ARTIGO ORIGINAL
Recepção: 25 Abril 2023
Aprovação: 06 Fevereiro 2024
DOI: https://doi.org/10.1590/1807-019120243014
Resumo: O presente artigo tem como objetivo compreender a competição partidária no Horário Gratuito de Propaganda Eleitoral, na eleição presidencial brasileira de 2022, a partir da Saliency Theory. Assim, enseja contribuir ao discutir o poder explicativo desta teoria – desenvolvida com foco em manifestos de campanha – na campanha televisiva. Ao mobilizar técnicas de Análise de Conteúdo e de Análise de Redes Sociais, atestamos a extensão do alcance da teoria para o HGPE, espaço em que os partidos tendem, assim como nos manifestos, a enfatizar questões que são vantajosas para eles. Contudo, verificamos que esse alcance não se aplica ao escopo da interação com os oponentes na campanha eleitoral. Assim, não se pode argumentar que a estratégia da “ênfase seletiva” é empregada em detrimento da estratégia de “confrontação”. Explicando tal estratégia através do conceito de interação estratégica, mostramos que a eleição de 2022 configura-se em uma rede com dois espaços de competição: o primeiro ocupado por PT e PL; e o segundo opondo candidaturas da “terceira via” ao PT e ao PL.
Palavras-chave: Análise de redes sociais, HGPE, MARPOR, partidos políticos, Teoria da Saliência.
Abstract: The objective of this article is to understand partisan competition in the Free Electoral Broadcast Airtime during the Brazilian presidential election of 2022 based on the Saliency Theory. Thus, it contributes by discussing the explanatory power of this theory, originally developed with a focus on campaign manifestos, within the realm of television campaigns. Mobilizing techniques of Content Analysis and Social Network Analysis, we attest to the extension of the reach of the theory to televised propaganda, a space where parties tend, as in manifestos, to emphasize issues advantageous to them. However, this reach does not necessarily apply to the scope of interaction with opponents during the electoral campaign. The argument that the "selective emphasis" strategy is employed to the detriment of the "confrontation" strategy cannot be universally applied. By explaining the later through the concept of strategic interaction, we show that the 2022 election configured a network with two competition spaces: the first occupied by PT and PL, and the second opposing “third-way” candidates to PT and PL.
Keywords: Social network analysis, Free Electoral Broadcast Airtime, MARPOR, political parties, Saliency Theory.
Resumen: Este artículo tiene como objetivo comprender la competición partidaria en el HGPE, en la elección presidencial brasileña de 2022, a partir de la Teoría de la Saliencia. Así, pretende contribuir discutiendo el poder explicativo de esta teoría – desarrollada con foco en los manifiestos de campaña – en la campaña televisiva. Movilizando técnicas de Análisis de Contenido y Análisis de Redes Sociales, damos fe del alcance de la teoría para el HGPE, espacio donde los partidos tienden, así como en los manifiestos, a enfatizar cuestiones que les son ventajosas. Sin embargo, encontramos que este alcance no se aplica al alcance de la interacción con los oponentes en la campaña electoral. Por lo tanto, no se puede argumentar que la estrategia de “énfasis selectivo” se emplea en detrimento de la estrategia de “confrontación”. Explicando esto a través del concepto de interacción estratégica, mostramos que la elección de 2022 se configura en una red con dos espacios de competencia: el primero ocupado por el PT y el PL; y el segundo oponiendo candidaturas de tercera vía al PT y al PL.
Palabras clave: Análisis de redes sociales, HGPE, MARPOR, partidos políticos, Teoría de la Saliencia.
Résumé: Cet article a pour objectif de comprendre la compétition des partis dans le Temps d’Antenne Gratuit Électoral (TAGE), lors de l’élection présidentielle brésilienne de 2022, à partir de la Saliency Theory. De cette manière, nous voudrons contribuer à ce débat en examinant le pouvoir explicatif de cette théorie – développée en se concentrant sur les manifestes de campagne – dans le cadre de la campagne télévisée. En mobilisant des techniques d’analyse de contenu et d’analyse des réseaux sociaux, nous avons attesté l’extension de la portée de la Saliency Theory dans l’examen du TAGE, un espace où les partis ont tendance, ainsi comme dans les manifestes, à mettre l’accent sur des questions qui leur sont avantageuses. Cependant, nous constatons que cette portée ne s’applique pas à l’interaction avec les opposants dans la campagne électorale. Par conséquent, on ne peut pas affirmer que la stratégie de « la priorité sélective » est employée au détriment de la stratégie de « la confrontation ». Ces résultats mettent en évidence, au travers du concept « d’interaction stratégique », que l’élection de 2022 est configurée dans un réseau avec deux espaces de compétition : le premier occupé par le PT et le PL ; et le second, opposant des candidats de troisième voie au PT et au PL.
Mots-clés: Analyse des réseaux sociaux, Temps d’Antenne Gratuit Électoral (TAGE, MARPOR, partis politiques, Saliency Theory.
Introdução5
Ainda que a discussão sobre representação seja amplamente explorada no Brasil, existe uma necessidade cada vez maior de compreender em que medida os partidos políticos captam as preferências dos eleitores (Dahl, 1961; Pitkin, 1967; Mair, 2014), sobretudo em relação aos temas enfatizados na eleição. Durante a campanha eleitoral, os candidatos desempenham o papel de representantes dos partidos políticos, sendo as candidaturas responsáveis por viabilizarem um quadro variado de políticas que deve ser reflexo das preferências de seus eleitores6 (Mair, 2013, 2014; Naurin; Royed; Thomson, 2019).
Com efeito, as campanhas eleitorais publicizam7 as candidaturas. No Brasil, o Horário Gratuito de Propaganda Eleitoral (HGPE) é visto como um recurso crucial de informação política para as campanhas e segue evidenciado na agenda de pesquisa8 há mais de duas décadas (Azevedo, 1998; Figueiredo et al., 1998; Porto; Guazina, 1999; Albuquerque, 1999; Miguel, 2005; Borba, 2008, 2012; Cervi, 2011; Cervi; Panke, 2011; Dantas, 2012; Borba; Veiga; Martins, 2015; Borba; Aldé, 2016; Albuquerque; Tavares, 2018; Borba; Dutt-Ross, 2021; Borba; Meira; Dutt-Ross, 2022).
Estudos sobre o HGPE têm concentrado atenção em diferentes aspectos da competição eleitoral: a capacidade de influenciar a distribuição da intenção de votos (Figueiredo; Aldé, 2005; Dias, 2013); o nível de conhecimento sobre candidatos e temas em debate (Borba; Aldé, 2017; Borba; Dutt-Ross, 2021); o grau de institucionalização enquanto espaço de debate de proposições e ideários (Massuchin; Cavassana; Cervi, 2021); e o efeito das reformas na legislação eleitoral sobre a representação partidária, sobretudo em questões atinentes ao financiamento de campanha (Borba; Medeiros, 2019; Sarmento; Massuchin; Mendonça, 2021; Barela, 2023).
Até o início dos anos 2000, além do HGPE, os spots de campanha caracterizaram o paradigma predominante para organização das estratégias de comunicação9 das candidaturas no Brasil (Penteado, 2011). Nos EUA, a partir das eleições presidenciais de 2008, observa-se uma mobilização expressiva em relação à emergência de um novo paradigma de comunicação eleitoral: “the digital age” (Farrell; Kolodny; Medvic, 2001, p. 12). A comunicação via internet é caracterizada principalmente pela difusão rápida e volumosa de informações ao público, nas quais prevalece o senso comum. Sua transmissão ocorre sem qualquer controle prévio ou pautada pela ausência de filtros de veracidade, como os já institucionalizados para os canais tradicionais (Benkler, 2011; Silveira, 2015).
Ao serem inseridas no contexto digital, as candidaturas a cargos públicos no Brasil foram, gradativamente, incorporando os novos meios e instrumentos de comunicação em suas campanhas eleitorais – primeiro com os websites, depois com as redes sociais e, mais recentemente, com os aplicativos de mensagem instantânea (Massuchin; Cavassana, 2020). As eleições de 2014 e 2016 consolidaram tal tendência com os candidatos “utilizando a internet e algum tipo de mídia digital como ferramenta de comunicação e interação com os cidadãos, de maneira geral, e não apenas com o potencial eleitor” (Braga; Carlomagno, 2018, p. 07).
Nesse contexto de diversificação das fontes de informação para o eleitor, o debate recente tem se contraposto entre aqueles que (i) indicam uma crescente perda de relevância do HGPE (Braga; Carlomagno, 2018; Fernandes, 2020) e aqueles que (ii) atestam sua importância na campanha eleitoral (Borba; Dutt-Ross, 2021; Borba; Meira; Dutt-Ross, 2022). Sem negar o crescente protagonismo dos meios digitais nas campanhas, partimos da premissa de que o HGPE permanece relevante para a estratégia de comunicação das candidaturas no Brasil (Borba; Dutt-Ross, 2021), ora por fornecer grande volume e pluralidade de informações político-ideológicas, ora por acentuar questões de índole político-eleitoral (Salgado; Neves, 2020; Barela, 2023), atuando como um modelo fixo e regulamentado de propaganda eleitoral, de produção e veiculação exclusiva dos partidos políticos.
Validado como espaço no qual os partidos e políticos têm total autonomia para definir as estratégias de visibilidade dos candidatos, o formato permite ainda que a candidatura apresente sua agenda de propostas e estabeleça estratégias para construção da imagem do candidato e de seus adversários (Borba; Aldé, 2016; Borba; Vasconcelos, 2022). Nessa direção, Oliveira (2010) observa que o HGPE pauta e tematiza boa parte das discussões em alta no contexto político. Logo, tem se tornado basilar identificar sobre o que os candidatos falam – seja ao direcionar apelos ao eleitorado, por acentuar diretrizes ideológicas do partido, ou ao destacar temas desfavoráveis aos adversários (Machado, 2009).
A partir das contribuições de Figueiredo et al. (1997) e Albuquerque (1999), os estudos têm se debruçado a analisar o HGPE de maneira segmentada, focando no formato dos programas, nos tipos de conteúdo ou nas estratégias de persuasão10. Este artigo concentra-se nos dois primeiros aspectos e integra-se ao conjunto de reflexões sobre a influência e funcionalidade do HGPE11 como importante ferramenta estratégica da competição partidária.
Nesse contexto, a Saliency Theory, desenvolvida para compreender a competição partidária nas eleições a partir de temas de políticas públicas expressos nos manifestos de campanha12, parte de três pressupostos principais: (i) os partidos não fornecem respostas diferentes para uma determinada agenda de problemas políticos; (ii) os partidos políticos buscam atrair a atenção do eleitorado para as questões que consideram mais vantajosas para si – temas que, historicamente, são associados ao partido conforme seu êxito em tratá-los; (iii) os partidos, durante as campanhas eleitorais, evitam a confrontação ou quase nunca falam sobre seus oponentes (Robertson, 1976; Budge; Farlie, 1977, 1983a, 1983b; Budge et al., 2001).
Em contribuição significativa à literatura discutida a priori, a originalidade deste artigo está em estender o alcance explicativo da Saliency Theory para outro objeto, o Horário Gratuito de Propaganda Eleitoral. A aplicação dessa perspectiva em objeto não convencional condiz com o entendimento de que a campanha eleitoral se estrutura “não apenas conforme a ênfase das proposições políticas de seus manifestos, mas também na estratégia de persuadir os eleitores via canais oficiais de comunicação da campanha – concentrando atenção em suas conquistas e nas falhas de seu concorrente” (Müller, 2020, p. 700).
Assim, elucidar quais temáticas são priorizadas por cada candidatura no decorrer dos programas do HGPE e com quais adversários cada uma escolheu interagir são questões que norteiam este artigo, cujo objetivo é compreender a competição partidária à presidência do Brasil em 2022, sob o viés da Saliency Theory. Para tal, os programas veiculados no HGPE pelas candidaturas, ao longo do primeiro turno, foram tratados mobilizando técnicas de Análise de Conteúdo e de Análise de Redes Sociais.
Os achados confirmam o alcance explicativo das premissas (i) e (ii) da Saliency Theory no HGPE. Em relação ao pressuposto (iii), constatamos que os partidos falam sobre seus adversários em cerca de 25% do tempo. Logo, não se pode argumentar que a estratégia da “ênfase seletiva” é empregada em detrimento da estratégia de “confrontação”: ambas são importantes no HGPE. Ao explicar a confrontação partidária por meio do conceito de interação estratégica e de análise de redes sociais (ARS)13, mostramos que a eleição de 2022 configura-se em uma rede com dois espaços de competição. O primeiro é ocupado por PT e PL, que escolheram interagir majoritariamente entre si. O segundo segue o padrão da eleição de 2018 (Contrera; Gregorio; Lima, 2020), com as candidaturas da “terceira via” interagindo pouco entre si e intensamente com PL e PT.
O artigo está organizado em cinco seções. Após esta Introdução, apresentamos os Dados e Métodos de Análise. Na terceira seção, retomamos as premissas da Saliency Theory para compreender se a agenda das candidaturas no HGPE se configura como Ênfase seletiva ou confrontação direta. Posteriormente, na quarta seção, restringimos a análise aos padrões de competição que emergiram da rede de Interações Estratégicas no Horário Eleitoral e, nas Conclusões, discutimos nossos achados à luz da teoria.
Dados e Métodos de Análise
Foram registradas inicialmente no TSE 14 candidaturas para a eleição presidencial de 2022. Em decorrência de disputas intrapartidárias pelo controle do PROS, a candidatura de Pablo Marçal foi retirada pelo partido, que passou a integrar a Coligação Brasil da Esperança, de Luiz Inácio Lula da Silva. O Quadro 1 apresenta as 13 candidaturas deferidas pelo TSE:

A amostra empírica desta pesquisa compreende os programas das candidaturas exibidos em 30 blocos no HGPE, períodos diurno e noturno, entre 27 de agosto e 29 de setembro de 2022, no primeiro turno. Os vídeos foram coletados pelos pesquisadores conforme eram exibidos na TV. Em decorrência da aplicação da cláusula de barreira, apenas sete candidaturas14 que disputaram a eleição presidencial brasileira de 2022 exibiram programas no HGPE. Foram elas: PT, PL, MDB, PDT, UNIÃO, NOVO e PTB15. Não tendo atingido o parâmetro de desempenho exigido nas eleições de 2018, ficaram de fora do HGPE, em 2022, as candidaturas de DC, PCB, PSTU e UP16. PT e PL exibiram mais programas inéditos do que reprises. PDT e NOVO exibiram programas inéditos e reprises na mesma proporção. UNIÃO, MDB e PTB exibiram mais reprises do que programas inéditos. Os dados completos podem ser observados na Tabela 1:

Na Tabela 2 exibimos o tempo de programa de cada candidatura no HGPE. Comparadas às eleições presidenciais anteriores, a eleição de 2022 tem como peculiaridade maior dispersão do tempo entre as candidaturas.

Podemos observar ainda na Tabela 2 que o tempo codificado é maior do que o tempo total previsto para as candidaturas. Isso ocorreu devido aos segundos extras atribuídos pelo TSE, rotativamente, entre as campanhas e às regras de contagem específicas para interação aplicadas neste artigo: quando no mesmo segmento há interação da candidatura emissora com duas ou mais candidaturas receptoras, o tempo de interação é considerado repetidamente para cada candidatura. Exemplo desse caso pode ser observado em interação indireta do NOVO com PT e PL, conforme a Figura 1:

Os vídeos do HGPE foram decupados seguindo o critério de segmentação utilizado por Albuquerque (1999), em que o segmento é definido a partir da permanência do tema, orador e cenário; ou seja, um trecho que apresenta autonomia discursiva. Nesse caso, se um dos três se alterar, encerra-se um segmento e se inicia o outro. Identificou-se um total de 3808 segmentos nos 30 blocos do HGPE, que foram metodologicamente tratados a partir da Análise de Conteúdo, técnica que utiliza procedimentos sistemáticos de codificação para quantificar dados qualitativos (Bardin, 2002). Os segmentos foram classificados nas seguintes categorias (Quadro 2):

A regra de contagem das frequências das variáveis no Quadro 2 foi definida empregando-se a variável “Tempo” como unidade de análise. Desse modo, a frequência de uma determinada temática ou a interação22 entre candidaturas não é mensurada pelo número de segmentos em que ocorrem, mas considerando sua durabilidade no tempo.
Posteriormente, empregamos a metodologia de Análise de Redes Sociais (ARS) para tratar os segmentos classificados como interação estratégica na variável “Recorte”. A rede social “é definida metodologicamente como um conjunto de relações específicas (por exemplo, colaboração, apoio, controle ou influência) entre um conjunto finito de atores” (Lazega; Higgens, 2014, p. 07-08). A ARS centra-se nas relações entre tais atores sociais, na interdependência e nos efeitos que emergem da estrutura formada no conjunto das interações (Borgatti; Everett; Johnson, 2013). Nessa perspectiva, o alastramento das relações sociais se desenvolve em redes complexas23.
As redes complexas são capazes de representar, simultaneamente, o comportamento de múltiplas variáveis vinculadas a processos complexos, bem como os sistemas dinâmicos acoplados cujos padrões de interação não são conhecidos a priori (Newman, 2010). Isso posto, tanto as menções como o padrão de interação que se desenvolve no HGPE são entendidos a partir de uma estrutura complexa. Na medida em que a rede se torna mais ampla e diversificada ao longo da campanha, visto que a interação entre os atores ocorre de forma não coordenada (Newman, 2003), as propriedades estruturais de cada novo vínculo da rede passam a ser determinantes sobre a funcionalidade de todo o sistema de interação na campanha.
Utilizando o software Gephi, identificamos oito nós: as sete candidaturas que participaram do HGPE mais “OUTRO”, para designar atores relevantes não partidários. Os 1159 segmentos codificados em interação estratégica consistiram nas arestas da rede. A configuração pautou-se em grafos dirigidos e com peso ponderado pela variável “Tempo”. A soma do “Tempo” foi a estratégia de mesclagem utilizada para as arestas paralelas. Após mesclagem a rede foi organizada com 23 arestas. Para organizar o posicionamento dos nós no Gephi utilizamos o algoritmo Force Atlas, cuja propriedade é aproximar os nós mediante a força de suas ligações.
Ênfase seletiva ou confrontação direta?
A hipótese para compreender como é formada a agenda das candidaturas em campanhas políticas remonta aos estudos desenvolvidos no escopo da Saliency Theory. As premissas centrais desenvolvidas por essa teoria, formuladas a partir de Robertson (1976), Budge e Farlie (1977, 1983a, 1983b) e Budge et al. (2001), são que:
(i) Os partidos não fornecem respostas diferentes para uma determinada agenda de problemas políticos. Com pouquíssimas exceções, eles tenderiam a endossar as mesmas posições sobre uma temática, pois os estrategistas partidários veem os eleitores esmagadoramente favoráveis a um curso de ação exclusivo na maioria das questões;
(ii) Os partidos centrariam atenção nas temáticas que são vantajosas para eles;
(iii) Os partidos quase nunca falam sobre seus oponentes em campanhas eleitorais.
Com efeito, a defesa de “ênfases seletivas” ao invés de “confrontação direta” seria a estratégia partidária mais comum e promissora na competição eleitoral (Budge; Farlie, 1983b). Fundamental é pontuar que a Saliency Theory tem os manifestos de campanha como sua base empírica. Contudo, Budge e Meyer (2013) e Budge (2015) ressaltam novas implicações a partir da comparação das declarações do manifesto com as de outros canais oficiais da campanha eleitoral. Nesse caminho, nosso foco aqui é a campanha televisiva, especificamente o HGPE.
Entre esses dois objetos há diferenças importantes. Em relação ao alcance, o público do manifesto é mais restrito. A maior parte da literatura parece assumir que os manifestos são escritos como apelos diretos ou indiretos aos eleitores. No entanto, há numerosas evidências, provenientes de contextos variados, de que a maioria dos eleitores não lê manifestos, mesmo que estejam cientes da existência de tais documentos (Harmel, 2016). Já o HGPE pode ser lido como uma
forma encontrada nas sociedades complexas para viabilizar a difusão de imagens e discursos públicos, democratizando o acesso à informação. Porém, a consequência natural é uma transformação no modo como o debate político é produzido, que se torna mais lúdico e permeado por elementos constituintes do discurso midiático, tais como a encenação da realidade e exploração de estereótipos (Cervi, 2011, p. 109).
Ainda que seja possível, no caso brasileiro, apresentar novas versões – com eventuais correções – de um manifesto ao TSE, não é usual que esse instrumento seja utilizado para responder confrontações de adversários. A versão apresentada no requerimento de candidatura sofre pouca ou nenhuma alteração. Por outro lado, a campanha televisiva é contínua e dinâmica. Responde a eventos inesperados e reflete as mudanças no contexto eleitoral. Essas diferenças permitem explicar a maneira como os manifestos são apresentados ao público e aos outros candidatos como um jogo simultâneo.
Em contrapartida, o HGPE pode ser entendido como um jogo sequencial, em que usualmente os partidos respondem aos adversários. Considerando essa característica em conformidade com a premissa da Saliency Theory de que nos manifestos “os partidos quase nunca falam sobre seus oponentes em campanhas eleitorais”, faz-se mister testar empiricamente o alcance da teoria em um objeto dinâmico, diverso ao manifesto.
Haja vista que a Saliency Theory explica a competição partidária por meio das temáticas enfatizadas (issues) pelos partidos, testar a aplicabilidade de sua extensão ao HGPE também se justifica – sobretudo na medida em que este se aproxima dos manifestos no tocante à promoção de posições e promessas políticas. É sensível para as democracias contemporâneas compreender em que medida os partidos utilizam as mídias para apresentar e debater questões políticas. O entendimento de que partidos são responsivos ao programa apresentado na eleição anima o debate na Teoria do Mandato e no Modelo do Partido Responsável.
À luz desses condicionantes, cabe questionar se as premissas da Saliency Theory poderiam explicar a formação da agenda das candidaturas no HGPE da campanha presidencial de 2022. Discutimos, a seguir, os pressupostos centrais.
Os partidos não fornecem respostas distintas para uma determinada agenda de problemas políticos?
Para os teóricos da Saliency Theory, os partidos não fornecem respostas diferentes para os problemas políticos e tendem a endossar a mesma posição na maioria das temáticas. Essas assertivas têm sido recorrentemente testadas em face da frequência relativa de temáticas enfatizadas pelos partidos em seus programas partidários.
Construído na esteira da Saliency Theory, o método do MARPOR para estimar ênfases temáticas e construir índices ideológicos define suas categorias temáticas a partir de valências. Isso significa que cada categoria se posiciona favorável ou contrariamente à dada questão política. Todavia, nem todas as categorias são excludentes. Para verificar se as candidaturas forneceram respostas distintas aos mesmos problemas no HGPE, selecionamos aquelas categorias temáticas do MARPOR que, segundo nossa avaliação, podem ser consideradas excludentes, conforme o Quadro 3:

Os resultados confirmam o pressuposto teórico (i), indicando que, exceto em temáticas de “Economia” e “Lei e Ordem”, as candidaturas não enfatizaram valências distintas. Ao contrário, tendem a salientar as mesmas valências. O Gráfico 1 apresenta a frequência do tempo de propaganda dedicado a determinada temática em relação ao tempo total de propaganda em cada candidatura.

No domínio “Relações Exteriores”, há ênfase de apenas duas candidaturas, PT e MDB, na temática do “Internacionalismo” (per107 versus per109), embora elas não se apresentem em oposição. MDB, assim como o PT, defende uma posição multilateral (per107) para o Brasil. O PT, especificamente, defende também a soberania (per109)27, que esteve ameaçada durante o governo Bolsonaro.
Mudanças no sistema legal (per204) foram defendidas apenas por NOVO e PDT, e ambos atacaram elementos da Legislação Eleitoral. O NOVO se opôs ao fundo público de financiamento de campanha. Já o PDT criticou a legislação que regulamenta a divisão do tempo de propaganda eleitoral, defendeu o fim da reeleição e os privilégios concedidos aos representantes eleitos.
O domínio do “Bem-Estar Social e Qualidade de Vida” é marcado por grande convergência. Candidaturas de espectros ideológicos distintos salientam as temáticas sobre expansão “do Estado de Bem-estar Social” e “da Educação”. Em que pesem críticas pontuais à gestão das políticas de transferência de renda dos petistas pelos bolsonaristas e da gestão dos bolsonaristas pelos petistas, ambas as candidaturas enfatizam a defesa da categoria (per504). Esse entendimento perpassa inclusive pela promessa manifestada tanto por Lula como por Bolsonaro para manter o Auxílio Brasil/Bolsa Família no valor de R$600,00. Ciro Gomes, por sua vez, propôs um programa de “Renda Mínima” no valor de R$1000,00.
Além das políticas sobre a transferência de renda, as candidaturas, em sua maioria, criticaram as políticas de combate à fome implementadas no governo Bolsonaro (exceto PL e PTB); destacaram a necessidade de melhorias no sistema educacional (exceto NOVO e PTB); e avaliaram negativamente a gestão de Bolsonaro na pandemia (exceto PTB). Em menor proporção, enfatizaram a demanda por melhorias no sistema de saúde (MDB, PDT, PL e PT); acentuaram a deficiência na agenda de políticas sobre habitação (MDB, PT e PL) e assinalaram a necessidade de expansão da cobertura de internet (PDT). No domínio dos “Grupos Sociais”, há saliências favoráveis à classe trabalhadora, mas sem aprofundamento da agenda. Apenas duas candidaturas dedicaram ênfase ao tema: PT e UNIÃO.
No que se refere aos “Princípios da Sociedade”, o embate de valores e costumes promovido pelo bolsonarismo não foi polarizado pela candidatura petista. Ao contrário, assim como o PL, a candidatura do PT buscou salientar aspectos de defesa do nacionalismo28 (per601) e da “Moralidade Tradicional” (per603). O último aspecto, aliás, foi o mais enfatizado pelo PTB, cuja chapa era formada por um padre ortodoxo e um pastor.
Por outro lado, há embate entre as principais candidaturas no campo da “Lei e Ordem” (per605.1 versus per605.2). A candidatura do PL, ao mesmo tempo em que dedica ênfase à sua política de segurança pública, estabelece críticas à política petista e salienta temáticas sobre crime e impunidade, associando-as à candidatura de Lula. Em contrapartida, a candidatura petista recorreu à estratégia de críticas à política armamentista do governo Bolsonaro. Como se percebe, ainda que posicionados em categorias excludentes, as questões abordadas pelas candidaturas adversárias não foram as mesmas.
O domínio da “Economia” é o único em que há embate de posições entre as candidaturas. No campo de matriz heterodoxa, alinhada à esquerda, apenas a candidatura petista enfatizou posições compatíveis com “Gerenciamento Keynesiano da Economia” (per409) e “Nacionalização” (per413). No campo de matriz ortodoxa, alinhada à direita, apenas PL e UNIÃO salientaram a defesa da “Economia de Livre-mercado” (per401) e; somente NOVO e UNIÃO enfatizaram percepções de “Ortodoxia Econômica” (per414). Por outro lado, as temáticas favoráveis a “Incentivos” (per402), “Regulação de Mercado” (per403) e “Economia Controlada” (per412) perpassam candidaturas à esquerda e à direita.
No escopo dos “Incentivos” (per402), destacam-se o conjunto de políticas fiscais para induzir o empreendedorismo, como a proposta de simplificação tributária de Soraya Thronicke (UNIÃO); a promessa de Lula (PT) de lançar o “Empreende Brasil” – programa para facilitar o acesso ao crédito para empresários de micro e pequenas empresas e segmentos diversos no PL com medidas favoráveis ao empreendedorismo, ao enfrentamento junto à “indústria da multa” e a visões retóricas de política social29 calcadas na meritocracia30 – como o “ensinar a pescar”.
No campo da “Regulação de Mercado” (per403), Bolsonaro prometeu “trazer para o Brasil mais seis companhias aéreas para estimular a concorrência e deixar as passagens mais baratas” (PL, 14; 14.1R); reforçando a premissa de que os partidos seguem o mesmo curso de ação, PDT e PT focaram no endividamento, prometendo renegociar as dívidas das pessoas com o nome sujo no SPC e no Serasa.
Ênfases na temática “Economia Controlada” (per412) contemplam posições sobre o controle de preços e salário-mínimo. PT, PDT e MDB criticaram os resultados inflacionários do governo Bolsonaro. O viés dado pelo PT contrapôs a política de salário-mínimo e o poder de compra da população em seus governos com as políticas de Bolsonaro. Em contrapartida, Bolsonaro destacou ações de seu governo para controlar a inflação, como redução de impostos.
Com efeito, a análise das ênfases das candidaturas nas categorias temáticas com valências excludentes do MARPOR evidencia tanto a tendência dos partidos em não manifestar posições distintas para um dado problema, como também a tendência de seguirem o mesmo curso de ação. Como exemplos mais proeminentes, PL e PDT endossaram a política petista de transferência de renda. O PT, por sua vez, optou por não se contrapor à agenda de costumes promovida pelo PL e encampou a proposta de renegociação de dívidas há muito defendida por Ciro Gomes.
Os partidos priorizam as temáticas que são vantajosas para eles?
Ampliando a análise para incluir as 22 categorias do MARPOR ausentes do Quadro 2, temos a oportunidade de identificar quais são as temáticas prioritárias para as candidaturas e verificar se elas estão alinhadas à perspectiva teórica do issue ownership31. Conforme Petrocik, trata-se da
capacidade de resolver um problema que preocupa os eleitores. É uma reputação de interesses políticos e programáticos, produzida por um histórico de atenção, iniciativa e inovação em relação a esses problemas, que leva os eleitores a acreditar que um dos partidos (e seus candidatos) é mais confiável e comprometido para agir sobre eles (Petrocik, 1996, p. 826).
Essa perspectiva tem implicações tanto no nível partidário como no nível individual. Assim, os partidos tendem a evitar temáticas que favoreçam seus concorrentes e, alternativamente, tendem a enfatizar questões em que eles têm vantagem sobre os oponentes, no intuito de aumentar sua relevância entre os eleitores. Estes, por seu turno, decidem seu voto com base na reputação dos partidos ao lidarem com determinados assuntos. Isto é, os eleitores acreditam que, quando no governo, um partido está mais apto que seus oponentes para enfrentar temáticas políticas específicas (Petrocik; Benoit; Hansen, 2003).
Desse modo, se um assunto é particularmente importante durante a campanha, o partido que “detém” esse assunto deve ter uma vantagem eleitoral. Contudo, a escolha estratégica dos partidos sobre a valência de um tema, questão de propriedade e posse da pauta, durante a campanha eleitoral, é um projeto complexo para a estrutura intrapartidária – e essencialmente um fator relevante para a disputa eleitoral (Serra, 2010; Curini, 2015; Dolezal et al., 2018; Müller, 2020; Naurin; Royed; Thomson, 2019).
Antes de avançar na operacionalização do conceito de issue ownership, apresentamos, nos Gráficos 2 e 3, as temáticas priorizadas por cada uma das candidaturas no HGPE. Para tal, aplicamos o índice de Nihans (Np)32 como critério para organizar a distribuição das frequências nas categorias temáticas33 do MARPOR. Apresentamos os assuntos agrupados nas classes “A” “B” e “C” para cada candidatura. O propósito desse empreendimento é identificar as temáticas priorizadas na agenda dos partidos. Nihans é calculado através da fórmula:


Onde:
Np = Limite de classe
x2 = o quadrado do valor das ocorrências
x = o valor das ocorrências
Os Gráficos 2 e 3 mostram as frequências de ocorrência das temáticas no HGPE para cada candidatura, informando a classe a que pertencem.
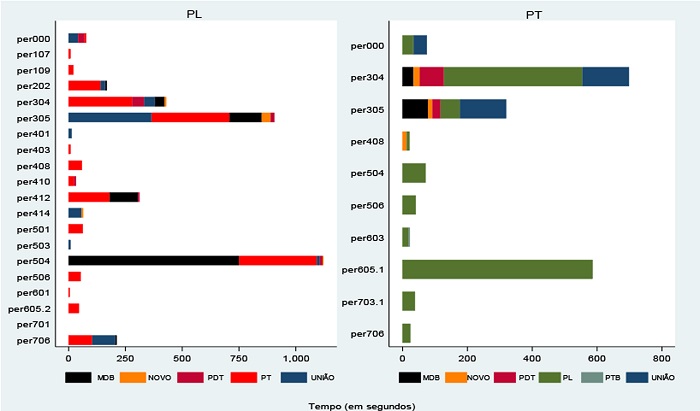
Podemos observar no Gráfico 2 que as temáticas enfatizadas pelas candidaturas parecem combinar agendas, vinculadas a partidos e candidatos, com sinalizações ao eleitorado adversário – principalmente em temáticas cuja candidatura encontra-se em desvantagem em relação a um dado adversário. A candidatura de Bolsonaro, por exemplo, (a) atribuiu maior ênfase em temáticas associadas à direita (per601, per603 e per605.1) – ressaltando princípios conservadores da sociedade; (b) salientou temática prejudicial ao principal adversário (per304); (c) mas também avançou em agendas historicamente vinculadas ao PT (per504, per506 e per706).
Os partidos de esquerda são historicamente comprometidos com o projeto de expansão do “Bem-estar e Qualidade de Vida” e pelo acolhimento e defesa de “Grupos Sociais” minoritários; já o perfil recente dos partidos brasileiros de direita agrega posicionamentos ambíguos, mesclando princípios econômicos liberais (conservadorismo) com uma forte defesa de políticas de bem-estar social. Esse comportamento está em conformidade com a teoria do eleitor mediano de que a universalização do sufrágio seria condição suficiente à adoção de políticas redistributivas. Considerando-se que a renda do eleitor decisivo para ganhar eleições é inferior à renda média, haveria convergência entre os partidos de todo o espectro para atender às necessidades e preferências dos eleitores mais pobres (Meltzer; Richards, 1981). A esse respeito, análises dos manifestos presidenciais têm demonstrado que a ênfase na expansão de políticas de bem-estar social se estende aos partidos de direita (Contrera; Cassotta; Hebling, 2021; Gregorio, 2021).
A candidatura de Lula, por sua vez, (a) enfatizou temáticas vinculadas à esquerda (per412, per504, per506, per706); (b) em movimento estratégico de desconstrução da imagem, buscou associar ao adversário a temática que tem sido mais prejudicial aos petistas (per304); (c) ressaltou a preservação da democracia (per202) entre suas prioridades; e (d) salientou proporcionalmente mais que Bolsonaro, em predileção (8° x 11° “posição”) e valência (4,33% x 3,32% “dimensão”), categoria vinculada à direita (per601) – principalmente ao ressignificar os conceitos de cidadania e patriotismo.
Simone Tebet, cuja trajetória política foi construída na centro-direita, priorizou temáticas associadas à esquerda (per504 e per706). Já a propaganda de Soraya Thronicke manteve o foco em uma proposta específica de Reforma Tributária, com justificativas à direita (simplificação tributária para estimular o empreendedorismo) e à esquerda (justiça tributária – a ideia de que pagaria mais imposto quem movimenta mais dinheiro). É importante frisar a alta valência (acima de 30%) em ambas as candidaturas (MDB e UNIÃO) na temática “Autoridade Política” (per305).
Por outro lado, conforme o Gráfico 3, candidaturas com menor tempo de propaganda (PDT, NOVO e PTB) deram destaque às suas agendas ideológicas. Nossos achados, em consonância com outras pesquisas sobre temáticas, estrutura e perfil de eleições presidenciais, indicam a tendência de que partidos menores restringem as interações e a comunicação à base de sua agenda ideológica (Maier; Jansen, 2015; Petrocik, 2015; Nai; Tresch; Maier, 2022; Le Pennec; Pons, 2023). Vistos como atores secundários na disputa, pela mídia e/ou por grande parte dos adversários, tais candidaturas são aquelas cujas pesquisas de opinião apontavam mínimas chances de chegar ao segundo turno. Além do acesso a novos eleitores e do palanque que a disputa à presidência disponibiliza, ao se implementar uma campanha orientada e circunscrita à sua agenda ideológica, “a mensagem viabilizada deve ser capaz de aumentar a rede de benefícios líquido (institucional) e eleitoral do candidato” (Benoit, 2007, p. 32).
Colocamos, então, mais duas dúvidas: a primeira sobre se é possível associar as temáticas priorizadas pelos partidos com o conceito de issue ownership. A segunda questão se refere a se a propriedade de um assunto por um determinado partido deriva da defesa de seus programas ou de avaliações dos eleitores sobre suas políticas, desempenho ou prioridades. Conforme operacionalização usual na literatura, a propriedade de um partido sobre um assunto advém de avaliações da opinião pública. Desde o seminal artigo de Petrocick (1996), a literatura busca identificar issue ownership a partir da aplicação de questões como: “Qual partido é mais qualificado para lidar com o tema X?”. Em tais estudos, a opinião pública é instigada a associar partidos a uma variedade de temas.
Na ausência de um survey nacional que cumpra esse propósito, nosso objetivo aqui é mais modesto. Buscamos associar potenciais eleitores das candidaturas34 às temáticas que estes consideram mais importantes. Assim, supõe-se que, ao manifestar intenção de voto em um candidato e ao apontar certa temática como a mais importante, o eleitor considere aquele candidato o mais competente para lidar com o respectivo assunto. Nesse sentido, analisamos os resultados de pesquisa nacional de intenção de voto para Presidente da República da Atlas/Arko35, divulgada em 20 de setembro de 2022. Nosso interesse foi o cruzamento da manifestação de intenção de voto em um candidato com uma questão em específico: “Na sua opinião, qual é o maior problema do Brasil hoje em dia?”.
Nesse ponto, o procedimento metodológico consistiu em associar as frequências das temáticas presentes no questionário da Atlas/Arko com as categorias do MARPOR. Para algumas temáticas, como corrupção e crescimento econômico, a associação foi evidente. Para outras, demandou subcategorização. A categoria (per504), por exemplo, foi dividida em subcategorias para captar especificamente “acesso à saúde” e “pobreza e desigualdade social”. Esse último tema, aliás, foi também identificado em subcategorias das categorias (per503) e (per402). A Tabela 3 apresenta as diferenças percentuais entre as temáticas que mais preocupam os eleitores (issue ownership) e temáticas correspondentes enfatizadas pelas candidaturas no HGPE (issue salience):

A indagação sobre a possibilidade de se identificarem temáticas prioritárias a partir da resposta dos eleitores se coloca. Os dados da pesquisa mostram que, entre os eleitores de Lula, há um grupo significantemente maior (30,1%) daqueles que veem a pobreza e a desigualdade social como o maior problema do Brasil. Essa temática preocupa 20,6% dos eleitores de Ciro, 17,7% dos eleitores de Tebet e apenas 5,3% dos eleitores de Bolsonaro. Em contrapartida, a criminalidade é a maior preocupação entre os eleitores do PL (20,3%), mas recebe atenção de um grupo bem menor de eleitores de Ciro (5%), Tebet (4,3%) e Lula (3,9%). Observa-se também associação dos eleitores com agendas negativas. Enquanto mais de 26% dos eleitores de Ciro e Tebet, e 19,9% dos eleitores de Bolsonaro se preocupam com a corrupção, esta é lembrada por apenas 13% dos eleitores petistas. Do mesmo modo, inflação, crescimento econômico, desemprego e meio ambiente são mais lembradas por eleitores de Lula do que pelos eleitores de Bolsonaro.
Outro ponto a ser investigado é se há correspondência entre as preocupações dos eleitores e as ênfases atribuídas pelos partidos às mesmas temáticas. Conforme a Tabela 3, nota-se que há diferenças menores que 2%: a) na temática “meio ambiente” para PL, PT e PDT; b) na temática “acesso à educação” para PT e PL; c) nas temáticas “pobreza e desigualdade social” e “desemprego” no PL; d) e na temática “acesso à saúde” no PDT. Por outro lado, chama atenção que o PT não tenha dado ênfase semelhante no HGPE à importância dada por seu eleitor à temática da “pobreza e desigualdade social”, definitivamente um issue ownership do partido.
Na medida em que o leque de temáticas apresentadas aos eleitores no questionário é inferior às temáticas abordadas no HGPE, observa-se que as maiores diferenças ocorreram na categoria “Outra”, que, no caso do HGPE, representa a soma de todas as outras frequências não associadas às dez opções do questionário da Atlas/Arko. Excluindo esse outlier, no Gráfico 4, apresentamos o coeficiente de Correlação de Pearson (r) entre as frequências das temáticas que mais preocupam os eleitores (issue ownership) e as temáticas correspondentes enfatizadas pelas candidaturas no HGPE (issue salience). Os resultados apontam correlações moderadas e positivas para as quatro candidaturas (Gráfico 4):

Sintetizando os achados desta seção, podemos concluir que, em consonância com o pressuposto (ii) da Saliency Theory, as candidaturas tendem a enfatizar temáticas ideologicamente vinculadas a partidos e candidatos, isto é, temáticas que são vantajosas para eles, elemento que evidencia o fator de crédito/culpa que os eleitores empregam aos partidos conforme a defesa e ao sucesso/fracasso por determinadas políticas (Anderson, 1995; Rudolph, 2003; Marsh; Tilley, 2010; Müller, 2020). Não obstante, achado deste estudo mostra que, no HGPE, os partidos enfatizam também temáticas em que o oponente leva clara vantagem. Tal movimento pode significar uma estratégia de tentar arregimentar setores do eleitorado mais próximos do adversário.
Ademais, na esteira do issue ownership (Petrocik, 1996; Petrocik; Benoit; Hansen, 2003), mostramos que os eleitores tendem a associar os candidatos de sua preferência com temáticas ideologicamente a eles vinculadas; que temáticas deletérias ao partido que ocupa a presidência são menos lembradas por seus eleitores do que pelos eleitores de partidos opositores e que há um grau de associação moderado e positivo entre issue ownership e issue salience. Essa descoberta sugere que quanto maior a frequência de preocupação dos eleitores com uma determinada temática, maior é a probabilidade de as candidaturas enfatizarem-na em suas campanhas.
Isso poderia indicar que as candidaturas estejam buscando reforçar sua atuação histórica em um assunto que dominam, que estejam tentando responder às demandas e preocupações dos eleitores, ou que estejam buscando criar uma conexão emocional com o eleitorado por meio do discurso sobre esses temas. No entanto, vale ressaltar que a Correlação de Pearson (r) não indica causalidade, ou seja, ainda que tenhamos aventado algumas hipóteses, não podemos afirmar que as temáticas enfatizadas pelas candidaturas sejam decorrentes das preocupações dos eleitores.
Os partidos quase nunca falam sobre seus oponentes nas campanhas eleitorais?
Apresentamos até aqui as frequências categóricas agregadas. O foco, a partir deste ponto, recai sobre a estrutura das propagandas eleitorais. Especificamente, o intuito é compreender como é formada a agenda das candidaturas presidenciais no HGPE. Os achados mostram que, em média, um quarto do tempo dos programas é dedicado à confrontação com oponentes. Proporção bem mais expressiva do que aquela observada em análise de manifestos: valores inferiores a 10% (Budge; Farlie, 1983b; Petrocik; Benoit; Hansen, 2003; Budge et al., 2001; Klingemann et al., 2006). Desse modo, acerca desse objeto em específico, não podemos falar no emprego de “ênfase seletiva” em detrimento da “confrontação direta”, mas, apenas em emprego de ênfase seletiva em conjunto com confrontação. As duas estratégias são importantes e indispensáveis36. Assim, no escopo do HGPE, rejeita-se o pressuposto (iii) da Saliency Theory.
Para compreender a confrontação, empregamos o conceito de interação estratégica, desenvolvido no marco do neoinstitucionalismo da escolha racional. Aldrich define um sistema partidário por sua interação estratégica, quando este “consiste em todos e apenas naqueles partidos cujas ações ajudam a determinar o resultado e cujas ações dependem das ações (antecipadas) de todos os outros partidos, e vice-versa” (Aldrich, 2011, p. 57). Para Tsebelis (1998), a ação individual pode ser vista como uma adaptação ótima a um ambiente institucional, no qual as interações estratégicas entre os atores consistem em uma resposta otimizada na relação recíproca entre eles e a instituição. Desse modo, as interações entre os atores não estão descoladas das regras do jogo. Nesse caso, as que regulamentam o acesso e o tempo dos partidos no HGPE. As instituições moldam o comportamento dos atores, os quais produzem resultados políticos. Os dados completos da agenda das candidaturas no HGPE podem ser observados na Tabela 4:

Notamos que as quatro candidaturas com maior tempo de HGPE foram aquelas que, proporcionalmente, dedicaram maior frequência à interação estratégica37. No entanto, candidaturas com pouco tempo de propaganda apresentam outras prioridades. NOVO, PTB e PDT, nesse sentido, dedicaram maior frequência à “Metacampanha” do que as quatro candidaturas com maior tempo.
Não menos importante do que a interação estratégica é a construção da imagem dos candidatos. Ainda na década de 1990, Pasquino (1990), Manin (1995), Mancini e Swanson (1996) e Farrell (1996, 2005) ressaltaram dois aspectos importantes sobre a construção da imagem dos candidatos em campanhas ao Executivo: a) a crescente onda de movimentos estratégicos para (des)construção (ou construção negativa) da imagem de seus candidatos e dos adversários e b) a utilização dos meios de comunicação de massa, principalmente, o televisivo, em que o partido político assume papel de coadjuvante na arena eleitoral, reconfigurado ao papel de uma “marca” que apoia o candidato.
O artifício da construção da imagem é importante, sobretudo, para aqueles candidatos pouco conhecidos entre os eleitores. Esse recorte da agenda, aliás, foi o principal da candidatura de Simone Tebet (MDB). Proporção relevante da construção da imagem também pode ser observada na agenda da novata Soraya Thronicke (UNIÃO) e de Lula (PT). No caso de Lula, podemos aventar que se tratou de um processo de reconstrução de sua imagem (deteriorada pela Operação Lava Jato) e de recuperação do legado de seus governos anteriores. Por outro lado, Padre Kelmon (PTB) e Felipe D’Avila (NOVO), candidatos com pouco tempo de propaganda, não dedicaram importância relativa à construção da imagem. Kelmon, aliás, não dedicou tempo algum a promover sua imagem como candidato, reforçando a percepção de que sua candidatura atuou como linha-auxiliar do candidato Jair Bolsonaro (PL).
A construção da imagem dos candidatos ocupa, em média, 21,64% do tempo das propagandas eleitorais. Já a “Metacampanha” ocupa, em média, 11,88% do tempo do HGPE. Não há dúvidas, no entanto, que o elemento prioritário na agenda das candidaturas é a saliência temática, que ocupa, em média, 41,31% do tempo de propaganda. Tendo compreendido a proporção do tempo dedicado a cada recorte do HGPE, debruçamo-nos, na próxima seção, a compreender a interação estratégica e as temáticas que ela mobilizou.
Interações Estratégicas no Horário Eleitoral
Em 2018, as candidaturas do autoproclamado centro, principalmente, MDB e PSDB, realizaram intensamente interações com PT e PSL, com o intuito de, por meio da propaganda negativa, ocupar um dos lugares no segundo turno (Contrera; Gregorio; Lima, 2020). O tempo de exposição do PSL nos programas do PSDB correspondeu a aproximadamente oito vezes todo o tempo que o PSL detinha para si no primeiro turno. Tal estratégia conferiu ao MDB e ao PSDB os escores mais elevados de Closeness38 e Betweeness Centrality39. Em consequência à frequente interação recebida, PSL (41min51s) e PT (40min24s) detiveram os maiores graus de entrada ponderados naquela rede. A rede de interações estratégicas na eleição de 2018 segue no Grafo 1. Os nós aumentam gradativamente conforme as interações recebidas.

Legenda: A espessura das arestas informa quais partidos emitiram interações mais duradouras.
Fonte: Elaboração própria a partir dos dados do HGPE (2018).Curiosamente, PT e PSL pouco interagiram entre si. O PSL de Bolsonaro detinha apenas oito segundos de propaganda por bloco, o que, embora não seja um elemento impeditivo para interação, certamente é limitante. O PT, por outro lado, não via Bolsonaro como seu principal adversário, razão pela qual direcionou suas interações majoritariamente ao Governo Temer. Tendo se conectado com, respectivamente, 13 e 14 atores da rede, MDB e PODEMOS apresentaram os maiores escores para hub.
Por sua vez, os resultados da análise realizada no Gephi indicam que a rede de interações entre partidos no HGPE, em 2022, é caracterizada por uma densidade moderada (0,411)40, uma estrutura não modular (0,000)41, um alto coeficiente de clustering (0,655)42, um diâmetro pequeno (2)43 e um comprimento médio de caminho relativamente curto (1,303)44. Isso sugere uma rede relativamente conectada, com tendência de formação de agrupamentos locais de nós, mas sem a formação de comunidades mais densamente conectadas. O grau médio mostra que cada nó está conectado a 2,875 nós. O grau médio ponderado pelo tempo das interações é de 730,738, o que indica a importância da duração das interações.
Segundo Newman (2010), redes complexas, muitas vezes, não se encaixam em modelos aleatórios, o que pode indicar a presença de estrutura ou padrões não aleatórios na rede. A inferência estatística é uma medida importante para entender se a rede apresenta algum tipo de estrutura ou padrão que não seria esperado em uma rede aleatória. É importante ressaltar que a inferência estatística (32,184) indicou a presença de estrutura não aleatória, o que sugere a existência de padrões ou estrutura subjacente na rede. Ao investigarmos a estrutura da rede, identificamos a existência de padrões de interação.
A rede de interações estratégicas da eleição de 2022 apresenta dois espaços de competição simultâneos. O primeiro é ocupado por PT e PL/GOV, que escolheram interagir majoritariamente entre si (98,37% das interações do PT foram direcionadas ao PL/GOV e 98,31% das interações do PL/GOV foram direcionadas ao PT). O segundo segue o padrão da eleição de 2018, com as candidaturas da “terceira via” interagindo pouco entre si (apenas 9,18% das suas interações) e intensamente com PL/GOV e PT (90,82% das suas interações). Tais comportamentos estão de acordo com a perspectiva de que os partidos agem em interação estratégica, visando maximizar os ganhos eleitorais, e refletem o contexto de polarização que tem permeado as eleições presidenciais nas últimas duas décadas.
Especificamente, o PL/GOV foi o alvo de 62,04% de todas as interações no HGPE. Já o PT recebeu 32,69% das interações. As outras candidaturas somadas receberam pouco mais de 5% das interações. O tempo de interação entre os atores pode ser verificado na Tabela 5:

A rede de interações da eleição de 2022 pode ser observada no Grafo 2. A interpretação segue o mesmo padrão do Grafo anterior.

Para aferir a importância dos atores na rede, analisamos as estatísticas descritas na Tabela 6. O PageRank é um algoritmo de análise de rede que classifica os nós em termos de sua importância relativa. Quanto maior o PageRank de um nó, maior sua importância dentro da rede. A este respeito, podemos observar que o PT possui o maior valor, o que sugere que é o partido mais influente na rede. Em segundo lugar está o PL/GOV, seguido pelo MDB, PDT, UNIÃO, NOVO, PTB e OUTRO.

Além disso, o PT apresenta valores relativamente altos em todas as medidas de centralidade, o que indica uma posição privilegiada na rede. Exceto por “OUTRO”, que não é um emissor, todos os nós apresentam valores moderados e altos para Closeness e Harmonic Centrality. Tal fato sugere que os nós estão próximos de muitos outros nós na rede; e que, portanto, são capazes de transmitir informações de forma rápida e eficiente. Por outro lado, PTB, MDB e NOVO não manifestam escores significativos para Betweeness. PT, MDB e PL/GOV apresentam os maiores valores para Authority, enquanto UNIÃO, NOVO e PDT têm os maiores valores para hub.
Formato das interações: direção, orador e cenário
Quantificadas as interações estratégicas entre as candidaturas, analisamos a partir deste ponto a forma como elas foram estruturadas. O formato da interação revela informações importantes sobre como a candidatura emissora pretende incutir certa percepção sobre a candidatura receptora nos eleitores. Tal percepção varia em função da escolha do orador que vai proferir a interação, o cenário em que a interação é posicionada, bem como a direção da mensagem.
No que diz respeito à direção, as interações foram indiretas, em 52,9%, e diretas, em 47,1% do tempo. Do ponto de vista da comunicação, a interação indireta é eficaz porque ela transmite a mensagem sem vocalizar o receptor, como exemplifica a Figura 2 – segmento: [“Com esse aqui (sinal de arma), o preço dos combustíveis está sempre caro”]. Esta foi a forma mais utilizada por MDB, PDT e NOVO para interagirem com PL e PT.

Por outro lado, a interação direta foi a forma predominante de interação entre PL e PT. O tipo (cor) e a frequência (espessura da aresta) de direção escolhida para interagir podem ser observadas no Grafo 3:

Legenda: Arestas em rosa designam interações indiretas; arestas em azul designam interações diretas.
Fonte: Elaboração própria a partir dos dados do HGPE (2022).Delimitados o formato e a estrutura da rede de interações, passamos para a análise sobre os principais atores. Conforme a Tabela 7, o principal orador durante as interações estratégicas no HGPE foi o candidato a presidente. Outros oradores frequentes foram narrador em off, populares, imagem (não vocalizado) e apresentador. A distribuição dessas categorias, contudo, não é uniforme. Ela segue estratégias partidárias alinhadas com o tempo de propaganda da candidatura por bloco, posição da candidatura em relação ao Governo e nível de conhecimento do eleitor sobre o candidato. Menos conhecidos pelo público, Tebet (62,04%), Thronicke (58,23%) e D’Avila (85,18%) utilizaram seu papel de candidato para emitir, como oradores, proporcionalmente, mais interações do que Lula (16,95%) e Bolsonaro (3,52%).

Lula e Bolsonaro, aliás, não concentraram as interações em um orador específico e é possível observar uma estratégia similar de terceirizar interações. Em ambas as campanhas, os principais emissores de interação são, para o PT: narrador em off (22,2%), populares (19%) e apresentador (18%). Para o PL: narrador em off (21,3%), apresentador (15,6%) e populares (17,1%). Ao terceirizar as interações, as campanhas desoneram o candidato de promover confrontos diretos com os adversários e delegam essa tarefa aos demais oradores. Assim, o candidato se afasta das interações e tem sua mensagem reforçada e ampliada por diferentes fontes, principalmente, quando o orador são os populares. Os dados conversam com a observação de Albuquerque (1999) de que a substituição do candidato por demais oradores é frequente e, de modo geral, esses oradores atuam como funcionários da campanha e realizam uma variedade de tarefas dentro do programa eleitoral.
Focando nas interações recebidas, vemos que o PL foi o mais acionado (42,55%) pelo orador “Candidato”. Isto é, as candidaturas adversárias escolherem recorrentemente seus próprios candidatos para interagir com Bolsonaro. Populares foram também recorrentemente usados para interações com PT e PL.
Com menos frequência, as candidaturas utilizaram falas antigas e descontextualizadas de adversários, aliados de adversários e até mesmo ex-aliados. A campanha de Bolsonaro utilizou falas de Lula sobre criminalidade juvenil, valores tradicionais, mulheres e julgamento na Lava Jato. Já o PT utilizou falas de Bolsonaro sobre a pandemia, mulheres, meio ambiente, fome e ditadura.
No caso de ex-aliados dos oponentes, enquanto o PL utilizou o depoimento de Palocci na Lava Jato, para vincular o PT à corrupção, os petistas, com o mesmo propósito, conforme a Figura 3, utilizaram uma entrevista de Arthur Weintraub, ex-ministro da Educação de Bolsonaro. Neste segmento, um interlocutor oculto pergunta: [“(...) Bolsonaro rouba ou deixa roubar?”]. Weintraub, então, responde: [“Rabo de porco, orelha de porco, pé de porco, focinho de porco... bicho, se não é porco é feijoada. Respondido?”].

Tão importante quanto a definição do orador é a construção do cenário em que ele está inserido. No HGPE, em 2022, os cenários mais frequentes na interação estratégica foram o “Estúdio”, “Vias Públicas”, “Manchetes”, “Capas de Jornais e Revistas”, “Vídeo-tapes” e “Animação”. Somados, perfazem 65,32% da amostra. As combinações orador-cenário mais frequentes são populares-vias públicas (646/790) e candidato-estúdio (1021/2007). Essa predileção por determinados oradores e cenários tem função estratégica: enquanto o uso de populares reforça caráter emocional e ajuda na identificação do candidato com o eleitor, o uso de vias públicas tem a função de documentar realizações do candidato e/ou reforçar pontos de crítica ao adversário. A combinação candidato-estúdio, por sua vez, tem o objetivo de dar mais credibilidade e legitimidade ao discurso através de formatos mais próximos ao modelo jornalístico (Albuquerque, 1999; Massuchin; Cavassana, 2020; Lima, 2021).
Ainda que sejam menos frequentes, as combinações orador-cenário que mobilizam elementos simbólicos são dignas de nota. Por exemplo, candidato no supermercado para falar de inflação – tal enquadramento foi utilizado por PDT e UNIÃO; ou ainda, utilizar o adversário como orador em cenário adverso à fala. Nesse sentido, o PT utilizou um respirador como cenário e falas negacionistas de Bolsonaro para enquadrar a temática da pandemia. Já o vídeo-tape é mobilizado tendo como orador o adversário, aliados e ex-aliados, como no exemplo do segmento de Weintraub.
Conteúdo: temática e valência
Acerca da interação entre partidos, investigamos quais temáticas os partidos buscam associar aos seus oponentes. No momento do confronto, os partidos enfatizam temáticas que são reconhecidamente prejudiciais aos seus adversários. Se o issue ownership é o reconhecimento da competência de um partido para lidar com um determinado assunto, quando as candidaturas interagem no HGPE45, elas ressaltam a incompetência de seus adversários para lidar com um tema específico.
Com efeito, somente a esquerda é associada à moralidade tradicional (per603). O PT é fortemente associado à corrupção (per304), autoridade política: crítica às gestões passadas (per305) e à lei e à ordem (per605.1). Entre as temáticas salientadas, o PL só não é receptor de interação em temáticas alinhadas à direita (per603, per605.1 e per703.1). Os temas mais associados ao partido de Bolsonaro são bem-estar social (per504), autoridade política: crítica ao governo (per305), corrupção (per304), salário-mínimo e inflação (per412), mulheres (per706) e democracia (per202). No Gráfico 5, podemos observar a proporção de tempo que cada candidatura emissora contribuiu nas temáticas em que interagiram com PL e PT:

Legenda: Candidaturas emissoras da interação representadas pelas cores.
Fonte: Elaboração própria a partir dos dados do HGPE (2022).As interações com os atores restantes, mostradas no Gráfico 6, representam apenas pouco mais de 5% do tempo de interação no HGPE. Sobressaem-se nesta amostra assuntos não vinculados a uma categoria específica do MAPOR (per000) e à autoridade política (per305). Ademais, escândalos de corrupção como a “Rachadinha”, de Davi Alcolumbre (UNIÃO), e o “Petrolão”, do MDB, foram lembrados pelo NOVO; PDT e PL também exibiram o escândalo vinculado a Geddel Vieira Lima (MDB).

Legenda: Candidaturas emissoras da interação representadas pelas cores.
Fonte: Elaboração própria a partir dos dados do HGPE (2022).Quando observamos a valência em que essas temáticas foram associadas às candidaturas adversárias, evidentemente sobressaem-se as negativas (91,34%), mais mobilizadas do que as neutras (8%) e as positivas (0,65%). Interações positivas ocorrem em contextos muito específicos, tal como em segmento em que Soraya Thronicke interagiu positivamente com Simone Tebet sobre o Orçamento Secreto, em que ambas eram acusadas por Bolsonaro no debate do SBT. No Grafo 4, as valências estão indicadas pelas cores das arestas.

Legenda: Arestas em rosa = negativas; Aresta em cinza = positiva; Arestas em azul = neutras.
Obs.: Arestas aparentemente em lilás não são categoria adicional, mas resultado da sobreposição das arestas rosa e azul.
Fonte: Elaboração própria a partir dos dados do HGPE (2022).A campanha negativa tem se tornado componente importante nas eleições modernas e advém de uma decisão racional baseada na ponderação entre custos – reação do eleitor que, em geral, não a aprova (Fridkin; Kenney, 2012) - e benefícios – aumento potencial do número de votos (Benoit, 2007, p. 33). À medida que a campanha negativa se acentua, ocorre a transição da agenda programática para uma agenda sobre controle de riscos (Maier; Jansen, 2017). Por sua vez, como destaca Geer (2006), os canais digitais e mídias sociais – sem filtros de controle – são mobilizados como suporte às estratégias de comunicação dos canais tradicionais, implementando estímulos que visam à estabilidade da narrativa (Maier; Nai, 2021).
Conforme expresso no Grafo 4, as interações em 2022 ocorreram predominantemente via interação negativa, em que a menção ao adversário é aplicada sob a estratégia (i) de impulsionar fatos e elementos considerados frágeis ao seu concorrente, e (ii) para provocar reação no eleitorado. Isto é, os argumentos são apresentados com a função de distinguir um candidato de seus oponentes, majoritariamente caracterizados por evidenciar os posicionamentos contrários das candidaturas para um mesmo tema político.
No Brasil, estudos com foco na propaganda negativa têm: mostrado que a decisão de atacar está associada ao nível de competitividade dos candidatos (Carvalho, 1994; Porto; Guazina, 1999; Porto; Vasconcelos; Bastos, 2004) e que a propaganda negativa exerce impacto na percepção sobre as escolhas eleitorais (Chaia, 2004; Steibel, 2007; Lourenço, 2009) e plebiscitárias (Veiga; Santos, 2008); mensurado seu uso nas eleições presidenciais, observando a propaganda na TV (Borba, 2015) e em outras mídias e contextos (Borba, 2019); avaliado os condicionantes da aceitação e da rejeição à propaganda negativa entre os eleitores (Borba; Veiga; Martins, 2018) e, por último, avaliado como o uso desta estratégia entre os consultores políticos varia de acordo com as circunstâncias (Borba; Vasconcelos, 2022).
Em análise sobre o conteúdo dos programas exibidos no HGPE, durante as eleições à presidência do Brasil ocorridas entre 1989 e 2014, Borba (2015) verificou que o percentual médio de propaganda negativa “oscilou em torno de 13% do total de mensagens veiculadas no horário eleitoral no primeiro turno e 21% no segundo. O percentual de ataques variou em cada eleição, sendo maior nos anos com reeleição, quando os candidatos exploram as vulnerabilidades administrativas do governante” (Borba, 2015, p. 290). Além disso, em comparação com o contexto americano, Borba (2015) atribuiu o baixo percentual de propaganda negativa no Brasil a variáveis culturais, institucionais e políticas46.
Analisando a distribuição de valências no HGPE como um todo47, vimos na eleição presidencial de 2022 que os segmentos negativos corresponderam a 27,78% do tempo de propaganda eleitoral no primeiro turno – mais que o dobro verificado por Borba (2015) entre 1989 e 2014. Tal diferença pode estar relacionada tanto ao emprego de tratamentos metodológicos sutilmente distintos para medir segmentos negativos como a uma mudança, de fato, nas estratégias partidárias de competição, tendo em vista que a eleição presidencial de 2022 foi a mais polarizada desde 1989.
Conclusões
Ao discutir a competição partidária na eleição presidencial brasileira de 2022 a partir da Saliency Theory, atestamos o alcance explicativo para duas de suas premissas centrais em um objeto ainda não explorado, o HGPE. Confirmando a premissa de que (i) os partidos não fornecem respostas diferentes para uma determinada agenda de problemas políticos, a análise das ênfases das candidaturas no HGPE, nas categorias temáticas com valências excludentes do MARPOR, mostrou a propensão dos partidos em não manifestar posições distintas para um dado problema e, ainda, a tendência de seguir o mesmo curso de ação.
Atestamos também a proeminência da estratégia da ênfase seletiva (Budge; Farlie, 1983b), para a qual as candidaturas dedicaram 41,31% do tempo do HGPE48. A esse respeito, vimos que as candidaturas tendem a enfatizar temas ideologicamente vinculados aos partidos e candidatos. Enquanto o PL atribuiu ênfase significativa à defesa do “Modo de Vida Nacional” (per601), “Moralidade Tradicional” (per603) e “Lei e Ordem” (per605.1), o PT enfatizou “Economia Controlada” (per412), “Expansão do Bem-estar social” (per504), “Expansão da Educação” (per506) e “Grupos Demográficos não econômicos” (per706).
Demonstramos ainda que os eleitores tendem a associar o candidato de sua preferência com temáticas ideologicamente vinculadas ao próprio candidato e seu partido; que temáticas deletérias ao partido que ocupa a presidência são menos lembradas por seus eleitores do que pelos eleitores de partidos opositores e que há um grau de associação moderado e positivo entre issue ownership e issue salience. Em conjunto, esses achados estão em consonância com a premissa de que (ii) os partidos focariam atenção nas temáticas que são vantajosas para eles. Em contrapartida, este artigo mostra ademais que, no HGPE, os partidos enfatizam também temáticas em que o oponente leva clara vantagem. Tal movimento pode significar uma estratégia de tentar arregimentar setores do eleitorado mais próximos do adversário.
Em que pese a relevância dos achados já discutidos, talvez a grande a contribuição que este artigo ofereça seja destacar a importância da estratégia da confrontação partidária no HGPE, pois os dados mostram que 25,17% do tempo dos programas foi dedicado à confrontação com oponentes. Proporção bem mais expressiva do que aquela observada em análise de manifestos (Budge; Farlie, 1983b; Petrocik, 1996; Budge et al., 2001; Petrocik; Benoit; Hansen, 2003; Klingemann et al., 2006).
Isso posto, neste objeto em específico, não podemos falar no emprego de “ênfase seletiva” em detrimento da “confrontação direta” (Budge; Farlie, 1983b), mas no emprego de ênfase seletiva em conjunto com confrontação. As duas estratégias são importantes e indispensáveis para os partidos no HGPE, na medida que visam apresentar agendas temáticas ou construir e desconstruir imagens de candidatos. Desse modo, rejeitamos, no escopo do HGPE, a premissa de que (iii) os partidos quase nunca falam sobre seus oponentes em campanhas eleitorais.
Assim, ao explicar a confrontação através do conceito de interação estratégica (Aldrich, 2011), mostramos que a competição partidária no HGPE, em 2022, configurou-se em uma rede relativamente conectada, com tendência à formação de agrupamentos locais, mas sem a formação de comunidades mais densamente conectadas. Ademais, a inferência estatística (32,184) indicou a presença de estrutura não aleatória, sugerindo a existência de padrões ou estrutura subjacente na rede (Newman, 2010).
Ao investigar a estrutura da rede, identificamos a existência de padrões na interação que sugerem dois espaços de competição: o primeiro ocupado por PT e PL/GOV e o segundo opondo candidaturas da “terceira via” ao PT e ao PL/GOV. O primeiro espaço é inédito, posto que em 2018 houve pouca interação entre PT e Bolsonaro. PT tinha como grande adversário a gestão Temer e os tucanos. Já Bolsonaro, pelo PSL, contava apenas com 8s de HGPE por bloco. O segundo espaço de competição reproduz o padrão delineado em 2018, quando candidaturas da autoproclamada “terceira via” interagiram majoritariamente com PT e Bolsonaro. Em ambas as eleições tal estratégia mostrou-se ineficaz. Vimos também que PT e PL/GOV ocupam posições privilegiadas na rede, em decorrência dos elevados valores observados em todas as medidas de centralidade.
Avançando na análise do formato das interações na rede, vimos que houve um equilíbrio entre interações indiretas (52,9%) e diretas (47,1%). O principal orador durante as interações foi o candidato a presidente; outros oradores frequentes foram o narrador em off, populares, imagem (não vocalizada) e apresentador. Tão importante quanto a definição do orador é a construção do cenário em que ele está inserido. Observamos que os cenários mais frequentes na interação estratégica foram o “Estúdio”, “Vias Públicas”, “Manchetes”, “Capas de Jornais e Revistas”, “Vídeo-tapes” e “Animação”: somados, perfazem 65,32% da amostra. As combinações orador-cenário mais frequentes são populares-vias públicas e candidato-estúdio.
No que diz respeito ao conteúdo das interações, mostramos que no momento do confronto os partidos enfatizaram temas que são reconhecidamente prejudiciais aos seus adversários. Se o issue ownership é o reconhecimento da competência de um partido para lidar com certo assunto, quando as candidaturas interagem no HGPE, o emissor ressalta a incompetência dos adversários para lidar com dada temática. Ao observarmos a valência em que essas temáticas são associadas às candidaturas adversárias, foi, portanto, constatado o predomínio de mobilizações negativas (91,34%) sobre neutras (8%) e positivas (0,65%), em consonância com a percepção de que a propaganda negativa prevalece sobre as demais (Maier; Jansen, 2017; Nai; Tresch; Maier, 2022).
Assim, seja empregando ataques diretos a partidos (Walter, 2014; Stückelberger, 2021) e/ou a candidatos (Walter, 2013; Maier; Jensen, 2015), a campanha negativa “é eficaz na construção da imagem negativa do adversário. Contudo, age fomentando efeitos corrosivos para a democracia, aumentando a polarização no eleitorado e reduzindo o comparecimento nas eleições em reflexo à profunda desaprovação pelos cidadãos” (Nai; Tresch; Maier, 2022, p. 774). O esclarecimento de tais prerrogativas, sobretudo quando vinculadas a redes de interação, ainda é pouco mobilizado no contexto brasileiro.
Ao concluir, ressaltamos a extensão da aplicabilidade da Saliency Theory para a compreensão da competição partidária na propaganda televisiva no Brasil. Avaliar a interação entre as candidaturas sob a ótica dessa teoria permitiu elucidar até que ponto tal abordagem, tradicionalmente empregada em manifestos, possibilita novas explicações a respeito da funcionalidade do HGPE. De forma perceptível, a apresentação e discussão de temáticas pelas candidaturas na ênfase seletiva sobre um assunto ou conforme a confrontação entre adversários são a engrenagem que move as campanhas partidárias na televisão, sinalizando que o espaço é majoritariamente utilizado para exposição e contraposição de ideários, ainda que, por vezes, recaia na desconstrução do adversário, no lúdico e na estereotipização.
Destacamos ainda que achados deste artigo avançam na direção dos estudos que atestam a relevância do HGPE na competição (Borba; Dutt-Ross, 2021; Borba; Meira; Dutt-Ross, 2022). O foco no conteúdo das interações permite não apenas contribuir para o debate sobre o papel institucional e burocrático do HGPE, mas também o validar como ferramenta estratégica fundamental da competição eleitoral. Esperamos ainda que os resultados desta pesquisa possam motivar novos estudos sobre competição eleitoral focados na interação estratégica. Análises longitudinais permitirão estudar as mudanças que ocorrem nas redes de interação ao longo do tempo, ajudando a entender como a estrutura da rede evolui e as dinâmicas de competição se desenvolvem.
Referências bibliográficas
Abers, R. N. "Ativismo na burocracia? O médio escalão do Programa Bolsa Verde". In: Cavalcante, P.; Lotta, G. (Orgs.). Burocracia de médio escalão. 2ed. Brasília: ENAP, 2015.
Abers; R. N.; Keck, M. Autoridade prática: ação criativa e mudança institucional na política do Brasil. Rio de Janeiro: Editora Fiocruz, 2017.
Albert, R.; Barabasi, A. "Statistical Mechanics of Complex Networks". Reviews of Modern Physics, 74, 47-97, 2002.
Albuquerque, A. "Aqui você vê a verdade na tevê: A propaganda política na televisão". Niterói. 204p. Tese (Doutorado em Comunicação, Imagem e Informação) (MCII). Universidade Federal Fluminense, 1999.
Albuquerque, A. Propaganda Política e Eleitoral. In: Rubim, A. A. C. (Org.). Comunicação e Política: Conceitos e abordagens. 1º ed. São Paulo/Salvador: UNESP/UFBA, v. 1, p. 453-485, 2004.
Aldrich, J. Why Parties? A second look. Chicago and London: University of Chicago Press, 2011.
Alves, M.; Lima, B. "Campanhas e legislação eleitoral: Análise da Minirreforma no contexto das eleições municipais brasileiras de 2016". Revista Eletrônica de Ciência Política, vol. 9, nº 1, p. 119-140, 2018.
Alves, M.; Lima, B. "Campanhas e Legislação Eleitoral: os governos estaduais nas eleições de 2018". Revista Sul-Americana de Ciência Política, vol. 6, nº 1, p. 157-175, 2020.
Anderson, C. "The Dynamics of Public Support for Coalition Governments". Comparative Political Studies, vol. 28, nº 3, p. 350-383, 1995.
Arantes, P. E. Zero à Esquerda. São Paulo: Conrad Livros, 2004.
Azevedo, A. "Espaço público, mídia e modernização das campanhas eleitorais no Brasil". In: IV Reunião Anual da Compós, PUC- São Paulo, p.1-05. 1998.
Azevedo, F. A. "Mídia e democracia no Brasil: relações entre o sistema de mídia e o sistema político". Opinião Pública, Campinas, vol. 12, p. 88-113, 2006.
Barabási, A. L. Network science. Cambridge: Cambridge University Press, 2016.
Bardin, L. Análise de Conteúdo. Lisboa: Edições 70, 2002.
Barela, T. "Comunicação no processo eleitoral brasileiro: informação em tempo de campanha e influência das reformas legislativas (2002-2018)". Dissertação de Mestrado em Ciência Política. Instituto Superior de Ciências Sociais e Política, Universidade de Lisboa, Lisboa, 2023.
Benkler, Y. "Networks of power, degrees of freedom". International Journal of Communication, nº 5, p. 721-755, 2011.
Benoit, W. L. Communication in political campaigns. New York: Oxford University Press, 2007.
Borba, F. "A Influência das Campanhas nas Eleições Presidenciais Brasileiras". Civitas, Porto Alegre, vol. 08, p. 300-322, 2008.
Borba, F. "A propaganda negativa: estratégia e voto nas eleições brasileiras". Tese de Doutorado em Ciência Política. Instituto de Estudos Sociais e Políticos, Universidade do Estado do Rio de Janeiro, Rio de Janeiro, 2012.
Borba, F. "Propaganda negativa nas eleições presidenciais brasileiras". Opinião Pública, vol. 21, nº 2, p. 268-295, 2015.
Borba, F. "Medindo a propaganda negativa na TV, rádio, debates, imprensa e Facebook: o caso das eleições presidenciais de 2014". Intercom, Rev. Bras. Ciênc. Comun, vol. 42, nº 1, p. 37-56, 2019.
Borba, F.; Aldé, A. "O Horário Eleitoral e a Formação da Opinião Pública". In: 10º Encontro da Associação Brasileira de Ciência Política, Belo Horizonte. Ciência Política e a Política: Memória e Futuro, 2016.
Borba, F.; Cervi, E. U. "Relação entre propaganda, dinheiro e avaliação de governo no desempenho de candidatos em eleições majoritárias no Brasil". Opinião Pública, Campinas, vol. 23, nº3, p. 754-785, 2017.
Borba, F.; Dutt-Ross, S. "Horário Gratuito de Propaganda Eleitoral e a formação da opinião pública na eleição presidencial de 2018". Opinião Pública, Campinas, vol. 27, nº 3, set.-dez., p. 851-877, 2021.
Borba, F.; Medeiros, L. "O HGPE e a democracia brasileira. As eleições de 2014 e 2018 em perspectiva comparada". In: Anais do 8º Encontro da Associação Brasileira de Pesquisadores em Comunicação e Política - Compolítica. Brasília, 2019.
Borba, F.; Meira, J. F.; Dutt-Ross, S. O HGPE morreu? A audiência da propaganda eleitoral e o voto. In: Lavareda, A.; Telles, H. (Eds.). Eleições municipais na pandemia. Rio de Janeiro: Editora FGV, p. 195-214, 2022.
Borba, F.; Vasconcellos, F. "A campanha negativa como estratégia eleitoral na perspectiva dos consultores políticos: quem atacar, quando atacar e como atacar". Intercom: Revista Brasileira de Ciências da Comunicação, São Paulo, vol. 45, p. 1-20, 2022.
Borba, F.; Veiga, L. F.; Martins, F. B. "Propaganda negativa na eleição presidencial de 2014. Ou como tudo que é frágil se desmancha no ar". Revista Estudos Políticos, vol. 6, p. 171-189, 2015.
Borba, F.; Veiga, L. F.; Martins, F. B. "Os condicionantes da aceitação e da rejeição à propaganda negativa na eleição presidencial de 2014". Revista Brasileira de Ciência Política, nº 25, p. 205-236, 2018.
Borgatti, S.; Everett, M.; Johnson, J. Analyzing social networks. London: Sage Publications, 2013.
Bourdieu, P. La reproducción. España: Fontamara, 1996.
Brasil. Lei nº 4.737, de 15 de julho de 1965. Institui o Código Eleitoral. Publicação Original. Disponível em: http://www.planalto.gov.br/cciViL_03/LEIS/L4737.htm. Acesso em: 21 mar. 2023.
Braga, S.; Carlomagno, M. "Eleições como de costume? Uma análise longitudinal das mudanças provocadas nas campanhas eleitorais brasileiras pelas tecnologias digitais (1998-2016)". Revista Brasileira de Ciência Política, Brasília, nº 26, p.7-62, 2018.
Bresser-Pereira, L. C. "Reforma gerencial e legitimação do estado social". Revista de Administração Pública, vol. 51, nº 1, p. 147-156, 2017.
Budge, I., et al. (Eds.). Mapping policy preferences. Oxford: Oxford University Press, 2001.
Budge, I. "Issue emphases, saliency theory and issue ownership: a historical and conceptual analysis". West European Politics, vol. 38, nº 4, p. 761-777, 2015.
Budge, I; Farlie, D. Voting and party competition. London: John Wiley & Sons, 1977.
Budge, I; Farlie, D. Explaining and predicting elections: Issue effects and party strategies in Twenty-three democracies. London: George Allen & Unwin, 1983a.
Budge, I; Farlie, D. Party competition: selective emphasis or direct confrontation? An alternative view with data. In: Daalder, H.; Mair, P. (Eds.). Western European party systems. London: Sage, 1983b.
Budge, I.; Meyer, T. Understanding and validating the Left-Right Scale (RILE). In: Volkens, A., et al. (Orgs.). Mapping policy preferences from texts: Statistical Solutions For Bibliography Manifesto Analysts. Oxford: Oxford University Press, p. 85-106, 2013.
Carvalho, F. "O centro do labirinto: um estudo sobre a competição eleitoral na TV". Dissertação de Mestrado em Ciência Política. Instituto de Pesquisas do Estado do Rio de Janeiro, Rio de Janeiro, 1994.
Cervi, E. "O uso do HGPE como recurso partidário em eleições proporcionais no Brasil: um instrumento de análise de conteúdo". Opinião Pública, Campinas, vol. 17, nº 1, p. 106-136, 2011.
Cervi, E. Manual de métodos quantitativos para iniciantes em Ciência Política - vol. 1. Curitiba: CPOP-UFPR, 2017.
Cervi, E. Manual de métodos quantitativos para iniciantes em Ciência Política - vol. 2. Curitiba: CPOP-UFPR, 2019.
Cervi, E.; Massuchin, M. "O uso do Twitter nas eleições de 2010: o microblog nas campanhas dos principais candidatos ao governo do Paraná". Contemporanea: comunicação e cultura, vol. 9, nº 2, p. 319-334, 2011.
Cervi, E.; Panke, L. "Análise de comunicação eleitoral: uma proposta metodológica para estudos de HGPE". Contemporânea (UFBA. Online), vol. 9 p. 390-404, 2011.
Chaia, V. Eleições no Brasil: o medo como estratégia política. In: Rubim, A. A. C. (Ed.). Eleições presidenciais em 2002 no Brasil: ensaios sobre mídia, cultura e política. São Paulo: Hacker, 2004.
Contador, J. C. Campos e armas da competição. São Paulo: Saint Paul, 2008.
Contrera, F.; Cassotta, P. L.; Hebling, M. L. "Estudio de la aplicación del método estándar del Marpor para el posicionamiento ideológico de partidos argentinos, brasileños y chilenos en campañas presidenciales". Revista SAAP, vol. 15, nº 2, p. 449-477, 2021.
Contrera, F.; Gregorio, P. C.; Lima, B. "Interações estratégicas na eleição presidencial brasileira de 2018: uma análise das redes configuradas no HGPE". Confluências, vol. 22, nº 3, p. 137-171, 2020.
Curini, L. "The conditional ideological inducement to campaign on character valence issues in multiparty systems: the case of corruption". Comparative Political Studies, vol. 48, nº 2, p. 168-192, 2015.
Dahl, R. A. Who governs? Democracy and power in an American City. New Haven and London: Yale University Press, 1961.
Dantas, H. "O horário eleitoral gratuito na televisão e o padrão das coligações em eleições majoritárias municipais". Leviathan, nº 5, p. 1-14, 2012.
Dolezal, M., et al. "Beyond salience and position taking: how political parties communicate through their manifestos". Party Politics, vol. 24, nº 3, p. 240-252, 2018.
Farrell, D. M. Political Parties in a Changing Campaign Environment. In: Katz, R.; Crotty, W. (Eds.). Handbook of Political Parties. London. Sage Publications Ltd, p. 122-132, 2005.
Farrell, D. M., et al. Campaign Strategies and Tactics: Comparing Democracies: Elections and Voting in Global Perspective. Thousand Oaks, CA: Sage Publications Ltd, 1996.
Farrell, D. M.; Kolodny, R., Medvic, S. "Parties and Campaign Professionals in a Digital Age: Political Consultants in the United States and Their Counterparts Overseas". Harvard International Journal of Press/Politics, vol. 6, nº4, p. 11-3, 2001.
Ferreti, V.; Junckes, I.; Clemente, A. "Ciência política e análise de redes: uma metodologia para o mapeamento de comunidades temáticas". Guaju, vol. 4, nº 2, p. 229-251, 2018.
Figueiredo, M., et al. "Estratégias de persuasão eleitoral: uma proposta metodológica para o estudo da propaganda eleitoral". Opinião Pública, Campinas, vol. 4, nº 3, p. 182-2013. 1997.
Fortunato, S. "Community detection in graphs". Physics Reports, nº 486, 75-174, 2010.
Fridkin, K.; Kenney, P. The impact of negative campaigning on citizens' actions and attitudes. In: Semetko, H.; Scamm, M. (Eds.). The SAGE Handbook of Political Communication. Los Angeles, CA: Sage, p. 173-185, 2012.
Geer, J. G. Defense of Negativity: attack ads in presidential campaigns. Chicago, IL: University of Chicago Press, 2006.
Gregorio, P. C. "Padrões de interação estratégica nas eleições presidenciais de 2018: atores e temáticas". Dissertação de Mestrado em Ciência Política. Universidade Federal de São Carlos - PPGPol/UFSCar, São Carlos, 2021.
Klingemann, H. D., et al. Mapping policy preferences II: estimates for parties, electors, and governments in Eastern Europe, European Union, and the OECD (1990-2003). Oxford: Oxford University Press. 2006.
Lazega, E.; Higgins, S. Redes sociais e estruturas relacionais. Belo Horizonte: Fino Traço, 2014.
Le Pennec, C.; Pons, V. "How do Campaigns Shape Vote Choice? Multicountry Evidence from 62 Elections and 56 TV Debates". The Quarterly Journal of Economics, vol. 138, nº 2, p. 703-767, 2023.
Lima, B. "Campanhas Eleitorais e agenda temática nas eleições de 1994 a 2014: PT e PSDB". Tese de Doutorado em Ciência Política. Universidade Federal de São Carlos - PPGPol/UFSCar, São Carlos, 2021.
Lourenço, L. C. "Propaganda negativa: ataque versus votos nas eleições presidenciais de 2002". Opinião Pública, Campinas, vol. 15, nº 1, p. 133-158, 2009.
Maier, J.; Jansen, C. "When do candidates attack in election campaigns? Exploring the determinants of negative candidate messages in German televised debates". Party Politics, vol. 23, nº 5, p. 549-559, 2017.
Maier, J.; Nai, A. "Mapping the drivers of negative campaigning: Insights from a candidate survey". International Political Science Review, vol. 44, nº 2, p. 195-211, 2021.
Mair, P. Smaghi vs. the parties: representative government and institutional constraints. In: Schäfer, A.; Streeck, W. (Eds.). Politics in the Age of Austerity. Cambridge: Polity Press, p. 143-168, 2013.
Mair, P. Representative versus responsible government. In: Mair, P. (Ed.). On parties, party systems and Democracy. Colchester: ECPR Press, p. 581-596, 2014.
Mancini, P; Swanson, D. Politics, Media and Modern Democracy: introduction. In: Swansom, D.; Mancini, P. (Eds.). Politics, media and modern democracy: an international study of innovations in electoral campaigning and their consequences. Westport, London: Praeger, p.1-28, 1996.
Mancuso, W. P.; Ferraz, A. S. As distorções do financiamento de campanhas. Revista Fórum, 108. 2012.
Mancuso, W. P; Speck, B. W. "Financiamento empresarial e desempenho eleitoral no Brasil: um estudo das eleições para deputado federal em 2010". In VIII Workshop Empresa, Empresários e Sociedade. Curitiba, 2012.
Manin, B. "As metamorfoses do governo representativo". Revista Brasileira de Ciências Sociais, São Paulo, nº 29, 1995.
Marsh, M.; Tilley, J. "The attribution of credit and blame to governments and its impact on vote choice". British Journal of Political Science, vol. 40, nº 1, p. 115-134, 2010.
Massuchin, M. G: Cavassana, F. "A construção da propaganda eleitoral: a estrutura do HGPE no Brasil a partir de uma perspectiva longitudinal". Revista Teoria & Pesquisa, São Carlos, vol. 29 nº 1, p. 81-109, 2020.
Massuchin, M.; Cavassana, F.; Cervi, E. "Political Communication, Television Advertising and Elections in Brazil: A Longitudinal Analysis of Two Major Parties' Use of Free Electoral Advertising Time". Brazilian Political Science Review, vol. 15, nº 3, p. 1-33, 2021.
Massuchin, M.; Tavares, C. "Disputa eleitoral e estratégias de campanha na internet: padrões de uso dos websites pelos candidatos em 2012". Paraná Eleitoral: Revista Brasileira de Direito Eleitoral e Ciência Política, vol. 3, nº 3, p. 437-472, 2014.
Mazzoleni, G. La Comunicación Política. Madrid: Alianza Editorial S.A., 2010
Meltzer, A. H.; Richard, S. F. "A Rational Theory of the Size of Government". Journal of Political Economy, vol. 89, nº 5, p. 914-27, 1981.
Miguel, L. F. "Televisão e construção da agenda eleitoral no Brasil". Diálogos Latino-americanos, nº 10, p. 141-154, 2005.
Minozzi, W., et al. "Field experiment evidence of substantive, attributional, and behavioral persuasion by members of Congress in online Town Halls". Proceedings of the National Academy of Sciences, vol. 112, p. 3937-3942, 2015.
Mollo, M. L. R. A questão da austeridade na política econômica. In: Balanço e perspectivas do governo Dilma Rousseff. São Paulo: Carta Maior; Friedrich Ebert Stiftung, 2015.
Müller, S. "Media coverage of campaign promises throughout the electoral cycle". Political Communication, vol. 37, nº 5, p. 696-718, 2020.
Nai, A.; Tresch, A.; Maier, J. "Hardwired to attack: candidates' personality traits and negative campaigning in three European countries". Acta Politica, vol. 57, p. 772-797, 2022.
Naurin, E.; Royed, T.; Thomson, R. (Eds.). Party mandates and democracy: making, breaking and keeping election pledges in twelve countries. Ann Arbor: University of Michigan Press, 2019.
Newman, M. "The structure and function of complex networks". SIAM Review, vol. 45, p. 167-256, 2003.
Newman, M. Networks: An Introduction. Oxford University Press, Oxford, 2010.
Oliveira, L. "A importância da mídia nas disputas eleitorais: as estratégias para 2010". Em Debate, Belo Horizonte, vol. 2, nº 8, p. 18-23, 2010.
Pasquino, G. "Liderazgo y comunicación política". Psicología Política, vol. 1, p. 65-85, 1990.
Penteado, C. "Marketing político na era digital: perspectivas e possibilidades". Revista USP, nº 90, p. 6-23, 2011.
Petrocik, J. R. "Issue ownership in presidential elections, with a 1980 case study". American Journal of Political Science, vol. 40, nº 3, p. 825-850, 1996.
Petrocik, J. R.; Benoit, W. L.; Hansen, G. J. "Issue ownership and presidential campaigning (1952-2000)". Political Science Quarterly, vol. 118, nº 4, p. 599-626, 2003.
Pitkin, H. The concept of representation. Berkeley: University of California Press, 1967.
Porto, M.; Guazina, L. "A política na TV: o horário eleitoral da eleição presidencial de 1994". Revista Contracampo, Niterói, nº 3, p 5-33,1999.
Porto, M.; Bastos, B.; Vasconcelos, R. A televisão e o primeiro turno das eleições presidenciais de 2002: análise do Jornal Nacional e do horário eleitoral. In: Rubim, A. A. C. (Org.). Eleições presidenciais em 2002 no Brasil: ensaios sobre mídia, cultura e política. São Paulo: Hacker, 2004.
Robertson, D. B. A theory of party competition. London: John Wiley & Sons, 1976.
Rudolph, T. "Who's responsible for the economy? The formation and consequences of responsibility attributions". American Journal of Political Science, vol. 47, nº 4, p. 698-713, 2003.
Salgado, E. D.; Neves, D. "O efeito reverso das mudanças da legislação da propaganda eleitoral: um estudo sobre as leis eleitorais a partir de 1992". Analecta Política, vol. 10, nº 19, p. 117-139, 2020.
Sarmento, R.; Massuchin, M.; Mendonça, R. F. "Comunicação e Política no Brasil: um panorama recente". BIB: Revista Brasileira de Informação Bibliográfica em Ciências Sociais, vol. 95, p. 1-39, 2021.
Serra, G. "Polarization of what? A model of elections with endogenous valence". The Journal of Politics, vol. 72, nº 2, p. 426-437, 2010.
Silva, B. C. M., et al. "Política de Cotas e Meritocracia: uma análise da percepção de professores universitários". DADOS, vol. 65, nº 1, p. 1-34, 2022.
Silveira, S. Direita nas redes sociais online. In: Cruz, S.; Kaysel, A.; Codas, G. (Orgs.). Direita, volver! O retorno da direita e o ciclo político brasileiro. São Paulo: Editora Fundação Perseu Abramo. 2015.
Speck, B. W. O financiamento político e a corrupção no Brasil. In: BIASON, R. C. (Org.). Temas de corrupção política. São Paulo: Balão Editorial, 2012.
Speck, B. W.; Cervi, E. "Tempo e Memória Eleitoral: Os Mecanismos que Levam ao Voto nas Eleições para Prefeito em 2012". Dados, vol. 59, nº 1, p. 53-90, 2016.
Steibel, F. Feios, sujos e malvados: políticos, juízes e a campanha eleitoral de 2002 na TV. Rio de Janeiro: E-PAPER. 2007.
Stückelberger, S. "Mobilizing and chasing: the voter targeting of negative campaigning - lessons from the Swiss case". Party Politics, vol. 2, nº 27, p. 341-350, 2021.
Tarouco, G.; Vieira, S.; Madeira, R. "Mensuração de preferências políticas: análise de manifestos partidários". Política Hoje, vol. 24, nº 2, p. 135-150, 2015.
Tsebelis, G. Jogos Ocultos: escolha racional no campo da política comparada. São Paulo: Edusp. 1998.
Veiga, L.; Santos, S. "O referendo das armas no Brasil: estratégias de campanha e comportamento do eleitor". Revista Brasileira de Ciências Sociais, São Paulo, vol. 23, nº 66, p. 59-77, 2008.
Vieira, C., et al. "Reflexões sobre a meritocracia na educação brasileira". Revista Reflexão e Ação, vol. 21, p. 316-334, 2013.
Walter, A. S. "Women on the battleground: does gender condition the use of negative campaigning?". Journal of Elections: Public Opinion and Parties, vol. 23, nº 2, p. 154-176, 2013.
Walter, A. S. "Negative campaigning in Europe: Similar or different?". Political Studies, vol. 62, nº 1, p. 42-60, 2014.
Wasserman, S., Faust, K. Social network analysis: methods and applications. Cambridge: Cambridge University Press. 1994.
Watts, D. J.; Strogatz, S. H. "Collective dynamics of 'small-world' networks". Nature, vol. 393, nº 6684, p. 440-442, 1998.
Wellman, B. "El análisis estructural de las redes sociales: del método y la metáfora a la teoría y la sustancia". Debates en Sociología, nº 22, p. 47-97, 1997.
Notas