007. Disponível em: <https://www.researchgate.net/publication/266391969_A_idade_minima_pena_e_a_reducao_do_achismo>. Acesso em: 10 dez. 2015.
Solesbury, W. Evidence based policy: whence it came and where it's going. 2001. Disponível em: <https://www.kcl.ac.uk/sspp/departments/politicaleconomy/research/cep/pubs/papers/assets/wp1.pdf>. Acesso em: 24 abr. 2015.
Souza, L. A.; Campos, M. S. "Redução da maioridade penal: uma análise dos projetos que tramitam na Câmara dos Deputados". Revista Ultima Ratio. Rio de Janeiro: Lúmen Júris, ano I, n° 1, 2007.
Sposato, K. "Elementos para uma teoria da responsabilidade penal de adolescentes". Tese de Doutorado defendida no Programa de Pós-Graduação em Direito. Universidade Federal da Bahia (UFBA), 2011.
Stol, H. A framework for evidence-based policy making using IT. Eburon Uitgeverij BV, 2009.
Unicef. Por que dizer não à redução da idade penal. Nov. 2007. Disponível em: http://www.crianca.mppr.mp.br/arquivos/File/idade_penal/unicef_id_penal_nov2007_completo.pdf. Acesso em: 15 abr. 2015.
Unodc. World drug report. 2012. Disponível em: <http://www.unodc.org/documents/data-and-analysis/WDR2012/WDR_2012_web_small.pdf>. Acesso em: 10 abr. 2012.
Waiselfisz, J. J. Mapa da violência 2013: homicídios e juventude no Brasil. 2013. Disponível em: <http://www.mapadaviolencia.org.br/pdf2013/mapa2013_homicidios_juventude.pdf>. Acesso em: 10 abr. 2015
Notas