Artigos
Quem é mais bem representado? Congruência entre parlamentares e segmentos do eleitorado brasileiro 1
Who is best represented? Congruence between members of the parliament and segments of the Brazilian electorate
¿Quién está mejor representado? Congruencia entre congresistas y segmentos del electorado brasileño
Qui est le mieux représenté? De la congruence entre des parlementaires et des segments de l’électorat brésilien
Quem é mais bem representado? Congruência entre parlamentares e segmentos do eleitorado brasileiro 1
Opinião Pública, vol. 27, núm. 3, pp. 878-922, 2021
Centro de Estudos de Opinião Pública da Universidade Estadual de Campinas
Recepção: 26 Outubro 2020
Aprovação: 14 Outubro 2021
Resumo: Uma linha emergente de investigação aponta que, em muitas democracias, os parlamentares sub-representam certos segmentos. Diante da ainda tímida produção sobre o tema no Brasil, analisamos se o grau de congruência entre preferências de deputados federais e representados varia entre estratos do eleitorado e, se sim, quais são os grupos mais bem representados. Nossa expectativa era que a congruência fosse menor para segmentos socialmente desfavorecidos, os quais dispõem de menos recursos para a participação política e mobilização de representantes. Utilizamos a distância de preferências em pares eleitor-representante (díades), reputada a medida mais adequada para apurar representação coletiva. A análise considera 11 issues no período 2004-2014. Os resultados confirmam a expectativa; notavelmente, a vantagem representativa dos mais escolarizados se revelou superior à dos mais afluentes.
Palavras-chave: representação, desigualdade política, congruência, viés de afluência, viés de escolaridade.
Abstract: An emerging line of research indicates that in many democracies members of the parliament under-represent certain groups. Hoping to expand this research agenda in Brazil, we analyzed whether the degree of congruence between preferences of representatives and voters varies across segments of the populace and, if so, which groups are best represented. Our expectation was that congruence would be smaller for socially disadvantaged groups, which have fewer resources for political participation and for the exercise of other forms of influence. We use the distance of preferences in voter-representative pairs (dyads), considered the most suitable measure for collective representation. Our analysis considers 11 issues in the period 2004-2014. The results confirm the expectation; notably, the representative advantage of the more educated seems to be greater than that of the more affluent.
Keywords: representation, political inequality, congruence, affluence bias, schooling bias.
Resumen: Una línea de investigación emergente señala que, en muchas democracias representativas, ciertos segmentos estarían subrepresentados. Dada la producción aún incipiente sobre el tema en Brasil, analizamos si el grado de congruencia entre las preferencias de los diputados federales y representados varía entre estratos del electorado y, de ser así, qué grupos estarían mejor representados. Nuestra expectativa era que la congruencia sería menor para los segmentos socialmente desfavorecidos, los cuales tienen menos recursos para la participación política y la movilización de representantes. Utilizamos la distancia de preferencias en pares votante-representante (díadas), considerada la medida más adecuada para determinar la representación colectiva. El análisis considera 11 cuestiones en el período 2004-2014. Los resultados confirman la expectativa; notablemente, la ventaja representativa de los más educados resultó ser mayor que la de los más ricos.
Palabras clave: representación, desigualdad política, congruencia, sesgo de participación, sesgo de escolarización.
Résumé: Une ligne de recherche émergente montre que, dans de nombreuses démocracies, des parlementaires sous-répresentent certains segments. Face à une production encore timide sur le thème au Brésil, nous avons analysé si le degré de congruence entre des préférences pour des députés fédéraux et représentés change parmi des strates de l’électorat et, le cas échéant, quels groupes seraient le mieux représentés. Nous nous attendions à une congruence plus faible pour les segments socialement défavorisés, qui disposent de moins de ressources pour la participation politique et la mobilisation de représentants. Nous avons utilisé la distance de préférences dans des paires électeur-représentant (dyades), réputée comme la mesure la plus appropriée pour vérifier la représentation collective. L’analyse porte sur 11 issues au cours de la période 2004-2014. Les résultats confirment l’attente; par ailleurs, l’avantage représentatif des plus scolarisés s’est avéré supérieur à celui des plus affluents.
Mots-clés: représentation, inégalité politique, congruence, biais d’affluence, biais de scolarité.
Introdução
A relação entre eleitores e representantes, assim como a conversão dos interesses dos primeiros em políticas públicas e leis, possui grande relevância para a ciência política. A responsividade do governo às preferências de seus cidadãos configura um dos pilares do sistema democrático ( Dahl, 1998 ). Uma democracia é considerada responsiva quando o arranjo institucional existente gera incentivos para o funcionamento adequado das diferentes etapas do processo de representação (Powell Jr., 2004). Tal premissa, reiterada nos estudos da democracia representativa, contrasta-se com evidências de disparidade na representação. Uma linha emergente de pesquisa, mas ainda restrita, tem mostrado que, em muitas democracias, inclusive nas consolidadas, os parlamentares parecem representar melhor as preferências de determinados segmentos da população, com variações importantes conforme os issues considerados (e.g., Corral González, 2013 ; Lupu e Warner, 2021a).
A análise da desigualdade no processo representativo, no entanto, não constata padrões unificados. Contribuem para isso a vasta extensão do debate teórico-normativo sobre representação ( Pitkin, 1967 ; 2006) e a variedade de unidades de análise, medidas e dados que podem ser considerados no exame desse conceito ( Achen, 1978 ; Weissberg, 1978 ; Wlezien e Soroka, 2007 ; Otero Felipe, 2011 ; Carreirão, 2019 ). Na perspectiva de Lupu e Warner (2021a), essa falta de unicidade conceitual e metodológica tem dificultado a compreensão e a agregação dos resultados das pesquisas, assim como a construção de consensos no que tange às circunstâncias em que ocorre o melhor funcionamento das democracias representativas.
Apesar da relevância do objeto, não são muitas as estimativas sobre o grau de congruência das preferências de eleitores e representantes no Brasil, especialmente no tocante a segmentos específicos do eleitorado. Como Lupu e Warner (2021a) ressaltam, pouquíssimos estudos fora dos Estados Unidos medem representação por issue e estrato populacional. Sobre o contexto brasileiro, os referidos autores enfocam a congruência ideológica por segmento do eleitorado; outras pesquisas contemplam issues diversos e um número relativamente restrito de grupos ( Corral González, 2013 ; Silva, 2018 ; Boas e Smith, 2019 ). Moreira (2019) considerou vários grupos do eleitorado em uma larga janela temporal (2001-2017) e isolou o efeito do pertencimento de grupo do efeito do próprio issue na congruência, possibilitando que temas diversos e mais ou menos polêmicos pudessem ser apreciados em conjunto. Assim como Silva (2018) , Moreira (2019) utilizou a earth mover’s distance (EMD), uma medida de congruência recentemente desenvolvida, porém considerada inferior à melhor alternativa disponível atualmente, como será assinalado adiante. Todas as referências supracitadas encontraram algum grau de congruência diferencial em favor de grupos historicamente privilegiados; todavia, o mosaico de achados que produzem é incompleto: nenhuma delas explorou simultaneamente uma gama mais ampla de grupos da população, issues e momentos do tempo no Brasil se baseando na metodologia atualmente mais indicada.
Nesse contexto, buscando expandir a agenda de estudos de congruência no país, propomos as seguintes questões: o grau de congruência entre preferências de representantes e representados varia nos segmentos do eleitorado? Se sim, quais segmentos são mais bem representados? Em particular, consideramos estratos definidos por renda, escolaridade, sexo4 , raça, idade e religião.
Uma vertente da literatura aborda congruência pela comparação entre preferências dos eleitores e políticas aprovadas (e.g., Monroe, 1998 ; Soroka e Wlezien, 2010 ; Carreirão e Melo, 2014 ). Enquanto provê uma visão finalística de representação, essa perspectiva ignora o processo de discussão e formulação de políticas, em que o estudo detalhado do problema social a enfrentar e a construção de bases de apoio podem fazer subótimo o encaminhamento sugerido pela preferência popular. Metodologicamente, dimensionar o grau de congruência com fundamento em planos ou realizações orçamentárias é exercício pouco trivial, que requer longas séries temporais para determinar se a mudança nas preferências dos cidadãos precede a mudança de política, e se causa a última. Outrossim, o que caracteriza aderência às preferências do eleitorado? Como controlar por situações excepcionais que exigem o foco emergencial em uma ou outra área de política? Essas considerações motivam nossa decisão de trabalhar com congruência atitudinal; além do mais, essa opção se beneficia da disponibilidade de surveys e da possibilidade de comparação com um maior número de estudos anteriores. Apesar de relevante, a congruência atitudinal não informa sobre a proximidade entre a preferência dos eleitores e o que decidem os representantes, e pode ser afetada por respostas não “sinceras”. Nesse sentido, reconhecemos também ser imperfeita como estratégia para avaliar a qualidade do sistema democrático5 .
Testamos duas hipóteses, uma geral e outra específica: H1 – A congruência entre preferências do conjunto de parlamentares e do eleitorado é sensível às características socioeconômicas, demográficas e de afiliação religiosa dos eleitores; e H2 – A distância entre as predileções do coletivo de parlamentares e segmentos do eleitorado é maior para grupos populacionais socialmente desfavorecidos, os quais dispõem de menos recursos para a participação política e para exercer outras formas de influência sobre representantes, nomeadamente, estratos de baixa renda e baixa escolaridade, mulheres, negros (i.e. pretos ou pardos), jovens e idosos6 .
Para exame das hipóteses, utilizamos a abordagem aplicada por Lupu e Warner (2021a). Esses autores construíram díades – combinações de respostas de pares compostos por um eleitor e um legislador – para investigar se os parlamentos espelham mais proximamente as preferências ideológicas de cidadãos afluentes. Eles encontraram evidência consistente de que esse seja o caso, numa amostra de 52 países ao redor do mundo. Assim como fizemos neste artigo, a análise deles é sobre representação coletiva ( Weissberg, 1978 ), pois atenta não à afinidade de preferências entre representantes e eleitores dos respectivos distritos (foco conhecido como representação diádica7 ), mas à de setores da sociedade e do parlamento como um todo. Lupu e Warner (2021a) reputam a distância intradiádica como preferencial às outras medidas de congruência atitudinal para representação coletiva – superior inclusive à EMD, uma medida proposta por eles próprios há poucos anos (Lupu, Selios e Warner, 2017) e que representou um avanço importante em relação aos indicadores agregados de congruência então disponíveis.
Nossa análise considera todos os 11 issues para os quais encontramos itens com redação compatível e de igual escala em surveys de opinião pública e de elite no Brasil. Os issues abarcam temas de costumes, meio ambiente, políticas sociais, papel do Estado na economia e autoposicionamento ideológico. Dessa maneira, compusemos 1,4 milhão de díades, a partir de respostas de deputados federais ao Projeto Elite Parlamentar Latinoamericana (Pela, 2004, 2010, 2014) e de cidadãos ao AmericasBarometer (Lapop, 2008, 2010, 2012, 2014) e LatinoBarómetro (2004, 2007, 2008 e 2009). Ao todo, temos 4,4 milhões de observações para a variável dependente, que corresponde à distância absoluta entre a resposta de um representante e a de um representado em um dado issue . Reproduzindo a estratégia analítica de Lupu e Warner (2021a), estimamos modelos de regressão com interceptos aleatórios por respondente (da elite e da opinião pública), tendo como variáveis independentes dummies que identificam segmentos populacionais.
Em geral, os resultados são consistentes com H1 e com a maior parte de H2. A congruência varia entre segmentos do eleitorado, e essa variação ocorre em prejuízo da representação de grupos de menor renda, de menor escolaridade e dos negros. Todavia, alguns achados surpreenderam. Não encontramos indícios consistentes de congruência diferencial por sexo. Em uma variedade de issues , a congruência se mostrou mais elevada entre os mais jovens (até 25 anos). E a vantagem representativa nos estratos de maior renda ( affluence bias ) se revelou menos saliente que nos mais escolarizados ( schooling bias ).
O restante deste artigo está organizado como segue. A próxima seção se debruça sobre potenciais mecanismos geradores de congruência diferencial nos estratos populacionais, tanto da perspectiva da representação descritiva, como da substantiva. Em seguida, reportamos o estado da arte dos estudos sobre congruência diferencial no Brasil, esmiuçando as medidas de congruência adotadas e os achados do (ainda reduzido) corpo de estudos dedicados à temática. Tal exercício localiza este artigo na literatura com a qual dialoga e oferece substrato para as hipóteses (H1 e H2). A seção subsequente explica o recorte amostral ( issues e surveys considerados), bem como a segmentação aplicada ao eleitorado. Então, são apresentadas as distribuições das respostas aos issues selecionados, acompanhadas de gráficos que sintetizam a posição média de deputados e eleitores em cada issue e estrato populacional. Na sequência, tem-se o teste formal das hipóteses, sucedido pelas considerações finais.
Fontes de congruência diferencial nos segmentos do eleitorado
As condições socioeconômicas e os atributos do sistema político-eleitoral brasileiro não favorecem congruência, especialmente entre as posições de legisladores e das camadas menos favorecidas da população, salientam Boas e Smith (2019) . Segundo esses autores, as três fontes de congruência – autosseleção, interesse material e socialização – não encontram oportunidades de materialização em larga escala no país.
A autosseleção ocorre quando cidadãos comuns ou políticos com determinadas atitudes preexistentes encontram uma oportunidade de se juntar a um grupo (e.g., um eleitor mudando de município motivado por afinidade com o programa de governo do local). Interesse material diz respeito a benefícios que alcançam todos os membros de um grupo, de sorte que o pertencimento identitário gera congruência (e.g., representantes e representados de uma região apoiando ações de investimento público ali). Já a socialização promove a aproximação das opiniões por influência mútua entre membros e líderes de um grupo (e.g., uma ambientalista que se filia a um partido em função de seu programa ambiental, mas passa, a partir das interações com correligionários e líderes da legenda, a abraçar a visão do partido em outras áreas de política).
Para Boas e Smith (2019) , nem o sistema partidário, nem o sistema eleitoral fomentam congruência no Brasil. No primeiro, a baixa identificação partidária enfraquece o mecanismo da autosseleção; a falta de bases com clivagens bem definidas compromete o interesse material; e a pouca capacidade de organização e formação de laços com a base redunda em parcas oportunidades de socialização e de adoção de uma visão compartilhada de mundo. Quanto ao sistema eleitoral, a representação proporcional em distritos de vasta extensão embaraça a autosseleção, a existência de interesses compartilhados e a socialização efetiva.
Nesse cenário, a representação descritiva, a qual se baliza na correspondência das características dos legisladores, em nível individual, em relação às dos eleitores ( Pitkin, 1967 ), pode ser uma base alternativa para o alinhamento de opiniões entre elite política e eleitorado, especialmente para os grupos sub-representados, asseveram Boas e Smith (2019) . Os autores examinam congruência em quatro desses grupos: pessoas de baixa escolaridade ( proxy para classe social), mulheres, negros e evangélicos8 . Autosseleção em razão de atitudes políticas seria pouco provável nas categorias de classe, gênero e raça. Da mesma forma, socialização em grupos tão amplos, dispersos e internamente diversos seria incomum. No entanto, o interesse material poderia estimular congruência – e.g., em issues relacionados à redistribuição, às ações afirmativas e ao combate a discriminações. Em contraste, além de interesse material (e.g., em termos de privilégios para igrejas), os evangélicos também dispõem de possibilidade substantiva de autosseleção (via conversão, ainda que ensejada por razões inicialmente não políticas) e de socialização, especialmente em issues frequentemente endereçados nos sermões, como homossexualidade e aborto.
De fato, há evidência de que atitudes e comportamento legislativo sejam sensíveis às características individuais do representante. Num estudo de candidatos a parlamentar na Austrália e em 11 países europeus, Espírito-Santo, Freire e Serra-Silva (2020) identificaram que, independentemente do partido, mulheres se posicionam de forma distinta dos homens, sobretudo em matérias diretamente afeitas a mulheres (em específico, ações afirmativas de gênero no mercado de trabalho e liberdade da mulher para decidir sobre aborto). Porém, as autoras detectaram preferências distintas entre homens e mulheres somente em temas nos quais os partidos não tinham posição cristalizada. A partir de dois experimentos de campo, Driscoll et al. (2018) observaram que deputados estaduais e federais recém-eleitos e socioeconomicamente privilegiados (em termos de suas ocupações) são menos responsivos a e-mails de cidadãos desfavorecidos (nos experimentos, estes eram personagens fictícios, com nomes de maior incidência nas camadas socioeconômicas mais baixas). Esse padrão não ocorreu no período pré-eleitoral, em que seria estratégico responder a questões enviadas por um espectro mais amplo de segmentos sociais.
Contudo, quando se considera a representação coletiva, o alcance da representação descritiva é tão promissor quanto a participação do segmento na composição do parlamento. Microdados do Tribunal Superior Eleitoral (TSE) não contêm informação sobre a renda do candidato, mas relatam a ocupação deste. A ocupação prévia de cerca de metade dos deputados eleitos em 2018 é ser deputado. As outras ocupações mais frequentes são empresário (9,9%) e advogado (7,6%); o percentual de eleitos que informa ser empresário é maior a cada resultado eleitoral desde 1998 ( Caesar, 2018 ). A composição da Câmara dos Deputados vastamente sobrerrepresenta os mais escolarizados; nas eleições de 1998 a 2018, 75% a 81% dos deputados eleitos possuíam ensino superior ( Caesar, 2018 ), enquanto, na população de 25 a 34 anos, esse percentual era de 21% ( OECD, 2019 ; dados de 2018). O percentual de deputadas eleitas manteve-se entre 8% e 9% nos pleitos de 2002, 2006 e 2010 (Miguel, Marques e Machado, 2015); em 2014, chegou a 10%, saltando para 15% em 2018 ( Caesar, 2018 ), nível ainda pífio para a categoria majoritária na população. Foi só a partir das eleições de 2014 que o TSE passou a coletar informação relativa à cor/raça dos candidatos. Naquele ano, 80% dos deputados eleitos se declararam brancos; em 2018, esse número caiu para 70% ( Caesar, 2018 ) – ainda assim, bem acima da média populacional, inferior a 50%. A distribuição etária dos representantes é concentrada nas faixas de maior idade. Na Pela9 , o percentual de respondentes com idade até 40 anos variou de 8% a 11% entre 2004 e 2014. Até a eleição de 2014 (incluindo-a), o percentual de deputados evangélicos não ultrapassou 15% ( Gonçalves e Pedra, 2017 ), enquanto 22,2% da população se identificou como evangélica no Censo Demográfico 2010 ( IBGE, 2012 ).
Fora da representação descritiva, outras formulações sobre congruência consideram influências diversas. Quatro estudos recentes ( Corral González, 2013 ; Silva, 2018 ; Moreira, 2019 ; Lupu e Warner, 2021a) produziram pistas sobre congruência em torno de issues em segmentos do eleitorado brasileiro. Em suas expectativas teóricas, enfatizaram a capacidade de diferentes grupos se fazerem representados, atentando-se principalmente aos recursos financeiros, cognitivos, comunicacionais e de tempo. Esses estudos partem do pressuposto de que a ausência de recursos enfraquece a capacidade de os cidadãos se informarem, compreenderem a política, expressarem suas preferências, organizarem-se e controlarem seus representantes.
Grupos mais bem informados dispõem de maior habilidade para formular demandas e influenciar representantes ( Delli Carpini e Keeter, 1996 ; Adams e Ezrow, 2009 ; Erikson, 2015 ). Pessoas pobres e pessoas de baixa escolaridade têm menor probabilidade de participar da política ( Verba, 2001 ; Schlozman, Verba e Brady, 2012; Gallego, 2015 ; Peters, 2018 ). Ademais, segmentos mais abastados gozam de atenção especial dos parlamentares, em função de sua capacidade de contribuir para campanhas ( Bartels, 2008 ; Gilens, 2012 ; Flavin, 2014 ) e de organizar grupos de interesse ( Klüver e Pickup, 2019 ; Rasmussen e Reher, 2019 ).
Buscando identificar mecanismos que melhor explicam a variação no grau de representação entre países e ao longo dos anos, Lupu e Warner (2021b) aplicam técnicas de aprendizado de máquina ao banco de dados deles próprios. Apreendem representação desigual como dissemelhanças no autoposicionamento ideológico, mensuradas pela diferença entre a EMD de pobres (quintil inferior de afluência) e a EMD de ricos (quintil superior de afluência). Os autores concluem que desenvolvimento econômico (Produto Interno Bruto – PIB ─, Índice de Desenvolvimento Humano – IDH ─, menor desigualdade de renda) e boa governança (indicadores menores de clientelismo e corrupção, maior percentual de parlamentares mulheres) são os fatores que melhor preveem representação desigual, mantendo uma relação negativa com esta. Em contraste, condicionantes relacionados a instituições políticas, grupos de interesse ou comportamento político (e.g., participação eleitoral) não demonstraram a mesma capacidade explicativa.
Ainda, outro motivo potencial para a falta de congruência entre parlamentares e setores menos afluentes da sociedade é que pobres e ricos baseariam seu comportamento eleitoral em áreas temáticas distintas: os primeiros seriam mais sensíveis a temas culturais e de costumes, enquanto os segundos, aos assuntos econômicos ( Gilens, 2012 ; Calvo e Murillo, 2019 ). Nessas várias perspectivas, as desigualdades socioeconômicas entre segmentos do eleitorado seriam traduzidas em graus variados de congruência entre as opiniões de setores populacionais e as opiniões dos legisladores. A próxima seção reporta achados empíricos nessa direção, apurados no contexto brasileiro.
Congruência por segmento populacional no Brasil
Esta seção detalha cinco trabalhos recentes que estimam congruência no Brasil por segmento populacional: Corral González (2013) , Silva (2018) , Boas e Smith (2019) , Moreira (2019) e Lupu e Warner (2021a). Essas referências são importante substrato para nossas hipóteses e abordagem metodológica, além de oferecerem resultados com os quais podemos comparar nossos achados. Dado o destaque conferido a esses cinco trabalhos, cabe uma descrição de seus desenhos de pesquisa e conclusões.
Corral González (2013) argumenta que a percepção dos cidadãos sobre suas próprias habilidades para compreender a política (eficácia interna) e influenciá-la (eficácia externa) varia de acordo com características sociodemográficas, étnicas, culturais e, de forma específica, com a cultura participativa. Logo, os recursos necessários para que os cidadãos expressem suas predileções e monitorem os representantes eleitos são distribuídos de maneira heterogênea. A autora propõe-se a mensurar a congruência entre as preferências de legisladores e as dos cidadãos mais pobres; igualmente, estima a congruência em relação às preferências dos cidadãos mais ricos. A identificação desses grupos baseou-se em um índice sobre respostas quanto à existência de diversos bens no domicílio. Corral González faz uso da medida de congruência many-to-many (i.e., que compara múltiplos representados com múltiplos representantes) proposta por Golder e Stramski (2010) , a qual consiste na distância entre as funções de distribuição acumulada (CDFs)10 dos cidadãos e dos representantes – ou seja, a área entre as CDFs. Quando as preferências ideológicas dos cidadãos e representantes são distribuídas de forma idêntica (e.g., na dimensão esquerda-direita), a área entre suas CDFs será zero. Nessa situação, a congruência many-to-many será perfeita. Todavia, quando as distribuições das preferências dos cidadãos e representantes diferem, então a área entre as CDFs será não nula, indicando menor congruência many-to-many .
Corral González (2013) calculou a distância entre CDFs para três temas: papel do Estado11 , Estado como proprietário das principais indústrias e casamento gay . A autora contrapôs a Pela de 2010 com o Lapop de 2010 e 2012, abarcando 14 países da América Latina, incluindo o Brasil. Como esperado, as preferências dos representantes mostraram-se mais próximas das predileções dos grupos privilegiados (com exceção da Bolívia e do Uruguai). Notavelmente, poucas das características dos sistemas político-eleitorais analisadas por Corral González se revelaram preditoras da congruência; tamanho dos distritos eleitorais e fragmentação partidária associaram-se negativamente com o grau de congruência entre os mais pobres e a elite política.
Boas e Smith (2019) defendem que as semelhanças demográficas entre a composição do parlamento e a do eleitorado (representação descritiva) poderiam favorecer a representação substantiva (i.e., a responsividade dos representantes no que tange às preferências e interesses dos cidadãos, conforme Pitkin, 1967 ). Nesse estudo de caso do Brasil, eles adotaram a medida de congruência many-to-many desenhada por Golder e Stramski (2010) , considerando diversas edições dos seguintes surveys : Brazilian Legislative Surveys (BLS), LatinoBarómetro, Lapop e o Brazilian Electoral Panel Study (BEPS). Além do autoposicionamento ideológico, foram analisados os issues : regime econômico (mercado estatista versus mercado livre12 ), aborto, casamento gay , ambientalismo, cotas universitárias para afro-brasileiros e cotas universitárias para aqueles com menor renda. Como variável dependente, Boas e Smith (2019) tomaram a distância entre as respostas de pares de legisladores e cidadãos, tendo como variáveis independentes de interesse dummies que informavam se os dois respondentes da díade compartilhavam atributos como religião, sexo, nível de escolaridade, cor/raça e estado de residência. Observaram que os evangélicos geralmente alcançam maior congruência do que as mulheres, os afro-brasileiros ou os de classe social mais baixa (definida pela não posse de diploma de ensino superior). No entanto, os autores ressaltam que a congruência entre os evangélicos se limita aos temas que os pastores priorizam em suas pregações, tais como casamento entre pessoas do mesmo sexo e aborto. Nas questões menos comuns nos sermões, como racismo e proteção ao meio ambiente, a congruência é menor.
Embora a distância entre CDFs tenha sido estimada por alguns trabalhos importantes na área (e.g., Corral González, 2013 ; Boas e Smith, 2019 , como complemento à análise de díades), essa abordagem não leva em conta a noção relativa de congruência. A distância entre as CDFs pode ser a mesma para duas distribuições unimodais, concentradas nos polos, e duas distribuições unimodais com centros próximos, desde que as áreas que separam as distribuições em cada par sejam de igual tamanho. Em termos práticos, no entanto, o esforço para ampliar a congruência pode ser consideravelmente mais custoso no primeiro quadro, de polarização.
A seu turno, Silva (2018) investigou se a identidade social, aproximada a partir de diferenças sociodemográficas, implica variações nos níveis de afinidade de preferências entre representantes (deputados federais) e o eleitorado brasileiro, e se os grupos socialmente discriminados desfrutam de menor congruência. Silva ancora na representação descritiva seus mecanismos causais supostos e estima congruência com base na EMD (Lupu, Selios e Warner, 2017), portanto na perspectiva da representação coletiva many-to-many . A EMD estima o “trabalho” mínimo a ser feito para transformar duas distribuições, de modo que estas se tornem correspondentes. Para tanto, avaliam-se todos os possíveis “fluxos” pelos quais os dados (as respostas) poderiam ser “movidos”. Diferentemente da distância entre CDFs, a EMD é sensível à noção relativa de congruência: ao calcular as distâncias entre distribuições, a EMD examina não apenas as diferenças entre as distribuições, mas também a extensão do esforço necessário para equalizá-las. Maiores valores da EMD indicam maiores esforços para aproximar distribuições, e menores valores, o contrário. Em outras palavras, quanto maior a EMD, menor será a congruência entre as preferências dos eleitores e da elite parlamentar.
Silva (2018) analisa, ainda, o BLS de 2014 e três surveys de opinião pública aplicados no mesmo ano: Lapop, Estudo Eleitoral Brasileiro (Eseb) e World Values Survey (WVS). Cinco temas são examinados: autoposicionamento ideológico, opiniões relativas ao liberalismo econômico (tocantes à propriedade privada da indústria e comércio, concorrência e meritocracia), casamento homoafetivo, temas prioritários no mandato (objetivo apontado como mais importante para o Brasil) e pós-materialismo (ênfase em autoexpressão e qualidade de vida, em detrimento de preocupações com segurança física e econômica). Com base em uma análise descritiva das EMDs calculadas por segmento – de classe (ocupação), cor e sexo –, Silva constata que, em geral, as opiniões dos legisladores tendem a ser mais próximas daquelas das classes altas, de brancos e de mulheres (este último, um resultado contrário à hipótese inicial do autor).
Também se utilizando da EMD, Moreira (2019) examina se o grau de congruência entre o posicionamento dos membros da câmara baixa brasileira varia entre grupos do eleitorado. Considera segmentos socioeconômicos (definidos por renda e por escolaridade) e sociodemográficos (definidos por sexo, raça e idade), e uma seleção de 12 issues, incluindo costumes, meio ambiente, papel do Estado em políticas sociais e na economia. Seu argumento, apoiado em Verba, Schlozman e Brady (1995), é que a distribuição desigual de recursos e habilidades necessários à participação política efetiva constrange a representatividade, a responsividade e a qualidade dos sistemas democráticos. Como um dos sintomas, setores da sociedade desfrutariam de níveis diferenciais de congruência, com menor grau de alinhamento esperado entre o conjunto da elite parlamentar e os grupos populacionais menos favorecidos. Os dados advêm do Lapop (2008-2017) e do LatinoBarómetro (2001-2015), como pesquisas de opinião pública, e da Pela (2004, 2010 e 2014) como survey de elite. No modelo empírico, a variável dependente é a EMD. As variáveis independentes agruparam-se nas seguintes dimensões: segmento de opinião pública (conjuntos de dummies que identificam o grupo do eleitorado para o qual uma certa EMD foi calculada), issue, survey de opinião pública e controles para o ano em que os surveys foram aplicados.
De modo geral, os resultados de Moreira (2019) corroboram suas expectativas. A congruência mostrou-se mais elevada nos estratos de maior escolaridade e renda, e menor entre respondentes com mais de 60 anos. Os coeficientes das dimensões sexo e cor/raça não retornaram significância estatística.
Assim como Corral González (2013) , Lupu e Warner (2021a) dedicam-se a uma análise internacional do chamado affluence bias – a tendência de a opinião de parlamentares espelhar com maior fidedignidade as preferências dos cidadãos mais ricos. O trabalho de Lupu e Warner (2021a) é de envergadura descomunal: utiliza todos os surveys de elite de acesso público no mundo e os pareia com surveys de opinião pública com representação nacional13 . Produz, assim, 99 milhões de díades, cobrindo 52 países e 33 anos, chegando até 2015. O foco principal é a distância intradiádica no autoposicionamento ideológico, mas outros issues são abordados em combinações de país-ano, em que itens similares foram perguntados a legisladores e à população em geral (especificamente, na América Latina, África Subsariana e Suécia).
Para quantificar afluência, a variável independente de interesse, Lupu e Warner (2021a) construíram um índice que considera a presença de bens no domicílio; onde essa informação não estava disponível, utilizaram renda ou ocupação, nessa ordem de preferência. A distância intradiádica é a variável dependente, regredida em um conjunto de marcadores ( dummies ) do quintil de afluência ao qual pertence o respondente da opinião pública. Segundo os autores:
[Este método] permite-nos caracterizar o conjunto completo de relações entre as preferências dos cidadãos e as posições dos legisladores, portanto dimensionando a representação coletiva, o nosso conceito de interesse. Esta medida [distância intradiádica] captura tanto diferenças nas posições médias de eleitores e legisladores quanto diferenças nas variâncias das respectivas distribuições. Ao contrário de outras medidas de congruência que fundem as distribuições em estatísticas agregadas [e.g., distância entre CDFs e a EMD], díades nos permitem trabalhar com o grau de afluência ao nível individual [como variável explicativa], enquanto ainda capturam a distribuição completa dos pares cidadão-legislador (Lupu e Warner, 2021a, p. 11, tradução nossa).
Em uma análise acessória, Lupu e Warner (2021a) calcularam EMDs entre o conjunto de legisladores e quintis de afluência, e regrediram as EMDs em dummies , identificando esses quintis, num modelo com efeitos fixos de país e de ano. Independentemente da medida adotada, os autores encontraram consistentemente, e tanto em democracias recentes quanto nas consolidadas, evidência de que a congruência no autoposicionamento ideológico é estatística e materialmente maior para o quintil superior de afluência em relação aos mais pobres. Em contraste, não parece haver diferença entre o grau de representação dos quintis intermediários e o do superior, mesmo nos issues sobre os quais pobres e ricos mais discordam. Ao mesmo tempo, Lupu e Warner (2021a) detectaram que a representação desigual varia entre issues : enquanto os mais ricos parecem ser mais bem representados em temas econômicos (e.g., papel do Estado na economia e redução do setor público), os mais pobres têm melhor representação em temas “culturais” (e.g., casamento entre pessoas do mesmo sexo, acolhimento de refugiados, violência e proibição à pornografia).
Notadamente, apesar de serem exemplos de aplicação das mais refinadas medidas da representação coletiva disponíveis, os trabalhos acima enumerados são, com a exceção de Boas e Smith (2019) , eminentemente descritivos. Afirmamos isso no sentido de que não dispõem de uma estratégia de identificação dos efeitos de se pertencer a um segmento, distinguindo-os de potenciais efeitos concorrentes. Boas e Smith (2019) incorporaram um conjunto maior de fatores explicativos e combinaram regressão da distância intradiádica com análise de surveys adicionais, aplicados em comunidades religiosas. Todavia, o foco na representação descritiva compromete a comparabilidade dos seus achados com os dos demais trabalhos elencados.
Em conjunto, os outros quatro estudos descritos nesta seção confirmam a expectativa de haver desigualdade de representação política entre segmentos populacionais. O Quadro 1 sintetiza esses trabalhos e suas conclusões, sobretudo, ilustra o vazio de conhecimento sobre representação desigual no Brasil e joga luz ao lugar deste artigo em relação à literatura com a qual dialoga. É nosso objetivo informar sobre as seis dimensões de segmentação do eleitorado apresentadas no Quadro 1 , numa variedade de issues , utilizando a mais adequada medida de congruência disponível.

Hipóteses
Objetivando identificar e dimensionar desigualdades de representação entre os segmentos do eleitorado brasileiro, definidos por renda, escolaridade, sexo, raça, idade e religião, submetemos a teste duas hipóteses, uma geral e outra específica:
H1 : A congruência entre preferências do conjunto de parlamentares e do eleitorado é sensível às características socioeconômicas, demográficas e de afiliação religiosa dos eleitores.
H2 : A distância entre as predileções do coletivo de parlamentares e segmentos do eleitorado é maior para grupos populacionais socialmente desfavorecidos, os quais dispõem de menos recursos para a participação política e para exercer outras formas de influência sobre representantes – nomeadamente, estratos de baixa renda e baixa escolaridade, mulheres, negros, jovens e idosos.
Essas hipóteses se alicerçam nas fontes de congruência diferencial apontadas anteriormente (principalmente, na capacidade de diferentes grupos se fazerem representados, via disponibilidade de recursos financeiros, cognitivos, comunicacionais e de tempo) e no consolidado de achados reportado no Quadro 1 . Ainda assim, algumas reflexões quanto às dimensões são devidas.
É possível que processos concernentes à representação descritiva, combinados com a sobrerrepresentação entre os deputados federais de indivíduos mais afluentes, com maior escolaridade, homens, brancos, e com mais de 40 anos contribuam para uma maior congruência entre o conjunto de representantes e esses segmentos populacionais. Nossos dados não nos permitem verificar a extensão da representação descritiva, entretanto. A cada edição, a Pela entrevista cerca de um quarto da Câmara dos Deputados, porém sua amostra não é construída nem ponderada para que seja representativa do corpo parlamentar nas diferentes dimensões aqui consideradas.
Levando-se em conta as condições desiguais, em desfavor das mulheres, que restringem recursos relevantes à participação política – especialmente a) no tempo disponível após contabilizado o trabalho doméstico (Madalozzo, Martins e Shiratori, 2010) e b) na renumeração paga pelo mercado de trabalho brasileiro (e.g., Giuberti e Menezes-Filho, 2005; Haussmann e Golgher, 2016 ) –, tem-se por hipótese que a congruência será maior entre homens que entre mulheres14 . Ademais, a tímida representação feminina na Câmara dos Deputados, inferior a 10% no período considerado (Miguel, Marques e Machado, 2015), tende a constranger a congruência pela via da (baixa) representação descritiva.
Naturalmente, não se espera que o pertencimento a grupos raciais em si seja capaz de influenciar a participação política e a congruência. Nessa esteira, não seria a cor/raça, mas a distribuição desigual de recursos para participação e mobilização de representantes entre os diferentes grupos raciais, aliada também à sub-representação descritiva ( Caesar, 2018 ), a causa da menor congruência entre preferências de parlamentares e de negros.
Na dimensão etária, nossa expectativa baseia-se em Schlozman, Verba e Brady (2012). Esses autores apontam que jovens no final da adolescência ou no início dos 20 anos concentram sua atenção na escolarização e qualificação para o mercado de trabalho, buscando ocupar bons cargos ou consolidar suas carreiras profissionais. Consequentemente, seriam menos tendentes a participar de atividades políticas – o que, por sua vez, redundaria em sub-representação das preferências desse grupo etário. Quanto aos idosos, os autores invocam a teoria do desengajamento. Muitos nesse grupo possuem algum tipo de limitação – e.g., enfermidades físicas que prejudicam sua mobilidade e, portanto, sua capacidade de estarem ativos na política, votar, trabalhar ou doar dinheiro para campanha, participar de reuniões políticas e comícios. Dessa forma, os idosos também apresentariam desvantagens participativas, o que compromete a voz política desse grupo.
Finalmente, há indicação de que a congruência seja mais alta entre evangélicos –constituintes de 22,2% da população brasileira, segundo o Censo Demográfico de 2010 ( IBGE, 2012 ) – e representantes evangélicos do que em outras dimensões de representação descritiva, como gênero e raça ( Boas e Smith, 2019 ). Porém, dado que o percentual de deputados federais identificados como evangélicos foi de, no máximo, 15% no período analisado15 ( Gonçalves e Pedra, 2017 ), optamos por não defender hipótese direcional quanto aos níveis de congruência entre segmentos religiosos e o conjunto dos representantes, servindo o exercício para explorar a existência de representação desigual entre denominações, sem expectativas sobre o sentido de eventual desigualdade.
Seleção de itens e composição da amostra
A seleção de issues pautou-se por uma série de critérios. Inicialmente, procuramos issues tratados em surveys de elite e de opinião pública16 a partir de itens com redação similar e que aplicassem a mesma escala de respostas17 – dessa forma, afastamos eventuais erros de mensuração gerados pela variação nas escalas. Essa busca inicial não tinha escopo temático específico, porém priorizou issues relacionados a políticas públicas, em detrimento do autoposicionamento ideológico (este apurado em todas as pesquisas consideradas); incluímos apenas surveys capazes de prover, pelo menos, uma questão utilizável para além da ideológica18 .
Sem dúvida, preferência ideológica é dimensão de análise frequentemente incorporada nos estudos de convergência, seja no contexto brasileiro (e.g., Boas e Smith, 2019 ; Silva, 2018 ), seja no internacional (e.g., Powell Jr., 2009; Golder e Stramski, 2010 ; Lupu e Warner, 2021a). Enquanto esse foco é relevante para aquilatar o grau de representação, ele presume, mas não é capaz de captar variações de preferências programáticas. Há evidência de que a congruência tende a ser menor em issues temáticos do que no posicionamento esquerda-direita ( Dalton, 2017 ; Thomassen, 2012 ). Ademais, a apuração de posicionamento ideológico, por ser um conceito abstrato, sofre severamente do problema de differential issue functioning , em que respondentes (sejam especialistas, representantes, cidadãos, grupos culturalmente distintos etc.) se manifestam a partir de diferentes interpretações sobre o espectro possível de posicionamentos, com entendimentos variados sobre o que significam “esquerda” e “direita” ( Brady, 1985 ; King et al., 2004 ; Bauer et al., 2017 )19 . Daí nossa priorização dos issues temáticos.
Na identificação de itens compatíveis, descartamos aqueles cuja aplicação se afastou por quatro anos ou mais – e.g., por esse critério, a Pela 2010 só poderia ser pareada com questionários de opinião pública aplicados entre 2007 e 2013. A utilização de surveys assíncronos tem precedente na literatura (e.g., Lupu e Warner, 2021a), assim como a imposição do lapso máximo aqui fixado ( Boas e Smith, 2019 ), ainda que esse limite seja arbitrário. Outrossim, da mesma forma que Lupu e Warner (2021a), mantivemos apenas combinações de surveys de elite e opinião pública aplicados dentro de uma mesma legislatura. Devido a essa restrição, retomando o exemplo da Pela 2010, possíveis pareamentos desse survey com questionários preenchidos em 2011 a 2013 foram desprezados.
Com base em tais critérios de seleção, foi composta a amostra, descrita no Quadro 2 . Ela abarca 11 issues (10 issues temáticos e autoposicionamento ideológico), incluindo três edições da Pela (2004, 2010 e 2014), quatro edições do Lapop (2008, 2010, 2012 e 2014) e quatro do LatinoBarómetro (2004, 2007, 2008 e 2009); para detalhes, videQuadro A1 , do Apêndice. Ao todo, a amostra considera 1.754 respostas de parlamentares (deputados federais) e 34.900 de eleitores; combinadas, elas permitem a formação de 1.450.951 díades (combinações únicas de representante e eleitor) e de 4.398.187 observações (uma díade pode ser observada para mais de um issue ). A distribuição de observações em issues é relativamente uniforme, variando de 6,5% a 10,9%, com duas exceções: o issue sobre meio ambiente conta com apenas 4,2% das observações e o issue ideológico conta com 15,7% delas.

Os issues temáticos podem ser classificados em quatro categorias, por afinidade: costumes (apoio à descriminalização do aborto e ao casamento gay), meio ambiente, papel do Estado nas políticas sociais (Estado como responsável pelo bem-estar das pessoas, serviços de saúde, pensões e aposentadorias e pela redução da desigualdade de renda) e papel do Estado na economia (Estado como responsável pela geração de empregos, como proprietário de empresas e como regulador do mercado).
A segmentação dos respondentes atenta aos atributos individuais elencados nas hipóteses (renda, escolaridade, sexo, cor/raça, idade e religião). O Quadro 3 apresenta os 22 segmentos populacionais considerados, juntamente com a sua frequência na amostra. Os grupos com menor participação são: sem renda familiar (87 respondentes e 1,7% das observações de renda familiar); nenhuma escolarização formal (596 respondentes e 4,2% das observações de escolaridade) e outra cor/raça (553 respondentes e 5,6% das observações na dimensão racial). Todos os demais segmentos produzem, pelo menos, 10% das observações na respectiva dimensão.

Preferências médias nos issues e segmentos
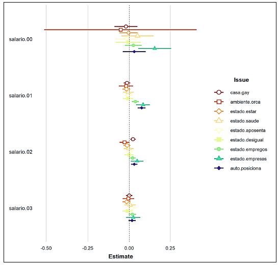
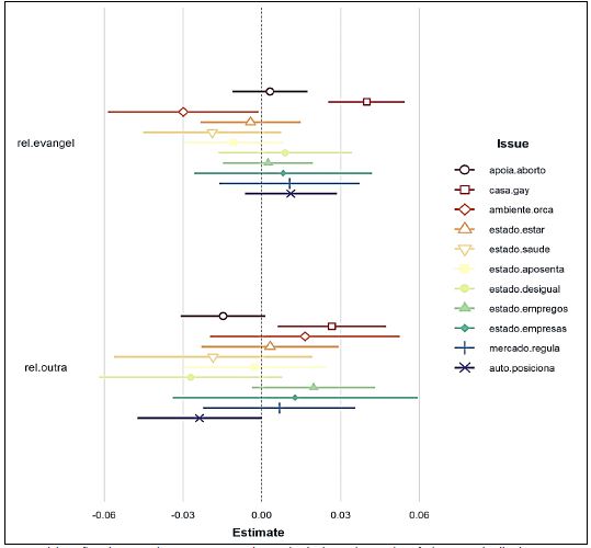
Do ponto de vista da descrição das preferências, interessa reportar comparativamente (i) a posição média de legisladores e de segmentos do eleitorado e (ii) a dispersão de preferências entre segmentos de uma mesma dimensão. Para permitir a comparação das distribuições de preferências entre issues com escalas diferentes, convertemos todas as respostas para a escala [-1, 1], assim como fizeram Lupu e Warner (2021a). A Figura 1 apresenta as preferências médias da elite parlamentar e dos segmentos do eleitorado. Nela, a preferência média dos representantes aparece normalizada para zero; os marcadores de segmento representam a distância entre a resposta média no segmento e a resposta média dos parlamentares. A fim de facilitar a interpretação da Figura 1 , os issues foram reescalados, de modo que valores menores significam posição mais progressista ou à esquerda, enquanto valores maiores denotam posição mais conservadora ou à direita.






As médias exibidas na Figura 1 são ponderadas de acordo com os pesos calculados pelas respectivas equipes responsáveis pelas pesquisas, quando disponibilizados. Especificamente, a Pela 2010 acompanha pesos para tornar a amostra representativa da composição partidária da Câmara dos Deputados; pesos no Lapop 2010 produzem resultados nacionalmente representativos no tocante ao porte populacional das unidades da federação. Nas demais edições aqui consideradas dos três surveys , aplicamos peso unitário a cada observação.
Em geral, o posicionamento dos deputados (linha vertical tracejada) é mais progressista que o do eleitorado nos issues de costumes e no combate à desigualdade de renda. Por outro lado, parlamentares mostram-se menos favoráveis que a população à responsabilização do Estado pelas aposentadorias e pensões e ao protagonismo do Estado na economia ( issues estado.empresas, estado.empregos e mercado.regula). No período analisado, o conjunto de parlamentares parece mais liberal que a população, tanto em temas de costumes quanto em temas econômicos. Do ponto de vista ideológico, representantes tendem a se posicionar mais à esquerda (média 4,52 na escala original 1-10) que o eleitorado (média 5,66).
Na maioria das medições, a dispersão de preferências entre segmentos de uma mesma dimensão não se mostra saliente. Pode-se dizer que os agrupamentos etários e religiosos revelam preferências variadas quanto aos costumes, assim como os agrupamentos por renda e escolaridade, porém estes expõem também alguma diferenciação de atitudes na economia. Somente a dimensão escolaridade descortina preferências políticas distintas. As segmentações por gênero e cor/raça não transparecem variação nas opiniões.
A inspeção visual da Figura 1 sugere poucas instâncias de congruência diferencial por grupo – decorrência lógica da relativamente reduzida variação de opinião entre os segmentos considerados. Entretanto, a representação diferencial por segmento do eleitorado merece a utilização de uma medida mais adequada de congruência (distância intradiádica) e o teste formal de hipóteses, do que se ocupa a próxima seção.
Teste das hipóteses
Testamos duas hipóteses: H1 – A congruência entre as preferências do conjunto de parlamentares e as do eleitorado é sensível às características socioeconômicas, demográficas e de afiliação religiosa dos eleitores; e H2 – A distância entre as predileções do coletivo de parlamentares e as dos segmentos do eleitorado é maior para grupos populacionais socialmente desfavorecidos, os quais dispõem de menos recursos para a participação política e para exercer outras formas de influência sobre representantes – nomeadamente, estratos de baixa renda e baixa escolaridade, mulheres, negros, jovens e idosos. Para tanto, empregamos a estratégia preferencial de Lupu e Warner (2021a), qual seja, a regressão do módulo da distância intradiádica, tendo como fatores explicativos variáveis binárias ( dummies ) indicativas de pertencimento aos segmentos do eleitorado. Quanto maior o módulo da distância intradiádica, menor a congruência. Em princípio, coeficientes estatisticamente significantes corroboram H1. Para confirmação de H2, além da significância estatística, são necessários coeficientes mais positivos para os grupos socialmente desfavorecidos. Complementarmente, dado o grande número de observações (a ordem de centenas de milhares em cada issue – Quadro 2 ) e o decorrente alto poder estatístico dos testes (implicando elevada capacidade de detectar significância estatística), é indispensável avaliar as hipóteses também à luz da materialidade dos coeficientes estimados: substantivamente, acarretam uma diferença importante na congruência entre os grupos?
As distâncias intradiádicas foram calculadas após a conversão das respostas da elite e opinião pública para a escala [-1, 1], o que possibilita a comparação entre itens com escalas diferentes. Médias e regressões foram estimadas com pesos equivalentes à multiplicação dos pesos atribuídos aos respondentes que formam a respectiva díade20 .
Note-se que os issues com maiores médias da variável dependente são os relacionados aos costumes e ao papel do Estado na economia (Tabela A1, do Apêndice), indicando menor congruência nesses campos temáticos. Os issues com as menores médias de distância intradiádica são os tocantes ao meio ambiente e ao envolvimento do Estado em políticas sociais.
Assim como em Lupu e Warner (2021a), nossos modelos de regressão incluem interceptos aleatórios por respondente da elite e por respondente da opinião pública; dessa forma, contorna-se o problema da dependência diádica (Aronow, Samii e Assenova, 2015), em que múltiplas observações compartilham um mesmo respondente, acarretando correlação entre seus erros. Finalmente, nas regressões por issue em que houve variação na temporalidade dos surveys – i.e., com parte das respostas de deputados e de cidadãos comuns coletadas num mesmo ano, e parte coletada em anos diferentes –, adicionamos uma dummy informando se uma dada observação advém de pesquisas síncronas ou assíncronas. O modelo resultante é essencialmente um teste de diferença de médias, formalmente descrito como:

Em que:
yd(c,l) = Módulo da diferença entre resposta do cidadão c e do legislador l na díade d .
α = Constante.
xd(c,l) = Vetor de dummies indicando o segmento do eleitorado ao qual c pertence e se d reporta respostas síncronas (coletadas num mesmo ano-calendário).
β= Vetor de coeficientes das variáveis em xd(c,l).
γc = Erro aleatório associado a c ; γc ~ N(0, σ2c) .
δl = Erro aleatório associado a l ; δl ~ N(0, σ2l) .
σ2 = Variância do erro aleatório associado a d(c,l).
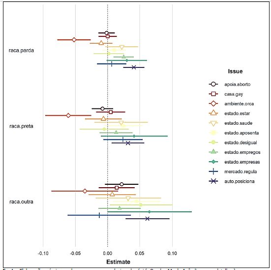
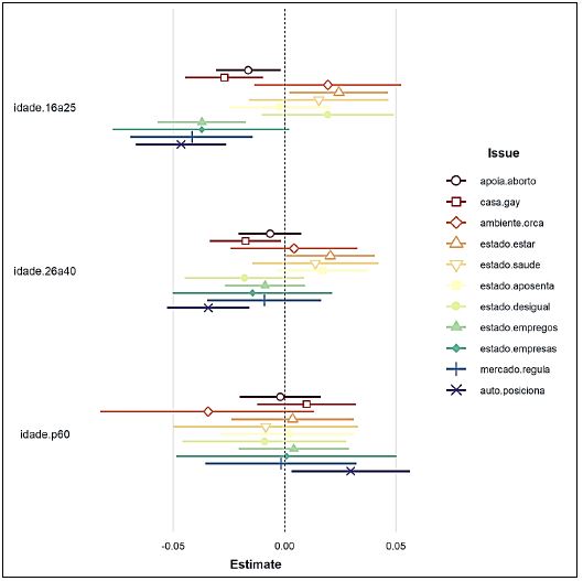
A Figura 2 exibe as estimativas para os coeficientes de regressão de interesse ( β ), por dimensão de segmentação do eleitorado; cada cor ( issue ) representa uma regressão diferente. Estimativas positivas implicam que o segmento em questão usufrui de menor congruência que o segmento de referência na respectiva dimensão. São segmentos de referência os de maior renda, maior escolaridade, homens, brancos, pessoas de 41 a 60 anos e católicos. O segmento de referência na dimensão renda – renda familiar mensal superior a três salários mínimos (s.m.) – congrega 28,4% dos respondentes com informação sobre renda (1.876 de 6.608) e 28,0% das observações nessa dimensão ( Quadro 3 ). Destarte, embora o agrupamento por renda não tenha sido baseado em quantis, a categoria de referência se aproxima do quintil superior e, nesse sentido, é comparável à categoria dos mais ricos/afluentes de Corral González (2013) e de Lupu e Warner (2021a).






Para cada grupo do eleitorado, a Figura 2 mostra como a distância absoluta entre a opinião do segmento e a do conjunto de deputados num dado issue se compara com a distância prevista para o segmento de referência. O Painel a) sugere a existência de affluence bias , porém localizado nos issues econômicos e no posicionamento ideológico. Em relação aos respondentes com renda familiar superior a três s.m. (salario.p03, a referência), o estrato com renda familiar não nula até um s.m. (salario.01) desfruta de menor congruência com o coletivo de deputados. Essa congruência diferencial é detectável nos seguintes issues temáticos: Estado deveria ser responsável por criar empregos (5%)21 e Estado deveria ser dono das empresas mais importantes (9%)22 . Eleitores de renda mais baixa favorecem a presença do Estado na economia, ao mesmo tempo que se declaram mais à direita ideologicamente ( Figura 1 ). O resultado das regressões sugere que, onde há diferenciação de preferências no eleitorado, a elite parlamentar tende a alinhar-se com a opinião dos eleitores de maior renda.
O affluence bias no campo ideológico chega a 0,076 (em salario.01; não mostrado); substantivamente, indica que a opinião de deputados esteja 14% mais distante da dos cidadãos com renda até um s.m. que da opinião daqueles com renda superior a três s.m. (para quem a variável dependente assume média de 0,557 na dimensão ideológica, conforme Tabela A1, do Apêndice); no estrato entre um e dois s.m., esse percentual cai para 6%, com coeficiente estimado de 0,031. Tal resultado está alinhado com aquele de Lupu e Warner (2021a) para o conjunto de países em sua amostra. Os autores estimaram que a opinião dos parlamentares na escala esquerda-direita esteja 16% mais distante daquela dos cidadãos menos afluentes que da opinião dos mais afluentes.
Mais saliente é o schooling bias , em favor de cidadãos com alguma exposição ao ensino superior ( Figura 2 , Painel b). Essa congruência diferencial se apresenta em temas de costumes23 , econômicos24 e no posicionamento ideológico. No quesito ideológico, a distância absoluta média entre parlamentares e o estrato de maior escolaridade é de 0,523 (Tabela A1, do Apêndice). No segmento sem escolarização formal, com 596 respondentes25 ( Quadro 3 ), estima-se que essa média seja acrescida de 0,187 – portanto, uma congruência 36% menor. Na escala esquerda-direita, o schooling bias vai perdendo intensidade à medida que a escolarização aumenta, mas pode ser observado em todos os estratos. A congruência ideológica é 17% menor no segmento que frequentou até o ensino fundamental (coeficiente = 0,089), e 7% menor (coeficiente = 0,034) entre os que estudaram até o ensino médio.
O nível de congruência não parece variar entre segmentos populacionais de gênero ( Figura 2 , Painel c). Na dimensão cor/raça (Painel d), autodeclarados pretos e pardos foram menos prováveis de selecionar meio ambiente como uma das duas áreas prioritárias para receber mais orçamento governamental e, nesse sentido, tiveram suas preferências mais bem expressas na opinião de parlamentares que os brancos (detalhes adiante). Outro destaque nessa dimensão está no campo ideológico: a congruência é 6% e 7% (0,032 e 0,041 de 0,556) menor entre pretos e pardos que entre brancos, respectivamente.
Contrariamente à expectativa, as respostas dos deputados aproximam-se mais daquelas dos respondentes mais jovens (até 40 anos), tanto em issues de costumes como na escala esquerda-direita ( Figura 2 , Painel e). O grupo entre 16 e 25 anos é mais bem representado também nos issues econômicos. Todavia, apenas na escala ideológica esses diferenciais em favor dos jovens apresentam materialidade, entre 6% e 8% (-0,034 e -0,047 de 0,600); nessa dimensão, o estrato com mais de 60 anos é 5% (coeficiente = 0,030) mais mal representado nas opiniões de deputados que o grupo de referência (41 a 60 anos).
Na dimensão religiosa ( Figura 2 , Painel f), evangélicos aparecem menos representados no tema do casamento homoafetivo, com congruência 5% menor (0,040 de 0,878) em relação aos católicos nesse issue . Em matéria ambiental, negros e evangélicos se aproximam mais da opinião dos representantes. Enquanto 1,5% dos respondentes brancos e 1,0% dos católicos apontaram meio ambiente como área prioritária para receber mais recursos governamentais, 0,5% de pretos e pardos e 0,3% dos evangélicos o fizeram; nenhum dos 123 deputados ouvidos sobre esse issue selecionou meio ambiente como área prioritária. Apesar de essa distribuição de respostas retornar uma congruência 78% e 67% (-0,061 e -0,052 de 0,078) maior para pretos e pardos que para brancos, e 58% maior (-0,030 de 0,052) para evangélicos que para católicos, deve ser interpretada cautelosamente, porque a prioridade dada à pasta ambiental é bem parecida (e bem baixa) em todos os grupos raciais e religiosos.
Em uma análise auxiliar, estimamos a Equação I para o conjunto de issues , adicionada de dummies para estratos de todas as seis dimensões de segmentação, bem como controles (também dummies ) para os issues . Com essa abordagem, interessa-nos verificar se, uma vez controlada a renda, a escolaridade ainda se mostra uma preditora importante do nível de congruência26 .
Na especificação “completa” ( Figura 3 ), com o conjunto pleno de segmentos populacionais, a dimensão renda deixa de ser estatisticamente significante – ao contrário da escolaridade, cujos coeficientes perdem magnitude mas mantêm-se estatisticamente diferentes de zero. Mais que isso, os coeficientes educacionais retêm certa materialidade; por exemplo, o segmento com alguma escolaridade, mas que não atingiu o ensino médio, amarga congruência 6% inferior à de suas contrapartes com exposição ao ensino superior (0,038 em relação a 0,609; vide Tabela A1); a congruência é 4% (coeficiente = 0,026) menor para cidadãos que frequentaram até o ensino médio em relação aos que chegaram à educação terciária, ceteris paribus27 .

Notas: Círculos brancos representam a diferença média estimada do módulo da distância intradiádica em relação ao segmento de referência. O traço mais fino denota o intervalo de 99% de confiança, enquanto o traço mais grosso compreende o intervalo de 95% de confiança. Nesta estimação, os issues apoia.aborto e mercado.regula não foram incluídos, devido à indisponibilidade de dados de renda. Foram consideradas as 3.484.423 observações com dados completos. A figura omite os controles para a temporalidade dos surveys de elite e opinião pública (síncronos ou assíncronos), os controles por issue e o intercepto. O variance inflation factor (VIF) máximo corresponde a 3,4, referente à variável algum.fundamental, portanto dentro dos limites convencionais de tolerância à multicolinearidade.
Fonte: Elaboração própria com base nos surveys selecionados (ver Quadro A1, do Apêndice, para detalhes).Em conjunto, as regressões proveem suporte a H1 e a parte de H2. Não somente a congruência varia entre segmentos do eleitorado, mas também essa variação ocorre em detrimento da representação de estratos de menor renda, de menor escolaridade, dos negros e dos mais velhos. Na dimensão religiosa, para a qual não tínhamos uma hipótese direcional, apenas os temas de costumes parecem dividir mais severamente as opiniões, sendo que a preferência de católicos tende a estar mais próxima daquela do conjunto de deputados. Esse achado está alinhado com Boas e Smith (2019) , os quais apuraram que a maior representação descritiva de evangélicos acontecia principalmente em matérias pautadas nas pregações, em particular as de costumes.
Contudo, alguns resultados surpreendem. Não encontramos indícios consistentes de congruência diferencial por sexo. A opinião de indivíduos mais jovens que 40 anos se mostrou mais bem representada em uma variedade de issues . Principalmente, a vantagem representativa nos estratos de maior renda ( affluence bias ) revelou-se menos acentuada que a vantagem dos mais escolarizados ( schooling bias ) – tanto nas regressões issue a issue quanto no modelo “completo”. A seção a seguir reflete sobre esses achados e propõe algumas questões para investigação futura.
Considerações finais
Trataremos de quatro tópicos nesta seção. O primeiro diz respeito à contribuição deste artigo para o entendimento de congruência diferencial no Brasil. O segundo concerne à natureza do affluence bias identificado. O terceiro contrasta esse bias com outro detectado, o schooling bias . Finalmente, listamos alguns focos sugeridos para pesquisa futura.
Um dos princípios básicos da democracia representativa é que as preferências dos cidadãos sejam representadas no parlamento, de forma igualitária. Pesquisas recentes levantaram dúvidas sobre se as democracias modernas cumprem essa promessa. Nossa análise, concentrada no estudo do Brasil, reforça a suspeita de que esse não seja o caso. Observamos que a congruência, definida como a proximidade entre as preferências do eleitorado e do coletivo de parlamentares, é sensível às características socioeconômicas, demográficas e de afiliação religiosa ( Quadro 4 ). A distância apurada em pares eleitor-representante (díades) revelou que, no período em tela (2004-2014), a opinião de deputados federais esteve mais afastada da opinião de cidadãos menos afluentes, menos escolarizados, negros e idosos. Na escala esquerda-direita, o diferencial de congruência em desfavor desses grupos é de 14%, 17%, 7% e 5%, respectivamente. Para além disso, qualificamos a desvantagem na dimensão racial, a qual se apresenta na escala esquerda-direita, mas não nos costumes nem nos issues de políticas sociais e econômicas.

Na dimensão etária, nossa análise desvelou um maior grau de congruência no segmento mais jovem em temas de costumes e política econômica e no posicionamento ideológico – porém apenas nessa última dimensão o diferencial de congruência é material, com uma vantagem de 8% para o estrato até 25 anos. Esse achado difere da expectativa inicial, segundo a qual o segmento de meia-idade seria o mais bem representado na opinião dos parlamentares. Na dimensão religiosa, verificou-se congruência 5% menor entre os evangélicos (em relação aos católicos) no tema da união homoafetiva. Apesar da evidência de maior alinhamento atitudinal entre parlamentares evangélicos e eleitores evangélicos ( Boas e Smith, 2019 ), o conjunto da Câmara dos Deputados mostrou opiniões mais liberais nos costumes que o segmento evangélico.
Assim, fica patente a necessidade de analisar congruência para além da escala esquerda-direita, visto que esta não reflete diversos dos diferenciais de representação observados nos issues temáticos. Nossos achados avançam a compreensão da congruência por issue . Identificamos maior congruência nos issues conexos ao meio ambiente e às políticas sociais. Os issues econômicos, sobre responsabilidade do Estado pela criação de empregos, controle estatal das principais empresas e regulação da economia pelo mercado, exibiram congruência marcantemente mais baixa, assim como os issues concernentes aos costumes.
Ainda, no período analisado, o conjunto de parlamentares pareceu mais liberal que a população, tanto em temas de costumes quanto em temas econômicos. Do ponto de vista ideológico, representantes tendem a se posicionar mais à esquerda que o eleitorado. Contraditoriamente, eleitores de renda mais baixa apoiam a presença do Estado na economia, ao mesmo tempo que se declaram mais à direita ideologicamente – o que sugere uma interpretação variada dos termos “esquerda” e “direita”.
Passando ao segundo tópico, encontramos congruência mais baixa nos segmentos até 1 s.m., nos temas econômico e ideológico. Na dimensão renda familiar, analisamos apenas um issue de costumes: apoio ao casamento homoafetivo. Nele, não encontramos uma vantagem representativa dos mais pobres, o que coloca nossos achados em oposição aos de Lupu e Warner (2021a). Em seu exame da América Latina, Suécia e de um conjunto de países africanos, esses autores concluíram que a direção do affluence bias varia entre campos temáticos, de sorte que as preferências dos mais ricos são sobrerrepresentadas nos issues econômicos e as dos mais pobres, nos issues culturais. Não identificamos um campo temático no qual os brasileiros mais pobres gozassem de maior congruência: onde constatamos congruência diferencial, foi em detrimento desse grupo.
Possivelmente, o achado de maior destaque neste artigo seja o referente ao schooling bias , que exibe um padrão monotônico, em que as preferências de parlamentares se aproximam progressivamente das preferências de segmentos de maior escolaridade. Mesmo os indivíduos que chegaram ao ensino médio se mostram sub-representados em relação aos que tiveram alguma exposição ao ensino superior. Essa desigualdade se revela num conjunto amplo de issues , e a desvantagem dos menos escolarizados parece ser ainda mais material que a dos mais pobres: enquanto a congruência na escala esquerda-direita é 14% menor para os mais pobres (renda familiar não nula até 1 s.m.) em relação aos mais ricos, estimamos que seja 17% menor entre os que estudaram até o ensino fundamental em comparação aos que acessaram a educação terciária, e 36% menor entre os não escolarizados. A escolaridade parece mais definidora de congruência que a renda, mesmo após controlar-se por esta – o que fizemos em uma análise complementar.
Além da posse de recursos (e.g., cognitivos, comunicacionais) para expressar preferências e mobilizar representantes, possivelmente algum processo de socialização no ensino superior ajudaria a explicar o schooling bias . É defensável que o ambiente universitário influencie a formação de visões de mundo e opiniões, ainda que não possamos explorar aqui essa via explicativa. Dado o alto percentual de respondentes da elite parlamentar com exposição à educação terciária, superior a 85% em todas as três edições da Pela analisadas, a representação descritiva poderia ser uma fonte adicional de congruência para o segmento populacional mais escolarizado28 .
No nosso entendimento, a agenda de pesquisa em congruência no Brasil pode se fortalecer de, pelo menos, duas formas. De um lado, é preciso atualizar as apurações de congruência com base em surveys mais recentes. Na perspectiva coletiva, a congruência é consequência do posicionamento de dois corpos não estáticos, representantes e representados. Em particular, a mudança da composição dos parlamentos nas eleições de 2014 e 2018 pode implicar um quadro bastante alterado em comparação com o retratado aqui. De outro lado, igualmente relevante, cabe experimentar uma segmentação mais granular do eleitorado, especialmente no quesito afluência. Dada a enorme desigualdade de renda e riqueza no país, a análise do quintil superior torna opaca a desigualdade interna a esse estrato, dentro do qual se espera encontrar variação importante na disponibilidade de recursos para participação política e mobilização de representantes.
Referências bibliográficas
Achen, C. H. “Measuring representation”. American Journal of Political Science, vol. 22, nº 3, p. 475-510, ago. 1978.
Adams, J.; Ezrow, L. “Who do European parties represent? How Western European parties represent the policy preferences of opinion leaders?”. The Journal of Politics, vol. 71, nº 1, p. 206-223, jan. 2009.
Aronow, P. M.; Samii, C.; Assenova, V. A. “Cluster-robust variance estimation for dyadic data”. Political Analysis, vol. 23, nº 4, p. 564-577, 2015.
Bartels, L. M. Unequal democracy: the political economy of the New Gilded Age. New York: Russell Sage Foundation, 2008.
Bauer, P. C., et al. “Is the left-right scale a valid measure of ideology? Individual-level variation in associations with ‘left’ and ‘right’ and left-right self-placement”. Political Behavior, vol. 39, nº 3, p. 553-583, 2017.
BLS – Brazilian Legislative Surveys. Disponível em: <https://dataverse.harvard.edu/dataverse/bls. Acesso em: 8 jan. 2019.
Boas, T. C.; Smith, A. E. “Looks like me, thinks like me: descriptive representation and opinion congruence in Brazil”. Latin American Research Review, vol. 54, nº 2, p. 310-328, 2019.
Brady, H. E. “The perils of survey research: inter-personally incomparable responses”. Political Methodology, vol. 11, nº 3-4, p. 269-291, 1985.
Caesar, G. “Perfil médio do deputado federal eleito é homem, branco, casado e com ensino superior” (online). G1, 21 out. 2018. Disponível em: <https://g1.globo.com/politica/eleicoes/2018/eleicao-em-numeros/noticia/2018/10/21/perfil-medio-do-deputado-federal-eleito-e-homem-branco-casado-e-com-ensino-superior.ghtml. Acesso em: 25 out. 2020.
Calvo, E.; Murillo, M. V. Non-policy politics: richer voters, poorer voters, and the diversification of electoral strategies. Cambridge; New York: Cambridge University Press, 2019.
Carreirão, Y. S. “O debate metodológico nos estudos de congruência política: uma revisão da literatura internacional”. Revista de Sociologia e Política, vol. 27, nº 69, 2019. Disponível em: <https://search.scielo.org/?q=*&lang=pt&count=15&from=0&output=site&sort=&format=summary&fb=&page=1&filter%5Bta_cluster%5D%5B%5D=Rev.+Sociol.+Polit.&q=%28au%3A%28carreir%C3%A3o%29%29&lang=pt&page=1. Acesso em: out. 2021.
Carreirão, Y. S.; Melo, D. J. C. “Representação política na Assembleia Nacional Constituinte (1987-88): congruência entre preferências dos cidadãos e políticas aprovadas na Constituição”. Teoria e Pesquisa: Revista de Ciência Política, vol. 23, nº 2, p. 107-149, 2014.
Corral González, M. C. “Uneven representation? Analysis of democratic responsiveness in Latin America”. Tese de Doutorado em Ciência Política. Vanderbilt University, Nashville, 2013.
Dahl, R. A. On democracy. New Haven: Yale University Press, 1998.
Dalton, R. J. “Party representation across multiple issue dimensions”. Party Politics, vol. 23, nº 6, p. 609-622, nov. 2017.
Delli Carpini, M. X.; Keeter, S. What Americans know about politics and why it matters. New Haven: Yale University Press, 1996.
Driscoll, A., et al. “Prejudice, strategic discrimination, and the electoral connection: evidence from a pair of field experiments in Brazil”. American Journal of Political Science, vol. 62, nº 4, p. 781-795, out. 2018.
Erikson, R. S. “Income inequality and policy responsiveness”. Annual Review of Political Science, vol. 18, p. 11-29, maio 2015.
Erikson, R.; Goldthorpe, J. H.; Portocarero, L. “Intergenerational class mobility in three Western European societies: England, France and Sweden”. The British Journal of Sociology. Special Issue: Current Research on Social Stratification, vol. 30, nº 4, p. 415-441, dez. 1979.
Espírito-Santo, A.; Freire, A.; Serra-Silva, S. “Does women’s descriptive representation matter for policy preferences? The role of political parties”. Party Politics, vol. 26, nº 2, p. 227-237, mar. 2020.
Flavin, P. “State campaign finance laws and the equality of political representation”. Election Law Journal: Rules, Politics, and Policy, vol. 13, nº 3, p. 362-374, set. 2014.
Gallego, A. Unequal political participation worldwide. New York: Cambridge University Press, 2015.
Gilens, M. Affluence and influence. Princeton: Princeton University Press; New York: Russell Sage Foundation, 2012.
Giuberti, A. C.; Menezes-Filho, N. “Discriminação de rendimentos por gênero: uma comparação entre o Brasil e os Estados Unidos”. Economia Aplicada, vol. 9, nº 3, p. 369-383, jul.-set. 2005.
Golder, M.; Stramski, J. “Ideological congruence and electoral institutions”. American Journal of Political Science, vol. 54, nº 1, p. 90-106, jan. 2010.
Gonçalves, R. B.; Pedra, G. M. “O surgimento das denominações evangélicas no Brasil e a presença na política”. Diversidade Religiosa, vol. 7, nº 2, p. 69-100, dez. 2017.
Haussmann, S.; Golgher, A. B. “Shrinking gender wage gaps in the Brazilian labor market: an application of the APC approach”. Nova Economia, vol. 26, nº 2, p. 429-464, maio-ago. 2016.
IBGE – Instituto Brasileiro de Geografia e Estatística. Censo demográfico 2010: características gerais da população, religião e pessoas com deficiência (online). IBGE, 2012. Disponível em: <https://biblioteca.ibge.gov.br/visualizacao/periodicos/94/cd_2010_religiao_deficiencia.pdf. Acesso em: 25 out. 2020.
Lapop – Latin America Public Opinion Project. Disponível em: <https://www.vanderbilt.edu/lapop. Acesso em: 11 out. 2018.
LatinoBarómetro – Opinión Pública Latinoamericana. Disponível em: <https://www.latinobarometro.org/lat.jsp. Acesso em: 29 dez. 2017.
King, G., et al. “Enhancing the validity and cross-cultural comparability of measurement in survey research”. American Political Science Review, vol. 98, nº 1, p. 191-207, fev. 2004.
Klüver, H.; Pickup, M. “Are they listening? Public opinion, interest groups and government responsiveness”. West European Politics, vol. 42, nº 1, p. 91-112, 2019.
Lupu, N.; Selios, L.; Warner, Z. “A new measure of congruence: the earth mover’s distance”. Political Analysis, vol. 25, nº 1, p. 95-113, jan. 2017.
Lupu, N.; Warner, Z. “Affluence and congruence: unequal representation around the world”. The Journal of Politics, 2021a. No prelo. Disponível em: <https://www.journals.uchicago.edu/doi/pdf/10.1086/714930. Acesso em: out. 2021.
Lupu, N. “Why are the affluent better represented around the world?”. European Journal of Political Research, 2021b. No prelo. Disponível em: <https://doi.org/10.1111/1475-6765.12440. Acesso em: out 2021.
Madalozzo, R.; Martins, S. R.; Shiratori, L. “Participação no mercado de trabalho e no trabalho doméstico: homens e mulheres têm condições iguais?”. Estudos Feministas, vol. 18, nº 2, p. 547-566, ago. 2010.
Miguel, L. F.; Marques, D.; Machado, C. “Capital familiar e carreira política no Brasil: gênero, partido e região nas trajetórias para a Câmara dos Deputados”. Dados – Revista de Ciências Sociais, vol. 58, nº 3, p. 721-747, jul.-set. 2015.
Monroe, A. D. “Public opinion and public policy 1980-1993”. Public Opinion Quarterly, vol. 62, nº 1, p. 6-28, 1998. Disponível em: <https://www.jstor.org/stable/2749715. Acesso em: 20 out. 2021.
Moreira, T. C. F. “Desigualdade e congruência: uma análise das posições de diferentes segmentos do eleitorado e parlamentares brasileiros”. Tese de Doutorado em Ciência Política. Universidade Federal de Minas Gerais, Belo Horizonte, 2019.
OECD – Organization for Economic Cooperation and Development. Education at a glance 2019: OECD Indicators (online). Paris: OECD Publishing, 2019. Disponível em: <https://doi.org/10.1787/f8d7880d-en. Acesso em: 25 out. 2020.
Otero Felipe, P. “Congruencia ideológica e integración europea: un análisis de los vínculos entre votantes y partidos en Europa”. Tese de Doutorado em Processos Políticos Contemporâneos. Universidad de Salamanca, Salamanca, 2011.
Pela – Observatorio de Élites Parlamentarias en América Latina. Disponível em: <https://oir.org.es/pela. Acesso em: 6 dez. 2017.
Peters, Y. “Democratic representation and political inequality: how social differences translate into differential representation”. French Politics, vol. 16, nº 3, p. 341-357, set. 2018.
Pitkin, H. F. The concept of representation. Berkeley: University of California Press, 1967.
Pitkin, H. F. “Representação: palavras, instituições e ideias”. Lua Nova: Revista de Cultura e Política, nº 67, p. 15-47, ago. 2006.
Powell Jr., G. B. The chain of responsiveness. In: Diamond, L.; Morlino, L. (orgs.). Assessing the quality of democracy. Baltimore: The Johns Hopkins University Press, p. 62-76, 2004.
Powell Jr. “The ideological congruence controversy: the impact of alternative measures, data, and time periods on the effects of election rules”. Comparative Political Studies, vol. 42, nº 12, p. 1.475-1.497, dez. 2009.
Rasmussen, A.; Reher, S. “Civil society engagement and policy representation in Europe”. Comparative Political Studies, vol. 52, nº 11, p. 1.648-1.676, set. 2019.
Schlozman, K. L.; Verba, S.; Brady, H. E. The unheavenly chorus: unequal political voice and the broken promise of American democracy. Princeton: Princeton University Press, 2012.
Silva, T. M. “Efeitos práticos da sub-representação política: o desalinhamento das preferências entre representantes e representados”. In: 42º Encontro Anual da Anpocs, Caxambu, 2018.
Soroka, S. N.; Wlezien, C. Degrees of democracy: politics, public opinion, and policy. Cambridge; New York: Cambridge University Press, 2010.
Thomassen, J. “The blind corner of political representation”. Representation: Journal of Representative Democracy, vol. 48, nº 1, p. 13-27, 2012.
Verba, S. Political equality: what is it? Why do we want it? (online). Cambridge: Russell Sage Foundation, 2001. Disponível em: <https://www.russellsage.org/sites/all/files/u4/Verba.pdf. Acesso em: 25 out. 2020.
Verba, S.; Schlozman, K. L.; Brady, H. E. Voice and equality: civic voluntarism in American politics. Cambridge: Harvard University Press, 1995.
Weissberg, R. “Collective vs. dyadic representation in Congress”. American Political Science Review, vol. 72, nº 2, p. 535-547, jun. 1978.
Wlezien, C.; Soroka, S. N. The relationship between public opinion and policy. In: Dalton, R. J.; Klingemann, H.-D. The Oxford handbook of political behavior. Oxford; New York: Oxford University Press, p. 799-818, 2007.
Apêndice


Notas