Artigos
Voto e identificação partidária em 2018: ordenação social na política brasileira
Vote and partisanship in 2018: social sorting in Brazilian politics
Voto e identificación partidista en 2018: ordenamiento social en la política brasileña
Vote et partisanerie en 2018: le tri social dans la politique brésilienne
Voto e identificação partidária em 2018: ordenação social na política brasileira
Opinião Pública, vol. 26, núm. 3, 2020
Centro de Estudos de Opinião Pública da Universidade Estadual de Campinas
Recepção: 18 Janeiro 2020
Aprovação: 8 Setembro 2020
Resumo: A teoria da ordenação social explica o comportamento do eleitorado brasileiro na disputa presidencial de 2018? A literatura americanista demonstra que o alinhamento de identidades sociais gera e reforça o partidarismo como uma identidade principalmente no campo da direita. Tendo em vista a relevância de temáticas de crença religiosa, raça e gênero nas eleições de 2018, cabe compreender se o mesmo fenômeno também se verifica no Brasil. Essa pergunta é respondida com testes econométricos baseados em dados de um survey nacionalmente representativo conduzido com 1.498 eleitores no primeiro semestre de 2019. As regressões logísticas binomiais e multinomiais demonstram que protestantes, brancos e homens têm preferência substantivamente superior pelo PSL em comparação aos demais partidos, tanto em termos de definição de voto como de identificação partidária.
Palavras-chave: ordenação social, identidade social, partidarismo, comportamento eleitoral, bolsonarismo.
Abstract: Does social sorting theory explain the political behavior of Brazilian voters in the 2018 presidential election? The Americanist literature demonstrates that the alignment of social identities generates and reinforces partisanship as a social identity especially among right-wingers. Given the salience of religious faith, race, and gender in the 2018 elections, it is worth understanding whether the same phenomenon occurs in Brazil. This question is answered based on econometric tests relying on data from a nationally representative survey conducted with 1,498 voters in the first semester of 2019. Multinomial logistic and logistic regressions demonstrate that protestants, white, and males have a substantively higher preference for PSL in comparison to other parties, both when it comes to voting and partisanship.
Keywords: social sorting, social identity, partisanship, voting behavior, bolsonarismo.
Resumen: ¿La teoría del ordenamiento social explica el comportamiento del electorado brasileño en la elección presidencial de 2018? La literatura americanista demuestra que el alineamiento de identidades sociales genera y refuerza el partidismo como identidad principalmente en el campo de la derecha. Dada la relevancia de los temas de creencias religiosas, raza y género en las elecciones de 2018, es importante entender si el mismo fenómeno ocurre también en Brasil. Esta pregunta se responde con pruebas econométricas basadas en datos de una encuesta representativa a nivel nacional realizada con 1.498 votantes en la primera mitad de 2019. Las regresiones logísticas multinomiales y logísticas demuestran que los protestantes, los blancos y los hombres tienen una preferencia sustancialmente mayor por el PSL que otros partidos, tanto en términos de definición de voto como de identificación partidista.
Resumen: ordenación social, identidad social, partidismo, comportamiento electoral, bolsonarismo.
Résumé: La théorie du tri social explique-t-elle le comportement politique des électeurs brésiliens lors de l'élection présidentielle de 2018? La littérature américaniste démontre que l'alignement des identités sociales génère et renforce la partisannerie en tant qu'identité sociale, en particulier chez la droite. Compte tenu de l'importance de la religion, de la race et du sexe lors des élections de 2018, il est logique de comprendre si le même phénomène se produit au Brésil. La réponse à cette question est basée sur des tests économétriques reposant sur les données d'une enquête nationale représentative menée auprès de 1.498 électeurs au premier semestre 2019. Les régressions logistiques et logistiques multinomiales démontrent que les protestants, les blancs et les hommes ont une préférence nettement plus élevée pour PSL que d'autres partis, à la fois en matière de vote et de partisanerie.
Résumé: tri social, identité sociale, partisanerie, comportement de vote, bolsonarismo.
Introdução
Parte da literatura tende a identificar classe social como a maior clivagem da política brasileira ( Singer, 2009 ). Essa divisão fica ainda mais clara quando analisamos os 20 anos em que PT e PSDB foram os principais polos das disputas presidenciais ( Braga e Pimentel, 2011 ; Freitas, 2018 ; Kingstone e Power, 2017 ). Nesse caso, enquanto a classe trabalhadora formava a base eleitoral do PT, as classes mais privilegiadas tendiam a preferir o PSDB.
No entanto, as eleições de 2018 representaram um divisor de águas ( Duque e Smith, 2019 ; Hunter e Power, 2019 ). Pautado por discursos enfáticos que apelavam para identidades sociais como raça, religião e gênero, o debate presidencial entre petistas e bolsonaristas pode ter trazido à política brasileira um fenômeno comum no espectro americano: a ordenação social (do inglês, social sorting ). Este artigo visa verificar se o público brasileiro se alinhou a esses discursos. Em outras palavras, pergunto: o eleitorado moldou sua orientação política com base na ordenação de suas identidades sociais, rompendo, assim, com a clivagem tradicional de classe social?
De início, cabe reforçar que não há unanimidade na afirmativa de que classe social sempre tenha sido o único ou maior divisor de águas da política brasileira. Uma das variáveis sociodemográficas consideradas na análise das preferências políticas é a religião. Peixoto e Rennó (2011) mostram que evangélicos tenderam a votar contra o PT nas eleições de 2010, ainda que a discussão sobre o aborto não tenha tido papel determinante nesse pleito ( Rennó e Ames, 2014 ). De qualquer forma, Smith (2016) provê evidências adicionais para as eleições de 2014, quando grupos religiosos atuaram intensamente na mobilização de seus fiéis para o apoio a políticos predeterminados. Como já demonstrado pela literatura, esse tipo de representação descritiva importa ( Boas e Smith, 2019 ).
Ainda na transição para o regime democrático, Reis e Castro (1992) haviam apontado também para a relevância do local de residência, ou seja, a relação centro-periferia, na determinação do voto. Essa regionalidade é confirmada ao longo do tempo, principalmente a partir da consolidação do petismo no Nordeste do país ( Veiga, 2011 ). Ainda nesse caso, classe social parece importar, pelo menos a partir da lógica de disparidades econômicas regionais.
Holzhacker e Balbachevsky (2007) afirmam que classe social é relevante, mas não em todas as eleições. Esse estudo mostra que, enquanto a eleição presidencial de 2006 foi impactada por questões de renda, o mesmo não se deu em 2002. No entanto, caso a escolaridade seja vista como uma aproximação para classe, o estudo de Samuels (2004) resgata a relevância desse aspecto socioeconômico também para o pleito de 2002. Aqui, as elites, representadas por níveis educacionais mais altos, estariam contra o PT. Isso é diferente do que ocorria nas décadas de 1980 ( Balbachevsky, 1992 ) e 1990 ( Carreirão e Kinzo, 2004 ), quando os mais escolarizados tendiam a simpatizar com esse partido. A mudança nos anos 2000 ocorre principalmente a partir da eleição de Lula, momento no qual o partido se transforma no principal representante das classes menos educadas e mais pobres ( Veiga, 2007 ). Essa literatura, como será reforçado adiante neste artigo, se baseia no que ficou conhecido como a Escola de Columbia, dedicada a estudar a influência do contexto e do status socioeconômico na definição do voto (Lazarsfeld, Berelson e Gaudet, 1944).
Uma parte da literatura desconsidera ou rejeita fatores socioeconômicos como preditores de preferências políticas. É o caso de Paiva e Tarouco (2011) , que utilizam dados de 2010 para afirmar que renda não influencia identificação partidária nem voto para deputado federal. Baseados em dados para o mesmo ano eleitoral mas focados na disputa presidencial, Peixoto e Rennó (2011) demonstram que o fator determinante para o voto no PT foi a emergência da classe trabalhadora que se transformou na nova classe média. Dessa maneira, a variável estaria mais ligada a uma avaliação positiva do governo do que ao status socioeconômico. Argumento semelhante é feito por Rennó e Cabello (2010) ao diferenciar o lulismo do petismo. Essa proposição se aproxima daquela feita por Fiorina (1978) e os autores da Escola da Escolha Racional sobre avaliação retrospectiva na política americana, em contraste com a Escola de Columbia.
Há ainda a literatura que, próxima à Escola de Michigan, considera os vínculos psicológicos entre parte do eleitorado e partidos políticos. Ainda que possam existir semelhanças com as demais escolas da política comportamental, como na relevância da avaliação retrospectiva ( Samuels e Zucco, 2014 ) ou na mobilização de organizações da sociedade civil (Samuels e Zucco, 2015), essa linha se diferencia consideravelmente das demais ao se apoiar no afeto pelo partido como identificação social por si só (Samuels e Zucco, 2018). Na literatura americana, Iyengar, Sood e Lelkes (2012) propõem que o partidarismo se transformou na principal identidade da população, acima de outras características sociodemográficas. Para o caso brasileiro, a relevância dessa identificação é apontada por Ribeiro, Carreirão e Borba (2011) para o PT e o PSDB, ainda que Samuels e Zucco (2018) argumentem que esse é o caso apenas do petismo ou de sua rejeição – fenômeno verificado também por outros autores (Paiva, Krause e Lameirão, 2016; Ribeiro, Carreirão e Borba, 2016).
Mesmo que essa seja uma possibilidade, há vasta literatura que sugere que esse vínculo com partidos e seus candidatos se dá a partir das discussões políticas dentro de redes sociais e vizinhanças (Ames, García-Sánchez e Smith, 2012; Ames e Smith, 2010 ; Baker, Ames e Rennó, 2006; Baker et al., 2015 ). Esse tipo de discussão, mediado pela similaridade socioeconômica desses contextos, transmitiria conteúdo com maior relevância e credibilidade que os partidos, consolidando, assim, as preferências do eleitorado. Nesse sentido, a composição das redes sociais deveria ser refletida na identificação partidária e no voto, assim como proposto originalmente por Lazarsfeld, Berelson e Gaudet (1944) para o contexto americano.
Nesta “Introdução”, reúno artigos sobre escolha eleitoral e identidade partidária como se ambos fossem o mesmo. Essa estratégia se parece com aquela adotada por Samuels e Zucco (2014) e Baker et al. (2015) ao discutirem petismo e lulismo. Nesses trabalhos, apesar da linguagem voltada para o partidarismo, os autores tratam de cenários eleitorais. A estratégia é compreensível dados o baixo nível de identificação (ou até mesmo diferenciação) partidária no Brasil (Paiva, Braga e Pimentel, 2007) e a alta volatilidade das preferências em cada pleito eleitoral (Baker, Ames e Rennó, 2006). Indo além, ambas as variáveis (voto e identificação) tendem a uma alta correlação ( Braga e Pimentel, 2011 ; Carreirão e Kinzo, 2004 ; Speck e Balbachevsky, 2016 ). Assim sendo, neste artigo eu integro ambas as literaturas e confirmo, a partir da análise de dados, que os preditores da identificação partidária também funcionam para a escolha do voto.
Esta seção também destaca a pluralidade nas explicações dadas pela literatura no tocante à identificação partidária e ao voto. É verdade que, até certo ponto, as variáveis de interesse mudam de acordo com o ano eleitoral. No entanto, há proposições suficientes para argumentar que variáveis socioeconômicas, avaliação do governo e afeto têm papel relevante na definição das preferências do eleitorado brasileiro. Dessa maneira, há tendências que reforçam a validade das teorias aplicadas no contexto americano para descrever a política brasileira. Aqui, como já mencionado, aplico um conceito complementar ao pleito de 2018: a ordenação social. Ainda que este talvez possa ser utilizado em cenários anteriores, o debate entre bolsonaristas e petistas propicia o contexto ideal para testar a existência desse fenômeno americano no Brasil.
As demais partes deste artigo estão distribuídas da seguinte maneira. Primeiro, em “Preferência política e ordenação social”, reviso a literatura existente sobre ordenação social e seu impacto nas preferências do eleitorado. Com base nela e em evidências sobre a utilização das identidades sociais nas eleições de 2018, apresento as hipóteses testadas neste artigo. Na seção seguinte, apresento minha “Estratégia empírica”. Ela se dá com base na análise econométrica de dados de survey coletados após as eleições de 2018. Na sequência, apresento os “Resultados” das regressões logísticas multinomiais e binomiais. O artigo segue com a “Discussão” dos resultados, seção que também compreende a conclusão, que aponta as implicações deste artigo.
Preferência política e ordenação social
O livro publicado por Green, Palmquist, e Schickler (2004) no início deste século pode não ser inovador ao propor que identificação partidária nos Estados Unidos é questão de identidade e não de opinião. No entanto, a obra merece reconhecimento pela forma convincente com que integra explicações teóricas e empíricas sobre os mecanismos que ligam partido a identidade. Segundo os autores, indivíduos percebem sua identidade associada a determinados grupos e se reconhecem como tais – seguindo teorias de identificação social ( Tajfel, 1974 ) –, aprendem quais grupos estão alinhados com cada partido e passam a se identificar com o partido que melhor se alinha com suas identidades sociais primárias. Uma vez que identidades sociais tendem a perdurar no longo prazo e partidos têm incentivos racionais para manter posições claras e relativamente estáveis ( Downs, 1957 ), a identificação com o partido se consolida como uma das identidades sociais do eleitor (Green, Palmquist e Schickler, 2004).
Esse fenômeno é conceitualizado por Mason (2016 , p. 352) como ordenação social (do inglês, social sorting ), que se dá “quando identidades religiosa, racial e de outros movimentos políticos crescem cada vez mais integradas a um ou outro partido” 2. Diversos artigos demonstram que a consequência disso é que o partidarismo se transformou na identidade social mais forte dos Estados Unidos ( Iyengar e Krupenkin, 2018 ; Iyengar, Sood e Lelkes, 2012; Mason, 2018 ). Esse alinhamento acaba determinando até mesmo como indivíduos selecionam seus relacionamentos, havendo maior favorabilidade para pares que compartilham da mesma identidade partidária, educacional e racial ( Huber e Malhotra, 2016 ).
Isolados em tribos, o relacionamento entre grupos identitários antagônicos estimula uma animosidade capaz de aumentar ainda mais a distância entre os partidos e seus eleitores ( Mason, 2016 ), especialmente entre os que possuem maior conhecimento sobre política ( Lelkes, 2018 ). Nesse isolamento, a formação de estereótipos acaba sendo perigosa, já que pode se basear em informações falsas ( Ahler e Sood, 2018 ; Goggin, Henderson e Theodoridis, no prelo). Por exemplo, os americanos pensam que 32% dos democratas são LGBT+ e que 38% dos republicanos têm alta renda. Os números dos fatos são, respectivamente, 6% e 2%. Essa falsa percepção aumenta ainda mais a distância entre os partidos e o isolamento de seus eleitores ( Ahler e Sood, 2018 ).
Ainda no contexto americano, Mason e Wronski (2018) e Mason (2018) apontam que essa ordenação social é ainda mais clara entre os que se identificam com o Partido Republicano, dada a homogeneidade de seus filiados. Nesse caso, o estereótipo-padrão do eleitor de direita é ser branco, protestante e de ideologia conservadora – uma variável que, de certa forma, é endógena à identificação republicana. Dadas as referências constantes do agora presidente Jair Bolsonaro ao seu par americano, Donald Trump, e o apelo retórico semelhante ao da campanha republicana nos Estados Unidos, a primeira hipótese deste artigo se alinha ao resultado obtido nos trabalhos supracitados. Proponho que:
Hipótese 1 (H 1): A influência da ordenação social é mais relevante para prever o alinhamento com o partido de Bolsonaro do que com os demais partidos brasileiros.
Mas quais seriam as identidades sociais que fomentam a divisão entre petistas e bolsonaristas? Uma opção é considerar aquelas que influenciam a política americana: gênero, raça e religião 3. Começando pela última, Hunter e Power (2019) argumentam que, durante sua campanha, Jair Bolsonaro dedicou esforços para atrair o eleitorado pentecostal (um braço do protestantismo cristão). Ainda que Bolsonaro seja católico, sua esposa frequenta a Igreja Batista (protestante não pentecostal) e ele próprio foi batizado em 2016 no rio Jordão por um pastor da Assembleia de Deus (protestante pentecostal) ( Hunter e Power, 2019 ).
Mesmo que essa aproximação religiosa possa ter ocorrido por uma questão de fé, os laços entre política e religião no Brasil não são novos. A literatura já documentou tanto o engajamento de líderes religiosos na orientação do voto dentro de suas comunidades de fé ( Smith, 2016 , 2017 , 2019 ) como a tendência do fiel em acolher as sugestões políticas dadas em suas congregações ( Rodrigues e Fuks, 2015 ). Quadros e Madeira (2018) expandem a discussão para a evolução dos discursos evangélicos nas esferas de poder, tomando como exemplo a Frente Parlamentar Evangélica, que, depois das eleições de 2014, passou a contar com 74 deputados. Ainda que os autores tenham dificuldade de uniformizar ideologicamente os políticos que participam desse movimento, o argumento central é que a maior parte das principais lideranças está alinhada, assim como Jair Bolsonaro, às “categorias conservadoras” ( Quadros e Madeira, 2018 , p. 496). Nesse sentido, a expectativa é que:
Hipótese 2 (H 2): O indivíduo que se identifica como protestante tende a estar mais alinhado ao partido de Bolsonaro que aos demais partidos ou a nenhum partido.
Em relação à raça, a campanha de Bolsonaro tomou posicionamentos contrários às políticas afirmativas criadas ou expandidas durante o governo petista, como a política de cotas raciais nas universidades públicas ( Silva e Larkins, 2019 ). Além disso, o atual presidente atacou populações quilombolas ( Vinhal, 2018 ) e indígenas ( Resende, 2018 ). Silva e Larkins (2019) afirmam a existência de um racismo sistemático na retórica bolsonarista. Meu argumento não vai tão longe. Sem entrar no mérito da linha tênue que divide racismo e preferências por políticas públicas (para esse debate há, por exemplo, Kuklinski et al., 1997 ), o uso político de temáticas raciais pode ter alinhado o eleitorado branco ao discurso bolsonarista, enquanto as demais etnias (por exemplo, negros, pardos e indígenas) se aproximaram do petismo.
Essa proposição vai na contramão do achado de Muniz, Porto e Fuks (2019, p. 15), que concluem que o “fator definidor das atitudes raciais dos brasileiros não é a raça, e sim a classe”. No entanto, enquanto os autores consideraram o contexto de 2008, este artigo foca na eleição de 2018, em que a temática foi potencialmente mais explorada durante as campanhas presidenciais. Coerente com essa narrativa, a expectativa é que:
Hipótese 3 (H 3): O indivíduo que se identifica como branco tende a estar mais alinhado ao partido de Bolsonaro que aos demais partidos ou a nenhum partido.
Finalmente, há a questão de gênero. O recente artigo de Carniel, Ruggi e Ruggi (2018) se utiliza de uma amostra de conveniência de 69 memes contrários à petista Dilma Rousseff para salientar um possível alinhamento sexista como mecanismo de oposição ao seu governo e defesa do impeachment . A própria discordância no uso do termo presidente e presidenta , como apontam Krook e Sanín (2020) , já demonstra uma polarização em torno da temática de gênero desde a primeira eleição de Dilma em 2010.
É verdade que o Partido dos Trabalhadores, ou até mesmo a esquerda, não detém a exclusividade das campanhas presidenciais femininas no Brasil. Marina Silva, outrora filiada ao PT e atualmente vinculada à Rede, e Roseana Sarney, notadamente de direita e filiada ao PMDB (hoje MDB), já disputaram a presidência por outros partidos. Além disso, áudios do ex-presidente Lula com comentários agressivos às mulheres foram divulgados pela imprensa brasileira em 2016 ( Extra , 2016). No entanto, como propõe Almeida (2019 , p. 205), há, ao menos na literatura, a crença de que “críticas ao machismo (...) pouco sensibilizavam o eleitor de Bolsonaro”. A expectativa aqui é que:
Hipótese 4 (H 4): O indivíduo que se identifica como homem tende a estar mais alinhado ao partido de Bolsonaro que aos demais partidos ao a nenhum partido.
Até aqui, todas as hipóteses foram pautadas pela diferenciação que o eleitor bolsonarista faz em relação aos partidos políticos. O que está subentendido nessas hipóteses é que, como rival maior, o petismo deve estar representado pela ordenação social inversa. Isto é, se o eleitor e partidário médio do bolsonarismo é protestante, branco e homem, o do petismo deveria ser não protestante, não branco e não homem – em que a categorização dicotômica de cada identidade permite uma variedade de subidentidades (por exemplo, pardo, negro, indígena etc., no caso de não branco).
Finalmente, argumentei na “Introdução” que os resultados encontrados para identificação partidária também deveriam ser válidos para a determinação do voto, dada a alta correlação entre ambos encontrada na literatura. Nesse sentido, a última hipótese deste artigo versa exatamente sobre essa expectativa:
Hipótese 5 (H 5): A influência da ordenação social acontece de maneira semelhante sobre a identificação partidária e a determinação do voto.
Estratégia empírica
Entre 29 de janeiro e 3 de março de 2019, o Latin American Public Opinion Project ( Lapop, 2019 ) conduziu um survey de opinião com uma amostra nacionalmente representativa de 1.498 brasileiros. As entrevistas, realizadas face a face, foram coletadas logo após à posse do presidente Jair Bolsonaro. Nesse momento, este se apresentava alinhado com o Partido Social Liberal (PSL). Ainda que, no momento em que este artigo foi escrito, a relação entre o presidente e o PSL não fosse a mesma que fora no início do mandato, este estudo trata o PSL como o partido de Bolsonaro.
Há outros dois pontos que devem ser salientados antes de irmos aos dados. Em primeiro lugar, respostas dadas em surveys sobre o voto em eleições recentes não significam que o respondente realmente votou no partido ou no candidato indicado. Há diversos fatores psicológicos que podem aumentar a imprecisão, indo desde enviesamento causado pelos resultados ou pela satisfação atual com os atores políticos até esquecimento. Nesse sentido, os dados não representam com fidelidade o voto exato de cada respondente. Em segundo lugar, as respostas sobre identificação partidária variam de acordo com a pergunta realizada ( Baker e Rennó, 2019 ) e não necessariamente representam a parcela da população que é oficialmente filiada a um partido político no Brasil. Para deixar claro, filiação e identificação não são sinônimos e, como os dados demonstram, não há por que serem tratados como equivalentes.
Utilizo sempre a coleta de dados mais próxima do mês eleitoral de cada ano.
Em relação à última afirmativa, consideremos os dados plotados na Figura 1 . Analisando as informações disponibilizadas pelo Tribunal Superior Eleitoral (TSE), é possível perceber que a parcela do eleitorado filiada ao PSDB, ao PT e ao PSL 4 é mínima, ainda que tenha havido um crescimento significativo da aderência ao petismo – ultrapassando o PSDB em 2010. Além disso, a filiação ao PSL é mínima perto desses outros partidos. Afinal, o atual presidente decidiu integrar essa agremiação já no final da janela partidária de 2017/2018. Assim sendo, esses números pouco refletem o impacto do bolsonarismo.

Finalmente, esses dados diferem muito daqueles obtidos pelo Lapop ao questionar os brasileiros: “com qual partido o(a) sr./sra. simpatiza?”, os quais são demonstrados na Tabela 1 . Em 2018, enquanto 1,1% dos eleitores estavam filiados ao PT, 8,4% afirmavam simpatizar com ele. No caso do PSDB, com maior similaridade entre voto e identificação, filiação representa 0,9% do eleitorado comparado com 1,4% da amostra. A maior discrepância está no caso do PSL: 0,2% dos eleitores do país estavam filiados ao partido, enquanto 3,7% simpatizavam com o partido de Bolsonaro. Como afirmado anteriormente, cada uma dessas variáveis representa um fenômeno diferente. Neste artigo, trabalho com dados de identificação, não de filiação.

As proporções para a determinação de voto na eleição presidencial de 2018 também diferem dos dados para identificação partidária. O primeiro fator que chama a atenção é a proporção dos eleitores que selecionaram PT, PSL ou PSDB. Enquanto apenas 13,5% dos respondentes afirmaram identificar-se com um desses três partidos, 53,4% recordaram que votaram em um deles no primeiro turno da eleição presidencial de 2018. Assim, como esperado, ainda que os dados do TSE sejam consideravelmente inferiores aos do Lapop para identificação partidária, esta continua pequena se comparada à determinação do voto.
Para fins comparativos e tendo em consideração a H 5, levo em conta ambas as variáveis nos testes econométricos deste artigo. Além dessa divisão, os testes se subdividem ainda em dois grupos. Em primeiro lugar, considero regressões logísticas multinomiais, em que essas variáveis são tratadas como variáveis dependentes categóricas, e a categoria “Nenhum” é utilizada como base. Assim, as regressões identificarão o que faz um eleitor selecionar um dos demais grupos (PSDB, PT, PSL ou outro) tanto para seu voto como para sua identificação. Em segundo lugar, foco na disputa central desse pleito: petismo contra bolsonarismo. Para tal, considero apenas os eleitores que votaram em um desses partidos ou se identificaram com um deles e utilizo essas observações em regressões logísticas binomiais. Nestas, a variável dependente é codificada como 1 para PSL e 0 para PT. Os coeficientes demonstrarão o que faz um eleitor escolher o partido de Bolsonaro e não o de Lula.
As variáveis independentes selecionadas refletem as hipóteses deste artigo. Para testar a H 2, utilizo a seguinte pergunta: “Qual sua religião, se tiver?”. Nesta, categorizo como protestante aquele que responde “Protestante Tradicional ou Evangélica não pentecostal” e “Evangélica pentecostal”. Em uma variável binária, essas respostas são classificadas como 1 e todas as demais como 0. A expectativa é que o coeficiente dessa variável seja positivo e estatisticamente significante para o PSL.
Para a H 3, levo em conta a pergunta: “O(A) sr./sra. se considera uma pessoa branca, negra, parda, indígena ou amarela?”. Como no item anterior, gero uma variável binária em que brancos são codificados como 1 e os demais como 0. Mais uma vez, a expectativa é que seu coeficiente seja positivo e significante para o PSL.
A H 4 é testada por meio de uma proxy . Enquanto a hipótese trata da identidade de gênero, a única variável disponível é uma em que o entrevistador anota, sem perguntar ao entrevistado, se este é homem ou mulher. Nesse caso, é possível e provável que parte relevante do resultado esteja sendo perdido. De qualquer maneira, a variável binária em que 1 é homem e 0 é mulher deve resultar em um coeficiente positivo e significante para o PSL.
Por fim, a primeira hipótese será confirmada se essa ordenação social for encontrada de maneira mais clara para o PSL do que para os demais partidos, como o PT. A última hipótese é confirmada se os mesmos resultados forem encontrados tanto para a variável dependente de determinação de voto como para a que trata de identificação partidária.
Os modelos incluem uma variável-controle para nível educacional. Esta é utilizada como uma aproximação para renda ou classe social a fim de representar os resultados já encontrados na literatura, como revisado anteriormente. A variável é codificada com base na pergunta: “Qual foi o último ano ou série da escola que o(a) sr./sra. concluiu com aprovação?”. As respostas seguem uma escala de 0 a 17, representando os anos de estudo (nenhum até sexto ano da universidade ou mais). A expectativa é que os menos escolarizados estarão mais alinhados ao PT enquanto os mais escolarizados, representando a elite do país, estarão mais próximos ao PSL – nesse caso, com um coeficiente positivo e significante 5.
Resultados
Os resultados da regressão logística multinomial que têm por variável categórica dependente a identificação com nenhum partido, o PT, o PSL, o PSDB ou outro são apresentados na Tabela 2 . Como a categoria-base é a não identificação com partidos, os coeficientes demonstram a propensão a se identificar com os partidos nomeados em cada coluna em relação a nenhuma identificação. O poder preditivo desse modelo é estatisticamente válido, ainda que pequeno. Ele possui um pseudo-R 2 de 0,021 e uma leve melhora no log likelihood (verossimilhança logística) se comparado ao modelo-base com apenas a constante. Indo além, a constante negativa e estatisticamente significante em todas as colunas expressa a tendência à não identificação com os partidos políticos no eleitorado de forma geral.

O primeiro resultado interessante está na coluna referente ao PT. Pelo menos na identificação partidária, não há evidência de ordenação social. A única variável cujo coeficiente é estatisticamente significante (e negativo) é o controle para anos de escolaridade. Dessa maneira, confirmo os resultados obtidos, por exemplo, por Veiga (2007) e Samuels (2004) no início dos anos 2000. Isso indica que classe social baixa continua sendo um fator importante na determinação da identificação com o PT.
Identificação com o PSDB, por sua vez, não é influenciada por classe, como parte da literatura sugeriu acontecer nos 20 anos em que este polarizou com o PT em eleições presidenciais. A única característica que prevê identificação com significância de 0,05 é a cor branca. Ainda que possa ser argumentado que raça esteja alinhada com o status de elite ou classe social, o controle para escolaridade demonstra que há, sim, um poder preditivo em raça que é independente de classe. Finalmente, antes de analisar os dados para o PSL, a identificação com outro partido não é prevista pelas variáveis selecionadas, provavelmente por conta da variedade de partidos aglomerados nessa categoria.
Agora, partindo para os resultados sobre a identificação com o PSL, todas as variáveis independentes tiveram seus coeficientes positivos e estatisticamente significantes ao nível de 0,05. Nesse sentido, há confirmação de todas as hipóteses de ordenação social, partindo já do maior impacto desse fenômeno no público bolsonarista que nos demais (H 1). O principal preditor do alinhamento ao PSL foi a identificação religiosa, com um coeficiente de 1,232, encontrando suporte para a H 2.
Em sequência, há a confirmação para a influência de raça na identificação com o bolsonarismo, sendo os brancos os mais propensos para esse alinhamento (H 3). Assim, o eleitor branco médio tende a se dividir entre o PSL e o PSDB. A outra categoria testada, sexo, também tem poder preditivo: homens são mais propensos a se identificar com o PSL do que com nenhum partido (H 4).
Finalmente, nível de escolaridade também influencia: quanto mais anos estudados, maior a probabilidade de que um eleitor se identifique com o partido de Bolsonaro, contrastando diretamente com a identificação ao PT. Nesse caso, verifica-se que a clivagem de classe passou a centrar-se na disputa entre PT e PSL, em vez da dicotomia tradicional PT-PSDB.
O segundo modelo, apresentado na Tabela 3 , tem como variável categórica dependente a determinação do voto na eleição presidencial de 2018. Os ajustes do modelo são semelhantes aos do modelo apresentado na Tabela 2 , com um pseudo-R 2 de 0,028. Os coeficientes apresentam algumas tendências interessantes. Começando pelo PSDB, nenhum coeficiente é significante a níveis convencionais. No voto para outros candidatos, da direita à esquerda, ser protestante diminui a propensão e ser branco a aumenta. Os resultados mistos se dão, potencialmente, pela mescla de candidatos agrupados nessa categoria.

Analisando o caso do PT, a variável de controle deixa de ser significante. Ou seja, enquanto classe funciona para prever identificação com o partido de Lula, a mesma variável não é uma boa preditora do voto em Fernando Haddad. Por outro lado, religião e raça são estatisticamente significantes no nível de 0,05. Protestantes e brancos tendem a não votar no PT. Ou, analisando pelo inverso, católicos, ateus, espíritas e eleitores de outras crenças, além de negros, pardos, indígenas e demais etnias, tendem a preferir votar no PT a votar em nenhum partido, demonstrando-se, assim, que há certo alinhamento da ordenação social também para esse partido de esquerda.
No entanto, os resultados mais alinhados estão na coluna do PSL (H 1), onde todas as variáveis têm coeficientes positivos e estatisticamente significantes. Ou seja, ceteris paribus , ser protestante (H 2), branco (H 3), homem (H 4) e de classe mais alta (medido a partir da escolaridade) aumenta a propensão da escolha pelo PSL em relação à escolha por nenhum candidato.
Os últimos modelos deste artigo são apresentados na Tabela 4 . Aqui, considero a dicotomia PT-PSL para determinação do voto e identificação partidária. Assim, o número de observações fica restrito, respectivamente, aos que votaram no PT ou no PSL (N=780) e aos que se identificam com o PT ou o PSL (N=178). Esses modelos demonstram mais claramente se há realmente uma ordenação social nas preferências entre esses dois partidos. As estatísticas dos modelos já dão uma pista inicial dos resultados. O pseudo-R 2 da determinação do voto sobe para 0,078 e o da identificação partidária chega a 0,175 – valores consideravelmente altos. O mesmo ocorre com a melhoria na estatística de verossimilhança que compara o modelo com apenas a constante ao modelo completo.

Em ambos os modelos, praticamente todos os coeficientes são positivos e estatisticamente significantes ao nível de 0,05. A única variável que não passa no teste de significância é gênero no modelo de identificação partidária, reduzindo, assim, o suporte encontrado para a quarta hipótese. No entanto, além de seguir a expectativa no modelo de voto, essa variável também tem boa performance nos modelos anteriores. De forma resumida, a ordenação com o PSL em relação ao PT tende a se dar por conta da afiliação ao credo protestante (H 2), à raça branca (H 3), ao gênero masculino (com ressalvas) (H 4) e às classes sociais mais altas (identificadas por meio do nível de escolaridade). Indo além, e reforçando o que foi visto pela comparação entre as Tabelas 2 e 3, a influência da ordenação social acontece de maneira semelhante sobre a identificação partidária e a determinação do voto (H 5).
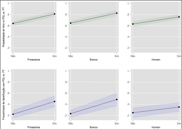
Até aqui, este artigo se restringiu a analisar a direção e a significância dos resultados. Cabe também entender se eles são substantivos. Ou seja: essas características de ordenação social impactam de maneira considerável a determinação do voto e a identificação partidária? Os dados plotados na Figura 2 demonstram a relevância dessas características para prever a preferência pelo PSL em relação ao PT. Em primeiro lugar, consideremos a determinação do voto. A probabilidade do voto no PSL em relação ao PT sobe de 64% para 81% quando consideramos o protestante médio que optou por um desses dois partidos nas eleições presidenciais de 2018 – uma variação proporcional de 26,5%. Essa probabilidade também sobe quando consideramos o branco médio, de 65% para 83%. Finalmente, há uma variação de 63% para 76% se a variável em questão é ser homem.

Em segundo lugar, os números sobre identificação partidária apontam para a mesma direção, ainda que a probabilidade média seja consideravelmente mais baixa. Isso se dá porque o número de partidários do bolsonarismo ainda é pequeno perto do número de petistas. Ser protestante aumenta a probabilidade de se identificar com o PSL em relação ao PT de 22% para 45%. O impacto da raça é semelhante: uma variação de 23% para 49% caso o eleitor seja branco. A variação causada pelo sexo é pequena (25% para 40%) e não significante em níveis convencionais.
Discussão
O objetivo deste artigo é verificar se o fenômeno de ordenação social, presente no contexto partidário americano, também se verifica no cenário da eleição presidencial de 2018 no Brasil. Sua presença garantiria algumas contribuições interessantes para a literatura de ciência política. A primeira delas seria trazer para o Brasil uma discussão que já existe há tempos no meio internacional, como outros autores o fizeram com aspectos das escolas de Columbia, Michigan e Escolha Racional.
A segunda contribuição seria demonstrar que fatores relevantes nas eleições anteriores, como classe social, redes sociais ou avaliação retrospectiva, foram complementados pela ordenação social como divisores de águas da política brasileira. Essa contribuição é relevante tendo em vista o fato de a política identitária ter se tornado o foco das eleições americanas. Verificar a presença desta no Brasil aponta novas tendências de divisão do eleitorado e permite expandir a atual discussão sobre a composição social do país.
A terceira contribuição está em compreender o comportamento do eleitorado brasileiro. Outros autores já analisaram dados de survey da eleição de 2018 e de eleições anteriores a fim de entender os preditores de partidarismo e voto. No entanto, a ordenação social pouco foi discutida – até mesmo porque, talvez, não fosse tão influente no passado como foi nesse último pleito. Assim, identificar esse fenômeno no cenário atual permite adicionar novas variáveis relevantes em nossos modelos e teorias.
Antes de prosseguir, é importante reforçar que a ordenação social não deve ser confundida com o voto identitário de um grupo específico. Não afirmo que o branco (ou qualquer outra identidade racial), o protestante (ou qualquer outra crença) ou o homem (ou qualquer outra identidade de gênero) passou a votar ou se identificar partidariamente de maneira uniforme apenas em 2018. Em primeiro lugar, o alinhamento de identidades únicas, independentes, possivelmente influenciou o voto em eleições anteriores. A questão do voto identitário é constante na literatura. Em segundo, ainda de maneira independente, também influenciou a eleição de 2018. O que a teoria da ordenação social propõe é que essas identidades se agrupam e reforçam uma à outra e, por consequência, geram e também reforçam a própria identidade partidária. Diferente do voto identitário de uma identidade só, há aqui um mecanismo de reforço que gera uma ligação muito mais forte com as próprias identidades e com o partidarismo. Nesse sentido, a outra questão de pesquisa que surge é se essa ordenação também esteve presente nas eleições anteriores.
Resgatando os resultados para o pleito de 2018, os testes econométricos realizados neste artigo permitem confirmar a convergência da política brasileira para o fenômeno de ordenação social, comum no debate científico americano. Em concordância com a hipótese inicial e o que é encontrado nos Estados Unidos, o eleitorado de direita tem maior tendência à ordenação social. Nesse campo, o bolsonarismo é seguido principalmente por protestantes, brancos e homens.
Praticamente todos os testes estatísticos confirmam as hipóteses referentes a essas identidades. O único teste que falhou ao prever preferência pelo bolsonarismo em relação ao petismo foi a questão de gênero na definição de identidade partidária. No entanto, essa variável é positiva e significante em todas as demais regressões – da predição do voto entre PSL e PT ou entre PSL e nenhum partido, e da identificação com o PSL em relação a nenhum partido. Indo além, os resultados são substantivos. Por exemplo, ser protestante aumenta em 26,5% a probabilidade do voto no PSL e não no PT. Assim sendo, é possível concluir com confiança que a ordenação social está presente na política brasileira.
Referências bibliográficas
Achen, C. H. "Let’s put garbage-can regressions and garbage-can probits where they belong". Conflict Management and Peace Science, vol. 22, n° 4, p. 327-339, 2005.
Ahler, D. J.; Sood, G. "The parties in our heads: misperceptions about party composition and their consequences". Journal of Politics, vol. 80, n° 3, p. 964-981, 2018.
Almeida, R. "Bolsonaro presidente: conservadorismo, evangelismo e a crise brasileira". Novos Estudos Cebrap, vol. 38, n° 1, p. 185-213, 2019.
Ames, B.; García-Sánchez, M.; Smith, A. E. "Keeping up with the Souzas: social influence and electoral change in a weak party system, Brazil 2002-2006". Latin American Politics & Society, vol. 54, n° 2, p. 51-78, 2012.
Ames, B.; Smith, A. E. "Knowing left from right: ideological identification in Brazil, 2002-2006". Journal of Politics in Latin America, vol. 2, n° 3, p. 3-38, 2010.
Baker, A.; Ames, B.; Rennó, L. "Social context and campaign volatility in new democracies: networks and neighborhoods in Brazil’s 2002 elections". American Journal of Political Science, vol. 50, n° 2, p. 382-399, 2006.
Baker, A.; Rennó, L. "Nonpartisans as false negatives: the mismeasurement of party identification in public opinion surveys". Journal of Politics, vol. 81, n° 3, p. 906-922, 2019.
Baker, A., et al. "The dynamics of partisan identification when party brands change: the case of the Workers Party in Brazil". Journal of Politics, vol. 78, n° 1, p. 197-213, 2015.
Balbachevsky, E. "Identidade partidária e instituições políticas no Brasil". Lua Nova, vol. 26, p. 133-165, 1992.
Boas, T.; Smith, A. E. "Looks like me, thinks like me: descriptive representation and opinion congruence in Brazil". Latin American Research Review, vol. 54, n° 2, p. 310-328, 2019.
Braga, M. S.; Pimentel, J. "Os partidos brasileiros realmente não importam?". Opinião Pública, vol. 17, n° 2, p. 271-303, 2011.
Carniel, F.; Ruggi, L.; Ruggi, J. O. "Gênero e humor nas redes sociais: a campanha contra Dilma Rousseff no Brasil". Opinião Pública, vol. 24, n° 3, p. 523-546, 2018.
Carreirão, Y.; Kinzo, M. D. "Partidos políticos, preferência partidária e decisão eleitoral no Brasil (1989-2002)". Dados: Revista de Ciências Sociais, vol. 47, n° 1, p. 131-168, 2004.
Downs, A. An economic theory of democracy. New York: Harper & Row, 1957.
Duque, D.; Smith, A. E. "The establishment upside down: a year of change in Brazil". Revista de Ciencia Política, vol. 39, n° 2, p. 165-189, 2019.
Extra. "Lula chama feministas do PT de 'mulheres do grelo duro' e internautas reagem". 17 mar. 2016.
Fiorina, M. P. "Economic retrospective voting in American national elections: a micro-analysis". American Journal of Political Science, vol. 22, n° 2, p. 426-443, 1978.
Freitas, F. C. "O primeiro grande antagonismo entre PSDB e PT". Opinião Pública, vol. 24, n° 3, p. 547-595, 2018.
Goggin, S.; Henderson, J. A.; Theodoridis, A. G. "What goes with red and blue? Mapping partisan and ideological associations in the minds of voters". Political Behavior, p. 1-29, no prelo.
Green, D. P.; Palmquist, B.; Schickler, E. Partisan hearts and minds: political parties and the social identity of voters. New Haven: Yale University Press, 2004.
Holzhacker, D. O.; Balbachevsky, E. "Classe, ideologia e política: uma interpretação dos resultados das eleições de 2002 e 2006". Opinião Pública, vol. 13, n° 2, p. 283-306, 2007.
Huber, G. A.; Malhotra, N. "Political homophily in social relationships: evidence from online dating behavior". Journal of Politics, vol. 79, n° 1, p. 269-283, 2016.
Hunter, W.; Power, T. J. "Bolsonaro and Brazil’s illiberal backlash". Journal of Democracy, vol. 30, n° 1, p. 68-82, 2019.
Iyengar, S.; Krupenkin, M. "The strengthening of partisan affect". Advances in Political Psychology, vol. 39, n° 1, p. 201-218, 2018.
Iyengar, S.; Sood, G.; Lelkes, Y. "Affect, not ideology: a social identity perspective on polarization". Public Opinion Quarterly, vol. 76, n° 3, p. 405-431, 2012.
Kingstone, P.; Power, T. A fourth decade of Brazilian democracy: achievements, challenges, and polarization. In: Kingstone, P.; Power, T. (eds.). Democratic Brazil divided. Pittsburgh: University of Pittsburgh Press, 2017.
Krook, M. L.; Sanín, J. R. "The cost of doing politics? Analyzing violence and harassment against female politicians". Perspectives on Politics, vol. 18, nº 3, p. 740-755, 2020.
Kuklinski, J. H., et al. "Racial prejudice and attitudes toward affirmative action". American Journal of Political Science, vol. 41, n° 2, p. 402-419, 1997.
Lapop. AmericasBarometer 2018/19: Brazil – Technical Information Vanderbilt University, 2019. Disponível em: <https://www.vanderbilt.edu/lapop/Brazil_AmericasBarometer_2018-19_Technical_Report_W_101019.pdf>. Acesso em: 16 dez. 2019.
Lazarsfeld, P. F.; Berelson, B.; Gaudet, H. The people’s choice: how the voter makes up his mind in a presidential campaign. New York: Columbia University Press, 1944.
Lelkes, Y. "Affective polarization and ideological sorting: a reciprocal, albeit weak, relationship". Forum, vol. 16, n° 1, p. 67-79, 2018.
Mason, L. "A cross-cutting calm: how social sorting drives affective polarization". Public Opinion Quarterly, vol. 80, n° S1, p. 351-377, 2016.
Mason, L. "Losing common ground: social sorting and polarization". Forum, vol. 16, n° 1, p. 47-66, 2018.
Mason, L.; Wronski, J. "One tribe to bind them all: how our social group attachments strengthen partisanship". Advances in Political Psychology, vol. 39, n° S1, p. 257-277, 2018.
Muniz, J. O.; Porto, N.; Fuks, M. "Groupness racial e flutuações atitudinais de pardos entre fronteiras simbólicas e sociais". Revista Brasileira de Ciências Sociais, vol. 34, n° 101, p. 1-30, 2019.
Paiva, D.; Braga, M. S.; Pimentel, J. "Eleitorado e partidos políticos no Brasil". Opinião Pública, vol. 13, n° 2, p. 388-408, 2007.
Paiva, D.; Krause, S.; Lameirão, A. P. "O eleitor antipetista: partidarismo e avaliação retrospectiva". Opinião Pública, vol. 22, n° 3, p. 638-674, 2016.
Paiva, D.; Tarouco, G. S. "Voto e identificação partidária: os partidos brasileiros e a preferência dos eleitores". Opinião Pública, vol. 17, n° 2, p. 426-451, 2011.
Peixoto, V.; Rennó, L. "Mobilidade social ascendente e voto: as eleições presidenciais de 2010 no Brasil". Opinião Pública, vol. 17, n° 2, p. 304-332, 2011.
Quadros, M. P. R.; Madeira, R. M. "Fim da direita envergonhada? Atuação da bancada evangélica e da bancada da bala e os caminhos da representação do conservadorismo no Brasil". Opinião Pública, vol. 24, n° 3, p. 486-522, 2018.
Reis, F. W.; Castro, M. M. M. "Regiões, classe e ideologia no processo eleitoral brasileiro". Lua Nova, vol. 26, p. 81-131, 1992.
Rennó, L.; Ames, B. "PT no purgatório: ambivalência eleitoral no primeiro turno das eleições presidenciais de 2010". Opinião Pública, vol. 20, n° 1, p. 1-25, 2014.
Rennó, L.; Cabello, A. "As bases do lulismo: a volta do personalismo, realinhamento ideológico ou não alinhamento?". Revista Brasileira de Ciências Sociais, vol. 25, n° 74, p. 39-60, 2010.
Resende, S. M. "'No que depender de mim, não tem mais demarcação de terra indígena', diz Bolsonaro à TV". Folha de S. Paulo, 11 maio 2018.
Ribeiro, E.; Carreirão, Y.; Borba, J. "Sentimentos partidários e atitudes políticas entre os brasileiros". Opinião Pública, vol. 17, n° 2, p. 333-368, 2011.
Ribeiro, E.; Carreirão, Y.; Borba, J. "Sentimentos partidários e antipetismo: condicionantes e covariantes". Opinião Pública, vol. 22, n° 3, p. 603-637, 2016.
Rodrigues, G. A.; Fuks, M. "Grupos sociais e preferência política: o voto evangélico no Brasil". Revista Brasileira de Ciências Sociais, vol. 30, n° 87, p. 115-128, 2015.
Samuels, D. "As bases do petismo". Opinião Pública, vol. 10, n° 2, p. 221-241, 2004.
Samuels, D.; Zucco, C. "Lulismo, petismo, and the future of Brazilian politics". Journal of Politics in Latin America, vol. 6, n° 3, p. 129-158, 2014.
Samuels, D. "Crafting mass partisanship at the grass roots". British Journal of Political Science, vol. 45, n° 4, p. 755-775, 2015.
Samuels, D. Partisans, antipartisans, and nonpartisans: voting behavior in Brazil. Cambridge: Cambridge University Press, 2018.
Silva, A. J. B.; Larkins, E. R. "The Bolsonaro election, antiblackness, and changing race relations in Brazil". Journal of Latin American and Caribbean Anthropology, vol. 24, nº 4, p. 893-913, 2019.
Singer, A. "Raízes sociais e ideológicas do lulismo". Novos Estudos Cebrap, vol. 95, p. 83-103, 2009.
Smith, A. E. "When clergy are threatened: catholic and protestant leaders and political activism in Brazil". Politics and Religion, vol. 9, n° 3, p. 431-455, 2016.
Smith, A. E. "Democratic talk in church: religion and political socialization in the context of urban inequality". World Development, vol. 99, p. 441-451, 2017.
Smith, A. E. Religion and Brazilian democracy: mobilizing the people of God. Cambridge: Cambridge University Press, 2019.
Speck, B. W.; Balbachevsky, E. "Identificação partidária e voto. As diferenças entre petistas e peessedebistas". Opinião Pública, vol. 22, n° 3, p. 569-602, 2016.
Tajfel, H. "Social identity and intergroup behaviour". Social Science Information, vol. 13, n° 2, p. 65-93, 1974.
Veiga, L. F. "Os partidos brasileiros na perspectiva dos eleitores: mudanças e continuidades na identificação partidária e na avaliação das principais legendas após 2002". Opinião Pública, vol. 13, n° 2, p. 340-365, 2007.
Veiga, L. F. "O partidarismo no Brasil (2002/2010)". Opinião Pública, vol. 17, n° 2, p. 400-425, 2011.
Vinhal, G. "Julgamento marcado no STF". Correio Braziliense, p. 3, 9 nov. 2018.
Notas