RESEARCH ARTICLES
Análisis del Comportamiento Manada en los sectores bursátiles de América Latina
An analysis of herd behavior in Latin American stock markets
Análisis del Comportamiento Manada en los sectores bursátiles de América Latina
Ecos de Economía, vol. 20, núm. 42, 2016
Universidad EAFIT
Recepción: 20 Enero 2015
Aprobación: 19 Abril 2016
Resumen: El objetivo de este artículo es investigar la existencia de efecto manada en los principales mercados bursátiles de América Latina (Brasil, México, Chile, Colombia, Perú y Argentina), para el periodo comprendido entre el 2 de enero de 2002 y el 30 de junio de 2014, tomando como variable de estudio la dispersión de los retornos del índice más representativo de cada país y de los sectores que lo componen, utilizando el modelo propuesto por Christie y Huang (1995). Los resultados obtenidos no revelan presencia alguna de efecto manada en el total de los mercados ni en los sectores que los conforman.
Palabras clave: Efecto Manada, Mercados latinoamericanos, Dispersión de los retornos.
Abstract: This research investigates whether the major stock markets in Latin America (Brazil, Mexico, Chile, Colombia, Peru and Argentina) exhibited herd behavior over the period January 2, 2002 to June 30, 2014, using the variation in the returns overall and by sector in the most representative stock market index in each country, using the model proposed by Christie y Huang (1995). The results do not reveal any herd behavior in the total market, or in the sectors of the markets examined in the study.
Key words: Herd Behavior, Latin America Stock Markets, Variation in Returns.
1. Introducción
Aunque Fama (1970) sostiene que los mercados deben estar compuestos por inversionistas racionales que interpretan y utilizan toda la información disponible siguiendo modelos de valoración de activos generalmente aceptados, haciendo que diferentes inversores obtengan estimaciones similares del precio, que teóricamente deberían estar cercanos al valor fundamental del activo; se han detectado anomalías y conductas que no pueden ser explicadas por teorías y modelos racionales, es por esto que en los últimos años ha tomado fuerza una nueva disciplina llamada finanzas conductuales, defendida por Shiller (2003), quien manifiesta que los inversores toman sus decisiones motivados por aspectos psicológicos y sociológicos, propios de la naturaleza humana, contradiciendo algunos de los supuestos de la teoría de los mercados eficientes.
Una de dichas anomalías es el efecto manada, que ha sido estudiado y documentado por varios autores, y los resultados varían dependiendo del enfoque y del país. De manera amplia, este com portamiento se puede definir como la tendencia de algunos inversores a tomar decisiones ya sean espontaneas o premeditadas, con base en los razonamientos e ideas de la colectividad, sean correctos o no desde un punto de vista racional. La importancia de investigar este tipo de comportamiento radica en el hecho de que si un agente verifica su existencia, podría tomar posiciones de compra y venta de activos financieros que lo lleven a obtener rentabilidad positiva de forma sistemática, resultado que refutaría la hipótesis de mercado eficiente.
Este tipo de conducta se ha estudiado tanto para índices generales como para sectores bursátiles, en países tales como: Estados Unidos, España, Grecia, Portugal, China, India y Australia, sin embargo para el caso de la región latinoamericana las investigaciones se han centrado en evaluar este efecto en los índices generales mas no en los sectores que componen dichos mercados. Además teniendo en cuenta que Acevedo, Fleisman, Montoya y Mora (2010) consideran que gracias a la creciente confianza de los inversionistas extranjeros en los países de la región, el principal destino de la inversión extranjera directa (IED) se concentra en sectores estratégicos tales como minero, energético, petróleo, financiero y telecomunicaciones, la presente investigación tiene como fin verificar empíricamente el efecto manada en los principales mercados de América Latina (Brasil, México, Chile, Colombia, Perú y Argentina) y en sus respectivos sectores económicos, contribuyendo a comprender mejor la forma como los inversionistas toman sus decisiones en el proceso de compra y venta de activos. Para realizar tal comprobación se hace un análisis preliminar estadístico y se utiliza el modelo propuesto por Christie y Huang (1995), el cual se centra en el análisis de la dispersión de las series bursátiles, mediante la evaluación de la cercanía entre los retornos individuales y el retorno del mercado, encontrando que el efecto manada no se evidencia ni en los mercados completos ni en los sectores al interior de ellos.
Este documento se divide en 5 secciones: en la primera se presenta la introducción; la segunda y tercera parte consisten en la revisión de la literatura y la metodología, respectivamente; en la cuarta sección se presentan los resultados obtenidos, mientras que la quinta sección corresponde a las conclusiones.
2. Revisión de la literatura
El efecto manada ha sido estudiado por un gran número de investigadores en el área financiera y afines, esto ha dado como resultado una variedad de definiciones. Devenow y Welch (1996, pág. 604) enuncian que este efecto implica ''patrones correlacionados de comportamiento entre los individuos'', argumentando que dichos patrones requieren de mecanismos de coordinación, basados en alguna señal o en la capacidad de observar a otros tomadores de decisiones. Hott (2009) en su estudio concibe dicho efecto como la influencia positiva de las decisiones de unos inversores sobre las decisiones de un inversor en particular. Por último Sharma y Bikhchandani (2001) definen el efecto manada como el intento obvio de un inversor de copiar el comportamiento de otros inversores, matizando que existe una diferencia entre la conducta intencional y no intencional (espuria): en donde la primera se da por la intención de los agentes de imitar las acciones de sus similares, asociada a razones como la información imperfecta, la preocupación por la reputación y las estructuras de compensación; mientras que la segunda hace referencia a situaciones donde los agentes se enfrentan a problemas y conjuntos de información similares, que lo llevan a decisiones semejantes, sin que se presente influencia de unos inversores sobre otros, es decir, el efecto se presenta porque diferentes agentes interpretan de la misma forma la información disponible.
Dada la importancia de este comportamiento, una serie de autores ha intentado comprobar empíricamente la existencia de efecto manada mediante medidas de dispersión, con un enfoque amplio de mercado, es decir, que no evalúa el comportamiento del inversor a nivel individual. El primer modelo fue propuesto por Christie y Huang (1995), tomando como medida de dispersión de los retornos, la desviación estándar de sección cruzada (Cross Sectional standard deviation-CSSD), buscando estudiar los fuertes movimientos de los precios de las acciones en el periodo de 1925 a 1988 en el mercado de valores estadounidense y los sectores al interior de este, no hallando evidencia a favor de la presencia de dicho efecto. A partir de este planteamiento Chang, Cheng y Khorana (2000) proponen un modelo más robusto usando la desviación absoluta de sección cruzada (Cross Sectional absolute deviation-CSAD), para verificar la existencia del efecto en el periodo de 1963 a 1997 en los mercados de Estados Unidos, Japón, Hong Kong, Sur Corea y Taiwán; sus resultados indican evidencia parcial de efecto manada en el mercado de Hong Kong y un efecto significativo en los mercados de Sur Corea y Taiwán. Basados en los modelos mencionados, algunos investigadores han examinado la presencia del efecto manada en diferentes regiones del mundo, tal como se detallan a continuación.
En el mercado europeo, Ourda, Bouri y Bernard (2013) estudiaron el efecto con retornos mensuales en diez sectores compuestos por las 174 empresas de mayor capitalización bursátil del índice EuroStoxx600 desde 1998 a 2010, comprobando la existencia de comportamiento manada en la mayoría de industrias, con excepción del sector bienes de consumo; además los autores determinan que durante el subperiodo de crisis 2007-2008 el efecto manada detectado en los sectores financiero y tecnología está influenciado por la crisis de las sub-primes. Economou, Kostakis y Philippas (2010) durante el periodo de 1998-2008, hallaron efecto manada en los mercados de Grecia e Italia, efecto parcial en Portugal y ninguna evidencia de esta anomalía en España. Henker, Henker y Mitsios (2006) analizaron la presencia del efecto manada con datos intradía de 160 empresas del índice ASX200 de Australia y en diez de sus sectores económicos, para el periodo 2001-2002, concluyendo ausencia de dicho efecto. Caporale, Economou y Philippas (2008) examinaron la presencia de comportamiento manada en la bolsa de valores de Atenas a partir de datos diarios, semanales y mensuales para los años 1998-2007, hallando evidencia más fuerte de efecto en los datos diarios y en periodos de ascenso del mercado.
En el mercado asiático, Lao y Singh (2011) estudiaron el efecto en el índice más representativo de China e India, Shangai A-Share índex y Bombay Stock Exchange índex respectivamente, desde 19992009, encontrando que en China el comportamiento manada predomina cuando el mercado está en declive y el volumen de transacción es alto, mientras que en India ocurre cuando el mercado está en ascenso. Adicional a esto Tan, Chiang, Mason y Nelling (2008) analizaron el comportamiento manada en China de las acciones tipo A (dominadas por los inversores locales) y tipo B (dominadas por los inversores extranjeros) desde 1994 a 2003, concluyendo que el efecto está presente en los dos tipos de acciones para periodos de alza, baja, volumen de transacción y volatilidad altos. Liu (2013) realizó un análisis empírico en el mercado de Singapur desde 2002-2012, cuyos resultados manifiestan que el comportamiento manada es más significativo cuando el mercado está en descenso, durante periodos de crisis financieras y en los sectores cuidado de la salud, financiero y servicios de consumo.
En el mercado latinoamericano, Chiang y Zheng (2010) encontraron que el efecto no se presenta en esta región en el periodo de 1988 a 2009, mientras que en periodos de crisis en los mercados de Argentina y México, estos exhiben dicho efecto, adicional a esto, de Almeida, Costa y Da Costa (2012) detectan indicios de comportamiento manada en el mercado chileno entre 2000 y 2010, en activos de alto volumen de negociación y de baja y alta volatilidad.
Por último, Chen (2013) realizó un estudio global con 69 países, dividiéndolos en países desarrollados, emergentes y de frontera, en el periodo 2000-2009, concluyendo fuerte evidencia a favor del efecto en casi todos los mercados bursátiles, resaltando que esta anomalía es más fuerte en los mercados desarrollados y que los inversores tienden a manifestar este comportamiento como respuesta a las malas noticias.
3. Metodología
Para verificar la presencia o no de efecto manada en los mercados latinoamericanos se usó el modelo propuesto por Christie y Huang (1995), que se enfoca en evaluar la presencia de efecto manada durante momentos de extremos movimientos del mercado.
La variable objeto de estudio es la desviación estándar de sección cruzada (Cross Sectional Standard Deviation, CSSD) de los retornos individuales con respecto al retorno del mercado, planteada en la ecuación 1.
(1)Donde Rit es la rentabilidad de la acciónien el tiempo t y Rmt es la rentabilidad del mercado, calculada mediante el promedio de sección cruzada de las N rentabilidades de las acciones disponibles en el mercado en el tiempot.Luego para comprobar la existencia de efecto manada durante condiciones extremas del mercado se estima el modelo de regresión lineal binario, presentado en la ecuación 2.
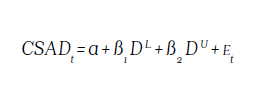
(2)Donde D L es una variable dicotómica, que toma el valor de 1 si el retorno del mercado en el tiempo t, se encuentra en el extremo 1%, 5% y 10% de la cola inferior de la distribución, y cero de otra manera. Por otro lado, DU se define como una variable dicotómica, que toma el valor de 1 si el retorno del mercado se encuentra en el extremo 1%, 5% y 10% de la cola superior de la distribución y cero de otra manera. El coeficienteaexpresa la dispersión promedio de la muestra, excluyendo las dos regiones cubiertas por las variables dicotómicas. De acuerdo con este modelo, la presencia de negatividad y significancia estadística enß 1yß 2indicarían una disminución en promedio de la dispersión, sugiriendo la presencia de efecto manada.
Como la desviación estándar de sección cruzada (CSSD) puede estar afectada por valores atípicos, Christie y Huang (1995) definen la desviación absoluta de sección cruzada (Cross Sectional Absolute Deviation, CSAD) como una mejor medida de dispersión (ecuación 3).
(3)Donde Rit y Rmt equivalen a lo definido en CSSD (ecuación 1).
Teniendo en cuenta lo anterior, en el presente trabajo se estima la regresión de la ecuación 2, usando como variable objeto de estudio la desviación absoluta de sección cruzada (CSAD), como se indica en la ecuación 4.
(4)3.1 Datos
Los datos utilizados en la presente investigación corresponden a los precios de cierre diario de las empresas que componen el índice más representativo de cada una de las principales bolsas de valores de Latinoamérica (Brasil, México, Chile, Colombia, Perú y Argentina), durante el periodo comprendido entre el 2 de enero de 2002 y el 30 de junio de 2014, se omiten los días en los cuales las bolsas no operaron y aquellas empresas con cotizaciones inferiores a un año. En el caso particular del mercado accionario de Colombia, las empresas consideradas son aquellas que han estado listadas por lo menos una vez en las canastas trimestrales del COLCAP, que hayan cotizado en junio de 2014 y que posean un nivel de liquidez alto. Los datos se obtuvieron de Bloomberg Professional Service.
El efecto manada se analiza para cada mercado bursátil de Latinoamérica, usando todas las empresas seleccionadas y los sectores que lo componen de acuerdo con la clasificación propuesta por cada una de las respectivas bolsas de valores de Latinoamérica, motivo por el cual los sectores difieren de un país a otro, esto se hizo con el fin de facilitar el reconocimiento de las empresas de acuerdo al sector en el que se encuentre, por parte de los inversores e investigadores de cada país. En laTabla 1se especifica el número de empresas elegidas y los sectores conformados por cada país.

4. Resultados
Inicialmente se estimaron las estadísticas descriptivas de las series (Ver Anexo) para analizar las variables objeto de estudio desde la óptica de tipo de distribución y estacionariedad, y posteriormente en laTabla 2se expusieron los resultados del modelo propuesto por Christie y Huang (1995), con el propósito de evaluar la presencia de comportamiento manada.
4.1 Estadísticas descriptivas
En la investigación se estiman las estadísticas descriptivas diarias de la rentabilidad promedio del mercado (Rmt), y de la desviación absoluta de sección cruzada (CSADt), con el fin de establecer las características de las series financieras, tanto para el total de empresas seleccionadas en cada uno de los países, como para los sectores a su interior. Como se puede ver en el anexo 1, la media de la rentabilidad varia de -0.0323% para el sector demadera y papelhasta 0.1428% para el sector deconsumo cíclicoambos pertenecientes al mercado de Brasil. En cuanto a la volatilidad de los retornos, medido por la desviación estándar, se observa que en Chile elmercado totalexhibe los menores valores (0.8751%), mientras que el sector dedemás empresasdel mercado de Argentina presenta el valor más alto (2.8429%). Igualmente en este anexo se presentan los valores máximos y mínimos de la Rmt, a partir de los cuales se observa que durante el periodo analizado el mayor declive lo tuvo el sector deproductos de consumo frecuentedel mercado de México con un -47.7185%, mientras que la mayor valorización la presentó el sectorminerodel mercado de Brasil con un 57.6543%.
Por otro lado, al analizar el comportamiento de la medida de dispersión (CSAD), se puede resaltar que su variación promedio oscila entre 0.7210% para el sector decomerciales y distribuidorasdel mercado de Chile hasta un 1.7259% para el sectorminero del mercado de Perú. Adicionalmente, los valores máximos y mínimos de los CSAD diarios, muestran que el sectorminero del mercado de Brasil exhibe el valor más alto (78.5385%), mientras que el sector dedemás empresasdel mercado de México exhibe el valor más bajo (0.0001%).
Por último al examinar el sesgo (S) y la curtosis (C), se observa que las series no siguen los parámetros de una distribución normal (S=0 y C=3), lo cual es confirmado por el test Jarque Bera, que rechaza la hipótesis de normalidad para cada variable. Además se puede notar que los valores de la curtosis son estadísticamente mayores a tres lo que sugiere distribuciones leptocúrticas, común en las series financieras. Los resultados obtenidos con el test de Dickey-Fuller Aumentado (ADF) indican que la rentabilidad del mercado y el CSAD, exhiben series estacionarias tanto en el total de empresas seleccionadas en cada país como en los sectores al interior de este, a excepción de la serie CSAD en elmercado totalde Argentina.
4.2 Resultados del modelo de Christie y Huang
En laTabla 2se presentan los coeficientes estimados a partir del modelo de regresión lineal expresado en la ecuación 4, tanto para el total de empresas seleccionadas por país como para los sectores al interior de cada mercado. Se consideran como criterios extremos el 1%, 5% y 10% de las observaciones que estén en la cola superior o inferior de la distribución de rentabilidad del mercado.

De acuerdo con los resultados presentados en laTabla 2, se puede observar que los coeficientesß 1yß 2son positivos y estadísticamente significativos para la mayoría de los casos, tanto para el total del mercado como para sus sectores, sugiriendo un incremento en la dispersión (CSAD), motivado por fuertes movimientos en los precios de las acciones del respectivo mercado, lo que implica una posible divergencia en las decisiones de los agentes financieros y por lo tanto ausencia de comportamiento manada. Por otro lado, bajo el criterio del 1% de estrés de mercado, elß 2del sector de servicios varios de chile y elß 1del sector de productos de consumo frecuente de México, son no significativos, lo cual querría decir que la CSAD es explicada solamente por los coeficientes restantes.
Además en primera instancia se puede apreciar que los sectores que exhiben los menores incrementos de dispersión (ß 1yß 2), característica que de acuerdo con Christie y Huang (1995) se podría deber a una mayor regulación del sector, son: en Brasil,siderurgia y bancario; en México,demás empresas; en Chile,comerciales y distribuidoras; en Colombia, financiero e inversiones; en Perú,servicios públicos; y en Argentina,bancosconmetalúrgica y siderúrgica. Mientras que en segunda instancia aquellos sectores que presentan los mayores incrementos de dispersión son: en Brasil,consumo cíclico; en México,productos de consumo frecuente, entidades financieras, materiales y bienes de consumo no básico; en Chile,alimentos y bebidas y servicios varios; en Colombia,demás empresas y petróleo; en Perú,mineras y diversas; y en Argentina,demás empresas; lo que se podría interpretar como sectores con menor regulación, donde no se evidencia comportamiento manada, llevando a pensar que son sectores con empresas altamente competitivas que exhiben eficiencia en sus mercados. Igualmente al analizar el incremento de la volatilidad por países, se encuentra que quienes manifiestan menores y mayores betas son Chile y Perú respectivamente.
Finalmente considerando los criterios 5% y 10%, se resalta que la mayoría de los coeficientesß 2son significativamente mayores que losß 1, lo que quiere decir, que la distribución del CSAD presenta asimetría positiva y que por lo tanto existe más volatilidad en días con rentabilidades altas que bajas.
5. Conclusiones
A partir del análisis de las series financieras bajo estudio, se encuentra que los niveles de dispersión aumentan significativamente cuando los precios de las acciones sufren grandes fluctuaciones, lo cual se interpreta, según la metodología de Christie y Huang (1995), como una ausencia de efecto manada en el periodo total (02/01/2002-30/06/2014) en los índices más representativos de los principales mercados bursátiles de América Latina (Brasil, México, Chile, Colombia, Perú y Argentina). Simila res hallazgos se evidencian en los sectores al interior de estos mercados. Los anteriores resultados podrían sugerir eficiencia en los mercados bursátiles de Latinoamérica respecto al efecto manada, dado que los agentes estarían tomando sus decisiones de inversión en base a sus propios juicios sin seguir a sus pares más influyentes.
Es importante resaltar que estos resultados son semejantes a los encontrados en la literatura en el periodo 1988 a 2009 (Chiang & Zheng, 2010) y 2000 a 2010 (de Almeida, Costa, & da Costa Jr., 2012), que no indican presencia de efecto manada en gran parte de los mercados accionarios de América Latina.
Dada la existencia de otros modelos similares utilizados para comprobar la presencia de efecto manada y que el número de empresas al interior de algunos de los sectores e índices bursátiles latinoamericanos es relativamente pequeño, los resultados de la presente investigación deben ser tomados con cierto grado de precaución, evitando caer en generalizaciones, ya que para llegar de forma contundente a la conclusión de ausencia de efecto manada de la presente investigación, deberían contrastarse los resultados con los obtenidos mediante la aplicación de otras metodologías.
Referencias bibliográficas
Acevedo V., N . , Fleisman V. , D., Montoya V., A., & Mora C., A. M. (2010). Generalidades de los ADRS: Un estudio de caso sectorial para empresas de Colombia, México, Brasil y Chile. Ecos de Economía, 14(31), 64-97.
Bikhchandani, S., & Sharma, S. (2001). Herd Behavior in Financial Markets. IMF Staff Papers, International Monetary Fund, 47, 279-310.
Caporale, G. M., Economou, F., & Philippas, N. (2008). Herding behaviour in extreme market conditions: the case of the Athens Stock Exchange. Economics Bulletin, 7(17), 1-13.
Chang , E. C., Cheng , J. W., & Khorana, A. (2000). An examination of herd behavior in equity markets: An international perspective. Journal of Banking & Finance 24, 1651-1679.
Chen, T. (2013). Do Investors Herd in Global Stock Markets? Journal of Behavioral Finance, 14, 230-239.
Chiang, T. C., & Zheng, D. (2010). An empirical analysis of herd behavior in global stock markets. Journal of Banking & Finance 34, 1911-1921.
Christie, W. G., & Huang, R. D. (1995). Following the Pied Piper: Do Individual Returns Herd around the Market. Financial Analysts Journal, 31-37.
de Almeida, R. P., Costa, H. C., & da Costa Jr., N. C. (2012). Herd Behavior in Latin American Stock Markets. Latin American Business Rewiew, 13(2), 81-102.
Devenow, A., & Welch, I. (1996). Rational herding in financial economics. European Economic Review 40, 603-615.
Economou, F., Kostakis, A., and Philippas, N. (2010). An examination of herd behavior in four mediterranean stock markets. In European economics and finance society conference paper.
Fama, E. F. (1970). Efficient capital markets: A review of theory and empirical work. The journal of Finance, 25(2), 383-417.
Henker, J., Henker, T., & Mitsios, A. (2006). Do investors herd intraday in Australian equities? International Journal of Managerial Finance, 2(3), 196-219.
Hott, C. (2009). Herding behavior in asset markets. Journal of Financial Stability, 5, 35-56.
Lao, P., and Singh, H. (2011). Herding behaviour in the Chinese and Indian stock markets. Journal of Asian Economics 22, 495-506.
Liu, S. (2013). An empirical analysis of herd behavior in the Singapore stock market.Tesis de maestria en finanzas, Saint Mary's University.
Newey, W. K., and West, K. D. (1987). A simple, positive semi-definite, heteroskedasticity and autocorrelation consistent covariance matrix. Econometrica 55, 703-708.
Ouarda, M., Bouri, A. E., and Bernard, O. (2013). Herding Behavior under Markets Condition: Empirical Evidence on the European Financial Markets. International Journal of Economics and Financial Issues, 3(1), 214-228.
Shiller, R. J. (2003). From Efficient Markets Theory to Behavioral Finance. Journal of Economic Perspectives, 17 (1), 83-104.
Tan, L., Chiang, T. C., Mason, J. R., & Nelling, E. (2008). Herding behavior in Chinese stock markets: An examination of A and B shares. Pacific-Basin Finance Journal, 16, 61-77.
Anexo




